ԵՎՐԱՍԻԱԿԱՆ ՏՆՏԵՍԱԿԱՆ ՀԱՆՁՆԱԺՈՂՈՎ
ԿՈԼԵԳԻԱ
Ո Ր Ո Շ ՈՒ Մ
|
19 դեկտեմբերի 2023 թվականի |
թիվ 175 |
քաղ. Մոսկվա |
ԵՎՐԱՍԻԱԿԱՆ ՏՆՏԵՍԱԿԱՆ ՄԻՈՒԹՅԱՆ ՊԱՇՏՈՆԱԿԱՆ ՎԻՃԱԿԱԳՐԱԿԱՆ ՏԵՂԵԿԱՏՎՈՒԹՅԱՆ ՁԵՎԱՎՈՐՄԱՆ ՄԵԹՈԴԱԲԱՆՈՒԹՅՈՒՆԸ ՀԱՍՏԱՏԵԼՈՒ ՄԱՍԻՆ
«Եվրասիական տնտեսական միության պաշտոնական վիճակագրական տեղեկատվության ձևավորման և տարածման կարգի մասին» արձանագրության («Եվրասիական տնտեսական միության մասին» 2014 թվականի մայիսի 29-ի պայմանագրի թիվ 4 հավելված) 11-րդ կետին համապատասխան՝ Եվրասիական տնտեսական հանձնաժողովի կոլեգիան որոշեց.
1. Հաստատել կից ներկայացվող՝ Եվրասիական տնտեսական միության պաշտոնական վիճակագրական տեղեկատվության ձևավորման մեթոդաբանությունը:
2. Ուժը կորցրած ճանաչել՝
Եվրասիական տնտեսական հանձնաժողովի կոլեգիայի 2019 թվականի մարտի 19-ի «Եվրասիական տնտեսական միության պաշտոնական վիճակագրական տեղեկատվության ձևավորման մեթոդաբանությունը հաստատելու մասին» թիվ 35 որոշումը.
Եվրասիական տնտեսական հանձնաժողովի կոլեգիայի 2022 թվականի դեկտեմբերի 27-ի «Եվրասիական տնտեսական միության պաշտոնական վիճակագրական տեղեկատվության ձևավորման մեթոդաբանության մեջ փոփոխություններ կատարելու մասին» թիվ 203 որոշումը։
3. Սույն որոշումն ուժի մեջ է մտնում դրա պաշտոնական հրապարակման օրվանից 30 օրացուցային օրը լրանալուց հետո։
|
Եվրասիական տնտեսական հանձնաժողովի կոլեգիայի նախագահ՝ |
Մ. Մյասնիկովիչ |
|
ՀԱՍՏԱՏՎԱԾ Է Եվրասիական տնտեսական հանձնաժողովի կոլեգիայի 2023 թվականի դեկտեմբերի 19-ի թիվ 175 որոշմամբ |
ՄԵԹՈԴԱԲԱՆՈՒԹՅՈՒՆ
Եվրասիական տնտեսական միության պաշտոնական վիճակագրական տեղեկատվության ձևավորման
I. Ընդհանուր դրույթներ
1. Սույն մեթոդաբանությունը մշակված է Եվրասիական տնտեսական միության (այսուհետ՝ Միություն) պաշտոնական վիճակագրական տեղեկատվության ձևավորման կարգը սահմանելու նպատակով՝ «Եվրասիական տնտեսական միության մասին» 2014 թվականի մայիսի 29-ի պայմանագրի 24-րդ հոդվածի 1-ին և 2-րդ կետերի համաձայն և «Եվրասիական տնտեսական միության պաշտոնական վիճակագրական տեղեկատվության ձևավորման և տարածման կարգի մասին» արձանագրության (նշված պայմանագրի թիվ 4 հավելված) 11-րդ կետին համապատասխան, և ընդգրկում է Միության պաշտոնական վիճակագրական տեղեկատվության ձևավորման համար տվյալների աղբյուրների նկարագրությունը, Միության պաշտոնական վիճակագրական տեղեկատվության ձևավորման ընդհանուր եղանակների և կանոնների շարադրումը:
2. Սույն մեթոդաբանության նպատակներով օգտագործվում են հասկացություններ, որոնք ունեն հետևյալ իմաստը՝
բացարձակ վիճակագրական ցուցանիշներ՝ վիճակագրական ցուցանիշներ, որոնք արտացոլում են սոցիալ-տնտեսական գործընթացների ու երևույթների բնութագրերը՝ բացարձակ արտահայտությամբ։ Բացարձակ վիճակագրական ցուցանիշներն ունեն չափման միավորներ, որոնք արտահայտվում են բնական (կշռի, մակերեսի, երկարության և այլնի չափ) կամ արժեքային չափման միավորներով՝ պայմանավորված հետազոտվող երևույթների էությամբ և դրանց ֆիզիկական հատկություններով.
ցուցանիշի կշիռ (գործակից)՝ Միության յուրաքանչյուր անդամ պետության մասով վիճակագրական ցուցանիշի թվային արժեքի կշիռ, որն օգտագործվում է Միության պաշտոնական վիճակագրական տեղեկատվության ձևավորման ժամանակ.
հարաբերական վիճակագրական ցուցանիշներ՝ սոցիալ-տնտեսական գործընթացների ու երևույթների քանակական բնութագրերի միջև հարաբերակցությունն արտացոլող վիճակագրական ցուցանիշներ։ Հարաբերական վիճակագրական ցուցանիշները հաշվարկվում են որպես մեկ բացարձակ ցուցանիշի հարաբերությունը մյուսի նկատմամբ կամ որպես երկու հարաբերական ցուցանիշների՝ միմյանց միջև հարաբերակցությունը և արտահայտվում են հարաբերական մեծության տեսքով (աճի տեմպ, հավելաճի տեմպ, գործակից, ցուցիչ՝ ըստ ճյուղերի, գործունեության տեսակների և այլն)։
II. Միության պաշտոնական վիճակագրական տեղեկատվության ձևավորման համար տվյալների աղբյուրները
3. Միության պաշտոնական վիճակագրական տեղեկատվության ձևավորման համար տվյալների աղբյուրն է Միության անդամ պետությունների լիազորված մարմինների կողմից (այսուհետ համապատասխանաբար՝ անդամ պետություններ, լիազորված մարմիններ) Եվրասիական տնտեսական հանձնաժողովին (այսուհետ՝ Հանձնաժողով) տրամադրվող պաշտոնական վիճակագրական տեղեկատվությունը՝ լիազորված մարմինների կողմից Հանձնաժողովին տրամադրվող պաշտոնական վիճակագրական տեղեկատվության վիճակագրական ցուցանիշների ցանկին (այսուհետ՝ ցանկ) համապատասխան, ինչպես նաև Հանձնաժողովի հարցման հիման վրա լիազորված մարմինների կողմից տրամադրվող՝ անդամ պետությունների՝ ցանկում չընդգրկված այլ պաշտոնական վիճակագրական տեղեկատվություն:
Միության պաշտոնական վիճակագրական տեղեկատվությունը ձևավորելիս Հանձնաժողովը կարող է օգտագործել միջազգային կազմակերպությունների պաշտոնական վիճակագրական տեղեկատվությունը և անդամ պետությունների օրենսդրությամբ չարգելված աղբյուրներից ստացված այլ տեղեկատվություն։
4. Միության պաշտոնական վիճակագրական տեղեկատվությունը ձևավորելու համար անդամ պետություններից մեկում առանձին ցուցանիշների մասով պաշտոնական վիճակագրական տեղեկատվության բացակայության դեպքում կարող են կիրառվել միջազգային պրակտիկայում օգտագործվող գնահատման մեթոդները:
III. Միության պաշտոնական վիճակագրական տեղեկատվության ձևավորման ընդհանուր եղանակներն ու կանոնները
5. Միության պաշտոնական վիճակագրական տեղեկատվության ձևավորման ալգորիթմի հիմքում դրված է անդամ պետությունների պաշտոնական վիճակագրական տեղեկատվության մշակման և ամփոփման միջոցով ստացվող վիճակագրական ցուցանիշների հաշվարկումը:
6. Միության վերաբերյալ պաշտոնական վիճակագրական տեղեկատվության ձևավորման կարգը տարբերվում է՝ պայմանավորված հիմնական վիճակագրական ցուցանիշների ձևով՝ բացարձակ կամ հարաբերական:
7. Բնական չափման միավորներով արտահայտված բացարձակ վիճակագրական ցուցանիշների վերաբերյալ Միության պաշտոնական վիճակագրական տեղեկատվությունը որոշվում է բոլոր անդամ պետությունների առնչությամբ յուրաքանչյուր վիճակագրական ցուցանիշի մասով գումարման կամ հանման միջոցով։
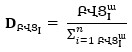
8. Բնական չափման միավորներով արտահայտված՝ Միության մասով բացարձակ վիճակագրական ցուցանիշները հաշվարկվում են հետևյալ բանաձևով՝
ԲՎՑՄիություն = ∑n i=1 ԲՎՑ i
որտեղ՝
ԲՎՑՄիություն-ը համապատասխան հաշվետու ժամանակահատվածի համար Միության մասով բացարձակ վիճակագրական ցուցանիշն է՝ արտահայտված բնական չափման միավորներով.
ԲՎՑi-ը՝ համապատասխան հաշվետու ժամանակահատվածի համար «i» անդամ պետության բացարձակ վիճակագրական ցուցանիշը՝ արտահայտված բնական չափման միավորներով.
n-ը՝ անդամ պետությունների թիվը:
9. Արժեքային չափման միավորներով արտահայտված բացարձակ վիճակագրական ցուցանիշները բնութագրում են սոցիալ-տնտեսական երևույթների և գործընթացների (համախառն ներքին արդյունքի, արդյունաբերական արտադրության, գյուղատնտեսության արտադրանքի արտադրության, հիմնական կապիտալում կատարվող ներդրումների, իրականացված շինարարական աշխատանքների, մանրածախ առևտրի շրջանառության և այլնի ծավալները) դրամական գնահատականը և չափվում են անդամ պետությունների ազգային արժույթով: Միությունում նշված ցուցանիշներն արժեքային արտահայտությամբ արտացոլելու համար դրանք ենթակա են վերահաշվարկման միասնական հաշվարկային միավորի՝ յուրաքանչյուր անդամ պետության մասով: Որպես այդպիսի միասնական հաշվարկային միավոր՝ կարող է ընդունվել ԱՄՆ դոլարը (անդամ պետությունների ազգային արժույթները կամ այլ արժույթ)։ Անդամ պետությունների՝ արժեքային չափման միավորներով արտահայտված վիճակագրական ցուցանիշների վերահաշվարկն ԱՄՆ դոլարների (անդամ պետությունների ազգային արժույթների կամ այլ արժույթի), Հանձնաժողովի կողմից իրականացվում է անդամ պետությունների ազգային (կենտրոնական) բանկերի կողմից համապատասխան հաշվետու ժամանակահատվածի համար սահմանվող (հրապարակվող) արժույթների միջին (միջին կշռված) փոխարժեքներով:
10. Արժեքային չափման միավորներով արտահայտված (վերահաշվարկված ԱՄՆ դոլարների, անդամ պետությունների ազգային արժույթների կամ այլ արժույթի)՝ Միության մասով բացարձակ վիճակագրական ցուցանիշները հաշվարկվում են հետևյալ բանաձևով՝
որտեղ՝
ԲՎՑաՄիություն -ը համապատասխան հաշվետու ժամանակահատվածի համար Միության մասով բացարձակ վիճակագրական ցուցանիշն է՝ արտահայտված արժեքային չափման միավորով (վերահաշվարկված ԱՄՆ դոլարների, անդամ պետությունների ազգային արժույթների կամ այլ արժույթի).
-ը՝ համապատասխան հաշվետու ժամանակահատվածի համար «i» անդամ պետության բացարձակ վիճակագրական ցուցանիշը՝ արտահայտված արժեքային չափման միավորով «i» անդամ պետության ազգային արժույթով.
ԱՓi-ը՝ ԱՄՆ դոլարի, անդամ պետության ազգային արժույթի կամ այլ արժույթի նկատմամբ «i» անդամ պետության ազգային արժույթի փոխարժեքը (որոշվում է համապատասխան հաշվետու ժամանակահատվածի համար «i» անդամ պետության ազգային (կենտրոնական) բանկի կողմից սահմանվող (հրապարակվող) արժույթի միջին (միջին կշռված) փոխարժեքով).
n-ը՝ անդամ պետությունների թիվը:
11. Գործակցի տեսքով արտահայտված՝ Միության մասով հարաբերական վիճակագրական ցուցանիշները հաշվարկվում են հետևյալ բանաձևով՝
,
որտեղ՝
ՀՎՑՄիություն-ը համապատասխան հաշվետու ժամանակահատվածի համար Միության մասով հարաբերական վիճակագրական ցուցանիշն է՝ արտահայտված գործակցի տեսքով.
ԲՎՑ1i -ը՝ համապատասխան հաշվետու ժամանակահատվածի համար «i» անդամ պետության 1-ին բացարձակ վիճակագրական ցուցանիշն է՝ արտահայտված բնական կամ արժեքային չափման միավորով (վերահաշվարկված ԱՄՆ դոլարների կամ այլ արժույթի՝ համապատասխան հաշվետու ժամանակահատվածի համար «i» անդամ պետության ազգային (կենտրոնական) բանկի կողմից սահմանվող (հրապարակվող) արժույթի միջին (միջին կշռված) փոխարժեքով).
ԲՎՑ2i -ը՝ համապատասխան հաշվետու ժամանակահատվածի համար «i» անդամ պետության 2-րդ բացարձակ վիճակագրական ցուցանիշն է՝ արտահայտված բնական կամ արժեքային չափման միավորով (վերահաշվարկված ԱՄՆ դոլարների կամ այլ արժույթի՝ համապատասխան հաշվետու ժամանակահատվածի համար «i» անդամ պետության ազգային (կենտրոնական) բանկի կողմից սահմանվող (հրապարակվող) արժույթի միջին (միջին կշռված) փոխարժեքով).
n-ը՝ անդամ պետությունների թիվը:
12. Ցուցիչի տեսքով արտահայտված՝ Միության մասով հարաբերական վիճակագրական ցուցանիշները հաշվարկվում են մի քանի փուլով։
Առաջին փուլում ցուցանիշների կշիռները (գործակիցները) որոշելու համար հաշվարկվում է յուրաքանչյուր անդամ պետության բացարձակ վիճակագրական այն ցուցանիշների մասնաբաժինը, որոնք արտահայտված են արժեքային չափման միավորով՝ վերահաշվարկված ԱՄՆ դոլարների կամ այլ արժույթի՝ համապատասխան բազիսային ժամանակահատվածի համար բոլոր անդամ պետությունների մասով արժեքային ցուցանիշների ընդհանուր գումարում:
Ցուցանիշի կշռի (գործակցի) համապատասխան փոփոխությամբ՝ բազիսային ժամանակահատվածի վերանայումն իրականացվում է առնվազն 5 տարին 1 անգամ:
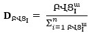
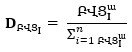
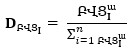
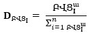
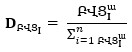
Ցուցանիշի կշռի (գործակցի) հաշվարկն իրականացվում է հետևյալ բանաձևով՝
որտեղ՝
DԲՎՑ1 -ը՝ «i» անդամ պետության ցուցանիշի կշիռն է (գործակիցը) համապատասխան բազիսային ժամանակահատվածի համար.
ԲՎՑա1 -ը՝ «i» անդամ պետության բացարձակ վիճակագրական ցուցանիշն է՝ արտահայտված արժեքային չափման միավորով (վերահաշվարկված ԱՄՆ դոլարների կամ այլ արժույթի՝ «i» անդամ պետության ազգային (կենտրոնական) բանկի կողմից համապատասխան բազիսային ժամանակահատվածի համար սահմանվող (հրապարակվող) արժույթի միջին (միջին կշռված) փոխարժեքով).
n-ը՝ անդամ պետությունների թիվը:
Երկրորդ փուլում իրականացվում է ցուցիչի տեսքով արտահայտված հարաբերական վիճակագրական ցուցանիշի հաշվարկը՝ «i» անդամ պետության ցուցանիշի կշռի (գործակցի) օգտագործմամբ։
Ցուցիչի տեսքով արտահայտված՝ Միության մասով հարաբերական վիճակագրական ցուցանիշները հաշվարկվում են հետևյալ բանաձևով՝
որտեղ՝
IՄիություն-ը՝ համապատասխան հաշվետու ժամանակահատվածի համար Միության մասով հարաբերական վիճակագրական ցուցանիշն է՝ արտահայտված ցուցիչի տեսքով.
Ii-ը՝ համապատասխան հաշվետու ժամանակահատվածի համար «i» անդամ պետության հարաբերական վիճակագրական ցուցանիշն է՝ արտահայտված ցուցիչի տեսքով.
DԲՎՑi-ը՝ համապատասխան բազիսային ժամանակահատվածի համար «i» անդամ պետության ցուցանիշի կշիռն է (գործակիցը).
n-ը՝ անդամ պետությունների թիվը:
13. Միության պաշտոնական վիճակագրական տեղեկատվության ձևավորումը կտրվածքներով և խմբավորումներում իրականացվում է միջազգային ստանդարտների (դասակարգման) պահանջներին կամ միջազգային ստանդարտների (դասակարգման) հետ ներդաշնակեցված (նույնական) ազգային ստանդարտների (դասակարգման) պահանջներին համապատասխան:
14. Միության մասով բացարձակ և հարաբերական վիճակագրական ցուցանիշների վերանայումը (ճշգրտումը) կատարվում է անդամ պետություններում համապատասխան բացարձակ և հարաբերական վիճակագրական ցուցանիշների ճշտման դեպքում:
15. Անհատական և յուրահատուկ առանձնահատկություններ ունեցող՝ Միության վիճակագրության ճյուղերի մասով ցուցանիշների ձևավորման կարգը բերվում է հավելվածի համաձայն սահմանված ցանկում ներառված մեթոդաբանություններում։ Նշված մեթոդաբանությունները տեղադրվում են Միության պաշտոնական կայքում:
|
ՀԱՎԵԼՎԱԾ Եվրասիական տնտեսական միության պաշտոնական վիճակագրական տեղեկատվության ձևավորման մեթոդաբանության |
ՑԱՆԿ
Եվրասիական տնտեսական միության՝ առանձին ցուցանիշների վերաբերյալ պաշտոնական վիճակագրական տեղեկատվության ձևավորման մեթոդաբանությունների
1. Եվրասիական տնտեսական միության ապրանքների արտաքին և փոխադարձ առևտրի միջին գների ու ֆիզիկական ծավալի ցուցիչների հաշվարկման մեթոդաբանությունը։
2. Հիմնական կապիտալում կատարվող ներդրումներին և հիմնական կապիտալում կատարվող ներդրումների ֆիզիկական ծավալի ցուցիչին առնչվող՝ Եվրասիական տնտեսական միության պաշտոնական վիճակագրական տեղեկատվության ձևավորման մեթոդաբանությունը։
3. Եվրասիական տնտեսական միության համախառն ներքին արդյունքի ծավալին ու համախառն ներքին արդյունքի ֆիզիկական ծավալի ցուցիչին առնչվող՝ Եվրասիական տնտեսական միության պաշտոնական վիճակագրական տեղեկատվության ձևավորման մեթոդաբանությունը։
4. Գյուղատնտեսության, անտառային և ձկնային տնտեսության արտադրանքի արտադրության ծավալին ու ֆիզիկական ծավալի ցուցիչին առնչվող՝ Եվրասիական տնտեսական միության պաշտոնական վիճակագրական տեղեկատվության ձևավորման մեթոդաբանությունը։
5. Արդյունաբերական արտադրության ծավալին և արդյունաբերական արտադրության ցուցիչին առնչվող՝ Եվրասիական տնտեսական միության պաշտոնական վիճակագրական տեղեկատվության ձևավորման մեթոդաբանությունը։
6. «Շինարարության ոլորտում գների ցուցիչը» ցուցանիշի վերաբերյալ Եվրասիական տնտեսական միության պաշտոնական վիճակագրական տեղեկատվության ձևավորման մեթոդաբանությունը։
7. «Արդյունաբերական արտադրանք արտադրողների գների ցուցիչը» ցուցանիշի վերաբերյալ Եվրասիական տնտեսական միության պաշտոնական վիճակագրական տեղեկատվության ձևավորման մեթոդաբանությունը։
8. «Գյուղատնտեսական արտադրանք արտադրողների գների ցուցիչը» ցուցանիշի վերաբերյալ Եվրասիական տնտեսական միության պաշտոնական վիճակագրական տեղեկատվության ձևավորման մեթոդաբանությունը։
9. Բնակչության բնական շարժի ցուցանիշների վերաբերյալ Եվրասիական տնտեսական միության պաշտոնական վիճակագրական տեղեկատվության ձևավորման մեթոդաբանությունը։
10. Մանրածախ առևտրի ցուցանիշների վերաբերյալ Եվրասիական տնտեսական միության պաշտոնական վիճակագրական տեղեկատվության ձևավորման մեթոդաբանությունը։
11. Տրանսպորտի գործունեությունը բնութագրող ցուցանիշների վերաբերյալ Եվրասիական տնտեսական միության պաշտոնական վիճակագրական տեղեկատվության ձևավորման մեթոդաբանությունը։
12. Եվրասիական տնտեսական միության ապրանքների արտաքին և փոխադարձ առևտրի վիճակագրության ձևավորման մեթոդաբանությունը։
13. «Գործազրկության մակարդակը» ցուցանիշի վերաբերյալ Եվրասիական տնտեսական միության պաշտոնական վիճակագրական տեղեկատվության ձևավորման մեթոդաբանությունը։
14 Սպառողական գների ցուցիչը» ցուցանիշի վերաբերյալ Եվրասիական տնտեսական միության պաշտոնական վիճակագրական տեղեկատվության ձևավորման մեթոդաբանությունը։
15. «Բեռնափոխադրումների սակագների ցուցիչը» ցուցանիշի վերաբերյալ Եվրասիական տնտեսական միության պաշտոնական վիճակագրական տեղեկատվության ձևավորման մեթոդաբանությունը։
Պաշտոնական հրապարակման օրը՝ 26 հունիսի 2024 թվական: