ԵՎՐԱՍԻԱԿԱՆ ՏՆՏԵՍԱԿԱՆ ՀԱՆՁՆԱԺՈՂՈՎ
ԽՈՐՀՈՒՐԴ
Ո Ր Ո Շ ՈՒ Մ
|
3 նոյեմբերի 2016 թվականի |
թիվ 85 |
քաղ. Աստանա |
ԵՎՐԱՍԻԱԿԱՆ ՏՆՏԵՍԱԿԱՆ ՄԻՈՒԹՅԱՆ ՇՐՋԱՆԱԿՆԵՐՈՒՄ ԴԵՂԱՊԱՏՐԱՍՏՈՒԿՆԵՐԻ ԿԵՆՍ ՀԱՄԱՐԺԵՔՈՒԹՅԱՆ ՀԵՏԱԶՈՏՈՒԹՅՈՒՆՆԵՐԻ ԱՆՑԿԱՑՄԱՆ ԿԱՆՈՆՆԵՐԸ ՀԱՍՏԱՏԵԼՈՒ ՄԱՍԻՆ
«Եվրասիական տնտեսական միության շրջանակներում դեղամիջոցների շրջանառության միասնական սկզբունքների և կանոնների մասին» 2014 թվականի դեկտեմբերի 23-ի համաձայնագրի 4-րդ հոդվածի 2-րդ կետին և 6-րդ հոդվածին, Եվրասիական տնտեսական բարձրագույն խորհրդի 2014 թվականի դեկտեմբերի 23-ի թիվ 98 որոշմամբ հաստատված՝ Եվրասիական տնտեսական հանձնաժողովի աշխատանքի կանոնակարգի թիվ 1 հավելվածի 86-րդ կետին և ««Եվրասիական տնտեսական միության շրջանակներում դեղամիջոցների շրջանառության միասնական սկզբունքների և կանոնների մասին» համաձայնագրի իրականացման վերաբերյալ» Եվրասիական տնտեսական բարձրագույն խորհրդի 2014 թվականի դեկտեմբերի 23-ի թիվ 108 որոշմանը համապատասխան՝ Եվրասիական տնտեսական հանձնաժողովի խորհուրդը որոշեց.
1. Հաստատել Եվրասիական տնտեսական միության շրջանակներում դեղապատրաստուկների կենս համարժեքության հետազոտությունների անցկացման կից ներկայացվող կանոնները։
2. Սույն Որոշումն ուժի մեջ է մտնում «Հայաստանի Հանրապետության՝ «Եվրասիական տնտեսական միության շրջանակներում դեղամիջոցների շրջանառության միասնական սկզբունքների և կանոնների մասին» 2014 թվականի դեկտեմբերի 23-ի համաձայնագրին միանալու վերաբերյալ» 2015 թվականի դեկտեմբերի 2-ին ստորագրված արձանագրությունն ուժի մեջ մտնելու օրվանից 10 օրացուցային օրը լրանալուց հետո, սակայն ոչ շուտ, քան սույն Որոշման պաշտոնական հրապարակման օրվանից 10 օրացուցային օրը լրանալը:
Եվրասիական տնտեսական հանձնաժողովի խորհրդի անդամներ՝
|
Հայաստանի Հանրապետությունից |
Բելառուսի Հանրապետությունից |
Ղազախստանի Հանրապետությունից |
Ղրղզստանի Հանրապետությունից |
Ռուսաստանի Դաշնությունից |
|
Վ. Գաբրիելյան |
Վ. Մատյուշևսկի |
Ա. Մամին |
Օ. Պանկրատով |
Ի. Շուվալով |
|
ՀԱՍՏԱՏՎԱԾ ԵՆ |
ԿԱՆՈՆՆԵՐ
Եվրասիական տնտեսական միության շրջանակներում դեղապատրաստուկների կենս համարժեքության հետազոտությունների անցկացման
I. Ընդհանուր դրույթներ
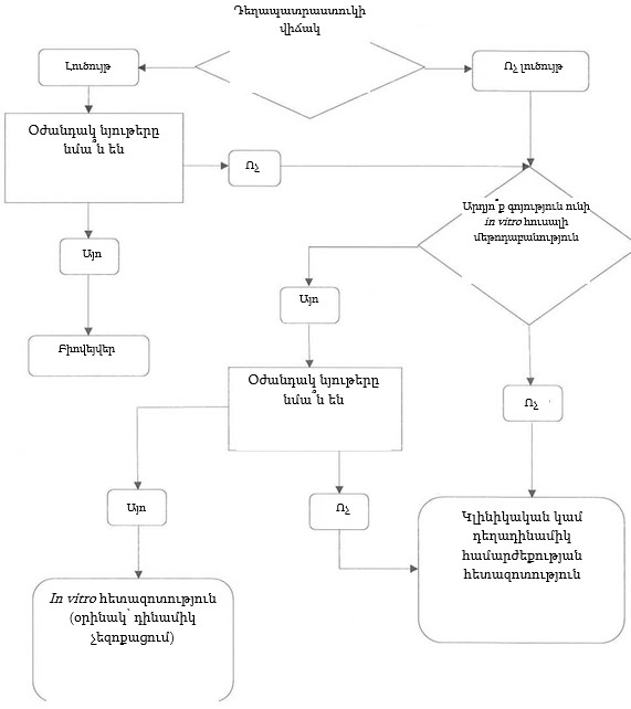
1. Սույն կանոններով սահմանվում են կենս համարժեքության հետազոտությունների բովանդակային պլանի (հետազոտությունների ընդհանուր պլանի, հետազոտությունների սուբյեկտների խմբերի ընտրությունից և ձևավորվում կապված՝ հետազոտության անցկացման եղանակների նկարագրության, տվյալների քողարկման) մշակմանը, կենս համարժեքության հետազոտությունների անցկացմանը և դրանց արդյունքների վերլուծությանը ներկայացվող պահանջները, ինչպես նաև in vivo հետազոտությունները in vitro հետազոտություններով փոխարինելու հիմքերը:
Կենս համարժեքության հետազոտությունների անցկացման նպատակն է ապացուցել վերարտադրված (հիբրիդային) դեղապատրաստուկի ըստ որակի համարժեքությունը ռեֆերենտ դեղապատրաստուկի, որպեսզի ռեֆերենտ դեղապատրաստուկի նկատմամբ անցկացված նախակլինիկական փորձարկումների և կլինիկական հետազոտությունների արդյունքները արտա ծվեն վերարտադրված (հիբրիդային) դեղապատրաստուկի վրա: Կենս համարժեքության հետազոտության անցկացումը պահանջվում է գրանցված դեղապատրաստուկի գրանցման դոսյեում փոփոխություններ կատարելիս (մասնավորապես՝ օժանդակ նյութերի բաղադրության, արտադրության տեխնոլոգիայի, արտադրության վայրի փոփոխման, արդյունաբերական սերիայի խոշորացման կամ ապա խոշորացման դեպքում և այլն), նախագրանցումային փուլում՝ դեղապատրաստուկի բաղադրությունը, արտադրության տեխնոլոգիան էականորեն փոփոխելիս (եթե հիմնական նախակլինիկական և կլինիկական հետազոտություններն անցկացվել են անփոփոխ դեղապատրաստուկի հետ, և անհրաժեշտ է արտածել անվտանգության ու արդյունավետության վերաբերյալ ստացված տվյալները փոփոխված դեղապատրաստուկի վրա), մոդիֆիկացվող ձերբազատմամբ դեղաձևի հետ արագ ձերբազատմամբ դեղաձևը փոփոխելիս, համակցված դեղապատրաստուկները մշակելիս և այլ դեպքերում:
2. Միևնույն քանակությամբ ազդող նյութ պարունակող երկու դեղապատրաստուկները համարվում են կենսահամարժեք, եթե դեղագործական առումով դրանք համարժեք կամ այլընտրանքային են, և դրանց կենսամատչելիությունը (արագության և աստիճանի տեսակետից) միևնույն մոլյար դեղաչափով օգտագործելուց հետո տեղավորվում է նախապես որոշված թույլատրելի սահմաններում: Նշված սահմանները որոշվում են այն դեղաձևի կենսադեղագործական հատկությունների համադրելիությունն ապահովելու համար, որով թողարկվում են in vivo դեղապատրաստուկները (այսինքն՝ դրանց համադրելիությունն ըստ արդյունավետության ու անվտանգության):
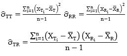
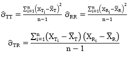
3. Աբսորբման արագությունը և աստիճանը որոշելու համար կենսահամարժեքության հետազոտություններում հիմնականում օգտագործվում է «կոնցենտրացիա-ժամանակ» կորը: Հետևյալ դեղակինետիկ պարամետրերը և դրանց թույլատրելի շեղումների նախապես որոշված սահմանները հնարավորություն են տալիս դատել համեմատվող դեղապատրաստուկների կենսահամարժեքության մասին՝ դրանց համեմատական կենսամատչելիությունը գնահատելու միջոցով՝
մակերեսը՝ «կոնցենտրացիա-ժամանակ» կորի տակ (AUC), որն արտացոլում է էքսպոզիցիայի մեծությունը.
արյան, պլազմայի կամ շիճուկի մեջ նյութի առավելագույն կոնցենտրացիան (Сmax) (այսուհետ նաև՝ պլազմա, կենսահեղուկ).
կենսահեղուկում առավելագույն կոնցենտրացիային հասնելու ժամանակը (tmax ):
Ընդ որում, Сmax -ը և tmax -ն այն պարամետրերն են, որոնց վրա ազդեցություն է գործում դեղաձևից ազդող նյութի աբսորբման արագությունը:
4. Սույն կանոնները տարածվում են ներքին ընդունման՝ ազդող նյութի արագ ձերբազատմամբ կարծր դեղաձևերի տեսքով դեղապատրաստուկների վրա, պարունակում են ընդհանուր պահանջներին համապատասխան, թիվ 1 հավելվածի համաձայն՝ արագ ձերբազատմամբ այդ դեղաձևերի տարատեսակների համեմատական կենսամատչելիության, ինչպես նաև այլ դեղաձևերի ուսումնասիրության միջոցով՝ կենսահամարժեքության հետազոտությունների ծրագրավորմանն ու անցկացմանը ներկայացվող պահանջներ:
Բովանդակային պլանի մշակումը և հետազոտությունների անցկացումը, այդպիսի դեղապատրաստուկների դեղաձևերի կենսահամարժեքության հաստատման համար համեմատական կենսամատչելիության մասին տվյալների վերլուծությունն անցկացվում են սույն կանոնների III բաժնի պահանջներին համապատասխան: Եթե կենսամատչելիության հետազոտությունների օգնությամբ անհնար է հաստատել կենսահամարժեքությունը, ապա պահանջներին համապատասխան, թիվ 2 և 3 հավելվածների համաձայն անցկացվում են դեղադինամիկ կամ կլինիկական հետազոտություններ:
Դիզայնի մշակումը և հետազոտությունների անցկացումը, տեղային ազդեցություն թողնելու կամ տեղային կիրառության համար նախատեսված դեղաձևերով դեղապատրաստուկների կենսահամարժեքությունը հաստատելու համար համեմատական կենսամատչելիության տվյալների վերլուծությունն իրականացվում են պահանջներին համապատասխան՝ թիվ 11-13 հավելվածների համաձայն։
(4-րդ կետը լրաց. ԵՏՀԽ 05.02.23 թիվ 22)
5. Սույն կանոններում սահմանվում են չափանիշներ, որոնց համապատասխան կենսամատչելիության in vivo հետազոտությունների անցկացում չի պահանջվում (լրացուցիչ դեղաչափումների համար՝ սույն կանոնների III բաժնի 7-րդ ենթաբաժնին համապատասխան, դեղաձևերի առանձին տեսակների համար՝ թիվ 1 հավելվածին համապատասխան, դասակարգման կենսադեղագործական համակարգի վրա հիմնված բիովեյվեր ընթացակարգի համար՝ թիվ 4 հավելվածին համապատասխան):
6. Մոդիֆիկացված ձերբազատմամբ դեղաձևերով, վերմաշկային դեղաձևերով և ինհալացիոն դեղաձևերով, ինչպես նաև տեղային կիրառման դեղաձևերով և լիպոսոմալ դեղաձևերով թողարկվող դեղապատրաստուկների կենսահամարժեքությունը հաստատելիս հետազոտությունները հարկավոր է անցկացնել թիվ 9 և 10 հավելվածների պահանջներին, ինչպես նաև Եվրասիական տնտեսական միության (այսուհետ՝ Միություն) իրավունքի մեջ մտնող՝ դեղամիջոցների շրջանառության ոլորտի ակտերին համապատասխան:
(6-րդ կետը խմբ. ԵՏՀԽ 04.09.20 թիվ 67)
7. Սույն կանոնների կիրառման ոլորտը սահմանափակված է քիմիական միացությունների համեմատության միջոցով: Կենսաբանական դեղապատրաստուկները ռեֆերենտ դեղապատրաստուկների հետ համեմատելու կարգը սահմանված է Եվրասիական տնտեսական հանձնաժողովի (այսուհետ՝ Հանձնաժողով) կողմից հաստատվող՝ Եվրասիական տնտեսական միության շրջանակներում կենսաբանական դեղամիջոցների հետազոտությունների անցկացման կանոններում: Կենսահամարժեքության հաստատումը կարող է անցկացվել բուսական դեղապատրաստուկների նկատմամբ, սակայն սույն կանոններում շարադրված հիմնական պահանջները կիրառելի չեն այն բուսական դեղապատրաստուկների նկատմամբ, որոնց ազդող նյութերը լիովին բնութագրված չեն:
8. Սույն կանոնները կիրառվում են Միության շրջանակներում դեղապատրաստուկների գրանցման վերաբերյալ հայտերը ներկայացնելու ժամանակ:
9. Կենսահամարժեքության հետազոտման մեջ օգտագործվող հետազոտվող դեղապատրաստուկները պետք է արտադրվեն Հանձնաժողովի կողմից հաստատվող՝ Եվրասիական տնտեսական միության պատշաճ արտադրական գործունեության կանոնների պահանջներին համապատասխան՝ գրանցման դոսյեում համապատասխան փաստաթղթային հաստատման ներկայացմամբ:
Միության սահմաններից դուրս անցկացված կենսահամարժեքության հետազոտությունները պետք է համապատասխանեն սույն կանոններին և դեղամիջոցների շրջանառության ոլորտում Միության իրավունքի մաս կազմող մյուս ակտերին:
10. Հայտատուներն իրավունք ունեն դիմելու Հանձնաժողովին կից Դեղամիջոցների հարցերով փորձագիտական կոմիտե (այսուհետ՝ Հանձնաժողովին կից Փորձագիտական կոմիտե)՝ սույն կանոններով չկարգավորվող հարցերով խորհրդատվություն ստանալու համար:
II. Սահմանումները
11. Սույն կանոնների նպատակներով օգտագործվող հասկացություններն ունեն հետևյալ իմաստը՝
«բիովեյվեր» (biowaiver)՝ առանց in vivo հետազոտության անցկացման դեղապատրաստուկի կենսահամարժեքության գնահատման ընթացակարգ.
«կենսաբանական մատչելիություն», «կենսամատչելիություն» (bioavailability)՝ արագություն և աստիճան, որոնցով ազդող նյութը կամ ազդող նյութի մոլեկուլի ակտիվ մասը աբսորբվում է դեղապատրաստուկից և իր ազդեցության տեղում դառնում է մատչելի: Կենսամատչելիությունը սահմանվում է որպես բացարձակ կամ հարաբերական ցուցանիշ:
Որոշակի դեղաձևով ազդող նյութի (ազդող նյութի մոլեկուլի ակտիվ մասի) բացարձակ կենսամատչելիությունը որոշվում է այդ ազդող նյութը (ազդող նյութի ակտիվ մասը) ներանոթային եղանակով ներմուծելիս դրա կենսամատչելիության հետ համեմատելու միջոցով, իսկ այդ ազդող նյութի (ազդող նյութի ակտիվ մասի) կենսամատչելիությունը համարվում է 100 տոկոսանոց (օրինակ՝ ներքին ընդունման լուծույթը ներերակային ներմուծման լուծույթի համեմատությամբ):
Որոշակի դեղաձևով ազդող նյութի (ազդող նյութի մոլեկուլի ակտիվ մասի) հարաբերական կենսամատչելիությունը որոշվում է նույն կամ այլ (սակայն ոչ ներերակային) եղանակով ներմուծված այլ դեղաձևի կենսամատչելիության հետ համեմատելու միջոցով (օրինակ՝ դեղահաբերը ներքին ընդունման լուծույթի հետ համեմատելով):
Դեղապատրաստուկների մեծամասնության կենսահամարժեքության և կենսամատչելիության հետազոտությունների անցկացման հիմք է հանդիսանում հարաբերական կենսամատչելիության որոշումը:
Արյան հոսքում ներծծում չենթադրող դեղապատրաստուկների կենսամատչելիությունը թույլատրվում է գնահատել ազդող նյութի կամ ազդող նյութի մոլեկուլի ակտիվ մասի՝ իր ազդեցության տեղում մատչելիության արագությունն ու աստիճանն արտացոլող պարամետրերով.
«կենսահամարժեքություն», «կենսահամարժեքություն» (bioequivalence)՝ այն արագության և աստիճանի էական տարբերությունների բացակայությունը, որոնցով դեղագործական համարժեքների կամ դեղագործական այլընտրանքների ազդող նյութը կամ ազդող նյութի մոլեկուլի ակտիվ մասը պատշաճ բովանդակային պլանով հետազոտություններում միանման պայմաններում միևնույն մոլյար դեղաչափով ներմուծելիս իր ազդեցության տեղում դառնում է մատչելի: Արագության մեջ միտումնավոր տարբերությունների առկայության դեպքում (օրինակ՝ մոդիֆիկացվող ձերբազատմամբ որոշ դեղաձևեր) որոշակի դեղագործական համարժեքներ և դեղագործական այլընտրանքներ կարող են ճանաչվել կենսահամարժեք, եթե բացակայում են յուրաքանչյուր դեղապատրաստուկի ազդող նյութը կամ ազդող նյութի մոլեկուլի ակտիվ մասն իր ազդեցության տեղում մատչելի դարձնող աստիճանի մեջ էական տարբերությունները: Կանոնը կիրառելի է միայն այն արագության մեջ տարբերության առկայության դեպքում, որով ազդող նյութը կամ ազդող նյութի մոլեկուլի ակտիվ մասը մատչելի է դառնում իր ազդեցության տեղում, և որը ծրագրված և արտացոլված է դեղապատրաստուկի ընդհանուր բնութագրում, աննշան է՝ երկարատև կիրառելիս ազդող նյութի կամ ազդող նյութի մոլեկուլի ակտիվ մասի՝ օրգանիզմում արդյունավետ կոնցենտրացիային հասնելու համար, և բժշկական տեսակետից աննշան է ճանաչվել դեղապատրաստուկի համար:
Կենսահամարժեքության ուսումնասիրությունը կարող է իրականացվել ինչպես in vivo (դեղակինետիկ, դեղադինամիկ, կլինիկական հետազոտություններ), այնպես էլ in vitro պայմաններում (օրինակ՝ լուծելիության համեմատական կինետիկայի թեստի հետազոտություն).
«կենսադեղագործական դասակարգման համակարգ» (biopharmaceutics classification system, BCS,ԿԴՀ)՝ գիտական մոտեցում է, որը թույլ է տալիս բաժանել դեղապատրաստուկների ազդող նյութերը ըստ դրանց՝ ջրում լուծելիության և աղիքային թափանցելիության աստիճանի: Դեղապատրաստուկի համար լուծելիության կինետիկայի թեստի հետ մեկտեղ ԿԴՀ-ն հաշվի է առնում այն 3 հիմնական գործոնները, որոնք ազդում են ներքին ընդունման արագ ձերբազատմամբ դեղաձևերից ազդող նյութերի աբսորբման արագության և աստիճանի վրա՝ լուծում, լուծելիություն և աղիքային թափանցելիություն.
«վերարտադրված դեղապատրաստուկ», «ջեներիկ»՝ դեղապատրաստուկ, որն ունի ազդող նյութերի (ակտիվ դեղագործական բաղադրամասերի) նույնպիսի որակական և քանակական բաղադրություն, ինչպիսին ունի ռեֆերենտ դեղապատրաստուկը, նույն դեղաձևը, և որի կենսահամարժեքությունը ռեֆերենտ դեղապատրաստուկին հաստատված է համապատասխան կենսամատչելիության հետազոտություններով:
Տարբեր աղեր, եթերներ, իզոմերներ, իզոմերների խառնուրդներ, կոմպլեքսներ կամ ազդող նյութի ածանցյալներ ճանաչվում են որպես միևնույն ազդող նյութ, եթե դրանց անվտանգությունը և (կամ) արդյունավետությունը էականորեն չեն տարբերվում: Ներքին ընդունման արագ ձերբազատման դեղաձևերը կենսամատչելիության հետազոտության շրջանակներում ճանաչվում են որպես միևնույն դեղաձև (կենսադեղագործական տեսակետից).
«հիբրիդային դեղապատրաստուկ»` սույն կանոններում բերված՝ վերարտադրված դեղապատրաստուկի սահմանման տակ չընկնող դեղապատրաստուկ կենսամատչելիության հետազոտությունների միջոցով դրա կենսահամարժեքությունը հաստատելու անհնարինության դեպքում, ինչպես նաև այն դեպքում, երբ այդպիսի դեղապատրաստուկի ազդող նյութը (ազդող նյութերը), կիրառման ցուցումները, դեղաչափումը, դեղաձևը կամ ներմուծման եղանակը տարբերվում են ռեֆերենտ դեղապատրաստուկի ազդող նյութից (ազդող նյութերից), կիրառման ցուցումներից, դեղաչափումից, դեղաձևից կամ ներմուծման եղանակից, ինչը պահանջում է ներկայացնել նախակլինիկական և (կամ) կլինիկական հետազոտությունների արդյունքները.
«դեղապատրաստուկի դեղաչափ» (dose)՝ մեկ կիրառման համար դեղապատրաստուկի ազդող նյութի քանակությունը (միանգամյա կամ բազմանգամյա կիրառման).
«դեղապատրաստուկի դեղաչափում» (strength)՝ դեղաձևին համապատասխան` դոզավորման, ծավալի կամ զանգվածի միավորում ազդող նյութի՝ քանակապես արտահայտված բաղադրությունը.
«որակի հսկողության համար «լուծելիության» փորձարկում» (quality control dissolution test)՝ Միության դեղագրքով նախատեսված փորձարկում, որն անցկացվում է արագ ձերբազատմամբ դեղապատրաստուկների փորձանմուշներ վերցնելու համար՝ մեկ հսկողության ժամանակահատվածով, և մոդիֆիկացվող ձերբազատմամբ դեղապատրաստուկների համար՝ 3 ու ավելի հսկողության ժամանակահատվածներով՝ լուծելիության մասով փորձարկման տեսքով՝ դեղապատրաստուկների սերիաների որակի ռուտինային հսկողության նպատակով.
«համակցված դեղապատրաստուկ» (fixed-dose combination finished pharmaceutical product, FDC-FPP, ՀԴ)՝ պատրաստի դեղապատրաստուկ, որը պարունակում է 2 և ավելի ազդող նյութեր (ակտիվ դեղագործական բաղադրամասեր).
«դեղաձև» (dosage form)՝ դեղապատրաստուկի վիճակ, որը համապատասխանում է դրա ներմուծման ու կիրառման եղանակներին և ապահովում անհրաժեշտ էֆեկտին հասնելը.
«լցանյութեր»՝ օժանդակ նյութերի տեսակ, որոնք օգտագործվում են կարծր դեղաձևերին նշանակված չափը հաղորդելու համար.
«օրիգինալ դեղապատրաստուկ» (innovator pharmaceutical product)՝ նոր ազդող նյութով դեղապատրաստուկ, որն առաջինն է գրանցվել ու հանվել միջազգային դեղագործական շուկա Բժշկական կիրառման դեղամիջոցների գրանցման և փորձաքննության կանոնների թիվ 1 հավելվածի I մասով սահմանված պահանջներին համարժեք բովանդակությամբ՝ դեղապատրաստուկի որակը, անվտանգությունն ու արդյունավետությունը հաստատող՝ նախակլինիկական (ոչ կլինիկական) և կլինիկական ամբողջական հետազոտությունների արդյունքները պարունակող գրանցման դոսյեի հիման վրա.
«ռեֆերենտ դեղապատրաստուկ», «համեմատման դեղապատրաստուկ», «կոմպարատոր», «հսկողություն» (comparator product)՝ դեղապատրաստուկ, որը որպես չափանմուշ օգտագործվում է համեմատական կենսամատչելիության հետազոտություններում՝ հետազոտվող պարամետրերի նորմավորման համար.
«in vitro լուծելիության համեմատական կինետիկայի թեստ» (in vitro equivalence dissolution test, ԼՀԿԹ)՝ փորձարկում, որը ներառում է, որպես կանոն, 3 միջավայրերում՝ pH 1.2, 4.5 և 6.8 բուֆերային լուծույթներում, հետազոտվող դեղապատրաստուկի և ռեֆերենտ դեղապատրաստուկի լուծման պրոֆիլների համեմատությունները.
«համառոտ դոսյե»՝ դեղապատրաստուկի գրանցման դոսյե, որի դեղագործական մշակման ծավալը չի նախատեսում թունաբանական և կլինիկական ամբողջական հետազոտությունների անցկացում և դրանց արդյունքների՝ գրանցման դոսյեի 4-րդ և 5-րդ մոդուլներում ներառում
«դեղագործական համարժեքություն», «դեղագործական համարժեքներ» (pharmaceutical equivalence)՝ նույնական դեղաձևերով դեղապատրաստուկներ, որոնք պարունակում են նույնական ազդող նյութի նույն քանակություն (ակտիվ դեղագործական բաղադրամաս), այսինքն՝ ազդող նյութի մոլեկուլի միևնույն ակտիվ մասի նույն աղը կամ եթերը կա՛մ մոդիֆիկացվող ձերբազատմամբ դեղաձևերով, ինչը պահանջում է ստեղծել ռեզերվուար կամ ավելցուկ, կա՛մ այնպիսի ձևերով, ինչպիսիք են նախապես լցված ներարկիչները (որոնցում կարող է տատանվել մնացորդային ծավալը), որոնք նույն քանակությամբ ազդող նյութը հասցնում են դոզավորման նույն ժամանակահատվածում: Պարտադիր չէ, որ համարժեքները պարունակեն նույն ոչ ակտիվ բաղադրիչները: Դրանք բավարարում են նույնական դեղագրքային կամ այլ կիրառելի՝ իսկության, դեղաչափման, որակի և մաքրության, այդ թվում՝ ակտիվության և կիրառելի դեպքերում՝ բաղադրության միատարրության, տարրալուծման ժամանակի և (կամ) լուծման արագության ստանդարտներին.
«այլընտրանքային դեղագործական դեղապատրաստուկներ» (pharmaceutical alternatives) ՝ դեղապատրաստուկներ, որոնք պարունակում են ազդող նյութի մոլեկուլի նույն ակտիվ մասը կամ դրան նախորդողը (պրեկուրսորը), պարտադիր չէ նույն քանակությամբ կամ դեղաձևով, կամ միևնույն աղի կամ միևնույն եթերի ձևով: Յուրաքանչյուր այդպիսի դեղապատրաստուկ անհատական կարգով բավարարում է նույնական կամ իր սեփական՝ համապատասխան դեղագրքային կամ այլ կիրառելի՝ իսկության, դեղաչափման, որակի և մաքրության ստանդարտներին (ներառյալ ակտիվությունը և կիրառելի դեպքերում՝ պարունակության միատարրությունը, տարրալուծման ժամանակը և (կամ) լուծման արագությունը).
«դեղաչափերի ֆիքսված համակցություն» (fixed-dose combination, FDC, ԴՖՀ)՝ դեղաչափումների սահմանված հարաբերակցությամբ 2 և ավելի ազդող նյութերի համակցություն: ԴՖՀ-ն օգտագործվում է ազդող նյութերի կոնկրետ համակցությունը նշագրելու համար՝ անկախ դեղապատրաստուկի կազմից կամ առևտրային անվանումից: Ազդող նյութերի համակցությունը կարող է օգտագործվել որպես միաժամանակ կիրառվող միաբաղադրիչ դեղապատրաստուկների ամբողջություն, ինչպես նաև պատրաստի բազմաբաղադրիչ դեղապատրաստուկի տեսքով:
Սույն կանոնների նպատակներով էական են համարվում դեղապատրաստուկի այն բոլոր հետազոտությունները, որոնք ազդեցություն են ունենում դրա անվտանգության, որակի, արդյունավետության և հնարավոր կլինիկական կիրառման ոլորտների վերաբերյալ՝ դեղապատրաստուկի ընդհանուր բնութագրում հայտագրված տեղեկատվության վրա:
(11-րդ կետը փոփ., լրաց. ԵՏՀԽ 05.02.23 թիվ 22)
III. Կենսահամարժեքության հետազոտությունների բովանդակային պլանին, անցկացմանը և գնահատմանը ներկայացվող պահանջները
12. Կենսահամարժեքության հետազոտությունների ծավալը և բովանդակային պլանն անհրաժեշտ է հիմնավորել ազդող նյութի ֆիզիկաքիմիական ու դեղակինետիկ հատկանիշներով և դեղապատրաստուկի բաղադրության համամասնությամբ: Մասնավորապես պետք է հաշվի առնել դեղակինետիկայի գծայնությունը, կախված սննդի ընդունումից, էնանտիոմերների վերլուծությունից՝ հետազոտություն անցկացնելու անհրաժեշտությունը, ինչպես նաև լրացուցիչ դեղաչափումների հետազոտություններն անցկացնելու նպատակահարմարությունը (սույն բաժնի 4-7–րդ ենթաբաժինների պահանջներին համապատասխան):
13. Գրանցման դոսյեի 2.7.1 մոդուլում անհրաժեշտ է ընդհանուր տեխնիկական փաստաթղթի ձևաչափով ներկայացնել դեղապատրաստուկի հետ անցկացրած բոլոր էական հետազոտությունների ցանկը (անկախ դրանց արդյունքներից), այդ թվում՝ կենսահամարժեքության հետազոտությունները՝ գրանցման համար հայտագրվող դեղապատրաստուկը (այսինքն՝ նույն բաղադրությունն ունեցող և նույն գործընթացով արտադրվող) ռեֆերենտ դեղապատրաստուկի հետ համեմատելու նպատակով (սույն բաժնի 2-րդ ենթաբաժնի պահանջներին համապատասխան):
Գրանցման դոսյեի 5-րդ մոդուլի կազմում բոլոր անցկացված հետազոտությունների վերաբերյալ անհրաժեշտ է ներկայացնել ամբողջական հաշվետվություններ՝ բացառությամբ այն փորձնական հետազոտությունների, որոնց համար, եթե դրանք անցկացվել են, բավարար է ներկայացնել Հանձնաժողովի կողմից հաստատվող՝ Միության պատշաճ կլինիկական գործունեության կանոնների թիվ 2 հավելվածին համապատասխան ձևակերպված հակիրճ համառոտագրերը: Տվյալ դեպքում փորձնական հետազոտությունների վերաբերյալ ամբողջական հաշվետվությունն անհրաժեշտ է ներկայացնել ըստ Միության անդամ պետությունների (այսուհետ՝ անդամ պետություններ) լիազորված մարմինների պահանջի: 2.7 մոդուլի մեջ անհրաժեշտ է նաև ներառել կենսահամարժեքության և համեմատական կենսամատչելիության այն հետազոտությունների վերաբերյալ հաշվետվությունների համառոտագրերը, որոնք անցկացվել են դեղապատրաստուկի մշակման ընթացաշրջանում:
1. Հետազոտության բովանդակային պլանը
14. Հետազոտության բովանդակային պլանն անհրաժեշտ է կազմել այնպես, որ դրա դեղակինետիկ պարամետրերի վրա դեղապատրաստուկի ազդեցությունը հնարավոր լինի տարբերել այլ գործոնների ազդեցությունից:
15. Ստանդարտ բովանդակային պլանի դեպքում ենթադրվում է հետևյալը:
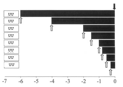
Երկու դեղապատրաստուկներ համեմատելիս առաջարկվում է անցկացնել երկու հաջորդականությամբ, ռանդոմիզացված (պատահական բաշխման սկզբունքով), երկփուլ, խաչաձև հետազոտություն՝ միանգամյա դեղաչափի ընդունմամբ: Ժամանակահատվածները պետք է տարանջատվեն մաքրման ժամանակահատվածով, որը բավարար է հետազոտության երկրորդ փուլի սկզբում բոլոր սուբյեկտների մոտ ազդող նյութի կոնցենտրացիան կենսավերլուծական որոշման շեմից նվազեցնելու համար: Սովորաբար դրա համար բավարար է կիսադուրսբերման 5 ժամանակահատված:
16. Այլընտրանքային բովանդակային պլանի դեպքում ենթադրվում է հետևյալը:
Որոշ դեպքերում՝ հետազոտության բովանդակային պլանը և վիճակագրական վերլուծությունը գիտականորեն հիմնավորված լինելու պայմանով, կարելի է դիտարկել համընդհանուր ճանաչում ունեցող այլընտրանքային բովանդակային պլանները. զուգահեռ՝ երկարատև tզ-ով նյութերի համար, կրկնակի (ռեպլիկատիվ, replicate design)՝ բարձր փոփոխականությամբ դեղակինետիկ պարամետրերով նյութերի համար (սույն բաժնի 11-րդ ենթաբաժնի պահանջներին համապատասխան):
17. Եթե անհանդուրժողականության պատճառով միանգամյա դեղաչափի ընդունումը առողջ կամավորների կողմից թույլատրելի չէ, իսկ միանգամյա դեղաչափի հետազոտությունը պացիենտների մոտ անհնարին է, ապա թույլատրվում է անցկացնել բազմիցս դեղապատրաստուկ ընդունած պացիենտների հետազոտություն:
Հազվադեպ դեպքերում, երբ միանգամյա դեղաչափն ընդունելուց հետո վերլուծական մեթոդի զգայունության անբավարարությունը խոչընդոտում է կենսաբանական հեղուկում կոնցենտրացիայի ճշգրիտ որոշումը, իսկ հավասարակշիռ կոնցենտրացիան բավականին բարձր է ստույգ արժեքներ ստանալու համար, որպես միանգամյա դեղաչափի ընդունմամբ հետազոտության այլընտրանք թույլատրվում է անցկացնել դեղապատրաստուկի բազմակի ընդունմամբ հետազոտություն: Սակայն, հաշվի առնելով, որ բազմակի ընդունմամբ հետազոտությունները պակաս զգայուն են Сmax-ի տարբերությունների որոշման համար, դրանց անցկացումը թույլատրվում է միայն այն դեպքում, երբ հայտատուն միանշանակ կկարողանա ապացուցել, որ վերլուծական մեթոդի զգայունությունը չի կարող բարելավվել, և որ դեղապատրաստուկի միանգամյա դեղաչափն ընդունելուց հետո հնարավոր չէ ճշգրիտ չափել ելակետային միացության կոնցենտրացիան՝ հաշվի առնելով, որ կենսահամարժեքության հետազոտություններում թույլատրվում է, համապատասխան հիմնավորումների ներկայացմամբ, օգտագործել թերապևտիկ դեղաչափերը գերազանցող դեղաչափեր (սույն բաժնի 7-րդ ենթաբաժնի պահանջներին համապատասխան): Վերլուծական մեթոդի անբավարար զգայունության պատճառով միանգամյա ընդունմամբ հետազոտության փոխարեն բազմակի ընդունմամբ հետազոտության անցկացումը թույլատրելի է միայն բացառիկ դեպքերում:
Հավասարակշիռ կոնցենտրացիայի հետազոտություններում նախորդ դեղապատրաստուկի ընդունումից հետո մաքրման ժամանակահատվածը կարող է ծածկել կոնցենտրացիայի աճը երկրորդ ժամանակահատվածում (պայմանով, որ այդպիսի աճի տևողությունը բավականին երկար է և կազմում է 5-ից ոչ պակաս վերջնական tզ):
2. Ռեֆերենտ դեղապատրաստուկը և հետազոտվող Դեղապատրաստուկը
Ռեֆերենտ դեղապատրաստուկը
18. Ռեֆերենտ դեղապատրաստուկ ընտրելիս հիմնվում են հետևյալ հերթականության վրա՝
ա) օրիգինալ դեղապատրաստուկ, որի որակը, անվտանգությունը և արդյունավետությունը սահմանվել են Միությունում գրանցվելիս («Միությունում գրանցված օրիգինալ դեղապատրաստուկ»).
բ) սույն կետի «ա» ենթակետը կատարելու անհնարինության դեպքում՝ օրիգինալ դեղապատրաստուկ, որը գրանցված է այն պետությունում, որտեղ դեղագործական շուկայի կարգավորմանը ներկայացվող պահանջների մակարդակը ցածր չէ Միությունում սահմանված մակարդակից.
գ) սույն կետի «ա» և «բ» ենթակետերը կատարելու անհնարինության դեպքում՝ վերարտադրված դեղապատրաստուկ, որը գրանցված է բոլոր անդամ պետություններում, և որի առնչությամբ հաստատվել է դրա կենսահամարժեքությունը օրիգինալ դեղապատրաստուկին (Հանձնաժողովին կից Փորձագիտական կոմիտեի կողմից հավանություն տրվելու դեպքում).
դ) սույն կետի «ա»-«գ» ենթակետերը կատարելու անհնարինության դեպքում՝ դեղապատրաստուկ, որի՝ անդամ պետություններից մեկի տարածքում կիրառման ոլորտում առկա է 25 տարուց ոչ պակաս փորձ (Եվրասիական տնտեսական հանձնաժողովին կից Դեղամիջոցների հարցերով փորձագիտական կոմիտեի կողմից հավանություն տրվելու դեպքում):
19. Վերարտադրված (հիբրիդային) դեղապատրաստուկի հետազոտության դեպքում կամ ազդող նյութերի, դեղաչափման, դեղաձևի և ներմուծման եղանակի մասով դեղապատրաստուկի գրանցման դոսյեի մեջ փոփոխություններ և լրացումներ կատարելիս հետազոտվող դեղապատրաստուկը համեմատվում է ռեֆերենտ դեղապատրաստուկի համապատասխան դեղաձևի և դեղաչափման հետ (եթե կիրառելի չեն սույն կետի երկրորդ պարբերության դրույթները):
Եթե օրիգինալ դեղապատրաստուկը շուկայում ներկայացված է մի քանի դեղաձևերով, որպես ռեֆերենտ դեղապատրաստուկ առաջարկվում է օգտագործել այն դեղաձևը, որի տեսքով դա առաջին անգամ գրանցվել է, և որն օգտագործվել է կլինիկական հետազոտություններում՝ դրա արդյունավետությունը և անվտանգությունը հաստատելու համար:
20. Հայտատուն պարտավոր է հիմնավորել կենսահամարժեքության հետազոտության համար ռեֆերենտ դեղապատրաստուկի ընտրությունը՝ հաշվի առնելով ազդող նյութի պարունակության քանակական որոշման արդյունքները և դրա լուծելիության մասին տվյալները: Որպես հետազոտվող դեղապատրաստուկ օգտագործման ենթակա սերիայում քանակական պարունակությունը (որը որոշվել է մասնագրում (որակի հսկողության նորմատիվ փաստաթուղթ) ներառված՝ հետազոտվող դեղապատրաստուկի որակի ստանդարտ փորձարկումների համար առաջարկված վերլուծական մեթոդիկայի օգնությամբ) չպետք է տարբերվի ռեֆերենտ դեղապատրաստուկի սերիայից ավելի քան 5 տոկոսով (պատշաճ հիմնավորումների բացակայության դեպքում): Հայտատուն ԼՀԿԹ-ի և ազդող նյութի քանակական որոշման միջոցով պետք է հիմնավորի ռեֆերենտ դեղապատրաստուկի այն սերիայի ընտրությունը, որը պլանավորվում է ուսումնասիրել կենսահամարժեքության հետազոտության մեջ: Կենսահամարժեքության հետազոտման համար ռեֆերենտ դեղապատրաստուկի սերիան ընտրելիս առաջարկվում է ուսումնասիրել ռեֆերենտ դեղապատրաստուկի մի քանի սերիաներ:
Հետազոտվող դեղապատրաստուկը
21. Կենսահամարժեքության հետազոտությունում օգտագործման ենթակա հետազոտվող դեղապատրաստուկը չպետք է տարբերվի այն դեղապատրաստուկից (բաղադրությամբ, արտադրության տեխնոլոգիայով, արտադրության սարքավորումներով), որը մուտք կգործի Միության դեղագործական շուկա, ինչը պետք է դիտարկվի և հիմնավորվի հայտատուի կողմից:
22. Համակարգային ազդեցության ներքին ընդունման կարծր դեղաձևերի համար գործում են հետևյալ կանոնները (արտադրության գործընթացի վալիդացմանը ներկայացվող ամբողջական պահանջները պարունակվում են դեղապատրաստուկների շրջանառության ոլորտին վերաբերող՝ Միության իրավունքում ներառված՝ Միության պատշաճ արտադրական գործունեության կանոններում և այլ ակտերում)՝
ա) պատշաճ հիմնավորումների բացակայության դեպքում դեղապատրաստուկը պետք է ընտրվի արդյունաբերական սերիայի առնվազն 1/10-ը կազմող սերիայից կամ 100 000 միավոր դեղաձևերից` կախված նրանից, թե ծավալներից որն է ավելի մեծ.
բ) դեղապատրաստուկի օգտագործված սերիայի արտադրությունը պետք է ապահովի վստահության բարձր մակարդակ նրանում, որ դեղապատրաստուկը և դրա արտադրության գործընթացը կվերարտադրվեն արդյունաբերական մասշտաբով:
Կենսահամարժեքության հաստատման համար նախատեսված սերիայի ծավալը կարող է լինել 100 000 միավորից պակաս՝ պայմանով, որ դա սերիական արտադրության առաջարկվող ծավալն է, և արտադրական սերիաների հետագա մասշտաբացում չի նախատեսվում.
գ) դեղապատրաստուկի հատկությունների նկարագրությունը և որակի այնպիսի կրիտիկական ցուցանիշների մասնագրերի կազմումը, ինչպիսին լուծելիությունն է, պետք է իրականացնել՝ օգտագործելով հետազոտված սերիան, այսինքն՝ կլինիկական հետազոտություններում ուսումնասիրված այն սերիան, որի կենսահամարժեքությունը հաստատված է.
դ) գրանցմանը ներկայացված՝ լրացուցիչ փորձաարդյունաբերական և (կամ) արդյունաբերական սերիաների դեղապատրաստուկների նմուշները անհրաժեշտ է համեմատել կենսահամարժեքության հետազոտությունում օգտագործված սերիայի նմուշների հետ, դրանք ԼՀԿԹ համապատասխան պայմաններում պետք է ունենան in vitro լուծելիության համադրելի պրոֆիլներ (թիվ 5 հավելվածին համապատասխան):
23. Առաջին երեք արդյունաբերական սերիաներից յուրաքանչյուրի նկատմամբ դրանք Միության շուկա բաց թողնելուց առաջ անհրաժեշտ է անցկացնել ԼՀԿԹ կենսահամարժեքության հետազոտությունում օգտագործված սերիայի հետ: Դրա պիտանիության ժամկետը լրանալու դեպքում որպես համեմատման սերիա կարող է օգտագործվել նախորդ արդյունաբերական սերիան, որի լուծելիության պրոֆիլը համադրելի է եղել կենսահամարժեքության հետազոտությունում օգտագործված սերիայի լուծելիության պրոֆիլի հետ։ Հայտատուն անդամ պետության լիազորված մարմնի հարցմամբ պետք է ներկայացնի առաջին երեք արդյունաբերական սերիաների ԼՀԿԹ-ի արդյունքները: Լուծելիության պրոֆիլները չհամընկնելու դեպքում հայտատուն իր անձնական նախաձեռնությամբ, առանց լիազորված մարմնի հարցման, պետք է ներկայացնի ԼՀԿԹ-ի արդյունքները և նշի առաջացած իրավիճակը հաղթահարելու համար ձեռնարկած կոնկրետ միջոցները:
Համակարգային ազդեցության արագ ձերբազատմամբ այլ դեղաձևերի համար անհրաժեշտ է ներկայացնել հետազոտված սերիայի նկատմամբ արդյունաբերական սերիաների որակի համարժեքության միանման հաստատում:
Համեմատվող դեղապատրաստուկների փաթեթվածքը
24. Հետազոտվող դեղապատրաստուկը և ռեֆերենտ դեղապատրաստուկն անհրաժեշտ է անհատապես փաթեթավորել յուրաքանչյուր սուբյեկտի և հետազոտման ժամանակահատվածի համար՝ անմիջապես հետազոտական կենտրոնում կամ մինչև դրանք ուղարկելը հետազոտական կենտրոն: Փաթեթվածքը (ներառյալ մականշվածքը) պետք է իրականացնել Հանձնաժողովի կողմից հաստատվող՝ Միության պատշաճ արտադրական գործունեության կանոններին համապատասխան:
25. Անհրաժեշտ է նախատեսել յուրաքանչյուր սուբյեկտի կողմից յուրաքանչյուր ժամանակահատվածում կիրառվող դեղապատրաստուկների իսկությունը ճշգրտորեն որոշելու հնարավորությունը: Այդ կապակցությամբ անհրաժեշտ է մանրամասնորեն փաստաթղթավորել փաթեթվածքը, մականշվածքը և սուբյեկտներին դեղապատրաստուկի ներմուծումը: Այդպիսի փաստաթղթավորումը պետք է պարունակի դոզավորման սխալները հայտնաբերելու և չթույլատրելու համար ընդունված բոլոր միջոցների նկարագրությունը: Առաջարկվում է օգտագործել պոկվող կտրոնով պիտակներ:
3. Հետազոտության սուբյեկտները
Սուբյեկտների քանակը
26. Կենսահամարժեքության հետազոտությունում ներառված սուբյեկտների քանակը պետք է հիմնվի ընտրանքի չափի պատշաճ հաշվարկի վրա: Վերլուծությունում ներառված կենսահամարժեքության հետազոտության սուբյեկտների քանակը պետք է լինի 12-ից ոչ պակաս:
Սուբյեկտների ընտրությունը
27. Կենսահամարժեքության հետազոտությունն անցկացնելու համար սուբյեկտների խումբը պետք է ընտրվի այնպես, որ հնարավոր լինի դեղապատրաստուկների միջև հայտնաբերել դրանց արտադրության և (կամ) որակի տարբերություններով պայմանավորված կլինիկապես նշանակալի տարբերությունները: Դեղային պատրաստուկների միջև տարբերություններով չպայմանավորված՝ արդյունքների փոփոխականությունն իջեցնելու նպատակով հետազոտություններն անհրաժեշտ է անցկացնել առողջ կամավորների հետ՝ բացառությամբ այն դեպքերի, երբ դեղապատրաստուկները լուրջ վտանգ են ներկայացնում նրանց առողջության համար և այդպիսի հետազոտությունները դարձնում են անբարեբարո: Մեծ մասամբ՝ համեմատվող դեղապատրաստուկների միջև տարբերությունները որոշելու համար առողջ կամավորների հետ in vivo հետազոտության անցկացումը համարվում է ընդունելի և թույլ է տալիս արտածել հետազոտության արդյունքներն այն անձանց վրա, որոնց թույլատրված է կիրառել ռեֆերենտ դեղապատրաստուկը (տարեց անձինք, երեխաներ, երիկամային կամ լյարդային անբավարարությամբ պացիենտներ և այլն):
28. Հետազոտության արձանագրության մեջ անհրաժեշտ է հստակ գրառել ներառելու և չներառելու չափանիշները: Սուբյեկտների տարիքը չպետք է լինի 18-ից պակաս, հնարավորության դեպքում՝ 18,5-30 կգ/մ2 մարմնի զանգվածի ցուցանիշով:
29. Սուբյեկտների համապատասխանությունն ընտրության պայմաններին անհրաժեշտ է հաստատել լաբորատոր հետազոտությունների, անամնեզի և բժշկական զննման միջոցով: Կախված դեղապատրաստուկի դեղաթերապևտիկ խմբից և անվտանգության պրոֆիլից՝ հետազոտությունից առաջ, հետազոտության ընթացքում և դրա ավարտից հետո անհրաժեշտ է անցկացնել հատուկ հետազոտություններ և ընդունել համապատասխան նախազգուշական միջոցներ: Սուբյեկտների սեռը նշանակություն չունի, սակայն անհրաժեշտ է հաշվի առնել մանկածնության տարիքի կանանց համար ռիսկը: Հնարավորության դեպքում սուբյեկտները պետք է լինեն չծխող, հարբեցողությունը և թմրամոլությունը (այդ թվում՝ անամնեզում) նրանց հետազոտության մեջ չներառելու չափանիշներ են: Որոշ դեպքերում, անվտանգության նկատառումներից ելնելով կամ դեղակինետիկ առանձնահատկությունների պատճառով, անհրաժեշտ է նախատեսել սուբյեկտների ֆենոտիպացում և (կամ) գենոտիպացում:
30. Հետազոտության զուգահեռ բովանդակային պլանի դեպքում համեմատվող խմբերը պետք է համադրելի լինեն բոլոր էական փոփոխականներով, որոնք կարող են ազդեցություն ունենալ ազդող նյութի դեղակինետիկայի վրա (ներառյալ տարիքը, մարմնի զանգվածը, սեռը, էթնիկ պատկանելիությունը, ծխելը, «արագ» կամ «դանդաղ» նյութափոխանակությամբ մարդկանց խմբին պատկանելիությունը): Դա կարևոր նախապայման է այդպիսի հետազոտությունների արդյունքների հավաստիության համար:
31. Եթե հետազոտվող ազդող նյութը առողջ կամավորների համար առաջացնում է անընդունելի վտանգներ ներկայացնող անցանկալի ռեակցիաներ և (կամ) դեղաբանական էֆեկտներ, ապա անհրաժեշտ նախազգուշական միջոցներ ձեռնարկելու և համապատասխան դիտարկում նշանակելու պայմանով հետազոտության մեջ թույլատրվում է ներառել պացիենտների:
4. Հետազոտության անցկացումը
Հետազոտությունների անցկացման պայմանների ստանդարտության ապահովումը
32. Բոլոր ներառված գործոնների, բացառությամբ համեմատվող դեղապատրաստուկների հատկություններով պայմանավորված գործոնների, փոփոխականությունը նվազագույնի հասցնելու նպատակներով հետազոտություն անցկացնելու պայմաններն անհրաժեշտ է ստանդարտացնել, ինչի կապակցությամբ ստանդարտացման են ենթակա սննդակարգը, հեղուկի ընդունումը և ֆիզիկական ծանրաբեռնվածությունը:
33. Դեղապատրաստուկի ընդունման ժամանակը պետք է սահմանել նախապես: Հիմնավորումների բացակայության դեպքում սուբյեկտները չպետք է սնունդ ընդունեն դեղապատրաստուկի ընդունումից առնվազն 8 ժամ առաջ: Քանի որ հեղուկի ընդունումը կարող է ազդեցություն ունենալ ներքին ընդունման դեղապատրաստուկների՝ ստամոքսով անցնելու վրա, հետազոտվող դեղապատրաստուկը և ռեֆերենտ դեղապատրաստուկն անհրաժեշտ է ընդունել ջրի ստանդարտ ծավալով (150-250 մլ): Հեղուկի ընդունումը դրանից 1 ժամ առաջ և 2 ժամ հետո արգելված է, մնացած դեպքերում սահմանվում է հեղուկի ընդունման ազատ ռեժիմ: Դեղապատրաստուկն ընդունելուց հետո սննդի ընդունումը սահմանափակվում է 4 ժամով: Դեղապատրաստուկն ընդունելուց հետո սննդակարգը և սնունդ ընդունելու ժամանակը անհրաժեշտ է ստանդարտացնել բավարար ժամանակահատվածի ընթացքում (օրինակ՝ 12 ժամով):
Եթե հետազոտությունը պետք է անցկացվի սնունդ ընդունելուց հետո, ապա դեղապատրաստուկի և սննդի ընդունումն իրականացնում են օգտագործվող ռեֆերենտ դեղապատրաստուկի ընդհանուր բնութագրին համապատասխան: Եթե ռեֆերենտ դեղապատրաստուկի՝ դեղապատրաստուկի ընդհանուր բնութագրում այդ տեղեկությունները բացակայում են, ապա առաջարկվում է, որ հետազոտության սուբյեկտները սննդի ընդունումն սկսեն դեղապատրաստուկն ընդունելու 30 րոպե առաջ և դա ավարտեն 30 րոպեի ընթացքում:
(33-րդ կետը խմբ. ԵՏՀԽ 05.02.23 թիվ 22)
34. Քանի որ դեղաձևի ազդող նյութի մոլեկուլի ակտիվ մասի կենսամատչելիությունը կարող է կախված լինել ստամոքսաաղիքային տրակտով անցնելու տևողությունից և արյան տեղային հոսքից, պահանջվում է սուբյեկտի մարմնի դիրքի և ֆիզիկական ակտիվության ստանդարտացում:
35. Նախքան հետազոտությունն սկսելը և հետազոտության որոշակի ժամանակահատվածի ընթացքում սուբյեկտները պետք է զերծ մնան այն ուտելիքի և ըմպելիքների ընդունումից, որոնք կարող են ազդեցություն ունենալ սրտանոթային, մարսողական համակարգի, լյարդի և (կամ) երիկամների ֆունկցիայի վրա (օրինակ՝ ոգելից խմիչքներ կամ որոշ հյութեր, օրինակ՝ թուրինջ): Նախքան հետազոտությունն սկսելը և հետազոտության համապատասխան ժամանակահատվածի ընթացքում սուբյեկտները չպետք է ընդունեն որևէ ուղեկցող դեղապատրաստուկ (ներառյալ բուսական ծագում ունեցող դեղապատրաստուկները): Ընդ որում, հակաբեղմնավորիչների կիրառումը թույլատրվում է: Եթե ուղեկցող դեղապատրաստուկների ընդունումն անխուսափելի է, և դրանք նշանակված են սուբյեկտին անցանկալի երևույթները կանխարգելելու համար (օրինակ՝ գլխացավի), ապա ուղեկցող փաստաթղթերում անհրաժեշտ է արտացոլել կիրառման (դեղաչափը և կիրառման ժամանակը) և հետազոտության ելքի վրա հնարավոր ազդեցության վերաբերյալ տեղեկությունները: Բացառիկ դեպքերում, ելնելով անվտանգության կամ տանելիության նկատառումներից, բոլոր սուբյեկտներին նշանակում են ուղեկցող դեղապատրաստուկներ (օրինակ՝ օփիոդային ընկալիչների հակազդիչներ (անտագոնիստներ), հակափսխումային միջոցներ): Այդ դեպքում անհրաժեշտ է հաշվի առնել հետազոտության արդյունքների վրա անդրադառնալու հավանականություն ունեցող դեղային փոխազդեցության կամ կենսավերլուծական մեթոդիկայի վրա ազդեցության հնարավորությունը:
36. Այն դեղապատրաստուկները, որոնք ռեֆերենտ դեղապատրաստուկի ընդհանուր բնութագրին համապատասխան պետք է կիրառվեն միայն ուրիշ դեղապատրաստուկի հետ համակցությամբ (օրինակ՝ ՄԻԱՎ-ի պրոտեազի որոշ ինհիբիտորներ կիրառվում են միայն ռիտոնավիրի հետ համակցությամբ), թույլատրվում է ընդունել ինչպես առանձին, այնպես էլ առաջարկվող դեղապատրաստուկի հետ համակցությամբ:
37. Էնդոգեն (ներածին) միացությունների կենսահամարժեքությունն ստուգելիս անհրաժեշտ է վերահսկել դրանց ֆոնային բաղադրության վրա ազդող գործոնները (օրինակ՝ ընդունվող սննդի խիստ վերահսկողությունը):
Նմուշառման ժամանակը
38. «Կոնցենտրացիա-ժամանակ» պրոֆիլի ստույգ նկարագրության համար անհրաժեշտ է նմուշառել բավարար քանակ: Առավելագույն էքսպոզիցիայի (միջամտության ազդեցության) ստույգ գնահատականն ստանալու նպատակով անհրաժեշտ է նախատեսել հաճախակի նմուշառում՝ ենթադրվող tmax-ի մոտակայքում: Մասնավորապես, նմուշների ընտրման սխեման պետք է կազմվի այնպես, որ Сmax -ը չլինի «կոնցենտրացիա-ժամանակ» կորի վրա առաջին կետը: Էքսպոզիցիայի երկարատևության հուսալի գնահատականն ապահովելու համար ընտրված նմուշների քանակը նույնպես պետք է բավարար լինի: Դա ձեռք է բերվում, երբ AUC(0-t)–ն ծածկում է AUC(0-∞)-ի ոչ պակաս, քան 80 տոկոսը: Վերջնական վերացման արագության հաստատունի հուսալի գնահատականն ստանալու նպատակով (անհրաժեշտ է AUC(0-∞)-ն ճիշտ գնահատելու համար) վերջնական փուլի ընթացքում պետք է ոչ պակաս, քան 3-4 նմուշառում կատարել: Եթե արագ ձերբազատմամբ ներքին ընդունման դեղապատրաստուկի աբսորբման փուլը չի գերազանցում 72 ժամը, ապա էքսպոզիցիայի երկարատևությունը համեմատելու համար, որպես AUC(0-t)-ի այլընտրանք, կարող է օգտագործվել մինչև 72 ժամ կրճատված AUC-ն (AUC(0-72 ժ)): Այդ պատճառով, անկախ ակտիվ նյութի tզ-ից, արագ ձերբազատմամբ ցանկացած դեղապատրաստուկի համար 72 ժամից ավելի ժամանակահատվածում նմուշների ընտրություն չի պահանջվում:
39. Դեղապատրաստուկի բազմակի ընդունմամբ հետազոտություններում AUC(0-Ժ)-ի ստույգ որոշման համար «նախադոզային» նմուշն անհրաժեշտ է վերցնել անմիջապես դեղապատրաստուկն ընդունելուց առաջ (5 րոպեի ընթացքում), իսկ վերջին նմուշը՝ դոզավորման սահմանված միջակայքի վերջում՝ 10 րոպեի ընթացքում:
40. Եթե որպես կենսաբանական նյութ, որի մեջ որոշվում է ազդող նյութի պարունակությունը, ընտրված է մեզը, ապա դա անհրաժեշտ է հավաքել 3-ից ոչ պակաս tզ-ի ընթացքում: Սակայն, պլազմայի նմուշառման վերաբերյալ խորհուրդներին համապատասխան, մեզի հավաքումը 72 ժամից ավելի ժամանակամիջոցի ընթացքում նույնպես չի պահանջվում: Արտաթորման արագությունը որոշելու համար աբսորբման փուլում նմուշառման միջև միջակայքերը պետք է լինեն հնարավորինս կարճ (հաշվի առնելով սույն բաժնի 5-րդ և 6-րդ ենթաբաժինների պահանջները):
41. Էնդոգեն միացությունների համար նմուշառման սխեման պետք է թույլ տա յուրաքանչյուր ժամանակահատվածում յուրաքանչյուր սուբյեկտի համար նկարագրել դրանց ֆոնային պարունակությունը: Որպես կանոն, այդպիսի որոշումը հնարավոր է դեղապատրաստուկն ընդունելուց առաջ՝ 2-3 նմուշառումների միջոցով: Երբեմն էնդոգեն միացության ֆոնային կազմի ցիրկադային տատանումները հաշվի առնելու համար պահանջվում է մինչև դեղապատրաստուկն ընդունելը՝ 1-2 օրվա ընթացքում, պարբերաբար որոշել դրա կոնցենտրացիան (հաշվի առնելով սույն բաժնի 5-րդ և 6-րդ ենթաբաժինների պահանջները):
42. Սովորական հանգամանքների դեպքում ազդող նյութի կոնցենտրացիայի համար ընտրվող կենսաբանական հեղուկ պետք է լինի արյունը: Մեծ մասամբ չափվում է շիճուկում կամ պլազմայում ազդող նյութի կամ դրա նյութափոխանակիչների պարունակությունը: Եթե բացակայում է պլազմայում ազդող նյութի պարունակությունը չափելու հնարավորությունը, իսկ ազդող նյութն արտաթորվում է անփոփոխ մեզի հետ, և արյան ու մեզի մեջ ազդող նյութի կոնցենտրացիաների միջև առկա է համամասնական փոխադարձ կապ, ապա մեզը կարող է օգտագործվել որպես կենսաբանական նյութ: Յուրաքանչյուր նմուշի ծավալը հնարավորինս պետք է ուսումնասիրել ընտրելուց անմիջապես հետո և արդյունքներն ընդգրկել հաշվետվության մեջ: Նմուշների քանակը պետք է լինի բավարար՝ դեղակինետիկ պարամետրերի հաշվարկ անցկացնելու համար: Այնուամենայնիվ, մեծ մասամբ պետք է խուսափել միայն մեզի հետ ազդող նյութի արտազատման մասին տվյալներն օգտագործելուց, քանի որ դա թույլ չի տալիս հաշվարկել tmax-ը և համակարգային արյան հոսքում նյութի առավելագույն կոնցենտրացիան:
43. Կենսաբանական հեղուկի նմուշներն անհրաժեշտ է մշակել և պահել այնպիսի պայմաններում, որոնցում վերլուծվող նյութերի քայքայում նախկինում չի հայտնաբերվել (մեծ մասամբ, ընդունելի է -20՛С ոչ ավելի ջերմաստիճանում պահելը): Տվյալ պայմանները պետք է ներառել վալիդացման վերաբերյալ հաշվետվություն մեջ (թիվ 6 հավելվածի և սույն բաժնի 9-րդ ենթաբաժնի պահանջներին համապատասխան): Փորձանմուշների հավաքման մեթոդոլոգիայի վերաբերյալ վերապահություն է արվում հետազոտության արձանագրության մեջ:
Դեղապատրաստուկի ընդունումը անոթի վիճակում կամ ուտելուց հետո
44. Կենսահամարժեքության հետազոտությունը, որպես կանոն, անցկացվում է անոթի վիճակում, քանի որ համարվում է, որ դա համապատասխանում է համեմատվող դեղապատրաստուկների միջև տարբերություններն ի հայտ բերելու ամենաբարձր զգայունությանը: Եթե ռեֆերենտ դեղապատրաստուկի ընդհանուր բնութագրում խորհուրդ է տրվում դա կիրառել անոթի վիճակում կամ սննդի ընդունումից անկախ, ապա կենսահամարժեքության հետազոտությունն անցկացնում են անոթի վիճակում: Եթե ռեֆերենտ դեղապատրաստուկի ընդհանուր բնութագրին համապատասխան դա պետք է կիրառել բացառապես ուտելուց հետո, ապա կենսահամարժեքության հետազոտությունն անցկացնում են սննդի ընդունումից հետո:
Սակայն որոշ դեղաձևերի համար (օրինակ՝ միկրո-էմուլսիաներ, կարծր դիսպերսիաներ) կենսահամարժեքության հետազոտությունն անցկացնում են ինչպես անոթի վիճակում, այնպես էլ սննդի ընդունումից հետո: Նշված կանոնը չի կիրառվում, եթե դեղապատրաստուկն անհրաժեշտ է ընդունել կա՛մ միայն անոթի վիճակում, կա՛մ միայն ուտելուց հետո:
45. Եթե պահանջվում է անցկացնել հետազոտության երկու տեսակները, ապա թույլատրվում է անցկացնել սուբյեկտների 2 խմբերում 2 առանձին խաչաձև հետազոտություններ կամ սուբյեկտների 4 խմբերում՝ 1 խաչաձև հետազոտություն:
46. Այնպիսի պայմաններում, երբ դեղապատրաստուկի ընդունումն իրականացվում է սննդի ընդունումից հետո, դրա բաղադրությունը պետք է համապատասխանի ռեֆերենտ դեղապատրաստուկի ընդհանուր բնութագրի առաջարկներին: Եթե դրանում այդ կապակցությամբ բացակայում է որևէ առաջարկ, ապա սնունդը պետք է լինի բարձր կալորիականությամբ (800-1000 կկալ), յուղերի բարձր պարունակությամբ (ընդհանուր կալորիականության մոտ 50 տոկոսը): Սպիտակուցների բաժնին ընկնում է 150 կկալ, ածխաջրերի բաժնին՝ 250 կկալ և յուղերին՝ 500-600 կկալ: Անհրաժեշտ է նկարագրել սննդի բաղադրությունը՝ սպիտակուցների, յուղերի ու ածխաջրերի գրամներով պարունակության և կալորիաների բացարձակ ու հարաբերական պարունակության վերաբերյալ:
5. Հետազոտվող պարամետրերը
Դեղակինետիկ հատկությունները
47. Դեղակինետիկ հատկությունները գնահատելիս անհրաժեշտ է օգտագործել նմուշառման փաստացի ժամանակը: Կենսահամարժեքության հետազոտություններում դեղապատրաստուկը մեկ անգամ ընդունելուց հետո որոշում են AUC(0-t), AUC(0-∞) մնացորդային մակերեսը, Сmax-ը և tmах-ը: Եթե նմուշների ընտրությունը շարունակվում է 72 ժամվա ընթացքում, և 72-րդ ժամին կոնցենտրացիան դեռևս որոշվում է, ապա անհրաժեշտություն չկա նկարագրելու AUC(0-∞) -ը և մնացորդային մակերեսը․ բավարար է փաստաթղթավորել 72-րդ ժամին կրճատված AUC-ի (AUC(0-72 ժ)) վերաբերյալ տեղեկությունները: Լրացուցիչ կարող է նկարագրվել վերջնական վերացման արագության հաստատունը՝ (kel)-ը, և tզ-ն:
Կենսահամարժեքության հետազոտություններում արագ ձերբազատմամբ դեղապատրաստուկների համար հավասարակշիռ վիճակում անհրաժեշտ է որոշել AUC(о-Ժ)--ը, Сmax,ss -ը և tmax,ss -ը:
48. Մեզը որպես կենսաբանական նյութ օգտագործելիս անհրաժեշտ է որոշել Ae(0-t)-ն և, հնարավորության դեպքում, Rmax-ը:
49. Կենսահամարժեքության հետազոտություններում դեղակինետիկ հատկությունները որոշելու համար օգտագործում են արտամոդելային մեթոդներ: Խցիկային մոդելների օգտագործումն անթույլատրելի է:
6. Ելակետային միացությունը կամ դրա մետաբոլիտները
Ընդհանուր սկզբունքները
50. Մեծ մասամբ կենսահամարժեքության գնահատումն անհրաժեշտ է անցկացնել ելակետային միացության կոնցենտրացիան որոշելու միջոցով, քանի որ աբսորբման արագությամբ դեղապատրաստուկների միջև տարբերություններ հայտնաբերելու համար սովորաբար ելակետային միացության Cmax-ն ավելի զգայուն ցուցանիշ է, քան դրա մետաբոլիտի Cmax -ը:
Ինակտիվ նախադեղանյութերը
51. Ինակտիվ նախադեղանյութերի համար կենսահամարժեքության հետազոտությունը պետք է անցկացնել ելակետային միացության նկատմամբ: Չի պահանջվում որոշել ակտիվ մետաբոլիտի կոնցենտրացիան: Սակայն որոշ նախադեղանյութերի կենսաբանական հեղուկներում կոնցենտրացիան բավականին ցածր է, և դրանք արագ վերանում են արյան հոսքից, ինչը դժվարացնում է կենսահամարժեքության հաստատումը ելակետային միացությամբ: Այդ դեպքում հիմնական ակտիվ մետաբոլիտի համար կենսահամարժեքությունը թույլատրվում է հաստատել առանց ելակետային միացության կոնցենտրացիայի չափման: Սույն կանոններում ինակտիվ նախադեղանյութ հանդիսացող՝ ելակետային միացության տակ հասկացվում են շատ ցածր կլինիկական արդյունավետությամբ կամ ամբողջովին դրա բացակայությամբ միացությունները:
Մետաբոլիտի մասին տվյալների օգտագործումը ակտիվ ելակետային միացությունների մասին տվյալների փոխարեն
52. Մետաբոլիտի մասին տվյալները խորհուրդ չի տրվում օգտագործել ակտիվ ելակետային միացության մասին տվյալների փոխարեն: Այդպիսի փոխարինումը թույլատրվում է միայն այն դեպքում, երբ հայտատուն կկարողանա ապացուցել, որ ելակետային միացության նկատմամբ վերլուծական մեթոդի զգայունությունը չի կարող բարելավվել, և դեղապատրաստուկի միանգամյա օգտագործումից հետո հնարավոր չէ ճշգրիտ չափել ելակետային միացության կոնցենտրացիան՝ հաշվի առնելով այն, որ կենսահամարժեքության հետազոտություններում թույլատրելի է օգտագործել միանգամյա առավելագույն դեղաչափերը գերազանցող դեղաչափեր (հաշվի առնելով սույն բաժնի 7-րդ ենթաբաժնի պահանջները): Ելակետային միացության մասին տվյալների փոխարինումը դրա մետաբոլիտի մասին տվյալներով թույլատրվում է միայն բացառիկ դեպքերում: Հայտատուն այդպիսի փոխարինումն իրականացնելու դեպքում պարտավոր է ներկայացնել բոլոր առկա տվյալները, որոնք հաստատում են, որ մետաբոլիտի էքսպոզիցիան (AUС տեսքով արտահայտված) արտացոլում է ելակետային միացության էքսպոզիցիան, և թերապևտիկ դեղաչափերում մետաբոլիտի առաջացումը հագեցվող գործընթաց չէ:
Էնանտիոմերները
53. Որպես կանոն, թույլատրվում է օգտագործել ոչ ստերեոսպեցիֆիկ կենսավերլուծական մեթոդներ: Սակայն ստորև թվարկված պայմանները կատարելու դեպքում անհրաժեշտ է չափել յուրաքանչյուր էնանտիոմերի կոնցենտրացիան.
էնանտիոմերներն ունեն տարբեր դեղակինետիկ հատկություններ,
էնանտիոմերների դեղադինամիկ հատկություններն էապես տարբերվում են,
էնանտիոմերների էքսպոզիցիայի հարաբերությունը (АUС տեսքով արտահայտված) փոխվում է աբսորբումը փոխվելու դեպքում:
54. Եթե բոլոր նշված պայմանները կատարվում են, կամ դրանց վերաբերյալ տեղեկությունները բացակայում են, ապա անհրաժեշտ է չափել յուրաքանչյուր էնանտիոմերի կոնցենտրացիան: Եթե էնանտիոմերներից միայն մեկն ունի դեղակինետիկ ակտիվություն (երկրորդ էնանտիոմերի դեղաբանական ակտիվությունը ցածր է կամ ամբողջովին բացակայում է), ապա բավարար է հաստատել ակտիվությունը միայն ակտիվ էնանտիոմերի համար:
Մեզի օգտագործումը որպես կենսաբանական նյութ
55. Եթե ելակետային միացության պլազմայում հնարավոր չէ հավաստիորեն որոշել «կոնցենտրացիա-ժամանակ» պրոֆիլը, ապա էքսպոզիցիայի մեծությունը որոշելու համար՝ որպես պլազմայում կոնցենտրացիայի փոխարինող, թույլատրվում է օգտագործել արտաթորման և մեզի մասին տվյալները: Սակայն առավելագույն էքսպոզիցիան որոշելիս անհրաժեշտ է հստակ հիմնավորել մեզի մասին տվյալների օգտագործումը: Եթե հաջողվում է ստանալ պլազմայում Сmax-ի վերաբերյալ հավաստի տվյալներ, ապա կենսահամարժեքության գնահատման համար այդ տվյալներն անհրաժեշտ է ներկայացնել մեզի օգտագործման ժամանակ ստացված էքսպոզիցիայի մեծության հետ մեկտեղ: Մեզը որպես կենսաբանական նյութ օգտագործելիս հայտատուն պարտավոր է ներկայացնել առկա բոլոր այն տեղեկությունները, որոնք հաստատում են, որ արտաթորումը մեզի հետ արտացոլում է էքսպոզիցիան պլազմայում:
Էնդոգեն նյութերը
56. Եթե հետազոտվող նյութը էնդոգեն է, ապա դեղակինետիկ պարամետրերի չափումն անհրաժեշտ է իրականացնել՝ շտկելով դրա ֆոնային պարունակությունը, որպեսզի հետազոտվող դեղակինետիկ պարամետրերը վերաբերեն դեղապատրաստուկն ընդունելու հետևանքով ստացված լրացուցիչ կոնցենտրացիաներին: Ընդունելի տանելիության դեպքում, և եթե ֆոնային կոնցենտրացիան գերազանցող և դեղապատրաստուկն ընդունելուց հետո ստացվող կոնցենտրացիան կարելի է հավաստիորեն չափել, էնդոգեն նյութերի կենսահամարժեքության հետազոտություններում թույլատրելի է կիրառել միանգամյա առավելագույն դեղաչափերը գերազանցող դեղաչափեր: Եթե էնդոգեն նյութի տարբեր դեղաչափեր ընդունելուց հետո էքսպոզիցիայի տարբերությունը նախկինում ցույց չի տրվել, ապա դա անհրաժեշտ է որոշել կա՛մ փորձնական հետազոտության ժամանակ, կա՛մ կենսահամարժեքության հիմնական հետազոտության ժամանակահատվածներից մեկի շրջանակներում՝ օգտագործելով ռեֆերենտ դեղապատրաստուկի տարբեր դեղաչափեր՝ պայմանով, որ այդ դեղաչափերի օգտագործումը թույլ կտա որոշել դեղապատրաստուկների միջև հնարավոր տարբերությունները:
Հետազոտության արձանագրության մեջ անհրաժեշտ է նախապես սահմանել և նկարագրել էնդոգեն նյութի ֆոնային բաղադրությունը շտկելու համար օգտագործվող մեթոդը: Շտկման համար նախընտրելի է օգտագործել ստանդարտ հանումը. հանվում է կա՛մ դեղն ընդունելուց առաջ որոշված՝ էնդոգեն նյութի միջին կոնցենտրացիան, կա՛մ АUС-ի միջինը: Երբեմն, երբ դեղապատրաստուկն ընդունելուց հետո էնդոգեն նյութի կոնցենտրացիան էականորեն գերազանցում է ֆոնայինը, էնդոգեն նյութի ֆոնային բաղադրության շտկում չի պահանջվում:
57. Էնդոգեն նյութերի կենսահամարժեքության հետազոտություններում հնարավոր չէ ուղղակիորեն գնահատել փոխանցման էֆեկտի ազդեցությունը, ուստի անհրաժեշտ է պահպանել խիստ զգուշություն՝ դուրսբերման ժամանակահատվածի տևողությունն ընտրելու ժամանակ։
7. Հետազոտվող դեղաչափումները
58. Եթե գրանցման ենթակա են մի քանի դեղաչափումներ, ապա, դեղապատրաստուկի տարբեր դեղաչափումների և այլ հատկությունների բաղադրության համամասնությունից կախված, կենսահամարժեքության հետազոտությունը բավարար է անցկացնել մեկ կամ երկու դեղաչափումների նկատմամբ: Դեղաչափման (դեղաչափումների) ընտրությունը կախված է ազդող նյութի դեղակինետիկ գծայնությունից:
59. Եթե դեղակինետիկան ոչ գծային է (АUС-ի մեծացումը անհամաչափ է ընդունվող դեղաչափին), ապա համեմատվող դեղապատրաստուկների միջև հնարավոր տարբերությունները որոշելու համար տարբեր դեղաչափումների պիտանիությունը կարող է տարբերվել: Դեղակինետիկայի գծայնությունը ճանաչվում է այն դեպքում, երբ հետազոտվող դեղաչափման (կենսահամարժեքության հետազոտության մեջ օգտագործված դեղաչափման) համար՝ ճշգրտված դեղաչափով АUС-ի միջինների միջև և կենսահամարժեքության հետազոտության անցկացում չպահանջող դեղաչափման (դեղաչափումների) տարբերությունը չի գերազանցում 25 տոկոսը: Գծայնությունը գնահատելու համար հայտատուն պետք է ուսումնասիրի և քննադատաբար գնահատի դեղաչափի համամասնության մասով առկա ամբողջ գիտական գրականությունը: Գծայնությունը հաստատվում է, եթե ճշգրտված դեղաչափով AUC-ի միջինների միջև տարբերությունները գտնվում են + 25 տոկոսի սահմաններում:
Եթե համեմատվող դեղապատրաստուկների միջև տարբերությունների սահմանման նկատմամբ առավելագույն զգայունություն ունեցող դոզավորումների համար կենսահամարժեքությունը հաստատված է, ապա այլ դեղաչափումների հետ in vivo կենսահամարժեքության հետազոտություններ անցկացնելու անհրաժեշտություն չկա:
Դեղապատրաստուկի տարբեր դեղաչափումների համար բիովեյվերի ընդհանուր չափանիշները
60. Լրացուցիչ դեղաչափումների նկատմամբ կենսահամարժեքության հետազոտություն (բիովեյվեր) անցկացնելու անհրաժեշտության բացակայության մասին հայտի դեպքում պետք է պահպանվեն հետևյալ պայմանները՝
ա) տարբեր դեղաչափումներով դեղապատրաստուկների արտադրական գործընթացը նույնն է.
բ) տարբեր դեղաչափումներով դեղապատրաստուկների որակական բաղադրությունը համընկնում է (սույն պահանջը չի վերաբերում ներկանյութերին և բուրավետիչ նյութերին).
գ) տարբեր դեղաչափումներով դեղապատրաստուկների բաղադրությունը պետք է լինի քանակապես համամասնական. ազդող նյութի (ազդող նյութերի) բաղադրության և օժանդակ նյութերից յուրաքանչյուրի բաղադրության միջև հարաբերությունը համընկնում է բոլոր դոզավորումների համար (սույն պահանջը չի վերաբերում արագ ձերբազատմամբ դեղապատրաստուկների թաղանթներին, դեղապատիճների թաղանթներին, ներկանյութերին և բուրավետիչներին): Եթե բացակայում է բաղադրության քանակական համամասնությունը, ապա նշված պայմանը համարվում է կատարված, եթե հետազոտվող դեղաչափման և դեղաչափումների նկատմամբ, որոնց համար չի առաջարկվում անցկացնել կենսահամարժեքության հետազոտություն, պահպանվում են «i» և «ii» կամ «i» և «iii» պայմանները՝
i) ազդող նյութի (ազդող նյութերի) բաղադրությունը չի գերազանցում հաբի միջուկի զանգվածի, դեղապատիճի պարունակության զանգվածի 5 տոկոսը.
ii) հաբի միջուկի օժանդակ նյութերի պարունակությունը կամ դեղապատիճի պարունակությունը համընկնում է բոլոր գրանցվող դոզավորումների համար, փոփոխվում է միայն ազդող նյութի պարունակությունը.
iii) լցանյութերի պարունակությունը փոփոխվում է՝ կախված ազդող նյութի պարունակությունից, դիտարկվող դոզավորումների համար միջուկի մնացած օժանդակ նյութերի պարունակությունը կամ դեղապատիճի պարունակությունը մնում է անփոփոխ.
դ) ԼՀԿԹ-ի մասին տվյալները հաստատում են լրացուցիչ կենսահամարժեքության in vivo հետազոտություն անցկացնելու անհրաժեշտության բացակայությունը:
Գծային դեղակինետիկան
61. Եթե սույն կանոնների 60-րդ կետում նկարագրված պայմանները կատարվում են, ապա բավարար է անցկացնել կենսահամարժեքության հետազոտություն մեկ դեղաչափման նկատմամբ:
62. Որպես կանոն, կենսահամարժեքության հետազոտությունն անցկացվում է ամենամեծ դեղաչափման համար: Ազդող նյութի բարձր լուծելիության պայմանով՝ գծային դեղակինետիկայով դեղապատրաստուկների համար կենսահամարժեքության հետազոտությունը թույլատրվում է անցկացնել ավելի փոքր դեղաչափումների օգտագործմամբ: Ավելի փոքր դեղաչափման ընտրությունը նույնպես կարող է հիմնավորվել անվտանգության կամ տանելիության տեսակետից, երբ առողջ կամավորների մոտ ամենամեծ դեղաչափման կիրառումն անընդունելի է: Բացի դրանից՝ եթե վերլուծական մեթոդի զգայունությունը թույլ չի տալիս ճշգրիտ չափել կոնցենտրացիան, ապա ամենամեծ դեղաչափումն ընդունելու ժամանակ թույլատրվում է կիրառել ավելի բարձր դեղաչափ (ցանկալի է օգտագործել ամենամեծ դեղաչափմամբ մի քանի հաբ): Առավելագույն թերապևտիկ դեղաչափի գերազանցում թույլատրվում է միայն այն դեպքում, երբ դա լավ է տարվում առողջ կամավորների կողմից, և բացակայում են այդպիսի դեղաչափով ընդունված դեղապատրաստուկի՝ ըստ աբսորբման կամ լուծելիության աստիճանի սահմանափակումները:
Ոչ գծային դեղակինետիկան
63. Եթե թերապևտիկ ընդգրկույթում ոչ գծային դեղակինետիկայով դեղապատրաստուկների АUС-ի մեծացման աստիճանն ավելի մեծ է, քան դեղաչափի մեծացման աստիճանը, կենսահամարժեքության հետազոտությունը սովորաբար անցկացվում է ամենամեծ դեղաչափման օգտագործմամբ: Ինչպես գծային դեղակինետիկայով դեղապատրաստուկների դեպքում՝ ավելի փոքր դեղաչափման ընտրությունը կարող է հիմնավորվել անվտանգության և տանելիության տեսակետից, երբ ամենամեծ դեղաչափման կիրառումը առողջ կամավորների դեպքում անընդունելի է: Վերլուծական մեթոդի ցածր զգայունության հետևանքով՝ ինչպես գծային դեղակինետիկայով դեղապատրաստուկների դեպքում, նույնպես թույլատրվում է կիրառել ոչ գծային դեղակինետիկայով դեղապատրաստուկների ավելի բարձր դեղաչափեր:
64. Այն դեղապատրաստուկների կենսահամարժեքության հետազոտությունը, որոնց մոտ թերապևտիկ ընդգրկույթում АUС-ն ավելի քիչ է մեծանում, քան դեղաչափի համապատասխան մեծացումը, մեծ մասամբ պահանջվում է անցկացնել ամենամեծ և ամենափոքր դեղաչափումների համար (կամ գծային ընդգրկույթում գտնվող դեղակինետիկայով դեղաչափման համար), այսինքն՝ այդ դեպքում անցկացվում է կենսահամարժեքության 2 հետազոտություն: Եթե ոչ գծայնությունը պայմանավորված չէ ցածր լուծելիությամբ, սակայն բացատրվում է, օրինակ՝ փոխադրողների հագեցմամբ, և պահպանվում են սույն Կանոնների 60-րդ կետում նշված պայմանները, և համեմատվող դեղապատրաստուկները չեն պարունակում աղեստամոքսային տրակտի մատորիկայի (շարժման) կամ փոխադրող սպիտակուցների վրա ազդող օժանդակ նյութեր, ապա բավարար է անցկացնել ամենափոքր դեղաչափմամբ (կամ գծային ընդգրկույթում գտնվող դեղակինետիկայով դեղաչափմամբ) կենսահամարժեքության հետազոտություն: Այլ դեղաչափումների ընտրությունը կարող է հիմնավորվել վերլուծական մեթոդի ցածր զգայունությամբ, երբ ամենափոքր դեղաչափմամբ հետազոտության անցկացումը անհնար է, կամ ամենամեծ դեղաչափման կիրառումը առողջ կամավորների մոտ անընդունելի է անվտանգության կամ տանելիության տեսակետից:
Եզրային տարբերակների հետազոտություն (բրեկետինգ)
65. Եթե կենսահամարժեքության հետազոտությունն անհրաժեշտ է անցկացնել 2-ից ավելի դեղաչափումների համար, օրինակ՝ բաղադրության համամասնության տարբերությունների հետևանքով, ապա օգտագործում են եզրային տարբերակների հետազոտության անցկացմամբ սահմանափակվելու հնարավորություն տվող մոտեցում: Եթե ընտրված դեղաչափումները եզրային նշանակություններ են, օրինակ՝ առավելագույն և նվազագույն դեղաչափումներ կամ բաղադրությամբ առավել կտրուկ տարբերվող դեղաչափումներ (այսինքն՝ այլ դեղաչափումների բաղադրության տարբերությունները տեղավորվում են այդ տարբերության մեջ), ապա թույլատրելի է անցկացնել կենսահամարժեքության 2 հետազոտություն:
66. Եթե ոչ գծային աբսորբման կամ բաղադրության համամասնությունից շեղվելու հետևանքով կենսահամարժեքության գնահատումն անհրաժեշտ է անոթի վիճակում և սննդի ընդունումից հետո իրականացնել 2 դեղաչափումների համար, բավարար է անոթի վիճակում և սննդի ընդունումից հետո անցկացնել 1 դեղաչափման հետազոտություն: Այլ դեղաչափումների համար անոթի վիճակում կամ սննդի ընդունումից հետո հետազոտություն անցկացնելու անհրաժեշտության բացակայությունը կարող է հիմնավորվել գիտական գրականության և (կամ) դեղակինետիկայի վերաբերյալ այն տվյալներով, որոնք ստացվել են անոթի վիճակում և սննդի ընդունումից հետո անցկացված այլ հետազոտություններից հետազոտվող դեղաչափումներն ուսումնասիրելիս: Մնացած դեղաչափումներն ուսումնասիրելու համար հետազոտություններ անցկացնելու պայմանները (անոթի վիճակում կամ սննդի ընդունումից հետո) ընտրելիս նախապատվությունը տրվում է համեմատվող դեղապատրաստուկների միջև հնարավոր տարբերությունների հայտնաբերման գործում ամենամեծ զգայունությունն ունեցող պայմաններին:
Համակցված դեղապատրաստուկները
67. Բոլոր համակցված դեղապատրաստուկների նկատմամբ պետք է կատարվեն սույն կանոններով նախատեսված՝ բաղադրության համամասնության պայմանները: Համակցման յուրաքանչյուր ազդող նյութի բաղադրությունը հաշվարկելիս մնացած ազդող նյութերը պետք է դիտարկվեն որպես օժանդակ նյութեր: Երկշերտ հաբերի յուրաքանչյուր շերտ կարող է դիտարկվել անկախորեն:
8. Հետազոտության կենսավերլուծական մասի մեթոդոլոգիան
68. Կենսահամարժեքության հետազոտությունների կենսավերլուծական մասը պետք է իրականացվի սույն կանոնների թիվ 6 հավելվածի համաձայն:
Բավարար մեկնաբանության ենթարկվող հուսալի արդյունքներ ստանալու համար անհրաժեշտ է մանրամասնորեն նկարագրել օգտագործվող կենսահամարժեքության մեթոդները, դրանք ամբողջովին վալիդացնել և փաստաթղթավորել: Յուրաքանչյուր վերլուծական պարբերաշրջանում հետազոտության շրջանակներում անհրաժեշտ է որակի հսկողության համար նմուշների օգտագործմամբ մեթոդիկայի պիտանիությունը հաստատել:
69. Ստացված վերլուծական տվյալների ընդունելիությունը և արժանահավատությունն ապահովելու համար կենսավերլուծական մեթոդիկայի հիմնական բնութագրերն են՝ ընտրողականությունը, քանակական որոշման ստորին սահմանը, արձագանքման գործառույթը (աստիճանավորման կորի ձև), ճշտությունը, ճշգրտությունը և կայունությունը:
70. Քանի որ վերլուծվող նյութի՝ հայտնաբերման ենթարկվող կոնցենտրացիան դեղապատրաստուկն ընդունելուց առաջ պետք է կազմի Сmax-ի 5%-ը և ավելի քիչ, մեթոդիկայի քանակական որոշման ստորին սահմանը պետք է ապահովի Сmax-ի ≤ 5 տոկոսի կոնցենտրացիայի որոշումը (հաշվի առնելով սույն բաժնի 9-րդ ենթաբաժնի պահանջները):
71. Հետազոտության արձանագրության մեջ անհրաժեշտ է նախատեսել հետազոտվող նմուշների կրկնակի վերլուծություն անցկացնելու հնարավորությունը՝ այդպիսի վերլուծությունը փաստացի սկսելուց առաջ: Սովորական պայմաններում դեղակինետիկ պատճառներով նմուշների կրկնակի վերլուծությունն անթույլատրելի է, ինչը հատկապես կարևոր է կենսահամարժեքության հետազոտությունների համար, քանի որ դա կարող է աղավաղել հետազոտության արդյունքները:
Նմուշների վերլուծությունն իրականացնող անձինք չպետք է իմանան սուբյեկտների կողմից ընդունվող հետազոտվող դեղապատրաստուկների մասին:
9. Հետազոտության արդյունքների գնահատումը, վերլուծությունը և ներկայացումը
72. Որպես կանոն, կենսահամարժեքության հետազոտություններում դեղակինետիկ պարամետրերի համար հետազոտվող և ռեֆերենտ դեղապատրաստուկների սերիաների միջև քանակական որոշման մեջ տարբերությունների ճշգրտում կատարելն արգելվում է: Սակայն բացառիկ դեպքերում այդպիսի ճշգրտումը թույլատրվում է, եթե ռեֆերենտ և հետազոտվող դեղապատրաստուկների սերիաների միջև տարբերությունները չեն գերազանցում 5 տոկոսը (հաշվի առնելով սույն բաժնի 2-րդ ենթաբաժնի պահանջները): Ճշգրտումը՝ հետազոտվող և ռեֆերենտ դեղապատրաստուկի քանակական որոշման արդյունքների հետ մեկտեղ, անհրաժեշտ է արտացոլել հետազոտության արձանագրության մեջ:
Հետազոտության արդյունքների վերլուծության համար սուբյեկտների ընտրումը
73. Վիճակագրական վերլուծության մեջ հնարավորության դեպքում անհրաժեշտ է ներառել դեղապատրաստուկն ընդունած բոլոր սուբյեկտներին: Սակայն վերլուծության մեջ չպետք է ներառվեն խաչաձև հետազոտությանը մասնակցած այն սուբյեկտները, որոնց մոտ բացակայում են ինչպես հետազոտվող դեղապատրաստուկի, այնպես էլ ռեֆերենտ դեղապատրաստուկի վերաբերյալ տվյալները, կամ զուգահեռ հետազոտությանը մասնակցած այն սուբյեկտները, որոնց մոտ բացակայում են միակ ժամանակահատվածի տվյալները:
Դեղապատրաստուկն ընդունած բոլոր սուբյեկտների տվյալների մշակումն անհրաժեշտ է իրականացնել միևնույն մեթոդներով: Հետազոտության արձանագրության մեջ չի թույլատրվում հեռացված սուբյեկտների տվյալները փոխարինելու միակ նպատակով նախատեսել տվյալների վերլուծության մեջ կամավոր «փոխարինողների» ներառումը: Անգամ եթե հետազոտության ընթացքում չեն եղել հետազոտությունից դուրս գալու դեպքեր, ապա անհրաժեշտ է նախատեսել վերլուծության մեջ պատրաստուկն ընդունած բոլոր սուբյեկտների ներառում: Այսպիսով, հիմնական ընտրանքից առանձին կենսահամարժեքության հետազոտության ընթացակարգեր անցնող փոխարինողների ներառում չի թույլատրվում:
74. Համեմատման 2 խմբից ավելի հետազոտությունում (օրինակ՝ 2 ռեֆերենտ դեղապատրաստուկներով եռափուլ հետազոտություն կամ քառափուլ հետազոտություն՝ անոթի վիճակում ընդունման դեպքում և սննդի ընդունումից հետո) յուրաքանչյուր համեմատվող զույգի մասով վերլուծությունն անհրաժեշտ է իրականացնել միայն համեմատվող խմբերին չվերաբերող տվյալները նախապես հեռացնելուց հետո:
Հետազոտությունների արդյունքների վերլուծությունից սուբյեկտներին հեռացնելու չափանիշները
75. Պատահականության սկզբունքով կատարված հետազոտությունների արդյունքները օբյեկտիվ գնահատելու համար անհրաժեշտ է, որ բոլոր սուբյեկտների դիտարկումն ու վարումն իրականացվեն միասնական կանոններով: Այդ կանոնները չպետք է կախված լինեն ընդունվող դեղապատրաստուկից կամ ելքից, ուստի վիճակագրական վերլուծությունից սուբյեկտին հեռացնելու մասին որոշումն անհրաժեշտ է ընդունել նմուշների լաբորատոր վերլուծությունից առաջ:
76. Յուրաքանչյուր պատճառ կարող է լինել սուբյեկտների հեռացման չափանիշ, եթե դա նախապես նկարագրված է հետազոտության արձանագրությունում, իսկ հեռացման մասին որոշումն ընդունված է մինչև նմուշների վերլուծության սկիզբը: Սակայն հետազոտության վիճակագրական հզորության նվազեցման հետևանքով, ինչպես նաև սուբյեկտների անհրաժեշտ նվազագույն քանակի՝ 12 հոգու առկայության դեպքում պետք է խուսափել վերջիններին հետազոտությունից հեռացնելուց:
Սուբյեկտներին հետազոտությունից հեռացնելու թույլատրելի չափանիշներն են փսխումը կամ փորլուծը (դիարեան), որոնք կարող են աղավաղել հետազոտվող նյութի կոնցենտրացիայի փոփոխության արդյունքները: Բացառիկ դեպքերում որպես հեռացման չափանիշ կարող է ծառայել այլ դեղապատրաստուկների միաժամանակյա կիրառումը:
77. Հետազոտության արձանագրության մեջ անհրաժեշտ է նախապես նկարագրել սուբյեկտների հեռացման չափանիշները: Եթե ստեղծվել է այնպիսի իրավիճակ, որը մեկնաբանվում է որպես հեռացման չափանիշ, ապա դրա մասին տեղեկություններն անհրաժեշտ է հետազոտության ընթացքում գրառել անհատական գրանցման քարտում: Նախապես սահմանված չափանիշների վրա հիմնված սուբյեկտների հեռացումն անհրաժեշտ է հստակորեն արտացոլել և թվարկել հետազոտության հաշվետվության մեջ:
78. Դեղապատրաստուկների ազդեցությունը՝ դեղակինետիկայի վրա ազդող այլ գործոններից տարանջատվելու անհնարինության պատճառով, տվյալների հեռացումը միայն վիճակագրական վերլուծության հիման վրա կամ դեղակինետիկ պատճառներով չի թույլատրվում: Այս կանոնի բացառություններն են՝
ա) այն սուբյեկտները, որոնց պլազմայում ռեֆերենտ դեղապատրաստուկի կոնցենտրացիան չի որոշվում կամ որոշվում է միայն չնչին քանակությամբ: Սուբյեկտի մոտ վերլուծվող նյութի կոնցենտրացիաները ճանաչվում են շատ ցածր, եթե նրա АUС-ն չի գերազանցում ռեֆերենտ դեղապատրաստուկի АUС-ի միջին երկրաչափականի 5 տոկոսը (հաշվարկված՝ առանց արտանետումների սուբյեկտի տվյալները հաշվի առնելու): Տվյալների հեռացումն այդ պատճառով թույլատրելի է միայն եզակի դեպքերում և, ընդհանուր առմամբ, կասկածի տակ է դնում անցկացված հետազոտության հավաստիությունը (վալիդությունը).
բ) սուբյեկտները՝ վերլուծվող նյութի ոչ զրոյական ելակետային կոնցենտրացիայով, որը գերազանցում է Сmax -ի 5 տոկոսը: Այդպիսի տվյալներն անհրաժեշտ է հեռացնել կենսահամարժեքության հետազոտությունից (սույն ենթաբաժնի «Փոխանցման էֆեկտը» ենթաբաժնի պահանջներին համապատասխան»):
79. Սույն ենթաբաժնում նշված իրավիճակներն արագ ձերբազատմամբ դեղապատրաստուկների նկատմամբ կարող են առաջանալ սուբյեկտների կողմից հետազոտության ռեժիմը չպահպանելու կամ անբավարար մաքրման ժամանակահատվածի դեպքում: Առաջին դեպքում անհրաժեշտ է նախատեսել սուբյեկտի բերանային խոռոչի զննում՝ համոզվելու համար, որ դեղապատրաստուկը կուլ է տրվել, երկրորդում՝ նախատեսել բավարար մաքրման ժամանակահատված: Վիճակագրական վերլուծությունից հեռացված սուբյեկտների կենսաբանական նմուշներն անհրաժեշտ է վերլուծել, իսկ դրանց արդյունքները ներկայացնել հետազոտության մասին հաշվետվության մեջ (սույն ենթաբաժնի «Տվյալների ներկայացումը» ենթաբաժնի պահանջներին համապատասխան):
80. Սույն կանոնների «Հետազոտության անցկացումը» 4-րդ բաժնի համաձայն՝ AUC(0-t)-ն պետք է ծածկի AUC(0-∞) -ի առնվազն 80 տոկոսը: Այնուամենայնիվ, եթե այս կանոնը չի կատարվում, պետք չէ սուբյեկտներին բացառել վիճակագրական վերլուծությունից: Սակայն, եթե դեպքերի ավելի քան 20 տոկոսում AUC(0-t)-ն չի ծածկում AUC(0-∞) -ի 80 տոկոսը, ապա պետք է կասկածի տակ դնել այդպիսի հետազոտության արդյունքները: Այդ պահանջը կիրառելի չէ 72 ժամ և ավելի նմուշառման տևողությամբ հետազոտությունների համար, երբ AUC(0-t)-ի փոխարեն օգտագործվում է AUC(0-72 ժ)-ն:
Հետազոտվող պարամետրերը և թույլատրելի սահմանները
81. Դեղապատրաստուկի միանգամյա ընդունմամբ կենսահամարժեքության հետազոտություններում հետազոտվող դեղակինետիկ պարամետրերին են դասվում АUС(0-t) -ն կամ АUС(0-72 ժ) -ն համապատասխանաբար և Сmах-ը: Հետազոտվող դեղապատրաստուկի տվյալ պարամետրերի հարաբերությունը ռեֆերենտ դեղապատրաստուկի նկատմամբ 90 տոկոսանոց վստահելի միջակայքի դեպքում պետք է ընկած լինի 80,00-125,00 տոկոսի միջակայքում: Միջակայքերի սահմանները կլորացվում են մինչև երկու նիշ ստորակետից հետո:
82. Հավասարակշիռ կոնցենտրացիայի որոշմամբ՝ արագ ձերբազատմամբ դեղապատրաստուկների կենսահամարժեքության հետազոտությունների ուսումնասիրվող պարամետրերին են դասվում АUС(0-Ժ) -ն և Сmах,ss -ը, որոնք պետք է լինեն նշված միջակայքերի սահմաններում:
83. Եթե որպես կենսաբանական նյութ օգտագործվում է մեզը, ապա Ае(0-t) -ի ցուցանիշը պետք է լինի АUС(0-t) -ի համար նկարագրված միջակայքում, իսկ Rmax -ը՝ Cmax-ի համար միջակայքում:
84. tmax-ի վիճակագրական գնահատական չի պահանջվում: Սակայն, եթե նշվում է, որ արագ ձերբազատումն ունի կլինիկական նշանակություն և ազդում է սկիզբ առնող ազդեցության վրա կամ բերում է անցանկալի ռեակցիաների, ապա հետազոտվող և ռեֆերենտ դեղապատրաստուկների միջև tmax-ի և դրա փոփոխականության միջև չպետք է տարբերություն լինի:
85. Պետք է նեղացնել նեղ թերապևտիկ ընդգրկույթով դեղապատրաստուկների կենսահամարժեքության թույլատրելի սահմանները (սույն բաժնի 10-րդ ենթաբաժնի պահանջներին համապատասխան): Сmax -ի բարձր փոփոխականությամբ դեղապատրաստուկների համար, համապատասխան հիմնավորման առկայության դեպքում, այդ սահմանները կարող են լայնացվել:
Վիճակագրական վերլուծությունը
86. Կենսահամարժեքությունը գնահատելու համար կարևոր նշանակություն ունի կենսահամարժեքության կեղծ դրական ճանաչման ռիսկի նվազեցումը: Կենսահամարժեքության հետազոտության վիճակագրական վերլուծությունը պետք է հաստատի հետազոտվող և ռեֆերենտ դեղապատրաստուկների միջև կլինիկապես նշանակալի տարբերության փոքր հավանականությունը: Վիճակագրական մշակման ընթացակարգերը պետք է նախապես որոշել արձանագրության մեջ տվյալների հավաքումն սկսելուց առաջ:
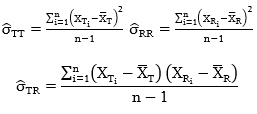
87. Հետազոտվող դեղապատրաստուկի և ռեֆերենտ դեղապատրաստուկի հետազոտվող դեղակինետիկ պարամետրերի երկրաչափական միջինների հարաբերության համար, որպես կենսահամարժեքության հիմնական ցուցանիշ, օգտագործում են 90 տոկոսանոց վստահելի միջակայքեր: Այդպիսի մոտեցումը հավասարազոր է յուրաքանչյուր թեստի համար 5 տոկոսանոց նշանակալիության մակարդակի դեպքում կենսահամարժեքության բացակայության մասին (կենսաբանորեն ոչ համարժեքության մասին) զրոյական հիպոթեզի 2 միակողմանի ստուգումներին:
88. Հետազոտվող դեղակինետիկ պարամետրերի համեմատումն անցկացնում են դիսպերսիոն վերլուծության օգնությամբ (ANOVA): Դրա համար նախապես անցկացնում են տվյալների լոգարիթմական վերակազմավորում (տասնորդական կամ բնական լոգարիթմների հիմքով): Ինչից հետո անցկացնում են դիսպերսիոն վերլուծություն և դրա արդյունքների հիման վրա՝ համեմատվող դեղապատրաստուկների միջև տարբերությունները փնտրելու համար կառուցում են վստահելի միջակայքեր (լոգարիթմային սանդղակում): Ելակետային (չվերակազմավորված) չափման միավորներում միջինների հարաբերության համար ցանկալի վստահելի միջակայքեր կառուցելու համար ստացված վստահելի միջակայքերը ենթարկվում են հակառակ վերակազմավորման: Վիճակագրական վերլուծության ոչ պարամետրային մեթոդների օգտագործում չի թույլատրվում:
89. Հետազոտության արձանագրության մեջ անհրաժեշտ է նախատեսել վերլուծության կոնկրետ վիճակագրական մոդելի ընտրությունը: Վիճակագրական վերլուծությունը պետք է հաշվի առնի հետազոտվող փոփոխականի վրա ազդելու կարողությամբ փոփոխականության աղբյուրները: Դիսպերսիոն վերլուծության այդպիսի մոդելի մեջ ընդունված է օգտագործել այնպիսի գործոններ, ինչպիսիք են հաջորդականությունը, հաջորդականության սուբյեկտը, ժամանակահատվածը և դեղապատրաստուկը: Այս բոլոր գործոնների վերաբերյալ պետք է օգտագործել ֆիքսված, այլ ոչ թե պատահական էֆեկտներ:
90. Ընդհանուր սկզբունքը μТ-μR մեծության համար 90 տոկոսանոց՝ դեղակինետիկ կենսահամարժեքության մասին եզրակացություն անելու հնարավորություն տվող վստահելի միջակայք կառուցելու մեջ է, եթե տվյալ վստահելի միջակայքը գտնվում է կենսահամարժեքության ճանաչման ընդունված սահմաններում:
Եթե դա պահանջվում է՝ համանման ընթացակարգ ցանկալի է օգտագործել հետազոտության արդյունքում հավասարակշիռ վիճակում ստացված պարամետրերը համեմատելու կամ մեզի հետ գումարային դուրսբերման համար:
91. Հարկավոր է ներկայացնել նաև tmax -ի ցուցանիշի համար նկարագրական վիճակագրությունը: Եթե tmax -ը համարվում է կլինիկապես նշանակալի՝ կլինիկապես նշանակալի տարբերությունները բացառելու համար, հարկավոր է համեմատել հետազոտվող և ռեֆերենտ դեղապատրաստուկների միջև tmax-ի միջին արժեքը և ընդգրկույթը: Հազվադեպ է պահանջվում ֆորմալ վիճակագրական համեմատություն: Սովորաբար, tmax -ի համար անհրաժեշտ վիճակագրական հզորությունն ստանալու համար ընտրանքի չափը չի հաշվարկվում: Եթե tmax պարամետրը ենթարկվելու է վիճակագրական վերլուծության, ապա ուսումնասիրությունը պետք է հիմնվի ոչ պարամետրային մեթոդների վրա և անցկացվի չփոխակերպված տվյալների օգտագործմամբ: tmax -ի գնահատման ճշգրտությունը բարձրացնելու համար անհրաժեշտ է վերցնել ակնկալվող առավելագույն կոնցենտրացիաներին նման նմուշների բավարար քանակություն: (t1/2) վերացման փուլը նկարագրող ցուցանիշների համար անհրաժեշտ է միայն նկարագրական վիճակագրություն:
92. Խիստ առանձնացվող արժեքների (արտանետումների) հետ աշխատանքն անցկացվում է սույն բաժնի «Հետազոտությունների արդյունքների վերլուծությունից սուբյեկտներին հեռացնելու չափանիշները» ենթաբաժնում շարադրված պահանջներին համապատասխան: Միայն վիճակագրական կամ դեղակինետիկ բնույթի պատճառներով տվյալների հեռացումն անթույլատրելի է:
Հետազոտությունները մի քանի խմբերում
93. Եթե խաչաձև հետազոտությունն անցկացվել է սուբյեկտների երկու և ավելի խմբերում, այսինքն՝ տեղի է ունեցել ամբողջ ընտրանքի բաժանում մի քանի խմբերի, որոնցից յուրաքանչյուրը սկսում է մասնակցել հետազոտությանը տարբեր օրերի (օրինակ, եթե լոգիստիկական նկատառումներից ելնելով՝ կլինիկական կենտրոնում միաժամանակ կարելի է անցկացնել սահմանափակ սուբյեկտների մասնակցությամբ հետազոտություն), ապա հետազոտության բազմախմբային բնույթն արտացոլելու համար անհրաժեշտ է ձևափոխել վիճակագրական մոդելը: Մասնավորապես, մոդելի մեջ անհրաժեշտ է հաշվի առնել այն փաստը, որ առաջին խմբի համար ժամանակահատվածները տարբերվում են երկրորդ (և հաջորդող) խմբերի համար ժամանակահատվածներից:
94. Եթե հետազոտությունն անցկացված է երկու և ավելի խմբերում, և այդ խմբերն ուսումնասիրվել են տարբեր կլինիկական կենտրոններում կամ միևնույն կենտրոնում, սակայն բաժանված են եղել երկար ժամանակահատվածով (օրինակ՝ ամիսներով), ապա կասկած է առաջանում այդ խմբերում ստացված արդյունքները մեկ վերլուծության մեջ ներառելու հնարավորության վերաբերյալ: Այդպիսի իրավիճակներն անհրաժեշտ է քննարկել լիազորված մարմնի հետ:
Եթե լոգիստական նկատառումներից ելնելով հետազոտություններն առաջարկվում է անցկացնել մի քանի խմբերում, ապա դրա մասին անհրաժեշտ է պարզ նշել հետազոտության արձանագրության մեջ, ընդ որում՝ եթե հաշվետվության մեջ բացակայում են հետազոտության բազմախմբային բնույթը հաշվի առնող վիճակագրական վերլուծության արդյունքները, ապա անհրաժեշտ է ներկայացնել այդպիսի արդյունքների բացակայության գիտական հիմնավորումներ:
Փոխանցման էֆեկտները
95. Ստուգման արդյունքները չի թույլատրվում օգտագործել փոխանցման էֆեկտի նկատմամբ՝ վերլուծության վրա ազդող որևիցե որոշում ընդունելու համար (օրինակ՝ հետազոտության միայն առաջին փուլից ստացված տվյալների վերլուծություն): Փոխանցման հավանականությունը կարող է ուղղակիորեն հաշվի առնվել հետազոտության երկրորդ փուլում՝ կենսաբանական հեղուկի նմուշը ընտրելիս՝ դեղապատրաստուկն ընդունելուց առաջ (և, եթե կիրառելի է, հաջորդ փուլերում)։
96. Եթե դեղապատրաստուկն ընդունելուց առաջ կոնցենտրացիան գերազանցում է Сmax -ի 5 տոկոսը, ապա տվյալ ժամանակահատվածում սուբյեկտից ստացված տեղեկությունները հեռացվում են վիճակագրական վերլուծությունից: Դա նշանակում է, որ երկփուլ հետազոտության շրջանակներում այդ սուբյեկտը դուրս է գալիս վերլուծությունից: Հետազոտության շարունակումը համարվում է անընդունելի, եթե պարզվում է, որ վերլուծության ենթակա սուբյեկտների քանակը 12-ից ցածր է: Տվյալ մոտեցումը կիրառելի չէ էնդոգեն միացությունների հետազոտության համար:
Կենսահամարժեքության հետազոտության երկփուլ բովանդակային պլանը
97. Կենսահամարժեքության հետազոտությունը թույլատրվում է անցկացնել երկու փուլով: Առաջին փուլում հետազոտությունն ստացված արդյունքների վերլուծությամբ անցկացվում է սուբյեկտների սկզբնական (առաջնային) խմբի հետ: Եթե կենսահամարժեքությունը չի հաստատվում, ապա կարելի է հավաքել լրացուցիչ խումբ և միավորել երկու խմբերում վերջնական վերլուծության համար ստացված արդյունքները: Եթե ընտրված է այդպիսի մոտեցում, ապա ամբողջ հետազոտության համար I կարգի սխալի հավանականությունն անփոփոխ պահելու համար պետք է ձեռնարկել որոշակի միջոցներ, ընդ որում՝ հետազոտությունը կանգնեցնելու վիճակագրական չափանիշներն անհրաժեշտ է հստակ սահմանել այն սկսելուց առաջ: Առաջին փուլի ընթացքում ստացված տվյալների վերլուծությունը կարելի է դիտարկել որպես միջանկյալ, և երկու վերլուծություններն անհրաժեշտ է անցկացնել ըստ կարևորության ճշտված մակարդակների: Վստահելի միջակայքերի համար հարկավոր է օգտագործել ոչ պակաս, քան 90 տոկոսին հավասար ճշտված հավանականությունը: Օրինակ՝ առաջին փուլում երկու վերլուծությունների համար և առաջին ու երկրորդ փուլերի միասնական տվյալների համար վստահելի միջակայքերի 94.12-ական տոկոսի օգտագործումն ընդունելի կլինի, սակայն գոյություն ունեն բազմաթիվ այլ տարբերակներ, և հովանավորն արտոնություն ունի ընտրելու կարևորության այն մակարդակը (α), որն օգտագործվելու է միջանկյալ վերլուծության համար: Կարևորության ճշտված մակարդակի հետ մեկտեղ՝ արձանագրության մեջ անհրաժեշտ է նախապես նկարագրել հետազոտության երկփուլ բովանդակային պլանը:
98. Երկու փուլերի ընթացքում ստացված միասնական տվյալները վերլուծելիս «փուլ» գործոնն անհրաժեշտ է ներառել դիսպերսիոն վերլուծության մոդելում:
Տվյալների ներկայացումը
99. Համեմատվող դեղապատրաստուկներից յուրաքանչյուրի համար նկարագրային վիճակագրության հետ մեկտեղ անհրաժեշտ է ներկայացնել անհատական կոնցենտրացիաների և դեղակինետիկ պարամետրերի արժեքները՝ ներառյալ երկրաչափական միջինը, մեդիանան, թվաբանական միջինը, ստանդարտ շեղումը, փոփոխականության գործակիցը, առավելագույն և նվազագույն արժեքները: «Կոնցենտրացիա-ժամանակ» անհատական կորերը հարկավոր է ներկայացնել գծային և լոգարիթմական սանդղակներով: Անհրաժեշտ է նկարագրել ելակետային տվյալներից դեղակինետիկ պարամետրերի ստացման մեթոդն ու վերջնական լոգարիթմական փուլում այն կետերի քանակը, որոնք օգտագործվել են վերջնական վերացման արագության հաստատունի գնահատման համար (որն օգտագործվում է AUC(0-∞)-ի հավաստի գնահատման համար):
100. Որպես ուսումնասիրված դեղակինետիկ պարամետրերի վիճակագրական վերլուծության հիմնական արդյունքներ՝ հարկավոր է նշել կետային գնահատականներ և միջին արժեքների հարաբերությունների համար 90 տոկոսանոց վստահելի միջակայքեր:
Հարկավոր է նաև կցել դիսպերսիոն վերլուծության վերջնական աղյուսակները՝ ներառյալ օգտագործված մոդելում բոլոր էֆեկտներին վերաբերող վիճակագրական թեստերի արդյունքները:
101. Հաշվետվությունն անհրաժեշտ է մանրամասնել այնքան, որ կարելի լինի վերարտադրել դեղակինետիկ և վիճակագրական վերլուծությունները, այսինքն՝ դեղապատրաստուկն ընդունելուց հետո ներառել նմուշների ընտրման ճիշտ ժամանակը, վերլուծվող նյութերի կոնցենտրացիաները, հետազոտության յուրաքանչյուր փուլում յուրաքանչյուր սուբյեկտի դեղակինետիկ պարամետրերի արժեքներն ու պատահական բաշխման սխեման:
102. Անհրաժեշտ է մանրամասնորեն նկարագրել հետազոտությունից սուբյեկտների դուրս գալու և հեռացման բոլոր դեպքերը: Հնարավորության դեպքում յուրաքանչյուր այդպիսի սուբյեկտի համար առանձին փաստաթղթում անհրաժեշտ է ներկայացնել կոնցենտրացիայի և դեղակինետիկ պարամետրերի մասին տվյալները, սակայն պետք չէ ներառել դրանք ընդհանուր վիճակագրական վերլուծության մեջ:
Վալիդացման հաշվետվության հետագա ձևավորման համար կենսավերլուծական մեթոդն անհրաժեշտ է փաստաթղթավորել մինչև հետազոտության սկիզբը (նախնական վալիդացում): Կենսահամարժեքության հաշվետվությունն անհրաժեշտ է ներկայացնել կենսահամարժեքության հետազոտության վերջնական հաշվետվության կազմում: Այն պետք է ներառի օգտագործված կենսահամարժեքության մեթոդիկայի համառոտ նկարագրությունը, բոլոր աստիճանավոր լուծույթների (ստանդարտների) և որակի վերահսկողության համար նմուշների արդյունքները: Անհրաժեշտ է ներկայացնել քրոմատագրերի կամ բոլոր աստիճանավորման լուծույթների (ստանդարտների) և որակի վերահսկողության համար նմուշների, ինչպես նաև փորձարկվող (ակտիվ) նմուշների համար՝ կոնցենտրացիաների ամբողջ դիապազոնն ընդգրկող այլ ելակետային տվյալների բավարար քանակություն (բոլոր քրոմատագրերը և մյուս ելակետային տվյալները սուբյեկտների ոչ պակաս, քան 20 տոկոսից՝ որակի վերահսկողության համար համապատասխան նմուշներով և նշված սուբյեկտներին վերաբերող աստիճանավորման լուծույթներով/ցիկլերի ստանդարտներով):
103. Եթե որոշակի դեղապատրաստուկի որոշակի դեղաչափման նկատմամբ անցկացված են մի քանի հետազոտություններ, որոնց մի մասը հաստատում է դրա կենսահամարժեքությունը, իսկ մյուսը՝ ոչ, ապա տվյալների ամբողջականությունն անհրաժեշտ է դիտարկել որպես մեկ ամբողջություն: Պետք է հաշվի առնել միայն սույն կանոնների III մասում նշված հետազոտությունները: Կենսահամարժեքությունը հաստատող հետազոտությունների առկայությունը պատճառ չէ չդիտարկելու այն հետազոտությունները, որոնցում դա հաստատված չէ: Հայտատուն պարտավոր է վերլուծել բոլոր արդյունքները և հիմնավորել կենսահամարժեքության առկայությունը: Ի լրումն առանձին հետազոտությունների՝ հնարավորության դեպքում որպես այլընտրանք թույլատրվում է անցկացնել բոլոր հետազոտությունների ընդհանրացված վերլուծություն: Անթույլատրելի է ընդհանրացնել կենսահամարժեքությունը չհաստատող հետազոտությունները, եթե կենսահամարժեքությունը հաստատող հետազոտությունները բացակայում են:
10. Նեղ թերապևտիկ ընդգրկույթով դեղապատրաստուկները
104. Նեղ թերապևտիկ ընդգրկույթով դեղապատրաստուկների AUC-ի համար թույլատրելի միջակայքը պետք է նեղացնել մինչև 90,00-111,11 տոկոսը: Քանի որ վերլուծվող նյութի կոնցենտրացիայի արդյունավետության, անվտանգության և դիտանցման տեսակետից Сmax-ը զբաղեցնում է հատուկ տեղ, տվյալ պարամետրի համար թույլատրելի միջակայքը պետք է նեղացնել մինչև 90,00-111,11 տոկոսը: Հնարավոր չէ ներկայացնել նեղ թերապևտիկ ընդգրկույթով դեղապատրաստուկների սպառիչ սահմանում, ուստի ազդող նյութն այդ խմբին վերագրելու որոշումը պետք է ընդունել՝ ելնելով դեղապատրաստուկի ազդեցության և ընդունման կլինիկական առանձնահատկություններից (անհրաժեշտության դեպքում ներգրավելով Միության անդամ պետությունների լիազորված մարմինների փորձագետներին և (կամ) Եվրասիական տնտեսական հանձնաժողովին կից Դեղամիջոցների հարցերով փորձագիտական կոմիտեին):
11. Բարձր փոփոխականությամբ դեղապատրաստուկները
105. Եթե դեղակինետիկ պարամետրի ներանհատական փոփոխականությունը գերազանցում է 30 տոկոսը, ապա այդպիսի դեղապատրաստուկները ճանաչվում են որպես բարձր փոփոխական: Եթե հայտատուն կարծում է, որ դեղապատրաստուկը արագության և (կամ) աբսորբման աստիճանի մասով կարող է ունենալ բարձր փոփոխականություն, ապա խորհուրդ է տրվում հետազոտություններն անցկացնել կրկնակի (ռեպլիկատիվ) խաչաձև բովանդակային պլանով:
106. Cmax -ի ավելի բարձր տարբերությունը համարվում է կլինիկապես ոչ նշանակալի (խիստ կլինիկական հիմնավորմամբ հաստատված) բարձր փոփոխականությամբ դեղապատրաստուկների համար, որոնց փոփոխականության գնահատումը կարող է իրականացվել ընդլայնված միջակայքերի հիման վրա: Այդ դեպքում Cmax-ի համար ընդունելիության չափանիշը կարող է ընդլայնվել մինչև 69,84-143,19 տոկոսը: Ընդունելիության չափանիշն ընդլայնելու նպատակներով կենսահամարժեքության հետազոտության բովանդակային պլանը պետք է լինի կրկնակի, և դրանում անհրաժեշտ է հաստատել, որ ռեֆերենտ դեղապատրաստուկի Cmax-ի փոփոխականությունը հետազոտության մեջ իսկապես գերազանցում է 30 տոկոսը: Հայտատուն պետք է ապացուցի, որ հաշվարկված ներանհատական փոփոխականությունը հավաստի է, այլ ոչ թե պայմանավորված է արտանետումներով: Թույլատրելի միջակայքն ընդլայնելու հնարավորությունը անհրաժեշտ է նախապես որոշել հետազոտության արձանագրության մեջ:
107. Միջակայքի ընդլայնման աստիճանի որոշումը հիմնված է կենսահամարժեքության հետազոտության արդյունքներով ստացված ներանհատական փոփոխականության վրա՝ կենսահամարժեքության միջին մասշտաբացման մեթոդի (scaled average bioequivalence) օգտագործմամբ՝ հետևյալ բանաձևի համաձայն՝
[U, L] =e(+kxswr ),
որտեղ՝
U-ն պիտանիության միջակայքի վերին սահմանն է.
L-ը պիտանիության միջակայքի ստորին սահմանն է.
k-ն 0.760 արժեքն ընդունած՝ ռեգուլատոր (կարգավորիչ) հաստատուն է.
SWR-ը համեմատման դեղապատրաստուկի Сmax -ի լոգարիթմորեն վերարտադրված արժեքների ստանդարտ ներանհատական շեղումներն է:
108. Բերված աղյուսակում ներկայացված են սույն կանոնների 107-րդ կետում նկարագրված մեթոդաբանության հիման վրա հաշվարկված կենսահամարժեքության ճանաչման միջակայքերի սահմանները՝ կախված դեղապատրաստուկի դեղակինետիկ պարամետրերի փոփոխականության աստիճանի տարբերությունից:
|
Ներանհատական CV (%)* |
Ստորին սահման |
Վերին սահման |
|
30 |
80,00 |
125,00 |
|
35 |
77,23 |
129,48 |
|
40 |
74,62 |
134,02 |
|
45 |
72,15 |
138,59 |
|
≥50 |
69,84 |
143,19 |
|
Ծանոթագրություն՝ |
|
109. Դեղակինետիկ պարամետրերի երկրաչափական միջինների հարաբերությունը պետք է ընկած լինի 80,00-125,00%-ի սահմաններում:
Ներանհատական փոփոխականության հիման վրա կենսամատչելիության ընդունելի սահմանների ընդլայնումը չի տարածվում AUC-ի վրա, որի սահմանները, անկախ փոփոխականությունից, պետք է սահմանափակված լինեն 80,00-125,00% միջակայքով:
110. Կրկնակի բովանդակային պլանի դեպքում օգտագործում են հետազոտության 3 կամ 4 փուլերով խաչաձև սխեմա:
IV. In vitro լուծելիության համեմատական կինետիկայի թեստը
111. ԼՀԿԹ-ի կատարման մեթոդիկան և նմանության գործոնի (զուգամիտության, f2- չափանիշների) օգտագործման հիմնական պահանջները պետք է համապատասխանեն սույն կանոնների թիվ 5 հավելվածում նշված պահանջներին:
1. In vitro լուծելիության համեմատական կինետիկայի թեստը՝ որպես կենսահամարժեքության հետազոտության լրացում
112. Անհրաժեշտ է ներկայացնել այն հետազոտվող և ռեֆերենտ դեղապատրաստուկների սերիաների ԼՀԿԹ-ի արդյունքները, որոնք օգտագործվել են կենսահամարժեքության հետազոտությունում՝ երեք տարբեր բուֆերային միջավայրերում (սովորաբար pH 1.2, 4.5 և 6.8 դեպքերում) և դեղապատրաստուկի բացթողման հետազոտություններում օգտագործման ենթակա միջավայրում (որակի վերահսկման համար մասնագրում ներառվող միջավայր (դեղապատրաստուկի որակի վերահսկման նորմատիվ փաստաթուղթ)): Որոշ դեղաձևերի, օրինակ՝ բերանի խոռոչում մանրացող հաբերի հետազոտությունն անցկացնում են տարատեսակ պայմաններում: Հետազոտության արդյունքների մասին հաշվետվությունը հարկ է ներկայացնել ժամանակի ընթացքում լուծված քանակության բաժնի պրոֆիլի տեսքով՝ նշելով միջին արժեքները և ընդհանրացված վիճակագրությունները:
113. Այլ հիմնավորումների բացակայության դեպքում հետազոտվող դեղապատրաստուկի՝ ըստ «Լուծում» ցուցանիշի, որակի վերահսկման համար մասնագրերը (դեղապատրաստուկի որակի հսկողության մասով նորմատիվ փաստաթուղթ) պետք է կազմել հետազոտվող դեղապատրաստուկի այն սերիայի լուծման պրոֆիլի հիման վրա, որի առնչությամբ հաստատվել է կենսահամարժեքությունը ռեֆերենտ դեղապատրաստուկին (սույն կանոնների թիվ 5 հավելվածի պահանջներին համապատասխան):
Եթե տարատեսակ սերիաների հետ անցկացված ԼՀԿԹ-ի արդյունքները չեն հաստատում in vivo հետազոտություններում նախկինում ապացուցված կենսահամարժեքությունը, ապա հենվում են in vivo հետազոտությունների արդյունքների վրա: Սակայն անհրաժեշտ է ուսումնասիրել և բացատրել այդպիսի անհամապատասխանության պատճառները:
2. Լրացուցիչ դեղաչափումների բիովեյվերի նպատակներով լուծելիության համեմատական կինետիկայի թեստը
114. Կենսահամարժեքության լրացուցիչ in vivo հետազոտություններ չանցկացնելու հիմնավորվածությունն անհրաժեշտ է հաստատել պատշաճ կերպով կատարված ԼՀԿԹ-ով: Եթե այլ բան նշված չէ, ապա լուծելիությունն անհրաժեշտ է ուսումնասիրել pH-ի (սովորաբար pH 1.2, 4.5 և 6.8 դեպքերում) տարատեսակ արժեքներով: Ներկայացված բոլոր սերիաների համար անհրաժեշտ է հաստատել լրացուցիչ դեղաչափումների և կենսահամարժեքության հետազոտության մեջ բոլոր պայմաններում օգտագործված սերիաներից դեղաչափումների միջև լուծելիության in vitro պրոֆիլների համադրելիությունը (հաշվի առնելով սույն կանոնների թիվ 5 հավելվածում նշված պահանջները):
115. pH-ի այն արժեքների դեպքում, որոնց ժամանակ դեղաչափումներից ոչ մեկի համար չի հաջողվում հասնել լրիվ լուծելիության, դեղաչափումների միջև ԼՀԿԹ-ի անցկացման պայմանները կարող են տարբերվել: Սակայն, ապացուցելու համար, որ դա պայմանավորված է ազդող նյութի, այլ ոչ թե դեղաձևի հատկություններով, անհրաժեշտ է համեմատություն անցկացնել ռեֆերենտ դեղապատրաստուկի համապատասխան դեղաչափման հետ: Բացի դրանից, հայտատուն իրավասու է հաստատել միևնույն դեղաչափերի համար պրոֆիլների համադրելիությունը (օրինակ՝ 5 մգ դեղաչափմամբ երկու հաբերի և 10 մգ դեղաչափմամբ մեկ հաբի միջև):
V. Հետազոտության վերաբերյալ հաշվետվությունը
1. Կենսահամարժեքության հետազոտության
վերաբերյալ հաշվետվությունը
116. Կենսահամարժեքության վերաբերյալ հաշվետվությունը պետք է պարունակի հետազոտության արձանագրության, հետազոտության անցկացման և դրա վերլուծության վերաբերյալ բոլոր անհրաժեշտ տեղեկությունները: Հաշվետվությունը պետք է կազմվի և ստորագրվի հետազոտողի կողմից՝ Հանձնաժողովի կողմից հաստատվող Միության պատշաճ կլինիկական գործունեության կանոնների թիվ 1 հավելվածին և սույն կանոնների թիվ 7 հավելվածին համապատասխան: Կենսահամարժեքության հետազոտության վերաբերյալ հաշվետվության կառուցվածքը պետք է համապատասխանի սույն կանոնների թիվ 7 հավելվածին:
Հաշվետվության մեջ անհրաժեշտ է նշել պատասխանատու հետազոտողների անունները և ազգանունները, դրանց աշխատավայրը, հետազոտության անցկացման վայրը և տևողությունը, սերտիֆիկատները կամ աուդիտի արդյունքներով կազմված եզրակացությունները (առկայության դեպքում):
117. Հաշվետվությունը պետք է պարունակի ռեֆերենտ դեղապատրաստուկի ընտրության՝ սույն կանոնների III բաժնի թիվ 2 հավելվածի պահանջներին համապատասխանության վերաբերյալ հաստատումը: Մասնավորապես, անհրաժեշտ է նշել ռեֆերենտ դեղապատրաստուկի առևտրային անվանումը, դեղաչափումը, դեղաձևը, սերիայի համարը, արտադրողին, պիտանիության ժամկետը և ձեռքբերման երկիրը:
118. Հաշվետվության մեջ անհրաժեշտ է նշել սերիայի անվանումը, բաղադրությունը, չափը և համարը, հետազոտվող դեղապատրաստուկի արտադրության ամսաթիվը և, հնարավորության դեպքում, պիտանիության ժամկետի ավարտման ամսաթիվը:
Հետազոտության մեջ օգտագործված՝ հետազոտվող և ռեֆերենտ դեղապատրաստուկների վերլուծության սերտիֆիկատները հավելվածի տեսքով կցվում են հաշվետվությանը:
119. Կոնցենտրացիաների, դեղակինետիկ պարամետրերի և վիճակագրական վերլուծության արդյունքների վերաբերյալ տեղեկություններն անհրաժեշտ է ներկայացնել սույն կանոնների III բաժնի 9-րդ ենթաբաժնի՝ «Տվյալների ներկայացումը» ենթաբաժնով նախատեսված ծավալով: Դեղակինետիկ պարամետրերի կրճատումը նշվում է թիվ 8 հավելվածին համապատասխան:
2. Գրանցման դոսյեի կազմում կենսահամարժեքության հետազոտության արդյունքներին ներկայացվող այլ պահանջներ
120. Հայտատուն պետք է ներկայացնի իր կողմից ստորագրված պաշտոնական փաստաթուղթ, որը հաստատում է, որ կենսահամարժեքության հետազոտության մեջ ուսումնասիրված դեղապատրաստուկի և գրանցմանը ներկայացված դեղապատրաստուկի քանակական բաղադրությունն ու արտադրության տեխնոլոգիան չեն տարբերվում: Անհրաժեշտ է կցել լուծելիության համեմատական պրոֆիլները (սույն կանոնների IV բաժնին և թիվ 7 հավելվածին համապատասխան):
Կենսավերլուծական մեթոդի վալիդացման մասին հաշվետվությունը և թիվ 6 հավելվածի պահանջներին համապատասխան պատրաստված վերլուծական հաշվետվությունն անհրաժեշտ է ներառել դեղապատրաստուկի գրանցման դոսյեի 5-րդ մոդուլում:
121. Ըստ հարցման՝ անհրաժեշտ է ներկայացնել տվյալներ (օրինակ՝ էլեկտրոնային տեքստային ֆայլի տեսքով՝ ստորակետներով կամ բացատներով տարանջատված տվյալներով, կամ Excel ձևաչափի ֆայլով կամ այլ ձևաչափով՝ լիազորված անձի հետ համաձայնեցմամբ), որոնք բավարար են դեղակինետիկ և վիճակագրական վերլուծությունը վերարտադրելու համար, ներառյալ՝ նմուշառման ժամանակի, դեղապատրաստուկի կոնցենտրացիայի, պատահական բաշխման յուրաքանչյուր փուլում և սխեմայում յուրաքանչյուր սուբյեկտի դեղակինետիկ պարամետրերի արժեքների մասին տվյալները:
VI. Գրանցման դոսյեի մեջ փոփոխություններ կատարելիս հետազոտությունների ծավալը
122. Ավելի վաղ հավանություն ստացած՝ կենսամատչելիության վրա ազդեցություն գործելու կարողությամբ բաղադրությունը կամ արտադրության տեխնոլոգիան փոփոխելիս անցկացվում են in vivo կենսահամարժեքության հետազոտություններ՝ եթե այլ տվյալներ ներկայացված չեն: Յուրաքանչյուր ներկայացված հիմնավորում պետք է հիմնվի ընդհանուր, մասնավորապես՝ սույն կանոնների թիվ 4 հավելվածում նշված սկզբունքների վրա, կամ in vitro – in vivo (Ա աստիճան) ընդունելի հարաբերակցության սահմանման դեպքում (IVIVC):
Եթե փոփոխված դեղապատրաստուկի կենսահամարժեքությունն ավելի վաղ ուսումնասիրված է, ու in vivo դեղակինետիկ պարամետրերի և in vitro լուծելիության կինետիկայի միջև սահմանված է ընդունելի (Ա աստիճանի) հարաբերակցություն՝ փոփոխված դեղապատրաստուկի և հարաբերակցությունը սահմանելու համար օգտագործված փորձարկման միևնույն պայմաններում ավելի վաղ հաստատվածի միջև in vitro լուծելիության պրոֆիլի համադրելիության դեպքում, ապա կենսահամարժեքության հետազոտություն անցկացնել չի պահանջվում (թիվ 5 հավելվածին համապատասխան):
123. Վերարտադրված դեղապատրաստուկներ չհանդիսացող դեղապատրաստուկների գրանցման դոսյեի մեջ փոփոխություններ կատարելու դեպքում (օրինակ՝ օրիգինալ, նոր համադրություններ, լավ ուսումնասիրված կիրառություն) կենսահամարժեքության հետազոտության և ԼՀԿԹ-ի անցկացման համար որպես ռեֆերենտ դեղապատրաստուկ ծառայում է ավելի վաղ հավանության արժանացած՝ նախկին բաղադրությամբ, արտադրության վայրով, փաթեթվածքով և այլն, դեղապատրաստուկը:
124. Վերարտադրված կամ հիբրիդային դեղապատրաստուկի դոսյեի մեջ փոփոխություններ կատարելիս կենսահամարժեքությունը հետազոտելու համար որպես համեմատման դեղապատրաստուկ (կոմպարատոր, հսկողություն) օգտագործվում է շուկայում առկա ռեֆերենտ դեղապատրաստուկի սերիան: Եթե դեղապատրաստուկը շուկայում բացակայում է, ապա համապատասխան հիմնավորման ներկայացմամբ համեմատությունը թույլատրվում է իրականացնել ավելի վաղ հավանության արժանացածի (վերարտադրված կամ հիբրիդային դեղապատրաստուկի) բաղադրության հետ: Կենսահամարժեքության հետազոտություն չպահանջող փոփոխությունների դեպքում հարկ է ղեկավարվել դեղամիջոցների շրջանառության ոլորտի՝ Միության իրավունքի մաս կազմող ակտերի առաջարկներով և պահանջներով:
|
ՀԱՎԵԼՎԱԾ ԹԻՎ 1 Եվրասիական տնտեսական միության շրջանակներումդեղապատրաստուկների կենսահամարժեքության հետազոտությունների անցկացման կանոնների |
ԸՆԴՀԱՆՈՒՐ ՊԱՀԱՆՋՆԵՐ
դեղապատրաստուկների տարբեր դեղաձևերի կենսահամարժեքության հետազոտությանը ներկայացվող
I. Ընդհանուր դրույթներ
Եթե, ռեֆերենտ դեղապատրաստուկի հետ համեմատած, հետազոտվող դեղապատրաստուկը պարունակում է այլ աղ, բարդ եթեր, ստերեոիզոմեր կամ դրանց խառնուրդը, այլ համալիր միացություն կամ ազդող նյութի ածանցյալ, ապա կենսահամարժեքությունն անհրաժեշտ է հաստատել կենսաhամարժեքության in vivo հետազոտությունների օգնությամբ: Սակայն, եթե հետազոտվող դեղապատրաստուկի ազդող նյութը նույնական է ռեֆերենտ դեղապատրաստուկի ազդող նյութին (կամ պարունակում է Եվրասիական տնտեսական հանձնաժողովի կողմից հաստատվող՝ Եվրասիական տնտեսական միության շրջանակներում դեղապատրաստուկների կենսահամարժեքության հետազոտությունների անցկացման կանոնների (այսուհետ համապատասխանաբար՝ Հանձնաժողով, Միություն, կենսահամարժեքության հետազոտության կանոններ) թիվ 4 հավելվածի III մասում սահմանված նման հատկություններով աղեր), ապա ստորև ու Կենսահամարժեքության հետազոտությունների անցկացման կանոնների թիվ 4 հավելվածում նկարագրված որոշ դեպքերում կենսահամարժեքության in vivo հետազոտությունների անցկացում չի պահանջվում:
II. Արագ ձերբազատմամբ համակարգային ազդեցության ներքին ընդունման դեղաձևերը
«Բիովեյվեր» ընթացակարգի համար պայմանների բացակայության դեպքում (Կենսահամարժեքության հետազոտությունների անցկացման կանոնների թիվ 4 հավելվածով սահմանված պահանջներին համապատասխան) ներքին ընդունման այնպիսի դեղաձևերի մասով, ինչպիսիք են հաբերը, պատիճները և կախույթները (սուսպենզիաները), անհրաժեշտ է անցկացնել կենսահամարժեքության հետազոտություններ: Բերանի խոռոչում դիսպերսվող (մանրացող) հաբերի և ներքին ընդունման լուծույթների նկատմամբ կիրառվում են ստորև նկարագրված հատուկ պահանջները:
III. Բերանի խոռոչում դիսպերսվող հաբերը
Բերանի խոռոչում դիսպերսվող հաբերը (այսուհետ՝ ԽԴՀ) նախատեսված են բերանում արագ լուծվելու համար: Եթե ազդող նյութը նույնպես լուծվում է թքի մեջ և կարող է ներծծվել բերանի խոռոչի լորձաթաղանթի միջոցով, ապա կարևոր գործոններ են համարվում դեղապատրաստուկի ընդունման և լորձաթաղանթի հետ դրա շփման ժամանակը: Թաղանթով պատված ԽԴՀ-ներից ձերբազատված ազդող նյութը կուլ տալուց հետո, կախված դեղապատրաստուկի բաղադրությունից, ներծծումը տեղի է ունենում նույնպես աղեստամոքսային տրակտում: Եթե հնարավոր է հաստատել, որ ազդող նյութը չի ներծծվում բերանի խոռոչից, այլ այն անհրաժեշտ է կուլ տալ աղեստամոքսային տրակտից աբսորբվելու համար, ապա դեղապատրաստուկը կարող է բավարարել «բիովեյվեր» ընթացակարգի չափորոշիչներին դասակարգման կենսադեղագործական համակարգի (ԴԿՀ) հիման վրա (Կենսահամարժեքության հետազոտությունների անցկացման կանոնների թիվ 4 հավելվածի պահանջներին համապատասխան): Եթե դա հնարավոր չէ հաստատել, ապա անհրաժեշտ է անցկացնել մարդու մոտ կենսահամարժեքության հետազոտություն:
Եթե ԽԴՀ-ն լրացուցիչ (նոր) դեղաձև և (կամ) ներքին ընդունման դեղապատրաստուկի այլ բաղադրության համար դեղաչափումների սանդղակի ընդլայնում է, ապա միաժամանակ ջրով կամ առանց ջրի ընդունելու դեպքում բերանի խոռոչում դիսպերսվող հաբերի օգտագործումը գնահատելու նպատակով անցկացվում է եռափուլ հետազոտություն: Սակայն, եթե առանց ջրի ընդունած ԽԴՀ-ի և ջրով ընդունած ռեֆերենտ դեղապատրաստուկի միջև կենսահամարժեքությունը ցույց է տրվել երկփուլ հետազոտությամբ, ապա ջրով ընդունվող ԽԴՀ-ի կենսահամարժեքությունը համարվում է ապացուցված:
Եթե ԽԴՀ ռեֆերենտ դեղապատրաստուկի նկատմամբ ԽԴՀ-ն վերարտադրված կամ հիբրիդային դեղապատրաստուկ է, ապա հետազոտություն պլանավորելիս անհրաժեշտ է պահպանել հետևյալ պահանջները՝
ա) եթե ռեֆերենտ դեղապատրաստուկը կարելի է ընդունել ջրով կամ առանց ջրի, ապա կենսահամարժեքության հետազոտությունը պետք է անցկացվի առանց ջրի ընդունման, քանի որ դա ավելի շատ է համապատասխանում իրական պայմաններում դեղապատրաստուկի օգտագործման եղանակին: Դա հատկապես կարևոր է, եթե ազդող նյութը լուծվում և ներծծվում է բերանի խոռոչից: Եթե կենսահամարժեքությունը հաստատվել է առանց ջրի ընդունման, ապա հեղուկի միաժամանակյա ընդունմամբ կենսահամարժեքությունը համարվում է ապացուցված.
բ) եթե ռեֆերենտ դեղապատրաստուկն ընդունում են ջրով կամ առանց ջրի, ապա կենսահամարժեքության հետազոտությունն անցկացվում է համապատասխան պայմաններում (ստանդարտ երկփուլ խաչաձև հետազոտության պլանով).
գ) եթե ռեֆերենտ դեղապատրաստուկն ընդունում են ջրով կամ առանց ջրի, իսկ հետազոտվող դեղապատրաստուկը նախատեսված է ընդունման երկու եղանակների համար, ապա համեմատումն անցկացնում են՝ դեղապատրաստուկն ընդունելով ջրով կամ առանց ջրի, ընդ որում՝ դեղապատրաստուկն օգտագործվում է առաջարկված եղանակին համապատասխան (եռափուլ հետազոտություն՝ 3 խմբերով, 6 հաջորդականություններով):
Եթե ԽԴՀ-ի ուսումնասիրության մասով հետազոտություններում վերջինս ընդունվում է առանց ջրի, ապա խորհուրդ է տրվում դեղապատրաստուկն անմիջապես ընդունելուց առաջ բերանի խոռոչի լորձաթաղանթը թրջել 20 մլ ջրով: Հեղուկ ընդունելը դեղապատրաստուկն ընդունելուց հետո 1 ժամվա ընթացքում արգելվում է:
Բերանի խոռոչում դիսպերսվող թաղանթների, թաղանթների կամ հարթշային հաբերի, ենթալեզվային հաբերի և ծամելու հաբերի նկատմամբ կենսահամարժեքության հետազոտությունը կատարվում է ԽԴՀ-ի անալոգիայով: Կենսահամարժեքության հետազոտությունն անհրաժեշտ է անցկացնել հետազոտվող դեղապատրաստուկի օգտագործման առաջարկվող եղանակին համապատասխան:
IV. Ներքին ընդունման լուծույթները
Եթե հետազոտվող դեղապատրաստուկը կիրառության պահին ներքին ընդունման ջրային լուծույթ է և պարունակում է ազդող նյութի նույն կոնցենտրացիան, ինչ գրանցված լուծույթը, ապա կենսահամարժեքության հետազոտությունների կատարում չի պահանջվում: Սակայն, եթե օժանդակ նյութերը կարող են ազդել աղեստամոքսային տրակտի մոտորիկայի (շարժունակության) (օրինակ՝ սորբիտոլ, մաննիտոլ և այլն), աբսորբման (օրինակ՝ փոխադրող սպիտակուցների վրա ազդող մակերեսայնորեն ակտիվ նյութեր կամ միացություններ), in vivo պայմաններում ազդող նյութի լուծվելու և ներծծվելու (օրինակ՝ համալուծիչներ) գործընթացի կամ կայունության վրա, և եթե օժանդակ նյութերի պարունակության միջև տարբերությունները պատշաճ կերպով չեն հիմնավորվել այլ տվյալներով, ապա անցկացվում է կենսահամարժեքության հետազոտություն: Ներքին ընդունման լուծույթների օժանդակ նյութերին ներկայացվող պահանջները նման են «բիովեյվեր» ընթացակարգի պայմաններին (հաշվի առնելով Կենսահամարժեքության հետազոտությունների անցկացման կանոնների թիվ 4 հավելվածի պահանջները):
Եթե ներքին ընդունման լուծույթ հանդիսացող հետազոտվող դեղապատրաստուկի կենսահամարժեքությունը պետք է հաստատվի արագ ձերբազատմամբ այլ դեղապատրաստուկի նկատմամբ, ապա անհրաժեշտ է անցկացնել կենսահամարժեքության հետազոտություն:
(բաժինը լրաց. ԵՏՀԽ 05.02.23 թիվ 22)
V. Համակցված դեղապատրաստուկները
Հետազոտության անցկացման մասով պահանջները ներկայացված են համակցված դեղապատրաստուկների կլինիկական մշակման մասով Միության փաստաթղթում: Համակցված դեղապատրաստուկների նկատմամբ «բիովեյվեր» ընթացակարգի պայմանները ներկայացված են Կենսահամարժեքության հետազոտությունների անցկացման կանոնների 4-րդ հավելվածի V մասում:
VI. Ներքին ընդունման համար չնախատեսված՝ արագ ձերբազատմամբ համակարգային ազդեցության դեղաձևերը
Սույն բաժինը մասնավորապես վերաբերում է ռեկտալ դեղաձևերին: Որպես կանոն, դրանց վերաբերյալ կատարվում է կենսահամարժեքության հետազոտություն: Եթե դեղապատրաստուկն այնպիսի լուծույթ է, որը պարունակում է ազդող նյութ նույն կոնցենտրացիայով, ինչ օժանդակ նյութերի նույն որակական և նման քանակական պարունակությամբ գրանցված դեղապատրաստուկը, ապա հնարավոր է «բիովեյվեր» ընթացակարգը (ընդ որում, կարող են կիրառվել ներքին ընդունման լուծույթների համար համանման պահանջներ):
Սույն ենթաբաժնի դրույթները չեն վերաբերում բրոնխային հեղձուկի (ասթմայի) և թոքերի քրոնիկ օբստրուկտիվ հիվանդությունների բուժման համար կիրառվող՝ ինհալացիայի համար դեղապատրաստուկներին, ինչպես նաև քթի հորմոնալ ցողաշիթերին:
VII. Պարէնտերալ ներմուծման համար լուծույթները
Եթե հետազոտվող դեղապատրաստուկը ներերակային ներմուծման կիրառվում է ջրային լուծույթի տեսքով, և պարունակում է նույն ազդող նյութը, ինչ գրանցված դեղապատրաստուկը, ապա կենսահամարժեքության հետազոտության անցկացում, որպես կանոն, չի պահանջվում: Սակայն, եթե օժանդակ նյութերից մեկը կարող է փոխազդել ազդող նյութի հետ (օրինակ՝ համալիրների առաջացմամբ) կամ այլ կերպ ազդել դրա բաշխման, մետաբոլիզմի և դուրսբերման վրա, ապա պահանջվում է կենսահամարժեքության հետազոտության կատարում: Դրանից կարելի է խուսափել, եթե համեմատվող դեղապատրաստուկները պարունակում են գրեթե նույն քանակությամբ օժանդակ նյութեր, և պատշաճորեն ապացուցվել է, որ դրանց պարունակության մեջ առկա տարբերությունները չեն ազդում ազդող նյութի դեղակինետիկայի վրա:
Ներմուծման պարէնտերալ այլ, օրինակ՝ միջմկանային և ենթամաշկային ուղիների դեպքում, եթե հետազոտվող դեղապատրաստուկն ունի նույն տեսակի լուծիչ (օրինակ՝ ջրային կամ յուղային միջավայր), պարունակում է ազդող նյութ նույն կոնցենտրացիայով և նույն օժանդակ նյութերը նման քանակություններով, ինչ գրանցված դեղապատրաստուկը, ապա կենսահամարժեքության հետազոտությունների կատարում չի պահանջվում: Ավելին, չի պահանջվում գրեթե նույն պարունակությամբ օժանդակ նյութերի ջրային լուծույթների կենսահամարժեքության հետազոտության անցկացում, եթե վերջիններս չեն ազդում մածուցիկության վրա:
(բաժինը փոփ. ԵՏՀԽ 05.02.23 թիվ 22)
VIII. Ներերակային ներմուծման լիպոսոմալ, միցելլյար և էմուլսիոն դեղաձևերը
1. Լիպոսոմալ դեղաձևերը
Միության իրավունքին համապատասխան՝ ներերակային ներմուծման լիպոսոմալ պատրաստուկների դեղակինետիկ առանձնահատկությունները պահանջում են կենսահամարժեքության հաստատման հատուկ մոտեցումներ:
2. Էմուլսիաները
Էմուլսիաները, որպես կանոն, չեն ենթարկվում «բիովեյվեր» ընթացակարգին:
Սակայն «բիովեյվեր» ընթացակարգը հնարավոր է ստորև բերված պայմանները պահպանելու դեպքում՝
ա) դեղաձևը նախատեսված չէ կարգավորվող ձերբազատման և (կամ) կարգավորվող բաշխման (վեկտորային տեղ հասցնելու) համար.
բ) ներմուծման եղանակը և արագությունը համընկնում են գրանցված դեղապատրաստուկի ներմուծման եղանակի ու արագության հետ:
Նման դեպքերում դեղապատրաստուկի որակական և քանակական բաղադրությունը չպետք է տարբերվի գրանցված բաղադրությունից. անհրաժեշտ է ներկայացնել ֆիզիկաքիմիական հատկությունների խիստ նմանությունը հիմնավորող տվյալներ, ներառյալ՝ դիսպերսիոն լիպիդային ֆազի ֆրակցիոն բաղադրությունը և էմուլսիայի այլ էական բնութագրեր, այդ թվում՝ մակերեսային հատկությունները (օրինակ՝ Գ-պոտենցիալը և ռեոլոգիական հատկությունները):
3. Ներերակային պարէնտերալ սնուցման՝ լիպիդների դեղապատրաստուկները
Եթե այդ դեղապատրաստուկների մասով ներկայացվել են հիմնավորված տվյալներ ֆիզիկաքիմիական հատկությունների համադրելիության վերաբերյալ, ապա հնարավոր է «բիովեյվեր» ընթացակարգը: Բաղադրության մեջ տարբերությունները կարող են հիմնավորվել նման դեղաձևերի հատկություններով և օգտագործման մասին ցուցումներով:
4. Միցելներ առաջացնող պատրաստուկները
Ներերակային ներմուծման համար միցելային լուծույթները կարող են դիտարկվել որպես «կոմպլեքսային» լուծույթներ, այդ իսկ պատճառով դրանք չեն ենթարկվում «բիովեյվեր» ընթացակարգին:
Սակայն «բիովեյվեր» ընթացակարգը հնարավոր է՝ ստորև բերված պայմանները պահպանելու դեպքում՝
ա) դեղապատրաստուկը՝ իր օգտագործման եղանակի ցուցումներին համապատասխան նոսրացնելիս տեղի է ունենում միցելների արագ տրոհում, իսկ դեղաձևը նախատեսված չէ կարգավորվող ձերբազատման կամ բաշխման համար.
բ) ներմուծման եղանակը և արագությունը համընկնում են գրանցված դեղապատրաստուկի հետ.
գ) օժանդակ նյութերը չեն ազդում ազդող նյութի բաշխման, մետաբոլիզմի և դուրսբերման վրա:
Նման դեպքերում միցելային լուծույթի որակական և քանակական բաղադրությունն անմիջականորեն ներմուծումից առաջ չպետք է տարբերվի գրանցված դեղապատրաստուկից. անհրաժեշտ է ներկայացնել ֆիզիկաքիմիական հատկությունների նմանությունը հաստատող հիմնավորված տվյալներ: Օրինակ՝ միցելների առաջացման կրիտիկական կոնցենտրացիան, դեղաձևի՝ սոլյուբիլիզացիայի (լուծման) ունակությունը (օրինակ՝ առավելագույն հավելյալ կոնցենտրացիան (Maximum Additive Concentration)), ազդող նյութի ազատ և կապված ֆրակցիան և միցելների չափը:
Այդ կանոնները նույնպես կիրառելի են դեղապատրաստուկի որակական կամ քանակական բաղադրության աննշան փոփոխությունների դեպքում՝ պայմանով, որ նման փոփոխությունները չեն շոշափում մակերեսայնորեն ակտիվ նյութերի որակական կամ քանակական բաղադրությունը:
IX. Համակարգային ազդեցության մոդիֆիկացվող ձերբազատմամբ դեղաձևերը
1. Ներքին ընդունման կամ տրանսդերմալ օգտագործման համար մոդիֆիկացվող ձերբազատմամբ դեղաձևերը
Ներքին ընդունման կամ տրանսդերմալ օգտագործման համար մոդիֆիկացվող ձերբազատմամբ դեղաձևերը պահանջում են կենսահամարժեքության հետազոտություններն անցկացնել Միության իրավունքի մաս կազմող ակտերին համապատասխան:
2. Միջմկանային և ենթամաշկային ներմուծման համար մոդիֆիկացվող ձերբազատմամբ դեղաձևերը
Ազդող նյութի՝ դրա միջմկանային կամ ենթամաշկային ներմուծման դեպքում, ձերբազատման մոդիֆիկացման համար նախատեսված սուսպենզիաների կամ այլ դեղաձևերի մասով կենսահամարժեքությունը հաստատելիս Միության իրավունքի մաս կազմող ակտերի համաձայն կիրառվում են մոդիֆիկացվող ձերբազատմամբ արտաանոթային դեղաձևերի (օրինակ՝ տրանսդերմալ) կենսահամարժեքության հաստատմանը ներկայացվող պահանջները:
X. Տեղային կամ արտաքին օգտագործման՝ տեղային ազդեցության դեղապատրաստուկները
Տեղային ազդեցության դեղապատրաստուկների ուսումնասիրության մասով կանոնները (պերօրալ, քթի, թոքերի, աչքերի, վերնամաշկի միջոցով, ռեկտալ, վագինալ և այլ ուղիներով ներմուծման դեպքում) արտացոլված են Միության իրավունքի մաս կազմող այլ ակտերում:
Եթե որպես լուծույթ հետազոտվող դեղապատրաստուկը (օրինակ՝ աչքի կաթիլները, քթի ցողաշիթը (բացառությամբ քթի հորմոնալ ցողաշիթերի) կամ արտաքին կիրառման լուծույթը) չի տարբերվում ըստ լուծման միջավայրի տեսակի (ջրային կամ յուղային) և պարունակում է նույն ակտիվ նյութի նույն կոնցենտրացիան, ինչ գրանցված դեղապատրաստուկը, ապա չի պահանջվում հաստատել դրանց համարժեքությունը: Օժանդակ նյութերի պարունակության մեջ աննշան տարբերությունները թույլատրելի են, եթե հետազոտվող և ռեֆերենտ դեղապատրաստուկների էական դեղագործական հատկությունները նույնական են կամ նման են: Օժանդակ նյութերի պարունակության մեջ քանակական կամ որակական ցանկացած տարբերություն պահանջում է հիմնավորում՝ թերապևտիկ համարժեքության վրա դրանց ազդեցության դիրքերից: Հիմքերի բացակայության դեպքում ներմուծման եղանակը և ուղիները պետք է համապատասխանեն գրանցված դեղապատրաստուկին:
Եթե տեղային կիրառման դեղապատրաստուկների տեղային կիրառումից հետո համակարգային աբսորբման պատճառով առաջանում է անցանկալի համակարգային ռեակցիաների ռիսկ, ապա անհրաժեշտ է չափել համակարգային էքսպոզիցիան: Անհրաժեշտ է հաստատել, որ հետազոտվող դեղապատրաստուկի համակարգային էքսպոզիցիան չի գերազանցում համեմատման դեղապատրաստուկի համակարգային էքսպոզիցիան, այսինքն՝ 90% վստահելի միջակայքի վերին սահմանը չպետք է գերազանցի կենսահամարժեքության ընդունելի վերին սահմանը (125,00%-ը):
Տեղային կամ արտաքին կիրառման՝ տեղային ազդեցության ոչ մի դեղապատրաստուկ չպետք է դիտարկվի որպես վերարտադրված դեղապատրաստուկ, քանի որ դրանք ընկնում են հիբրիդային դեղապատրաստուկների սահմանման տակ:
XI. Գազերը
Եթե դեղապատրաստուկն ինհալյացիայի համար նախատեսված գազ է, ապա կենսահամարժեքության հետազոտություններ չեն պահանջվում:
|
ՀԱՎԵԼՎԱԾ ԹԻՎ 2 Եվրասիական տնտեսական միության շրջանակներումդեղապատրաստուկների կենսահամարժեքության հետազոտությունների անցկացման կանոնների |
ՊԱՀԱՆՋՆԵՐ
կենսահամարժեքության ուսումնասիրության շրջանակներում դեղադինամիկ հետազոտություններին ներկայացվող
1. Երբ դեղակինետիկ մոտեցումը կիրառելի չէ, երկու դեղապատրաստուկների միջև համարժեքությունը որոշելու համար առողջ կամավորների կամ պացիենտների մոտ կարող են օգտագործվել դեղադինամիկ հետազոտությունները: Դեղադինամիկ համարժեքության հետազոտությունը կարող է անհրաժեշտ լինել, երբ պլազմայում կամ մեզի մեջ ազդող նյութի և (կամ) մետաբոլիտների պարունակության քանակական որոշումը չի կարող անցկացվել բավականաչափ զգայունությամբ և ճշգրտությամբ: Բացի այդ, մարդու մոտ համարժեքության դեղադինամիկ հետազոտություններն անհրաժեշտ են, եթե ազդող նյութի կոնցենտրացիաների չափումը չի կարող օգտագործվել որպես կոնկրետ դեղապատրաստուկի արդյունավետությունը և անվտանգությունը հաստատելու համար երկրորդային վերջնակետեր, օրինակ՝ տեղային ազդեցության դեղապատրաստուկի համար: Միաժամանակ դեղակինետիկ հետազոտությունների վրա հիմնված՝ առանձին կամ in vitro պայմաններում լուծման հետազոտությունների հետ միասին անցկացված տեղային մատչելիության հետազոտությունները կարող են դիտարկվել որպես երկրորդային վերջնակետեր՝ կենսադեղագործական որակի և ազդեցության տեղում ձերբազատման տեսանկյունից տեղային ազդեցության որոշ դեղապատրաստուկների համար համարժեքությունը հաստատելու նպատակով: Բացի այդ, կենսահամարժեքության հետազոտությունները նույնպես անհրաժեշտ են համակարգային անվտանգությունն ուսումնասիրելիս դեղապատրաստուկների համակարգային էքսպոզիցիայի (AUC) համարժեքությունը հաստատելու համար:
2. Դեղադինամիկ հետազոտությունները խորհուրդ չեն տրվում այն դեղապատրաստուկների նկատմամբ, որոնց ազդող նյութը ներթափանցում է համակարգային արյունահոսքի մեջ: Ընդ որում, համակարգային էքսպոզիցիան գնահատելու և կենսահամարժեքությունը որոշելու համար կարելի է կիրառել դեղակինետիկ մոտեցում: Դա պայմանավորված է նրանով, որ դեղադինամիկ և կլինիկական վերջնակետերը բնութագրվում են դեղապատրաստուկների միջև՝ դրանց կենսադեղագործական հատկությունների, ձերբազատման և աբսորբման մասով տարբերության բացահայտվելու նկատմամբ առավել ցածր զգայունությամբ: Քանի որ դեղադինամիկ և կլինիկական վերջնակետերի համար
«դեղաչափ-ազդեցություն» կախվածության կորերը սովորաբար առավել սակավաթեք են, քան դեղակինետիկ պարամետրերի՝ դեղաչափից կախվածության համապատասխան կորերը, անհրաժեշտ է ապացուցել հետազոտության բավարար վերլուծական զգայունությունը, այսինքն՝ տարբեր դեղաչափեր կիրառելիս ստացված ռեակցիան տարբերելու ունակությունը: Կարևոր է անցկացնել համեմատություններ առավել զգալի ռեակցիա առաջացնող դեղաչափերով, որոնք որոշելու համար կարող է պահանջվել փորձնական հետազոտության անցկացում: Դեղադինամիկ ցուցանիշները միշտ ունեն առավել մեծ փոփոխականություն, քան դեղակինետիկ տվյալները: Դեղադինամիկ ցուցանիշները հաճախ ենթակա են պլացեբո էֆեկտի զգալի ազդեցությանը, որն ավելացվում է հետազոտության փոփոխականությանը և բարդ պլանին:
Արդյունքում, բավարար վիճակագրական հզորության հասնելու նպատակով կարող է պահանջվել մեծ թվով պացիենտների հավաքագրում: Համեմատական դեղադինամիկ հետազոտություններում անհրաժեշտ է ընդգրկել պլացեբո խումբ (երրորդ խումբ):
3. Հետազոտությունը պլանավորելիս, անցկացնելիս և արդյունքները գնահատելիս անհրաժեշտ է կատարել հետևյալ պահանջները՝
ա) չափվող ռեակցիան պետք է դեղապատրաստուկի արդյունավետությունը և (կամ) անվտանգությունը բնութագրող դեղաբանական արդյունք լինի.
բ) դեղաբանական արդյունքի գնահատման մեթոդիկան պետք է վալիդացվի ճշտության, ճշգրտության, վերարտադրելիության և սպեցիֆիկության տեսանկյունից.
գ) հետազոտության ընթացքում հետազոտվող դեղապատրաստուկը և ռեֆերենտ դեղապատրաստուկը չպետք է առաջացնեն առավելագույն ռեակցիա, քանի որ կարող է անհնար դառնալ այն դեղաչափերով օգտագործվող ազդող նյութերի միջև տարբերությունների բացահայտումը, որոնք առաջացնում են առավելագույն կամ առավելագույնին մոտ արդյունքներ, ընդ որում՝ «դեղաչափ-ազդեցություն» կախվածության ուսումնասիրությունը կարող է նման հետազոտության անհրաժեշտ մաս լինել.
դ) ռեակցիան պետք է չափվի քանակապես, նախընտրելի է՝ կրկնակի կույր մեթոդով, և արդյունքները պետք է գրանցվեն հարմար սարքավորման միջոցով, որը հնարավորություն է տալիս վերարտադրել և գրանցել կրկնվող չափումների արդյունքները՝ ապահովելու համար դեղադինամիկ արդյունքների ֆիքսումը (փաստաթղթավորումը), որոնք փոխարինում են պլազմայում կոնցենտրացիայի չափումներին: Եթե նման փոփոխությունները հնարավոր չեն, կարելի է անցկացնել գրանցում ըստ գնահատման վալիդացված սանդղակների: Եթե տվյալները սահմանափակված են որակական ցուցանիշներով (կատեգորիալ տվյալներով), ապա պահանջվում է հատուկ վիճակագրական վերլուծության կատարում.
ե) դեղապատրաստուկի նկատմամբ ռեակցիա չդրսևորող սուբյեկտները պետք է հեռացվեն հետազոտությունից նախնական սկրինինգից հետո, և արձանագրության մեջ պետք է նշվեն այն չափորոշիչները, ըստ որոնց նույնականացվում են ռեակցիա դրսևորող և չդրսևորող սուբյեկտները.
զ) հետազոտության բովանդակային պլանում պետք է հաշվի առնվեն հիվանդության հիմքում ընկած պաթոլոգիան և անամնեզը, ու բերվեն ելակետային պայմանների վերարտադրելիության վերաբերյալ տեղեկություններ.
է) պետք է կիրառել խաչաձև պլան, սակայն, եթե այն պիտանի չէ, կարելի է կիրառել զուգահեռ պլան: Պատրաստուկի կիրառման ժամանակահատվածների միջև մաքրման ժամանակահատվածը պետք է կազմի սուր դեղաբանական ազդեցության կիսավերացման 5-ից ոչ պակաս ժամանակահատված: Սուր դեղաբանական ազդեցության չափման տևողությունը պետք է կազմի սուր դեղաբանական ազդեցության կիսավերացման 3-ից ոչ պակաս ժամանակահատված:
4. Վերարտադրված դեղապատրաստուկի և ռեֆերենտ դեղապատրաստուկի համար ընտրանքի ձևավորման սկզբունքները պետք է մնան այնպես, ինչպես նկարագրված է Եվրասիական տնտեսական հանձնաժողովի կողմից հաստատվող՝ Եվրասիական տնտեսական միության շրջանակներում դեղապատրաստուկների կենսահամարժեքության հետազոտությունների անցկացման կանոնների III մասի 3-րդ բաժնում:
5. Անընդհատ փոփոխականներ գրանցող հետազոտություններում որոշ ժամանակահատվածում նկատվող դեղապատրաստուկի ազդեցության ինտենսիվության փոփոխությունը կարող է նկարագրվել նույն ձևով, ինչ պլազմայում ազդող նյութի կոնցենտրացիան չափելու համար հետազոտությունում: Հնարավոր է դուրս բերել այն պարամետրերը, որոնք նկարագրում են «ազդեցություն-ժամանակ» կորի տակի մակերեսը (АUЕС), առավելագույն ռեակցիան և այն ժամանակը, երբ այդ ռեակցիան տեղի է ունենում:
6. Վերարտադրված դեղապատրաստուկի և ռեֆերենտ դեղապատրաստուկի համեմատությունը կարող է կատարվել հետևյալ եղանակներով՝
դեղաչափային կախվածության կամ հարաբերական ակտիվության վերլուծության կատարում, որը որոշվում է որպես հետազոտվող դեղապատրաստուկի ակտիվության հարաբերությունը ռեֆերենտ դեղապատրաստուկի ակտիվության նկատմամբ.
ազդեցության կախվածության վերլուծության կատարում, որը բաղկացած է, ըստ դեղադինամիկ վերջնակետի, համարժեքության հաստատումից (առնվազն դեղաչափերի 2 մակարդակների համար):
Նշված եղանակներից յուրաքանչյուրի համար նվազագույն պահանջ է համարվում զգայունության գնահատումը: Զգայունության գնահատման համար անհրաժեշտ է ուսումնասիրել դեղաչափերի առնվազն երկու ոչ զրոյական մակարդակ, ընդ որում՝ անհրաժեշտ է ցուցադրել, որ մի մակարդակը գերազանցում է մյուսին: Դրա հետ կապված՝ պատշաճ հիմնավորման բացակայության դեպքում անհրաժեշտ է ուսումնասիրել երկու դեղապատրաստուկների մեկից ավելի դեղաչափեր: Կարևոր է, որ հետազոտվեն «դեղաչափ-ազդեցություն» կորի վերին հատվածում գտնվող դեղաչափերը: Կորի ստորին հատվածներում գտնվող դեղաչափերը ենթաթերապևտիկ լինելու պատճառով կարող են լինել ոչ համոզիչ՝ համարժեքությունը հաստատելու համար: Համեմատած առավել բարձր դեղաչափերի հետ՝ կորի գագաթին գտնվող դեղաչափը նույնպես կարող է ունենալ համարժեք ազդեցություն, ինչը նմանապես չի կարող ծառայել որպես համարժեքության հաստատում:
Արդյունքներն անհրաժեշտ է ներկայացնել երկու մոտեցումների կիրառմամբ: Երկու դեպքում էլ համարժեքությունը հաստատելու համար հետազոտվող և ռեֆերենտ դեղապատրաստուկների դեղադինամիկ պարամետրերի ստացված վստահելի միջակայքերը պետք է գտնվեն համարժեքության ընտրված սահմանների տիրույթում: Հարաբերական ակտիվության համար անհրաժեշտ է նախատեսել 90% վստահելի միջակայքեր (ինչպես և կենսահամարժեքության հետազոտություններում), մինչդեռ 95% վստահելի միջակայքերը նախատեսվում են ազդեցության կախվածությունը վերլուծելու համար:
Թույլատրելի ընդգրկույթը, որը կիրառվում է դեղակինետիկ հետազոտություններում, տվյալ դեպքում կարող է լինել ոչ կիրառելի: Համարժեքության ընտրված ընդգրկույթը պետք է նախատեսվի և մանրակրկիտ կերպով հիմնավորվի հետազոտության արձանագրությունում նշված երկու մոտեցումների համար:
7. Համարժեքության դեղադինամիկ հետազոտության անցկացման մասին հաշվետվությունը կազմվում է՝ հաշվի առնելով դեղադինամիկ հետազոտությունների առանձնահատկությունները՝ Եվրասիական տնտեսական հանձնաժողովի կողմից հաստատվող՝ Եվրասիական տնտեսական միության շրջանակներում դեղապատրաստուկների կենսահամարժեքության հետազոտությունների անցկացման կանոնների թիվ 7 հավելվածի պահանջներին համապատասխան:
|
ՀԱՎԵԼՎԱԾ ԹԻՎ 3 Եվրասիական տնտեսական միության շրջանակներումդեղապատրաստուկների կենսահամարժեքության հետազոտությունների անցկացման կանոնների |
ՊԱՀԱՆՋՆԵՐ
համարժեքության ուսումնասիրության շրջանակներում համեմատական կլինիկական հետազոտություններին ներկայացվող
1. Որոշ հանգամանքներում (օրինակ՝ լիպոսոմային դեղապատրաստուկների համար) «պլազմային կոնցենտրացիա-ժամանակ» կախվածության կորերը պիտանի չեն՝ 2 դեղապատրաստուկների համարժեքությունը գնահատելու համար: Չնայած նրան, որ դեղադինամիկ հետազոտությունները կարող են լինել հարմար գործիք՝ համարժեքությունը որոշելու համար, երբեմն նշված հետազոտությունները չեն կարող կիրառվել հավաստի կերպով չափվող՝ նշանակալի դեղադինամիկ պարամետրերի բացակայության պատճառով: Այդ դեպքում 2 դեղապատրաստուկների համարժեքությունը հաստատելու համար անհրաժեշտ է կլինիկական հետազոտությունների անցկացում: Նախընտրելի է գնահատել համարժեքությունը, կլինիկական հետազոտությունների փոխարեն անցկացնելով դեղակինետիկ հետազոտություններ, քանի որ կլինիկական հետազոտություններն ունեն ցածր զգայունություն և բավարար վիճակագրական հզորություն ապահովելու համար կարող են պահանջել զգալի քանակության սուբյեկտների ներգրավում (օրինակ՝ բավարար վիճակագրական հզորություն ապահովելու համար, որը թույլ կտա հայտնաբերել պլացեբոյի համեմատ հետազոտվող դեղապատրաստուկի նկատմամբ ռեակցիայի 20%-ով բարձրացում, պահանջվում է 8 600 պացիենտ, իսկ ռիսկի 16%-ով նվազումը ցուցադրելու համար անհրաժեշտ է ներգրավել միոկարդի ինֆարկտով 2 600 պացիենտի):
2. Սույն պահանջներում նկարագրված համեմատական կլինիկական հետազոտություններն անցկացվում են ըստ 2 հիմնական պլանի՝ կլինիկական համարժեքության պլան և ոչ պակաս արդյունավետության պլան:
3. Եթե կլինիկական հետազոտության նպատակն է կլինիկական համարժեքության հաստատումը, ապա պետք է կիրառվեն նույն վիճակագրական սկզբունքները, ինչ կենսահամարժեքության հետազոտության համար: Ընդ որում, դեղադինամիկ և կլինիկական վերջնակետերի համար դեղակինետիկ հետազոտություններում սովորաբար կիրառվող 90% վստահելի միջակայքերի փոխարեն անհրաժեշտ է կիրառել 95% վստահելի միջակայքեր: Կլինիկական հետազոտությունում ընդգրկված պացիենտների թիվը կախված կլինի փոփոխվող պարամետրերի փոփոխականությունից և դրանց տատանումների թույլատրելի ընդգրկույթից և սովորաբար ավելի շատ կլինի, քան պահանջվում է կենսահամարժեքությունը հետազոտելիս:
Համարժեքության հետազոտությունների արձանագրության մեջ պետք է հստակ սահմանված լինեն հետևյալ դրույթները՝
որպես հսկիչ պարամետր ընտրում են նշանակալի կլինիկական վերջնակետեր, որոնց հիման վրա կարող են հաշվարկվել օրգանիզմի ռեակցիայի դրսևորման սկիզբը (եթե դա ենթակա է չափման և կլինիկապես նշանակալի է) և դրա ինտենսիվությունը.
համարժեքության ճանաչման սահմանների չափերն անհրաժեշտ է որոշել իրավիճակի վերլուծության հիման վրա՝ հաշվի առնելով կոնկրետ կլինիկական պայմանները, օրինակ՝ հիվանդության բնականոն ընթացքը, բուժման մատչելի մեթոդների արդյունավետությունը և ընտրված փնտրվող պարամետրերը: Ի տարբերություն կենսահամարժեքության հետազոտության (որտեղ կիրառվում է ստանդարտ թույլատրելի ընդգրկույթ)՝ կլինիկական փորձարկումներում թույլատրելի ընդգրկույթը չի կարող լինել ստանդարտ դեղապատրաստուկների բոլոր խմբերի համար և յուրաքանչյուր թերապևտիկ դասի (և օգտագործման ցուցումների) համար որոշվում է անհատական կարգով.
ներկայումս համարժեքության նշված կլինիկական հետազոտությունների համար ընդունված է համարվում վստահելի միջակայքերի որոշման վրա հիմնված վիճակագրական մեթոդների կիրառումը: Հիմնական խնդիրն այն է, որ հետազոտվող դեղապատրաստուկը չտարբերվի ռեֆերենտ դեղապատրաստուկից ավելին, քան կոնկրետ տրված արժեքն է:
4. Նման հետազոտությունների պլանում (հնարավորության դեպքում) անհրաժեշտ է նախատեսել պլացեբոյի կիրառում:
Վերջնական համեմատական վերլուծությունում որոշ դեպքերում նպատակահարմար է ընդգրկել անվտանգության գնահատման մասով վերջնակետերը:
5. Վերարտադրված դեղապատրաստուկին և ռեֆերենտ դեղապատրաստուկին ներկայացվող պահանջները պետք է համապատասխանեն Եվրասիական տնտեսական հանձնաժողովի կողմից հաստատվող՝ Եվրասիական տնտեսական միության շրջանակներում դեղապատրաստուկների կենսահամարժեքության հետազոտությունների անցկացման կանոնների III բաժնի 2-րդ ենթաբաժնում նշված պահանջներին:
|
ՀԱՎԵԼՎԱԾ ԹԻՎ 4 Եվրասիական տնտեսական միության շրջանակներումդեղապատրաստուկների կենսահամարժեքության հետազոտությունների անցկացման կանոնների |
ՊԱՀԱՆՋՆԵՐ
դասակարգման կենսադեղագործական համակարգի վրա հիմնված բիովեյվերին ներկայացվող
I. Ընդհանուր դրույթներ
1. Դասակարգման կենսադեղագործական համակարգի (ԴԿՀ) վրա հիմնված բիովեյվեր ընթացակարգն ուղղված է in vivo կենսահամարժեքության հետազոտությունների թվի նվազմանը, այսինքն այն կարող է ծառայել որպես in vivo կենսահամարժեքության փոխարինող: In vivo կենսահամարժեքության հետազոտությունների անցկացումից կարելի է խուսափել, եթե in vivo համարժեքությունը հաստատվում է in vitro ստացված հիմնավորված տվյալներով:
ԴԿՀ-ի վրա հիմնված բիովեյվեր ընթացակարգը սահմանափակված է արագ ձերբազատմամբ՝ համակարգային ազդեցության պինդ դեղաձևերով ներքին ընդունման դեղապատրաստուկներով, որոնք պարունակում են մարդու մոտ կանխատեսելի աբսորբմամբ արագ լուծվող ազդող նյութեր՝ պայմանով, որ այդ ազդող նյութերն ունենան թերապևտիկ լայն դիապազոն (հաշվի առնելով Եվրասիական տնտեսական հանձնաժողովի կողմից հաստատվող՝ Եվրասիական տնտեսական միության շրջանակներում դեղապատրաստուկների կենսահամարժեքության հետազոտությունների անցկացման կանոնների III բաժնի 11-րդ ենթաբաժնի պահանջները): Ընդ որում, այն կիրառելի չէ ենթալեզվային, հարթշային դեղապատրաստուկների և մոդիֆիկացվող ձերբազատմամբ դեղաձևերի նկատմամբ: Բերանի խոռոչում դիսպերսվող դեղապատրաստուկների նկատմամբ սույն մոտեցումը կիրառելի է, եթե բացառվում է բերանի խոռոչից աբսորբումը:
2. ԴԿՀ-ի վրա հիմնված բիովեյվեր ընթացակարգը նախատեսված է կոնկրետ հետազոտվող և ռեֆերենտ դեղապատրաստուկների միջև կենսահամարժեքությունը որոշելու համար: «Բիովեյվեր» հասկացության սկզբունքները կարող են կիրառվել վերարտադրված դեղապատրաստուկների կենսահամարժեքությունը հաստատելու, օրիգինալ դեղապատրաստուկների ընդլայնումների համար, դոսյեում կենսահամարժեքության որոշումը պահանջող փոփոխություններ կատարելիս, կլինիկական հետազոտությունների սկզբնական փուլերում կիրառվող դեղապատրաստուկների, ինչպես նաև շուկա դուրս բերվող դեղապատրաստուկների միջև կենսահամարժեքությունը որոշելու համար:
II. Ընդհանուր պահանջները
3. ԴԿՀ-ի վրա հիմնված բիովեյվեր ընթացակարգը կիրառելի է արագ ձերբազատմամբ դեղապատրաստուկի նկատմամբ հետևյալ բոլոր պահանջների կատարման պայմանով՝
ա) ազդող նյութը լավ լուծվում է և ենթարկվում է լրիվ աբսորբման (դաս I՝ ըստ ԴԿՀ-ի)՝ հաշվի առնելով սույն պահանջների III բաժնով սահմանված պահանջները.
բ) հաշվի առնելով հատուկ պահանջները (սույն պահանջների IV բաժնի 1-ին ենթաբաժնին համապատասխան)՝ հետազոտվող և ռեֆերենտ դեղապատրաստուկների՝ in vitro լուծման բնութագրերը սահմանվում են որպես շատ արագ (>85%՝ 15 րոպեում) կամ արագ (85%՝ 30 րոպեում).
գ) կենսահամարժեքության վրա ազդելու կարողությամբ օժանդակ նյութերի որակական և քանակական բաղադրությունը նույնն է: Ընդ որում, նպատակահարմար է օգտագործել համադրելի քանակություններով նույն օժանդակ նյութերը (սույն պահանջների IV բաժնի 3-րդ ենթաբաժնում սահմանված պահանջներին համապատասխան).
դ) բացակայում են բիովեյվեր ընթացակարգի կիրառման հնարավորության մասին սխալ եզրակացություն կազմելու հավանականության հետ կապված ռիսկերը՝ հաշվի առնելով դեղապատրաստուկի բաղադրությունում ազդող նյութի համար թերապևտիկ ինդեքսի մեծությունը և օգտագործման կլինիկական ցուցումները:
4. ԴԿՀ-ի վրա հիմնված բիովեյվեր ընթացակարգը նույնպես կիրառելի է արագ ձերբազատմամբ դեղապատրաստուկի նկատմամբ հետևյալ բոլոր պայմանների կատարման պայմանով՝
ա) ազդող նյութը լավ լուծվող է և ենթարկվում է սահմանափակ աբսորբման (III դաս՝ ըստ ԴԿՀ-ի)՝ հաշվի առնելով սույն հավելվածի III բաժնով սահմանված պահանջները.
բ) հաշվի առնելով հատուկ պահանջները (սույն պահանջների IV բաժնի 1-ին ենթաբաժնին համապատասխան)՝ հետազոտվող և ռեֆերենտ դեղապատրաստուկների՝ in vitro լուծման բնութագրերը սահմանվում են որպես շատ արագ (>85%՝ 15 րոպեում).
գ) կենսահամարժեքության վրա ազդելու կարողությամբ օժանդակ նյութերի որակական և քանակական բաղադրությունը նույնն է: Ընդ որում, նպատակահարմար է համադրելի քանակություններով օգտագործել նույն օժանդակ նյութերը (սույն պահանջների IV բաժնի 3-րդ ենթաբաժնում սահմանված պահանջներին համապատասխան).
դ) բացակայում են բիովեյվեր ընթացակարգի կիրառման հնարավորության մասին սխալ եզրակացություն ընդունելու հավանականության հետ կապված ռիսկերը՝ հաշվի առնելով դեղապատրաստուկի բաղադրության մեջ ազդող նյութի համար թերապևտիկ ինդեքսի մեծությունը և օգտագործման կլինիկական ցուցումները:
5. Անհրաժեշտ է ըստ ԴԿՀ-ի I դասի պատրաստուկներից ավելի քննադատորեն մոտենալ ըստ ԴԿՀ-ի III դասի դեղապատրաստուկների նկատմամբ պայմանների կատարման գնահատմանը (օրինակ՝ աբսորբման տեղը, աբսորբման տեղում փոխադրող սպիտակուցների հետ փոխազդեցության հնարավորությունը, օժանդակ նյութերի բաղադրությունը և թերապևտիկ ռիսկերը): Ըստ ԴԿՀ-ի III դասին պատկանող ազդող նյութով դեղապատրաստուկի՝ առանց in vivo կենսահամարժեքության հետազոտությունների անցկացման գրանցման հնարավորությունն անհրաժեշտ է համաձայնեցնել Եվրասիական տնտեսական հանձնաժողովին կից Դեղամիջոցների հարցերով փորձագիտական կոմիտեի հետ:
III. Ազդող նյութը
6. «Բիովեյվեր» հասկացության տակ ընկնող ազդող նյութի հատկությունները նկարագրելու նպատակով բավական են հղվող (մեջբերվող) գիտական հրատարակություններում և դեղամիջոցների շրջանառության ոլորտում լիազորված մարմինների (կազմակերպությունների) փաստաթղթերում ներկայացված միացությունների մասին գրականության տվյալները:
7. Բիովեյվեր ընթացակարգը հնարավոր է, եթե հետազոտվող և ռեֆերենտ դեղապատրաստուկների ազդող նյութերը նույնն են: Բիովեյվեր ընթացակարգը նաև հնարավոր է, եթե հետազոտվող և ռեֆերենտ դեղապատրաստուկները պարունակում են տարբեր աղեր՝ պայմանով, որ դրանք պատկանեն ըստ ԴԿՀ-ի I դասին (բարձր լուծելիություն և լրիվ աբսորբում սույն պահանջների III բաժնի 1-ին և 2-րդ ենթաբաժինների պահանջներին համապատասխան): Եթե հետազոտվող դեղապատրաստուկը պարունակում է բարդ եթերներ, ստերեոիզոմերներ և դրանց խառնուրդները, ռեֆերենտ դեղապատրաստուկի ակտիվ նյութի կոմպլեքսներ կամ ածանցյալներ, բիովեյվեր ընթացակարգն անհնարին է, քանի որ տարբերությունները կարող են հանգեցնել տարբեր կենսամատչելիությունների, որոնք հնարավոր չէ բացահայտել ԴԿՀ-ի վրա հիմնված՝ «բիովեյվեր» հասկացությունում օգտագործվող փորձերի միջոցով:
Ազդող նյութը չպետք է ունենա նեղ թերապևտիկ դիապազոն (Եվրասիական տնտեսական հանձնաժողովի կողմից հաստատված՝ Եվրասիական տնտեսական միության շրջանակներում դեղապատրաստուկների կենսահամարժեքության հետազոտությունների անցկացման կանոնների III բաժնի 11-րդ ենթաբաժնի պահանջներին համապատասխան):
1. Լուծելիությունը
8. Անհրաժեշտ է որոշել և վերլուծել ազդող նյութի рН-լուծելիության պրոֆիլը: Ազդող նյութը ճանաչվում է լավ լուծվող, եթե 37+1՛С ջերմաստիճանում դրա առավելագույն միանգամյա դեղաչափը (արագ ձերբազատմամբ դեղապատրաստուկի համար) ամբողջությամբ լուծվում է 250 մլ բուֆերային լուծույթում՝ pH-ի՝ 1-ից մինչև 6.8 ընդգրկույթում: Դրա համար պահանջվում է անցկացնել վերը նշված ընդգրկույթում գտնվող տարբեր pH–ներով առնվազն 3 բուֆերային լուծույթով հետազոտություն (նախընտրելի է pH 1.2, 4.5 և 6.8-ի դեպքում) և հնարավորության դեպքում՝ рКа-ի դեպքում, եթե рКа-ն գտնվում է pH–ի նշված ընդգրկույթում: Ըստ լուծելիության դասակարգման պատկանելիությունը միանշանակ որոշելու նպատակով յուրաքանչյուր pH-ի դեպքում կարող է առաջանալ կրկնակի փորձարկումների անցկացման անհրաժեշտություն (օրինակ՝ թափահարման կամ այլ հարմար մեթոդ): Լուծույթի pH-ը պետք է որոշել ազդող նյութը բուֆեր ավելացնելուց առաջ և դրանից հետո:
2. Ներծծումը (ներթափանցելու ունակությունը)
9. ԴԿՀ-ի վրա հիմնված՝ որպես բիովեյվեր ընթացակարգ դեղապատրաստուկի գրանցման հայտ ներկայացնելիս առաջարկվում է հաստատել մարդու մոտ ազդող նյութի լրիվ աբսորբումը: Այդ նպատակով լրիվ ներծծման տակ հասկանում են ≥85% աբսորբումը: Լրիվ ներծծումը սովորաբար պայմանավորված է ազդող նյութի՝ աղիքային պատնեշի միջոցով թափանցելու բարձր ունակությամբ:
10. Լրիվ ներծծման առկայությունը պետք է հիմնավորվի մարդու մոտ հետազոտություններով: Որպես հիմնավորում կարելի է օգտագործել հետևյալ հետազոտությունների արդյունքները՝
բացարձակ կենսամատչելիություն.
նյութական հավասարակշռություն:
Ներծծված ֆրակցիան հաշվարկելու համար նյութական հավասարակշռության մեթոդը կիրառելիս անհրաժեշտ է համոզվել, որ ներծծված ֆրակցիան հաշվարկելիս հաշվի առնված մետաբոլիտները գոյացել են աբսորբումից հետո: Այս առնչությամբ, մեզի հետ արտազատվող ընդհանուր ռադիոակտիվությունը հաշվարկելիս անհրաժեշտ է համոզվել, որ ստամոքսային կամ աղիքային հյութում տեղի չի ունեցել անփոփոխ ազդող նյութի մասնավոր դեգրադացիա կամ կենսատրանսֆորմացիա: Մետաբոլիզմի I ֆազի (օրինակ՝ օքսիդացում) կամ II ֆազի (օրինակ՝ կոնյուգացիա (հարակցում)) ռեակցիաները կարող են տեղի ունենալ միայն աբսորբումից հետո (ոչ ստամոքսային կամ աղիքային հյութում): Այսպիսով, հիմնվելով նյութական հավասարակշռության հետազոտությունների տվյալների վրա, ներծծումը ճանաչվում է լրիվ, եթե մեզի մեջ ելակետային միացությունների և մեզի ու կղանքի մեջ դրա մետաբոլիտների (նյութափոխանակության I և (կամ) II ֆազեր անցած) ընդհանուր պարունակությունը կազմում է ընդունված դեղաչափի ≥85%:
11. Բացի այդ, ոչ լրիվ ներծծմամբ լավ լուծվող ազդող նյութերը (III դաս՝ ըստ ԴԿՀ-ի) նույնպես կարող են ընկնել բիովեյվեր ընթացակարգի տակ, եթե կատարվում են դեղապատրաստուկի բաղադրության և in vitro լուծելիության պրոֆիլին ներկայացված որոշակի պահանջները (սույն պահանջների IV բաժնի 3-րդ ենթաբաժնին համապատասխան): Միացությունների՝ ըստ ԴԿՀ-ի I դասին վերաբերելու և դրանց լրիվ ներծծման օգտին հիմնավորված ապացույցների բացակայության դեպքում դրանց նկատմամբ նույնպես ներկայացվում են առավել խիստ պահանջներ (օրինակ՝ in vivo կենսահամարժեքության հետազոտությունների, այլ կլինիկական հետազոտությունների անցկացում):
12. Ջրային լուծույթների և ներքին ընդունման ցանկացած միացության պինդ դեղաձևերի միջև կենսահամարժեքության պայմաններից մեկն է աբսորբման պրոֆիլում այն զգալի տարբերությունների բացակայությունը, որոնք պայմանավորված են արագ ձերբազատմամբ դեղաձևի մեջ տարբերություններով:
Ներքին ընդունման որոշակի միացության՝ արագ ձերբազատմամբ ջրային և պինդ դեղաձևերի միջև սահմանված կենսահամարժեքությունն ընդունվում է որպես հաստատում, քանի որ վկայում է այն մասին, որ դեղապատրաստուկի (արագ ձերբազատմամբ) հատկանիշներով պայմանավորված աբսորբման սահմանափակումն աննշան է: In vitro, այդ թվում՝ ստանդարտ նմուշների կիրառմամբ թափանցելիության որակական հետազոտությունները նույնպես վկայում են in vivo ստացված արդյունքների օգտին:
IV. Դեղապատրաստուկը
1. In vitro լուծելիության համեմատական կինետիկայի թեստի անցկացումը
13. Դեղապատրաստուկի հատկություններն ուսումնասիրելիս անհրաժեշտ է ապացուցել հետազոտվող դեղապատրաստուկների արագ ձերբազատումը և համադրելիությունը, այսինքն՝ հաստատել փորձի պայմաններում pH ֆիզիոլոգիական արժեքների դեպքում հետազոտվող և ռեֆերենտ դեղապատրաստուկների միջև in vitro լուծելիության համադրելի կինետիկան: Սակայն դրանով հնարավոր չէ որոշել in vitro/in vivo կոռելյացիան (հարաբերակցությունը): In vitro լուծելիության կինետիկան անհրաժեշտ է ուսումնասիրել pH 1.0-6.8 ընդգրկույթում (pH-ի առնվազն 3 արժեքների դեպքում՝ 1.2, 4.5 և 6.8): Ազդող նյութի նվազագույն լուծելիությամբ pH-ի դեպքում կարող են պահանջվել լրացուցիչ հետազոտություններ (անհրաժեշտ է ներկայացնել նման հետազոտությունների անհրաժեշտության բացակայության հիմնավորում): Չի թույլատրվում օգտագործել մակերեսայնորեն ակտիվ որևէ նյութ:
14. Հետազոտվող և ռեֆերենտ դեղապատրաստուկները պետք է համապատասխանեն Եվրասիական տնտեսական հանձնաժողովի կողմից հաստատվող՝ Եվրասիական տնտեսական միության շրջանակներում դեղապատրաստուկների կենսահամարժեքության հետազոտությունների անցկացման կանոնների III բաժնի 2-րդ ենթաբաժնում շարադրված պահանջներին: Այդ պահանջներին համապատասխան առաջարկվում է անցկացնել հետազոտվող դեղապատրաստուկների 1-ից ավելի սերիայի մասով հետազոտություն:
15. In vitro լուծելիության համեմատական փորձարկումները պետք է համապատասխանեն Եվրասիական տնտեսական միության դեղագրքի պահանջներին: Այս կապակցությամբ անհրաժեշտ է ներկայացնել հետազոտությունների պայմանների և վերլուծական մեթոդների մանրամասն նկարագրությունը, ներառյալ՝ դրանց վալիդացման մասով տվյալները: Վիճակագրական ճշգրտության համար յուրաքանչյուր փորձ առաջարկվում է անցկացնել դեղապատրաստուկի 12 փորձանմուշներով (նմուշներով): Հետազոտության ստանդարտ պայմանները ներառում են՝
սարք՝ թիակավոր խառնիչ կամ զամբյուղ.
լուծվելու միջավայրի ծավալը՝ 900 մլ կամ պակաս.
լուծվելու միջավայրի ջերմաստիճանը՝ 37+1 0С.
պտտվելու արագությունը՝ թիակավոր խառնիչը՝ սովորաբար րոպեում 50 պտույտ, զամբյուղը՝ րոպեում 100 պտույտ.
փորձանմուշների վերցման սխեմա, օրինակ՝ 10-րդ, 15-րդ, 20-րդ, 30-րդ և 45-րդ րոպեներին.
բուֆերային լուծույթներ՝ pH 1.0-1.2 (սովորաբար 0.1 М HCl կամ առանց ֆերմենտների ստամոքսահյութի իմիտացիա (նմանակում)), 4.5 և 6.8 (կամ առանց ֆերմենտների աղիքային հյութի իմիտացիա). pH-ը պետք է պարբերաբար վերահսկվի: Առաջարկվում է օգտագործել բուֆերային լուծույթներ՝ ըստ Եվրասիական տնտեսական միության դեղագրքի.
այլ պայմաններ՝ մակերեսայնորեն ակտիվ նյութերի բացակայություն: Ֆերմենտների կիրառումը թույլատրվում է դոնդողանման պատիճների կամ դոնդողանման թաղանթով պատված հաբերի նկատմամբ:
16. Եվրասիական տնտեսական հանձնաժողովի կողմից հաստատվող՝ Եվրասիական տնտեսական միության շրջանակներում դեղապատրաստուկների կենսահամարժեքության հետազոտությունների անցկացման կանոնների թիվ 7 հավելվածին համապատասխան՝ անհրաժեշտ է ներկայացնել in vitro լուծելիության համեմատական կինետիկայի թեստի (ԼՀԿԹ) անցկացման մասին ամբողջական վերլուծական հաշվետվությունը, ներառյալ՝ հետազոտության արձանագրությունը, հետազոտվող սերիաների և ռեֆերենտ սերիաների վերաբերյալ տեղեկությունները, փորձարարական պայմանների մանրամասն նկարագրությունը, կիրառված մեթոդների վալիդացման արդյունքները, անհատական ու միջին արժեքները, ինչպես նաև համապատասխան ամփոփ վիճակագրական տվյալները և այլն:
2. In vitro լուծելիության համեմատական կինետիկայի թեստի արդյունքների գնահատումը
17. Դեղապատրաստուկները ճանաչվում են շատ արագ լուծվող, եթե ազդող նյութի 85% տրված պարունակությունը լուծվում է 15 րոպեում: Այդ դեպքում հետազոտվող և ռեֆերենտ դեղապատրաստուկների լուծելիության պրոֆիլները առանց հետագա մաթեմատիկական հաշվարկների ճանաչվում են համադրելի:
Եթե ազդող նյութի տրված պարունակությունից 85% ձերբազատման աստիճանով լուծվելու պրոցեսը տևում է 15 րոպեից ավելի, սակայն չի գերազանցում 30 րոպեն, ապա անհրաժեշտ է ապացուցել էական տարբերությունների բացակայությունը (համադրելիությունը): Հետազոտվող և ռեֆերենտ դեղապատրաստուկների լուծելիության պրոֆիլների համադրելիությունը հաստատելու նպատակով կիրառում են f2 չափորոշիչը (Եվրասիական տնտեսական հանձնաժողովի կողմից հաստատվող՝ Եվրասիական տնտեսական միության շրջանակներում դեղապատրաստուկների կենսահամարժեքության հետազոտությունների անցկացման կանոնների թիվ 5 հավելվածով սահմանված պահանջներին համապատասխան) կամ այլ հարմար թեստեր: Ընդ որում, կլինիկական կամ թերապևտիկ տեսանկյուններից լուծվելու եղանակներում տարբերությունների բացատրությունն աննպատակահարմար է, քանի որ լուծվելու փորձարկումը չի արտացոլում in vitro/in vivo կոռելյացիան:
3. Օժանդակ նյութերը
18. Չնայած նրան, որ արագ ձերբազատմամբ դեղաձևերում առկա օժանդակ նյութերի՝ լավ լուծվող և լրիվ ներծծվող ազդող նյութերի (այսինքն՝ ըստ ԴԿՀ-ի I դասին վերաբերող) կենսամատչելիության վրա ազդեցությունը քիչ հավանական է, այն չպետք է ամբողջությամբ բացառվի:
Այս առնչությամբ բոլոր դեպքերում (այդ թվում՝ ըստ ԴԿՀ-ի I դասի ազդող նյութի հետ) հետազոտվող դեղապատրաստուկի մեջ առաջարկվում է օգտագործել նույն օժանդակ նյութերի նման քանակությունները, ինչ ռեֆերենտ դեղապատրաստուկի մեջ:
19. Մեմբրանային (թաղանթային) փոխադրողների վրա տարբեր ազդեցությունները բացառելու նպատակով, ըստ ԴԿՀ-ի III դասի ազդող նյութի նկատմամբ բիովեյվեր ընթացակարգի պայմաններից մեկն է՝ աղյուսակում բերված չափորոշիչներին համապատասխան՝ ըստ օժանդակ նյութերի որակական բաղադրության՝ տարբերությունների բացակայությունը և ըստ քանակական բաղադրության՝ բարձր համադրելիությունը:
Ըստ օժանդակ նյութերի քանակական բաղադրության՝ դեղապատրաստուկների բարձր համադրելիությունը որոշելու համար առաջարկվող չափորոշիչները
|
Օժանդակ նյութերի տեսակը |
Դեղապատրաստուկի ընդհանուր զանգվածից տարբերությունը տոկոսներով (ըստ զանգվածի), ոչ ավելին, քան |
|
Լցանյութեր |
+5,0% |
|
Փխրեցուցիչներ | |
|
օսլա |
+3,0% |
|
այլ նյութեր |
+1,0% |
|
Կապակցանյութեր |
+0,5% |
|
Յուղմանը նպաստող նյութեր (լյուբրիկանտներ) | |
|
մագնիումի կամ կալցիումի ստեարատ |
+0,25% |
|
այլ նյութեր |
+1,0% |
|
Սահելուն նպաստող նյութեր | |
|
տալկ |
+1,0% |
|
այլ նյութեր |
+0,1% |
|
Ծանոթագրություններ. |
1. Եթե օժանդակ նյութերը կատարում են մի քանի գործառույթ (օրինակ՝ միկրոբյուրեղային ցելյուլոզան կատարում է լցանյութի և փխրեցուցիչի գործառույթ), ապա անհրաժեշտ է ընտրել առավել խիստ չափորոշիչ (միկրոբյուրեղային ցելյուլոզայի դեպքում՝ +1%): 2. Դեղապատրաստուկների 2 ջրային լուծույթներում օժանդակ նյութերի կոնցենտրացիան համարվում է նման, եթե տարբերությունը կազմում է +10%-ից ոչ ավելի: 3. Վերը բերված աղյուսակում չնշված գործառութային նշանակություն ունեցող օժանդակ այլ նյութերի պարունակությունում տարբերությունների համար պահանջվում է գիտական հիմնավորում: |
20. Ըստ ԴԿՀ-ի՝ I կամ III դասերի ազդող նյութերի հետ, որպես կանոն, անհրաժեշտ է օգտագործել լավ ուսումնասիրված օժանդակ նյութերի ստանդարտ քանակություններ, ինչպես նաև վերլուծել և բացատրել դրանց հնարավոր ազդեցությունը կենսամատչելիության և (կամ) լուծելիության վրա: Անհրաժեշտ է նկարագրել յուրաքանչյուր օժանդակ նյութի նշանակությունը՝ դրանցից յուրաքանչյուրի քանակությունը ընդունելի ընդգրկույթում գտնվելու հիմնավորմամբ: Անհրաժեշտ է նկարագրել բոլոր այն օժանդակ նյութերը, որոնք կարող են ներգործել կենսամատչելիության վրա (օրինակ՝ սորբիտոլ, մաննիտոլ, նատրիումի լաուրիլսուլֆատ և մակերեսայնորեն ակտիվ այլ նյութեր)՝ նշելով դրանց ազդեցությունը՝
ա) աղեստամոքսային տրակտի մոտորիկայի.
բ) ազդող նյութի հետ փոխազդեցության ենթակա լինելու (օրինակ՝ կոմպլեքսագոյացում).
գ) ազդող նյութի թափանցելու ունակության.
դ) թաղանթային փոխադրողների հետ փոխազդեցության վրա:
21. Հետազոտվող և ռեֆերենտ դեղապատրաստուկների կենսահամարժեքության վրա ազդելու ապացուցված կարողությամբ օժանդակ նյութերի որակական և քանակական բաղադրությունները պետք է լինեն նույնը:
V. Համակցված դեղապատրաստուկները
22. Արագ ձերբազատմամբ համակցված դեղապատրաստուկների նկատմամբ՝ ԴԿՀ-ի վրա հիմնված բիովեյվեր ընթացակարգը հնարավոր է, եթե բոլոր ազդող նյութերը պատկանում են ըստ ԴԿՀ-ի I կամ III դասին, իսկ օժանդակ նյութերը համապատասխանում են սույն պահանջների IV բաժնի 3-րդ ենթաբաժնում սահմանված պահանջներին: Մնացած դեպքերում պահանջվում է կենսահամարժեքության in vivo հետազոտության անցկացում:
|
ՀԱՎԵԼՎԱԾ ԹԻՎ 5 Եվրասիական տնտեսական միության շրջանակներումդեղապատրաստուկների կենսահամարժեքության հետազոտությունների անցկացման կանոնների |
ԹԵՍՏ
լուծելիության համեմատական կինետիկայի և լուծելիության պրոֆիլների համադրելիության
I. Լուծելիության համեմատական կինետիկայի թեստի ընդհանուր ասպեկտները կենսահամարժեքության հետ փոխկապակցվածության մեջ
1. Դեղապատրաստուկի բաղադրությունը մշակելիս լուծելիության համեմատական կինետիկայի թեստը (ԼՀԿԹ) ծառայում է որպես դեղապատրաստուկի կենսադեղագործական հատկությունները որոշելու գործիք, այսինքն՝ այն հատկությունները, որոնք կարող են ազդել կենսամատչելիության վրա: Դեղապատրաստուկի բաղադրության մշակումը և արտադրական պրոցեսն ավարտվելուց հետո ԼՀԿԹ-ն կիրառվում է մասշտաբացման և արդյունաբերական սերիաների որակի հսկողության համար՝ ապահովելու համար ինչպես սերիաների որակի հաստատունությունը, այնպես էլ հենակետային կլինիկական հետազոտություններում օգտագործված սերիաների հետ լուծելիության պրոֆիլների համադրելիությունը: Բացի այդ, ԼՀԿԹ-ն առանձին դեպքերում կարող է փոխարինել կենսահամարժեքության հետազոտություններին:
2. ԼՀԿԹ-ն կարող է հետապնդել տարբեր նպատակներ՝
ա) դեղապատրաստուկի որակի փորձաքննության ժամանակ՝
կենսամատչելիության (կենսահամարժեքության) հետազոտություններում և հենակետային կլինիկական հետազոտություններում օգտագործված սերիայի բնութագրերի ստացման համար՝ մասնագրերը (որակի հսկողության վերաբերյալ նորմատիվ փաստաթուղթ) հիմնավորելու նպատակով.
որպես դեղամիջոցների սերիաների որակի հսկողության գործիք՝ արտադրության հաստատունությունը հաստատելու նպատակով.
կենսամատչելիության (կենսահամարժեքության) հետազոտություններում և հենակետային կլինիկական հետազոտություններում օգտագործված ռեֆերենտ դեղապատրաստուկի բնութագրերն ստանալու համար.
բ) որպես կենսահամարժեքության հետազոտությունների փոխարինում՝ հաստատելու համար (որոշակի դեպքերում) հետազոտվող դեղապատրաստուկի և ռեֆերենտ դեղապատրաստուկի տարբեր բաղադրությունների համանմանությունը (բիովեյվեր ընթացակարգեր, օրինակ՝ փոփոխություններ կատարելիս, դեղապատրաստուկի մշակման ընթացքում բաղադրությունը փոփոխելիս, և վերարտադրված դեղապատրաստուկներ՝ Եվրասիական տնտեսական հանձնաժողովի կողմից հաստատվող՝ Եվրասիական տնտեսական միության շրջանակներում դեղապատրաստուկների կենսահամարժեքության հետազոտությունների անցկացման կանոնների IV բաժնի և Եվրասիական տնտեսական հանձնաժողովի կողմից հաստատվող՝ Եվրասիական տնտեսական միության շրջանակներում դեղապատրաստուկների կենսահամարժեքության հետազոտությունների անցկացման կանոնների թիվ 4 հավելվածի պահանջներին համապատասխան).
այն դեղապատրաստուկների (հետազոտվող և ռեֆերենտ դեղապատրաստուկների) սերիայի որակի հաստատունությունը որոշելու նպատակով, որոնց վրա հիմնվելու է in vivo հետազոտություններում օգտագործման համար համապատասխան սերիաների ընտրությունը:
3. Փորձարկման մեթոդներն անհրաժեշտ է մշակել յուրաքանչյուր դեղապատրաստուկի նկատմամբ՝ ընդհանուր և (կամ) մասնավոր դեղագրքային պահանջների հիման վրա: Եթե նշված պահանջներն անբավարար են և (կամ) չեն արտացոլում in vivo լուծելիության և ներծծման պրոցեսը (կենսաբանորեն արդարացված լինելը), ապա դրանց մոտ բավարար դիսկրիմինացիոն ունակության, այսինքն՝ in vivo դեղապատրաստուկի ընդունելի և ոչ ընդունելի կենսամատչելիությամբ սերիաների միջև տարբերությունն ըմբռնելու ունակության առկայության պայմանով թույլատրելի է կիրառել այլընտրանքային մեթոդներ: Անհրաժեշտ է միշտ ուշադրություն դարձնել արդի տեղեկություններին (ներառյալ դասակարգման կենսադեղագործական համակարգի վրա հիմնված դեղապատրաստուկի բնութագրերի փոխազդեցությունը և դեղաձևի տեսակը):
4. Լուծելիության լիարժեք պրոֆիլներ ստանալու համար փորձանմուշների վերցման միջև միջակայքերը պետք է լինեն բավականաչափ հաճախ (ոչ պակաս, քան յուրաքանչյուր 15 րոպեն մեկ): Լուծելիության պրոֆիլի առավելագույն փոփոխության ժամանակահատվածում փորձանմուշները խորհուրդ է տրվում վերցնել առավել հաճախ: Արագ լուծվող այն դեղապատրաստուկների լուծելիության ճիշտ պրոֆիլը կառուցելու համար, որոնք ամբողջությամբ լուծվում են 30 րոպեում, փորձանմուշներն անհրաժեշտ է վերցնել յուրաքանչյուր 5 կամ 10 րոպեն մեկ:
5. Եթե ազդող նյութը լավ լուծվող է, ապա կարելի է ենթադրել, որ կենսամատչելիության հետ կապված խնդիրներ չեն առաջանա, եթե, ի լրումն դրան, pH ֆիզիոլոգիական արժեքների դեպքում դեղաձևը լուծվում է արագ, իսկ օժանդակ նյութերը չեն ազդում կենսամատչելիության վրա: Ընդհակառակը, եթե ազդող նյութը սահմանափակ լուծվող կամ քիչ լուծվող է, ապա ներծծման արագությունը սահմանափակող գործոն կարող է դառնալ դեղաձևի լուծելիությունը: Նման իրավիճակ առաջանում է, եթե օժանդակ նյութերն ազդում են ազդող նյութի ձերբազատման և հետագա լուծելիության վրա: Նման դեպքերում անհրաժեշտ է փորձանմուշների վերցման համապատասխան սխեմայով տարբեր պայմաններում անցկացնել ԼՀԿԹ:
II. Լուծելիության պրոֆիլների համադրելիությունը
6. ԼՀԿԹ արդյունքները և դրանց վրա հիմնված եզրահանգումները (օրինակ՝ ի հիմնավորում բիովեյվեր ընթացակարգի) ճանաչվում են ճիշտ, եթե լուծելիության պրոֆիլի կառուցումը հիմնվել է բավարար քանակությամբ ժամանակային կետերի վրա:
7. Ի լրումն արագ ձերբազատմամբ դեղաձևերի նկատմամբ սույն հավելվածի I բաժնում տրված պահանջների՝ անհրաժեշտ է անցկացնել համեմատություն «15 րոպե» ժամանակային կետում՝ պարզելու համար, թե արդյոք լրիվ լուծումը տեղի է ունեցել մինչ ստամոքսի դատարկումը:
Եթե 15 րոպեում լուծվել է ազդող նյութի 85%-ից ավելին (նոմինալ քանակությունից), ապա լուծվելու եղանակները ճանաչվում են համադրելի՝ առանց տվյալների հետագա մաթեմատիկական մշակման:
Եթե ազդող նյութի 85%-ը լուծվել է 30, այլ ոչ թե 15 րոպեում, ապա անհրաժեշտ են 3 ժամանակային կետեր՝ մինչ 15 րոպեն լրանալը, 15-րդ րոպեին և այն կետում, երբ ձերբազատման աստիճանը կազմում է մոտավորապես 85%:
8. Մոդիֆիկացվող ձերբազատմամբ դեղապատրաստուկների մասով ցուցումները տրված են Միության համապատասխան փաստաթղթերում:
9. Լուծելիության պրոֆիլների համադրելիությունը կարող է որոշվել f2 գործոնի կիրառմամբ՝ հետևյալ բանաձևով՝
որտեղ՝
f2-ը նմանության (զուգամիտության) գործոնն է.
n-ը ժամանակային կետերի քանակությունն է.
QR(t)-ն ռեֆերենտ դեղապատրաստուկից՝ t կետում [հետազոտությունն սկսելուց հետո] ազդող նյութի ձերբազատման աստիճանի միջին արժեքն է (տոկոսներով).
QT(t)-ն հետազոտվող դեղապատրաստուկից՝ t կետում [հետազոտությունն սկսելուց հետո] ազդող նյութի ձերբազատման աստիճանի միջին արժեքն է (տոկոսներով):
Տվյալ բանաձևը կիրառելիս անհրաժեշտ է որոշել հետազոտվող դեղապատրաստուկից և ռեֆերենտ դեղապատրաստուկից ազդող նյութի ձերբազատման աստիճանը:
10. Նմանության (զուգամիտության) գործոնի գնահատումը հիմնված է հետևյալ պայմանների վրա՝
ա) ժամանակային կետերի նվազագույն քանակությունը՝ 3 (չհաշված փորձանմուշների վերցման զրոյական կետը).
բ) երկու համեմատվող դեղապատրաստուկների համար ընտրվում են նույն ժամանակային կետերը.
գ) յուրաքանչյուր ժամանակային կետի համար անհրաժեշտ է երկու դեղապատրաստուկների համար ազդող նյութի ձերբազատման աստիճանի առնվազն 12 արժեք.
դ) բաղադրություններից յուրաքանչյուրի համար թույլատրվում է 85% ձերբազատման աստիճանի միջին արժեքի գերազանցման մեկից ոչ ավելի դեպք.
ե) համեմատական ստանդարտ շեղումը (տատանման գործակիցը) դեղապատրաստուկներից յուրաքանչյուրի առաջին ժամանակային կետում ազդող նյութի ձերբազատման աստիճանի համար չպետք է գերազանցի 20%-ը, իսկ բոլոր հաջորդող կետերում՝ 10%-ը:
11. Նմանության գործոնի (f2) համար ընդունելիության չափորոշիչները կազմում են 50-ից 100-ը, ինչը հաստատում է լուծելիության պրոֆիլների համադրելիությունը:
Ըստ f2-ի ընդունելիության չափորոշչին չհամապատասխանելու դեպքում լուծելիության պրոֆիլները կարելի է համեմատել այլընտրանքային մեթոդների կիրառմամբ (օրինակ՝ f1 տարբերության գործոնի հաշվարկ, Վեյբուլի բաշխման ֆունկցիա կամ տարբեր ժամանակային կետերում ազատման աստիճանների համեմատություն (օրինակ՝ ըստ Ստյուդենտի t-չափորոշչի)):
12. Ըստ f2-ի հաշվարկի այլընտրանքային մեթոդները համարվում են կիրառելի, եթե դրանք վիճակագրորեն ճշգրիտ են, իսկ դրանց կիրառումը բավարար կերպով հիմնավորված է:
13. Անհրաժեշտ է նախապես որոշել և հիմնավորել համադրելիության չափորոշչի կիրառելիության սահմանները, սակայն դրանք չպետք է գերազանցեն 10%-ը: Բացի այդ, հետազոտվող և ռեֆերենտ դեղապատրաստուկների տվյալների միջև լուծելիության փոփոխականությունը նույնպես պետք է լինի համադրելի. այնուամենայնիվ, առավել ցածր փոփոխականությունը հետազոտվող դեղապատրաստուկի համար համարվում է կիրառելի:
Անհրաժեշտ է ներկայացնել հիմնավորում այն մասին, որ վիճակագրական ծրագրային ապահովումը վալիդացվել է:
Անհրաժեշտ է տալ հետազոտության ընթացքում ձեռնարկված բոլոր գործողությունների մանրամասն նկարագրությունը և դրանց բացատրությունը՝ համապատասխան ամփոփ աղյուսակների ներկայացմամբ:
|
ՀԱՎԵԼՎԱԾ ԹԻՎ 6 Եվրասիական տնտեսական միության շրջանակներումդեղապատրաստուկների կենսահամարժեքության հետազոտությունների անցկացման կանոնների |
ՊԱՀԱՆՋՆԵՐ
փորձարկումների կենսավերլուծական մեթոդիկաների վալիդացմանը և հետազոտվող կենսաբանական նմուշների վերլուծությանը ներկայացվող
I. Ընդհանուր դրույթներ
1. Սույն պահանջներում ներկայացված են թունակինետիկ հետազոտությունների և կլինիկական հետազոտություններում բոլոր փուլերի արդյունքների հիման վրա ստացված կենսաբանական հեղուկներում (մատրիցներում) ազդող նյութի կոնցենտրացիան որոշելու համար կիրառված կենսավերլուծական մեթոդիկաների վալիդացումը իրականացնելու մասով ցուցումները: Քանի որ լիգանդը կապելու մեթոդիկաներն էապես տարբերվում են քրոմատագրման վերլուծական մեթոդներից, պոլիմեր կապող մեթոդիկաների վալիդացման համար (օրինակ՝ լիգանդները կապելով) կիրառվում են սույն պահանջների V բաժնում նկարագրված առանձին կանոնները:
Սույն պահանջներում նկարագրված են այն պայմանները, որոնց դեպքում, ի լրումն կենսավերլուծական մեթոդիկայի լրիվ վալիդացման, անհրաժեշտ է կատարել մասնակի կամ խաչաձև վալիդացում:
2. Սույն պահանջների նպատակներով կիրառվում են հասկացություններ, որոնք նշանակում են հետևյալը՝
«ակտիվ նմուշներ» (incurred samples)՝ այն սուբյեկտներից կամ կենդանիներից ստացված փորձարկվող նմուշները, որոնց ներմուծվել է դեղապատրաստուկը.
«վերլուծվող նյութ» (analyte)՝ քանակական որոշման ենթակա առանձին քիմիական միացություն. այն կարող է լինել անփոփոխ ազդող նյութ, կենսաբանական մոլեկուլ կամ դրա ածանցյալը, մետաբոլիտ և (կամ) կենսաբանական նմուշում դեգրադացման (վատթարացման) արգասիք.
«վերլուծական մեթոդիկա» (analytical procedure)՝ վերլուծության անցկացման յուրաքանչյուր փուլի և եղանակի մանրամասն նկարագրություն.
«վերլուծական ընդգրկույթ» (calibration range)՝ միջակայք նմուշում վերլուծվող նյութի բարձր և ցածր կոնցենտրացիաների միջև (ներառյալ նշված կոնցենտրացիաները), որոնց համար նշված է, որ վերլուծական մեթոդիկան բավարարում է արձագանքման գործառույթի ճշգրտության, ճշտության և հաստատունության մասով պահանջներին.
«վերլուծական պարբերաշրջան» (analytical run)՝ համապատասխան քանակությամբ աստիճանավորման լուծույթներով փորձանմուշների և դրանց վալիդացման նպատակով որակի հսկողության համար փորձարկվող նմուշների ամբողջական լրակազմ: Մեկ օրում կարող է անցկացվել մի քանի պարբերաշրջան. մեկ պարբերաշրջանը կարող է տևել մի քանի օր.
«որոշվող կոնցենտրացիաների վերին սահման» (upper limit of quantification (ULOQ))՝ նմուշում վերլուծվող նյութի առավելագույն քանակությունը, որը ենթարկվում է քանակական որոշման՝ նախապես տրված ճշտությամբ և ճշգրտությամբ.
«ներքին ստանդարտ (ՆՍ)» (internal Standard)՝ հսկիչ միացություն (օրինակ՝ կառուցվածքով նման անալոգ կամ կայուն իզոտոպ ով նշա դրված միացություն), որն ավելացվում է աստիճանավոր ման լուծույթների, որակի հսկողության համար նմուշներին և նախապես որոշված մշտական կոնցենտրացիաներով փորձարկվող նմուշներին փորձանմուշներ պատրաստելիս և նմուշները վերլուծելիս փորձարարական փոփոխականության ճշգրտման նպատակով.
«աստիճանավոր ման լուծույթ (ստանդարտ)» (calibration Standard)՝ կենսաբանական նմուշ, որին ավելացրել են հայտնի քանակությամբ վերլուծող նյութ: Աստիճանավոր ման լուծույթները (ստանդարտները) օգտագործում են աստիճանավոր ման կոր կառուցելու համար.
«քանակական որոշման ստորին սահման (ՔՈՍՍ)» (lower limit of quantification (LLOQ))՝ նմուշում վերլուծվող նյութի նվազագույն քանակությունը, որը ենթարկվում է քանակական որոշման՝ նախապես տրված ճշտությամբ և ճշգրտությամբ.
«նոմինալ կոնցենտրացիա» (nominal concentration)՝ տեսական կամ ակնկալվող կոնցենտրացիան.
«որակի հսկողության (ՈՀ) նմուշ» (quality control (QC) sample)՝ վերլուծվող նյութ պարունակող նմուշ, որն օգտագործվում է կենսավերլուծական մեթոդիկայի պիտանիությունը գնահատելու և մեկ սերիայից անհայտ կոնցենտրացիայով փորձարկվող նմուշների վերլուծության արդյունքների ճշտությունն ու ճշգրտությունը գնահատելու համար.
«խաչաձև վալիդացում» (cross validation)՝ երկու կենսավերլուծական մեթոդիկաների վալիդացիոն պարամետրերի համեմատումը.
«ակտիվ՝ փորձարկված նմուշների կրկնակի վերլուծություն» (incurred sample reanalysis)՝ ակտիվ՝ փորձարկված նմուշների մի մասի վերլուծություն՝ որոշելու համար, թե որքանով են համադրելի նախնական վերլուծության արդյունքները.
«լրիվ վալիդացում» (full validation)՝ կենսավերլուծական մեթոդիկայի օգնությամբ նմուշում յուրաքանչյուր վերլուծվող նյութի վերլուծության համար կիրառման ենթակա վալիդացիոն պարամետրերը որոշելը.
«ճշտություն» (accuracy)՝ արտահայտում է մեթոդիկայի օգնությամբ ստացված արժեքների՝ վերլուծվող նյութի նոմինալ կոնցենտրացիաներին մոտ լինելը: Ճշտությունը գնահատվում է որպես 100%-ով հաշվարկված՝ ճշտության տոկոսային չափի մեծությամբ և սիստեմատիկ սխալանքի համեմատական մեծությամբ.
«ճշգրտություն» (precision)՝ նախապես սահմանված պայմաններում կատարված չափումների սերիաների միջև ցրվածքի աստիճանը: Ճշգրտությունը բնութագրվում է համեմատական ստանդարտ շեղման մեծությամբ (տոկոսներով արտահայտված ստանդարտ շեղման հարաբերությունը միջինի նկատմամբ).
«ընտրողունակություն» (selectivity)՝ հետազոտվող վերլուծվող նյութը և ներքին ստանդարտը որոշելու և տարբերելու՝ կենսավերլուծական մեթոդիկայի կարողությունն այն բաղադրիչների առկայությամբ, որոնք կարող են լինել նմուշում.
«սպեցիֆիկություն» (specificity)՝ կենսաբանական նմուշում այլ միացությունների (էնդ ոգեն կամ կզուգեն) առկայության դեպքում վերլուծող նյութը միանշանակ որոշելու կենս վերլուծական մեթոդիկայի կարողությունը.
«կայունություն» (stability)՝ որոշակի ժամանակահատվածում կոնկրետ պայմաններում կոնկրետ նմուշում վերլուծվող նյութի քիմիական կայունությունը.
«ստանդարտ գործառնական ընթացակարգ» (Standard Operating Procedure)՝ փաստաթուղթ, որը պարունակում է հետազոտությունների որակի համար էական՝ պարբերաբար կատարվող գործառնությունների նկարագրություն, և որը թույլ է տալիս կատարել դրանք ճշտորեն և միանման.
«արձագանքման գործառույթ» (response function)՝ գործառույթ, որը պատշաճ կերպով նկարագրում է վերլուծական ազդանշանի (օրինակ՝ գագաթների մակերեսի)՝ նմուշում վերլուծվող նյութի կոնցենտրացիայից (պարունակությունից) կախվածությունը: Արձագանքման գործառույթը որոշվում է վերլուծական ընդգրկույթի համար.
«մասնակի վալիդացում» (partial validation)՝ վերլուծական փորձարկումների սերիաներ, որոնցում վալիդացված կենսավերլուծական մեթոդիկայի ձևափոխումից հետո պարամետրերի մի մասը ենթարկվում է վալիդացման.
«մատրիցի էֆեկտ» (matrix effect)՝ վերլուծության այն արդյունքների վրա ուղղակի կամ անուղղակի ազդեցությունը կամ ներգործությունը, որոնք պայմանավորված են կենսաբանական նմուշում վերլուծությամբ չնախատեսված վերլուծվող նյութերի կամ դրա վրա ազդող այլ նյութերի առկայությամբ.
«փոխանցման էֆեկտ» (carry over)՝ վերլուծվող նյութի բարձր կոնցենտրացիայով նմուշի վերլուծությունն անցկացնելուց հետո դատարկ նմուշում վերլուծվող նյութի ազդանշանի հայտնվելը.
«խարսխային ստուգաճշտիչներ (կալիբրատորներ)» (anchor calibrators)՝ լիգանդը կապելու մեթոդներում ստանդարտ կորի ոչ գծային ռեգրեսիայի ընտրության նպատակով կիրառվող՝ քանակական որոշման ընդգրկույթից դուրս ստանդարտ կետեր:
3. Կենսաբանական նմուշներում (օրինակ՝ շիճուկի, պլազմայի, արյան, մեզի և թքի մեջ) ազդող նյութի կոնցենտրացիայի չափումը դեղապատրաստուկի մշակման կարևոր ասպեկտ է: Այդ իսկ պատճառով հուսալի արդյունքներ ստանալու նպատակով կիրառվող կենսավերլուծական մեթոդիկաները պետք է լինեն լավ նկարագրված, լրիվ վալիդացված և փաստաթղթավորված:
Հատուկ իրավիճակներում թույլատրվում է կիրառել սույն պահանջներում նկարագրված կիրառելիության չափորոշիչներից առավել լայն չափորոշիչներ: Այդ դեպքում դրանք անհրաժեշտ է որոշել նախապես՝ հիմնվելով մեթոդիկայի ենթադրվող կիրառման վրա:
4. Սույն պահանջներում չեն դիտարկվում որպես դեղադինամիկ մարկերներ (նշիչներ) կիրառվող բիոմարկերների (կենսանշիչների) կոնցենտրացիայի քանակական որոշման մեթոդները:
II. Փորձարկումների կենսավերլուծական մեթոդիկայի վալիդացումը
1. Ստանդարտ նմուշներին ներկայացվող պահանջները
5. Կենսավերլուծական մեթոդիկայի վալիդացում իրականացնելու և փորձարկվող նմուշների վերլուծության նպատակներով աստիճանավորման լուծույթների, որակի հսկողության նմուշների և կայունության ուսումնասիրման նմուշների պատրաստման համար դատարկ կենսաբանական նմուշին (վերլուծվող նյութ չպարունակող կենսաբանական նմուշին) ավելացվում են հետազոտվող վերլուծվող նյութեր՝ կիրառելով ստանդարտ նմուշների լուծույթները,: Ի լրումն դրան՝ նմուշապատրաստման, քրոմատագրման մեթոդների համար թույլատրվում է ավելացնել համապատասխան ներքին ստանդարտ (ՆՍ):
6. Անհրաժեշտ է համոզվել ստանդարտ նմուշի և ՆՍ-ի պիտանիության մեջ, քանի որ դրանց որակը (մաքրությունը) կարող է ազդել վերլուծության արդյունքների և հետազոտության արդյունքների վրա: Այդ իսկ պատճառով փորձարկվող նմուշների վալիդացման և վերլուծության համար օգտագործվող ստանդարտ նմուշները պետք է ստացվեն հուսալի և ստուգված աղբյուրներից: Այդպիսի ստանդարտ նմուշներին են դասվում սերտիֆիկացված ստանդարտ նմուշները, օրինակ՝ դեղագրքային, առևտրային ստանդարտ նմուշները կամ ատեստավորված ստանդարտ նմուշները, որոնք պատրաստվել են ինքնուրույն կամ արտաքին ոչ առևտրային կազմակերպության կողմից: Ստանդարտ նմուշի մաքրությունը հաստատելու և պահման պայմանների, պիտանիության ժամկետի, սերիայի համարի մասին տեղեկություններ ներկայացնելու համար անհրաժեշտ է դրա վերլուծության սերտիֆիկատ:
Եթե ՆՍ-ի պիտանիությունը հաստատված է, օրինակ՝ վերլուծվող նյութի և դրա խառնուկների ազդեցության բացակայությամբ, ապա ՆՍ-ի սերտիֆիկացված ստանդարտ նմուշների օգտագործում չի պահանջվում (չկա վերլուծության սերտիֆիկատների անհրաժեշտություն):
7. Զանգվածային սպեկտրաչափությունը (այսուհետ՝ ԶՍ) որպես կենսավերլուծական մեթոդ կիրառելիս անհրաժեշտ է հնարավորինս կիրառել կայուն՝ իզոտոպերով նշանադրված ՆՍ-ներ: Ընդ որում, անհրաժեշտ է, որ նշանադրված ստանդարտն օժտված լինի բարձր իզոտոպային մաքրությամբ, և որ դրանում տեղի չունենան իզոտոպային փոխանակման ռեակցիաներ: Անհրաժեշտ է ստուգում անցկացնել չհայտագրված վերլուծության նյութերի առկայության մասով, վերջիններս հայտնաբերելիս անհրաժեշտ է գնահատել կենսավերլուծական մեթոդիկայի վալիդացման վրա դրանց հնարավոր ազդեցությունը:
2. Կենսավերլուծական մեթոդիկայի լրիվ վալիդացումը
8. Ցանկացած կենսավերլուծական մեթոդիկա, անկախ նրանից, թե այն նոր է կամ ճանաչված, ենթակա է լրիվ վալիդացման:
Կենսավերլուծական մեթոդիկայի վալիդացման հիմնական նպատակը դրա հուսալիության հաստատումն է` որոշելու համար վերլուծվող նյութի կոնցենտրացիան այնպիսի կենսաբանական նմուշներում, ինչպիսիք են արյունը, շիճուկը, մեզը և թուքը: Ավելին, եթե փորձանմուշ պատրաստելիս օգտագործվել է հակակոագուլյանտ, հենց դա էլ անհրաժեշտ է օգտագործել վալիդացման համար: Լրիվ վալիդացում, որպես կանոն, անցկացվում է կենդանիների յուրաքանչյուր տեսակի և հետազոտության մեջ օգտագործված կենսաբանական հեղուկների յուրաքանչյուր տարատեսակի համար:
Եթե կենսավերլուծական մեթոդիկայի վալիդացում իրականացնելիս դժվար է օգտագործել կենսաբանական հեղուկի այն նույն տարատեսակը, որն օգտագործվել է հետազոտության շրջանակներում, ապա բավարար հիմնավորման դեպքում կարելի է օգտագործել այլընտրանքային կենսաբանական նմուշներ (օրինակ՝ մոդելային ողնուղեղային հեղուկ):
9. Կենսավերլուծական մեթոդիկայի հիմնական բնութագրերը, որոնք անհրաժեշտ են դրա ընդունելիությունը և վերլուծական արդյունքների հուսալիությունը հաստատելու համար, համարվում են ընտրողականությունը, քանակական որոշման ստորին սահմանը, արձագանքման գործառույթը և վերլուծական ընդգրկույթը (աստիճանավորման կորի պարամետրերի վերարտադրելիությունը), ճշտությունը, ճշգրտությունը, մատրիցի ազդեցությունը (մատրիցի էֆեկտներ (էլյուացման (համապատասխան լուծիչով նյութի դուրս բերում) ամբողջականությունը)), կենսաբանական նմուշներում վերլուծվող նյութերի կայունությունը և պահման ժամանակ, աշխատանքային լուծույթներում, արտազատումներում պահման և փորձանմուշի նախապատրաստման ամբողջ ժամանակահատվածում վերլուծվող նյութի (նյութերի) և ՆՍ-ի կայունությունը:
10. Որպես կանոն, ուսումնասիրության ենթակա է մեկ վերլուծվող նյութ կամ ազդող նյութ, սակայն որոշ դեպքերում որոշում են մի քանի վերլուծվող նյութերի կոնցենտրացիան: Դրանք կարող են լինել ինչպես երկու առանձին նյութեր, այնպես էլ իր մետաբոլիտներով ելակետային միացություն կամ ազդող նյութի էնանտիոմերներ (իզոմերներ): Նման դեպքերում վալիդացման և վերլուծության սկզբունքներն արդարացի են բոլոր հետազոտվող վերլուծվող նյութերի համար:
Ընտրողականությունը
11. Կենսավերլուծական մեթոդիկան պետք է ունենա վերլուծվող նյութը և ՆՍ-ն մատրիցի էնդոգեն բաղադրիչներից և նմուշի այլ բաղադրիչներից տարբերակելու ունակություն: Կենսավերլուծական մեթոդիկայի ընտրողականությունն անհրաժեշտ է հաստատել՝ կիրառելով վերլուծվող նյութ չպարունակող համապատասխան դատարկ նմուշների առնվազն 6 տարբեր աղբյուրներ (փորձարարական հաստատմամբ): Կենսաբանական նմուշների հազվագյուտ տարատեսակների մասով թույլատրելի է կիրառել քիչ քանակությամբ աղբյուրներ: Դատարկ կենսաբանական նմուշի բաղադրիչների աղավաղող ազդեցության բացակայությունը նշվում է, որպես կանոն, եթե դրանց ազդանշանը, ըստ քանակական որոշման ստորին սահմանի, չի գերազանցում 20%-ը՝ վերլուծվող նյութի համար, և 5%-ը՝ ՆՍ-ի համար:
Որոշ դեպքերում կարող է անհրաժեշտ լինել ազդող նյութի մետաբոլիտների ազդեցության աստիճանի, ինչպես նաև նմուշապատրաստման ժամանակ առաջացող՝ դեգրադացման (վատթարացման) արգասիքների և միաժամանակ օգտագործվող դեղապատրաստուկների հետազոտություն: Կենսավերլուծական մեթոդիկայի վալիդացման փուլում կամ կոնկրետ հետազոտության և վերլուծվող նյութի վերլուծության փուլում անհրաժեշտ է հաշվի առնել հետազոտվող պոպուլյացիայի կողմից որպես ուղեկցող օգտագործվող դեղապատրաստուկները:
12. Եթե կիրառելի է (ոչ կայուն մետաբոլիտների համար, օրինակ՝ եթերում թթու մետաբոլիտների, ոչ կայուն N-оքսիդների կամ գլյուկուրոնիդների, լակտոնային կառուցվածքով միացությունների), անհրաժեշտ է գնահատել վերլուծության տարբեր փուլերում մետաբոլիտի՝ ելակետային վերլուծվող նյութի՝ հակառակ վերափոխվելու հնարավորությունը (ներառյալ նմուշապատրաստման ընթացակարգերը կամ ԶՍ-վերլուծության համար արտազատման մեջ): Անհրաժեշտ է որոշել հակառակ վերափոխման աստիճանը և վերլուծել հետազոտության արդյունքների վրա դրա ազդեցությունը: Նոր քիմիական միացության մշակման վաղ փուլերում, քանի դեռ դրա մետաբոլիզմը չի ուսումնասիրվել, նման գնահատում իրականացնել հնարավոր չէ: Այնուամենայնիվ, մշակման ընթացքում ազդող նյութի մետաբոլիզմի մասին նոր տվյալներ ստանալուց հետո անհրաժեշտ է հաշվի առնել հակառակ՝ հետ վերափոխման հիմնախնդիրը, որը պահանջում է մասնակի վալիդացման իրականացում:
Որոշ դեպքերում հետազոտվող մետաբոլիտների ստանդարտ նմուշներին հասանելիություն ստանալը բավականաչափ դժվար է: Մյուս կողմից՝ մետաբոլիտի հետ վերափոխումը կարելի է գնահատել՝ անցկացնելով ակտիվ նմուշների (հետազոտության սուբյեկտներից կամ կենդանիներից վերցված վերլուծվող նյութեր պարունակող նմուշների) կրկնակի վերլուծություն: Սակայն այդ դեպքում չի կարելի բացառել փորձանմուշի պատրաստման ընթացքում հետ վերափոխումը:
Փոխանցման էֆեկտը
13. Մեթոդիկան մշակելիս անհրաժեշտ է հաշվի առնել և նվազեցնել փորձանմուշից փորձանմուշ վերլուծվող նյութի փոխանցումը: Վալիդացման ընթացքում անհրաժեշտ է գնահատել փոխանցման էֆեկտը՝ ներմուծելով դատարկ նմուշներ՝ բարձր կոնցենտրացիայով նմուշներից կամ քանակական որոշման վերին մակարդակների աստիճանավորված լուծույթներից հետո: Ինչպես նշված է սույն բաժնի «Քանակական որոշման ստորին սահմանը» ենթաբաժնում, բարձր կոնցենտրացիայով ստանդարտ լուծույթից հետո դատարկ նմուշի մեջ փոխանցելը չպետք է գերազանցի քանակական որոշման ստորին սահմանի (ՔՈՍՍ) մեծության 20%-ը, և ՆՍ-ի համար՝ 5%-ը: Եթե ակնհայտ է, որ փոխանցումն անխուսափելի է, հետազոտվող նմուշները չեն ռանդոմիզացվում: Որպեսզի փոխանցումը չազդի ճշտության և ճշգրտության վրա, վալիդացման ընթացքում անհրաժեշտ է նախատեսել հատուկ միջոցներ (օրինակ՝ ներմուծել դատարկ նմուշներ՝ ակնկալվող բարձր կոնցենտրացիայով նմուշներից հետո և մինչ հերթական փորձարկվող նմուշի վերլուծության սկիզբը):
Քանակական որոշման ստորին սահմանը
14. Քանակական որոշման ստորին սահմանը (ՔՈՍՍ) վերլուծվող նյութի նմուշում այն նվազագույն կոնցենտրացիան է, որն ընդունելի ճշտությամբ և ճշգրտությամբ ենթարկվում է հուսալի քանակական որոշման: ՔՈՍՍ-ն համարվում է նվազագույն աստիճանավորված ստանդարտ նմուշ (ինչպես դա նշված է սույն բաժնի «Ճշտությունը» և «Ճշգրտությունը» ենթաբաժիններում): Ընդ որում, ՔՈՍՍ–ով նմուշից վերլուծվող նյութի ազդանշանը պետք է առնվազն 5 անգամ գերազանցի դատարկ նմուշի ազդանշանի մեծությանը: ՔՈՍՍ-ն անհրաժեշտ է ադապտացնել ակնկալվող կոնցենտրացիաներին և հետազոտության նպատակին (օրինակ՝ կենսահամարժեքության հետազոտությունում ՔՈՍՍ-ն չպետք է լինի ավելի բարձր, քան Сmах-ի 5%-ը (սուբյեկտների ամբողջ ընտրանքից Сmax նվազագույն մեծությունից)):
Աստիճանավորման կորը (գծայնությունը)
15. Անհրաժեշտ է գնահատել աստիճանավորման կորի արձագանքման գործառույթը վերլուծվող նյութի բոլոր կոնցենտրացիաների համար, ընդ որում՝ ուսումնասիրության ենթակա է կոնցենտրացիաների կոնկրետ ընդգրկույթը: Աստիճանավորման ստանդարտ նմուշները պատրաստում են դատարկ փորձանմուշին ավելացնելով հայտնի կոնցենտրացիաներով վերլուծվող նյութը՝ օգտագործելով դրա նույն տարատեսակը, որն ստացվելու է հետազոտության ընթացքում: Կենսավերլուծական մեթոդիկայի վալիդացման ժամանակ ուսումնասիրվող՝ վերլուծվող յուրաքանչյուր նյութին և յուրաքանչյուր վերլուծական պարբերաշրջանին պետք է համապատասխանի աստիճանավորման առանձին կոր:
Տեսականորեն մինչ կենսավերլուծական մեթոդիկայի անցկացման սկիզբն անհրաժեշտ է որոշել կոնցենտրացիաներից ակնկալվող ընդգրկույթը: Այդ ընդգրկույթը պետք է ծածկվի որպես նվազագույն աստիճանավորման ստանդարտ՝ ՔՈՍՍ-ով, և որպես առավելագույն աստիճանավորման ստանդարտ՝ քանակական որոշման վերին սահմանով (ՔՈՎՍ) տրվող մեթոդիկայի վերլուծական շրջանով: Ընդգրկույթը պետք է տրվի ուսումնասիրվող վերլուծվող նյութի դեղակինետիկայի պատշաճ նկարագրության նպատակով:
16. Դատարկ նմուշից (վերլուծվող նյութ կամ ՆՍ չպարունակող կենսաբանական նմուշի մշակման ենթարկված) և զրոյական նմուշներից (ՆՍ պարունակող կենսաբանական նմուշների մշակման ենթարկված) բացի՝ անհրաժեշտ է օգտագործել առնվազն տարբեր աստիճանավորման կոնցենտրացիաներ: Աստիճանավորման յուրաքանչյուր ստանդարտ թույլատրվում է վերլուծել կրկնակի:
17. Անհրաժեշտ է կիրառել կախվածությունը, որը պարզ և հուսալի կերպով թույլ է տալիս նկարագրել վերլուծվող նյութի կոնցենտրացիայից վերլուծական ազդանշանի արձագանքման գործառույթը: Աստիճանավորման կորի պարամետրերը հաշվարկելիս դատարկ և զրոյական նմուշները հաշվի չեն առնվում:
18. Հաշվետվության մեջ անհրաժեշտ է նկարագրել աստիճանավորման կորի պարամետրերը (գծային ռեգրեսիայի համար՝ թեքության անկյունը և ազատ անդամը (վերջինիս անհրաժեշտության դեպքում)): Ի լրումն դրա՝ ճշտության հաշվարկված միջին արժեքներից բացի անհրաժեշտ է ներկայացնել աստիճանավորման ստանդարտների՝ էքսպերիմենտալ կերպով հաշվարկված կոնցենտրացիաները: Հաշվետվության մեջ անհրաժեշտ է ներկայացնել վալիդացման ընթացքում ստացված բոլոր առկա կամ ընդունելի կորերը (սակայն 3-ից ոչ պակաս):
19. Աստիճանավորման ստանդարտների փորձառապես հաշվարկված կոնցենտրացիաները պետք է ընկած լինեն նոմինալ արժեքների +15%-ի սահմաններում (բացառությամբ ՔՈՍՍ-երի, որոնց համար այդ արժեքները կարող են գտնվել +20%-ի սահմաններում): Այդ չափորոշչին պետք է համապատասխանեն 6-ից ոչ պակաս տարբեր կոնցենտրացիաներում աստիճանավորման ստանդարտների առնվազն 75%-ը: Եթե կիրառվում են կրկնումներ, այդ չափորոշիչներին (ՔՈՍՍ-ի համար՝ +15%-ի կամ +20%-ի սահմաններում) պետք է համապատասխանեն աստիճանավորման ստանդարտների յուրաքանչյուր կոնցենտրացիայի համար փորձարկված նմուշների առնվազն 50%-ը: Եթե աստիճանավորման ստանդարտը չի համապատասխանում այդ չափորոշիչներին, ապա այն անհրաժեշտ է բացառել, իսկ աստիճանավորման կորը վերահաշվարկել՝ հաշվի չառնելով այդ ստանդարտը (այդ թվում՝ անցկացնել կրկնակի ռեգրեսիոն վերլուծություն): Եթե ՔՈՍՍ-ի կամ ՔՈՎՍ-ի աստիճանավորման ստանդարտների բոլոր կրկնումները խոտանվել են, ապա աստիճանավորման լուծույթների համապատասխան սերիայի վալիդացում չեն անցկացնում: Ընդ որում, անհրաժեշտ է որոշել խոտանման պատճառները, իսկ անհրաժեշտության դեպքում լրամշակել մեթոդիկան: Եթե հետևյալ սերիայի վալիդացումը նույնպես չի անցնում, ապա մինչ նոր վալիդացում սկսելն անհրաժեշտ է վերանայել մեթոդիկան:
20. Չնայած նրան, որ աստիճանավորման կորը ցանկալի է կառուցել նոր պատրաստված նմուշների կիրառմամբ, կայունության մասով անհրաժեշտ տվյալների առկայության դեպքում թույլատրվում է կիրառել նախապես պատրաստված և պահման ենթարկված աստիճանավորման նմուշներ:
Ճշտությունը
21. Վերլուծական մեթոդիկայի ճշտությունն արտահայտում է դրա օգնությամբ ստացված արժեքների՝ վերլուծվող նյութի նոմինալ կոնցենտրացիաներին մոտ լինելը (այն, որպես կանոն, արտահայտվում է տոկոսներով): Ճշտությունն անհրաժեշտ է գնահատել ըստ որակի հսկողության (ՈՀ) համար նմուշների՝ նմուշների, որոնց ավելացվել է վերլուծվող նյութի նախապես հայտնի քանակությունը: ՈՀ-ի համար նմուշները պատրաստում են աստիճանավորման ստանդարտներից անկախ՝ օգտագործելով նախապես պատրաստված ելակետային տարբեր լուծույթներ:
22. ՈՀ-ի համար նմուշները վերլուծում են ըստ աստիճանավորման կորի, կոնցենտրացիաների էքսպերիմենտալ արժեքները համեմատում են նոմինալ արժեքների հետ: Հաշվետվության մեջ ճշտությունն արտահայտում են նոմինալ արժեքներից տոկոսի տեսքով: Ճշտությունն անհրաժեշտ է որոշել ըստ ՈՀ-ի համար նմուշների կոնցենտրացիաների, որոնք ստացվում են ինչպես մեկ պարբերաշրջանի ներսում (ճշտությունը պարբերաշրջանի ներսում), այնպես էլ տարբեր պարբերաշրջաններում (ճշտությունը պարբերաշրջանների միջև):
Մեկ պարբերաշրջանի մեջ ցանկացած ժամանակային տենդենց գնահատելու նպատակով նպատակահարմար է հաստատել ՈՀ-ի համար նմուշների վերլուծության ճշտությունը և ճշգրտությունը մեկից ոչ պակաս պարբերաշրջանում, որը մեծությամբ համապատասխանում է փորձարկվող նմուշների համար պլանավորվող վերլուծական պարբերաշրջանին:
Ճշտությունը պարբերաշրջանի մեջ
23. Ճշտությունը պարբերաշրջանի մեջ որոշվում է մեթոդիկայի կիրառման ընդգրկույթի մեջ մտնող ոչ պակաս, քան 4 տարբեր կոնցենտրացիաների համար առնվազն 5 նմուշների մեկ պարբերաշրջանի մեջ վերլուծության միջոցով:
Առաջարկվող կոնցենտրացիաները՝
ՔՈՍՍ.
ՔՈՍՍ-ի եռակի մեծություն (ստորին մակարդակը).
որոշվող կոնցենտրացիաների վերին սահմանի մոտ 30-50%-ը (միջին մակարդակ).
որոշվող կոնցենտրացիաների վերին սահմանի առնվազն 75%-ը (վերին մակարդակ):
Հաշվարկված կոնցենտրացիաների միջին արժեքը պետք է գտնվի ՈՀ-ի համար նմուշների համար նոմինալ արժեքներից +15%-ի սահմաններում. սակայն ՔՈՍՍ-ի համար սահմանները կարելի է ընդլայնել նոմինալ արժեքներից մինչև +20%:
Ճշտությունը պարբերաշրջանների միջև
24. Պարբերաշրջանների միջև ճշտության վալիդացման համար անհրաժեշտ է գնահատել ոչ պակաս, քան 2 տարբեր օրերի ընթացքում անցկացված, ոչ պակաս, քան 3 վերլուծված պարբերաշրջաններից ՈՀ-ի համար նմուշների ՔՈՍՍ-ն, ստորին, միջին և վերին մակարդակները: Հաշվարկված կոնցենտրացիաների միջին արժեքը պետք է գտնվի ՈՀ-ի համար նմուշների համար նոմինալ արժեքներից +15%-ի սահմաններում. ՔՈՍՍ-ի համար սահմանները կարելի է ընդլայնել նոմինալ արժեքներից մինչև +20%:
25. Ճշտությունը և ճշգրտությունը որոշելիս մեթոդիկայի վալիդացման մասին հաշվետվության մեջ անհրաժեշտ է ներառել ստացված բոլոր արդյունքները՝ բացառությամբ փաստաթղթավորված վրիպումների:
Ճշգրտությունը
26. Վերլուծական մեթոդիկայի ճշգրտությունը առանձին կրկնվող չափումների միջև արդյունքների մոտ լինելու աստիճանն է, որն արտահայտվում է հարաբերական ստանդարտ շեղման տեսքով (տատանման գործակից): Ճշգրտությունն անհրաժեշտ է հաստատել ՈՀ-ի համար նմուշների կոնցենտրացիաների ՔՈՍՍ-ի համար, ստորին, միջին և վերին մակարդակների համար ինչպես մեկ պարբերաշրջանի մեջ, այնպես էլ տարբեր պարբերաշրջանների միջև, այսինքն՝ նույն պարբերաշրջանների և տվյալների համար, ինչ ճշտությունը հաստատելիս:
Ճշգրտությունը պարբերաշրջանի մեջ
27. Պարբերաշրջանի մեջ ճշգրտությունը գնահատելիս անհրաժեշտ է օգտագործել ՔՈՍՍ-ի համար մեկ կոնցենտրացիայի, մեկ պարբերաշրջանի մեջ ՈՀ-ի համար նմուշների կոնցենտրացիայի ստորին, միջին և վերին մակարդակների առնվազն 5 նմուշ: Մեկ պարբերաշրջանի մեջ համեմատական ստանդարտ շեղումը ՈՀ-ի համար նմուշների համար չպետք է գերազանցի 15%-ը, իսկ ՔՈՍՍ-ի համար այն չպետք է գերազանցի 20%-ը:
Ճշգրտությունը պարբերաշրջանների միջև
28. Պարբերաշրջանների միջև ճշգրտությունը գնահատելիս անհրաժեշտ է որոշել ոչ պակաս, քան 2 տարբեր օրերի ընթացքում անցկացված, ոչ պակաս, քան 3 վերլուծված պարբերաշրջաններից ՈՀ-ի համար նմուշների ՔՈՍՍ-ն, ստորին, միջին և վերին մակարդակները: Պարբերաշրջանների միջև հարաբերական ստանդարտ շեղումը ՈՀ-ի համար նմուշների համար չպետք է գերազանցի 15%-ը, իսկ ՔՈՍՍ-ի համար այն չպետք է գերազանցի 20%-ը:
Նմուշների նոսրացման ազդեցության բացակայությունը
29. Նմուշների նոսրացման աստիճանը չպետք է ազդի մեթոդիկայի ճշտության և ճշգրտության պարամետրերի վրա: Հնարավորության դեպքում նմուշների նոսրացման վալիդացումն անհրաժեշտ է անցկացնել մատրիցին որոշվող կոնցենտրացիաների վերին սահմանից բարձր կոնցենտրացիայով վերլուծվող նյութի ավելացմամբ և ստացված նմուշի՝ դատարկ փորձանմուշով նոսրացմամբ (ոչ պակաս, քան 5 որոշում՝ յուրաքանչյուր նոսրացման համար): Ճշտությունը և ճշգրտությունը պետք է գտնվեն ընդունելիության սահմանված չափորոշիչների սահմաններում (ոչ ավելին, քան +15%): Վերլուծական ընդգրկույթը (կիրառման ընդգրկույթը) պետք է իր մեջ ներառի փորձարկվող նմուշների նկատմամբ կիրառվող նոսրացումը:
30. Կիրառման ընդգրկույթի գնահատումը կարելի է անցկացնել մասնակի վալիդացման շրջանակներում: Թույլատրվում է կիրառել այլ մատրից, եթե ցույց է տրվել, որ այն չի ազդում ճշգրտության և ճշտության վրա:
Մատրիցի էֆեկտը
31. ԶՍ–մեթոդիկաներ կիրառելիս անհրաժեշտ է գնահատել մատրիցի էֆեկտը՝ տարբեր սուբյեկտներից (աղբյուրներից) օգտագործելով դատարկ նմուշների առնվազն 6 սերիա:
32. Մատրիցի առկայությամբ գագաթի առավելագույն մակերեսի (որոշվում է վերլուծվող նյութի ավելացված հայտնի կոնցենտրացիայով պատրաստված դատարկ նմուշի վերլուծության միջոցով)՝ մատրիցի բացակայությամբ գագաթի առավելագույն մակերեսի (նույն կոնցենտրացիայով վերլուծվող նյութի մաքուր լուծույթ)՝ մատրիցի յուրաքանչյուր սերիայի համար հարաբերությունը հաշվարկելու միջոցով բոլոր վերլուծվող նյութերի և ՆՍ-ի համար անհրաժեշտ է հաշվարկել մատրիցի էֆեկտը (ՄԷ): Անհրաժեշտ է հաշվարկել ըստ ՆՍ-ի կարգավորված ՄԷ-ն (որպես վերլուծվող նյութի ՄԷ-ի՝ ՆՍ-ի ՄԷ-ի վրա բաժանման արդյունքում ստացվող քանորդ): 6 կենսաբանական նմուշների համար հաշվարկված՝ ըստ ՆՍ-ի կարգավորված ՄԷ-ի հարաբերական ստանդարտ շեղումը չպետք է գերազանցի 15%-ը: Չափումներն իրականացվում են ՈՀ-ի համար նմուշների կոնցենտրացիաների ստորին և վերին մակարդակի համար:
Նման մոտեցման ոչ կիրառելի լինելու դեպքում (օրինակ՝ իրական ժամանակի ռեժիմում փորձանմուշը պատրաստելիս) անհրաժեշտ է գնահատել սերիաների միջև արձագանքների փոփոխականությունը մատրիցի առնվազն 6 սերիաների վերլուծության միջոցով, որի մեջ ՈՀ-ի համար նմուշների կոնցենտրացիայի ստորին և վերին մակարդակներում ավելացված է վերլուծվող նյութը: Վալիդացման հաշվետվության մեջ անհրաժեշտ է ներկայացնել վերլուծվող նյութի և ՆՍ-ի գագաթների մակերեսները, ինչպես նաև յուրաքանչյուր նմուշի հաշվարկված կոնցենտրացիաները: Սերիայի համար համեմատական ստանդարտ շեղումը չպետք է գերազանցի 15%-ը:
33. Եթե մատրիցը սակավ մատչելի է, ապա կարելի է օգտագործել մատրիցի 6-ից պակաս տարբեր սերիաներ, սակայն նման մոտեցումն անհրաժեշտ է հիմնավորել: Այդ դեպքում նույնպես անհրաժեշտ է գնահատել մատրիցի էֆեկտը:
34. Եթե հետազոտության սուբյեկտներին կամ կենդանիներին պարէնտերալ ներմուծման համար նախատեսված դեղապատրաստուկը պարունակում է օժանդակ նյութեր, որոնք կարող են առաջացնել մատրիցի էֆեկտ (օրինակ՝ պոլիէթիլենգլիկոլ կամ պոլիսորբատ)՝ ի լրումն դատարկ մատրիցի, մատրիցի էֆեկտը գնահատում են՝ օգտագործելով նշված օժանդակ նյութերը պարունակող մատրիցը: Եթե ապացուցված չէ, որ նշված օժանդակ նյութերը ենթարկվում են in vivo մետաբոլիզմի կամ կենսատրանսֆորմացիայի, վերլուծության համար մատրիցը ստանում են հետազոտության այն սուբյեկտներից կամ կենդանիներից, որոնց ներմուծել են այդ օժանդակ նյութերը: Օժանդակ նյութերի ազդեցությունը կարելի է գնահատել ՄԷ-ն հաշվարկելու կամ օժանդակ նյութ չպարունակող դատարկ մատրիցում բարձր կոնցենտրացիայով փորձարկվող նմուշի նոսրացմամբ հետազոտություն անցկացնելու միջոցով:
35. Ի լրումն ստանդարտ կենսաբանական նմուշների՝ մատրիցի էֆեկտը խորհուրդ է տրվում գնահատել «ոչ ստանդարտ» նմուշների (օրինակ՝ հիպերլիպիդեմիկ պլազմայի կամ հեմոլիզի ենթարկված արյունից ստացված պլազմայի նմուշների) վրա: Եթե վերլուծության ենթակա են պացիենտների (օրինակ՝ երիկամային կամ լյարդային անբավարարությամբ) հատուկ խմբերից վերցված նմուշները, ապա մատրիցի էֆեկտն առաջարկվում է գնահատել այդ պացիենտների կենսաբանական նմուշների կիրառմամբ:
Կայունությունը
36. Համոզվելու համար, որ նմուշապատրաստման և նմուշների հաջորդ վերլուծության յուրաքանչյուր փուլ, ինչպես նաև դրանց պահման պայմանները չեն ազդել վերլուծվող նյութի կոնցենտրացիայի պահպանման հաստատունության վրա, կատարվում է կայունության հետազոտություն:
37. Կայունությունն անհրաժեշտ է գնահատել վերլուծական մեթոդիկայի յուրաքանչյուր փուլի համար, այսինքն՝ ստանալ ապացույցներ, որ այն պայմանները, որոնց համար կատարվել են կայունության հետազոտություններ (օրինակ՝ կենսաբանական ձևի նմուշը, հակակոագուլյանտի առկայությունը, կոնտեյների (փաթեթվածքի) նյութը, պահումը և վերլուծության պայմանները), համանման են փորձարկվող նմուշների վերլուծության իրական պայմաններին: Գրականության աղբյուրներին հղում կատարելը բավարար պայման չի համարվում:
38. Հետազոտվող նմուշի մեջ վերլուծվող նյութի կայունությունը գնահատում են՝ օգտագործելով ՈՀ-ի համար կոնցենտրացիայի ստորին և վերին մակարդակի նմուշները, որոնք հետազոտում են անմիջապես դրանց նմուշապատրաստումից և այն պայմաններում պահելուց հետո, որում կատարվում է աշխատանքը փորձարկվող նմուշների հետ: ՈՀ-ի համար նմուշները, որպես կանոն, վերլուծում են ըստ նոր պատրաստված աստիճանավորման լուծույթների հաշվարկված աստիճանավորման կորի: Ստացված կոնցենտրացիաները համեմատում են նոմինալ կոնցենտրացիաների հետ: Կոնցենտրացիաներից յուրաքանչյուրի համար ճշտությունը (միջին արժեքների համար) պետք է գտնվի նոմինալ արժեքից +15%-ի սահմաններում:
39. Անհրաժեշտ է, հաշվի առնելով գծային ընդգրկույթը և դետեկտորի որոշման ընդգրկույթը, համապատասխան նոսրացումներից հետո փորձարկել ելակետային ու աշխատանքային լուծույթների կայունությունը:
40. Կայունության հետազոտություններն անհրաժեշտ է անցկացնել պահման տարբեր պայմաններում (օրինակ՝ կիրառելով «վատագույն դեպքի» մոտեցումը)՝ ըստ փաստացի վերլուծվող հետազոտվող նմուշների պահման ժամկետներին հավասար կամ դրանց գերազանցող ժամկետների:
41. Անհրաժեշտ է կատարել կայունության հետևյալ փորձարկումները՝
ա) վերլուծվող նյութի և ՆՍ-ի ելակետային ու աշխատանքային լուծույթների կայունությունը.
բ) վերլուծվող նյութ պարունակող՝ սառեցված և հալեցված կենսաբանական նմուշի կայունությունը («սառեցում-հալեցում» ոչ պակաս, քան 3 պարբերաշրջանով սառեցման պայմաններից սենյակային ջերմաստիճան կամ նմուշապատրաստման պայմանների ջերմաստիճան տեղափոխված).
գ) կենսաբանական նմուշում վերլուծվող նյութի կարճաժամկետ կայունությունը սենյակային ջերմաստիճանում կամ փորձանմուշի պատրաստման պայմանների ջերմաստիճանում.
դ) վերլուծվող նյութ պարունակող կենսաբանական նմուշի՝ բնական պայմաններում պահում (սառեցված վիճակում):
42. Բացի այդ՝ անհրաժեշտ է կատարել հետևյալ փորձարկումները (եթե կիրառելի է)՝
ա) փորձանմուշի նախապատրաստումից հետո նմուշի կայունությունը սենյակային ջերմաստիճանում կամ պահման այն պայմաններում, որոնք կիրառվելու են վերլուծության ժամանակ.
բ) ներարկչի (ինժեկտորի) կամ ավտոմատ բաժնավորիչի ջերմաստիճանում փորձանմուշի ավտոմատ կերպով ներմուծման համար սարքում նմուշապատրաստման ենթարկված նմուշների կայունությունը:
43. Կայունության ուսումնասիրություն՝ սառեցման և հալեցման ժամանակ: ՈՀ-ի համար նմուշները պահվում են սառեցված վիճակում՝ սառցախցիկում նախատեսված ջերմաստիճանում, և այնուհետև հալեցվում են սենյակային ջերմաստիճանում կամ նմուշապատրաստման ջերմաստիճանում: Լրիվ հալեցնելուց հետո նմուշները կրկին սառեցնում են նույն պայմաններում: Յուրաքանչյուր պարբերաշրջանում նմուշները պետք է գտնվեն սառեցված վիճակում առնվազն 12 ժամ: «Սառեցում-հալեցում» կայունության ուսումնասիրության պարբերաշրջանների թիվը պետք է լինի հավասար կամ գերազանցի փորձարկվող նմուշների համար նման պարբերաշրջանների թիվը:
44. Վերլուծվող նյութ պարունակող սառեցված կենսաբանական նմուշի՝ բնական պայմաններում պահման ուսումնասիրությունը: ՈՀ-ի համար նմուշներն անհրաժեշտ է սառեցնել նույն պայմաններում և պահել այդ պայմաններում այնքան, որքան փորձարկվող նմուշները, կամ ավելի երկար: Ցածր մոլեկուլյար օրգանական միացությունների նկատմամբ կարելի է կիրառել ծայրահեղ տարբերակների հետազոտության վրա հիմնված մոտեցում (բրեկետինգի մեթոդ), օրինակ՝ եթե կայունությունը հաստատվել է -70 և -20 ՛С ջերմաստիճաններում, այդ ընդգրկույթում ընկնող ջերմաստիճաններում կայունության հետազոտություն չի պահանջվում: Խոշոր մոլեկուլների (օրինակ՝ պեպտիդների և սպիտակուցների) կայունությունն անհրաժեշտ է հաստատել ջերմաստիճաններից յուրաքանչյուրի համար, որոնց դեպքում իրականացվելու է կենսաբանական նմուշների պահումը: Ի լրումն ՈՀ-ի համար նմուշների՝ կարելի է կիրառել փորձարկվող նմուշներ, սակայն միայն փորձարկվող նմուշների կիրառումը բավարար չէ, քանի որ դրանցում հայտնի չեն վերլուծվող նյութի նոմինալ կոնցենտրացիաները: Պահման բնական պայմաններում կայունության ուսումնասիրության արդյունքները պետք է ստացվեն մինչև հաշվետվությունը կազմելը:
45. Ելակետային և աշխատանքային լուծույթների կայունության ուսումնասիրությունը: Չի պահանջվում յուրաքանչյուր կոնցենտրացիայի համար աշխատանքային լուծույթների կայունության հաստատում. կարելի է սահմանափակվել ծայրահեղ տարբերակների կայունության հաստատմամբ (բրեկետինգի մեթոդով): Կայուն իզոտոպներով նշանադրված ներքին ստանդարտների կայունությունը հաստատել չի պահանջվում, եթե հաստատված է, որ այն պայմաններում, որոնց համար հաստատված է վերլուծվող նյութի կայունությունը, տեղի չեն ունենում իզոտոպային փոխանակման ռեակցիաներ:
46. Մի քանի վերլուծվող նյութերով հետազոտությունների մասով, ներառյալ՝ կենսահամարժեքության առանձին հետազոտությունները, անհրաժեշտ է հաստատել բոլոր վերլուծվող նյութերը պարունակող կենսաբանական նմուշում յուրաքանչյուր վերլուծվող նյութի կայունությունը:
47. Հաստատելու համար, որ վերլուծական մեթոդիկայով որոշվող՝ վերլուծվող նյութի կոնցենտրացիաներն արտացոլում են դրա՝ հետազոտության սուբյեկտի կենսաբանական նմուշներում իրական պարունակությունը դրանց նմուշառման պահին, անհրաժեշտ է ուսումնասիրել նմուշառումից անմիջապես հետո և ընդհուպ մինչև դրանք պահման պայմաններում տեղադրելը՝ հետագա նմուշապատրաստման ընթացքում կենսաբանական նմուշում վերլուծվող նյութի կայունությունը: Նման կայունության հաստատման անհրաժեշտությունը պետք է դիտարկել մասնավոր կարգով՝ հիմք ընդունելով վերլուծվող նյութի քիմիական կառուցվածքը:
3. Մասնակի վալիդացումը
48. Վաղ վալիդացված վերլուծական մեթոդիկայի աննշան փոփոխությունների դեպքում (կախված այդ փոփոխությունների բնույթից), որպես կանոն, լրիվ վալիդացում կատարելու անհրաժեշտություն չկա: Այն փոփոխություններին, որոնց մասով թույլատրվում է մասնակի վալիդացման իրականացում, դասվում են կենսավերլուծական մեթոդիկայի փոխանցումը մեկ այլ լաբորատորիա, սարքավորման փոխարինումը, կիրառման ընդգրկույթի փոփոխությունը, կենսաբանական նմուշների սահմանափակ ծավալը, կենսաբանական նմուշի տարատեսակի կամ կենդանու տեսակի փոփոխությունը, հակակոագուլյանտի փոխարինումը, նմուշապատրաստման ընթացակարգի, պահման պայմանների փոփոխությունը և այլն: Հաշվետվության մեջ անհրաժեշտ է արտացոլել տեղի ունեցած բոլոր փոփոխությունները և հիմնավորել կրկնվող կամ մասնավոր վալիդացման ծավալը:
Մասնակի վալիդացման ծավալը կարող է ենթադրել աշխատանքների այն ծավալը, որն սկսվում է պարբերաշրջանի մեջ միայն ճշգրտության և ճշտության գնահատման կատարման մեջ կայացող նվազագույն ծավալից և վերջանում լրիվ վալիդացման կատարմամբ:
4. Խաչաձև վալիդացումը
49. Եթե տվյալներն ստացվել են տարբեր մեթոդների (մեթոդիկաների) օգնությամբ հետազոտությունների խմբի շրջանակներում կամ նույն մեթոդիկայի կիրառմամբ տարբեր լաբորատորիաներում մեկ հետազոտության շրջանակներում, ապա անհրաժեշտ է համեմատել ստացված տվյալները և կատարել կիրառված մեթոդների (մեթոդիկաների) խաչաձև վալիդացում: Նմուշապատրաստման գործում տարբերությունների բազմակենտրոնային հետազոտության շրջանակներում կամ այլ վերլուծական մեթոդի կիրառումը կարող է հանգեցնել տարբեր արդյունքների: Խաչաձև վալիդացումը հնարավորինս պետք է անցկացնել մինչև փորձարկվող նմուշների վերլուծությունը: Խաչաձև վալիդացման շրջանակներում կիրառված բոլոր վերլուծական մեթոդների (մեթոդիկաների) միջոցով անհրաժեշտ է կատարել ՈՀ-ի համար նմուշների կամ փորձարկվող նմուշների վերլուծություն: Տարբեր մեթոդների (մեթոդիկաների) օգնությամբ ՈՀ-ի համար նմուշների համար ստացված ճշտության միջին արժեքները չպետք է տարբերվեն +15%-ից ավելի, սակայն բավարար հիմնավորման դեպքում դրանք կարող են տարբերվել ավելի բարձր մեծությամբ: Փորձարկվող նմուշների երկու արժեքների միջև սխալանքը պետք է տեղավորվի դրանց միջին արժեքից 20%-ի ընդգրկույթում ոչ պակաս, քան 67% կրկնումների համար:
III. Փորձարկվող նմուշների վերլուծությունը
50. Վերլուծական մեթոդիկայի լրիվ վալիդացումն ավարտելուց հետո անցնում են փորձարկվող նմուշների վերլուծությանը: Մինչ փորձարկվող նմուշների վերլուծությունն սկսելը անհրաժեշտ է կատարել կենսավերլուծական մեթոդիկայի պիտանիության ստուգում:
51. Վերլուծական պարբերաշրջանի կիրառելիությունն ապահովելու նպատակով փորձարկվող նմուշների, ՈՀ-ի համար նմուշների և աստիճանավորման լուծույթների նմուշապատրաստումն անհրաժեշտ է իրականացնել վալիդացված վերլուծական մեթոդիկային համապատասխան:
1. Վերլուծական պարբերաշրջանը
52. Վերլուծական պարբերաշրջանը բաղկացած է դատարկ նմուշից (վերլուծվող նյութ կամ ՆՍ չպարունակող՝ մշակման ենթարկված կենսաբանական նմուշից) և զրոյական նմուշից (ՆՍ պարունակող՝ մշակման ենթարկված կենսաբանական նմուշից), ոչ պակաս, քան 6 կոնցենտրացիայով աստիճանավորման լուծույթներից, ոչ պակաս, քան 3 կոնցենտրացիայով՝ ՈՀ-ի համար նմուշներից (ստորին, միջին և վերին մակարդակներ)՝ 2 կրկնումներում, (կամ փորձարկվող նմուշների քանակությունից ոչ պակաս, քան 5%՝ կախված նրանից, թե որն է ավելի շատ) և վերլուծության ենթակա փորձարկվող նմուշներից: Եթե ելակետային լուծույթների նոմինալ կոնցենտրացիաները չեն որոշվել, ապա աստիճանավորման լուծույթները և ՈՀ-ի համար նմուշներն անհրաժեշտ է պատրաստել առանձին՝ կիրառելով պատրաստված տարբեր ելակետային լուծույթներ: Բոլոր նմուշները (աստիճանավորման լուծույթները, ՈՀ-ի համար նմուշները և փորձարկվող նմուշները)՝ որպես նմուշների միասնական սերիա, ենթակա են նմուշապատրաստման այն հերթականությամբ, որով դրանք պետք է վերլուծվեն: Միասնական սերիան այնպիսի նմուշներ են, որոնք միևնույն ժամանակ ենթակա են նմուշապատրաստման, այսինքն՝ նման պայմաններում նույն ռեակտիվների օգտագործմամբ նույն վերլուծականի կողմից հետևողական անընդհատ մշակման: Անհրաժեշտ է խուսափել մեկ վերլուծական պարբերաշրջանում որպես մի քանի սերիա առանձին պատրաստված նմուշների վերլուծությունից: Եթե դրանից խուսափել չի հաջողվում (օրինակ՝ նմուշապատրաստման ժամանակ կայունության մասով սահմանափակումների արդյունքում), ապա յուրաքանչյուր սերիա պետք է իր մեջ ներառի ՈՀ-ի համար՝ կոնցենտրացիայի առնվազն 3 մակարդակների նմուշներ (ստորին, միջին և վերին): Ստանդարտ գործառնական ընթացակարգում (այսուհետ՝ ՍԳԸ) կամ հետազոտությունների մասով աշխատանքային փաստաթղթերում անհրաժեշտ է նախապես սահմանել ընդունելիության չափորոշիչներն ամբողջ վերլուծական պարբերաշրջանի և դրա առանձին սերիաների համար:
53. Արդյունքների փոփոխականությունը նվազեցնելու նպատակով կենսահամարժեքության հետազոտություններում 1 սուբյեկտից բոլոր նմուշների վերլուծությունը խորհուրդ է տրվում իրականացնել 1 վերլուծական պարբերաշրջանի շրջանակներում: ՈՀ-ի համար նմուշներն անհրաժեշտ է բաշխել ըստ պարբերաշրջանի այնպես, որ ապացուցվի ճշտությունը և ճշգրտությունը ամբողջ պարբերաշրջանի համար:
2. Վերլուծական պարբերաշրջանի կիրառելիության չափորոշիչները
54. Արձանագրությունում, հետազոտության պլանում կամ ՍԳԸ-ում անհրաժեշտ է սահմանել վերլուծական պարբերաշրջանի ընդունելի կամ ոչ ընդունելի չափորոշիչները: Եթե ամբողջ պարբերաշրջանը բաղկացած է մի քանի սերիայից, ապա կիրառելիության չափորոշիչները պետք է բաշխվեն ամբողջ պարբերաշրջանի վրա և (կամ) առանձին՝ յուրաքանչյուր սերիայի վրա: Պարբերաշրջանը կարող է լինել ընդունելի՝ չնայած չափորոշիչները չպահպանելու հետ կապված՝ սերիայի անընդունելիությանը:
55. Անհրաժեշտ է սահմանել վերլուծական պարբերաշրջանի կիրառելիության հետևյալ չափորոշիչները՝
ա) աստիճանավորման լուծույթների՝ փորձառապես հաշվարկված կոնցենտրացիաները պետք է գտնվեն նոմինալ արժեքներից +15%-ի սահմաններում (բացառությամբ ՔՈՍՍ-երի, որոնց համար այդ արժեքները կարող են գտնվել + 20%-ի սահմաններում): Այդ չափորոշչին պետք է համապատասխանի աստիճանավորման լուծույթների ոչ պակաս, քան 75%-ը՝ առնվազն 6 տարբեր կոնցենտրացիաների համար: Եթե աստիճանավորման լուծույթի համար արդյունքը չի համապատասխանում այդ չափորոշիչներին, ապա այդ արդյունքը պետք է բացառվի, իսկ աստիճանավորման կորը պետք է վերահաշվարկվի առանց այդ արդյունքը հաշվի առնելու (կրկնակի ռեգրեսիոն վերլուծություն): Եթե շեղված արդյունքը վերաբերում է ՔՈՍՍ մակարդակով աստիճանավորման լուծույթին, ապա նման վերլուծական պարբերաշրջանի համար որպես ՔՈՍՍ ծառայելու է գծայնության ընդգրկույթից հաջորդ նվազագույն ընդունելի աստիճանավորման լուծույթը: Եթե առավելագույն կոնցենտրացիայով աստիճանավորման լուծույթի համար արդյունքը ընդունելի չէ, ապա նման վերլուծական պարբերաշրջանի համար որպես ՔՈՎՍ ծառայելու է գծայնության ընդգրկույթից հաջորդ առավելագույն ընդունելի աստիճանավորման լուծույթը: Վերահաշվարկված վերլուծական ընդգրկույթը պետք է ընդգրկի ՈՀ-ի համար բոլոր նմուշները (ստորին, միջին և վերին մակարդակի).
բ) ՈՀ-ի համար նմուշների ճշտության արժեքները պետք է գտնվեն նոմինալ արժեքներից +15%-ի սահմաններում: Այդ չափորոշչին պետք է համապատասխանեն ՈՀ-ի համար նմուշների ոչ պակաս, քան 67%-ը և յուրաքանչյուր կոնցենտրացիայի համար նմուշների ոչ պակաս, քան 50%-ը: Եթե այդ չափորոշիչները չեն պահպանվում, ապա վերլուծական պարբերաշրջանն անհրաժեշտ է խոտանել, իսկ հետազոտվող նմուշները ենթարկել կրկնակի պատրաստման և վերլուծության: Մի քանի վերլուծվող նյութ միաժամանակ որոշելիս դրանցից յուրաքանչյուրին պետք է համապատասխանի առանձին աստիճանավորման կոր: Եթե ըստ վերլուծվող նյութերից մեկի վերլուծական պարբերաշրջանը համարվում է ընդունելի, սակայն ըստ մեկ այլի՝ անընդունելի, ապա թույլատրվում է կիրառել ընդունելի վերլուծվող նյութի կոնցենտրացիայի մասով տվյալները, սակայն շեղված վերլուծվող նյութի կոնցենտրացիան որոշելու համար նմուշներն անհրաժեշտ է ենթարկել կրկնակի պատրաստման և վերլուծության:
56. Եթե աստիճանավորման լուծույթների կրկնակի կիրառման ժամանակ դրանցից մեկը՝ ՔՈՍՍ-ն կամ ՔՈՎՍ-ն, դառնում է անընդունելի, ապա մեթոդիկայի վերլուծական ընդգրկույթը չի փոփոխվում:
57. ՈՀ-ի համար նմուշների յուրաքանչյուր կոնցենտրացիայի համար անհրաժեշտ է հաշվարկել բոլոր ընդունված պարբերաշրջանների ճշտության և ճշգրտության միջին արժեքները և ընդգրկել դրանք վերլուծական հաշվետվության մեջ: Եթե ճշտության միջին արժեքները և ճշգրտության արժեքները գերազանցում են 15%-ը, նման շեղումները բացատրելու նպատակով անհրաժեշտ է անցկացնել լրացուցիչ փորձաքննություն: Կենսահամարժեքության հետազոտություններում նման արդյունքները կարող են հանգեցնել տվյալների անընդունելիության:
3. Վերլուծական ընդգրկույթը (Calibration range)
58. Եթե մինչ փորձարկվող նմուշների վերլուծությունը հայտնի է կամ ակնկալվում է, որ փորձարկվող նմուշներում վերլուծվող նյութի կոնցենտրացիաների ընդգրկույթը կլինի նեղ, ապա փորձարկվող նմուշներում կոնցենտրացիաների հուսալի հաշվարկ կատարելու նպատակներով խորհուրդ է տրվում կա՛մ նեղացնել վերլուծական ընդգրկույթը և դրան ադապտացնել ՈՀ-ի համար նմուշների կոնցենտրացիաները, կա՛մ ներառել համապատասխան կոնցենտրացիաներով՝ ՈՀ-ի համար նոր նմուշներ:
59. Եթե վերլուծության արդյունքների նեղ ընդգրկույթ չի ակնկալվում, սակայն այն երևում է նմուշների վերլուծությունն սկսելուց հետո, ապա խորհուրդ է տրվում դադարեցնել վերլուծությունը և կամ նեղացնել սահմանված վերլուծական ընդգրկույթը՝ վերանայելով ՈՀ-ի համար նմուշների առկա կոնցենտրացիաները, կամ էլ մինչ փորձարկվող նմուշների վերլուծության վերականգնումը ներառել վերլուծական ընդգրկույթում լրացուցիչ կոնցենտրացիաներով ՈՀ-ի համար նմուշներ: Մինչև վերլուծական ընդգրկույթի օպտիմիզացումը վերլուծված նմուշների կամ ՈՀ-ի համար կոնցենտրացիաների կրկնակի վերլուծություն չի պահանջվում:
60. Սույն պահանջների 59-րդ կետում նշված կանոնը նույնպես կիրառելի է, եթե պարզվում է, որ փորձարկվող նմուշներում վերլուծվող նյութի կոնցենտրացիաների մեծ քանակություն գերազանցում է որոշվող կոնցենտրացիաների վերին սահմանը: Այդ դեպքում անհրաժեշտ է հնարավորինս ընդլայնել վերլուծական ընդգրկույթը և ներառել ՈՀ-ի համար լրացուցիչ նմուշներ կամ էլ փոփոխել դրանց կոնցենտրացիան:
61. Փորձարկվող նմուշների համար սահմանված կոնցենտրացիաների ընդգրկույթ պետք է մտնեն ՈՀ-ի համար նմուշների առնվազն 2 կոնցենտրացիա: Եթե վերլուծական ընդգրկույթը փոփոխվում է, ապա արձագանքման գործառույթը հաշվարկելու և ճշտությունն ու ճշգրտությունը հաստատելու նպատակներով կենսավերլուծական մեթոդիկան ենթակա է կրկնակի (մասնակի) վալիդացման:
4. Փորձարկվող նմուշների կրկնակի վերլուծությունը
62. Մինչ նմուշների վերլուծությունն սկսելը՝ վալիդացման արձանագրությունում, վերլուծության պլանում կամ ՍԳԸ-ում անհրաժեշտ է որոշել փորձարկվող նմուշների կրկնակի վերլուծության հնարավոր պատճառները և վերլուծական հաշվետվության մեջ ընդգրկման ենթակա արժեքների ընտրության չափորոշիչները: Հետազոտության հաշվետվության մեջ անհրաժեշտ է հիմնավորել այն նմուշների քանակը (և դրանց՝ ընդհանուր քանակից մասնաբաժինը), որոնք ենթարկվել են կրկնակի վերլուծության:
63. Փորձարկվող նմուշների կրկնակի վերլուծությունը կարող է անցկացվել նաև հետևյալ պատճառներով՝
ա) աստիճանավորման լուծույթների և (կամ) ՈՀ-ի համար նմուշների ճշտության նկատմամբ ընդունելիության չափորոշիչները չկատարելու հետևանքով վերլուծական պարբերաշրջանի խոտանում.
բ) ՆՍ-ի վերլուծական ազդանշանը զգալիորեն տարբերվում է աստիճանավորման լուծույթներից և ՈՀ-ի համար նմուշներից ստացված ազդանշանից (եթե նման չափորոշիչները նախապես սահմանված են ՍԳԸ-ում).
գ) նմուշները ներմուծելիս սխալներ կամ վերլուծական սարքավորման անսարքինություն.
դ) պարբերաշրջանների առկայություն, որոնցում՝
ստորին մակարդակով աստիճանավորման նմուշը հանվել է աստիճանավորման կորից.
hաշվարկված կոնցենտրացիաները գերազանցում են որոշվող կոնցենտրացիաների վերին սահմանը.
տվյալ պարբերաշրջանի համար հաշվարկված կոնցենտրացիաները գտնվում են ՔՈՍՍ-ից ցածր, ինչը, այլ պարբերաշրջանների հետ համեմատած, հանգեցրել է դրա ՔՈՍՍ-ի ավելացմանը.
ե) մինչ դեղապատրաստուկի ընդունումը (ներմուծումը) ստացված կենսաբանական նմուշում կամ ՔՈՍՍ-ի մակարդակներում դատարկ նմուշներում վերլուծվող նյութի հայտնաբերում.
զ) քրոմատագրման եղանակով վերլուծության պիտանիությունն ստուգելիս կիրառելիության չափորոշիչներին անհամապատասխանություն:
64. Փորձարկվող նմուշների կրկնակի վերլուծությունը դեղակինետիկ պատճառներով կենսահամարժեքության հետազոտություններում, որպես կանոն, համարվում է անընդունելի, քանի որ այն կարող է ազդել հետազոտության արդյունքների վրա և խեղաթյուրել դրանք: Այդ դեպքում կրկնակի վերլուծությունը կարելի է դիտարկել որպես լաբորատոր քննության մի մաս՝ անոմալ արդյունքների հնարավոր պատճառները պարզաբանելու և հետագայում նման խնդիրների առաջացումը կանխելու նպատակով:
65. Եթե կրկնակի վերլուծությունը կատարվել է մինչ դեղապատրաստուկի ընդունումը (ներմուծումը) ստացված կենսաբանական նմուշներում վերլուծվող նյութի հայտնաբերման արդյունքում կամ դեղակինետիկ պատճառներով, ապա անհրաժեշտ է նկարագրել կրկնակի վերլուծության ենթարկված նմուշները և ներկայացնել սկզբնական արժեքների, կրկնակի վերլուծության պատճառների, կրկնակի վերլուծության ընթացքում ստացված արժեքների մասին տվյալներն ու նշել արդյունքում ընդունված արժեքները և ընդունելիության հիմնավորումները:
66. Եթե վալիդացման ընթացքում ապացուցվել են կրկնակի ներարկման համար բավարար ճշգրտությունը և փորձանմուշների ավտոմատ կերպով ներմուծման համար նախատեսված սարքում նախապատրաստված նմուշների կայունությունը, ապա սարքավորման անսարքինության դեպքում թույլատրվում է նմուշների կրկնակի ներարկում: Ամբողջ վերլուծական պարբերաշրջանի՝ կա՛մ աստիճանավորման լուծույթների առանձին նմուշների, կա՛մ աստիճանավորման ժամանակ տարրական խոտանի պատճառով ՈՀ-ի համար նմուշների, կա՛մ առանց որևէ սահմանված վերլուծական պատճառի ՈՀ-ի համար նմուշների կրկնակի ներարկում չի թույլատրվում:
67. Հետազոտության սուբյեկտների անվտանգությունը պետք է գերակայի հետազոտության ցանկացած այլ ասպեկտի նկատմամբ: Այդ իսկ պատճառով այն ապահովելիս կարող են առաջանալ այլ հանգամանքներ, որոնք պահանջում են կրկնակի նմուշապատրաստում և (կամ) առանձին փորձարկվող նմուշների կրկնակի վերլուծություն (օրինակ՝ եթե հայտնաբերվել են անսպասելի կամ խիստ առանձնացող արդյունքներ, որոնք կարող են ազդել պացիենտի անվտանգության վրա):
5. Ինտեգրացում (քրոմատագրիչների մշակում)
68. ՍԳԸ-ում անհրաժեշտ է նկարագրել ինտեգրումը և քրոմատագրիչների կրկնակի ինտեգրումը: Վերլուծական հաշվետվության մեջ անհրաժեշտ է բացատրել տվյալ ՍԳԸ-ից ընթացակարգերի կատարման ընթացքում բոլոր շեղումները: Քրոմատագրիչների ինտեգրման պարամետրերը և կրկնակի ինտեգրման դեպքում ինտեգրման սկզբնական և վերջնական տվյալներն անհրաժեշտ է ներառել լաբորատորիայի փաստաթղթերում և ներկայացնել ըստ պահանջի:
IV. Ակտիվ փորձարկված նմուշների կրկնակի վերլուծությունը
69. Աստիճանավորման լուծույթների և ՈՀ-ի համար նմուշների կիրառումը վալիդացման ժամանակ ոչ միշտ են ընդօրինակում իրական փորձարկվող նմուշները: Նմուշապատրաստման և նմուշների պահման ընթացքում տարբերությունները (օրինակ՝ սպիտակուցների հետ կապելիս հայտնի և ոչ հայտնի մետաբոլիտների վերափոխումը, նմուշների անհամասեռությունը (հետերոգենությունը) կամ ուղեկից դեղապատրաստուկների կիրառումը) կարող են ազդել նման նմուշներում վերլուծվող նյութի որոշման ճշտության և ճշգրտության վրա: Հարկ է գնահատել փորձարկված ակտիվ նմուշների ճշտությունը մյուս օրերին առանձին պարբերաշրջաններում դրանց կրկնակի վերլուծության միջոցով: Հետազոտության ծավալը կախված է վերլուծվող նյութի և փորձարկվող նմուշների հատկություններից և պետք է հիմնված լինի վերլուծական մեթոդի (մեթոդիկայի) և վերլուծվող նյութի բնույթի վրա: Այնուհանդերձ, պետք է առաջնորդվել հետևյալ կանոնով՝ եթե նմուշների թիվը չի գերազանցում 1 000-ը, ապա կրկնակի վերլուծության ենթակա է փորձարկվող նմուշների 10%-ը, իսկ եթե այն գերազանցում է 1 000-ը՝ փորձարկվող նմուշների ընդհանուր թվի 5%-ը: Անհրաժեշտ է կիրառել Сmax -ին և վերացման (էլիմինացիայի) ֆազին համապատասխանող նմուշներ:
70. Ի սկզբանե ստացված կոնցենտրացիայի և կրկնակի վերլուծության արդյունքում ստացված կոնցենտրացիայի միջև հարաբերական սխալանքը չպետք է գերազանցի 20%-ը առնվազն 67%-ի դեպքում: Հարաբերական սխալանքը հաշվարկվում է հետևյալ բանաձևով՝ Հարաբերական սխալանք = ճ 100%
20%-ը գերազանցող հարաբերական սխալանքը կարող է ցույց տալ վերլուծական սխալանքները և ենթակա է հետազոտության:
71. Եթե ակտիվ փորձարկված նմուշների վերլուծության ժամանակ բացահայտվել են տարաբնույթ արդյունքներ, ապա անհրաժեշտ է որոշել դրանց պատճառները և ձեռնարկել պատշաճ միջոցներ ոչ բավարար ճշտության (և ճշգրտության) նվազեցման համար:
72. Ակտիվ փորձարկված նմուշների կրկնակի վերլուծությունն անհրաժեշտ է իրականացնել առնվազն հետևյալ դեպքերում՝
ա) յուրաքանչյուր տեսակի կենդանու համար թունակինետիկ հետազոտություններ անցկացնելիս.
բ) կենսահամարժեքության բոլոր հենակետային (գրանցման) հետազոտություններում.
գ) մարդու մոտ առաջին անգամ անցկացվող բոլոր կլինիկական հետազոտություններում.
դ) պացիենտների մոտ առաջին անգամ անցկացվող բոլոր կլինիկական հետազոտություններում.
ե) լյարդի և (կամ) երիկամային անբավարարությամբ պացիենտների մոտ առաջին անգամ անցկացվող բոլոր կլինիկական հետազոտություններում:
Կենդանիների վրա հետազոտություններ կատարելիս փորձարկված ակտիվ նմուշների կրկնակի վերլուծությունը թույլատրվում է անցկացնել միայն վաղ փուլի հետազոտություններում՝ պայմանով, որ դեղապատրաստուկի ներմուծված դեղաչափի և վերլուծվող նյութի կոնցենտրացիայի վերաբերյալ հենակետային հետազոտությունների համար նման վերլուծությունը ռեպրեզենտատիվ է:
73. Նմուշները ենթակա չեն մեկը մյուսի հետ խառնման, քանի որ դա կարող է սահմանափակել խիստ առանձնացող արդյունքների բացահայտումը:
V. Պոլիմերկապակցող մեթոդները (լիգանդը կապելու մեթոդները)
1. Ստանդարտ նմուշները
74. Մակրոմոլեկուլները հետերոգեն են, այդ իսկ պատճառով դրանց ակտիվությունն ու իմունառեակտիվությունը կարող են տատանվել: Ստանդարտ նյութը պետք է լինի լավ նկարագրված և փաստաթղթավորված (օրինակ՝ պետք է ունենա վերլուծության սերտիֆիկատ և ստանդարտ նյութի ծագումը հաստատող փաստաթղթեր): Մատչելիներից անհրաժեշտ է կիրառել առավել մաքուր ստանդարտ նմուշը: Աստիճանավորման ստանդարտներ և ՈՀ-ի համար նմուշներ պատրաստելիս խորհուրդ է տրվում կիրառել ստանդարտ նմուշի սերիա, որը կիրառվել է նախակլինիկական և կլինիկական հետազոտություններ անցկացնելիս: Ստանդարտ նմուշի սերիան կիրառելուց առաջ փոփոխելիս անհրաժեշտ է անցկացնել դրա վերլուծական բնութագրերի նկարագրությունը և գնահատել դրա կենսավերլուծական պիտանիությունը՝ համոզվելու համար, որ չեն խախտվել մեթոդի (մեթոդիկայի) ֆունկցիոնալ հատկանիշները:
2. Մեթոդիկայի վալիդացումը
75. Մակրոմոլեկուլների հիման վրա դեղապատրաստուկների դեղակինետիկան ուսումնասիրելիս առավել հաճախ կիրառվում են լիգանդը կապելու վրա հիմնված մեթոդները (ԼԿՄ) կամ իմունաքիմիական մեթոդները: Վալիդացման սկզբունքները և փորձարկվող նմուշների վերլուծության մասով ցուցումներն անհրաժեշտ է կիրառել նաև ԼԿՄ-ի նկատմամբ: Սակայն նման մեթոդիկաները դրանց վալիդացումն անցկացնելիս կարող են դժվարություններ առաջացնել: Ելնելով մակրոմոլեկուլներին մասնահատուկ հատկություններից և դրանց բարդ կառուցվածքից՝ նմուշապատրաստման (արտազատման) գործընթացը դժվարին է, այդ իսկ պատճառով վերլուծությունը, որպես կանոն, կատարում են առանց վերլուծվող նյութի նախնական անջատման: Բացի այդ, այդ մեթոդիկաները թույլ չեն տալիս անմիջականորեն որոշել իրենց իսկ մակրոմոլեկուլների կոնցենտրացիան, այլ անուղղակիորեն չափում են մակրոմոլեկուլների՝ մեթոդում (մեթոդիկայում) կիրառվող ռեակտիվների հետ կապելու ռեակցիայի արդյունքը:
Լրիվ վալիդացումը
Սպեցիֆիկությունը
76. Ռեակտիվների հետ կապելու սպեցիֆիկության տակ հասկացվում է ռեակտիվների՝ բացառապես ուսումնասիրվող վերլուծվող նյութի հետ կապվելու կարողությունը: Սպեցիֆիկությունը կապված է խաչաձև ռեակտիվության հասկացության հետ: Տեսականորեն կապող ռեակտիվը պետք է լինի սպեցիֆիկ և չպետք է օժտված լինի «կառուցվածքով մոտ միացությունների» (օրինակ՝ էնդոգեն միացությունների, իզոձևերի, վերլուծվող նյութի տարբերակային ձևերի և ֆիզիկաքիմիական հատկություններով համանման միացությունների) և այն դեղապատրաստուկների հետ խաչաձև ռեակտիվությամբ, որոնց ուղեկցող ընդունումը հավանական է հետազոտության սուբյեկտների կողմից: Մեթոդը մշակելիս և այն վալիդացնելիս, որպես կանոն, նման «կառուցվածքով մոտ միացությունները» բացակայում են: Սպեցիֆիկության ուսումնասիրությունը կարելի է իրականացնել վալիդացումն ավարտելուց և վերլուծվող նյութի հատկությունների մասին տվյալները հավաքելուց հետո: Սպեցիֆիկությունն անհրաժեշտ է փորձարկել ՈՀ-ի համար նմուշների կիրառմամբ նախկինում երբևէ ազդող նյութեր չպարունակած կենսաբանական նմուշների մեջ (այն կենդանիներից կամ սուբյեկտներից ստացված կենսաբանական նմուշները, որոնց երբևէ չեն ներմուծել վերլուծվող նյութ) մատչելի «կառուցվածքով մոտ մոլեկուլների» աճող կոնցենտրացիաների կամ դեղապատրաստուկների ավելացման միջոցով, որոնք, ինչպես ակնկալվում է, կիրառվելու են միաժամանակ, ինչպես նաև որոշվող կոնցենտրացիաների թե՛ ՔՈՍՍ-ի և թե՛ վերին սահմանի մակարդակներում դիտարկվող մակրոմոլեկուլի վերլուծության ժամանակ մեթոդիկայի ճշտությունը որոշելու միջոցով: ՈՀ-ի համար նմուշների համար մեթոդիկայի ընդունելիության չափորոշիչները պետք է գտնվեն նոմինալ արժեքներից + 25%-ի սահմաններում:
Ընտրողականությունը
77. Լիգանդը կապելու մեթոդիկայի ընտրողականության տակ հասկացվում է կենսաբանական նմուշում ոչ մոտ միացությունների առկայությամբ դիտարկվող վերլուծվող նյութը որոշելու կարողությունը: Հաշվի առնելով մակրոմոլեկուլներին բնորոշ հատկությունները՝ դրանց արտազատում, որպես կանոն, չեն կատարում: Այդ կապակցությամբ, կենսաբանական նմուշում պարունակվող ոչ մոտ միացությունները (օրինակ՝ մակրոմոլեկուլների դեգրադացում իրականացնող ֆերմենտները, հետերոֆիլ հակամարմինները կամ ռևմատոիդ գործոնը) կարող են ազդեցություն գործել տվյալ վերլուծության ժամանակ քանակական որոշման արդյունքի վրա: Ընտրողականությունը փորձարկվում է ՔՈՍՍ-ի մակարդակի կամ դրան մոտ կենսաբանական նմուշների ոչ պակաս, քան 10 աղբյուր գումարելու միջոցով: Նման աղբյուրները պետք է ներառեն հիպերլիպիդեմիկ և հեմոլիզիրացված նմուշներ: Հետազոտության մեջ անհրաժեշտ է ընդգրկել համապատասխան հիվանդությամբ տառապող պացիենտների պոպուլյացիայից վերցված կենսաբանական նմուշների աղբյուրներ: Ընտրողականությունն անհրաժեշտ է ուսումնասիրել ՔՈՍՍ-ի կամ դրան մոտ մակարդակի վրա: Ընտրողականությունը նույնպես նպատակահարմար է ուսումնասիրել վերլուծվող նյութի առավել բարձր կոնցենտրացիաների դեպքում: Եթե ազդեցությունը կրում է կոնցենտրացիայից կախված բնույթ, ապա անհրաժեշտ է որոշել այն նվազագույն կոնցենտրացիան, որի դեպքում նման ազդեցությունը զգալի է: Մեթոդիկայի ճշտության արժեքները պետք է գտնվեն առնվազն 80% ուսումնասիրված կենսաբանական նմուշների նոմինալ կոնցենտրացիայից + 20%-ի սահմաններում (+ 25%՝ ՔՈՍՍ-ի դեպքում):
Փոխանցման էֆեկտը
78. Ավտոմատացված բաժնորոշիչ սարքեր կիրառելիս անհրաժեշտ է ուսումնասիրել բարձր կոնցենտրացիայով վերլուծվող նյութի նմուշներից կամ որոշվող կոնցենտրացիաների վերին սահմանի աստիճանավորման ստանդարտից հետո դատարկ նմուշների տեղադրման միջոցով վերլուծվող նյութի նմուշներ փոխանցելու հնարավորությունը:
Կենսաբանական նմուշի տարատեսակի ընտրությունը
79. Վերլուծության արդյունքի վրա կառուցվածքով մոտ էնդոգեն միացությունների բարձր կոնցենտրացիաների զգալի ազդեցության պատճառով որոշ մակրոմոլեկուլների որոշելը առանց դրանց՝ բարդ կենսաբանական նմուշներից կորզման հնարավոր չէ: Չնայած նրան, որ կենսաբանական նմուշներից (օրինակ՝ իմունաաֆինային սորբենտների՝ կիրառելով ածխով կլանումը (սորբումը)) կամ այլընտրանքային մատրիցներից (օրինակ՝ մոդելային սպիտակուցային բուֆերային լուծույթների, դիալիզված շիճուկի) կորզումների կիրառումը խորհուրդ չի տրվում. որոշ դեպքերում դա համարվում է հարկադիր միջոց, քանի որ բացակայում է ուսումնասիրվող վերլուծվող նյութը որոշելու այլ ռազմավարություն: Աստիճանավորման ստանդարտ կորը կարելի է կառուցել նման «մոդելային նմուշների» օգնությամբ: ՈՀ-ի համար նմուշներն անհրաժեշտ է պատրաստել փաստացի կենսաբանական նմուշում՝ գնահատելով մատրիցի էֆեկտի բացակայությունը հաստատող ճշտությունը:
Նվազագույն անհրաժեշտ նոսրացումը
80. Քանի որ կենսաբանական նմուշները կարող են տալ բարձր ֆոնային ազդանշան, կարող է պահանջվել որոշել նվազագույն անհրաժեշտ նոսրացումը: Նվազագույն անհրաժեշտ նոսրացման տակ հասկացվում է այն նվազագույն նոսրացումը, մինչև որը պետք է նոսրացնել բուֆերային լուծույթում նմուշը՝ «վերլուծական ազդանշան - ֆոնային ազդանշան» հարաբերակցության նվազեցման միջոցով վերլուծական պարբերաշրջանի ճշտությունն ու ճշգրտությունն օպտիմիզացնելու համար: Նվազագույն անհրաժեշտ նոսրացումը որոշելու համար նմուշներն անհրաժեշտ է պատրաստել կենսաբանական նմուշի նույն տարատեսակում, ինչ փորձարկվող նմուշները:
Աստիճանավորման կորը
81. Աստիճանավորման կոր կառուցելիս անուղղակիորեն չափվող ազդանշանի կախվածությունը կոնցենտրացիայից, որպես կանոն, ոչ գծային է, սովորաբար՝ սիգմանման: Անհրաժեշտ է կիրառել ոչ պակաս, քան 2 կրկնումներում առնվազն 6 աստիճանավորման ստանդարտ: Աստիճանավորման ստանդարտներն անհրաժեշտ է մոտավորապես համաչափ բաշխել լոգարիթմական սանդղակի վրա՝ ակնկալվող վերլուծական ընդգրկույթի սահմաններում: Աստիճանավորման ստանդարտներից բացի կորի կառուցման համար կարելի է կիրառել վերլուծական ընդգրկույթի դաշտից դուրս ընկած խարսխային կետեր: Վալիդացման ընթացքում անհրաժեշտ է ուսումնասիրել առնվազն 6 անկախ աստիճանավորման պարբերաշրջան: Աստիճանավորման կորի ռեգրեսիոն մոդելի ամբողջական կայունությունը որոշելու համար արդյունքներն անհրաժեշտ է վերլուծել աղյուսակի տեսքով: Տեխնիկական սխալի (վրիպման) դեպքում՝ դրա պատճառը բացահայտելիս, աստիճանավորման ստանդարտը կարելի է բացառել կորից (օրինակ՝ բաժնորոշիչով չափման սխալը): Վերլուծված աստիճանավորման ստանդարտների առնվազն 75%-ի համար վերահաշվարկի մեթոդով աստիճանավորման կորից հաշվարկված աստիճանավորման ստանդարտների նպատակային կոնցենտրացիաները պետք է գտնվեն նոմինալ արժեքից + 20%-ի սահմաններում (+25%՝ որոշվող կոնցենտրացիաների ՔՈՍՍ-ի և վերին սահմանի համար): Խարսխային ստուգաճշտիչները (կալիբրատորները) չեն պահանջում ընդունելիության չափորոշիչների որոշում, քանի որ դրանք չեն մտնում վերլուծական ընդգրկույթի շրջանակ:
Ճշգրտությունը և ճշտությունը
82. Ճշգրտությունը և ճշտությունը գնահատելու համար չպետք է կիրառել ՈՀ-ի համար նոր պատրաստված նմուշներ, դրանք անհրաժեշտ է նախապես սառեցնել և աշխատել դրանց հետ այնպես, ինչպես փորձարկվող նմուշների վերլուծության դեպքում: Մեթոդի (մեթոդիկայի) ճշտությունը, ճշգրտությունը և ընդհանուր սխալը գնահատելու համար անհրաժեշտ է ՈՀ-ի համար կիրառել առնվազն 5 նմուշ (որոշվող կոնցենտրացիաների ՔՈՍՍ-ի ակնկալվող մակարդակը, ՔՈՍՍ–ն երեք անգամից ոչ ավելի գերազանցող մակարդակը, միջին մակարդակը, վերին մակարդակը և ակնկալվող վերին սահմանը): Վալիդացումը պետք է ընդօրինակի փորձարկվող նմուշների իրական պայմաններում վերլուծությունը, այսինքն՝ եթե ցուցումներին համապատասխան փորձարկվող նմուշները ենթարկվում են կրկնակի որոշման (օրինակ՝ 2 փոսիկների կիրառմամբ), ապա վալիդացման ընթացքում ՈՀ-ի համար նմուշներն անհրաժեշտ է ենթարկել կրկնակի վերլուծության (այսինքն՝ ՈՀ-ի համար յուրաքանչյուր նմուշի 2 փոսիկների կիրառմամբ): Չափումներն անհրաժեշտ է անցկացնել մի քանի օրվա ընթացքում առնվազն 6 անկախ վերլուծական պարբերաշրջաններով: Պարբերաշրջանի ներսում և պարբերաշրջանների միջև ճշտության մասով կոնցենտրացիաների միջին արժեքները յուրաքանչյուր մակարդակի համար պետք է տեղավորվեն նոմինալ արժեքից +20%-ի սահմաններում (+25%՝ որոշվող կոնցենտրացիաների ՔՈՍՍ-ի և վերին սահմանի համար): Ավելին, ընդհանուր սխալը (այսինքն՝ տոկոսներով արտահայտված հարաբերական սխալի բացարձակ արժեքի և տոկոսներով արտահայտված փոփոխման գործակցի գումարը) չպետք է գերազանցի 30%-ը (40%՝ որոշվող կոնցենտրացիաների ՔՈՍՍ-ի և վերին սահմանի համար):
Նմուշների նոսրացման գծայնությունը
83. Աստիճանավորման ստանդարտի կորի վերլուծական ընդգրկույթի նեղ լինելու պատճառով, օգտագործելով ՈՀ-ի համար նմուշները, անհրաժեշտ է հաստատել, որ վալիդացված վերլուծական ընդգրկույթի մեջ տեղավորվող վերլուծվող նյութի կոնցենտրացիան ստանալու համար դատարկ մատրիցի նմուշը նոսրացնելուց հետո մեթոդիկայի օգնությամբ կարելի է հստակ չափել քանակական որոշման դաշտը (որոշվող կոնցենտրացիաների վերին սահմանից բարձր) գերազանցող կոնցենտրացիաներում պարունակվող վերլուծվող նյութը: Նոսրացմամբ փորձեր անցկացնելու լրացուցիչ պատճառը պոտենցիալ պրոզոնների կամ «սահելու էֆեկտի» հայտնաբերումն է, այսինքն՝ վերլուծվող նյութի բարձր կոնցենտրացիաներով պայմանավորված ազդանշանի ճնշումը: Վերահաշվարկի մեթոդով հաշվարկված՝ յուրաքանչյուր նոսրացման համար կոնցենտրացիան ըստ նոսրացման ճշգրտումներից հետո պետք է գտնվի կոնցենտրացիայի նոմինալ արժեքից + 20%-ի սահմաններում, բոլոր նոսրացումների վերջնական կոնցենտրացիաների ճշգրտությունը չպետք է գերազանցի 20%-ը:
Զուգահեռականությունը
84. Փորձարկվող նմուշների առկայության դեպքում մատրիցի հնարավոր էֆեկտի կամ մետաբոլիտներից տարբերվող աֆինության բացահայտման նպատակներով անհրաժեշտ է գնահատել աստիճանավորման կորի վրա համապատասխան արժեքների և սերիական նոսրացման ենթարկված փորձարկվող նմուշների արդյունքների միջև զուգահեռականությունը: Բարձր կոնցենտրացիայով փորձարկվող նմուշը (նախընտրելի է Сmax-ին մոտ) անհրաժեշտ է նոսրացնել դատարկ նմուշի օգնությամբ առնվազն երեք անգամ: Նոսրացումների սերիաներում նմուշների միջև ճշգրտությունը չպետք է գերազանցի 30%-ը: Եթե նմուշները նոսրացված են ոչ գծայնորեն (ոչ զուգահեռ), ապա անհրաժեշտ է նախապես որոշել արդյունքները ներկայացնելու ընթացակարգը: Եթե մեթոդի (մեթոդիկայի) վալիդացման ընթացքում փորձարկվող նմուշները մատչելի չեն, ապա զուգահեռականությունն անհրաժեշտ է ուսումնասիրել փորձարկվող նմուշները մատչելի դառնալուց անմիջապես հետո:
Կայունությունը
85. Վերլուծվող նյութի կայունությունն ուսումնասիրում են կոնցենտրացիաների ցածր և բարձր մակարդակներով ՈՀ-ի համար նմուշների կիրառմամբ սույն պահանջների II մասի 2-րդ բաժնի «Կայունությունը» ենթաբաժնում նշված եղանակի միջոցով: Ինչպես արդեն նշվել է, կայունությունն ուսումնասիրելիս անհրաժեշտ է ապահովել կարճաժամկետ կայունություն սենյակային ջերմաստիճանում կամ նմուշապատրաստման ջերմաստիճանում և կայունություն «սառեցում-հալեցում» ռեժիմի ժամանակ: Բացի այդ, անհրաժեշտ է ուսումնասիրել սառեցված վիճակում բնական կայունությունը յուրաքանչյուր ջերմաստիճանում, որում պահվելու են նմուշները:
86. Յուրաքանչյուր կոնցենտրացիայի միջին արժեքը պետք է գտնվի նոմինալ արժեքից + 20%-ի սահմաններում:
Ռեակտիվները
87. Առանցքային ռեակտիվները, ներառյալ՝ կապող ռեակտիվները (օրինակ՝ կապող սպիտակուցներ, ապտամերներ, հակամարմիններ կամ կոնյուգացված հակամարմիններ), ինչպես նաև ֆերմենտատիվ ակտիվությամբ միացություն պարունակող ռեակտիվներն ուղղակի ազդեցություն են ունենում վերլուծության արդյունքների վրա, ինչի արդյունքում անհրաժեշտ է ապահովել դրանց որակը: Համապատասխանաբար, մեթոդիկայի վալիդացման կամ նմուշների վերլուծության ընթացքում ռեակտիվի սերիան փոփոխելիս անհրաժեշտ է հաստատել մեթոդի (մեթոդիկայի) վերլուծական գործառույթների ճշտությունը՝ համոզվելու համար, որ այն չի խախտվել ելակետային կամ նախորդ սերիայի կիրառումից հետո:
88. Ժամանակի մեջ մեթոդի (մեթոդիկայի) վերլուծական գործառույթի վրա ազդեցության բացակայությունն ապահովելու նպատակով անհրաժեշտ է փաստաթղթավորել ինչպես երկրորդային ռեակտիվների (օրինակ՝ բուֆերային լուծույթների, լուծիչների և рН արժեքների մոդիֆիկատորների), այնպես էլ առանցքային ռեակտիվների (ռեագենտների), ինչն առավել կարևոր է, կայունության հաստատումը երաշխավորող պայմանները:
Կոմերցիոն հավաքակազմերը
89. Անհրաժեշտ է կրկնակի վալիդացնել կոմերցիոն հավաքակազմերը այն վերլուծական ընդգրկույթում ՔՈՍՍ-ի մակարդակի նմուշների և ՈՀ-ի համար նմուշների վերլուծության ժամանակ ճշտությունը և ճշգրտությունն ապահովելու նպատակով, որը կիրառվելու է փորձարկվող նմուշների վերլուծության համար: Կիրառվում են պահանջների սույն ենթաբաժնում նշված վալիդացման սկզբունքները:
3. Մասնակի վալիդացումը և խաչաձև վալիդացումը
90. Սույն պահանջների II մասի 3-րդ և 4-րդ ենթաբաժիններում դիտարկված վալիդացման նկատմամբ ներկայացվող բոլոր պահանջները կիրառվում են ԼԿՄ-ի նկատմամբ:
4. Փորձարկվող նմուշների վերլուծությունը
Վերլուծական պարբերաշրջանը
91. Առավել հաճախ ԼԿՄ-ի դեպքում կիրառվում է միկրոփորձանմուշների համար պլանշետ: Վերլուծական պարբերաշրջանը կարող է բաղկացած լինել մի քանի պլանշետից, սակայն պլանշետների բնութագրերի միջև տարբերությունները փոխհատուցելու համար դրանցից յուրաքանչյուրը պետք է պարունակի աստիճանավորման ստանդարտների և ՈՀ-ի համար նմուշների առանձին հավաքակազմ: Որոշ պլատֆորմներ (հարթակներ) տեղավորում են սահմանափակ քանակությամբ նմուշներ: Այդ առնչությամբ աստիճանավորման ստանդարտների լրակազմը թույլատրվում է տեղադրել առաջին և վերջին պլատֆորմներում, իսկ ՈՀ-ի համար նմուշները՝ յուրաքանչյուր պլատֆորմում:
92. Փորձարկվող նմուշները խորհուրդ է տրվում վերլուծել առնվազն 2 կրկնումներում:
Փորձարկվող նմուշների վերլուծության ընդունելիության չափորոշիչները
93. Վերահաշվարկի մեթոդով հաշվարկված՝ աստիճանավորման ստանդարտների կոնցենտրացիաները պետք է գտնվեն իրենց կոնցենտրացիաների նոմինալ արժեքից + 20%-ի սահմաններում (բացառությամբ որոշվող կոնցենտրացիաների ՔՈՍՍ-ի և վերին սահմանի, որոնք պետք է տեղավորվեն + 25% սահմաններում): Այդ չափորոշիչը պետք է կատարվի վերլուծված աստիճանավորման ստանդարտների առնվազն 75%-ի համար, որոնց նվազագույն քանակությունը վերլուծական ընդգրկույթը որոշելու համար պետք է լինի 6-ից ոչ պակաս: Տվյալ պահանջը չի տարածվում խարսխային կալիբրատորների վրա:
94. Յուրաքանչյուր պլանշետ պետք է ներառի ՈՀ-ի համար նմուշների ոչ պակաս, քան 3 կոնցենտրացիա (ստորին, միջին և վերին մակարդակի)՝ առնվազն 2 կրկնումներում: Բացի այդ, վալիդացման ժամանակ ՈՀ-ի համար նմուշները պետք է ընդօրինակեն փորձարկվող նմուշների վերլուծությունն ըստ յուրաքանչյուր փորձարկվող նմուշի փոսիկի քանակի: ՈՀ-ի համար վերլուծված նմուշների առնվազն 67%-ը և յուրաքանչյուր կոնցենտրացիայի նմուշների 50%-ը պետք է տեղավորվեն նոմինալ արժեքից + 20%-ի ընդգրկույթում: Տվյալ չափորոշչին բոլոր անհամապատասխանությունները պետք է հիմնավորվեն:
Ակտիվ փորձարկված նմուշների կրկնակի վերլուծությունը
95. Վաղ փորձարկված նմուշների կրկնակի վերլուծությանը վերաբերող և սույն պահանջների III բաժնի 4-րդ ենթաբաժնում դիտարկված բոլոր հարցերը կիրառելի են նաև լիգանդը կապելու մեթոդիկաների նկատմամբ: Առաջնային և կրկնակի վերլուծությունների ժամանակ ստացված կոնցենտրացիաները պետք է առնվազն 67% կրկնությունների համար գտնվեն դրանց միջին արժեքից + 30%-ի սահմաններում:
VI. Հաշվետվությունը
96. Վալիդացման մասին հաշվետվության մեջ (հաշվետվություններում) և վերլուծական հաշվետվության մեջ (հաշվետվություններում) անհրաժեշտ է ներառել կատարված աուդիտների (ստուգումների) վերաբերյալ տեղեկությունները, եթե այդպիսիք կատարվել են:
1. Վալիդացման մասին հաշվետվությունը
97. Վալիդացման մասին հաշվետվության մեջ առկա տեղեկությունների խորը մանրամասնեցման դեպքում բավական է նշել վերլուծության համար անհրաժեշտ համապատասխան ընթացակարգերի մասով ՍԳԸ-ին հղումները: Հակառակ դեպքում ՍԳԸ-ի տվյալներն անհրաժեշտ է կցել վալիդացման մասին հաշվետվությանը:
Բոլոր առաջնային փաստաթղթերը պետք է փորձագետի պահանջով մատչելի լինեն դրանց նախնական ձևաչափով:
Վալիդացման արձանագրությունից բոլոր շեղումներն անհրաժեշտ է փաստաթղթավորել:
98. Վալիդացման մասին հաշվետվության բովանդակությանը ներկայացվող նվազագույն պահանջներն են՝
ա) վալիդացման սեղմագիրը.
բ) կիրառված վերլուծական մեթոդիկայի նկարագրությունը և, եթե կիրառելի է, դրա աղբյուրը (հղումներ գրականության աղբյուրներին՝ մեթոդիկայի մշակման և (կամ) մեթոդիկայի ձևափոխման համար).
գ) քանակական որոշման մեթոդիկայի նկարագրությունը (վերլուծվող նյութ, ՆՍ, նմուշապատրաստում, վերլուծություն).
դ) ստանդարտ նմուշները (ծագումը, սերիայի համարը, վերլուծության սերտիֆիկատը, կայունությունը և պահման պայմանները).
ե) աստիճանավորման լուծույթները (ստանդարտներ) և ՈՀ-ի համար նմուշները (կենսաբանական նմուշի տարատեսակը, հակակոագուլյանտը (եթե կիրառելի է), աստիճանավորման լուծույթների պատրաստումը՝ ամսաթվերի և պահման պայմանների նշմամբ).
զ) պարբերաշրջանի կիրառելիության չափորոշիչները.
է) վերլուծության արդյունքները՝
բոլոր կատարված վերլուծական պարբերաշրջանների թվարկմամբ աղյուսակ՝ ամսաթվերի և պարբերաշրջանի ընդունելի կամ անընդունելի լինելու նշմամբ, պարբերաշրջանի անընդունելի լինելու պատճառների նկարագրությամբ.
բոլոր ընդունելի վերլուծական պարբերաշրջանների աստիճանավորման արդյունքների թվարկմամբ աղյուսակ, ներառյալ՝ վերլուծական ընդգրկույթը, արձագանքման գործառույթը, փորձառապես հաշվարկված կոնցենտրացիաները և ճշտության արժեքները.
բոլոր ընդունելի վերլուծական պարբերաշրջանների ՈՀ-ի համար նմուշների վերլուծության արդյունքների աղյուսակ (պարբերաշրջանի ներսում և պարբերաշրջանների միջև ճշգրտությունն ու ճշտությունը). անհրաժեշտ է հստակ նշել ընդունելիության չափորոշիչներից դուրս գտնվող արժեքները.
ելակետային և աշխատանքային լուծույթների, պահման կիրառված պայմաններն ընդգրկող՝ ՈՀ-ի համար նմուշների կայունության մասին տվյալները.
տվյալներ ընտրողականության, ՔՈՍՍ-ի, փոխանցման էֆեկտի, մատրիցի էֆեկտի (եթե կիրառելի է) և գծայնության մասին.
ը) վալիդացման ընթացքում ստացված անկանխատեսելի արդյունքները՝ ձեռնարկված միջոցների լրիվ հիմնավորմամբ.
թ) շեղումները մեթոդիկայից և (կամ) ՍԳԸ-ից (շեղումների նկարագրություն, հետազոտության արդյունքների վրա դրանց ազդեցությունը, լրացուցիչ տվյալներ):
99. Վալիդացման մասին հաշվետվության մեջ անհրաժեշտ է նշել աստիճանավորման լուծույթների (ստանդարտների) և ՈՀ-ի նմուշների համար կատարված բոլոր առանձին չափումների արդյունքները:
2. Կատարված հետազոտության մասին վերլուծական հաշվետվությունը
100. Կատարված հետազոտության մասին վերլուծական հաշվետվության մեջ անհրաժեշտ է ներառել փորձարկվող նմուշների վերլուծությանը համապատասխանող վալիդացման մասին հաշվետվություններին հղումները: Բացի այդ, դրանում անհրաժեշտ է ներկայացնել փորձարկվող նմուշների վերլուծության մանրամասն նկարագրությունը:
101. Վերլուծական հաշվետվության մեջ արտացոլվող տեղեկությունների խորը մանրամասնեցման դեպքում բավական է նշել վերլուծության համար անհրաժեշտ համապատասխան ընթացակարգերի մասով ՍԳԸ–ին հղումները: Հակառակ դեպքում ՍԳԸ-ի տվյալներն անհրաժեշտ է կցել հաշվետվությանը:
102. Բոլոր առաջնային փաստաթղթերը փորձագետի պահանջով պետք է իրենց նախնական ձևաչափով լինեն մատչելի:
103. Վերլուծական հաշվետվության մեջ անհրաժեշտ է նկարագրել վերլուծության պլանից, վերլուծական մեթոդիկայից կամ ՍԳԸ-ից բոլոր շեղումները:
104. Կատարված հետազոտության մասին վերլուծական հաշվետվության բովանդակությանը ներկայացվող նվազագույն պահանջներն են՝
ա) ստանդարտ նմուշները (ծագումը, սերիայի համարը, վերլուծության սերտիֆիկատը, կայունությունը և պահման պայմանները).
բ) աստիճանավորման լուծույթները (ստանդարտները) և ՈՀ-ի համար նմուշները (պահման պայմանները).
գ) պարբերաշրջանի ընդունելիության չափորոշիչները (համառոտ նկարագրությունը, համապատասխան արձանագրությանը կամ ՍԳԸ-ին հղումը).
դ) քանակական որոշման նկարագրությունը (մանրամասն նկարագրությունը).
ե) նմուշների շարժման սխեման (ընդունման ամսաթվերը և պարունակությունը, ընդունելիս նմուշների վիճակը, պահման տեղն ու պայմանները (եթե կիրառելի է)).
զ) փորձարկվող նմուշների վերլուծության արդյունքները`
վերլուծական պարբերաշրջանի կազմը՝
աղյուսակ՝ բոլոր վերլուծական պարբերաշրջանների և հետազոտվող նմուշների թվարկմամբ՝ ամսաթվերի և արդյունքների նշմամբ.
աղյուսակ՝ բոլոր ընդունելի վերլուծական պարբերաշրջանների աստիճանավորման արդյունքների թվարկմամբ.
աղյուսակ՝ բոլոր ընդունելի վերլուծական պարբերաշրջանների ՈՀ-ի համար նմուշների վերլուծության արդյունքների թվարկմամբ. անհրաժեշտ է հստակ նշել ընդունելիության չափանիշներից դուրս գտնվող արժեքները.
խոտանված վերլուծական պարբերաշրջաններ (նույնականացման տվյալները, վերլուծության ամսաթիվը, խոտանի պատճառները).
է) մեթոդիկայից և (կամ) ՍԳԸ-ից շեղումը (շեղումների նկարագրությունը, հետազոտության արդյունքների վրա ազդեցությունը, լրացուցիչ տվյալները).
ը) կրկնակի վերլուծությունը՝ բացառությամբ կրկնակի վերլուծության այնպիսի վերլուծական պատճառների, ինչպես օրինակ՝ խոտանված պարբերաշրջանը (նմուշների նույնականացման աղյուսակը, կրկնակի վերլուծության պատճառները, նախնական արժեքները և կրկնակի վերլուծության արդյունքում ստացված արժեքները):
105. Ակտիվ փորձարկված նմուշների կրկնակի վերլուծության արդյունքները կարելի է ներկայացնել վալիդացման մասին հաշվետվության մեջ կամ առանձին հաշվետվության մեջ՝ առանձին հավելվածում:
106. Կենսահամարժեքության հետազոտության մասին վերլուծական հաշվետվությանը կից անհրաժեշտ է կցել ամբողջական վերլուծական պարբերաշրջաններից քրոմատագրիչներ այնպես, որ դրանք ներառեն սուբյեկտների առնվազն 20%-ը, ինչպես նաև ՈՀ-ի համար համապատասխան նմուշներ և աստիճանավորման լուծույթներ (ստանդարտներ):
107. Այլ հետազոտությունների վերլուծական հաշվետվության մեջ անհրաժեշտ է ներկայացնել ներկայացուցչական քրոմատագրիչներ: Պահանջով պետք է մատչելի լինեն լրացուցիչ քրոմատագրիչներ:
|
ՀԱՎԵԼՎԱԾ ԹԻՎ 7 Եվրասիական տնտեսական միության շրջանակներումդեղապատրաստուկների կենսահամարժեքության հետազոտությունների անցկացման կանոնների |
ՊԱՀԱՆՋՆԵՐ
կենսահամարժեքության հետազոտության կատարման մասին հաշվետվության և in vitro լուծելիության համեմատական կինետիկայի թեստի անցկացման մասին վերլուծական հաշվետվության բովանդակությանը ներկայացվող
I. Կենսահամարժեքության հետազոտության կատարման մասին հաշվետվությունը
1. Կենսահամարժեքության հետազոտության անցկացման մասին հաշվետվություն կազմելիս (այսուհետ սույն բաժնում՝ հաշվետվություն) անհրաժեշտ է հաշվի առնել Եվրասիական տնտեսական հանձնաժողովի կողմից հաստատվող՝ Եվրասիական տնտեսական միության՝ կլինիկական հետազոտությունների անցկացման մասին հաշվետվության պատրաստման մասով պատշաճ կլինիկական գործունեության կանոններով սահմանված պահանջները: Հաշվետվության բոլոր էջերը պետք է պարունակեն նույնականացման ծածկագիր և ունենան միջանցիկ համարակալում:
2. Հաշվետվությունն իր մեջ ներառում է հետևյալ տարրերը՝
1) տիտղոսաթերթ, որում բերված են՝
հետազոտության տեսակն արտացոլող հետազոտության լրիվ անվանումը, համեմատվող դեղապատրաստուկների լրիվ անվանումները (դեղաձևի և դեղաչափման նշմամբ), ինչպես նաև համեմատվող դեղապատրաստուկների ընդունման պայմանները (օրինակ՝ անոթի կամ սննդի ընդունման ֆոնի վրա).
հետազոտության նույնականացման ծածկագիրը.
կենսահամարժեքության հետազոտությունն անցկացնելու համար պատասխանատու հետազոտական կենտրոնի և (կամ) պայմանագրային հետազոտական կազմակերպության անվանումը (փաստացի հասցեի նշմամբ).
կենսահամարժեքության հետազոտության հովանավորի վերաբերյալ տեղեկություններ (դրա իրավաբանական հասցեի նշմամբ).
հետազոտողի կամ հետազոտող-համակարգողների (առկայության դեպքում) Ա.Ա.Հ.-ն, պաշտոնը (աշխատանքի վայրի և կոնտակտային հեռախոսահամարների նշմամբ).
hովանավորի ներկայացուցչի վերաբերյալ տեղեկություններ (այդ թվում` կոնտակտային տվյալները).
hաշվետվության ստորագրման ամսաթիվը (առկայության դեպքում անհրաժեշտ է նշել նաև տվյալ հետազոտության շրջանակներում բոլոր վաղ հաշվետվությունների անվանումներն ու ամսաթվերը).
Եվրասիական տնտեսական հանձնաժողովի կողմից հաստատվող՝ Եվրասիական տնտեսական միության պատշաճ կլինիկական գործունեության կանոններով սահմանված պահանջներին համապատասխան հետազոտությունների կատարման մասով ցուցումներ.
2) ստորագրությունների էջ, որում բերվում են՝
հետազոտության անվանումը (համաձայն սույն կետի 1-ին ենթակետի երկրորդ պարբերության).
հետազոտության անցկացման մասով ցուցում՝ հետազոտությունը կատարած հետազոտական կենտրոնի ստանդարտ գործառնական ընթացակարգերին համապատասխան.
հետազոտության կլինիկական և կենսավերլուծական մասի համար պատասխանատու անձանց՝ ըստ հիմնական աշխատանքի վայրի պաշտոնը, ստորագրությունները (ամսաթվի նշմամբ), Ա.Ա.Հ.-ն.
3) համառոտագիր (հետազոտության համառոտ նկարագրություն), որում բերվում են՝
ա) ընդհանուր տեղեկություններ հետազոտության վերաբերյալ՝
հետազոտության անվանումը.
հետազոտության ծածկագիրը.
գլխավոր հետազոտողի կամ հետազոտող-համակարգողների (առկայության դեպքում) Ա.Ա.Հ.-ն, պաշտոնը.
համահետազոտողի Ա.Ա.Հ.-ն, պաշտոնը.
հետազոտության անցկացման վայրերը՝ հետազոտության կլինիկական, վերլուծական և վիճակագրական մասն անցկացրած կազմակերպությունների անվանումը, հասցեները և հեռախոսահամարները.
կլինիկաախտորոշիչ լաբորատորիայի անվանումը և հասցեն.
հետազոտության կլինիկական, կենսավերլուծական և վիճակագրական մասերի անցկացման (սկզբի և ավարտի) ամսաթվերը.
հետազոտության նպատակը.
հետազոտության դիզայնը (մաքրման ժամանակահատվածներն սկզբի և ավարտի ամսաթվերի նշմամբ).
հետազոտության սուբյեկտները՝ սկրինինգի ենթարկվածների ընդհանուր թիվը և ընդգրկված սուբյեկտների թիվը, հետազոտությունից դուրս մնացած սուբյեկտների թիվը, հետազոտության արձանագրությունն ամբողջությամբ կատարած և վիճակագրական վերլուծության մեջ ընդգրկված սուբյեկտների թիվը, սեռը, տարիքային սահմանը, էթնիկ պատկանելիությունը.
բ) տեղեկատվություն համեմատվող դեղապատրաստուկների վերաբերյալ՝
հետազոտվող դեղապատրաստուկի բնութագիրը՝ առևտրային անվանումը (եթե կիրառելի է), միջազգային չարտոնագրված անվանումը, դեղաձևը, դեղաչափը, սերիայի համարը, արտադրման ամսաթիվը, պիտանիության ժամկետը լրանալու ամսաթիվը, բացթողման որակի հսկողությունն իրականացնող արտադրողը կամ կազմակերպությունը (արտադրող երկրի նշմամբ).
հետազոտվող դեղապատրաստուկի ընտրության հիմնավորում՝ Եվրասիական տնտեսական հանձնաժողովի կողմից հաստատվող՝ Եվրասիական տնտեսական միության շրջանակներում դեղապատրաստուկների կենսահամարժեքության հետազոտությունների անցկացման կանոնների (այսուհետ՝ Կանոններ) III բաժնի 2-րդ ենթաբաժնին համապատասխան.
ռեֆերենտ դեղապատրաստուկի բնութագիրը՝ առևտրային անվանումը, միջազգային չարտոնագրված անվանումը, դեղաձևը, դեղաչափը, սերիայի համարը, արտադրման ամսաթիվը, պիտանիության ժամկետի ավարտի ամսաթիվը, թողարկման որակի հսկողություն իրականացնող արտադրողը կամ կազմակերպությունը (արտադրող երկրի նշմամբ).
ռեֆերենտ դեղապատրաստուկի ընտրության հիմնավորում՝ Կանոնների III բաժնի 2-րդ ենթաբաժնին համապատասխան.
գ) դեղապատրաստուկների կիրառման եղանակը՝ դեղաչափը, ընդունման ռեժիմը, ընդունման համար հեղուկի ծավալը, հետազոտության ժամանակահատվածների միջև մաքրման ժամանակահատվածը.
դ) դեղապատրաստուկների ընդունման ժամանակահատվածներ՝ յուրաքանչյուր ժամանակահատվածի սկզբի և ավարտի ամսաթվերն ու ժամերը.
ե) կենսանյութի (արյան, մեզի, թքի և այլն) նմուշների վերցման ժամանակային կետերը.
զ) կենսավերլուծական մեթոդիկայի նկարագրություն՝
վերլուծությունների (անալիզների) կատարման մեթոդիկայի համառոտ նկարագրությունը.
կենսաբանական նյութի տարատեսակը.
քանակական որոշման ստորին սահմանը.
գծային ընդգրկույթը.
արդյունքների քանակական գնահատման համար պարամետրերը.
է) գնահատման դեղակինետիկ և (կամ) դեղադինամիկ չափորոշիչների նկարագրությունը (դեղակինետիկ պարամետրերը նշելիս անհրաժեշտ է առաջնորդվել Կանոնների թիվ 8 հավելվածով).
ը) տեղեկատվություն վիճակագրական վերլուծության վերաբերյալ՝
դեղակինետիկ ցուցանիշների վերլուծությունը.
կենսահամարժեքության չափորոշիչները.
անվտանգությունը.
թ) հետազոտվող և ռեֆերենտ դեղապատրաստուկների համար հաշվարկված դեղակինետիկ պարամետրերով աղյուսակի տեսքով համառոտ նկարագրության ձևով արդյունքները (ներկայացվում են AUC-ի և Cmax-ի համար դիսպերսիոն վերլուծության տվյալները (ANOVA) (միջին երկրաչափականների հարաբերակցությունը, դրանց 90% վստահելի միջակայքը, ներանհատական փոփոխականության գործակիցը) և միջինացված դեղակինետիկ եղանակը՝ հետազոտվող և ռեֆերենտ դեղապատրաստուկների համար գծային ու լոգ-գծային վերափոխմամբ, այլ վիճակագրական տվյալներ, եթե կիրառելի է).
ժ) տեղեկատվություն քննարկման և եզրահանգումների վերաբերյալ.
4) հաշվետվության բովանդակությունը (էջերի միջանցիկ համարակալմամբ).
5) հապավումների և կիրառվող հասկացությունների ցանկը.
6) հետազոտության անցկացման էթիկական ասպեկտների պահպանման վերաբերյալ տեղեկատվություն՝
էթիկայի հարցերով անկախ կոմիտեի կազմը.
թույլատրման փաստաթղթերը (տեղեկատվություն էթիկայի հարցերով անկախ կոմիտեի նիստի արձանագրությունից).
7) տեղեկատվություն հետազոտողների և հետազոտության վարչական կառուցվածքի վերաբերյալ (ներկայացվում է ամբողջական տեղեկատվություն հետազոտողների (curriculum vitae) և հետազոտությունների անցկացման վայրի մասին (հասցեի և հեռախոսահամարի նշմամբ)).
8) հետազոտության կլինիկական մասի նկարագրությունը՝
ա) տիտղոսաթերթը, որում բերվում է՝
հետազոտության անվանումը (համաձայն սույն կետի 1-ին ենթակետի երկրորդ պարբերության).
հետազոտության կլինիկական փուլն սկսելու և ավարտելու ամսաթվերը.
բ) հետազոտության նպատակը.
գ) ներածությունը (տեղեկատվություն դեղապատրաստուկի վերաբերյալ՝ նկարագրությունը, քիմիական (կառուցվածքային) բանաձևը, դեղակինետիկ և դեղադինամիկ տվյալները).
դ) հետազոտության դիզայնը.
ե) հետազոտվող պոպուլյացիայի ընտրությունը՝
հետազոտության համար ընտրության չափորոշիչները՝ կլինիկական գնահատում՝ անամնեզ և բժշկական զննություն (աղյուսակի տեսքով անհատական տվյալների նշմամբ), կլինիկական լաբորատոր թեստեր (աղյուսակի տեսքով՝ անհատական արդյունքների նշմամբ), ընդգրկման չափորոշիչներ, չընդգրկելու չափորոշիչներ.
հետազոտությունը դադարեցնելու կամ հետազոտությունից սուբյեկտներին հեռացնելու չափորոշիչներ.
ըստ հետազոտության խմբերի սուբյեկտների բաշխման մեթոդ.
անհատական տվյալներ՝ սեռը, տարիքը, քաշը, հասակը, մարմնի զանգվածի ինդեքսը (հետազոտության բոլոր սուբյեկտների համար ցուցանիշների անհատական արժեքների նշմամբ և դրանց նկարագրական վիճակագրությամբ).
զ) տեղեկատվություն դեղապատրաստուկների և դրանց ընդունման վերաբերյալ՝
հետազոտվող և ռեֆերենտ դեղապատրաստուկների նկարագրությունը՝ առևտրային անվանումը (եթե կիրառելի է), միջազգային չարտոնագրված անվանումը, դեղաչափը, դեղաձևը, սերիայի համարը, արտադրման ամսաթիվը, պիտանիության ժամկետը լրանալու ամսաթիվը, արտադրողի անվանումը և հասցեն, սուբյեկտների կողմից ընդունվող դեղաչափն ու ներմուծման եղանակը.
հետազոտվող դեղապատրաստուկի արդյունաբերական սերիայի չափի պահպանման հաստատումը՝ Կանոնների III բաժնի 2-րդ ենթաբաժնին և Եվրասիական տնտեսական հանձնաժողովի կողմից հաստատվող՝ Եվրասիական տնտեսական միության պատշաճ արտադրական գործունեության կանոններում նշված՝ արտադրական պրոցեսի վալիդացման նկատմամբ ներկայացվող պահանջներին համապատասխան.
հետազոտվող դեղապատրաստուկի լրիվ քանակական և որակական բաղադրությունը, ինչպես նաև ռեֆերենտ դեղապատրաստուկի բաղադրությունը.
հետազոտվող և ռեֆերենտ դեղապատրաստուկների վերլուծության սերտիֆիկատները (կարող են ներկայացվել հովանավորի կողմից առանձին փաստաթղթերի տեսքով).
դեղապատրաստուկների նույնականացում (հետազոտվող դեղապատրաստուկների մակնշում և հետազոտական կենտրոնին մատակարարում, ուղեկցող փաստաթղթեր և ուղեկցող տեղեկատվություն)՝ հաշվի առնելով Կանոնների III բաժնի 2-րդ ենթաբաժինը.
հետազոտության ընթացքում հետազոտվող և ռեֆերենտ դեղապատրաստուկների հաշվառում.
է) տեղեկատվություն դեղապատրաստուկի կիրառման վերաբերյալ՝
հետազոտության մեջ դեղապատրաստուկի դեղաչափի ընտրություն.
յուրաքանչյուր սուբյեկտի համար դեղապատրաստուկի դեղաչափի ընտրություն և ընդունում (ամսաթիվը, ժամը, ջրի քանակությունը, սնունդը, սահմանափակումները, ֆիզիկական ակտիվությունը).
նախորդող և ուղեկցող թերապիա.
ռանդոմիզացում.
մաքրման ժամանակահատված.
hետազոտության բոլոր սուբյեկտների համար դեղապատրաստուկների ընդունման ժամանակացույց և անհատական տվյալներ պարունակող աղյուսակներ.
ը) անվտանգության գնահատում (Եվրասիական տնտեսական հանձնաժողովի կողմից հաստատվող՝ Եվրասիական տնտեսական միության պատշաճ կլինիկական գործունեության կանոնների պահանջներին համապատասխան հետազոտություններով անցկացված անհրաժեշտ լաբորատոր և գործիքային մեթոդների թվարկում, հղիության թեստ).
թ) անցանկալի երևույթները և բուժօգնության ցուցաբերման ընթացակարգերը՝ անցանկալի երևույթների առաջացման բոլոր դեպքերի մանրամասնեցված նկարագրությունը, դասակարգումը, դեղապատրաստուկների ընդունման հետ կապված պատճառահետևանքային կապը, գրանցման օրը և ժամը, տևողությունը, ձեռնարկված միջոցները, ուղեկցող դեղապատրաստուկների նկարագրությունը, հետազոտության անցկացման վրա ազդեցությունը և այլն.
ժ) շեղումներ արձանագրությունից (եթե այդպիսիք եղել են) և դրանց ազդեցությունը կլինիկական ու դեղակինետիկ արդյունքների վրա.
ժա) նմուշառման կարգը և ժամանակացույցը (աղյուսակների տեսքով հետազոտության բոլոր սուբյեկտների համար նմուշառման պլանավորվող և իրական ժամանակի նշմամբ).
ժբ) կենսաբանական նյութի նմուշների հավաքումը, պատրաստումը, պահումը և փոխադրումը.
ժգ) կենսավերլուծական հաշվետվություն և կենսավերլուծական մեթոդիկայի վալիդացման մասին հաշվետվություն: Հաշվետվությունների տվյալները կազմելիս անհրաժեշտ է կատարել Կանոնների թիվ 6 հավելվածի պահանջները).
ժդ) վիճակագրական հաշվետվություն՝
տիտղոսաթերթ (հետազոտության անվան նշմամբ (համաձայն սույն կետի 1-ին ենթակետի երկրորդ պարբերության), հետազոտության վիճակագրական մասն անցկացնող կազմակերպության անվանումը և հասցեն, հետազոտության վիճակագրական մասն սկսելու և ավարտելու ամսաթվերը).
ներմուծում (տեղեկություններ դեղապատրաստուկի վերաբերյալ՝ նկարագրությունը, քիմիական (կառուցվածքային) բանաձևը, դեղակինետիկան, դեղադինամիկան).
հետազոտության վիճակագրական մասի նպատակը և խնդիրները (համառոտ).
դեղակինետիկ վերլուծության նկարագրությունը, կիրառվող վիճակագրական ծրագրերի նույնականացումը.
դեղակինետիկ կորի կառուցումը.
դեղակինետիկ հավասարումը և դրա վերլուծությունը, հաշվարկման կիրառվող ծրագրերը.
բազային դեղակինետիկ պարամետրերի որոշումը (AUC(0-t), AUC(0-∞), Сmax և tmax) և դրանք հաշվարկելու մեթոդաբանությունը.
կենսահամարժեքության վարկածի ստուգումը.
տվյալների վիճակագրական մշակման ընթացակարգի նկարագրությունը, զրոյական և այլընտրանքային հիպոթեզների ստուգումը.
կենսահամարժեքության գնահատման արդյունքները և դրանց մեկնաբանումը ռեֆերենտ և հետազոտվող դեղապատրաստուկների համար՝ հաշվարկելով Сmах-ը, tmax-ը, tզ-ը, AUC(0-t)-ն, АUС(0-∞)-ը (աղյուսակի տեսքով).
դեղապատրաստուկի համարժեքության ցուցանիշների վիճակագրական վերլուծությունը, կիրառվող վիճակագրական ծրագրերի նույնականացումը.
Сmax, АUС(0-t), АUС(0-∞) կենսամատչելիության ցուցանիշների և f", f', f հետազոտվող դեղապատրաստուկի կենսահամարժեքության ցուցանիշների դիսպերսիոն վերլուծության արդյունքներ պարունակող աղյուսակները: Ինչպես նաև առանձին դեղաձևերի համար համարժեքության լրացուցիչ պարամետրերը.
հետազոտության հզորության վերլուծություն (ներկայացնելով աղյուսակի տեսքով Сmax և AUC(0-t) տվյալներով արդյունքները).
եզրակացություններ և եզրահանգում.
գրականության ցանկը.
ժե) հավելվածներ՝
անհատական և միջին դեղակինետիկ պրոֆիլներ, ինչպես նաև չվերափոխված կոորդինատներում հետազոտվող և ռեֆերենտ դեղապատրաստուկների գումարային պրոֆիլները.
անհատական և միջին դեղակինետիկ պրոֆիլներ, ինչպես նաև լոգարիթմական կոորդինատներում ռեֆերենտ և հետազոտվող դեղապատրաստուկների գումարային պրոֆիլներ.
կոնցենտրացիաների անհատական և միջին արժեքների, դեղակինետիկ պարամետրերի և հետազոտվող ու ռեֆերենտ դեղապատրաստուկների դեղակինետիկայի ցուցանիշների դիսպերսիոն վերլուծության աղյուսակներ:
3. Հաշվետվությունը պետք է ներկայացվի թղթային և էլեկտրոնային կրիչների վրա: Ցանկացած տեղեկատվություն պետք է հարկ եղած դեպքում մատչելի լինի: Կենսաբանական հեղուկներում ռեֆերենտ և հետազոտվող դեղապատրաստուկների կոնցենտրացիաների անհատական արժեքները, ինչպես նաև հետազոտության բոլոր փուլերով ստացված դեղակինետիկ ցուցանիշները ներկայացվում են էլեկտրոնային տեսքով՝ MS Excel աղյուսակի կամ տվյալ խմբագրի հետ համատեղելի այլ աղյուսակի տեսքով:
II. Լուծելիության համեմատական կինետիկայի թեստի անցկացման մասին վերլուծական հաշվետվությունը
4. Լուծելիության համեմատական կինետիկայի թեստի անցկացման մասին վերլուծական հաշվետվությունը (այսուհետ համապատասխանաբար՝ ԼՀԿԹ, հաշվետվություն) ներառվում է դեղապատրաստուկի գրանցման դոսյեի 3-րդ մոդուլի «Դեղագործական մշակումը» 3.2.P.2 բաժնում՝ Եվրասիական տնտեսական հանձնաժողովի կողմից հաստատվող՝ բժշկական կիրառման դեղամիջոցների գրանցման և փորձաքննության կանոններին համապատասխան:
5. Հաշվետվությունն իր մեջ ներառում է հետևյալ տարրերը՝
1) տիտղոսաթերթ, որում բերված են՝
հետազոտության անվանումը.
հետազոտության վերլուծական մասն անցկացնող կազմակերպության անվանումը և հասցեն.
ԼՀԿԹ-ի անցկացման սկզբի և ավարտի ամսաթվերը.
2) հաշվետվության բովանդակությունը.
3) ստորագրությունների էջը (ԼՀԿԹ-ի անցկացման համար պատասխանատու անձանց Ա.Ա.Հ.-ի, ըստ հիմնական աշխատանքի վայրի պաշտոնների, ստորագրությունների (ամսաթվի նշմամբ) նշմամբ.
4) հապավումների և կիրառվող հասկացությունների ցանկը.
5) տեղեկատվություն նյութերի և սարքավորման վերաբերյալ.
6) տեղեկատվություն համեմատվող դեղապատրաստուկների վերաբերյալ՝
հետազոտվող դեղապատրաստուկի բնութագիրը՝ առևտրային անվանումը (եթե կիրառելի է), միջազգային չարտոնագրված անվանումը, դեղաձևը, դեղաչափը, սերիայի համարը, արտադրման ամսաթիվը, պիտանիության ժամկետը լրանալու ամսաթիվը, բացթողման որակի հսկողություն իրականացնող արտադրողը կամ կազմակերպությունը (արտադրող երկրի նշմամբ).
ռեֆերենտ դեղապատրաստուկի բնութագիրը՝ առևտրային անվանումը, դեղաձևը, դեղաչափը, սերիայի համարը, արտադրման ամսաթիվը, պիտանիության ժամկետը լրանալու ամսաթիվը, պահման պայմանները, բացթողման որակի հսկողություն իրականացնող արտադրողը կամ կազմակերպությունը (արտադրող երկրի նշմամբ).
7) տեղեկատվություն վերլուծական ստանդարտ նմուշի վերաբերյալ, որում նշվում են անվանումը, արտադրողը, քանակական պարունակությունը, սերիայի համարը, պիտանիության ժամկետը (կրկնակի փորձարկման).
8) տեղեկատվություն ռեակտիվների և նյութերի վերաբերյալ.
9) տեղեկատվություն հիմնական և օժանդակ սարքավորումների վերաբերյալ.
10) ԼՀԿԹ-ի անցկացման պայմանները՝
ա) ԼՀԿԹ մեթոդիկայի ընտրություն, պայմանների համառոտ հիմնավորում և նկարագրություն.
բ) ԼՀԿԹ-ի անցկացման պայմանները (սարքի տեսակը, պտույտի արագությունը, միջավայրի ջերմաստիճանը, միջավայրի ծավալը, ժամանակային կետերը, անոթում տեղադրվող՝ լուծման համար պատրաստուկի միավորների քանակությունը, յուրաքանչյուր ժամանակային կետի համար դեղապատրաստուկի միավորների թիվը, կիրառվող «սինկերները», նմուշառման ընթացակարգը, լուծման միջավայրի լրացման ընթացակարգը).
11) տեղեկատվություն նմուշների՝ հետազոտություններ անցկացնելիս մակնշման վերաբերյալ.
12) վերլուծական մեթոդիկայի նկարագրությունը (հնարավոր է խաչաձև հղում գրանցման դոսյեի մյուս բաժիններին կամ դեղագրքային մեթոդիկային, այդ ժամանակ ստորև թվարկված տեղեկությունները կարելի է չներկայացնել)՝
վերլուծական մեթոդիկայի համառոտագիր պարունակող աղյուսակներ: Քրոմատագրման մեթոդների կիրառման դեպքում բերվում են քրոմատագրման վերլուծության պայմանները (շարժական ֆազը, սյունակի տեսակը (նախասյունակներ), հոսքի արագությունը, սյունակի ջերմաստիճանը, ավտոսամպլերի ջերմաստիճանը, ներմուծվող փորձանմուշի ծավալը), դետեկտորը, հայտնաբերման պարամետրերը, աստիճանավորման կորի գծային ընդգրկույթը, քանակական որոշման ստորին սահմանը, կիրառվող աստիճանավորման նմուշները (թիվը և կոնցենտրացիան), որակի հսկողության նմուշները (թիվը և կոնցենտրացիան), կառուցման եղանակը և աստիճանավորման կախվածության տեսակը.
ելակետային աստիճանավորման լուծույթի պատրաստումը.
որակի հսկողության համար ելակետային լուծույթի պատրաստումը.
լուծման միջավայրի պատրաստումը.
պլացեբո լուծույթի պատրաստումը.
աշխատանքային աստիճանավորման լուծույթների պատրաստումը.
որակի հսկողության համար աշխատանքային լուծույթների պատրաստումը.
13) հետազոտվող նմուշների վերլուծության արդյունքները (ամսաթիվը, վերլուծական սերիաների (պարբերաշրջանների) նույնականացումը, հետազոտվող նմուշների, աստիճանավորման նմուշների և վերլուծական սերիաներում (պարբերաշրջաններում) որակի հսկողության նմուշների ռանդոմիզացումը, վերլուծական սերիաների (պարբերաշրջանների) կիրառելիության չափորոշիչները, արդյունքներ ներառող աղյուսակները).
14) արդյունքների մշակման և ծրագրային միջոցների նույնականացման արդյունքները.
15) կիրառվող վերլուծական մեթոդիկայի վալիդացման համառոտ նկարագրությունը.
16) ԼՀԿԹ–ի անցկացման արդյունքները՝
ամփոփ աղյուսակներ, որոնք պարունակում են յուրաքանչյուր ժամանակային կետում հետազոտվող և ռեֆերենտ դեղապատրաստուկների ազատման արդյունքները՝ ռեֆերենտ և հետազոտվող դեղապատրաստուկների դոզավորման յուրաքանչյուր միավորի և լուծման միջավայրի համար, յուրաքանչյուր ժամանակային կետում ազատման աստիճանի տատանման միջին արժեքների և գործակիցների հաշվարկով.
ռեֆերենտ և հետազոտվող դեղապատրաստուկներից ազդող նյութի ազատման եղանակների գրաֆիկական պատկերները.
շեղումները, ձեռնարկված միջոցները, դրանց հիմնավորումը.
f2 զուգամիտության գործոնը և կիրառելիության սահմանները.
17) եզրակացությունները և եզրահանգումը.
18) ԼՀԿԹ–ի անցկացման պայմանների ընտրության և վերլուծական մեթոդիկայի մշակման համար օգտագործված գրականությունը.
19) հավելվածներ՝
ԼՀԿԹ–ի անցկացման ծրագիր (արձանագրություն).
ներկայացուցչական քրոմատագրեր (կամ այլ նախնական տվյալներ)՝ կատարված վերլուծությունների թվի 20%-ից ոչ պակաս քանակությամբ.
հետազոտվող և ռեֆերենտ դեղապատրաստուկների վերլուծության սերտիֆիկատներ.
20) ԼՀԿԹ անցկացնելիս վերլուծական մեթոդիկայի վալիդացման մասին հաշվետվություն (հնարավոր է խաչաձև հղում գրանցման դոսյեի մյուս բաժիններին կամ դեղագրքային մեթոդիկային, այդ ժամանակ ստորև թվարկված տեղեկությունները կարելի է չներկայացնել)՝
ա) տիտղոսաթերթ, որում բերվում են՝
հետազոտության անվանումը.
հետազոտություն անցկացնող կազմակերպության անվանումը և հասցեն.
ԼՀԿԹ անցկացնելիս վերլուծական մեթոդիկայի վալիդացումն սկսելու և ավարտելու ամսաթվերը.
բ) հաշվետվության բովանդակությունը.
գ) ստորագրությունների էջ (ԼՀԿԹ անցկացնելիս վերլուծական մեթոդիկայի վալիդացումն անցկացնելու համար պատասխանատու անձանց Ա.Ա.Հ.-ի, ըստ հիմնական աշխատանքի վայրի պաշտոնների, ստորագրությունների (ամսաթվերի նշմամբ) նշմամբ.
դ) հապավումների և օգտագործվող հասկացությունների ցանկը.
ե) մեթոդի ընտրության, վալիդացման պարամետրերի և դրանց գնահատման հիմնավորումը, հաշվարկների համար ծրագրային միջոցների նույնականացումը.
զ) վերլուծական մեթոդիկաների ամփոփ նկարագիր պարունակող աղյուսակներ: Քրոմատագրման մեթոդների կիրառման դեպքում բերվում են քրոմատագրման վերլուծության պայմանները՝ շարժական ֆազը, սյունակի տեսակը (նախասյունակներ), հոսքի արագությունը, սյունակի ջերմաստիճանը, ավտոսամպլերի ջերմաստիճանը, ներմուծվող փորձանմուշի ծավալը, դետեկտորը, հայտնաբերման պարամետրերը, աստիճանավորման կորի գծային ընդգրկույթը, քանակական որոշման ստորին սահմանը, կիրառվող աստիճանավորման նմուշները (թիվը և կոնցենտրացիան), որակի հսկողության նմուշները (թիվը և կոնցենտրացիան), կառուցման եղանակը և աստիճանավորման կախվածության տեսակը.
է) մեթոդի ընտրողականությունը (կատարված վերլուծական սերիաների (պարբերաշրջանների) նույնականացումը, ընդունելիության չափորոշիչները, արդյունքները (աղյուսակների տեսքով՝ քրոմատագրեր կամ այլ նախնական տվյալներ՝ նպատակահարմար լինելու դեպքում, ընդունելիության չափորոշիչներին համապատասխանություն)).
ը) աստիճանավորման կորը (կորի հավասարումը, կոռելյացիայի գործակիցը, գծային ընդգրկույթը, ընդունելիության չափորոշիչները, արդյունքները (աղյուսակների տեսքով՝ քրոմատագրեր կամ այլ նախնական տվյալներ՝ նպատակահարմար լինելու դեպքում, կատարված վերլուծական սերիաների (պարբերաշրջանների) նույնականացում, ընդունելիության չափորոշիչներին համապատասխանություն)).
թ) ճշտությունը և կրկնելիությունը մեկ օրվա ընթացքում, վերլուծական սերիան (պարբերաշրջանը), ընդունելիության չափորոշիչները, արդյունքներն աղյուսակների տեսքով, ընդունելիության չափորոշիչներին համապատասխանությունը.
ժ) ճշտությունը և ճշգրտությունը տարբեր օրերին, վերլուծական սերիաները (պարբերաշրջանները), ընդունելիության չափորոշիչները, արդյունքներն աղյուսակների տեսքով, ընդունելիության չափորոշիչներին համապատասխանությունը.
ժա) անհրաժեշտության դեպքում՝ նմուշների նոսրացման ընթացակարգ (ընդունելիության չափորոշիչները, արդյունքներն աղյուսակների տեսքով, ընդունելիության չափորոշիչներին համապատասխանությունը).
ժբ) նմուշների (լուծույթների) կայունությունը՝
ելակետային և աշխատանքային լուծույթների պահման կայունությունը (պիտանելիության չափորոշիչները, արդյունքներն աղյուսակների տեսքով, ընդունելիության չափորոշիչներին համապատասխանությունը).
նմուշների (լուծույթների) կայունությունը վերլուծությունների կատարման ընթացքում, ներառյալ՝ նմուշների (լուծույթների) պատրաստման ժամանակը և մեկ վերլուծության ժամանակը.
ժգ) շեղումները, ձեռնարկված միջոցները, դրանց հիմնավորումը.
ժդ) եզրակացությունը.
ժե) մեթոդի ընտրությունը և վալիդացման պարամետրերի հիմնավորման, վերլուծական մեթոդիկայի մշակման համար օգտագործված գրականությունը.
ժզ) հավելված (ռեպրեզենտատիվ քրոմատագրեր կամ այլ սկզբնական տվյալներ վերլուծական մեթոդիկայի վալիդացման ժամանակ վերլուծվող նմուշների թվի 20%-ից ոչ պակաս քանակությամբ):
|
ՀԱՎԵԼՎԱԾ ԹԻՎ 8 |
ԴԵՂԱԿԻՆԵՏԻԿ ՊԱՐԱՄԵՏՐԵՐԻ ՊԱՅՄԱՆԱԿԱՆ ՆՇԱԳՐԵՐԸ
(վերնագիրը խմբ. 04.09.20 թիվ 67)
|
Ae(0–t)՝ |
դեղապատրաստուկի ընդունման պահից մինչև t ժամանակը հավաքված մեզի մեջ չփոփոխված ազդող նյութի ընդհանուր պարունակությունը | ||
|
AUC(0–72 ժ)՝ |
«պլազմային կոնցենտրացիա-ժամանակ» կորի տակ ընկած մակերեսը՝ դեղապատրաստուկի ընդունման պահից մինչև 72 ժ | ||
|
AUC(0–∞)՝ |
«պլազմային կոնցենտրացիա-ժամանակ» կորի տակ ընկած մակերեսը՝ դեղապատրաստուկի ընդունման պահից մինչև անվերջություն | ||
|
AUC(0–t)՝ |
«պլազմային կոնցենտրացիա-ժամանակ» կորի տակ ընկած մակերեսը՝ դեղապատրաստուկի ընդունման պահից մինչև t ժամանակային կետում վերջին որոշվող կոնցենտրացիան | ||
|
AUC(0– Ժ)՝ |
դոզավորման միջակայքում կորի տակ ընկած հավասարակշիռ մակերեսը | ||
|
AUC(0–Ժ)ss |
հավասարակշիռ վիճակում դոզավորման միջակայքի ընթացքում «պլազմային կոնցենտրացիա-ժամանակ» կորի տակ ընկած մակերեսը | ||
|
AUC(t–∞) |
կորի տակ ընկած մնացորդային (արտարկվող) մակերեսը, որը որոշվում է
բանաձևով | ||
|
մասնակիAUC |
մասնակի AUC, որը բաժանված է նախապես ընտրված բաժանման կետերով | ||
|
մասնակիAUC(х) |
x ֆազում բազմաֆազ պատրաստուկների մասնակի AUC | ||
|
AUEC |
էֆեկտի կորի տակ ընկած մակերեսը | ||
|
Cmax |
առավելագույն պլազմային կոնցենտրացիան | ||
|
Cmax,ss |
հավասարակշիռ առավելագույն պլազմային կոնցենտրացիան | ||
|
Cmin,ss |
նվազագույն պլազմային կոնցենտրացիան հավասարակշիռ վիճակում | ||
|
СԺ |
կոնցենտրացիան դոզավորման միջակայքի վերջում | ||
|
СԺ,ss |
կոնցենտրացիան դոզավորման միջակայքի վերջում հավասարակշիռ վիճակում | ||
|
D1 |
դեղաչափի ազդեցության տևողությունը, որը հավասար է մոտավորապես 0,5 x ED50 | ||
|
D2 |
դեղաչափի ազդեցության տևողությունը, որը հավասար է մոտավորապես 2 x ED50 | ||
|
Е0 |
սկզբնական էֆեկտը | ||
|
Еmax |
առավելագույն էֆեկտը | ||
|
ED50 |
այն դեղաչափի ազդեցության տևողությունը, որի կիրառման դեպքում էֆեկտը կազմում է առավելագույնի կեսը | ||
|
kel |
տերմինալ էլիմինացման արագության հաստատունը | ||
|
Rmax |
մեզի հետ դուրսբերման առավելագույն արագությունը | ||
|
t1/2 |
պլազմայից կիսադուրսբերման ժամանակահատվածը | ||
|
tmax |
Cmax-ին հասնելու ժամանակը | ||
|
tmax,ss |
Cmax,ss-ին հասնելու ժամանակը | ||
|
tlag |
գաղտնի շրջանը | ||
|
ôTT,ôRR |
ընտրանքային դիսպերսիա | ||
| ôTR |
ընտրանքային կովարիացիա | ||
| x |
ընտրանքային միջինը |
(հավելվածը խմբ. 04.09.20 թիվ 67)
|
ՀԱՎԵԼՎԱԾ ԹԻՎ 9 |
ՊԱՀԱՆՋՆԵՐ
տեղային կիրառման կորտիկոստերոիդային դեղապատրաստուկների կենսահամարժեքության դեղակինետիկ և կլինիկական հետազոտությունների անցկացմանը ներկայացվող
I. Ընդհանուր դրույթներ
1. Սույն պահանջները պարունակում են ցուցումներ՝ ըստ Ստաուտոն ՄաքՔենզիի՝ անոթների նեղացման մոդիֆիկացված կենսաանալիզի մեթոդի (այսուհետ՝ անոթների նեղացման կենսաանալիզ, մաշկի գունատման կենսաանալիզ) օգտագործմամբ դեղադինամիկ հետազոտությունների անցկացման միջոցով՝ տեղային կիրառման կորտիկոստերոիդային դեղապատրաստուկների in vivo կենսահամարժեքության հաստատման վերաբերյալ: Նշված մեթոդը ենթադրում է ազդեցության տևողության գնահատում՝ ներմուծվող տեղային կիրառման կորտիկոստերոիդային պատրաստուկների դեղաչափը հսկելու համար, ինչպես նաև «դեղաչափի ազդեցության տևողություն՝ պատասխան» կախվածության փորձնական հետազոտության անցկացում՝ հենակետային կլինիկական հետազոտության ընթացքոմ դեղաչափի ազդեցության ընդունելի տևողությունը որոշելու համար, և ռեպլիկատիվ դիզայնով և սուբյեկտների «դեղաչափի ազդեցության տևողություն-պատասխան» ընդունելի կախվածության հաստատմամբ in vivo կենսահամարժեքության հենակետային կլինիկական հետազոտության անցկացում: Ինչպես և բոլոր կենսաանալիտիկ մեթոդիկաները՝ տվյալ դեղադինամիկ կենսաանալիզը պահանջում է մանրամասն վալիդացում, ինչը հովանավորի պարտականությունն է:
2. Տեղային կիրառման ուժեղ ազդող կորտիկոստերոիդային դեղապատրաստուկները կարող են ճնշել հիպոթալամո-հիպոֆիզար-մակերիկամային առանցքի աշխատանքը, սակայն այն պատրաստուկների մասով, որոնց կենսահամարժեքությունը հաստատվել է սույն պահանջներին համապատասխան, չի պահանջվում հիպոթալամո-հիպոֆիզար-մակերիկամային առանցքի ճնշմանն ուղղված փորձարկումների արդյունքներ ներկայացնելը որպես հաշվետվություն դեղապատրաստուկի գրանցման դոսյեի կազմում:
3. Սույն պահանջները կիրառվում են տեղային կիրառման կորտիկոստերոիդային դեղապատրաստուկների նկատմամբ՝ անկախ դրանց ակտիվության աստիճանից: Քանի որ «դեղաչափի ազդեցության տևողություն-պատասխան» կախվածության բնութագրերը կարող են փոփոխվել՝ կախված կոնկրետ դեղապատրաստուկից, հիմնական (հենակետային) հետազոտության համապատասխան պարամետրերը որոշելու համար առաջարկվում է փորձնական հետազոտության անցկացում:
4. Ներքին ընդունման 2 պինդ դեղաձևերի կենսահամարժեքության հաստատումը սովորաբար հիմնվում է առողջ կամավորների մասնակցությամբ հետազոտություն անցկացնելիս յուրաքանչյուր դեղապատրաստուկի մեկանգամյա կամ բազմակի դոզավորումից հետո առկա կենսաբանական հեղուկում (օրինակ՝ արյան կամ մեզի մեջ) ազդող նյութի և (կամ) մետաբոլիտի կոնցենտրացիաների համեմատության վրա: Այս մեթոդի կիրառման անհնարինության դեպքում կենսահամարժեքության հաստատման համար թույլատրվում է օգտագործել in vivo և in vitro հետազոտությունների հետևյալ մեթոդները (դրանց նախապատվության նվազման հերթականությամբ)՝
ա) դեղադինամիկ հետազոտություններ.
բ) կլինիկական հետազոտություններ.
գ) in vivo հետազոտություններ կենդանիների վրա.
դ) in vitro հետազոտություններ։
5. Այն դեպքում, երբ ազդող նյութի կամ դրա մետաբոլիտի կոնցենտրացիան չի կարող գնահատվել առկա կենսաբանական հեղուկների մեջ, տեղային կիրառման կորտիկոստերոիդային դեղապատրաստուկների կենսահամարժեքությունը որոշելու համար պահանջվում է դեղադինամիկ կամ կլինիկական in vivo հետազոտության անցկացում: Կլինիկական հետազոտությունները պահանջում են սովորաբար մեծ թվով սուբյեկտների ներգրավում և հաճախ չեն ունենում բավարար զգայունություն: Ի տարբերություն դրանց՝ դեղադինամիկ հետազոտությունները թույլ են տալիս կենսահամարժեքության վերաբերյալ ստանալ ընդունելի տվյալներ՝ համեմատաբար փոքր թվով սուբյեկտների մասնակցությամբ:
6. Տեղային կիրառման վերարտադրված կորտիկոստերոիդային դեղապատրաստուկների գրանցումը պետք է հիմնվի առաջին հերթին դեղադինամիկ էֆեկտների գնահատման վրա: Նման մոտեցումը պայմանավորված է մաշկի միկրոանոթների նեղացման հետևանքով մաշկի գունատում առաջացնելու կորտիկոստերոիդների հատկությամբ: Տվյալ հատկությունը կապված է մաշկի մեջ ներթափանցած ազդող նյութի քանակի հետ և կարող է հիմք հանդիսանալ տեղային կիրառման կորտիկոստերոիդային դեղապատրաստուկների 2 պոտենցիալ համարժեք բաղադրություններից ազդող նյութի ներթափանցումը համեմատելու համար:
7. Չնայած այն բանին, որ գոյություն ունի անոթների նեղացման անալիզի մի քանի տեսակ, ընդհանուր մեթոդը հիմնված է առողջ կամավորներին կորտիկոստերոիդային դեղապատրաստուկը 6-ից 16 ժամ ժամանակահատվածով տեղային զետեղելու վրա, որին հաջորդում է պատրաստվածություն ունեցող շլացած դիտորդի կողմից մաշկի գունատման աստիճանի տեսողական գնահատումը բալային սանդղակով (0-3 կամ 0-4 բալ) մեկ ժամանակային կետում, որպես կանոն, պատրաստուկի հեռացումից 2 ժամ անց:
8. Սույն պահանջները նախատեսում են 2 in vivo հետազոտությունների («դեղաչափի ազդեցության տևողություն-պատասխան» կախվածության փորձնական հետազոտության և in vivo կենսահամարժեքության հենակետային կլինիկական հետազոտության) անցկացում՝ հետազոտվող և ռեֆերենտ դեղապատրաստուկները համեմատելու համար: Փորձնական հետազոտությունը բնութագրում է «դեղաչափի ազդեցության տևողություն-պատասխան» կախվածությունը Еmax-ի որոշման մոդելի շրջանակներում և անցկացվում է բացառապես ռեֆերենտ դեղապատրաստուկի օգտագործմամբ: Կենսահամարժեքությունը հաստատելու համար դեղաչափի ազդեցության տևողության գնահատման նախընտրելի մեթոդը հիմնված է դեղաչափերի ազդեցության 3 տևողությունների օգտագործման վրա՝ ED50, D1 և D2. Հետազոտվող և ռեֆերենտ կորտիկոստերոիդային դեղապատրաստուկների համեմատումը հենակետային հետազոտության շրջանակներում կատարվում է դեղաչափի ազդեցության տևողության այն մակարդակով, որը փորձնական հետազոտության արդյունքներով մոտավորապես համարժեք է պոպուլյացիոն ED50-ին: Հենակետային հետազոտության զգայունությունը սահմանվում է ռեֆերենտ ստուգաճշտման ստանդարտը՝ դեղաչափի ազդեցության տևողության 2 մակարդակներում զետեղելու միջոցով՝ D1 (դեղաչափի ազդեցության ավելի կարճ տևողությամբ ստուգաճշտման ստանդարտ) և D2 (դեղաչափի ազդեցության ավելի մեծ տևողությամբ ստուգաճշտման ստանդարտ): Փորձնական հետազոտության արդյունքների հիման վրա՝ D1-ը անհրաժեշտ է սահմանել մոտավորապես հավասար 0,5xED50-ի, իսկ D2-ը՝ 2xED50-ի: Նման հետազոտության մեջ յուրաքանչյուր սուբյեկտ հանդես է գալիս «դետեկտորի» դերում, այդ պատճառով in vivo կենսահամարժեքությունը հաստատելու համար անալիզի մեջ կարող են ներառվել և վիճակագրական մշակման ենթարկվել միայն այն սուբյեկտների տվյալները, որոնց D2 դեղաչափի՝ D1 դեղաչափի նկատմամբ դեղադինամիկ պատասխանների հարաբերությունը համապատասխանում է սահմանված նվազագույն արժեքին:
II. Սահմանումներ
9. Սույն պահանջների նպատակների համար օգտագործվում են հասկացություններ, որոնք ունեն հետևյալ իմաստը՝
բուժմանը չարձագանքած սուբյեկտ (nonresponder)՝ փորձնական և հենակետային հետազոտություններում միևնույն պայմաններում (օկլյուզիայով կամ առանց օկլյուզիայի) օգտագործված ռեֆերենտ դեղապատրաստուկի դեղաչափի ազդեցության մեկանգամյա տևողությանը չարձագանքող սուբյեկտ.
բուժմանը արձագանքած սուբյեկտ (responder)՝ փորձնական կամ հենակետային հետազոտություններում միևնույն պայմաններում (օկլյուզիայով կամ առանց օկլյուզիայի) օգտագործված ռեֆերենտ դեղապատրաստուկի դեղաչափի ազդեցության մեկանգամյա տևողությանը արձագանքող սուբյեկտ:
III. Դեղադինամիկ էֆեկտների հետազոտություն՝ անոթների նեղացման անալիզ
10. Համարժեքության հետազոտությունների արդյունքները գնահատելիս Եվրասիական տնտեսական միության անդամ պետությունների (այսուհետ՝ անդամ պետություններ) լիազորված մարմինները (փորձագիտական կազմակերպությունները) պետք է հավաստիանան կատարողի կողմից մաշկի անոթների նեղացման անալիզի մեթոդով համարժեքությունն ուսումնասիրելիս հետևյալ հետազոտություններն անցկացնելու մեջ՝
մաշկի անոթների նեղացման անալիզի մեթոդի՝ որպես կենսաանալիզի, վալիդացման և ստանդարտացման.
անոթների նեղացման պատշաճ գնահատման նպատակով՝ որպես դիտորդ պատրաստում անցած անձնակազմի ընտրության:
1. Մաշկի անոթների նեղացման անալիզի մեթոդի վալիդացում և ստանդարտացում
11. Տեղային կիրառման կորտիկոստերոիդային դեղապատրաստուկների կենսահամարժեքությունը գնահատելու համար անոթների նեղացման անալիզի կիրառումը հիմնվում է այն ենթադրության վրա, որ տեղային կիրառման ժամանակ կորտիկոստերոիդների անոթներ նեղացնող հատկությունները կարող են օգտագործվել ստանդարտ վալիդացված կենսաանալիզի մեթոդի մշակման համար: Մշակման արդյունքները և կենսաանալիզի վալիդացումը պետք է փաստաթղթորեն ձևակերպվեն:
12. Կորտիկոստերոիդային դեղապատրաստուկի գրանցման դոսյեի փորձաքննության ընթացքում անհրաժեշտ է կատարել որոշակի դեղաչափի ներմուծումից հետո արյան մեջ կորտիկոստերոիդային դեղապատրաստուկի կոնցենտրացիայի քանակական որոշման համար ԲԱՀՔ կամ ԳՀՔ մեթոդիկայի վալիդացման արդյունքների համադրում՝ անոթների նեղացման կենսաանալիզի մեթոդիկայի վալիդացման արդյունքների հետ: Անոթների նեղացման կենսաանալիզ օգտագործելու դեպքում ԲԱՀՔ կամ ԳՀՔ դետեկտորի պատասխանը ազդող նյութի հայտնի քանակին փոխարինվում է ազդող նյութի ներմուծված քանակին դիտվող դեղադինամիկ պատասխանով (տվյալ դեպքում՝ տեղային կիրառման կորտիկոստերոիդային դեղապատրաստուկ օգտագործելիս անոթների նեղացմամբ):
13. Մինչդեռ արյան և մեզի մեջ կոնցենտրացիայի տիպիկ անալիզում օգտագործվում է միայն մեկ գործիք և «դետեկտոր», դեղադինամիկ կենսաանալիզի մեթոդի օգտագործմամբ հետազոտության յուրաքանչյուր սուբյեկտ հանդես է գալիս ազդող նյութի հայտնի կամ անհայտ քանակին արձագանքող «դետեկտորի» դերում: Չնայած արյան կամ մեզի մեջ կոնցենտրացիայի ստանդարտ անալիզի և կենսաանալիզի միջև հիմնարար տարբերություններին, ստանդարտացման և վալիդացման սկզբունքների մեծ մասը համադրելի են:
Գծայնություն
14. Կորտիկոստերոիդային դեղապատրաստուկի դեղաչափի կամ կոնցենտրացիայի և դրա հետազոտվող դեղադինամիկ էֆեկտի միջև դեղադինամիկ կախվածությունը կիրառելի է անոթների նեղացման կենսաանալիզի մեջ՝ դրա գծայնության գնահատման առկայության դեպքում: Չնայած այն բանին, որ գոյություն ունեն «դեղաչափ՝ էֆեկտ» կախվածության նկարագրության տարբեր մոդելներ, անոթների նեղացման կենսաանալիզի համար կիրառվում է գնահատման Emax մոդելը կամ համապատասխան Emax սիգմայաձև մոդելը, որի հաշվարկն իրականացվում է հետևյալ բանաձևով՝
|
E = E0 + |
Emax xD |
|
|
ED50 +D |
Էֆեկտի մեծությունը (Е) ցանկացած դեղաչափի ներմուծումից (D) հաշվարկվում է ելնելով 3 հաստատունների արժեքներից՝ սկզբնական էֆեկտի (Е0), առավելագույն էֆեկտի (Еmax) և այն դեղաչափի, որի ներմուծումից էֆեկտը կազմում է առավելագույնի կեսը (ED50):
15. in vivo պայմաններում անոթների նեղացումը մոտենում է առավելագույնին: Այսպիսով, կենսահամարժեքության գնահատման համար մաշկի անոթների նեղացման անալիզի մեթոդը կիրառելիս լուծում պահանջող հիմնական խնդիրը՝ հետազոտվող պատրաստուկները զետեղելու ժամանակ մաշկի միկրոանոթների պատասխանի՝ գծային ընդգրկույթի սահմաններից դուրս գալն է: Տեղային կիրառման կորտիկոստերոիդային դեղապատրաստուկների համեմատաբար բարձր դոզավորումներն անոթների նեղացման վրա կարող են ունենալ նվազագույն ազդեցություն՝ անկախ դեղաչափի մեծության փոփոխման միջակայքից: Տեղային կիրառման կորտիկոստերոիդային դեղապատրաստուկի համեմատաբար ցածր դոզավորումների դեպքում հիմնական խնդիրն անոթների հուսալի և վերարտադրելի նեղացում առաջացնող նվազագույն դեղաչափի որոշումն է: Նվազագույն դեղաչափի որոշումը՝ ստանդարտ դեղակինետիկ կոր կառուցելիս կենսաանալիտիկ մեթոդիկաների վալիդացման ընթացքում արյան կամ մեզի մեջ ազդող նյութի կոնցենտրացիայի քանակական որոշման ստորին շեմի որոշման անալոգն է: ED50, D1 и D2 ընտրության ճիշտ լինելը գնահատելու համար անհրաժեշտ է « դեղաչափ-պատասխան» ստանդարտ կորի կառուցում և վալիդացում:
16. Անալիտիկ մեթոդիկաների ստանդարտ վալիդացման համար անհրաժեշտ է «դետեկտորի» պատասխանի գծայնության սահմանումը: Անոթների նեղացման անալիզը մշակելիս նույնպես ցանկալի է պատասխանի գծայնությունը: Քանի որ վերարտադրված և ռեֆերենտ կորտիկոստերոիդային դեղապատրաստուկների արդյունաբերական բաղադրագրերը կարող են գրանցվել «դեղաչափ-պատասխան» կորի հարթակին համապատասխանող դոզավորումներով կիրառելու համար, ապա մեթոդիկան պետք է օպտիմալացնել՝ կորի գծային հատվածում պատրաստուկների համեմատումն ապահովելու համար:
17. Տեղային կիրառման կորտիկոստերոիդային դեղապատրաստուկների մասով «դեղաչափ-էֆեկտ» կախվածության սահմանումը պետք է հիմնված լինի մաշկի վրա դեղապատրաստուկի ուսումնասիրվող դեղաչափի հուսալի զետեղումն ապահովող եղանակի օգտագործման վրա: Թույլատրվում է կորտիկոստերոիդային դեղապատրաստուկի ուսումնասիրվող դեղաչափի հուսալի զետեղումն ապահովող հետևյալ մեթոդներից մեկի օգտագործումը՝
դեղաչափի ազդեցության տևողության մեթոդ.
նոսրացման մեթոդ.
մակերևույթի մեթոդ:
Նոսրացման և դեղաչափի տևողության մեթոդները լավ ստանդարտացվող և վերարտադրվող մեթոդներ են, սակայն միշտ չէ, որ նոսրացման մեթոդը թույլ է տալիս հաշվի առնել պատրաստուկների բաղադրությունում տարբերությունների առանձնահատկությունները: Տեղային կիրառման կորտիկոստերոիդային դեղապատրաստուկների կենսահամարժեքության հաստատման համար առավել համապատասխան մեթոդ է դեղաչափի ազդեցության տևողության մեթոդը: Տեղային կիրառման կորտիկոստերոիդային դեղապատրաստուկների «դեղաչափի ազդեցության տևողություն-պատասխան» կախվածության սահմանումը թույլ կտա որոշել «պատասխան-ժամանակ» կորի կետերը, երբ անոթների նեղացումը դառնում է ոչ զգայուն: Ընդհանուր առմամբ, որպեսզի ապահովվի առավելագույն դեղադինամիկ պատասխանի դիտումը դեղաչափի յուրաքանչյուր տևողության դեպքում, պատասխանի ժամանակային դինամիկան պետք է որոշվի մինչև սկզբնական մակարդակին վերադառնալը:
Ճշտություն, ճշգրտություն և զգայունություն
18. Տեղային կիրառման կորտիկոստերոիդային դեղապատրաստուկի կենսաանալիզի ճշտությունը, ճշգրտությունը և զգայունությունը որոշելու մեթոդաբանության մշակումը պետք է կատարվի անոթների նեղացման անալիզի համար ընդունելի ստանդարտ կորի կառուցման հետ միաժամանակ: Հետազոտության մեջ ընդգրկված պացիենտների յուրաքանչյուր խմբի համար անհրաժեշտ է մշակել նշված մեթոդաբանությունը և կառուցել անոթների նեղացման անալիզի համար ստանդարտ կորը: Արյան կամ մեզի մեջ ազդող նյութի կոնցենտրացիայի ստանդարտ անալիզի նման՝ այս տեղեկություններն ստանում են՝ օգտագործելով ստուգիչ խումբը, որի սուբյեկտները չեն ենթարկվում ազդեցության, և ստուգաճշտման ստանդարտներ, որոնք պարունակում են հետազոտվող տեղային կիրառման կորտիկոստերոիդային դեղապատրաստուկը: Փորձարկումների արդյունքների վերարտադրումը ստուգիչ խմբում և ստուգաճշտման ստանդարտների կիրառմամբ թույլ է տալիս գնահատել վարիացիայի գործակիցները: Ինչպես և ստանդարտ ԲԱՀՔ և ԳՀՔ մեթոդիկաները, որոնց ստուգաճշտման ստանդարտը ենթադրում է «դետեկտորի» պատասխանի գնահատումն ազդող նյութի հայտնի կոնցենտրացիային, տեղային կիրառման կորտիկոստերոիդային դեղապատրաստուկի՝ դեղաչափի ազդեցության տևողության վրա հիմնված դեղադինամիկ կենսաանալիզում ստուգաճշտման ստանդարտը ենթադրում է տեղային կիրառման կորտիկոստերոիդային դեղապատրաստուկի ստանդարտ դեղաչափի զետեղումը և դրա ազդեցությունը մաշկի վրա տարբեր տևողության ժամանակահատվածների ընթացքում:
2. Անոթների նեղացման գնահատում
19. Էրիտեմայի հայտնաբերման համար ապարատային քրոմաչափության կամ գունաչափության կիրառումը թույլ է տալիս անոթների նեղացման անալիզի շրջանակներում սուբյեկտիվ տեսողական գնահատումը փոխարինել օբյեկտիվ, քանակապես որոշելի գնահատմամբ: Անդամ պետությունների լիազորված մարմինների (փորձագիտական կազմակերպությունների) կողմից ընդունվում են անոթների նեղացման անալիզի հիման վրա կենսահամարժեքության հետազոտություններում ապարատային գնահատման արդյունքները: Սակայն քրոմաչափի (գունաչափի) չափումների և վիզուալ գնահատականների միջև կոռելյացիա սահմանելով համապատասխան վալիդացում անցկացնելիս թույլատրվում է անոթների նեղացման աստիճանի վիզուալ գնահատման մեթոդի օգտագործումը:
20. Վիզուալ գնահատման համեմատ՝ մաշկի գունատման նկատմամբ քրոմաչափն ունի ավելի բարձր զգայունություն:
21. Պլազմայի մեջ կորտիզոլի պարունակության ցիրկադային ռիթմով պայմանավորված՝ մաշկի անոթների ռեակցիայի փոփոխման ցիրկադային ռիթմի առկայության հետ կապված՝ մաշկի գունատումն անհրաժեշտ է գնահատել 2 հաջորդական 24-ժամանոց միջակայքի ընթացքում (48 ժամ): Դեղապատրաստուկը հեռացնելու կամ զետեղելու պահից առնվազն 24 ժամվա ընթացքում ստացված՝ դեղադինամիկ կորի տակ մակերեսի արժեքները (AUEC) կիրառելի են սույն պահանջների 51-րդ կետում ներկայացված մեթոդիկայում՝ կենսահամարժեքության գնահատման համար:
22. Քրոմաչափով չափված և առանց դեղապատրաստուկի զետեղման մաշկի ստուգիչ հատվածներում անոթների վիճակի սկզբնական արժեքին համապատասխան ճշգրտված՝ անոթների նեղացման աստիճանի ցուցանիշներով (AUEC ստուգիչ խմբում) պետք է հաստատվի, որ հետազոտության սուբյեկտների մոտ բացակայում են՝
դեղապատրաստուկի նկատմամբ ձախ և աջ ձեռքերի մաշկի պատասխանների տարբերությունը.
պատասխանի մեծության վրա՝ մինչև արմունկի փոսիկը կամ դաստակը 3-4 սմ-ից ոչ մոտ հեռավորության վրա գտնվող ձեռքի մաշկի վրա դեղապատրաստուկի զետեղման հատվածի ազդեցությունը:
Եթե պարզվել է, որ պատասխաններում առկա է տարբերություն կամ պատասխանի մեծության վրա՝ դեղապատրաստուկը զետեղելու հատվածի ազդեցություն, ապա անհրաժեշտ է օգտագործել սույն պահանջների 59-րդ կետում նշված կլինիկական հետազոտության դիզայնը, որի դեպքում յուրաքանչյուր ձեռքի վրա դեղապատրաստուկը զետեղելու սխեմաները կոմպլեմենտար են (օրինակ՝ հետազոտվող դեղապատրաստուկը մի ձեռքի վրա զետեղելու հատվածները համընկնում են մյուս ձեռքի վրա ռեֆերենտ դեղապատրաստուկը զետեղելու հատվածների հետ): Դա թույլ է տալիս նվազագույնի հասցնել պատասխանների տարբերությունը կամ պատասխանի մեծության վրա՝ դեղապատրաստուկը քսելու հատվածի ազդեցությունը:
IV. «Դեղաչափի ազդեցության տևողություն-պատասխան» կախվածության փորձնական հետազոտություն
23. Փորձնական հետազոտության նպատակն է «դեղաչափի ազդեցության տևողություն-պատասխան» կախվածության գնահատումը, որը պետք է ուսումնասիրվի տեղային կիրառման կորտիկոստերոիդային դեղապատրաստուկի in vivo կենսահամարժեքության հիմնական (հենակետային) հետազոտության ընթացքում: Սույն հետազոտությունը համանման է կենսաբանական մատրիցում ազդող նյութի պարունակության անալիզի ժամանակ ստանդարտ կորի մշակմանը: Փորձնական հետազոտության արդյունքը թույլ է տալիս ստանալ «դեղաչափի ազդեցության գնահատում-պատասխան» կախվածության վերաբերյալ տեղեկություններ, որոնք անհրաժեշտ են ED50, D1 և D2 պարամետրերի որոշման համար և որոնք օգտագործվում են in vivo կենսահամարժեքության հենակետային հետազոտության մեջ, և կատարել այն սուբյեկտների մասնաբաժնի գնահատում, որոնք ենթադրաբար կհամապատասխանեն հենակետային հետազոտության մեջ D2 դեղաչափի համար AUEC ցուցանիշների՝ D1 դեղաչափի համար AUEC ցուցանիշներին հարաբերության նվազագույն արժեքին: Քանի որ փորձնական հետազոտության արդյունքները կարող են ֆունկցիոնալ կերպով կախված լինել հետազոտության պայմաններից՝ ներառյալ ի թիվս այլ գործոնների՝ սուբյեկտների խմբի բնութագրերը, մաշկի գունատման գնահատման մեթոդոլոգիան, զետեղված դեղապատրաստուկի քանակը, հարկավոր է անցկացնել փորձնական հետազոտություն յուրաքանչյուր հետազոտական կենտրոնում՝ հետազոտության յուրաքանչյուր ռեֆերենտ դեղապատրաստուկի համար:
1. Հետազոտության դիզայն ու վերլուծություն
24. «Դեղաչափի ազդեցության տևողություն-պատասխան» հետազոտությունն անցկացվում է միայն ռեֆերենտ կորտիկոստերոիդային դեղապատրաստուկի մասով՝ ռանդոմացնելով զետեղելու հատվածներն ըստ դեղաչափի ազդեցության տևողության: Հետազոտության ընթացքում դեղապատրաստուկի ազդեցությանը ենթարկված մաշկի հատվածների գույնի փոփոխության ճշգրտումը հաշվի առնելու համար, անկախ դեղապատրաստուկի ազդեցության տևողությունից օգտագործում են դեղաչափի ազդեցության 0,25-ից մինչև 6,0 ժամ տևողությունը, ինչպես նաև դրա զետեղումը յուրաքանչյուր ձեռքի չմշակված ստուգիչ հատվածներին: Քանի որ համապատասխան ռեֆերենտ կորտիկոստերոիդային դեղապատրաստուկի կրիչը (հիմքը), որպես կանոն, հասանելի չէ, ապա չմշակված ստուգիչ հատվածները են մաշկի չմշակված հատվածներ են, այլ ոչ թե մաշկի շրջաններ, որոնց վրա զետեղված է կրիչը (հիմքը):
25. Տեղային կիրառման կորտիկոստերոիդային դեղապատրաստուկի նկատմամբ դեղադինամիկ պատասխանի քրոմաչափական գնահատումը դեղապատրաստուկի դեղաչափի յուրաքանչյուր զետեղումից և հեռացումից հետո կատարվում է տարբեր ժամանակահատվածներ անց, այլ ոչ թե նույն ժամանակային կետում:
26. «Դեղաչափի ազդեցության տևողություն-պատասխան» կախվածության վերաբերյալ տվյալների նկատմամբ կիրառվում է խառը էֆեկտներով ոչ գծային մոդելի մոտեցումը կամ պոպուլյացիոն ED50-ի մեծության գնահատման համար տվյալների պարզ միավորման մեթոդը, որը պետք է ծառայի որպես հիմնական (հենակետային) հետազոտության մեջ կենսահամարժեքության հաստատման համար դեղաչափի ազդեցության տևողության մոտավոր արժեք:
27. Հետազոտություններն անցկացվում են 12 սուբյեկտների մասնակցությամբ:
28. Մի քանի դոզավորումների առկայության դեպքում փորձնական և հենակետային հետազոտությունները հարկավոր է անցկացնել առավելագույն դոզավորում ունեցող դեղապատրաստուկով: Տեղային կիրառման մաշկաբանական կորտիկոստերոիդային դեղապատրաստուկի ավելի փոքր դոզավորումների կենսահամարժեքության հետազոտություններում լրացուցիչ դոզավորումների համար բիովեյվեր թույլատրվում է կիրառել 2 պայման կատարելու դեպքում՝
դեղապատրաստուկի ավելի բարձր դոզավորման համար ստացվել են մարդու մոտ կենսահամարժեքության (in vivo) ուսումնասիրության դրական արդյունքներ.
ներկայացվել են տվյալներ հետազոտվող դեղապատրաստուկի ավելի փոքր դոզավորումների և ռեֆերենտ դեղապատրաստուկի համապատասխան դոզավորումների օժանդակ նյութերի բաղադրության համադրելիության մասին՝ ինչպես դրանց որակական բաղադրության առումով (Q1 պարամետր), այնպես էլ բաղադրության յուրաքանչյուր բաղադրիչի քանակական պարունակության առումով (Q2 պարամետր):
Հետազոտվող դեղապատրաստուկի ավելի փոքր դոզավորումների համար օժանդակ նյութերի՝ ըստ Q1 և Q2 պարամետրերի բաղադրության՝ ռեֆերենտ դեղապատրաստուկի համապատասխան դոզավորումների նկատմամբ համադրելիության պահանջները չկատարելու դեպքում բիովեյվերի կիրառումը լրացուցիչ դոզավորումների համար հնարավոր է միայն ուսումնասիրվող դեղապատրաստուկների կիրառման արդյունավետության և անվտանգության վրա բաղադրությունների տարբերության ազդեցության բացակայության մասին հայտատուի կողմից հիմնավորում ներկայացնելու դեպքում:
2. Հետազոտության մեջ սուբյեկտների ընդգրկման չափանիշներ
29. Հետազոտությունը պլանավորելիս և անցկացնելիս օգտագործվում են հետազոտության մեջ սուբյեկտների ընդգրկման հետևյալ չափանիշները՝
ա) սուբյեկտն ունի «առողջ է» վերիֆիկացված ախտորոշում.
բ) ի պատասխան տեղային ազդեցության կորտիկոստերոիդային դեղապատրաստուկի կիրառման՝ սուբյեկտի մոտ նկատվում է անոթների արտահայտված նեղացում (բուժմանը արձագանքած սուբյեկտ).
գ) սուբյեկտի ստորագրած տեղեկացված համաձայնության առկայությունը.
դ) սուբյեկտի պատրաստակամությունը՝ պահպանել հետազոտության անցկացման պայմանները:
3. Հետազոտության մեջ սուբյեկտներին չընդգրկելու չափանիշները և հետազոտությունից սուբյեկտներին բացառելու չափանիշները
30. Հետազոտությունը պլանավորելիս և անցկացնելիս օգտագործվում են հետազոտության մեջ սուբյեկտներին չընդգրկելու հետևյալ չափանիշները (ինչպես նաև հետազոտությունից բացառելու չափանիշները)՝
ա) կլինիկորեն նշանակալի արտերիալ հիպերթենզիա կամ արյան շրջանառության համակարգի հիվանդություններ.
բ) ծխելը 1 շաբաթվա ընթացքում՝ մինչև հետազոտության սկիզբը և հետազոտության ժամանակ.
գ) օրական 500 մգ-ից ավելի կոֆեինի օգտագործումը մինչև հետազոտության սկիզբը կամ հետազոտության ժամանակ (1 գավաթ սուրճը պարունակում է մոտավորապես 85 մգ կոֆեին).
դ) կլինիկորեն նշանակալի ալկոհոլային կամ թմրամոլային կախվածություն անամնեզում.
ե) նախաբազուկների առջևի մակերեսի վրա զետեղվող տեղային կիրառման մաշկաբանական դեղապատրաստուկների օգտագործումը (ներառյալ դեղադինամիկ հետազոտության ընթացքում մաշկի որոշակի հատվածի վրա տեղային կիրառման կորտիկոստերոիդային դեղապատրաստուկի նախորդող զետեղումը) 1 ամսվա ընթացքում՝ մինչև հետազոտության սկիզբը.
զ) տեղային կամ համակարգային ազդեցության կորտիկոստերոիդային դեղապատրաստուկների նկատմամբ անցանկալի ռեակցիաներ.
է) ցանկացած հիվանդություն անամնեզում կամ ներկա ժամանակ (ներառյալ ակտիվ մաշկաբորբը) կամ ցանկացած այլ մաշկաբանական վիճակ, որոնք կարող են զգալիորեն ազդել ներմուծվող դեղապատրաստուկի դեղադինամիկ պատասխանի վրա.
ը) սուբյեկտի նախաբազուկների առջևի մակերեսներից մազերի հեռացման անհրաժեշտություն, որոնք թույլ չեն տալիս ապահովել մաշկի մակերեսին դեղապատրաստուկի համապատասխան դեղաչափի զետեղումը.
թ) սուբյեկտի կողմից ցանկացած վազոակտիվ դեղապատրաստուկի կիրառում, որն ունակ է ազդելու արյան հոսքի վրա (վազոկոնստրիկտորներ և վազոդիլատատորներ), անկախ այդ դեղապատրաստուկների բացթողման կարգից (դեղատոմսով կամ առանց դեղատոմսի): Նման դեղապատրաստուկների օրինակներ են՝ նիտրոգլիցերինը, հիպոթենզիվ և հակահիստամինային դեղապատրաստուկները, ոչ ստերոիդային հակաբորբոքիչ պատրաստուկները (այդ թվում՝ ասպիրինը), հազի օշարակները կամ սուր շնչառական վիրուսային վարակի սիմպտոմատիկ բուժման համար օշարակները, որոնք պարունակում են հակահիստամինային ազդող նյութեր և (կամ) ֆենիլպրոպանոլամին, ինչպես նաև ֆենտոլամին պարունակող դեղապատրաստուկները.
ժ) սուբյեկտի ձեռքերի մաշկի գույնի ցանկացած ակնհայտ տարբերություն:
4. Հետազոտության ժամանակ սուբյեկտների նկատմամբ կիրառվող սահմանափակումները
31. Հետազոտության ժամանակ սուբյեկտների նկատմամբ սահմանվում են հետևյալ սահմանափակումները՝
ա) չի թույլատրվում ձեռքերի ֆիզիկական ծանրաբեռնվածություն, ինչպես նաև ընդհանուր առմամբ օրգանիզմի ֆիզիկական ծանրաբեռնվածություն.
բ) չի թույլատրվում լոգանք կամ ցնցուղ ընդունել դեղապատրաստուկը զետեղելու ժամանակահատվածում և մաշկի ռեակցիայի գնահատման ժամանակահատվածում.
գ) չի թույլատրվում մինչև հետազոտության սկիզբը 24 ժամվա ընթացքում և հետազոտության ամբողջ ժամանակահատվածում նախաբազուկներին քսել փափուկ ձևերի կոսմետիկական արտադրանք (քսուքներ, փափկեցնող միջոցներ կամ նույնանման արտադրանք):
5. Բուժմանն արձագանքած սուբյեկտների սքրինինգ
32. Բուժմանը չարձագանքած սուբյեկտների ընդգրկումը հետազոտության մեջ նվազեցնում է հետազոտության արդյունքների հիման վրա՝ հետազոտվող և ռեֆերենտ դեղապատրաստուկների միջև իրական տարբերությունների հայտնաբերումը, եթե դրանք գոյություն ունեն: Այդ պատճառով «դեղաչափի ազդեցության տևողություն-պատասխան» փորձնական հետազոտության և կենսահամարժեքության հենակետային հետազոտության մեջ անհրաժեշտ է ընդգրկել միայն բուժմանն արձագանքած սուբյեկտներին:
33. Փորձնական և հիմնական (հենակետային) հետազոտություններում մաշկի գունատման քանակական գնահատումը քրոմաչափի օգնությամբ համարվում է առավել ընդունելի: Սակայն վիզուալ հաշվարկի համար բալային սանդղակի ընդհատունության պատճառով (0-3 կամ 0-4 բալ) բուժմանը արձագանքած սուբյեկտի կարգավիճակի որոշումը կարող է հիմնվել վիզուալ գնահատման վրա: Դեղաչափի ազդեցության առաջարկվող տևողությունը կազմում է 4 ժամ (III խմբի ակտիվության պատրաստուկների համար) կամ 6 ժամ՝ դեղապատրաստուկի հեռացումից հետո 2 ժամ անց մաշկի գունատման գնահատմամբ: Բուժմանն արձագանքած սուբյեկտի մաշկի գույնի վիզուալ գնահատման ժամանակ արձանագրվում է գույնի փոփոխություն առնվազն 1 միավորով:
34. «Դեղաչափի ազդեցության տևողություն-պատասխան» կախվածության հետազոտություններում և կենսահամարժեքության հետազոտություններում օգտագործելու նպատակով նախաբազկի վրա մաշկի հատվածները պահպանելու նպատակով, բուժմանն արձագանքած սուբյեկտի կարգավիճակը որոշելու համար հետազոտություններն անցկացվում են մյուս հատվածների վրա:
35. Հետազոտության վերաբերյալ հաշվետվության մեջ անհրաժեշտ է ներառել բուժմանն արձագանքած սուբյեկտներին որոշելու չափանիշները (ներառյալ դեղաչափի ազդեցության տևողությունը, պատասխանի մեծությունը և մաշկի հետազոտվող հատվածի նշումը): Բուժմանն արձագանքած սուբյեկտի կարգավիճակը կարող է հաստատվել նաև անոթների նեղացման անալիզով նախորդ հետազոտության մեջ մասնակցությամբ:
6. Անալիտիկ մեթոդիկայի ճշգրտության վալիդացում
36. Անալիտիկ մեթոդիկայի ճշգրտության վալիդացումը մաշկի հատվածի ներսում կամ հատվածների միջև պետք է փաստաթղթավորված լինի սույն բաժնի 2-4-րդ ենթաբաժիններում շարադրված չափանիշներին և սահմանափակումներին համապատասխանող 4-6 սուբյեկտների մոտ: Անհրաժեշտ է ընտրել նախաբազկի յուրաքանչյուր առջևի մակերեսի վրա 4 չմշակված ստուգիչ հատված: Քրոմաչափի չորս ցուցմունքներն անհրաժեշտ է ստանալ յուրաքանչյուր հատվածի համար 1 ժամվա ընթացքում:
37. Վալիդացիոն հետազոտությունը հաստատում է ընդունելի ճշգրտությունը՝ կենսահամարժեքության հետազոտություն անցկացնող կազմակերպության կողմից մաշկի գունատման աստիճանը քրոմաչափի օգտագործմամբ չափելու համար: Հետազոտությունն անհրաժեշտ է անցկացնել մինչև դեղապատրաստուկի ներմուծումը:
38. Արդյունքներն անհրաժեշտ է շարադրել փորձնական հետազոտության վերաբերյալ հաշվետվության մեջ (եթե նման հետազոտություն անցկացվել է), ինչպես նաև in vivo կենսահամարժեքության հիմնական (հենակետային) հետազոտության հաշվետվության մեջ:
7. Դեղապատրաստուկների օկլյուզիոն և ոչ օկլյուզիոն զետեղումը
39. Տեղային կիրառման կորտիկոստերոիդային դեղապատրաստուկների վերաբերյալ տեղեկատվությունը թույլ է տալիս օգտագործել օկլյուզիոն վիրակապ՝ պսորիազի կամ դժվար բուժվող հիվանդությունների թերապիայում: Կորտիկոստերոիդային դեղապատրաստուկի վերաբերյալ տեղեկատվության (դեղապատրաստուկի ընդհանուր բնութագրի, բժշկական կիրառման վերաբերյալ հրահանգի) մեջ ներկայացվում են տեղեկություններ տվյալ դեղապատրաստուկների՝ օկլյուզիոն վիրակապերով օգտագործելու հնարավորության կամ անթույլատրելիության մասին: Եթե ռեֆերենտ կորտիկոստերոիդային դեղապատրաստուկի վերաբերյալ տեղեկատվության մեջ նշված է օկլյուզիոն վիրակապերի օգտագործման թույլատրելիությունը, ապա «դեղաչափի ազդեցության տևողություն-պատասխան» փորձնական հետազոտությունը և in vivo կենսահամարժեքության հիմնական (հենակետային) հետազոտությունը կարող են անցկացվել օկլյուզիոն վիրակապերի օգտագործմամբ: Սակայն նման հետազոտությունները նախընտրելի չեն, քանի որ ավելի վաղ անցկացված փորձնական հետազոտությունների վերլուծությունը թույլ է տալիս ենթադրել, որ նման պայմաններում ED50-ի մեծությունը (դեղաչափի ազդեցության տևողությունը՝ հիմնական (հենակետային) հետազոտության մեջ օգտագործելու համար) նվազելու է տեղային կիրառման կորտիկոստերոիդային դեղապատրաստուկների ակտիվության աճին զուգընթաց: «Դեղաչափի ազդեցության տևողություն-պատասխան» կախվածության գնահատումը պահանջում է դեղաչափի ազդեցության ավելի փոքր տևողության տվյալներ, քան ED50-ը: Դեղաչափի ազդեցության շատ կարճ տևողությունն առաջացնում է բարդություններ հետազոտության անցկացման ժամանակ և նպաստում է պատասխանի բարձր փոփոխականությանը: Այսպիսով, օկլյուզիայի կիրառումը նպատակահարմար է միայն ավելի ցածր ակտիվությամբ դեղապատրաստուկների համար (օրինակ՝ ակտիվության VI և VII խմբերի համար): Եթե օկլյուզիան օգտագործվում է փորձնական հետազոտության համար, ապա նույն պայմանները պետք է օգտագործվեն հիմնական (հենակետային) հետազոտության ժամանակ:
8. Դեղապատրաստուկներ զետեղելու և հեռացնելու եղանակները
40. Փորձնական և հիմնական (հենակետային) հետազոտություններում ընդունելի է դեղապատրաստուկները զետեղելու և հեռացնելու ցանկացած 2 եղանակից յուրաքանչյուրը՝
ա) ըստ ժամանակի բաշխված զետեղում և համաժամանակյա հեռացում, երբ դեղապատրաստուկը զետեղվում է մաշկի հատվածներին տարբեր ժամանակներ, իսկ հեռացվում է միևնույն ժամանակ: Անոթների նեղացման սկզբնական մակարդակի համաժամանակյա չափումից հետո պատրաստուկի նմուշները զետեղվում են մաշկից պատրաստուկի զետեղված նմուշների համաժամանակյա հեռացումից 6. 4. 2. 1,5. 1. 0,75. 0,5. 0,25 ժամ առաջ: Մաշկի գունատման գնահատումը կատարվում է պատրաստուկը հեռացնելուց 0 (պատրաստուկը հեռացնելուց անմիջապես հետո ժամանակի տվյալ պահին). 2, 4, 6, 19 և 24 ժամ հետո.
բ) համաժամանակյա զետեղում և ըստ ժամանակի բաշխված հեռացում, երբ դեղապատրաստուկը զետեղվում է մաշկի հատվածներին միևնույն ժամանակ, իսկ հեռացվում է տարբեր ժամանակ: Անոթների նեղացման սկզբնական մակարդակի համաժամանակյա չափումից հետո պատրաստուկի նմուշները միաժամանակ զետեղվում են և այնուհետև հեռացվում են զետեղելուց 0,25. 0,5. 0,75. 1. 1.5. 2. 4. 6 ժամ հետո: Մաշկի գունատման գնահատումը կատարվում է պատրաստուկը զետեղելուց 6, 8, 11, 24 և 28 ժամ հետո:
9. Հետազոտության սուբյեկտների ակտիվության ստանդարտացումը՝ հետազոտությանը մասնակցելու ժամանակ
41. Սուբյեկտների մոտ հետազոտության բոլոր փուլերը և ընթացակարգերը պետք է սկսվեն ամեն օր մոտավորապես միևնույն ժամին (թույլատրվում են շեղումներ 1 ժամվա սահմաններում):
Չթույլատրված դեղապատրաստուկների մասով պետք է կատարվի բավարար լվացման ժամանակահատվածի պահպանման ստուգում:
42. Հետազոտության սուբյեկտի նախաբազուկը պետք է զերծ լինի ցանկացած աղտոտումից կամ կոշտ մասնիկներից, որոնք ունակ են խոչընդոտելու դեղապատրաստուկը պատշաճ զետեղելուն կամ դեղադինամիկ պատասխանի գնահատմանը: Խորհուրդ չի տրվում իրականացնել մաշկի մաքրում՝ ազդող նյութի աբսորբցիայի պրոցեսների և դեղապատրաստուկի դեղադինամիկ պատասխանի վրա հնարավոր ազդեցության պատճառով: Անհրաժեշտության դեպքում մաքրումն անհրաժեշտ է իրականացնել դեղապատրաստուկը զետեղելուց առնվազն 2 ժամ առաջ: Եթե մաշկի մաքրումն իրականացվել է, ապա դրա իրականացման մասին տեղեկատվությունը պետք է պարունակվի հետազոտության վերաբերյալ հաշվետվության մեջ:
43. Անկախ հետազոտության անցկացման պայմաններից (օկլյուզիայով կամ առանց օկլյուզիայի) առաջարկվում է օգտագործել օկլյուզիոն վիրակապի էֆեկտ չառաջացնող պաշտպանիչ միջոց՝ մաշկի հատվածից տեղային կիրառման կորտիկոստերոիդային դեղապատրաստուկի տարածումը կամ հեռացումը կանխելու համար: Պետք է զգույշ լինել պաշտպանիչ նյութի և ցանկացած դեղապատրաստուկի միջև շփումից խուսափելու համար՝ չմշակված ստուգիչ հատվածների կամ այլ հետազոտվող հատվածների չկանխամտածված կոնտամինացիան կանխելու նպատակով:
44. Մաշկի հատվածները պետք է լինեն արմունկի փոսիկից կամ դաստակից առնվազն 3-4 սմ հեռավորության վրա:
45. Ռեֆերենտ դեղապատրաստուկը քսվում է նախաբազուկների առջևի (ներքին) շրջանների հավասար մակերեսով մաշկի հատվածներին: Փորձնական հետազոտության համար դեղաչափի ազդեցության առաջարկվող տևողությունը կազմում է 0,25. 0,5. 0,75. 1. 1,5. 2. 4 և 6 ժամ, սակայն կարող է փոփոխվել՝ կախված հետազոտվող կորտիկոստերոիդային դեղապատրաստուկից: Դեղապատրաստուկի 8 դեղաչափերը (այսինքն՝ դեղապատրաստուկ քսած մաշկի 8 հատվածները (մաշկի ակտիվ հատվածները)) պետք է հավասարաչափ բաշխվեն հետազոտության սուբյեկտի 2 ձեռքերին:
46. Դեղապատրաստուկի քանակը, մաշկի հատվածի չափը, ինչպես նաև տարածությունը հատվածների միջև պետք է սահմանվեն հետազոտական կենտրոնի կողմից: Հետազոտության շրջանակներում օգտագործվում են մաշկի մակերեսի 2-10 մգ/սմ2 դեղաչափեր և 1 սմ տրամագծով հատվածներ, եթե այլ բան հատուկ հիմնավորված չէ: Հատվածները պետք է տեղակայվեն կենտրոնների միջև 2,5 սմ հեռավորության վրա՝ շարքով կամ շախմատային դասավորվածությամբ՝ կախված մաշկի մակերեսի պիտանիությունից (օրինակ՝ վասկուլյարացում, խալերի առկայություն և այլն) և ձեռքի երկարությունից: Տվյալների վերլուծությունից անհրաժեշտ է բացառել այն սուբյեկտներին, որոնց 2 հարևան հատվածների անոթների նեղացման պատասխանները փոխադարձաբար ծածկում են մեկը մյուսին և հետազոտողը չի կարողանում տարբերել անոթների նեղացման պատասխանը յուրաքանչյուր հետազոտվող հատվածում:
47. Քրոմաչափի չափումների հիման վրա հետազոտության մեջ սուբյեկտի ընդգրկումը կատարվում է՝ յուրաքանչյուր ձեռքի մաշկի 2 չմշակված ստուգիչ հատվածները քրոմաչափի միջոցով գնահատելուց հետո:
48. Այն հատվածները, որոնց վրա քսվում է 8 դեղաչափ՝ ազդեցության տարբեր տևողությամբ, և չմշակված 4 ստուգիչ հատվածները պատահականության սկզբունքով բաշխվում են սուբյեկտի մոտ ընտրված 12 հատվածների միջև, ընդ որում՝ սուբյեկտի յուրաքանչյուր ձեռքի վրա պետք է տեղակայվի 6 հատված՝ 2 չմշակված ստուգիչ հատված և 4 հատված՝ զետեղված կորտիկոստերոիդային դեղապատրաստուկով:
49. Վիզուալ գնահատմամբ հետազոտություններում չի պահանջվում չմշակված ստուգիչ հատվածների առանձնացում, քանի որ գնահատումը ենթադրում է մշակված հատվածի և հարակից մաշկի վիզուալ համեմատություն: Ազդեցության տարբեր տևողությամբ կորտիկոստերոիդային դեղապատրաստուկի 8 դեղաչափ պատահականության սկզբունքով բաշխվում են սուբյեկտի 2 ձեռքերին, ընդ որում՝ սուբյեկտի յուրաքանչյուր ձեռքի վրա պետք է լինի 4 հատված՝ զետեղված կորտիկոստերոիդային դեղապատրաստուկով:
50. Հետևելու ժամանակահատվածի վերջում դեղադինամիկ պատասխանը չափելուց առաջ՝ տեղային կիրառման կորտիկոստերոիդային դեղապատրաստուկը, որը մնացել է զետեղելուց հետո, պետք է զգուշորեն հեռացնել մաշկի մակերեսից հետևյալ եղանակներից ցանկացածով՝
ա) 3 հաջորդաբար ներծծելով չորացում չոր բամբակե վիրախծուծով՝ դեղապատրաստուկի մնացորդների հեռացման համար: Տվյալ եղանակը պիտանի է դեղապատրաստուկը տարբեր ժամանակներում զետեղելու դեպքում՝ հետագա համաժամանակյա հեռացումով, ինչպես նաև բոլոր հատվածներին կորտիկոստերոիդային դեղապատրաստուկը համաժամանակյա քսելու դեպքում՝ հետագա տարբեր ժամանակներում հեռացումով.
բ) մաշկի բոլոր հատվածների լվացում փափուկ լվացող միջոցով և ջրով, հատվածների՝ ոչ խավավոր (ոչ աբրազիվ) սրբիչով ներծծելով չորացում և բաց օդի պայմաններում չորացում՝ գնահատումից առաջ առնվազն 5 րոպեի ընթացքում: Եթե 5 րոպե անց սուբյեկտի մաշկի վրա հայտնաբերվում են լվացման հետ կապված տեսանելի մաշկային էֆեկտներ, ապա պահանջվում է ավելի շատ ժամանակ՝ մինչև գնահատումը: Տվյալ եղանակը պիտանի է կորտիկոստերոիդային դեղապատրաստուկը տարբեր ժամանակներում զետեղելու դեպքում՝ հետագա համաժամանակյա հեռացումով: Ձեռքերի մակերևույթի մաքրումը կատարվում է փափուկ լվացող միջոցի նվազագույն քանակի կիրառմամբ (օրինակ՝ հեղուկ լվացող միջոցի 1 կաթիլը փրփրեցվում է ձեռքերի խոնավ մակերևույթի վրա, այնուհետև՝ լվացվում):
51. Տարբեր ժամանակներ դեղապատրաստուկը զետեղելու դեպքում՝ հետագա համաժամանակյա հեռացումով, դեղաչափի ազդեցության բոլոր տևողությունների համար մաշկի սկզբնական գույնի և մաշկի գունատման գնահատումը յուրաքանչյուր նման հատվածում և չմշակված ստուգիչ հատվածում կատարվում է դեղաչափի ազդեցության առավելագույն տևողություն ունեցող դեղապատրաստուկը զետեղելուց առաջ 1 ժամվա ընթացքում և դեղապատրաստուկը հեռացնելուց 0, 2, 4, 6, 19 և 24 ժամ հետո՝ համաձայն թիվ 1 հավելվածի սխեմայի: «0» կետը համապատասխանում է կորտիկոստերոիդային դեղապատրաստուկի հեռացման պահին:
Դեղաչափերի ազդեցության բոլոր տևողությունների համար՝ հետագայում տարբեր ժամանակների հեռացումով կորտիկոստերոիդային դեղապատրաստուկը բոլոր հատվածներին միաժամանակ զետեղելիս մաշկի սկզբնական գույնի և մաշկի գունատման գնահատումը յուրաքանչյուր նման հատվածում և չմշակված ստուգիչ հատվածում կատարվում է ակտիվ հատվածներին կորտիկոստերոիդային դեղապատրաստուկը զետեղելուց առաջ 1 ժամվա ընթացքում և կորտիկոստերոիդային դեղապատրաստուկը զետեղելուց 6, 8, 11, 24 և 28 ժամ հետո՝ համաձայն թիվ 2 հավելվածի սխեմայի: «0» կետը համապատասխանում է կորտիկոստերոիդային դեղապատրաստուկը քսելու պահին:
Զետեղման և հեռացնելու ցանկացած մեթոդի համար գնահատման օպտիմալ ժամանակը կարող է պահանջել կոնկրետ կորտիկոստերոիդային դեղապատրաստուկի և մաշկի հետազոտվող հատվածի համար էֆեկտի գնահատման ժամանակացույցի ճշգրտում: Ցանկացած մեթոդի համար անհրաժեշտ է պլանավորել արդյունքի առնվազն մեկ գնահատման կատարում՝ ժամը 17-ից մինչև ժամը 24-ը:
10. Տվյալների վերլուծություն և դեղադինամիկ մոդելավորում
52. «Մաշկի գունատում-ժամանակ» յուրաքանչյուր պրոֆիլի համար (զետեղումով հատվածների և առանց զետեղման ստուգիչ հատվածների համար) պահանջվում է քրոմաչափի առաջնային ցուցմունքների ուղղում՝ այդ հատվածում սկզբնական մակարդակի նկատմամբ: Կորտիկոստերոիդային դեղապատրաստուկի զետեղման յուրաքանչյուր հատվածի համար՝ սկզբնական մակարդակի նկատմամբ ուղղումից հետո քրոմաչափի ցուցմունքներն անհրաժեշտ է ճշգրտել ըստ նույն ձեռքի 2 ստուգիչ հատվածների միջին արժեքի՝ ուղղում կատարելով սկզբնական մակարդակի նկատմամբ (թիվ 4 հավելվածի 1-3-րդ աղյուսակներ):
Սկզբնական մակարդակի և ստուգիչ հատվածների նկատմամբ ճշգրտված՝ դեղաչափի ազդեցության յուրաքանչյուր տևողության համար (թիվ 4 հավելվածի 1 և 4 աղյուսակներ) անհրաժեշտ է սեղանի մեթոդով հաշվարկել պատասխանի կորի տակ ընկած մակերեսներից մեկը (AUEC)՝
AUEC0-24՝ հետագա համաժամանակյա հեռացումով տարբեր ժամանակներում դեղապատրաստուկ զետեղելու դեպքում.
AUEC6-28՝ հետագա տարբեր ժամանակներում հեռացումով դեղապատրաստուկը՝ բոլոր հատվածներին միաժամանակ զետեղելու դեպքում: Որպես կանոն՝ AUEC-ը հաշվարկվում է դեղապատրաստուկը զետեղելուց հետո՝ դեղաչափի ազդեցության՝ մինչև 28 ժամ առավելագույն տևողության համար:
53. «Դեղաչափի ազդեցության տևողություն-պատասխան» տվյալների համար կորի հարմարեցում՝ դեղաչափի ազդեցության յուրաքանչյուր տևողության համար ըստ սուբյեկտների միջինացված տվյալներն օգտագործելու միջոցով, չի թույլատրվում: Կորի հարմարեցումն անհրաժեշտ է իրականացնել բոլոր սուբյեկտների մասով դիտարկումների բոլոր արդյունքներով:
Մոդելավորման համար ծրագրային ապահովումը պետք է թույլ տա գնահատել ED50-ը և Emax-ը 12 սուբյեկտների ընդհանրացված տվյալների համար: Ընդունելի են կորի հարմարեցման հետևյալ մեթոդները՝
կորի հարմարեցում խառը էֆեկտներով ոչ գծային մոդելի ենթադրության մեջ (պոպուլյացիոն մոդել) համապատասխան ծրագրային ապահովման օգտագործմամբ (թիվ 1 հավելվածի 1-ին նկար): Խառը էֆեկտներով ոչ գծային մոդելում հաշվի են առնվում ներանհատական և միջանհատական փոփոխականությունը.
կորի հարմարեցումը ոչ գծային ռեգրեսիայի ենթադրության մեջ նվազագույն քառակուսիների մեթոդով բոլոր սուբյեկտների առանձին դիտարկումների ընդհանրացմամբ (տվյալների պարզ միավորման մեթոդ):
54. Մոդելավորման տվյալների գնահատման արդյունքներով հիմնական (հենակետային) հետազոտության մեջ օգտագործելու համար սահմանվում են՝
ED50՝ դեղաչափի ազդեցության տևողություն, որը համապատասխանում է առավելագույն պատասխանի կեսին.
D1՝ դեղաչափի ազդեցության տևողություն, որը համապատասխանում է ED50-ի մոտավորապես կեսին.
D2՝ դեղաչափի ազդեցության տևողություն, որը համապատասխանում է ED50-ի արժեքի մոտավորապես կրկնապատիկին:
ED50-ի դիտարկվող արժեքը կարող է կլորացվել մինչև 15 րոպե՝ հիմնական (հենակետային) հետազոտության մեջ օգտագործվող ED50-ի արժեքն ստանալու համար: Ընդունելի է «դեղաչափի ազդեցության տևողություն-պատասխան» կախվածության հաստատումը՝ հիմնված D1-ի վրա, որը կազմում է դիտարկվող ED50-ից 0,25-0,5, և D2-ի վրա, որը կազմում է դիտարկվող ED50-ից 2-4: ED50-ի ոչ մեծ արժեքներ ունեցող ակտիվ կորտիկոստերոիդային դեղապատրաստուկների համար անհրաժեշտ է այդ հանձնարարականների ճշգրտում: Այդ արժեքներն «ընդգրկում են» ED50-ը, կազմելով առավելագույն պատասխանի մոտավորապես 33 % և 67 % -ը համապատասխանաբար, և ձևավորում են «դեղաչափի ազդեցության տևողություն-պատասխան» կորի զգայուն մասը:
55. Վիզուալ մեթոդով ստացված տվյալների համար կատարվում է հաշվարկ՝
«անոթների նեղացում-ժամանակ» յուրաքանչյուր պրոֆիլի համար էֆեկտի կորի տակ ընկած մակերեսի (AUEC).
«դեղաչափի ազդեցության տևողություն-պատասխան» կախվածության՝ սույն պահանջների 54-րդ կետին համապատասխան.
ED50, D1 և D2 ցուցանիշների:
56. Եթե հովանավորը պլանավորում է քննարկել «դեղաչափի ազդեցության տևողություն-պատասխան» փորձնական հետազոտության մեթոդիկայի վալիդացմանը, «դեղաչափի ազդեցության տևողություն-պատասխան» պրոֆիլին կամ այլ ասպեկտների վերաբերող հարցեր մինչև in vivo կենսահամարժեքության հիմնական (հենակետային) հետազոտություն անցկացնելը, Եվրասիական տնտեսական հանձնաժողովի խորհրդի 2016 թվականի նոյեմբերի 3-ի թիվ 78 որոշմամբ հաստատված՝ Բժշկական կիրառության դեղամիջոցների գրանցման և փորձաքննության կանոնների 26-րդ կետի համաձայն՝ կլինիկական հետազոտության հովանավորն իրավունք ունի ներկայացնելու փորձնական հետազոտության արդյունքների տվյալները և ամփոփագիրը անդամ պետությունների լիազորված մարմիններ (փորձագիտական կազմակերպություններ)՝ ED50-ի, D1-ի և D2-ի արժեքների փորձաքննություն անցկացնելու համար, ինչպես նաև ներկայացնելու հիմնական (հենակետային) հետազոտության ենթադրվող արձանագրությունը գիտական և նախագրանցման խորհրդատվության շրջանակներում դրանց գնահատման համար՝ անդամ պետությունների օրենսդրությանը համապատասխան:
Փորձնական հետազոտության արդյունքները ներկայացնելիս հովանավորն իրավունք ունի ներառելու հետազոտության բոլոր տվյալները՝ հիմնավորելով բոլոր այն տեղեկությունները, որոնք չեն ներառվել դեղադինամիկ անալիզի մեջ:
Հովանավորն իրավունք ունի ընդունելու որոշում, որ արդեն տիրապետում է հետազոտվող տեղային կիրառման կորտիկոստերոիդային դեղապատրաստուկի «դեղաչափի ազդեցության տևողություն-պատասխան» կախվածության վերաբերյալ բավարար տեղեկությունների, որպեսզի անցկացնի հիմնական (հենակետային) հետազոտություն՝ առանց փորձնական հետազոտություն անցկացնելու: Տվյալ որոշումը պետք է հիմնվի կլինիկական կենտրոնի պայմաններում համապատասխան ռեֆերենտ դեղապատրաստուկի՝ ED50-ի, D1-ի և D2-ի հայտնի արժեքների վրա, ինչը ընդունելի հիմնական (հենակետային) հետազոտության անբաժանելի մասն է: Տվյալ որոշման հավանությունն ստանալու նպատակով հովանավորն իրավունք ունի դիմելու անդամ պետությունների լիազորված մարմիններին (փորձագիտական կազմակերպություններին)՝ Բժշկական կիրառության դեղամիջոցների գրանցման և փորձաքննության կանոնների 26-րդ կետին համապատասխան գիտական կամ նախագրանցման խորհրդատվություն ստանալու համար:
Համակարգչային տվյալները ներկայացնելու ձևաչափը
57. Սկզբնական քրոմաչափական տվյալները, սկզբնական մակարդակի նկատմամբ ճշգրտված տվյալները, սկզբնական մակարդակի նկատմամբ ճշգրտված՝ չմշակված ստուգիչ հատվածների տվյալները և AUEC-ի տվյալները պետք է ներկայացվեն աղյուսակային ձևաչափով առանձին ֆայլերի տեսքով (օրինակները ներկայացված են թիվ 3 հավելվածում):
V. in vivo կենսահամարժեքության հիմնական (հենակետային) հետազոտություն
58. Հիմնական (հենակետային) հետազոտության նպատակն է՝ in vivo պայմաններում հետազոտվող կորտիկոստերոիդային դեղապատրաստուկի կենսահամարժեքության հաստատումը համապատասխան ռեֆերենտ կորտիկոստերոիդային դեղապատրաստուկին: Սույն պահանջներում սահմանված է «դեղաչափի ազդեցության տևողություն-պատասխան» կախվածության համար նվազագույն հարաբերությունը, որը տվյալների վերլուծության մեջ սուբյեկտների ընդգրկման պայմանն է: Այդ իսկ պատճառով, ընդհանուր առմամբ, հիմնական (հենակետային) հետազոտությունը կարող է սկսվել առանց անդամ պետությունների լիազորված մարմինների (փորձագիտական կազմակերպությունների) հետ գիտական խորհրդատվության անցկացման:
1. Հետազոտության դիզայնը
59. Հետազոտության ստանդարտ դիզայն է համարվում կենսահամարժեքության դեղադինամիկ հետազոտությունը՝ մեկ օրվա սահմաններում հետազոտվող և ռեֆերենտ կորտիկոստերոիդային դեղապատրաստուկների միանվագ դեղաչափերի՝ ազդեցության տևողությունների կրկնությամբ, որը հիմնված է փորձնական հետազոտության ընթացքում սահմանված ED50-ի պոպուլյացիոն արժեքի վրա:
60. D2 և D1 դեղաչափերում AUEC-ի ցուցանիշների անհատական հարաբերության նվազագույն արժեքը ռեֆերենտ կորտիկոստերոիդային դեղապատրաստուկի համար պետք է կազմի 1,25: Համապատասխանությունը տվյալ չափանիշին որոշվում է՝ պոպուլյացիոն ED50-ի մոտավորապես կեսին համապատասխանող D1 դեղաչափով և մոտավորապես կրկնապատկված պոպուլյացիոն ED50-ին համապատասխանող D2 դեղաչափով ռեֆերենտ կորտիկոստերոիդային դեղապատրաստուկը կրկնակի զետեղելով:
61. Հետազոտության մեջ անհրաժեշտ է ընդգրկել գնահատման համար պիտանի 40-ից մինչև 60 սուբյեկտ, այսինքն այն սուբյեկտներին, որոնք բավարարում են «բուժմանը արձագանքած սուբյեկտ» և «դետեկտոր» չափանիշներին՝ սույն պահանջների 31-34, 68-րդ կետերի համաձայն:
2. Ընդգրկման չափանիշներ
62. Հետազոտության մեջ կիրառում են սույն պահանջների IV բաժնի 2-րդ ենթաբաժնում նկարագրված ընդգրկման չափանիշները:
3. Հետազոտության մեջ սուբյեկտներին չընդգրկելու չափանիշներ և հետազոտությունից սուբյեկտներին բացառելու չափանիշներ
63. Հետազոտության մեջ կիրառում են սույն պահանջների IV բաժնի 3-րդ ենթաբաժնում նկարագրված չընդգրկելու չափանիշները և բացառելու չափանիշները:
4. Հետազոտության ժամանակ սուբյեկտների նկատմամբ կիրառվող սահմանափակումները
64. Հետազոտությունն ունի սույն պահանջների IV բաժնի 4-րդ ենթաբաժնում նկարագրված սահմանափակումներ:
5. Բուժմանն արձագանքած սուբյեկտների սկրինինգ
65. Մասնակիցների արձագանքի հետազոտությունը (բուժմանն արձագանքած սուբյեկտների սկրինինգ) նկարագրված է սույն պահանջների IV բաժնի 5-րդ ենթաբաժնում:
6. Անալիտիկ մեթոդիկայի ճշգրտության վալիդացում
66. Անալիտիկ մեթոդիկայի ճշգրտության վալիդացումը նկարագրված է սույն պահանջների IV բաժնի 6-րդ ենթաբաժնում:
7. Հետազոտության սուբյեկտների ակտիվության ստանդարտացումը՝ հետազոտությանը մասնակցելու ժամանակ
67. Հետազոտության սուբյեկտների ակտիվության ստանդարտացումը հետազոտության ժամանակ կատարվում է սույն պահանջների IV բաժնի 9-րդ ենթաբաժնի պահանջներին համապատասխան:
68. Անհրաժեշտ է յուրաքանչյուր սուբյեկտի նախաբազուկների առջևի մակերեսի մաշկի հատվածներին՝ ստորև ներկայացված հանձնարարականների համաձայն զետեղված հետազոտվող դեղաչափերի ազդեցության տևողությունները բաշխել պատահականության սկզբունքով: Քսելու հատվածները՝ սույն պահանջների 39-րդ կետում նշված ցուցումներին և փորձնական հետազոտության արդյունքներին համապատասխան, կարող են լինել օկլյուզիայով կամ առանց օկլյուզիայի: Քրոմաչափական գնահատականների հիման վրա հետազոտություն անցկացնելու դեպքում յուրաքանչյուր ձեռքի վրա նույնպես անհրաժեշտ է թողնել մաշկի չմշակված ստուգիչ հատվածներ:
Յուրաքանչյուր ձեռքի վրա՝ դեղաչափի ազդեցության տևողությունը որոշելու հատվածները և ստուգիչ հատվածները պետք է ներառեն՝
փորձնական հետազոտության ժամանակ ռեֆերենտ դեղապատրաստուկի համար սահմանված՝ ED50-ին մոտավորապես համապատասխանող դեղաչափի ազդեցության տևողությամբ հետազոտվող դեղապատրաստուկով հատվածներ (2 հատված՝ յուրաքանչյուր ձեռքի վրա).
հատվածներ ռեֆերենտ դեղապատրաստուկով, որի դեղաչափի ազդեցության տևողությունը մոտավորապես համապատասխանում է ED50-ին՝ ինչպես և հետազոտվող դեղապատրաստուկի համար (2 հատված՝ յուրաքանչյուր ձեռքի վրա).
ռեֆերենտ դեղապատրաստուկի դեղաչափի ազդեցության ավելի փոքր տևողությամբ հատված (1 հատված՝ ձեռքի վրա).
ռեֆերենտ դեղապատրաստուկի դեղաչափի ազդեցության ավելի մեծ տևողությամբ հատված (D1) (1 հատված՝ ձեռքի վրա).
ստուգիչ հատվածներ առանց զետեղելու (2 հատված՝ յուրաքանչյուր ձեռքի վրա):
Հետազոտվող հատվածների ընդհանուր թիվը կազմում է 16 (8 հատված՝ յուրաքանչյուր ձեռքի վրա): 8 զետեղումներ անհրաժեշտ է ռանդոմացնել՝ ինչպես նշված է վերևում : Յուրաքանչյուր ձեռքի վրա զետեղելու սխեմաները պետք է լինեն կոմպլեմենտար, այսինքն D2-ը կոմպլեմենտար է D1-ին, ռեֆերենտ դեղապատրաստուկը զետեղելու հատվածները կոմպլեմենտար են հետազոտվող դեղապատրաստուկը զետեղելու հատվածներին, ինչպես նաև կոմպլեմենտար են ստուգիչ հատվածները: Օրինակ՝ ռեֆերենտ դեղապատրաստուկի զետեղումը մի ձեռքի մաշկի որոշակի հատվածի վրա ենթադրում է ռեֆերենտ դեղապատրաստուկի զետեղում մյուս ձեռքի մաշկի համապատասխան հատվածին: Մի ձեռքի մաշկի հատվածը որպես ստուգիչ սահմանելու դեպքում երկրորդ ձեռքի համապատասխան հատվածը նույնպես դառնում է ստուգիչ:
Յուրաքանչյուր կոնկրետ սուբյեկտի համար՝ որպես դեղաչափերի ազդեցության տևողությունները զետեղելու ռեպրեզենտատիվ հաջորդականություն, թույլատրվում է օգտագործել հետևյալ կարգը՝
|
Արմունկի փոսիկ | |
|
ձախ ձեռք |
աջ ձեռք |
|
D1 |
D2 |
|
ՀՊ |
ՌՊ |
|
Ս |
Ս |
|
ՌՊ |
ՀՊ |
|
Ս |
Ս |
|
ՀՊ |
ՌՊ |
|
D2 |
D1 |
|
ՌՊ |
ՀՊ |
|
Դաստակ | |
|
Ծանոթագրություն: ՀՊ՝ հետազոտվող դեղապատրաստուկ. | |
69. Հովանավորի պարտականությունն է մաշկի վրա դեղապատրաստուկները զետեղելու հատվածների հստակ սխեմայի նկարագրությունը, այսինքն՝ մարմնի առանցքի նկատմամբ հատվածների միջնագծային (ուլնար) և լատերալ (շառավղային) տեղակայումը, ինչպես նաև միմյանց նկատմամբ հատվածների ավելի վերև և ավելի ներքև տեղակայումը:
70. ED50, D1 և D2 դեղաչափի ազդեցության տևողության գնահատման համար օգտագործվում է դեղապատրաստուկն ըստ ժամանակի բաշխված զետեղելու և համաժամանակյա հեռացման մեթոդը կամ դեղապատրաստուկը համաժամանակյա զետեղելու և տարբեր ժամանակներ հեռացնելու մեթոդը՝ փորձնական հետազոտության մեջ օգտագործված մեթոդոլոգիային համապատասխան:
Ըստ ժամանակի բաշխված զետեղման և համաժամանակյա հեռացման դեպքում դեղաչափի ազդեցության ցանկացած տևողության և չմշակված ստուգիչ հատվածների համար սկզբնական գնահատումը կատարվում է դեղաչափի ազդեցության առավելագույն տևողությամբ դեղապատրաստուկը զետեղելուց առաջ 1 ժամվա ընթացքում և դեղապատրաստուկի հեռացումից հետո 0, 2, 4, 6, 19, և 24 ժամ անց: Փաստացի ժամանակը կախված կլինի դոզավորման ժամանակից և հետազոտվող տեղային կիրառման կորտիկոստերոիդային դեղապատրաստուկից: «0» կետը համապատասխանում է դեղապատրաստուկի հեռացման պահին:
Համաժամանակյա զետեղման և ըստ ժամանակի բաշխված հեռացման դեպքում դեղաչափի ազդեցության ցանկացած տևողության և չմշակված ստուգիչ հատվածների համար սկզբնական գնահատումը կատարվում է ակտիվ հատվածներին դեղապատրաստուկը զետեղելուց առաջ 1 ժամվա ընթացքում, մաշկի գունատումը գնահատվում է D2 կետում դեղապատրաստուկը զետեղելուց հետո և 6, 8, 11, 24 և 28 ժամ անց: Փաստացի ժամանակը կախված է լինելու դոզավորման ժամանակից և հետազոտվող կորտիկոստերոիդային դեղապատրաստուկից: «0» կետը համապատասխանում է դեղապատրաստուկը զետեղելու պահին: Եթե որոշակի դեղապատրաստուկի համար D2-ը կազմում է, օրինակ, 4 ժամ, ապա դեղապատրաստուկը զետեղված մաշկի բոլոր հատվածների և ստուգիչ հատվածների գունատման առաջին գնահատումը սկզբնական գնահատումից հետո կատարվում է 4 ժամ անց: Ցանկացած մեթոդի համար անհրաժեշտ է պլանավորել առնվազն 1 գնահատում՝ ժամը 17-ից մինչև ժամը 24-ը:
8. Տվյալների վերլուծություն և վիճակագրական վերլուծություն
Տվյալների վերլուծություն
71. «Մաշկի գունատում-ժամանակ» յուրաքանչյուր պրոֆիլի համար (դեղապատրաստուկը զետեղված հատվածների և առանց զետեղելու ստուգիչ հատվածների համար) անհրաժեշտ է քրոմաչափի առաջնային ցուցմունքների ուղղում՝տվյալ հատվածում ելակետային արժեքին համապատասխան: Անհրաժեշտ է ճշգրտել դեղապատրաստուկը զետեղելու յուրաքանչյուր հատված ելակետային մակարդակին համապատասխան ուղղելուց հետո՝ նույն ձեռքին 2 ստուգիչ հատվածներից ստացված միջին արժեքին համապատասխան՝ ելակետային մակարդակի նկատմամբ ուղղումով (սույն պահանջների թիվ 4 հավելվածի 1-4-րդ աղյուսակներ):
Անհրաժեշտ է հաշվարկել AUEC-ը՝ յուրաքանչյուրը՝ ելակետային մակարդակի նկատմամբ ճշգրտված ստուգիչ հատվածներում դեղաչափի ազդեցության տևողության մակարդակի համար (թիվ 4 հավելվածի 3-6-րդ աղյուսակներ)՝
AUEC(0-24)՝ հետագա համաժամանակյա հեռացումով պատրաստուկը տարբեր ժամանակներ զետեղելու համար.
AUEC(D2-28)՝ (D2 ժամանակից մինչև 28 ժամ) տարբեր ժամանակներ հետագա հեռացումով պատրաստուկի համաժամանակյա զետեղման համար:
Տվյալների վերլուծության մեջ թույլատրվում է ներառել միայն «դետեկտորների» տվյալները, այսինքն այն սուբյեկտների, որոնց AUEC արժեքները D1 և D2 ազդեցության տևողությունների համար բացասական են և որոնք համապատասխանում են թիվ 4 հավելվածի 6-րդ աղյուսակում և թիվ 5 հավելվածի 1-ին աղյուսակում նկարագրված «դեղաչափի ազդեցության տևողություն-պատասխան» չափանիշին:
«Դեղաչափի ազդեցության տևողություն-պատասխան» չափանիշը՝
որտեղ՝
AUEC-ը D2 պահին = 0,5x(AUEC-ը D2 պահին (ձախ ձեռք) + AUEC-ը D2 պահին (աջ ձեռք)).
AUEC-ը D1 պահին = 0,5x(AUEC D1 պահին (ձախ ձեռք) + AUEC D1 պահին (աջ ձեռք)):
72. Տվյալների վերլուծությունը կատարվում է տվյալների ամբողջական լրակազմով՝ այսինքն D1 և D2 կրկնակի գնահատման և հետազոտվող և ռեֆերենտ դեղապատրաստուկների ու ստուգիչ հատվածների քառակի գնահատման արդյունքների մասին տվյալներով սուբյեկտների մասով:
73. Կենսահամարժեքության գնահատումը պետք է հիմնված լինի AUEC-ի այն արժեքների վրա, որոնք հաշվարկվել են սույն պահանջների 71-րդ կետին համապատասխան՝ հետազոտվող և ռեֆերենտ դեղապատրաստուկների համար մոտավորապես ED50-ին հավասար դեղաչափի ազդեցության տևողության դեպքում (այն հատվածներում, որոնք նշված են սույն պահանջների 68-րդ կետում):
74. Անհրաժեշտ է ներկայացնել հետազոտության բոլոր տվյալները՝ ներառելով բուժմանը չարձագանքած սուբյեկտների տվյալները: Կենսահամարժեքության գնահատման մեջ չօգտագործվող ցանկացած տվյալ անհրաժեշտ է ուղեկցել հիմնավորմամբ (օրինակ՝ «բուժմանը չարձագանքած սուբյեկտ», «հարևան հատվածներում անոթների նեղացման էֆեկտների փոխադարձաբար ծածկում» և այլն):
Վիճակագրական վերլուծություն
75. Վիճակագրական վերլուծությունը պահանջում է չկերպափոխված տվյալների օգտագործում, քանի որ AUEC-ի արժեքները հետազոտվող և ռեֆերենտ դեղապատրաստուկների համար՝ հաշվարկված սկզբնական մակարդակին և չմշակված հսկիչ հատվածին համապատասխան ուղղումով, որպես կանոն, լինում են բացասական, սակայն երբեմն կարող են լինել նաև դրական: Դրական և բացասական արժեքների առկայությունը հնարավորություն է տալիս չօգտագործել ստանդարտ վիճակագրական կերպափոխություններ: Չի թույլատրվում կիրառել հաշվարկման մոտավոր մեթոդներ (օրինակ՝ հետազոտվող և ռեֆերենտ դեղապատրաստուկների միջին արժեքների տարբերության համար վստահելի միջակայքի հաշվարկը և տվյալ վստահելի միջակայքի սահմանների և ռեֆերենտ պատրաստուկի միջին արժեքի գնահատականի հարաբերության հաշվումը). Չկերպափոխված տվյալների համար ճշգրիտ վստահելի միջակայքը հաշվելու նախընտրելի մեթոդիկան է՝ ըստ Locke C.S.-ի, թույլ է տալիս հաշվել:
76. Ըստ Locke C.S.-ի մեթոդիկայի՝ անհրաժեշտ է հաշվարկել հետազոտվող պատրաստուկի միջին AUEC-ի (4 կրկնությունների միջին արժեքի)՝ ռեֆերենտ պատրաստուկի միջին AUEC-ին (4 կրկնությունների միջին արժեքը) հարաբերության 90 % վստահելի միջակայքը՝ թիվ 5 հավելվածի համաձայն:
77. Ներկա պահին սահմանված չեն կենսահամարժեքության ճանաչման սահմանները: Ներկայացված տվյալների գնահատման ժամանակ կարող է պահանջվել կենսահամարժեքության ճանաչման ավելի լայն սահմանների օգտագործում, քան ստանդարտ համարվող 80,00-125,00%-ը, ինչը կարող է ավելացնել տվյալների գնահատման ժամկետները:
78. Հետազոտության վերաբերյալ հաշվետվությունը պետք է պարունակի ռանդոմացիոն ծածկագիր, որը սահմանում է դեղաչափի ազդեցության յուրաքանչյուր տևողության զետեղումը մաշկի կոնկրետ հատվածների վրա և ստուգիչ հատվածները:
Համակարգչային տվյալները ներկայացնելու ձևաչափ
79. Առաջնային քրոմաչափական տվյալները, սկզբնական մակարդակի նկատմամբ ճշգրտված տվյալները, սկզբնական մակարդակի և չմշակված ստուգիչ հատվածների նկատմամբ ճշգրտված տվյալները և AUEC տվյալները պետք է տեղաբաշխվեն աղյուսակային ձևաչափով առանձին ֆայլերի ձևով (օրինակները ներկայացված են թիվ 4 հավելվածում):
|
ՀԱՎԵԼՎԱԾ ԹԻՎ 1 |
ՍԽԵՄԱ
փորձնական հետազոտության առաջարկվող արձանագրության՝ դեղապատրաստուկը՝ ըստ ժամանակի բաշխված զետեղելու և համաժամանակյա հեռացնելու վերաբերյալ
Նկար 1
Մաշկի սկզբնական գույնի, մաշկի գույնի՝ դեղապատրաստուկը զետեղելուց և հեռացնելուց հետո գնահատման գրաֆիկ
Ծանոթագրություն.-7…0՝ ժամանակը՝ մինչև դեղապատրաստուկի հեռացումը (ժ).
ՍՄ՝ մաշկի անոթների նեղացման սկզբնական մակարդակը.
՝ դեղապատրաստուկի զետեղումը.
՝ դեղապատրաստուկի հեռացումը:
Նկար 2
Մաշկի գունատման գնահատման գրաֆիկ
Ծանոթագրություն. 0…24՝ ժամանակը՝ դեղապատրաստուկից հետո (ժ).
՝ դեղապատրաստուկը հեռացնելու ժամանակը.
՝ արդյունքների գնահատման ժամանակը:
|
ՀԱՎԵԼՎԱԾ ԹԻՎ 2 |
ՍԽԵՄԱ
դեղապատրաստուկը համաժամանակյա զետեղելու և ըստ ժամանակի բաշխված հեռացնելու վերաբերյալ փորձնական հետազոտության առաջարկվող արձանագրության
Նկար 1
Մաշկի սկզբնական գույնի, մաշկի գույնի՝ դեղապատրաստուկը զետեղելուց և հեռացնելուց հետո գնահատման գրաֆիկ
Ծանոթագրություն. -1…6՝ ժամանակը՝ դեղապատրաստուկը զետեղելուց հետո (ժ).
ՍՄ՝ մաշկի անոթների նեղացման աստիճանի սկզբնական մակարդակը.
՝ դեղապատրաստուկի զետեղումը.
՝ դեղապատրաստուկի հեռացումը:
Նկար 2
Մաշկի գունատման գնահատման գրաֆիկ
Ծանոթագրություն. 0…28՝ ժամանակը՝ դեղապատրաստուկը զետեղելուց հետո (ժ).
՝ դեղապատրաստուկը զետեղելու ժամանակը.
՝ արդյունքների գնահատման ժամանակը:
|
ՀԱՎԵԼՎԱԾ ԹԻՎ 3 |
ՕՐԻՆԱԿ
փորձնական հետազոտության արդյունքների աղյուսակային և գրաֆիկական եղանակով ներկայացնելու
1. Կորտիկոստերոիդային դեղապատրաստուկի՝ հետագա համաժամանակյա հեռացմամբ տարբեր ժամանակներ զետեղելիս կատարվող և հետագայում տարբեր ժամանակահատվածներ անց հեռացվող՝ բոլոր հատվածներին միաժամանակ զետեղելիս կատարվող հետազոտությունները միևնույն կերպով ընդունելի են:
2. Սույն հավելվածում բերված են հետազոտության արդյունքները՝ յուրաքանչյուր ձեռքի վրա առանց դեղապատրաստուկը զետեղելու միայն 2 ստուգիչ հատվածների օգտագործմամբ: Ձեռքի մնացած հատվածներին մաշկի գույնի արժեքների ճշգրտումն անցկացվել է միևնույն ձեռքին՝ դեղապատրաստուկը զետեղված հատվածի մաշկի գույնի յուրաքանչյուր արժեքից այդ 2 ստուգիչ հատվածների մաշկի գույնի միջին արժեքը հանելու միջոցով:
3. 1-ին աղյուսակում ներկայացված են հետազոտության մեկ սուբյեկտի քրոմաչափական տվյալները՝ 24 ժամվա համար: Սկզբնական մակարդակի նկատմամբ արված ուղղումով տվյալները ներկայացված են 2-րդ աղյուսակում: Առանց դեղապատրաստուկը զետեղելու ստուգիչ հատվածներին համապատասխան ճշգրտված՝ սկզբնական մակարդակի նկատմամբ արված ուղղումով տվյալները՝ սկզբնական մակարդակի նկատմամբ արված ուղղումից հետո, և AUEC(0-24) տվյալները ներկայացված են 3-րդ աղյուսակում: 3-րդ աղյուսակում բերված օրինակում՝ դեղապատրաստուկը զետեղելու յուրաքանչյուր հատված ճշգրտվել է՝ առանց դեղապատրաստուկ զետեղելու ստուգիչ հատվածի նկատմամբ:
4. 4-րդ աղյուսակում ներկայացված են AUEC0-24-ի արժեքները: Emax մոդելի համար կորի հարմարեցումը ընդհանրացված տվյալներին ներկայացված է 1-ին նկարում:
Աղյուսակ 1
Քրոմաչափի ցուցմունքների արժեքները՝ հետազոտությունների սուբյեկտի համար
|
Սուբյեկտը |
Դեղաչափի ազդեցության տևողությունը, ժ |
Հատվածը (դեղապատրաստուկով մշակված/չմշակված) |
Սկզբնական մակարդակը |
Ժամերը՝ դեղապատրաստուկը հեռացնելուց հետո | |||||
|
0 |
2 |
4 |
6 |
19 |
24 | ||||
|
1 |
0,25 |
չմշակ. |
9,86 |
9,99 |
10,10 |
9,52 |
10,03 |
10,40 |
9,65 |
|
1 |
0,25 |
մշակ. |
10,36 |
9,89 |
10,38 |
10,32 |
10,51 |
10,86 |
10,04 |
|
1 |
0,5 |
չմշակ. |
9,27 |
8,20 |
9,78 |
8,54 |
9,61 |
9,87 |
9,59 |
|
1 |
0,5 |
մշակ. |
9,59 |
8,77 |
9,35 |
9,27 |
8,78 |
10,87 |
9,59 |
|
1 |
0,75 |
չմշակ. |
8,45 |
8,75 |
8,24 |
8,16 |
8,92 |
8,43 |
8,22 |
|
1 |
0,75 |
մշակ. |
8,46 |
8,66 |
8,53 |
8,04 |
8,26 |
8,72 |
8,56 |
|
1 |
1 |
չմշակ. |
9,00 |
9,63 |
8,45 |
8,03 |
8,94 |
9,33 |
9,66 |
|
1 |
1 |
մշակ. |
8,52 |
8,80 |
8,87 |
8,53 |
8,05 |
8,66 |
8,21 |
|
1 |
1,5 |
չմշակ. |
9,44 |
9,39 |
9,46 |
9,27 |
9,92 |
9,59 |
9,01 |
|
1 |
1,5 |
մշակ. |
9,59 |
9,60 |
9,99 |
9,93 |
9,18 |
10,23 |
9,24 |
|
1 |
2 |
չմշակ. |
10,12 |
10,13 |
9,50 |
9,93 |
9,39 |
10,95 |
10,84 |
|
1 |
2 |
մշակ. |
10,28 |
10,25 |
10,68 |
10,15 |
10,31 |
11,46 |
8,92 |
|
1 |
4 |
չմշակ. |
8,89 |
8,01 |
8,78 |
8,89 |
9,76 |
8,48 |
9,18 |
|
1 |
4 |
մշակ. |
8,21 |
8,28 |
8,36 |
7,98 |
7,96 |
8,15 |
8,30 |
|
1 |
6 |
չմշակ. |
9,18 |
9,46 |
8,79 |
8,03 |
9,29 |
10,11 |
9,52 |
|
1 |
6 |
մշակ. |
9,37 |
9,61 |
9,30 |
8,92 |
9,20 |
10,16 |
9,63 |
Աղյուսակ 2
Քրոմաչափի ցուցմունքների արժեքները հետազոտության սուբյեկտի համար՝ սկզբնական մակարդակի նկատմամբ արված ուղղումով
|
Սուբյեկտը |
Դեղաչափի ազդեցության տևողոթյունը, ժ |
Հատվածը (դեղապատրաստուկով մշակված/չմշակված) |
Սկզբնական մակարդակը |
Ժամերը՝ | |||||
|
0 |
2 |
4 |
6 |
19 |
24 | ||||
|
1 |
0,25 |
չմշակ. |
- |
0,13 |
0,24 |
-0,34 |
0,17 |
0,54 |
-0,21 |
|
1 |
0,25 |
մշակ. |
- |
-0,47 |
0,02 |
-0,04 |
0,15 |
0,50 |
-0,32 |
|
1 |
0,5 |
չմշակ. |
- |
-1,07 |
0,51 |
-0,73 |
0,34 |
0,60 |
0,32 |
|
1 |
0,5 |
մշակ. |
- |
-0,82 |
-0,24 |
-0,32 |
-0,81 |
0,81 |
0,23 |
|
1 |
0,75 |
չմշակ. |
- |
0,30 |
-0,21 |
-0,29 |
0,47 |
-0,02 |
-0,23 |
|
1 |
0,75 |
մշակ. |
- |
0,20 |
0,07 |
-0,42 |
-0,20 |
0,26 |
0,10 |
|
1 |
1 |
չմշակ. |
- |
0,63 |
-0,55 |
-0,97 |
-0,06 |
0,33 |
0,66 |
|
1 |
1 |
մշակ. |
- |
0,28 |
0,35 |
0,01 |
-0,47 |
0,14 |
-0,31 |
|
1 |
1,5 |
չմշակ. |
- |
-0,05 |
0,02 |
-0,17 |
0,48 |
0,15 |
-0,43 |
|
1 |
1,5 |
մշակ. |
- |
0,01 |
0,40 |
0,34 |
-0,41 |
0,64 |
-0,35 |
|
1 |
2 |
չմշակ. |
- |
0,01 |
-0,62 |
-0,19 |
-0,73 |
0,83 |
0,72 |
|
1 |
2 |
մշակ. |
- |
-0,03 |
0,40 |
-0,13 |
0,03 |
1,18 |
-1,36 |
|
1 |
4 |
չմշակ. |
- |
-0,88 |
-0,11 |
0,00 |
0,87 |
-0,41 |
0,29 |
|
1 |
4 |
մշակ. |
- |
0,07 |
0,15 |
-0,23 |
-0,25 |
-0,06 |
0,09 |
|
1 |
6 |
չմշակ. |
- |
0,28 |
-0,39 |
-1,15 |
0,11 |
0,93 |
0,33 |
|
1 |
6 |
մշակ. |
- |
0,24 |
-0,07 |
-0,45 |
-0,17 |
0,79 |
0,26 |
Աղյուսակ 3
Քրոմաչափի ցուցմունքների արժեքները հետազոտության սուբյեկտի համար՝ սկզբնական մակարդակի նկատմամբ արված ուղղումով, որոնք ճշգրտվել են ըստ ստուգիչ հատվածների՝ առանց դեղապատրաստուկը զետեղելու, և AUEC(0-24) տվյալները
|
Սուբյեկտը |
Դեղաչափի ազդեցության տևողությունը, |
Հատվածը (դեղապատրաս-տուկով մշակված/ |
Սկզբնական մակարդակը |
Ժամերը՝ դեղապատրաստուկը հեռացնելուց հետո |
AUEC(0-24)* | |||||
|
0 |
2 |
4 |
6 |
19 |
24 | |||||
|
1 |
0,25 |
մշակ. |
- |
-0,60 | -0,22 | -0,30 | -0,02 | -0,04 | -0,11 |
-1,23 |
|
1 |
0,5 |
մշակ. |
- |
0,25 |
-0,75 |
0,41 |
-1,15 |
0,21 |
-0,09 |
-7,39 |
|
1 |
0,75 |
մշակ. |
- |
-0,10 |
0,28 |
-0,13 |
-0,67 |
0,28 |
0,33 |
-1,48 |
|
1 |
1 |
մշակ. |
- |
-0,35 |
0,90 |
0,98 |
-0,41 |
-0,19 |
-0,97 |
-3,80 |
|
1 |
1,5 |
մշակ. |
- |
0,06 |
0,38 |
0,51 |
-0,89 |
0,49 |
0,08 |
-0,23 |
|
1 |
2 |
մշակ. |
- |
-0,04 |
1,02 |
0,06 |
0,76 |
0,35 |
-2,08 |
5,77 |
|
1 |
4 |
մշակ. |
0,95 |
0,26 |
-0,23 |
-1,12 |
0,35 |
-0,20 |
-4,74 | |
|
1 |
6 |
մշակ. |
-0,04 |
0,32 |
0,70 |
-0,28 |
-0,14 |
-0,07 |
-1,53 | |
________________
Ծանոթագրություն.* AUEC(0-24) արժեքները հաշվարկված են այն տվյալների հիման վրա, որոնք ճշգրտվել են ժամանակի համապատասխան պահերին մաշկի ստուգիչ հատվածների անոթային ռեակցիայի և գույնի փոփոխության սկզբնական մակարդակի նկատմամբ:
Աղյուսակ 4
AUEC(0-24) արժեքները հետազոտության 12 սուբյեկտների համար՝ դեղաչափի ազդեցության տրված տևողության դեպքում
|
Դեղաչափի ազդեցության տևողությունը, ժ |
Հետազոտության սուբյեկտները | |||||||||||
|
1 |
2 |
3 |
4 |
5 |
6 |
7 |
8 |
9 |
10 |
11 |
12 | |
|
0,25 |
-1,23 | -0,02 | -13,87 | -27,7 | -10,65 | -10,41 |
4,20 |
-11,95 | -12,36 |
1,15 |
-30,03 |
-7,25 |
|
0,5 |
-7,39 |
-6,13 |
-15,03 |
-3,71 |
7,72 |
-5,94 |
-12,31 |
7,45 |
12,95 |
-39,45 |
-39,56 |
14,73 |
|
0,75 |
-1,48 |
-8,92 |
-18,39 |
-43,82 |
-23,42 |
-2,29 |
1,34 |
5,95 |
1,88 |
-40,68 |
-61,06 |
-21,09 |
|
1 |
-3,80 |
-24,56 |
-16,25 |
-44,39 |
-20,37 |
-8,92 |
-18,84 |
8,78 |
-43,35 |
-16,19 | -43,58 |
10,81 |
|
1,5 |
-0,23 |
-19,21 |
-15,44 |
-77,04 |
-19,95 |
-20,64 |
-42,70 |
1,26 |
-20,97 |
6,87 |
-40,73 |
0,51 |
|
2 |
5,77 |
-1,80 |
-23,74 |
-66,80 |
-32,00 |
-19,52 |
-37,29 |
-48,83 |
-39,79 |
10,75 |
-62,01 |
-10,51 |
|
4 |
-4,74 |
-43,07 |
-24,80 |
-62,96 |
-32,81 |
-8,52 |
-45,46 |
-71,77 |
-57,55 |
-37,64 |
-27,82 |
-14,89 |
|
6 |
-1,53 |
-41,56 |
-21,79 |
-71,60 |
-61,51 |
-19,01 |
-37,24 |
-8,14 |
-34,18 |
-35,01 |
-33,60 |
16,14 |
4. AUEC(0-24) դիտվող միջին արժեքները (սև կետեր) և միջինի ստանդարտ սխալը (վերին և ստորին սահմաններ), ինչպես նաև Emax մոդելը (անընդհատ գիծ)՝ «դեղաչափի ազդեցության տևողություն-պատասխան» կախվածության հետազոտության ընդհանրացված այն տվյալներին համապատասխան կորի հարմարեցմամբ, որոնք ստացվել են փորձնական հետազոտության ժամանակ հետազոտության 12 սուբյեկտներից, բերված են նկարում:
Ծանոթագրություններ. 1. 0…6՝ դեղաչափի ազդեցության տևողությունը (ժ):
2. Սկզբնական մակարդակի և ստուգիչ հատվածների նկատմամբ ճշգրտված տվյալներ, այդ պատճառով AUEC արժեքն ընդունվել է 0-ին հավասար՝ դեղաչափի ազդեցության զրոյական տևողության պայմաններում:
3. Emax մոդելի համար կորի հարմարեցումը կատարվել է տվյալների պոպուլյացիոն դեղակինետիկ-դեղադինամիկ մոդելավորման համար ծրագրային ապահովման օգտագործմամբ: Պոպուլյացիոն արժեքները կորը հարմարեցնելուց հետո կազմել են՝ ED50 = 1,89 ժ, Emax = 48,80 քրոմաչափի սանդղակի միավոր՝ մեկ ժամում:
4. Ազդեցության տևողության մասին այդ տվյալների հիման վրա՝ հետազոտվող և ռեֆերենտ դեղապատրաստուկների համեմատության համար որպես ED50-ի մոտավոր արժեք վերցված դեղաչափերը, ինչպես նաև in vivo կենսահամարժեքության հիմնական (հենակետային) հետազոտության համար D1 և D2 արժեքները կազմել են՝ մոտավոր արժեքը՝ ED50 = 2,0 ժ, D1 = 1,0 ժ և D2 = 4,0 ժ:
|
ՀԱՎԵԼՎԱԾ ԹԻՎ 4 |
ՕՐԻՆԱԿ
հիմնական (հենակետային) հետազոտության տվյալների և դրանց վերլուծության արդյունքների՝ աղյուսակային եղանակով ներկայացնելու
1. Սույն փաստաթղթում ներկայացված են in vivo կենսահամարժեքության այն հիմնական (հենակետային) հետազոտության քրոմաչափական տվյալները և AUEC(0-24) արժեքները, որը համապատասխանում է «Տեղային կիրառման կորտիկոստերոիդային դեղապատրաստուկների կենսահամարժեքության դեղակինետիկ և կլինիկական հետազոտությունների անցկացմանը ներկայացվող պահանջների» (այսուհետ՝ Պահանջներ) թիվ 3 հավելվածում բերված փորձնական հետազոտությանը: Հիմնական (հենակետային) հետազոտության մեջ համեմատությունը հիմնված է փորձնական հետազոտության արդյունքների օրինակի 4-րդ կետում (Պահանջների թիվ 3 հավելված) բերված «դեղաչափի ազդեցության տևողություն-պատասխան» կախվածության վերլուծության վրա:
2. Սույն փաստաթղթում տրված են առաջարկություններ՝ յուրաքանչյուր ձեռքի վրա առանց դեղապատրաստուկը զետեղելու 2 ստուգիչ հատվածներն օգտագործելու և միևնույն ձեռքի վրա դեղապատրաստուկ զետեղված հատվածի յուրաքանչյուր արժեքից այդ 2 հատվածների համար միջին արժեքը հանելու վերաբերյալ:
3. 1-ին աղյուսակում ներկայացված են 1 սուբյեկտի համար սկզբնական տվյալները՝ 24 ժամվա ընթացքում: 2-րդ աղյուսակում ներկայացված են սկզբնական մակարդակին համապատասխան արված ուղղումով տվյալները: 3-րդ աղյուսակում ներկայացված են այն տվյալները, որոնք ճշգրտվել են առանց զետեղման ստուգիչ հատվածների նկատմամբ՝ սկզբնական մակարդակին համապատասխան արված ուղղումից հետո: Սույն օրինակում դեղապատրաստուկը զետեղելու յուրաքանչյուր հատված ճշգրտվել է՝ համապատասխան ստուգիչ հատվածի համաձայն՝ առանց դեղապատրաստուկը զետեղելու:
4. 4-րդ աղյուսակում ներկայացված են այն արժեքները, որոնք ճշգրտվել են ստուգիչ հատվածներին համապատասխան՝ բոլոր սուբյեկտների մասով հետազոտվող և ռեֆերենտ դեղապատրաստուկների համար սկզբնական մակարդակի նկատմամբ արված ուղղումից հետո: 5-րդ աղյուսակում ներկայացված են տվյալները՝ AUEC(0-24)՝ աջ և ձախ ձեռքերի համար ու D1 և D2 համար երկու ձեռքերի միջին արժեքները՝ բոլոր սուբյեկտների համար: 5-րդ աղյուսակում սահմանվել են «դետեկտորներ», այսինքն՝ գնահատման համար պիտանի սուբյեկտները, որոնք բավարարում են «դեղաչափի ազդեցության տևողություն-պատասխան» չափանիշը: 6-րդ աղյուսակում ներկայացված են AUEC(0-24) տվյալները՝ աջ և ձախ ձեռքերի համար ու երկու ձեռքերի միջին արժեքները՝ հետազոտվող և ռեֆերենտ դեղապատրաստուկների համար՝ դեղաչափի ազդեցության՝ 2,0 ժամ տևողության համար՝ բոլոր սուբյեկտների մասով, առանձնացվել են երկու ձեռքերի AUEC(0-24) միջին արժեքները «դետեկտորների» համար: Կենսահամարժեքության գնահատականի մեջ ներառված են միայն «դետեկտորների» տվյալները՝ ինչպես նկարագրված է Պահանջների թիվ 5 հավելվածում:
Աղյուսակ 1
Սկզբնական քրոմաչափական տվյալները սուբյեկտի համար
|
Սուբյեկտը |
Մշակում |
Ձեռք (աջ/ձախ) |
Զետեղելու տեղը |
Հատվածը (դեղապատրաս-տուկով մշակված/ |
Սկզբնական մակարդակը |
Ժամերը՝ | |||||
|
0 |
2 |
4 |
6 |
19 |
24 | ||||||
|
1 |
Ա |
Աջ |
1 |
չմշակ. |
7,34 |
7,23 |
8,09 |
7,64 |
7,82 |
7,68 |
8,71 |
|
1 |
Ա |
Աջ |
1 |
մշակ. |
7,11 |
7,86 |
7,59 |
5,92 |
6,23 |
6,32 |
7,30 |
|
1 |
Բ |
Աջ |
2 |
չմշակ. |
6,18 |
7,38 |
7,26 |
6,85 |
7,35 |
7,14 |
7,87 |
|
1 |
Բ |
Աջ |
2 |
մշակ. |
6,79 |
6,29 |
6,12 |
4,45 |
5,88 |
6,01 |
7,26 |
|
1 |
Գ |
Աջ |
3 |
չմշակ. |
6,28 |
7,32 |
7,80 |
6,77 |
7,75 |
6,59 |
7,55 |
|
1 |
Գ |
Աջ |
3 |
մշակ. |
7,78 |
9,26 |
9,30 |
7,42 |
8,24 |
7,40 |
8,59 |
|
1 |
Դ |
Աջ |
4 |
չմշակ. |
9,31 |
10,19 |
10,61 |
9,56 |
10,88 |
9,52 |
10,13 |
|
1 |
Դ |
Աջ |
4 |
մշակ. |
7,38 |
8,22 |
6,94 |
5,07 |
6,98 |
7,24 |
7,91 |
|
1 |
Գ |
Ձախ |
1 |
չմշակ. |
7,62 |
7,98 |
7,56 |
7,48 |
7,24 |
6,73 |
7,49 |
|
1 |
Գ |
Ձախ |
1 |
մշակ. |
6,97 |
5,42 |
5,39 |
4,39 |
4,79 |
5,76 |
6,45 |
|
1 |
Բ |
Ձախ |
2 |
չմշակ. |
7,12 |
6,32 |
6,76 |
6,25 |
6,74 |
6,80 |
7,58 |
|
1 |
Բ |
Ձախ |
2 |
մշակ. |
7,46 |
4,48 |
4,38 |
4,11 |
4,39 |
6,27 |
7,25 |
|
1 |
Ա |
Ձախ |
3 |
չմշակ. |
7,69 |
7,03 |
7,73 |
7,21 |
7,87 |
7,89 |
8,38 |
|
1 |
Ա |
Ձախ |
3 |
մշակ. |
8,99 |
8,75 |
8,07 |
6,74 |
6,53 |
7,14 |
8,25 |
|
1 |
Դ |
Ձախ |
4 |
չմշակ. |
8,99 |
8,28 |
8,95 |
8,50 |
9,10 |
9,05 |
9,93 |
|
1 |
Դ |
Ձախ |
4 |
մշակ. |
8,80 |
8,04 |
6,71 |
5,51 |
5,14 |
7,05 |
7,96 |
Ծանոթագրություններ. Մշակում.
Ա՝ ռեֆերենտ դեղապատրաստուկ՝ դեղաչափի ազդեցության՝ D1 տևողության դեպքում (1 ժ)
Բ՝ ռեֆերենտ դեղապատրաստուկ՝ դեղաչափի ազդեցության՝ D2 տևողության դեպքում (4 ժ)
Գ՝ հետազոտվող դեղապատրաստուկ՝ դեղաչափի ազդեցության՝ 2 ժամին հավասար տևողության դեպքում
Դ՝ ռեֆերենտ դեղապատրաստուկ՝ դեղաչափի ազդեցության՝ 2 ժամին հավասար տևողության դեպքում
Աղյուսակ 2
Հետազոտության սուբյեկտի համար քրոմաչափի ցուցմունքների՝ սկզբնական մակարդակի նկատմամբ արված ուղղումով արժեքները
|
Սուբյեկտը |
Մշակումը* |
Ձեռքը (աջ/ձախ) |
Զետեղելու տեղը |
Հատվածը (դեղապատրաս-տուկով մշակված/ |
Սկզբնական մակարդակը |
Ժամերը՝ դեղապատրաս-տուկը հեռացնելուց | |||||
|
0 |
2 |
4 |
6 |
19 |
24 | ||||||
|
1 |
Ա |
Աջ |
1 |
չմշակ. |
- |
-0,11 |
0,75 |
0,30 |
0,48 |
0,34 |
1,37 |
|
1 |
Ա |
Աջ |
1 |
մշակ. |
- |
0,75 |
0,48 |
-1,19 | -0,88 | -0,79 |
0,19 |
|
1 |
Բ |
Աջ |
2 |
չմշակ. |
- |
1,20 |
1,08 |
0,67 |
1,17 |
0,96 |
1,69 |
|
1 |
Բ |
Աջ |
2 |
մշակ. |
- |
-0,50 |
-0,67 |
-2,34 |
-0,91 |
-0,78 |
0,47 |
|
1 |
Գ |
Աջ |
3 |
չմշակ. |
- |
1,04 |
1,52 |
0,49 |
1,47 |
0,31 |
1,27 |
|
1 |
Գ |
Աջ |
3 |
մշակ. |
- |
1,48 |
1,52 |
-0,36 |
0,46 |
-0,38 |
0,81 |
|
1 |
Դ |
Աջ |
4 |
չմշակ. |
- |
0,88 |
1,30 |
0,25 |
1,57 |
0,21 |
0,82 |
|
1 |
Դ |
Աջ |
4 |
մշակ. |
- |
0,84 |
-0,44 |
-2,31 |
-0,40 |
-0,14 |
0,53 |
|
1 |
Գ |
Ձախ |
1 |
չմշակ. |
- |
0,36 |
-0,06 |
-0,14 |
-0,38 |
-0,89 |
-0,13 |
|
1 |
Գ |
Ձախ |
1 |
մշակ. |
- |
-1,55 |
-1,58 |
-2,58 |
-2,18 |
-1,21 |
-0,52 |
|
1 |
Բ |
Ձախ |
2 |
չմշակ. |
- |
-0,80 |
-0,36 |
-0,87 |
-0,38 |
-0,32 |
0,46 |
|
1 |
Բ |
Ձախ |
2 |
մշակ. |
- |
-2,98 |
-3,08 |
-3,35 |
-3,07 |
-1,19 |
-0,21 |
|
1 |
Ա |
Ձախ |
3 |
չմշակ. |
- |
-0,66 |
0,04 |
-0,48 |
0,18 |
0,20 |
0,69 |
|
1 |
Ա |
Ձախ |
3 |
մշակ. |
- |
-0,24 |
-0,92 |
-2,25 |
-2,46 |
-1,85 |
-0,74 |
|
1 |
Դ |
Ձախ |
4 |
չմշակ. |
- |
-0,71 |
-0,04 |
-0,49 |
0,11 |
0,06 |
0,94 |
|
1 |
Դ |
Ձախ |
4 |
մշակ. |
-0,76 |
-2,09 |
-3,29 |
-3,66 |
-1,75 |
-0,84 | |
Ծանոթագրություններ. Մշակում.
Ա՝ ռեֆերենտ դեղապատրաստուկ՝ դեղաչափի ազդեցության՝ D1 տևողության դեպքում (1 ժ)
Բ՝ ռեֆերենտ դեղապատրաստուկ՝ դեղաչափի ազդեցության՝ D2 տևողության դեպքում (2 ժ)
Գ՝ հետազոտվող դեղապատրաստուկ՝ դեղաչափի ազդեցության՝ 2 ժամին հավասար տևողության դեպքում
Դ՝ ռեֆերենտ դեղապատրաստուկ՝ դեղաչափի ազդեցության՝ 2 ժամին հավասար տևողության դեպքում
Աղյուսակ 3
Հետազոտության սուբյեկտի համար քրոմաչափի ցուցմունքների՝ սկզբնական մակարդակի նկատմամբ արված ուղղումով արժեքները, որոնք ճշգրտվել են ըստ ստուգիչ հատվածների՝ առանց դեղապատրաստուկը զետեղելու, և AUEC(0-24) տվյալները
|
Սուբյեկտը |
Մշակումը |
Ձեռքը (աջ/ձախ) |
Զետեղելու տեղը |
Հատվածը (դեղապատրաստուկով մշակված/չմշակված) |
Սկզբնական մակարդակը |
Ժամերը՝ դեղապատրաստուկը հեռացնելուց հետո |
AUEC(0-24) | |||||
|
0 |
2 |
4 |
6 |
19 |
24 | |||||||
|
1 |
Ա |
Աջ |
1 |
մշակ. |
- |
0,86 |
-0,27 | -1,49 |
-1,36 |
-1,13 |
-1,18 |
-25,98 |
|
1 |
Բ |
Աջ |
2 |
մշակ. |
- |
-1.70 |
-1.75 |
-3.01 |
-2.08 |
-1.74 |
-1.22 |
-45.53 |
|
1 |
Գ |
Աջ |
3 |
մշակ. |
- |
0.44 |
0.00 |
-0.85 |
-1.01 |
-0.69 |
-0.46 |
-16.20 |
|
1 |
Դ |
Աջ |
4 |
մշակ. |
- |
-0.04 |
-1.74 |
-2.56 |
-1.97 |
-0.35 |
-0.29 |
-27.29 |
|
1 |
Գ |
Ձախ |
1 |
մշակ. |
- |
-1.91 |
-1.52 |
-2.44 |
-1.80 |
-0.32 |
-0.39 |
-27.19 |
|
1 |
Բ |
Ձախ |
2 |
մշակ. |
- |
-2.18 |
-2.72 |
-2.48 |
-2.69 |
-0.87 | -0.67 |
-42.26 |
|
1 |
Ա |
Ձախ |
3 |
մշակ. |
- |
0.42 |
-0.96 |
-1.77 |
-2.64 |
-2.05 |
-1.43 |
-46.87 |
|
1 |
Դ |
Ձախ |
4 |
մշակ. |
- |
-0.05 |
-2.05 |
-2.80 |
-3.77 |
-1.81 |
-1.78 |
-58.77 |
Ծանոթագրություն. Մշակում.
Ա՝ ռեֆերենտ դեղապատրաստուկ՝ դեղաչափի ազդեցության՝ D1 տևողության դեպքում (1 ժ)
Բ՝ ռեֆերենտ դեղապատրաստուկ՝ դեղաչափի ազդեցության՝ D2 տևողության դեպքում (4 ժ)
Գ՝ հետազոտվող դեղապատրաստուկ՝ դեղաչափի ազդեցության՝ 2 ժամին հավասար տևողության դեպքում
Դ՝ ռեֆերենտ դեղապատրաստուկ՝ դեղաչափի ազդեցության՝ 2 ժամին հավասար տևողության դեպքում
Աղյուսակ 4
Քրոմաչափի ցուցմունքների՝ սկզբնական մակարդակի նկատմամբ արված ուղղումով արժեքները, որոնք ճշգրտվել են հետազոտության 12 սուբյեկտների համար ըստ ստուգիչ հատվածների՝ առանց դեղապատրաստուկը զետեղելու
Հետազոտվող դեղապատրաստուկը
|
Սուբյեկտը |
Մշակումը* |
Ձեռքը (աջ/ձախ) |
Զետեղելու տեղը |
Ժամերը՝ դեղապատրաստուկը հեռացնելուց հետո | ||||||
|
0 |
2 |
4 |
6 |
19 |
24 | |||||
|
1 |
Գ |
Աջ |
3 |
0.44 |
0.00 |
-0.85 |
-1.01 |
-0.69 |
-0.46 | |
|
1 |
Գ |
Ձախ |
1 |
-1.91 |
-1.52 |
-2.44 |
-1.80 |
-0.32 |
-0.39 | |
|
2 |
Գ |
Աջ |
3 |
-1.51 |
-3.29 |
-3.45 |
-4.11 |
-0.89 |
-1.26 | |
|
2 |
Գ |
Ձախ |
1 |
0.23 |
-1.09 |
-0.94 |
-2.15 |
-2.05 |
-0.66 | |
|
3 |
Գ |
Ձախ |
3 |
-1.29 |
-1.75 |
-0.96 |
-0.90 |
-3.06 |
-1,05 | |
|
3 |
Գ |
Աջ |
2 |
0.02 |
-1.43 |
-2.24 |
-1.16 |
-1,56 |
-1.72 | |
|
4 |
Գ |
Աջ |
1 |
-0.02 |
-0.19 |
-0.52 |
-1.00 |
-0.43 |
-0.50 | |
|
4 |
Գ |
Ձախ |
3 |
-0.12 |
0.15 |
-0.29 |
-0.06 |
-0.07 |
0.12 | |
|
5 |
Գ |
Ձախ |
3 |
-0.36 |
-0.01 |
-0.19 |
-0.06 |
-0.72 |
-0.28 | |
|
5 |
Գ |
Աջ |
1 |
-0.02 |
-0.63 |
-1.13 |
-0.90 |
-0.88 |
-0.03 | |
|
6 |
Գ |
Աջ |
4 |
-0.80 |
0.60 |
0.32 |
0.30 |
-1.09 |
-1.53 | |
|
6 |
Գ |
Ձախ |
3 |
-1.08 |
-0.45 |
-0.98 |
-0.83 |
-1.18 |
-0.07 | |
|
7 |
Գ |
Աջ |
4 |
-0.28 |
0.25 |
-0.34 |
-0.64 |
-0.64 |
-0.41 | |
|
7 |
Գ |
Ձախ |
1 |
0.67 |
0.74 |
0.72 |
1.03 |
0.33 |
-0.11 | |
|
8 |
Գ |
Աջ |
4 |
-0.40 |
0.49 |
0.46 |
0.00 |
-0.35 |
0.78 | |
|
8 |
Գ |
Ձախ |
3 |
0.30 |
0.05 |
0.07 |
0.19 |
-0.05 |
-0.28 | |
|
9 |
Գ |
Աջ |
1 |
-0.71 |
-1.13 |
-1.94 |
-2.40 |
-1.70 |
-1.41 | |
|
9 |
Գ |
Ձախ |
3 |
-0.34 |
-0.52 |
-1.46 |
-1.41 |
-0.31 |
-1.10 | |
|
10 |
Գ |
Աջ |
1 |
-0.49 |
-0.43 |
-0.63 |
-0.10 |
-0.50 |
-1.10 | |
|
10 |
Գ |
Ձախ |
3 |
0.10 |
-0.66 |
-0.44 |
-0.68 |
-0.34 |
-0.86 | |
|
11 |
Գ |
Ձախ |
2 |
-0.58 |
-0.93 |
-1.60 |
-2.29 |
-0.24 |
-0.54 | |
|
11 |
Գ |
Աջ |
3 |
0.12 |
-1.67 |
-1.71 |
-2.34 |
0.15 |
-1.28 | |
|
12 |
Գ |
Ձախ |
3 |
0.05 |
-0.08 |
-0.18 |
-0.35 |
-1.28 |
-0.46 | |
|
12 |
Գ |
Աջ |
3 |
-0.60 |
0.15 |
0.19 |
-0.42 |
-0.40 |
-0.32 | |
|
Միջին արժեքը |
-0.30 |
-0,57 |
-0.86 |
-0.96 |
-0.76 |
-0.62 | ||||
|
Ստանդարտ շեղումը, SD |
0.65 |
0.91 |
1.01 |
1.12 |
0.76 |
0.59 | ||||
|
Միջին արժեքի սխալը, SE |
0.13 |
0.19 |
0.21 |
0.23 |
0.16 |
0.12 | ||||
|
Վարիացիայի գործակիցը, % CV |
217 |
161 |
118 |
117 |
100 |
96 | ||||
|
*Ծանոթագրություն. | ||||||||||
Ռեֆերենտ դեղապատրաստուկը
|
Սուբյեկտը |
Մշակումը* |
Ձեռքը (աջ/ձախ) |
Զետեղելու տեղը |
Ժամերը՝ դեղապատրաստուկը հեռացնելուց հետո | |||||
|
0 |
2 |
4 |
6 |
19 |
24 | ||||
|
1 |
Դ |
Աջ |
4 |
-0.04 |
-1.74 |
-2.56 |
-1.97 |
-0.35 |
-0.29 |
|
1 |
Դ |
Ձախ |
4 |
-0.05 |
-2.05 |
-2.80 |
-3.77 |
-1.81 |
-1.78 |
|
2 |
Դ |
Աջ |
4 |
-0.23 |
-1.58 |
-2.53 |
-2.53 |
0.00 |
-0.49 |
|
2 |
Դ |
Ձախ |
4 |
-2.30 |
-2.88 |
-2.15 |
-3.05 |
2.09 |
0.27 |
|
3 |
Դ |
Աջ |
1 |
1.25 |
-0.10 |
-1.99 |
-1.52 |
0.24 |
-1.24 |
|
3 |
Դ |
Ձախ |
4 |
-0.04 |
-0.28 |
-1.30 |
-1.23 |
-0.77 |
-1.07 |
|
4 |
Դ |
Աջ |
4 |
-0.43 |
-0.34 |
-1.50 |
-1.80 |
-0.74 |
-0.96 |
|
4 |
Դ |
Ձախ |
2 |
-0.47 |
-0.22 |
-0.49 |
-0.83 |
-0.89 |
-0.82 |
|
5 |
Դ |
Ձախ |
2 |
-0.71 |
-1.77 |
-1.62 |
-2.62 |
-0.76 |
-0.60 |
|
5 |
Դ |
Աջ |
3 |
0.46 |
-1.23 |
-1.23 |
-1.61 |
-1.70 |
-0.47 |
|
6 |
Դ |
Աջ |
1 |
-0.11 |
0.20 |
1.35 |
0.86 |
-0.77 |
-1.00 |
|
6 |
Դ |
Ձախ |
4 |
-0.95 |
-1.07 |
-0.52 |
-1.17 |
-2.33 |
-1.52 |
|
7 |
Դ |
Աջ |
2 |
-0.22 |
-0.30 |
-0.42 |
-0.18 |
-0.74 |
-1.00 |
|
7 |
Դ |
Ձախ |
4 |
-0.51 |
0.03 |
-0.76 |
-0.12 |
-0.42 |
-1.24 |
|
8 |
Դ |
Աջ |
2 |
0.51 |
0.30 |
0.92 |
0.63 |
0.56 |
0.34 |
|
8 |
Դ |
Ձախ |
1 |
-0.44 |
0.08 |
-0.16 |
-0.95 |
-2.00 |
-1.49 |
|
9 |
Դ |
Աջ |
4 |
-0.40 |
-1.15 |
-2.25 |
-2.57 |
-1.20 |
-1.55 |
|
9 |
Դ |
Ձախ |
2 |
-1.16 |
-1.05 |
-1.90 |
-1.80 |
-1.06 |
-1.42 |
|
10 |
Դ |
Ձախ |
3 |
0.28 |
-0.31 |
-1.16 |
-1.40 |
-0.64 |
-0.57 |
|
10 |
Դ |
Աջ |
1 |
-0.14 |
-0.05 |
-0.24 |
-0.63 |
-0.41 |
-1.09 |
|
11 |
Դ |
Աջ |
1 |
-0.46 |
-0.82 |
-1.10 |
-2.15 |
-0.47 |
-0.59 |
|
11 |
Դ |
Ձախ |
4 |
-0.15 |
-1.45 |
-1.66 |
-1.61 |
-1.14 |
0.55 |
|
12 |
Դ |
Աջ |
1 |
-0.25 |
-0.76 |
-1.35 |
-2.29 |
-1.23 |
-0.99 |
|
12 |
Դ |
Ձախ |
4 |
1.89 |
0.73 |
2.07 |
0.82 |
-0.59 |
0.70 |
|
Միջին արժեքը |
-0.19 |
-0.74 |
-1.06 |
-1.40 |
-0.71 |
-0.76 | |||
|
Ստանդարտ շեղումը, SD |
0.79 |
0.87 |
1.23 |
1.20 |
0.90 |
0.68 | |||
|
Միջին արժեքի սխալը, SE |
0.16 |
0.18 |
0.25 |
0.25 |
0.18 |
0.14 | |||
|
Վարիացիայի գործակիցը, % CV |
405 |
117 |
116 |
86 |
126 |
89 | |||
*Ծանոթագրություն.
Դ մշակում՝ ռեֆերենտ դեղապատրաստուկ՝ դեղաչափի ազդեցության 2 ժամ տևողության դեպքում
Աղյուսակ 5
AUEC(0-24)-ի արժեքները աջ և ձախ ձեռքերի համար ու երկու ձեռքերի համար միջին արժեքը դեղաչափի ազդեցության՝ D1-ին և D2-ին հավասար տևողությունների դեպքում, ինչպես նաև D2-ի դեպքում AUEC-ի միջին արժեքի հարաբերությունը՝ D1-ի դեպքում AUEC-ի միջին արժեքին՝ 12 սուբյեկտների համար
|
AUEC(0-24)՝ D1-ի դեպքում |
AUEC(0-24)՝ D2-ի դեպքում |
AUEC՝ D2-ի դեպքում / AUEC՝ D1-ի դեպքում | ||||||
|
սուբյեկտը |
ձեռքը (ձախ/աջ) |
AUEC |
AUEC (միջին) |
սուբյեկտը |
ձեռքը (ձախ/աջ) |
AUEC |
AUEC (միջին) | |
|
1 |
Աջ |
-25.98 |
-36.42 |
1 |
Աջ |
-45.53 |
-43.90 |
1.21 |
|
1 |
Ձախ |
-46.87 |
1 |
Ձախ |
-42.26 |
|||
|
2 |
Աջ |
-62.43 |
-45.09 |
2 |
Աջ |
-69.72 |
-59.96 |
1.33 |
|
2 |
Ձախ |
-27.76 |
2 |
Ձախ |
-50.20 |
|||
|
3 |
Աջ |
-22.53 |
-28.41 |
3 |
Աջ |
-31.87 |
-64.04 |
2.25 |
|
3 |
Ձախ |
-34.29 |
3 |
Ձախ |
-96.21 |
|||
|
4 |
Աջ |
-7.49 |
-11.70 |
4 |
Աջ |
-27.48 |
-23.30 |
1.99 |
|
4 |
Ձախ |
-15.91 |
4 |
Ձախ |
-19.12 |
|||
|
5 |
Ձախ |
-16.59 |
-17.36 |
5 |
Ձախ |
-25.01 |
-16.58 |
0.95 |
|
5 |
Աջ |
-18.14 |
5 |
Աջ |
-8.15 |
|||
|
6 |
Աջ |
-8.24 |
-10.44 |
6 |
Աջ |
-27.36 |
-9.33 |
0.89 |
|
6 |
Ձախ |
-12.64 |
6 |
Ձախ |
8.70 |
|||
|
7 |
Աջ |
-10.89 |
-13.36 |
7 |
Աջ |
-20.44 |
-23.68 |
1.77 |
|
7 |
Ձախ |
-15.83 |
7 |
Ձախ |
-26.92 |
|||
|
8 |
Ձախ |
7.08 |
4.69 |
8 |
Ձախ |
-26.16 |
-21.02 |
-4.48 |
|
8 |
Աջ |
2.31 |
8 |
Աջ |
-15.88 |
|||
|
9 |
Ձախ |
-34.22 |
-13.82 |
9 |
Ձախ |
-33.80 |
-21.39 |
1.55 |
|
9 |
Աջ |
6.58 |
9 |
Աջ |
-8.97 |
|||
|
10 |
Ձախ |
-4.10 |
3.06 |
10 |
Ձախ |
-52.60 |
-43.79 |
-14.29 |
|
10 |
Աջ |
10.23 |
10 |
Աջ |
-34.97 |
|||
|
11 |
Աջ |
-33.30 |
-37.30 |
11 |
Աջ |
-57.00 |
-52.20 |
1.40 |
|
11 |
Ձախ |
-41.30 |
11 |
Ձախ |
-47.40 |
|||
|
12 |
Աջ |
-0.55 |
-21.06 |
12 |
Աջ |
-29.24 |
-28.22 |
1.34 |
|
12 |
Ձախ |
-41.57 |
12 |
Ձախ |
-27.20 |
|||
|
__________________ | ||||||||
Աղյուսակ 6
AUEC(0-24)-ի արժեքները աջ և ձախ ձեռքերի համար ու երկու ձեռքերի համար միջին արժեքը՝ հետազոտվող և ռեֆերենտ դեղապատրաստուկների համար 12 սուբյեկտների մասով՝ դեղաչափի ազդեցության՝ 2 ժամին հավասար տևողության դեպքում
|
Հետազոտվող դեղապատրաստուկի AUEC(0-24) |
Ռեֆերենտ դեղապատրաստուկի AUEC(0-24) | ||||||||
|
սուբյեկտը |
ձեռքը (ձախ/աջ) |
Զետեղելու տեղը |
AUEC |
AUEC (միջին) |
սուբյեկտը |
ձեռքը (ձախ/աջ) |
Զետեղելու տեղը |
AUEC |
AUEC (միջին) |
|
1 |
Աջ |
3 |
-16.20 |
-21.69 |
1 |
Աջ |
4 |
-27.29 |
-43.03 |
|
1 |
Ձախ |
1 |
-27.19 |
1 |
Ձախ |
4 |
-58,77 |
||
|
2 |
Ձախ |
3 |
-56,98 |
-48,52 |
2 |
Աջ |
4 |
-28,65 |
-22,20 |
|
2 |
Աջ |
1 |
-40,06 |
2 |
Ձախ |
4 |
-15,75 |
||
|
3 |
Ձախ |
3 |
-43,63 |
-38,99 |
3 |
Աջ |
1 |
-15,27 |
-18,65 |
|
3 |
Աջ |
2 |
-34,36 |
3 |
Ձախ |
4 |
-22,03 |
||
|
4 |
Աջ |
1 |
-14,06 |
-7,62 |
4 |
Աջ |
4 |
-26,67 |
-22,42 |
|
4 |
Ձախ |
3 |
-1,18 |
4 |
Ձախ |
2 |
-18,18 |
||
|
5 |
Ձախ |
3 |
-8,39 |
-13,34 |
5 |
Ձախ |
2 |
-35,48 |
-34,25 |
|
5 |
Աջ |
1 |
-18,29 |
5 |
Աջ |
3 |
-33,01 |
||
|
6 |
Աջ |
4 |
-9,51 |
-15,23 |
6 |
Աջ |
1 |
0.01 |
-18.83 |
|
6 |
Ձախ |
3 |
-20,96 |
6 |
Ձախ |
4 |
-37,68 |
||
|
7 |
Աջ* |
4 |
-12,05 |
0,98 |
7 |
Աջ |
2 |
-12,17 |
-10,96 |
|
7 |
Ձախ* |
1 |
14,01 |
7 |
Ձախ |
4 |
-9,75 |
||
|
8 |
Աջ* |
4 |
0,30 |
0,56 |
8 |
Աջ |
2 |
13,57 |
-7,94 |
|
8 |
Ձախ* |
3 |
0,81 |
8 |
Ձախ |
1 |
-29,45 |
||
|
9 |
Աջ* |
1 |
-43,68 |
-32,05 |
9 |
Աջ |
4 |
-41,15 |
-37,40 |
|
9 |
Ձախ* |
3 |
-20,42 |
9 |
Ձախ |
2 |
-33,65 |
||
|
10 |
Աջ* |
1 |
-10,61 |
-11,51 |
10 |
Ձախ |
3 |
-20,35 |
-16,10 |
|
10 |
Ձախ* |
3 |
-12,41 |
10 |
Աջ |
1 |
-11,86 |
||
|
11 |
Ձախ* |
2 |
-26,33 |
-26,18 |
11 |
Աջ |
1 |
-26,13 |
-26,73 |
|
11 |
Աջ* |
3 |
-26,04 |
11 |
Ձախ |
4 |
-27,33 |
||
|
12 |
Ձախ* |
3 |
-15,77 |
-11,62 |
12 |
Աջ |
1 |
-35,19 |
-12,56 |
|
12 |
Աջ* |
3 |
-7,47 |
12 |
Ձախ |
4 |
10,08 |
||
|
Միջին արժեքը |
-18,77 |
-18,77 |
Միջին արժեքը |
-22,59 |
-22,59 | ||||
|
Ստանդարտ շեղումը, SD |
16,45 |
15,28 |
Ստանդարտ շեղումը, SD |
16,14 |
10,92 | ||||
|
Միջին արժեքի սխալը, SE |
3,36 |
3,12 |
Միջին արժեքի սխալը, SE |
3,30 |
2,23 | ||||
|
Վարիացիայի գործակիցը, % CV |
88 |
81 |
Վարիացիայի գործակիցը, % CV |
71 |
48 | ||||
_____________________
Ծանոթագրություն. Եզրագծված են յոթ սուբյեկտների AUEC-ի տվյալները, որոնց համար D2-ի դեպքում AUEC-ի հարաբերությունը D1-ին ա1,25 (աղյուսակ 5), այսինքն, դրանք հետազոտության այն սուբյեկտներն են, որոնք պիտանի են գնահատման համար: AUEC-ի այդ տվյալներն օգտագործվել են 90% վստահելի միջակայքը հաշվելու համար՝ Պահանջների թիվ 5 հավելվածի համաձայն:
|
ՀԱՎԵԼՎԱԾ ԹԻՎ 5 |
ՀԱՇՎԱՐԿ
չկերպափոխված տվյալների համար ճշգրիտ 90 % վստահելի միջակայքի՝ ըստ Locke C.S.
Սույն փաստաթղթում ներկայացված է «Տեղային կիրառման կորտիկոստերոիդային դեղապատրաստուկների կենսահամարժեքության դեղակինետիկ և կլինիկական հետազոտությունների անցկացմանը ներկայացվող պահանջների» թիվ 5 հավելվածի 6-րդ աղյուսակում բերված՝ կենսահամարժեքության հիմնական (հենակետային) հետազոտության չկերպափոխված տվյալների մասով 90 % ճշգրիտ վստահելի միջակայքի հաշվարկման մեթոդիկան: Վստահելի միջակայքը հաշվարկելու համար օգտագործվել են միայն «դետեկտորների» AUEC-ի միջին արժեքները: Հիմնական (հենակետային) հետազոտության մեջ հետազոտման սուբյեկտների AUEC-ի միջին արժեքները, որոնք համապատասխանում են «Տեղային կիրառման կորտիկոստերոիդային դեղապատրաստուկների կենսահամարժեքության դեղակինետիկ և կլինիկական հետազոտությունների անցկացմանը ներկայացվող պահանջների» 71-րդ կետում բերված՝ «դեղաչափի ազդեցության տևողություն - պատասխան» չափանիշին, բերված են հետևյալ աղյուսակում:
|
Սուբյեկտը |
Հետազոտվող |
Ռեֆերենտ |
|
2 |
-48,52 |
-22,20 |
|
3 |
-38,99 |
-18,65 |
|
4 |
-7,62 |
-22,42 |
|
7 |
0,98 |
-10,96 |
|
9 |
-32,05 |
-37,40 |
|
11 |
-26,18 |
-26,73 |
|
12 |
-11,62 |
-12,56 |
Վստահելի միջակայքը հաշվարկելու համար պետք է հաշվել հետևյալ միջանկյալ մեծությունները՝
որտեղ՝
n-ը գնահատման համար պիտանի սուբյեկտների թիվն է (տվյալ օրինակում՝ 7):
Այնուհետև, ըստ ստորև բերված բանաձևերի, անհրաժեշտ է հաշվարկել ընտրանքային միջինը, ընտրանքային դիսպերիսան և ընտրանքային կովարիացիան՝ գնահատման համար պիտանի առանձին սուբյեկտների AUEC-ի միջին արժեքների համար:
Տվյալ օրինակում այդ արժեքները կազմել են՝
t-ն սահմանում են որպես ազատության n-1 աստիճաններով t-բաշխման 95-րդ պրոցենտիլի արժեք: Օրինակ, n = 7 դեպքում t-ի արժեքը (ազատության 6 աստիճանների համար) կազմում է 1,9432:
Այնուհետև որոշում են՝
Ճշգրիտ վստահելի միջակայք կառուցելու համար պահանջվում է կատարել հետևյալ պայմանը՝ G < 1.
Եթե G ա 1, ապա հետազոտությունը չի համապատասխանում in vivo կենսահամարժեքության պահանջներին: Տվյալ օրինակում G-ն կազմում է 0,0930:
եթե G < 1, ապա հաշվում են՝
Տվյալ օրինակում К-ն կազմում է 2,791:
Դրանից հետո հնարավոր է հաշվարկել վստահելի միջակայքի սահմանները.
Տվյալ օրինակում 90 % վստահելի միջակայքի սահմանները կազմում են 53,60 % և 165,90 %՝ գնահատման համար պիտանի յոթ սուբյեկտների տվյալների հիման վրա:
(հավելվածը լրաց. 04.09.20 թիվ 67)
|
ՀԱՎԵԼՎԱԾ ԹԻՎ 10 |
ՊԱՀԱՆՋՆԵՐ
մոդիֆիկացված ձերբազատմամբ դեղապատրաստուկների կենսահամարժեքության դեղակինետիկ և կլինիկական ուսումնասիրություն անցկացնելուն ներկայացվող
I. Ընդհանուր դրույթներ
1. Սույն Պահանջները պարունակում են ներքին ընդունման, միջմկանային և ենթամաշկային ներմուծման համար մոդիֆիկացված ձերբազատմամբ դեղաձևով դեղապատրաստուկների և վերմաշկային դեղաձևերի՝ մարդու նկատմամբ արդյունավետության, անվտանգության, կենսադեղագործական և դեղակինետիկ հատկությունների որոշման համար անհրաժեշտ հետազոտություններ անցկացնելու, ինչպես նաև այդ հետազոտությունների պլանավորման, անցկացման և արդյունքների գնահատման ընդհանուր սկզբունքները սահմանելու վերաբերյալ ցուցումներ։
2. Սույն Պահանջները նաև պարունակում են երկարաձգված և հետաձգված ձերբազատմամբ վերարտադրված դեղապատրաստուկների կենսահամարժեքության հետազոտություններ անցկացնելու վերաբերյալ ցուցումներ։
3. Առանձին հանձնարարականներ և ստանդարտներ է պահանջում այն հանգամանքներից յուրաքանչյուրը, որոնց դեպքում կարող է մշակվել մոդիֆիկացված ձերբազատմամբ դեղաձևով դեղապատրաստուկը (այսուհետ՝ մոդիֆիկացված ձերբազատմամբ դեղապատրաստուկ)։ Այդ հանգամանքները բաժանվում են 3 խմբի՝
ա) նոր քիմիական միացությունների մոդիֆիկացված ձերբազատմամբ դեղապատրաստուկի գրանցումը.
բ) մոդիֆիկացված ձերբազատմամբ այն դեղապատրաստուկի գրանցումը, որի ազդող նյութը գրանցված է ձերբազատման այլ արագությամբ պատրաստուկի (օրինակ՝ սովորական ձերբազատմամբ պատրաստուկի) կազմում.
գ) մոդիֆիկացված ձերբազատմամբ դեղապատրաստուկի պարզեցված գրանցումը, որով վկայակոչվում է շուկայում գտնվող՝ մոդիֆիկացված ձերբազատմամբ դեղապատրաստուկը (օրինակ՝ որպես վերարտադրված կամ հիբրիդային դեղապատրաստուկ գրանցելը)։
4. Յուրաքանչյուր կոնկրետ դեպքում պետք է որոշվեն կատարվող հետազոտությունների տեսակներն ու քանակը՝ հաշվի առնելով դեղաձևի հատկություններն ու կիրառման ոլորտը, ինչպես նաև դեղապատրաստուկի ենթադրվող թերապևտիկ կիրառումը։
II. Սահմանումներ
5. Սույն պահանջների նպատակներով օգտագործվում են հասկացություններ, որոնք ունեն հետևյալ իմաստը՝
միջմկանային (ենթամաշկային) դեպո պատրաստուկ (depot formulation)՝ միջմկանային կամ ենթամաշկային ներմուծման համար նախատեսված պատրաստուկ, որը որոշակի ժամանակահատվածի ընթացքում անընդհատ ձերբազատում է ազդող նյութը։ Ենթամաշկային պատրաստուկների շարքին են դասվում իմպլանտները.
երկֆազ ձերբազատմամբ դեղաձև (biphase release formulation)՝ դեղաձև, որն առաջին ֆազի ժամանակ արագ ձերբազատում է կիրառելուց հետո կարճ ժամանակահատվածի ընթացքում ազդող նյութի թերապևտիկ կոնցենտրացիան ապահովող դեղաչափի մի մասը։ Երկրորդ՝ երկարաձգված ֆազի ընթացքում տեղի է ունենում երկարատև ժամանահատվածում ազդող նյութի արդյունավետ թերապևտիկ կոնցենտրացիայի պահպանման համար անհրաժեշտ դեղաչափի մնացած մասի ձերբազատումը.
սովորական ձերբազատմամբ դեղաձև (immediate release dosage form, immediate release formulation)՝ դեղաձև, որի ազդող նյութի ձերբազատման արագությունը, և (կամ) ժամանակը, և (կամ) տեղը չեն մոդիֆիկացվում հատուկ օժանդակ նյութերի ներմուծման և (կամ) արտադրության հատուկ տեխնոլոգիայի կիրառման միջոցով.
հետաձգված ձերբազատմամբ դեղաձև (delayed release dosage form, delayed release formulation)՝ դեղաձև, որի ազդող նյութի ձերբազատումը հետաձգված է դեղաչափը կիրառելուց հետո որոշակի ժամանակահատվածով։ Հետագա ձերբազատումը նույնանման է սովորական ձերբազատմամբ դեղաձևից ձերբազատմանը.
բաբախող (ընդհատումներով) ձերբազատմամբ դեղաձև (pulsatile release dosage form)՝ ազդող նյութի՝ ժամանակի որոշակի ընդհատումներով չափաբաժնային ձերբազատմամբ դեղաձև.
բազմամիավոր դեղաձև (multiple-unit dosage form)՝ դեղաձև, որը պարունակում է բազմաթիվ առանձին (օրինակ՝ ժելատինե պատիճի մեջ) կամ հաբի տեսքով մամլած միավորներ (օրինակ՝ պելետներ կամ հատիկներ), որոնցից յուրաքանչյուրը պարունակում է ազդող նյութի ձերբազատումը վերահսկող օժանդակ նյութեր».
մեկ միավորից դեղաձև (single-unit dosage form)՝ միայն մեկ միավորից բաղկացած դեղաձև (օրինակ՝օսմոտիկ հաբի ձևով).
սպեղանի վերմաշկային (transdermal patch, transdermal drug delivery system)՝ մեկ կամ ավելի ազդող նյութ պարունակող՝ տարբեր չափերի դեղապատրաստուկի փափուկ ձև, որը զետեղվում է չվնասված մաշկի վրա՝ համակարգային հասանելիությանը հասնելու համար։ Գոյություն ունի վերմաշկային սպեղանիների 2 հիմնական տիպ՝ կախված սպեղանու բաղադրիչներում ազդող նյութի բաշխման եղանակից՝
մատրիցային (դիֆուզիայի միջոցով ազդող նյութի ձերբազատմամբ).
ռեզերվուարային (հեղուկ խցիկից ազդող նյութի՝ թաղանթով վերահսկվող ձերբազատմամբ)։
III. Մշակման հիմնավորումը
6. Ազդող նյութի մոդիֆիկացված ձերբազատմամբ դեղապատրաստուկի մշակումը պետք է հիմնված լինի հստակ որոշված կլինիկական անհրաժեշտության (օրինակ՝ ընկալունակության բարձրացումը և (կամ) պացիենտների անվտանգությունը) և ֆիզիոլոգիական, դեղադինամիկ և դեղակինետիկ սկզբունքների միասնականության վրա։
7. Մոդիֆիկացված ձերբազատմամբ դեղապատրաստուկի գրանցման դոսյեն պետք է պարունակի դեղապատրաստուկի (մոդիֆիկացված ձերբազատմամբ և ձերբազատման մեխանիզմի) ֆիզիկական ձևի, դեղաձևի ընտրության (պատրաստուկի in vitro և in vivo ֆունկցիոնալ բնութագրերի նկարագրությամբ), միավոր դեղաձևում ազդող նյութի պարունակության ընտրության լիարժեք հիմնավորումը, ինչպես նաև նոր դեղաձևի կլինիկական հիմնավորումը (հատկապես՝ կիրառման առաջարկվող ցուցումների և դոզավորման ռեժիմի հետ կապված)։
1. Կլինիկական հիմնավորումը
8. Երկարաձգված ձերբազատմամբ դեղաձևն ընդունելի է, եթե ազդող նյութը կարող է ապահովել ցանկալի կլինիկական էֆեկտը՝ սովորական ձերբազատմամբ դեղաձև կիրառելիս ապահովվող պրոֆիլից տարբերվող դեղակինետիկ պրոֆիլի դեպքում։
9. Երկարաձգված ձերբազատմամբ դեղաձևը սովորական ձերբազատմամբ դեղաձևի համեմատ կարող է ունենալ մի շարք առավելություններ՝ օրինակ՝
ա) պատրաստուկի պլազմային կոնցենտրացիայի նվազեցված ֆլուկտուացիաները (տատանումները), որոնք կարող են ապահովել ավելի երկարատև էֆեկտներ և (կամ) անցանկալի ռեակցիաների դեպքերի առաջացման նվազեցված հաճախականություն և (կամ) ինտենսիվություն.
բ) կիրառման ավելի փոքր հաճախականությունը և պացիենտների կողմից ընկալունակության հնարավոր բարձրացումը.
գ) ներմուծման այլ ուղի (միջմկանային, ենթամաշկային կամ վերմաշկային սպեղանիների օգտագործմամբ) (բացառությամբ ներքին ընդունման)։
10. Երկֆազ ձերբազատմամբ դեղաձևի մշակումը նպատակահարմար է հետագա երկարաձգված ձերբազատմամբ դեղապատրաստուկի ազդեցությունն արագ սկսվելու անհրաժեշտության դեպքում։
11. Հետաձգված ձերբազատմամբ դեղաձևի մշակումը նպատակահարմար է ազդող նյութը ստամոքսի թթվային միջավայրից պաշտպանելու, ստամոքսն ազդող նյութից պաշտպանելու նպատակով կամ եթե ազդող նյութի ձերբազատումը նախատեսված է աղիքների որոշակի հատվածում։
12. Բաբախող (ընդհատումներով) ձերբազատմամբ դեղաձևի մշակումը նպատակահարմար է, եթե բուժումը պահանջում է ճշգրտում՝ հաշվի առնելով առկա վիճակի օրական (ցիրկադային) ռիթմը, կամ ցածր հաճախականությամբ ներմուծման անհրաժեշտության դեպքում, իսկ արդյունավետության հասնելու համար անհրաժեշտ է պլազմային կոնցենտրացիայի տատանվող պրոֆիլ, որը բնորոշ է սովորական ձերբազատմամբ դեղաձևին։
2. Կիրառումը և դոզավորման ռեժիմը
13. Դեղապատրաստուկի գրանցման դոսյեում անհրաժեշտ է հստակ նշել մոդիֆիկացված ձերբազատմամբ դեղաձևի ներմուծման պայմանները և, եթե դա ընդունելի է, սովորական ձերբազատմամբ դեղաձևի հետ դրա կիրառումը հետևյալ իրավիճակներում՝
բուժման սկզբում,
դեղաչափի ընտրության անհրաժեշտության դեպքում,
թերապևտիկ էֆեկտի պահպանման համար,
սուր հիվանդությունների բուժման դեպքում,
բնակչության հատուկ խմբերի համար (տարեց մարդիկ, երեխաներ և երիկամային կամ լյարդային անբավարարությամբ պացիենտներ)։
Մոդիֆիկացված ձերբազատմամբ դեղապատրաստուկի գրանցման դոսյեում անհրաժեշտ է հիմնավորել մոդիֆիկացված ձերբազատմամբ դեղաձևերի այն դոզավորումների բացակայությունը, որոնք ընդգրկում են դեղաչափերի բոլոր անհրաժեշտ մակարդակները (օրինակ՝ բնակչության հատուկ խմբերի համար ցածր դեղաչափեր)։
Շրջանառության մեջ միաժամանակ մոդիֆիկացված և չմոդիֆիկացված դեղաձևերի առկայության դեպքում անհրաժեշտ է դեղապատրաստուկի մասին տեղեկատվության մեջ տալ հանձնարարականներ՝
սովորական ձերբազատմամբ դեղաձևերը մոդիֆիկացված ձերբազատմամբ դեղաձևերով փոխարինելու վերաբերյալ.
կիրառման օպտիմալ պայմանների ապահովման վերաբերյալ (օրինակ՝ հաբերը չծամելու կամ չկոտրելու ցուցումներ), եթե դա ազդում է դեղապատրաստուկի կենսադեղագործական հատկությունների վրա։
IV. Որպես ազդող նյութեր նոր քիմիական միացություններ պարունակող՝ մոդիֆիկացված ձերբազատմամբ դեղաձևերի հետազոտությունները
14. Եթե նոր քիմիական միացությունը՝ որպես ազդող նյութ, մտնում է մոդիֆիկացված ձերբազատմամբ մշակվող դեղապատրաստուկի բաղադրության մեջ, ապա այդ պատրաստուկի գրանցման դոսյեն պետք է պարունակի համապատասխան դեղագործական և քիմիական տվյալները, անհրաժեշտ նախակլինիկական հետազոտություններն ու կլինիկական հետազոտությունների տվյալների ամբողջական լրակազմը։
1. Նոր քիմիական միացություն պարունակող՝ ներքին ընդունման մոդիֆիկացված ձերբազատմամբ դեղապատրաստուկների դեղակինետիկ հետազոտությունները
15. Նոր քիմիական միացությունը, որը՝ որպես ազդող նյութ, մտնում է մոդիֆիկացված ձերբազատմամբ մշակվող դեղապատրաստուկի բաղադրության մեջ, պահանջում է ներկայացնել բոլոր դեղակինետիկ տվյալները։ Մոդիֆիկացված ձերբազատմամբ դեղաձևի համար սպեցիֆիկ լրացուցիչ փաստաթղթերը ներառում են մոդիֆիկացված ձերբազատմամբ դեղապատրաստուկի կենսադեղագործական բնութագրերի վրա ազդող գործոնների գնահատմանն ուղղված հետազոտությունների տվյալները՝ ինչպես նշված է սույն պահանջների V բաժնի 1-ին ենթաբաժնում։
16. Հետազոտությունների (օրինակ՝ դոզային և ժամանակային կախվածության հետազոտություն) կրկնօրինակումը կանխելու համար առաջարկվում է կլինիկակական մշակման ժամանակահատվածում հնարավորինս վաղ անցկացնել մոդիֆիկացված ձերբազատմամբ դեղաձևի դեղակինետիկ հետազոտություններ։ Մշակման I ֆազի սկզբնական հետազոտությունները (օրինակ՝ առաջին անգամ մարդու մասնակցությամբ անցկացվող հետազոտություններ) անցկացնում են՝ օգտագործելով ներքին ընդունման լուծույթը կամ սովորական ձերբազատմամբ դեղապատրաստուկը, և այդ հետազոտությունների ընթացքում ստանում են ազդող նյութի հիմնական դեղակինետիկ բնութագրերը (tmax, Vd, Сl, կիսադուրսբերման տերմինալային ժամանակահատվածը, դուրսբերման ուղին (ուղիները))։ Դեղամիջոցների փոխազդեցության հետազոտությունները և բնակչության հատուկ խմբերում հետազոտություններն անցկացնում են՝ օգտագործելով մոդիֆիկացված ձերբազատմամբ դեղապատրաստուկը։ Ի լրումն ցանկացած նոր դեղապատրաստուկի համար անհրաժեշտ սովորական դեղակինետիկ հետազոտությունների (օրինակ՝ դեղաչափերի մեկանգամյա և բազմակի ներմուծման դեպքում դեղակինետիկ պարամետրերի որոշումը, ինչպես նաև (անհրաժեշտության դեպքում) սննդի ազդեցությունն ու դեղաչափի համամասնությունը)՝ անհրաժեշտ է նկարագրել ազդող նյութի ձերբազատման նկատմամբ հսկողության մեխանիզմը։ Դա իրականացվում է տարբեր բաղադրությունների և (կամ) արտադրության մեթոդների օգտագործմամբ կատարվող կենսահամարժեքության (հարաբերական կենսամատչելիության) հետազոտությունների ընթացքում, որոնց ժամանակ, օրինակ, փոփոխվում է ձերբազատումը վերահսկող օժանդակ նյութի քանակը։ Եթե հնարավոր է, ապա ստացված in vivo դեղակինետիկ պրոֆիլներն անհրաժեշտ է համադրել in vitro ազդող նյութի ձերբազատման պրոֆիլների հետ (սույն պահանջների թիվ 1 հավելված)։
Ներքին ընդունման մոդիֆիկացված ձերբազատմամբ դեղաձևերի վրա սննդի ազդեցության հետազոտությունները
17. Սննդի հետ փոխազդեցությունը կարող է պայմանավորված լինել ազդող նյութով կամ դեղապատրաստուկով (վերջինս առավել կարևոր է մոդիֆիկացված ձերբազատմամբ պատրաստուկների համար)։
18. Սննդի ազդեցության հետազոտության օպտիմալ փորձարարական պայմանները ենթադրում են դեղապատրաստուկն ընդունելուց անմիջապես առաջ շատ յուղոտ սննդի օգտագործում՝ սույն պահանջների V բաժնի 1-ին ենթաբաժնի ցուցումներին համապատասխան։
19. Մոդիֆիկացված ձերբազատմամբ դեղապատրաստուկների վրա սննդի ազդեցության հետազոտություններն առաջարկվում է անցկացնել մշակման վաղ փուլերում, որպեսզի կլինիկական արդյունավետության և անվտանգության հետազոտություններում հնարավոր լինի ներառել սննդի ընդունման առնչությամբ պատրաստուկի կիրառման վերաբերյալ համապատասխան հանձնարարականներ։ Դա նաև կարևոր է անվտանգության համար, քանի որ դեղաչափի արագ ձերբազատման հեռանկարային ռիսկը անհրաժեշտ է գնահատել արդյունավետության և անվտանգության հետազոտություններ սկսելուց առաջ։
20. Նոր դեղապատրաստուկի ազդող նյութի աբսորբման վրա սննդի ազդեցության գնահատման համար երբեմն բավարար է անցկացնել խաչաձև հետազոտություն 2 խմբում (մոդիֆիկացված ձերբազատմամբ դեղապատրաստուկի ընդունում՝ անոթի կամ սնունդն ընդունելուց հետո)։ Մոդիֆիկացված ձերբազատմամբ դեղապատրաստուկի վրա սննդի՝ կլինիկորեն նշանակալի ազդեցության առկայության դեպքում կարող է պահանջվել ներքին ընդունման լուծույթի օգտագործմամբ լրացուցիչ հետազոտություն (հետազոտություններ)՝ գնահատելու համար այն, թե արդյոք սննդի ազդեցությունը վերաբերում է դեղապատրաստուկին, դեղաձևին կամ ազդող նյութին։ Այդ դեպքում կարելի է անցկացնել խաչաձև հետազոտություն 4 խմբում՝ մոդիֆիկացված ձերբազատմամբ դեղապատրաստուկ՝ անոթի և սնունդն ընդունելուց հետո՝ ներքին ընդունման լուծույթի համեմատ (կամ սովորական ձերբազատմամբ պատրաստուկի համեմատ, եթե հնարավոր չէ օգտագործել լուծույթը), որն ընդունվում է անոթի և սնունդն ընդունելուց հետո։
21. Մոդիֆիկացված ձերբազատմամբ դեղապատրաստուկի վրա սննդի՝ կլինիկորեն նշանակալի ազդեցության առկայության դեպքում դոզավորման վերաբերյալ հանձնարարականներ մշակելու համար կարող են պահանջվել մոդիֆիկացված ձերբազատմամբ դեղապատրաստուկի՝ սննդի հետ փոխազդեցության լրացուցիչ հետազոտություններ (օրինակ՝ սննդի կալորիականությունից և բաղադրությունից կախված՝ դրա տարբեր տեսակների ազդեցության հետազոտությունները, որոնք ուղղված են դեղապատրաստուկն ընդունելուց առաջ և հետո որոշակի ժամին ընդունվող սննդի ազդեցության որոշմանը և այլն)։
2. Վերմաշկային սպեղանիների դեղակինետիկ հետազոտությունները
22. Եթե նոր քիմիական ազդող նյութը մշակվում է վերմաշկային սպեղանու կազմում կիրառելու համար, ապա այդ դեղապատրաստուկի գրանցման դոսյեն պետք է պարունակի համապատասխան դեղագործական և քիմիական տվյալները, անհրաժեշտ նախակլինիկական հետազոտությունները, ինչպես նաև կլինիկական հետազոտությունների տվյալների ամբողջական լրակազմը։
23. Ընդհանուր առմամբ, վերմաշկային սպեղանուց ազդող նյութի առաքման կինետիկան որոշվում է դեղապատրաստուկի ազդող նյութի, օժանդակ նյութերի և մաշկի միջև փոխազդեցությամբ։ Ազդող նյութի դիֆուզիայի և համակարգային կենսամատչելիությունը որոշող՝ արագությունը սահմանափակող փուլի (օրինակ՝ մաշկի կողմից ազդող նյութի ձերբազատում և (կամ) կուտակում) բնութագրերի և (կամ) դեղապատրաստուկի այլ համապատասխան հատկությունների գնահատման համար անհրաժեշտ է անցկացնել in vitro և in vivo հետազոտություններ։ Դեղակինետիկ հետազոտությունները պետք է ներառեն մեկանգամյա և բազմակի կիրառման մասով հետազոտությունները, որոնցով հաշվի են առնվում այնպիսի ասպեկտներ, ինչպիսիք են՝
աբսորբման կախվածությունը զետեղման տեղից.
կոնցենտրացիաների ֆլուկտուացիան.
գաղտնի շրջանը.
«կոնցենտրացիա-ժամանակ» պրոֆիլը՝ վերմաշկային սպեղանու հեռացումից հետո։
Ցանկալի է որոշել in vitro և in vivo (IVIVC) հատկությունների միջև կապը վերմաշկային սպեղանու համար։ Մի քանի դոզավորումների մշակման դեպքում անհրաժեշտ է հետազոտել այդ դոզավորումների համամասնությունը՝ սույն պահանջների V բաժնի 1-ին ենթաբաժնի պահանջներին համապատասխան։
24. Ի լրումն I ֆազի ստանդարտ հետազոտությունների՝ անհրաժեշտ է անցկացնել հետևյալ հետազոտությունները՝
մաշկի գրգռվածության մասով,
սենսիբիլիզացիայի մասով (սույն պահանջների թիվ 2 հավելված),
վերմաշկային սպեղանու ֆոտոտոքսիկ լինելու և ադհեզիվության մասով (սույն պահանջների թիվ 3 հավելված)։
Վերմաշկային սպեղանու ադհեզիվությունը գնահատելիս անհրաժեշտ է հաշվի առնել արտաքին գործոնների (օրինակ՝ ջերմաստիճանի, արևապաշտպան նրբաքսուքների) ազդեցությունը։ Որպես կանոն՝ վերմաշկային սպեղանիները նախատեսված են տարեց անձանց կողմից կիրառվելու համար։ Հետևաբար՝ փորձարկումներն անհրաժեշտ է անցկացնել այդ տարիքային խմբին բնորոշ մաշկի վիճակով անձանց մասնակցությամբ։ Դեղապատրաստուկի բժշկական կիրառման հրահանգը (ներդիր թերթիկը) պետք է պարունակի հատուկ դեպքերում (օրինակ՝ շոգեբաղնիքում) կիրառման վերաբերյալ կոնկրետ ցուցումներ։ Վերմաշկային սպեղանիների կիրառման սխալները (օրինակ՝ վատ տեսողության դեպքում) կանխելու համար պացիենտի մաշկի վրա աննկատ վերմաշկային սպեղանիների մշակումը պետք է դիտարկվի պահպանողական տեսանկյունից։ Այդպիսի դեպքերում սպեղանու նկատելիությունը բարձրացնելու համար դրա վրա զետեղում են հեշտ նկատելի ներկ։
3. Միջմկանային (ենթամաշկային) դեպո պատրաստուկների դեղակինետիկ հետազոտությունները
25. Միջմկանային (ենթամաշկային) դեպո պատրաստուկների կինետիկան որոշվում է դեղապատրաստուկի ազդող նյութի և մկանային հյուսվածքի փոխազդեցությամբ։ Միջմկանային կամ ենթամաշկային դեպոյից ազդող նյութի դիֆուզիայի և համակարգային կենսամատչելիությունը որոշող՝ արագությունը սահմանափակող փուլի (օրինակ՝ մաշկային ռեզերվուարից ազդող նյութի ձերբազատում) բնութագրերի և (կամ) պատրաստուկով միջնորդավորված հանգամանքների գնահատման համար անհրաժեշտ է անցկացնել in vitro և in vivo հետազոտություններ։ Դեղակինետիկ հետազոտությունները պետք է ներառեն միջմկանային (ենթամաշկային) դեպո պատրաստուկների դեղաչափի մեկանգամյա և բազմակի ներմուծմամբ հետազոտություններ, որոնցով հաշվի են առնվում որոշակի ասպեկտներ (օրինակ՝ աբսորբման կախվածությունը կիրառման տեղից, կոնցենտրացիայի ֆլուկտուացիան, գաղտնի շրջանը)։ Անհրաժեշտ է որոշել in vitro և in vivo (IVIVC) հատկությունների միջև կապը միջմկանային (ենթամաշկային) դեպո պատրաստուկների համար։ Միջմկանային (ենթամաշկային) դեպո պատրաստուկների մի քանի դոզավորումների կիրառման դեպքում անհրաժեշտ է համապատասխան կերպով հետազոտել միջմկանային (ենթամաշկային) դեպո պատրաստուկների այդ դոզավորումների համամասնությունը։
V. Մոդիֆիկացված ձերբազատմամբ այն դեղաձևերի հետազոտությունները, որոնց ազդող նյութը գրանցված է ձերբազատման այլ արագությամբ դեղապատրաստուկի բաղադրության մեջ
26. Մոդիֆիկացված ձերբազատմամբ դեղաձևերը մշակվում են դեղաբանական (թունաբանական) պատասխանի ու ազդող նյութի և (կամ) մետաբոլիտի (մետաբոլիտների) համակարգային էքսպոզիցիայի բնութագրերի միջև առկա կախվածության հիման վրա։ Հետևաբար՝ մոդիֆիկացված ձերբազատմամբ դեղաձևի մշակման նպատակը շատ դեպքերում սովորական ձերբազատմամբ դեղաձևին նույնանման՝ ազդող նյութի ընդհանուր էքսպոզիցիային (AUC) հասնելն է։ Պարտադիր չէ կիրառել միևնույն անվանական դեղաչափերը, քանի որ մոդիֆիկացված ձերբազատմամբ դեղաձևը կարող է ունենալ այլ աստիճանի աբսորբում կամ մետաբոլիզմ։
27. Ընդհանուր առմամբ, մոդիֆիկացված ձերբազատմամբ դեղաձևերը կենսահամարժեք չեն սովորական ձերբազատմամբ համապատասխան դեղաձևին։ Միայն դեղակինետիկ տվյալների օգտագործումը կարող է բավարար չլինել մոդիֆիկացված ձերբազատմամբ դեղաձևի համար «օգուտ-ռիսկ» հարաբերակցության գնահատում կատարելու համար՝ համապատասխան դեղաչափերով կիրառվող սովորական դեղաձևի համեմատ։ Այլ հիմնավորման բացակայության դեպքում դեղակինետիկ տվյալներից բացի անհրաժեշտ է ստանալ սույն բաժնի 2-րդ ենթաբաժնում նշված՝ կլինիկական հետազոտությունների լրացուցիչ տվյալներ։
28. Այն դեպքում, երբ մոդիֆիկացված ձերբազատմամբ նոր դեղաձևի դոզավորումը տարբերվում է սովորական ձերբազատմամբ գրանցված դեղաձևի դոզավորումից, այդ տարբերությունը և դոզավորելու հնարավոր ռեժիմների տարբերություններն անհրաժեշտ է հստակորեն նշել դեղապատրաստուկի ընդհանուր բնութագրի, ներդիր թերթիկի և մականշվածքի մեջ։ Անհրաժեշտ է նաև նշել դեղաձևերի այդ դեղաչափերի կիրառման սխալների հետ կապված ռիսկերի նվազեցման առավել կարևոր սովորական միջոցները։ Հայտատուն պետք է հաստատի, որ նոր դեղաձևի օգուտը գերազանցում է տվյալ պատրաստուկին բնորոշ հնարավոր ռիսկերը (օրինակ՝ սխալ կիրառումը)։
29. Նոր դեղապատրաստուկն անհրաժեշտ է բնութագրել էֆեկտիվության (անվտանգության) համապատասխան դեղակինետիկ, դեղադինամիկ և կլինիկական հետազոտություններում՝ դեղաչափերի մեկանգամյա և բազմակի ներմուծման դեպքում։ Որոշ դեպքերում կարող են պահանջվել լրացուցիչ հետազոտություններ (օրինակ՝ եթե մոդիֆիկացված ձերբազատմամբ պատրաստուկը կիրառվում է ներմուծման նոր ուղու միջոցով, ապա անհրաժեշտ է անցկացնել դեղակինետիկ հետազոտություն՝ մետաբոլիկ պրոֆիլի բնութագրերն ստանալու նպատակով)։
30. Մոդիֆիկացված ձերբազատմամբ դեղաձևերի ազդող նյութի հատկությունների որոշման համար թունաբանական, դեղաբանական կամ կլինիկական փորձարկումներ չեն պահանջվում՝ պայմանով, որ մոդիֆիկացված և սովորական ձերբազատմամբ դեղապատրաստուկների կիրառման ժամանակ դիտվում է ազդող նյութի (մետաբոլիտների) միանման ընդհանուր էքսպոզիցիա։
31. Սովորական ձերբազատմամբ գրանցված դեղապատրաստուկը, որը պարունակում է նույն ազդող նյութը, ինչ մոդիֆիկացված ձերբազատմամբ դեղաձևը, համարվում է ռեֆերենտ դեղապատրաստուկ։ Ռեֆերենտ դեղապատրաստուկն օգտագործվում է դեղակինետիկ և թերապևտիկ հետազոտություններում այնքան ժամանակ, քանի դեռ չի պարզվել, որ ռեֆերենտ և հետազոտվող դեղապատրաստուկների միջև տարբերությունները չեն ազդում ձերբազատման և կենսամատչելիության բնութագրերի վրա։
1. Դեղակինետիկ հետազոտությունները
32. Դեղակինետիկ հետազոտությունների նպատակը մոդիֆիկացված ձերբազատմամբ դեղապատրաստուկի in vivo բնութագրման մեջ է՝ որոշելով՝
ա) աբսորբման արագությունն ու աստիճանը.
բ) հավասարակշիռ վիճակում ազդող նյութի կոնցենտրացիայի ֆլուկտուացիան.
գ) դեղակինետիկ հետազոտությունների սուբյեկտների միջև փոփոխականությունը, որը պայմանավորված է դեղապատրաստուկի բաղադրությամբ կամ դրա արտադրության մեթոդով.
դ) դեղապատրաստուկի դեղաչափի համամասնությունը.
ե) մոդիֆիկացված ձերբազատմամբ դեղապատրաստուկի ֆունկցիոնալ բնութագրերի վրա ազդող գործոնները.
զ) ձերբազատման չկանխատեսված բնութագրերի (օրինակ՝ դեղաչափի արագ ձերբազատման) ռիսկը։
33. Դեղակինետիկ հետազոտությունները հիմնված են ազդող նյութի և (կամ) մետաբոլիտի կոնցենտրացիայի չափումների վրա, իսկ որոշ դեպքերում՝ սուր դեղադինամիկ էֆեկտի որոշման հետ համակցությամբ։ Դեղապատրաստուկի բաղադրության՝ դրա կենսադեղագործական հատկությունների վրա էական ազդեցության հետ կապված՝ Եվրասիական տնտեսական հանձնաժողովի խորհրդի 2016 թվականի նոյեմբերի 3-ի թիվ 85 որոշմամբ հաստատված՝ Եվրասիական տնտեսական միության շրջանակներում դեղապատրաստուկների կենսահամարժեքության հետազոտությունների անցկացման կանոններում (այսուհետ՝ Կենսահամարժեքության հետազոտության անցկացման կանոններ) պարունակվող՝ մետաբոլիտների ուսումնասիրմանը ներկայացվող պահանջները չեն կիրառվում։ Անհրաժեշտ է որոշել մետաբոլիտների կոնցենտրացիան, քանի որ աբորբման արագության կամ ներմուծման ուղու փոփոխությունը կարող է փոփոխել մետաբոլիզմի աստիճանն ու ուղին։
34. Դեղակինետիկ հետազոտություններն անցկացվում են առողջ կամավորների մասնակցությամբ կամ (ելնելով անվտանգության նկատառումներից) պացիենտների մասնակցությամբ։
35. Դեղաչափի բազմակի ներմուծմամբ դեղակինետիկ հետազոտություններ անցկացնելիս անհրաժեշտ է հաստատել հավասարակշիռ վիճակին հասնելը։ Այլ հիմնավորման բացակայության դեպքում հավասարակշիռ վիճակին հասնելը որոշվում է նախապես սահմանված առնվազն 3 կոնցենտրացիաների համեմատությամբ՝ մինչև դեղապատրաստուկի յուրաքանչյուր դեղաչափի ներմուծումը։ Դեղաչափի բազմակի ներմուծմամբ դեղակինետիկ հետազոտություններ չեն պահանջվում ազդող նյութի կումուլյացիայի (այսինքն՝ դոզավորման ժամանակահատվածի վերջում մարդու օրգանիզմում դրա ոչ էական պարունակության) բացակայության դեպքում՝ ելնելով սույն պահանջների VI բաժնի 1-ին ենթաբաժնում բերված չափանիշներից։
36. Սննդի զուգընթաց ընդունման առնչությամբ անհրաժեշտ է անցկացնել դեղաչափի բազմակի ներմուծմամբ կենսահամարժեքության հետազոտություն՝ հաշվի առնելով դեղապատրաստուկի ընդհանուր բնութագրում նշված պայմանները՝ մինչև հավասարակշիռ վիճակին հասնելը։ Եթե դեղապատրաստուկի ընդհանուր բնութագրով դեղապատրաստուկի ներմուծման առնչությամբ սահմանվում է սննդի ընդունման որոշակի ժամ (ժամանակի միջակայք), ապա այդ ժամը (ժամանակի միջակայքը) պետք է պահպանվի ամբողջ հետազոտության ընթացքում, այդ թվում՝ դեղակինետիկ պրոֆիլների որոշման օրը։ Եթե դեղապատրաստուկի ընդհանուր բնութագրով խորհուրդ է տրվում դեղապատրաստուկն ընդունել անոթի (առանց սահմանելու ժամանակի սահմաններ) կամ սննդի ընդունումից անկախ, ապա դեղակինետիկ պրոֆիլների որոշման օրն անհրաժեշտ է կիրառել դեղապատրաստուկի անոթի ընդունման վատագույն տարբերակը (օրինակ՝ անոթի առավոտյան և պատրաստուկն ընդունելուց հետո 4 ժամվա ընթացում առանց ուտելիքի)։ Եթե դեղապատրաստուկի ընդհանուր բնութագրով խորհուրդ է տրվում դեղապատրաստուկն ընդունել սնունդն ընդունելուց հետո, ապա ամբողջ հետազոտության ընթացքում՝ ներառյալ դեղակինետիկ պրոֆիլների որոշման օրերը, անհրաժեշտ է ընդունել կալորիաների նորմալ պարունակությամբ սնունդ, եթե սննդի ընդունման այլ պայմաններ սահմանված չեն դեղապատրաստուկի ընդհանուր բնութագրով։
Աբսորբման արագությունն ու աստիճանը, ազդող նյութի ֆլուկտուացիան
37. Մոդիֆիկացված ձերբազատմամբ դեղաձևի ազդող նյութի աբսորբման արագությունը և աստիճանն անհրաժեշտ է գնահատել սովորական ձերբազատմամբ դեղաձևի ազդող նյութի աբսորբման արագության և աստիճանի հետ համեմատելու միջոցով` մեկանգամյա ներմուծումից հետո և բազմակի ներմուծումից հետո`կումուլյացիայի առկայության դեպքում։
Հետազոտվող դեղակինետիկ պարամետրերի շարքին են դասվում՝
դեղաչափի մեկանգամյա ներմուծմամբ հետազոտություններում՝
AUC(0-t),
AUC(0-∞),
AUC(t-∞) (մնացորդային մակերեսը),
Cmax,
tmax,
t1/2,
tlag.
դեղաչափի բազմակի ներմուծմամբ հետազոտությունների համար՝
AUC(0-t),
tmax,ss,
Cmax,ss,
Cmin,ss.
կոնցենտրացիայի ֆլուկտուացիա։
Անհրաժեշտ է հիմնավորել այն դեղակինետիկ պարամետրը (պարամետրերը), որը որպես հիմնական է ընտրվել համեմատության համար, այսինքն՝ այն պարամետրը, որը դիտարկվում է որպես դեղապատրաստուկի արդյունավետությունն ու անվտանգությունն առավել հավանականորեն արտացոլող պարամետր։
38. Անհրաժեշտ է հաստատել, որ մոդիֆիկացված ձերբազատմամբ դեղաձևն ունի ձերբազատման հայտագրված բնութագրերը։ Մոդիֆիկացված ձերբազատմամբ դեղաձևի համար առաջարկվում է օգտագործել «կոնցենտրացիա -ժամանակ» տվյալների դեկոնվոլյուցիա՝ սովորական ձերբազատմամբ համապատասխան դեղաձևի համեմատ՝ մոդիֆիկացված ձերբազատմամբ դեղաձևի համար ժամանակի ընթացքում աբսորբման կումուլյատիվ պրոֆիլի (կամ in vivo ձերբազատման) որոշման նպատակով։ Ձերբազատման հայտագրված բնութագրերի հաստատման համար անհրաժեշտ է օգտագործել կումուլյատիվ աբսորբված քանակը և ժամանակի ընթացքում աբսորբման արագությունը։
39. Դեղաչափի բազմակի ներմուծումից հետո անհրաժեշտ է հետազոտել ազդող նյութի կոնցենտրացիայի ֆլուկտուացիան։ Եթե այլ բան հիմնավորված չէ, ապա մոդիֆիկացված ձերբազատմամբ դեղաձևը պետք է դրսևորի նույնանման կամ ավելի փոքր ֆլուկտուացիաներ՝ սովորական ձերբազատմամբ դեղաձևի համեմատ։
40. Եթե մոդիֆիկացված ձերբազատմամբ դեղաձևը ենթակա է ներմուծման նախկինում սովորական ձերբազատմամբ դեղաձև ստացած պացիենտներին (օրինակ՝ դոզավորման ձևի փոփոխման կամ փոխարկման դեպքում), ապա հավասարակշիռ կոնցենտրացիայի պահպանման համար անհրաժեշտ է նախատեսել հատուկ հրահանգներ՝ դոզավորման այդպիսի փոփոխության կիրառման կամ փոխարկման ընթացքում։
Հետազոտման ենթակա դեղաչափերն ու դոզավորումները
41. Եթե ազդող նյութն ու մոդիֆիկացված ձերբազատմամբ դեղաձևը դրսևորում են գծային դեղակինետիկ հատկություններ, ապա բավական է համեմատել մոդիֆիկացված ձերբազատմամբ դեղաձևը և սովորական ձերբազատմամբ դեղաձևը՝ մեկանգամյա ներմուծումից հետո, և ազդող նյութի կուտակման դեպքում՝ դեղաչափի մեկ մեծության բազմակի ներմուծումից հետո։
42. Եթե ազդող նյութն ու մոդիֆիկացված ձերբազատմամբ դեղաձևը դրսևորում են ոչ գծային դեղակինետիկա (պլազմային կոնցենտրացիայի թերապևտիկ ընդգրկույթում), ապա անհրաժեշտ է համեմատել մոդիֆիկացված ձերբազատմամբ դեղաձևն ու սովորական ձերբազատմամբ դեղաձևն առնվազն՝ ամենամեծ և ամենափոքր դեղաչափերով։ Եթե մոդիֆիկացված և սովորական ձերբազատմամբ դեղաձևերը դրսևորում են ոչ գծայնության տարբեր աստիճաններ, ապա անհրաժեշտության դեպքում կարելի է համեմատել դրանց լրացուցիչ դոզավորումները։
2. Դեղակինետիկ պարամետրերի փոփոխականության հետազոտությունները
43. Սույն ենթաբաժնում նկարագրված՝ դեղաչափերի մեկանգամյա և բազմակի ներմուծմամբ հետազոտությունների ժամանակ անհրաժեշտ է որոշել հետաքրքրություն ներկայացնող դեղակինետիկ պարամետրերի միջանհատական փոփոխականությունը և ըստ այդ չափանիշի՝ համեմատել մոդիֆիկացված և սովորական ձերբազատմամբ դեղաձևերը։ Նախընտրելի է, որ մոդիֆիկացված ձերբազատմամբ դեղաձևի համար փոփոխականությունը չգերազանցի սովորական ձերբազատմամբ դեղաձևի համար փոփոխականությունը, եթե միայն փոփոխականության այդ գերազանցումը հիմնավորված չէ հնարավոր կլինիկական հետևանքների տեսանկյունից։
3. Դոզավորումների համամասնության հետազոտությունը
44. Ցանկալի դեղաչափին հասնելու նպատակով մի քանի դոզավորումների առկայության կամ մոդիֆիկացված ձերբազատմամբ դեղաձևի մի քանի միավորների միաժամանակյա ընդունման հնարավորության դեպքում անհրաժեշտ է հետազոտել մոդիֆիկացված ձերբազատմամբ դեղաձևի տարբեր դոզավորումների կամ ընդունվող դեղաչափերի համամասնությունը: Դեղաչափի համամասնությունն անհրաժեշտ է գնահատել դեղաչափերի մեկանգամյա ներմուծմամբ և ազդող նյութի կուտակման դեպքում՝ բազմակի ներմուծմամբ հետազոտության միջոցով, որի ժամանակ դեղաչափի ճշգրտումից հետո համեմատվում են բոլոր դոզավորումների (դեղաչափերի)՝ հետաքրքրություն ներկայացնող դեղակինետիկ պարամետրերը: Այդ դեպքում կիրառելի չեն AUC-ի և ընդունելիության 25 % ընդգրկույթի վրա հիմնված՝ դեղաչափի համամասնության չափանիշները, որոնք բերված են Կենսահամարժեքության հետազոտությունների անցկացման կանոններում, քանի որ դրանք կիրառելի են միայն կենսահամարժեքության հետազոտություններում դոզավորման ընտրության նկատմամբ:
4. Մոդիֆիկացված ձերբազատմամբ դեղապատրաստուկի ֆունկցիոնալ բնութագրերի վրա ազդող հիմնական գործոնները
Սնունդը
45. Դեղաչափի մեկանգամյա ներմուծմամբ դեղակինետիկ հետազոտության ժամանակ անհրաժեշտ է հետազոտել սննդի ազդեցությունը մոդիֆիկացված ձերբազատմամբ դեղաձևերի կենսամատչելիության վրա։ Դեղաձևրի կենսամատչելիության վրա սննդի ազդեցության մոդելավորման համար օպտիմալ փորձարարական պայմանները ներառում են նախապես որոշված՝ ճարպի բարձր պարունակությամբ բարձր կալորիականություն ունեցող սննդի ընդունումն անմիջապես դեղապատրատուկի ընդունումից առաջ։ Խորհուրդ է տրվում, որ սուբյեկտներն սկսեն սնունդն ընդունել դեղապատրաստուկի ընդունումից 30 րոպե առաջ և սննդի ընդունումն ավարտեն 30 րոպեի ընթացքում։ Սննդի մեկանգամյա ընդունման համար նախատեսված ճաշացանկը պետք է ապահովի՝
բարձր քանակությամբ ճարպերի ստացումը (օրական սննդակարգում կալորիաների ընդհանուր պարունակության մոտավորապես 50 %-ը).
բարձր կալորիականությունը (800-ից մինչև 1000 կիլոկալորիա).
սպիտակուցների օգտագործման հաշվին՝ 150 կիլոկալորիայի, ածխաջրերի օգտագործման հաշվին՝ 250 կիլոկալորիայի, և ճարպերի օգտագործման հաշվին՝ 500-600 կիլոկալորիայի ստացումը։
Հետազոտության վերաբերյալ հաշվետվության մեջ անհրաժեշտ է նկարագրել սննդի բաղադրությունը՝ դրանում սպիտակուցների, ածխաջրերի և ճարպերի պարունակության մասով՝ գրամներով, նշել կալորիաների բացարձակ և հարաբերական (տոկոսներով) պարունակությունը։
46. Մոդիֆիկացված ձերբազատմամբ դեղաձևի ֆունկցիոնալ բնութագրերի վրա սննդի ազդեցության հետազոտության անցկացման պլանավորումը կախված է այլ անցկացված հետզոտություններից, որոնց ժամանակ մոդիֆիկացված ձերբազատմամբ դեղաձևը համեմատվել է սովորական ձերբազատմամբ դեղաձևի հետ, ինչպես նաև կախված է սովորական ձերբազատմամբ դեղաձևի վրա սննդի՝ կլինիկորեն նշանակալի ազդեցության առկայությունից։
47. Եթե սնունդը կլինիկորեն նշանակալի ազդեցություն չի ունենում սովորական ձերբազատմամբ դեղաձևի վրա, ապա բավական է անցկացնել մոդիֆիկացված ձերբազատմամբ դեղաձևի կրկնակի խաչաձև համեմատական հետազոտություն անոթի և սնունդ ընդունելուց հետո՝ պայմանով, որ մնացած դեղակինետիկ հետազոտություններում մոդիֆիկացված ձերբազատմամբ դեղաձևը համեմատվել է սովորական ձերբազատմամբ դեղաձևի հետ՝ անոթի վիճակում։
48. Մոդիֆիկացված ձերբազատմամբ դեղաձևի վրա սննդի՝ կլինիկորեն նշանակալի ազդեցության առկայության դեպքում, յուրաքանչյուր դեղաձևի վրա սննդի ազդեցության քանակական որոշման համար նպատակահարմար է անցկացնել խաչաձև դեղակինետիկ հետազոտություն 4 խմբում ու համեմատել անոթի և սնունդ ընդունելուց հետո մոդիֆիկացված ձերբազատմամբ դեղաձևն ու անոթի և սնունդ ընդունելուց հետո սովորական ձերբազատմամբ դեղաձևը։
49. Մոդիֆիկացված ձերբազատմամբ դեղաձևի մի քանի դոզավորումների առկայության դեպքում դեղաձևի կենսադեղագործական բնութագրերի վրա սննդի ազդեցությունը կարող է հետազոտվել դոզավորումներից մեկի համար՝ միայն բոլոր հետևյալ պայմանները կատարելու դեպքում՝
դոզավորումները համամասնական են ըստ բաղադրության (օրինակ՝ բազմամիավոր դեղաձևեր են կամ ըստ բաղադրության՝ համամասնական հաբեր են).
դոզավորումներն ունեն արտադրության նույնանման պրոցես.
դոզավորումներն ունեն գծային դեղակինետիկա.
մոդիֆիկացված ձերբազատմամբ դեղաձևի յուրաքանչյուր դեղաչափի լուծման պրոֆիլները նույնանման են լուծման մի շարք միջավայրերում։
Եթե մշակման ծրագրում ներկայացված չէ հետազոտության համար այլ դոզավորման ընտրության հիմնավորումը, ապա ազդող նյութի ձերբազատման վրա սննդի ազդեցության ուսումնասիրմամբ հետազոտությունն անհրաժեշտ է անցկացնել մոդիֆիկացված ձերբազատմամբ դեղաձևի սանդղակում առավելագույն դոզավորմամբ։
Վերոնշյալ պայմանները չկատարելու դեպքում անհրաժեշտ է հետազոտել ազդող նյութի ձերբազատման վրա սննդի ազդեցությունը ամենամեծ և ամենափոքր դոզավորումների համար կամ անցկացնել սահմանային տարբերակների ընտրության մեթոդի կիրառմամբ հետազոտություն (bracketing)։
50. Ազդող նյութի ձերբազատման վրա սննդի ազդեցության գնահատում կատարելիս՝ բացի AUC-ի և Cmax-ի հաշվարկից՝ հարկավոր է նաև համեմատել ազդող նյութի մոդիֆիկացված ձերբազատման որակական բնութագրերը՝ դեղաձևի դոզավորումների ամբողջ սանդղակի համար «կոնցենտրացիա-ժամանակ» պրոֆիլների ձևի նմանությունն ստուգելու միջոցով, և հաստատել դրանց փոփոխության ոչ էական լինելը։
51. Անհրաժեշտ է վերլուծել այն, թե կլինիկորեն որքան նշանակալի է սննդի ազդեցությունը մոդիֆիկացված ձերբազատմամբ դեղաձևի ազդող նյութի ձերբազատման վրա՝ դրա անվտանգության և արդյունավետության փոփոխության մասով։ Անհրաժեշտության դեպքում՝ դեղապատրաստուկի մասին տեղեկատվության մեջ բերվում են դեղապատրաստուկն ընդունելու վերաբերյալ հանձնարարականները՝ սննդի ընդունման մասով։ Դեղապատրաստուկի դոզավորման վերաբերյալ հանձնարարականները հիմնավորելու համար կարող է պահանջվել լրացուցիչ հետազոտությունների անցկացում այլ տեսակի սննդով կամ դեղապատրաստուկի՝ սնունդն ընդունելուց առաջ և հետո որոշակի ժամանակահատվածներում ընդունման դեպքում։
52. Եթե դեղապատրաստուկի մշակման ժամանակ դրա բաղադրությունը և (կամ) արտադրության պրոցեսը փոփոխվում են այնպես, որ դա կարող է պոտենցիալ կերպով փոփոխել ազդող նյութի ձերբազատման բնութագրերը, ապա կարող է պահանջվել դեղապատրաստուկի փոփոխված այդ դեղաձևից ազդող նյութի ձերբազատման վրա սննդի ազդեցության կրկնակի գնահատում։
53. Որոշ բազմամիավոր դեղաձևերի դեղապատրաստուկի մասին տեղեկատվության մեջ կարող է նշվել, որ այդ պատրաստուկը կարող է բացվել և պելետները (հատիկները), օրինակ, կարող են ընդունվել փափուկ տեսակի սննդի հետ, դիսպերսվել մեկ բաժակ չգազավորված ջրում, և դրանք կարելի է կուլ տալ առանց ծամելու կամ ներմուծել ստամոքսային զոնդի միջոցով։ Դեղապատրաստուկի ներմուծման այդպիսի լրացուցիչ եղանակի մասին տեղեկատվության ավելացման համար անհրաժեշտ է անցկացնել in vitro կայունության և լուծման մասով լրացուցիչ փորձարկումներ, որոնցով հաստատվում է չբացված և բացված դեղաձևերի համարժեքությունը։ Անհրաժեշտ է հիմնավորել ներմուծման լրացուցիչ եղանակները նմանակող՝ կենսահամարժեքության հետազոտությունների բացակայությունը։
Աղեստամոքսային տրակտի ֆունկցիան
54. Եթե ենթադրվում է ներքին ընդունման մոդիֆիկացված ձերբազատմամբ դեղապատրաստուկը կիրառել աղեստամոքսային տրակտի ֆունկցիաների վրա ազդող այլ դեղապատրաստուկների (օրինակ՝օփիոիդների) հետ միասին, ապա անհրաժեշտ է հետազոտել ներքին ընդունման մոդիֆիկացված ձերբազատմամբ դեղաձևի ֆունկցիոնալ բնութագրերը՝ այլ դեղապատրաստուկների հետ համատեղ կիրառման պայմաններում։
55. Եթե ներքին ընդունման մոդիֆիկացված ձերբազատմամբ դեղապատրաստուկը նախատեսված է աղեստամոքսային տրակտի ֆունկցիայի արտահայտված խախտումներով ուղեկցվող հիվանդություններ ունեցող պացիենտների կողմից կիրառվելու համար, ապա այդ դեղապատրաստուկի կենսադեղագործական հատկությունները պետք է լրացուցիչ ուսումնասիրվեն պացիենտների այդ խմբի մոտ։
Ձերբազատման չկանխատեսված բնութագրերը
56. Մոդիֆիկացված ձերբազատմամբ դեղաձևում պարունակվող ազդող նյութի ամբողջ քանակության կամ դրա զգալի մասի չկանխատեսված արագ ձերբազատումը կոչվում է «դեղաչափի արագ ձերբազատում (դեղաչափի արտանետում)»։ Կախված դեղապատրաստուկի ազդող նյութի կիրառման ցուցումներից և թերապևտիկ ընդգրկույթից՝ դեղաչափի արագ ձերբազատումը կարող է էական ռիսկ առաջացնել պացիենտների համար՝ այդ դեղապատրաստուկի անվտանգության նվազման և (կամ) արդյունավետության պակասեցման պատճառով։
57. Անհրաժեշտ է բացառել չկանխատեսված ձերբազատման առաջացման ռիսկը, որը հանգեցնում է մոդիֆիկացված ձերբազատմամբ դեղաձևերի չնախատեսված էքսպոզիցիայի։ Եթե դիտվում է մոդիֆիկացված ձերբազատման անհամապատասխան պրոֆիլով դեղապատրաստուկի ավելի բարձր առավելագույն էքսպոզիցիա, կամ ենթադրվում է ազդող նյութի դեղաչափի արագ ձերբազատում (օրինակ՝ հետազոտության որոշ սուբյեկտների մոտ ստամոքսի թթվային միջավայրում կայուն դեղաձևի մեջ անկայուն ազդող նյութի կոնցենտրացիայի բացակայությունը), ապա անհրաժեշտ է լրամշակել դեղապատրաստուկի բաղադրությունը և (կամ) լրամշակել դրա արտադրության մեթոդը՝ դեղաձևի այդպիսի կենսադեղագործական թերությունը կանխելու համար։
58. Ավելի բարձր առավելագույն էքսպոզիցիան կարող է դիտվել երկարաձգած ձերբազատմամբ դեղապատրաստուկների մոտ՝ ավելի երկարատև ժամանակահատվածում ստամոքսում ազդող նյութի ձերբազատման հետևանքով (օրինակ՝ ստամոքսի դանդաղեցված դատարկման դեպքում)՝ միայն ստամոքսի պարունակությունը դատարկվելուց հետո ազդող նյութի ձերբազատված դեղաչափի հետագա աբսորբմամբ։ Քանի որ դեղապատրաստուկի ազդող նյութի էքսպոզիցիայի այդպիսի չկանխատեսված բարձրացումը պայմանավորված չէ անվերահսկելի ձերբազատմանը հանգեցնող՝ այդ դեղապատրաստուկի ոչ պատշաճ որակով, ապա դեղապատրաստուկն ստամոքսում երկարատև գտնվելուց խուսափելու համար անհրաժեշտ է հանձնարարականներ տալ այդ դեղապատրաստուկի դոզավորման, օրինակ՝ սննդի ընդունման հետ հարաբերակցության վերաբերյալ։
Ալկոհոլի ազդեցությունը
59. Ներքին ընդունման մոդիֆիկացված ձերբազատմամբ որոշ դեղաձևեր պարունակում են ազդող և (կամ) օժանդակ նյութեր, որոնք ավելի լավ են լուծվում սպիրտային լուծույթներում, քան ջրում։ Ալկոհոլային խմիչքների և այդպիսի դեղապատրաստուկների միաժամանակյա օգտագործումը կարող է հանգեցնել ազդող նյութի դեղաչափի արագ ձերբազատմանը։ Այդպիսի դեղաձևերի համար անհրաժեշտ է անցկացնել in vitro ազդող նյութի ձերբազատման հետազոտություններ սպիրտային լուծույթներում։ Եթե կարճ ժամանակի ընթացքում՝ սպիրտի բարձր կամ ցածր կոնցենտրացիաների դեպքում, կամ երկարատև ժամանակի ընթացքում՝ սպիրտի ցածր կոնցենտրացիաների դեպքում նկատվում է in vitro ազդող նյութի արագացված ձերբազատում, ապա անհրաժեշտ է փոխել դեղաձևի բաղադրությունը և (կամ) արտադրության մեթոդը։ Միայն եթե առկա է այն հիմնավորումը, որ in vitro ալկոհոլի հետ դեղապատրաստուկի ազդող նյութի փոխազդեցությունը հնարավոր չէ կանխել դեղաձևի բաղադրության և (կամ) արտադրության մեթոդի փոփոխությամբ, ապա դեղապատրաստուկի համար ալկոհոլի հետ այդ փոխազդեցության բացակայության հիմնավորումը թույլատրվում է կատարել in vivo հետազոտությունների տեսքով։
60. Դեղապատրաստուկից ազդող նյութի դեղաչափի՝ ալկոհոլի միջոցով հարուցված արագ ձերբազատման in vivo հետազոտություն անցկացնելիս անհրաժեշտ է համեմատել այդ ազդող նյութի համակարգային էքսպոզիցիան այն պայմաններում, երբ մոդիֆիկացված ձերբազատմամբ դեղապատրաստուկը մարդու կողմից ընդունվում է անոթի՝ ալկոհոլային խմիչքի նախապես որոշված դոզայի հետ միասին։ Հետազոտության արդյունքների վերաբերյալ հաշվետվության մեջ անհրաժեշտ է ներկայացնել համակարգային էքսպոզիցիայի խմբային միջին արժեքի փոփոխության կլինիկորեն նշանակալիության, ինչպես նաև դեղապատրաստուկի ազդող նյութի համակարգային էքսպոզիցիայի դիտվող անհատական հարաբերությունների կլինիկորեն նշանակալիության գնահատականը՝ հետազոտության սուբյեկտներից յուրաքանչյուրի կողմից ալկոհոլի հետ միասին և առանց ալկոհոլի այն ընդունելու դեպքում։
61. Եթե բարձր է in vivo ազդող նյութի դեղաչափի էական արագ ձերբազատման հավանականությունը, որից հնարավոր չէ խուսափել դեղաձևի բաղադրության և (կամ) արտադրության մեթոդի փոփոխման միջոցով, ապա անհրաժեշտ է մանրակրկիտ գնահատել դեղապատրաստուկի «օգուտ-ռիսկ» հարաբերակցությունը։ Դեղապատրաստուկի կիրառման հակացուցումների մեջ ալկոհոլի օգտագործման սահմանափակումների մասին տեղեկատվությունը՝ ալկոհոլի հետ դեղապատրաստուկի փոխազդեցության կանխման պատշաճ միջոց չէ։ Ալկոհոլի հետ դեղապատրաստուկի փոխազդեցության տեսակի մասին տեղեկատվությունը պետք է նշվի դեղապատրաստուկի մասին տեղեկատվության մեջ (եթե այդպիսի փոխազդեցությունը հանգեցնում է էֆեկտի՝ կլինիկորեն նշանակալի պոտենցմանը կամ վնասակար գումարային էֆեկտին)։ Դեղապատրաստուկի մասին տեղեկատվության մեջ պետք է նաև նշված լինեն սպիրտ պարունակող մթերքի ընդունման հետ կապված այլ նախազգուշական միջոցներ։ Այդպիսի դեղապատրաստուկի գրանցման դոսյեի ձևավորման ժամանակ դրա կազմում պետք է ներառվեն ալկոհոլի հետ դեղապատրաստուկի անցանկալի փոխազդեցությունը կանխելու հետ կապված՝ ռիսկերի կառավարման տարբեր ռազմավարությունների վերլուծության արդյունքները։
5. Մոդիֆիկացված ձերբազատմամբ դեղաձևի ֆունկցիոնալ բնութագրերի վրա ազդող այլ գործոններ Դեղապատրաստուկի կիրառումը պացիենտների հատուկ խմբերում
62. Օրական 1 անգամ ընդունելու համար ներքին ընդունման մոդիֆիկացված ձերբազատմամբ դեղապատրաստուկներ մշակելիս անհրաժեշտ է հաշվի առնել կենդանական ծագման սնունդ չօգտագործող պացիենտների, երեխաների և տարեց պացիենտների, ինչպես նաև կանոնավոր կերպով անտացիդներ ընդունող պացիենտների տարբեր ֆիզիոլոգիական գործոնները (օրինակ՝ աղեստամոքսային տրակտով սննդի անցնելու ժամանակը, pH-ի արժեքը, սննդի ընդունման հաճախականությունը և սննդի տեսակը):
Դեղապատրաստուկի ներմուծման (զետեղման) տեղի ազդեցությունը պլազմայում ազդող նյութի կոնցենտրացիայի վրա
63. Եթե մոդիֆիկացված ձերբազատմամբ դեղապատրաստուկի ներմուծումը ենթադրվում է մի քանի ուղիներով կամ այն կարող է զետեղվել մարդու մարմնի տարբեր հատվածների վրա, ապա գրանցման դոսյեի կազմում հարկավոր է ներառել ազդող նյութի աբսորբման ուսումնասիրության արդյունքները՝ այդպիսի դեղապատրաստուկների ներմուծման տարբեր ուղիների դեպքում, ինչպես նաև դեղապատրաստուկի ընդհանուր բնութագրում առաջարկվող` ներարկումների կատարման կամ սպեղանիների ապլիկացիայի տեղերում: Մոդիֆիկացված ձերբազատմամբ դեղապատրաստուկի ներմուծման կամ ապլիկացիայի յուրաքանչյուր տեղի համար անհրաժեշտ է գնահատել դեղապատրաստուկի կիրառման անվտանգությունը և տանելիությունը:
64. Գրանցման դոսյեում անհրաժեշտ է ներկայացնել այն հետազոտությունների արդյունքները, որոնցով հաստատվում է, որ ենթամաշկային (միջմկանային) ուղու միջոցով ներմուծվող մոդիֆիկացված ձերբազատմամբ դեղաձևերով դեղապատրաստուկների և վերմաշկային սպեղանիների համար պլազմայի մեջ ազդող նյութի կոնցենտրացիաները դեղապատրաստուկի հերթական ներմուծումից (վերմաշկային սպեղանու ապլիկացիայից) առաջ մնում են թերապևտիկ տիրույթում, ինչպես նաև անհրաժեշտ է ներկայացնել արյան պլազմայում դեղապատրաստուկի ազդող նյութի կոնցենտրացիայի նվազման ուսումնասիրության արդյունքները՝ ենթամաշկային (ներմկանային դեպոյից) դեղապատրաստուկը կամ վերմաշկային սպեղանին հեռացնելուց հետո:
Մոդիֆիկացված ձերբազատմամբ դեղապատրաստուկի ազդող նյութի բազմաֆազ ձերբազատումը
65. Գոյություն ունեն մոդիֆիկացված ձերբազատմամբ դեղապատրաստուկներ, որոնք մշակվել են բացառապես այն նպատակով, որպեսզի դրանց մեկանգամյա ընդունման ժամանակ վերարտադրվի սովորական դեղապատրաստուկը օրական 3 կամ 4 անգամ ընդունելիս դոզավորման սխեմային համապատասխանող` ազդող նյութի ձերբազատումը: Մոդիֆիկացված ձերբազատմամբ այդպիսի դեղապատրաստուկների համար «ազդող նյութի պլազմային կոնցենտրացիա-ժամանակ» պրոֆիլը օրական մեկանգամյա կիրառումից հետո պետք է համարժեք լինի օրվա ընթացքում դոզավորման սովորական ռեժիմով կիրառված սովորական ձերբազատմամբ դեղաձևով դեղապատրաստուկից ազդող նյութի ձերբազատման պրոֆիլին: «Ազդող նյութի պլազմային կոնցենտրացիա-ժամանակ» այդ պրոֆիլների անհամարժեքության դեպքում պահանջվում է մոդիֆիկացված ձերբազատմամբ դեղապատրաստուկի և սովորական դեղաձևով դեղապատրաստուկի համադրելի էֆեկտիվության և (կամ) անվտանգության հաստատում՝ լրացուցիչ կլինիկական տվյալներով:
Ստամոքսում դեղապատրաստուկի գտնվելու ժամանակի ավելացումը
66. Ստամոքսի մեջ չտրոհվող մեկ միավորից դեղաձևով դեղապատրաստուկից ստամոքսի դատարկումը կարող է լինել ավելի դանդաղ և տարբերվել ըստ ժամանակի` պատրաստուկի մեկ ընդունումից մինչև մյուս ընդունումը: Դեղաձևի՝ աղելույծ պատվածք ունեցող և հետաձգված ձերբազատմամբ դեղապատրաստուկների համար դա հանգեցնում է անկանխատեսելի հետևանքների: Եթե դեղապատրաստուկը պարունակում է թթվազգայուն ազդող նյութ և դրա ձերբազատումը տեղի է ունենում մինչև ստամոքսի դատարկումը, դա կարող է հանգեցնել ազդող նյութի դեգրադացիայի` «պլազմային կոնցենտրացիա-ժամանակ» պրոֆիլների առաջացմամբ, որոնք չեն արտացոլում դեղապատրաստուկի ազդող նյութի աբսորբման և էլիմինացման իրական պրոցեսը: Բացի այդ` ազդող նյութի ձերբազատումը կարող է էականորեն դանդաղել` ստամոքսում երկարատև գտնվելու հետևանքով: Այդ իսկ պատճառով հետազոտություններում նմուշառման ժամանակահատվածը պետք է ընտրվի այնպես, որ թույլ տա՝
ստանալ ազդող նյութի չափելի կոնցենտրացիաները (հաշվի առնելով ոչ միայն ազդող նյութի կիսադուրսբերման փուլը, այլ նաև նման էֆեկտի հնարավոր առաջացումը).
հետազոտության մասին հաշվետվության մեջ նկարագրել ստամոքսի դանդաղեցված դատարկման ազդեցությունը մոդիֆիկացված ձերբազատմամբ դեղապատրաստուկից ազդող նյութի ձերբազատման պրոցեսի վրա:
6. Մոդիֆիկացված ձերբազատմամբ դեղապատրաստուկների թերապևտիկ հետազոտությունները
67. Եթե մոդիֆիկացված ձերբազատմամբ դեղապատրաստուկների մշակումն իրականացվում է սովորական ձերբազատմամբ դեղաձևի մշակումից հետո և մոդիֆիկացված ձերբազատմամբ դեղապատրաստուկների մշակման ծրագրում ու գրանցման դոսյեում ներկայացված չէ համեմատական հետազոտություններ կատարելուց հրաժարվելու պատշաճ հիմնավորումը, ապա ի լրումն դեղակինետիկ տվյալների, անհրաժեշտ է ներկայացնել դեղապատրաստուկի համեմատական կլինիկական էֆեկտիվության և անվտանգության տվյալները: Քանի որ սովորական ձերբազատմամբ դեղաձևով դեղապատրաստուկների էֆեկտիվությունն ու անվտանգությունը հայտնի են, ուստի երկու դեղաձևերի կլինիկական էֆեկտիվության և անվտանգության նման համեմատության հիմնական խնդիրը հաստատելն է, որ մոդիֆիկացված ձերբազատմամբ նոր դեղաձևը նույնչափ անվտանգ ու էֆեկտիվ է, ինչ չմոդիֆիկացված ձերբազատմամբ գրանցված դեղաձևը: Մշակման ծրագրում և գրանցման դոսյեում անհրաժեշտ է ներկայացնել մոդիֆիկացված ձերբազատմամբ դեղաձևի հայտագրված լրացուցիչ առավելությունները հաստատող կամ հիմնավորող տեղեկություններ և տվյալներ:
68. Բացառիկ դեպքերում, երբ «կոնցենտրացիա-էֆեկտ» կախվածության գնահատումը ցույց է տալիս, որ ազդող նյութի պլազմային կոնցենտրացիայի (ակտիվ մետաբոլիտի (մետաբոլիտների)) և կլինիկական պատասխանի միջև գոյություն ունի հստակ կախվածություն, թույլատրվում է չանկացնել կլինիկական հետազոտություններ: Այս դեպքում էֆեկտիվության և անվտանգության նույն կամ բարելավված աստիճանը կարելի է հաստատել դեղակինետիկ-դեղադինամիկ հետազոտությունների արդյունքներով:
69. Մոդիֆիկացված ձերբազատմամբ դեղապատրաստուկների համար դեղակինետիկ-դեղադինամիկ կախվածությունը գնահատելիս անհրաժեշտ է գնահատել տվյալ դեղաձևով և սովորական (չմոդիֆիկացված) դեղաձևով դեղապատրաստուկի` էֆեկտիվության և անվտանգության վրա ազդեցության տարբերությունները, որոնք պայմանավորված են ազդող նյութի աբսորբման արագության և ազդող նյութի կոնցենտրացիայի ֆլուկտուացիաների միջև տարբերություններով: Անհրաժեշտ է պարզել «կոնցենտրացիա-էֆեկտ» կախվածությունը և որոշել «հավասարակշիռ կոնցենտրացիա-ժամանակ» պրոֆիլների միջև տարբերությունների վիճակագրական և կլինիկորեն նշանակալիությունը` մոդիֆիկացված ձերբազատմամբ դեղապատրաստուկի կիրառման ռեժիմի և սովորական ձերբազատմամբ դեղաձևով՝ գրանցված դեղապատրաստուկի կիրառման ռեժիմի համար: Անհրաժեշտ է նաև հետազոտել ազդող նյութի էքսպոզիցիայով, կոնցենտրացիայով, աբսորբման արագությամբ և ֆլուկտուացիայով պայմանավորված թերապևտիկ և տոքսիկ էֆեկտների տանելիությունը:
Թերապևտիկ հետազոտություններ անցկացնելուց հրաժարվելը
70. Թույլատրվում է չանցկացնել թերապևտիկ հետազոտություններ այն դեպքում, եթե կատարվում է հետևյալ պայմաններից առնվազն մեկը`
ա) հաստատված է ռեֆերենտ և հետազոտվող պատրաստուկների կենսահամարժեքությունն ըստ Cmax,ss, Cmin,ss և AUC(0-Ժ)ss դեղակինետիկ պարամետրերի` մոդիֆիկացված ձերբազատմամբ նոր դեղապատրաստուկի համար, որը մշակվել է ձերբազատման այլ մեխանիզմով դեղապատրաստուկի ֆունկցիոնալ բնութագրերը և դոզավորման ռեժիմը նմանակելու նպատակով (օրինակ` ձերբազատման տարբեր տևողությամբ պելլետներ (հատիկներ) պարունակող բաբախող բազմաֆազային ձերբազատմամբ դեղաձևով).
բ) հաստատված է ռեֆերենտ և հետազոտվող պատրաստուկների կենսահամարժեքությունն ըստ Cmax,ss, Cmin,ss և AUC(0-Ժ)ss դեղակինետիկ պարամետրերի (չնայած «պլազմային կոնցենտրացիա-ժամանակ» պրոֆիլի գրաֆիկական տեսքի մեջ տարբերությունների), եթե հնարավոր է հիմնավորել («էքսպոզիցիա-պատասխան» կախվածության և «ձև-պատասխան» պրոֆիլի վերլուծության հիման վրա), որ պրոֆիլի ձևի մեջ տարբերությունը նշանակալի չէ դեղապատրաստուկի էֆեկտիվության և անվտանգության համար.
գ) դեղապատրաստուկի համար սահմանվել է հետևյալ պայմանների զուգակցումը`
գոյություն ունի դեղապատրաստուկի անվտանգության և էֆեկտիվության հստակ արտահայտված թերապևտիկ պատուհան,
հայտնի է, որ համակարգային արյան հոսքի մեջ դեղապատրաստուկի ազդող նյութի ներթափանցման արագությունը չի ազդում դրա անվտանգության և էֆեկտիվության պրոֆիլի վրա, ինչպես նաև դեղապատրաստուկի նկատմամբ տոլերանտության զարգացման ռիսկի վրա,
հաստատված է ռեֆերենտ և հետազոտվող պատրաստուկների կենսահամարժեքությունը՝ ըստ AUC(0-Ժ)ss դեղակինետիկ պարամետրի,
պարզվել է, որ մոդիֆիկացված ձերբազատմամբ նոր դեղապատրաստուկի Cmax,ss-ը փոքր կամ համարժեք է գրանցված դեղապատրաստուկի Cmax,ss-ին, բայց միևնույն ժամանակ մոդիֆիկացված ձերբազատմամբ դեղապատրաստուկի Cmin,ss-ը բարձր կամ համարժեք է գրանցված դեղապատրաստուկի Cmin,ss-ին:
Թերապևտիկ հետազոտությունների պլանավորումը
71. Մոդիֆիկացված ձերբազատմամբ դեղապատրաստուկի համեմատական հետազոտություններն անհրաժեշտ է պատշաճորեն պլանավորել և անցկացնել` սովորական ձերբազատմամբ գրանցված դեղապատրաստուկի համեմատ մոդիֆիկացված ձերբազատմամբ դեղապատրաստուկի թերապևտիկ էֆեկտի և անցանկալի էֆեկտների ինտենսիվությունն ու տևողությունը գնահատելու համար: Հետազոտությունների ժամանակ անհրաժեշտ է պարզել սովորական ձերբազատմամբ դեղաձևով գրանցված դեղապատրաստուկի նկատմամբ մոդիֆիկացված ձերբազատմամբ նոր դեղապատրաստուկի կլինիկորեն նշանակալի առավելությունը` եթե նման հատկություններ հայտագրված են: Հետազոտությունները պլանավորելիս անհրաժեշտ է հաշվի առնել հետևյալ գործոնները`
ա) դեղամիջոցների որոշակի թերապևտիկ դասերի էֆեկտիվությունն ու անվտանգությունը գնահատելիս նախատեսել մոդիֆիկացված ձերբազատմամբ դեղապատրաստուկի էֆեկտների գնահատման կատարում՝ ընդունելուց հետո 24 ժամվա ընթացքում և, առանձին` հերթական դեղաչափն ընդունելու միջև միջակայքի վերջում (օրինակ`անալգետիկ միջոցների հետազոտության ժամանակ ցավի արտահայտվածության գնահատումը` ցավի դեղաբանական հսկողության կորստի հետ կապված).
բ) միմյանցից տարբերվող շեմային դեղաչափեր ունեցող դեղապատրաստուկների մի քանի էֆեկտներ գնահատելիս`
թերապևտիկ ազդեցությունը պետք է քանակապես գնահատվի դեղապատրաստուկների այն դեղադինամիկ կամ կլինիկական էֆեկտների հիման վրա, որոնք ընդունվել են որպես էֆեկտիվության գնահատման չափանիշներ՝ դեղամիջոցների դիտարկվող թերապևտիկ դասի համար.
մոդիֆիկացված ձերբազատմամբ դեղապատրաստուկի էֆեկտիվության և անվտանգության ցուցանիշների արտարկումը չհետազոտված ցուցումներին թույլատրվում է բացառիկ դեպքերում (եթե այն պատշաճորեն հիմնավորված է հայտատուի կողմից)` կիրառման ցուցումների տվյալ խմբում դեղամիջոցի միանման ազդեցության մեխանիզմի առկայության դեպքում.
անհրաժեշտ է կատարել անվտանգության մասով հետազոտություններ այն դեպքերում, երբ երկարաձգված թերապևտիկ ազդեցությունը կարող է վատթարացնել դեղապատրաստուկի անվտանգության պրոֆիլը` երկարատև կիրառման դեպքում:
72. Այն կլինիկական հետազոտությունները, որոնցում հաստատվում է ազդող նյութի էքսպոզիցիաների հավասարությունը մոդիֆիկացված ձերբազատմամբ դեղապատրաստուկի և սովորական ձերբազատմամբ դեղաձևով դեղապատրաստուկի կիրառումից հետո, կարող են կատարվել մոդիֆիկացված ձերբազատմամբ դեղապատրաստուկի ոչ պակաս թերապևտիկ էֆեկտիվությունը կամ համարժեքությունը հաստատելու համար: Ցանկացած կլինիկական հետազոտություն պլանավորելիս և վերլուծելիս հարկավոր է հաշվի առնել Եվրասիական տնտեսական հանձնաժողովի կողմից ընդունվող՝ կլինիկական հետազոտություններում կենսավիճակագրության կիրառման սկզբունքների վերաբերյալ ձեռնարկի ցուցումները:
73. Մոդիֆիկացված ձերբազատմամբ հետազոտվող դեղապատրաստուկը ռեֆերենտ դեղապատրաստուկի հետ համեմատելիս դեղադինամիկ կամ կլինիկական հետազոտությունների տեսակի ընտրությունը (համարժեքության հաստատման հետազոտությունը կամ ոչ պակաս էֆեկտիվության հետազոտությունը) որոշվում է՝ ելնելով գնահատվող էֆեկտի կամ անվտանգության ցուցանիշի տեսակից: Եթե դեղապատրաստուկի էֆեկտիվությունն ու անվտանգությունը սերտորեն կապված են, ապա անհրաժեշտ է կատարել համարժեքության հետազոտություն` հաստատելու, որ հետազոտվող էֆեկտը գտնվում է համարժեքության սահմանների շրջանակներում: Եթե չի ենթադրվում, որ մոդիֆիկացված ձերբազատմամբ հետազոտվող դեղապատրաստուկի և սովորական դեղաձևով ռեֆերենտ դեղապատրաստուկի անվտանգությունը տարբերվելու է, ապա թույլատրվում է ուսումնասիրել միայն էֆեկտիվության ցուցանիշները` կատարելով ոչ պակաս էֆեկտիվության հետազոտություններ:
74. Անհրաժեշտ հետազոտությունների տեսակի ընտրությունը կախված է հետևյալ գործոններից`
համապատասխան դեղադիամիկ սահմանային կետերը որոշելու հնարավորությունից.
դեղապատրաստուկի դեղադինամիկ մարկերների և կլինիկական էֆեկտիվության միջև կախվածության մասին տվյալների առկայությունից.
անալիզի անհրաժեշտ զգայունությունը ապահովելու հնարավորությունից.
ոչ պակաս էֆեկտիվության սահմանները կամ համարժեքության սահմանները որոշելու հնարավորությունից:
75. Համարժեքության և ոչ պակաս էֆեկտիվության նման հետազոտություններում` մոդիֆիկացված ձերբազատմամբ դեղապատրաստուկ և սովորական ձերբազատմամբ դեղաձևով դեղապատրաստուկ ընդունելուն լրացուցիչ կարող է ավելացվել պլացեբո պատրաստուկի ընդունումը: Հետազոտության մեջ պլացեբո պատրաստուկի կամ ավելի փոքր դեղաչափով դեղապատրաստուկի ընդունման ժամանակահատվածի ներառումը պարտադիր է, եթե անհնարին է ապահովել անալիզի անհրաժեշտ զգայունությունը:
76. Կլինիկական հետազոտության ծրագրում և հետազոտության արդյունքների մասին հաշվետվության մեջ անհրաժեշտ է լրացուցիչ ներառել համարժեքության կամ ոչ պակաս էֆեկտիվության սահմանվող սահմանների ընտրության և հիմնավորման բաժին` անկախ նրանից, հիմնված է արդյոք հետազոտության ընտրված վերջնական կետը դեղադինամիկ կամ կլինիկական ցուցանիշի վրա, թե` ոչ:
77. Եթե մոդիֆիկացված ձերբազատմամբ դեղապատրաստուկն ունի սովորական ձերբազատմամբ դեղապատրաստուկի ցուցումից տարբերվող կիրառման ցուցում, ապա կլինիկական հետազոտությունների ծրագրում անհրաժեշտ է ներկայացնել Միության իրավունքի մեջ մտնող ակտերին, ինչպես նաև նման կարգի գիտական հետազոտությունների ժամանակակից վիճակին համապատասխանության գնահատական:
78. Եթե դեղապատրաստուկը բաց է թողնվում մոդիֆիկացված ձերբազատմամբ սպեղանու կամ ներարկման համար նախատեսված դեպո-պատրաստուկի ձևով, ապա անհրաժեշտ է հետազոտել դրա տեղային կիրառման անվտանգությունը: Անհրաժեշտ է գնահատել հեռացումից հետո սպեղանու ազդող նյութի մնացորդային քանակությունների անվտանգությունը` դրանց պոտենցիալ սխալ կիրառման և շրջակա միջավայրի վրա ազդեցության տեսանկյունից (բնապահպանական ռիսկեր):
79. Սովորական ձերբազատմամբ դեղաձևի համեմատ մոդիֆիկացված ձերբազատմամբ դեղապատրաստուկի հայտագրված առավելությունն անհրաժեշտ է հաստատել կլինիկական հետազոտությունների անցկացման միջոցով: Նման հետազոտությունների պլանավորումը պետք է կատարվի՝ հաշվի առնելով բժշկության համապատասխան ոլորտում գիտական ձեռնարկների ցուցումները:
80. Եթե մոդիֆիկացված ձերբազատմամբ դեղապատրաստուկի համար հայտագրվում է սովորական ձերբազատմամբ դեղաձևով դեղապատրաստուկի համեմատ համակարգային անցանկալի ռեակցիաների ավելի քիչ քանակություն, ապա դա անհրաժեշտ է հաստատել համապատասխան հետազոտություններով:
VI. Մոդիֆիկացված ձերբազատմամբ գրանցված դեղաձևի հետ համեմատվող մոդիֆիկացված ձերբազատմամբ դեղաձևերը
1.Ընդհանուր դրույթներ
81. Խորհուրդ է տրվում ներքին ընդունման դեղաձևերի մասով կատարել դրանց կենսահամարժեքության հետազոտությունները` 2 համանման (հետազոտվող և ռեֆերենտ) դեղաձևերի համեմատության միջոցով: Մոդիֆիկացված ձերբազատմամբ վերարտադրված դեղապատրաստուկն անհրաժեշտ է համեմատել մոդիֆիկացված ձերբազատմամբ ռեֆերենտ դեղապատրաստուկի հետ կամ դոզավորումների սանդղակի լայնացում համարվող՝ սովորական ձերբազատմամբ դեղաձևով ռեֆերենտ դեղապատրաստուկի դոզավորման հետ, որի համար հայտագրվում է կենսահամարժեքությունը: Կենսահամարժեքության հետազոտությունների անցկացման կանոնների հիմնական տեքստում ներկայացված` վերարտադրված դեղապատրաստուկների կենսահամարժեքության հետազոտությունների ծրագրի մշակման, անցկացման, գնահատման և հաշվետվության մասով ընդհանուր ցուցումները նաև կիրառելի են մոդիֆիկացված ձերբազատմամբ դեղաձևերի կենսահամարժեքության հետազոտությունների նկատմամբ: Մոդիֆիկացված ձերբազատմամբ դեղաձևերի համար սպեցիֆիկ ասպեկտները ներկայացված են սույն բաժնում:
82. Եթե միանման դեղաձևով 2 պատրաստուկներ տարբերվում են ըստ օժանդակ նյութերի կամ ձերբազատումը հսկող մեխանիզմի, ապա դրանք կարելի է ճանաչել վերարտադրված, եթե դրանք in vivo կենսահամարժեք են մեկ անգամ`անոթի և ուտելուց հետո ընդունելուց հետո, ինչպես նաև, անհրաժեշտության դեպքում, բազմակի ներմուծումից հետո:
83. Այն դեպքում, երբ մոդիֆիկացված ձերբազատմամբ դեղապատրաստուկի լրացուցիչ դոզավորումների համար պահպանված են կենսավեյվերի չափանիշները և կենսահամարժեքության հաստատումն անցկացվում է մոդիֆիկացված ձերբազատմամբ դեղապատրաստուկի միայն մեկ դոզավորման համար, անհրաժեշտ է կատարել հետազոտությունների հետևյալ ծավալը`
ա) եթե մոդիֆիկացված ձերբազատմամբ ռեֆերենտ դեղապատրաստուկի դեղակինետիկան գծային է, ապա մոդիֆիկացված ձերբազատմամբ վերարտադրված դեղապատրաստուկի ամենաբարձր դոզավորման համար անհրաժեշտ է կատարել մեկանգամյա և բազմակի դոզավորմամբ հետազոտություններ.
բ) եթե մոդիֆիկացված ձերբազատմամբ ռեֆերենտ դեղապատրաստուկի դեղակինետիկան գծային չէ, ապա հետազոտություններն անհրաժեշտ է իրականացնել մեթոդի առավելագույն զգայունությունն ապահովող դոզավորումով: Հետազոտության համար դեղապատրաստուկի ավելի փոքր դոզավորման ընտրությունը կարող է հիմնավորված լինել՝ դեղապատրաստուկի կիրառման անվտանգությունն ապահովելու նպատակով:
84. Որպես կանոն, մոդիֆիկացված ձերբազատմամբ վերարտադրված դեղապատրաստուկի հետազոտություններն անցկացվում են առողջ կամավորների մասնակցությամբ: Եթե մոդիֆիկացված ձերբազատմամբ վերարտադրված դեղապատրաստուկի որևէ դոզավորման համար անհնար է իրականացնել առողջ կամավորների մասնակցությամբ հետազոտություններ` նման հետազոտությունները ոչ անվտանգ լինելու կապակցությամբ, ապա դրանք իրականացվում են պացիենտների մասնակցությամբ: Ընդ որում, նախընտրելի է հետազոտություններն իրականացնել դեղապատրաստուկի թե մեկանգամյա և թե` բազմակի դոզավորմամբ` ստորև բերված ցուցումներին համապատասխան: Եթե պացիենտների մասնակցությամբ հետազոտություններ անցկացնելն անընդունելի է, ապա նման հետազոտությունները կարող են փոխարինվել առողջ կամավորների մոտ մոդիֆիկացված ձերբազատմամբ վերարտադրված դեղապատրաստուկի բազմակի դոզավորմամբ հետազոտություններով:
85. Եթե մոդիֆիկացված ձերբազատմամբ դեղապատրաստուկի համար կատարվում են սահմանային տարբերակների ընտրության չափանիշները, ապա որպես սահմանային տարբերակներ ընտրված՝ մոդիֆիկացված ձերբազատմամբ վերարտադրված դեղապատրաստուկի 2 դոզավորումների կենսահամարժեքությունը հաստատելու համար անհրաժեշտ է`
կատարել մոդիֆիկացված ձերբազատմամբ դեղապատրաստուկի առավելագույն դոզավորման հետազոտություն` պացիենտների մասնակցությամբ, և մոդիֆիկացված ձերբազատմամբ դեղապատրաստուկի նվազագույն դոզավորման հետազոտություն` առողջ կամավորների մասնակցությամբ.
կատարել մոդիֆիկացված ձերբազատմամբ դեղապատրաստուկի համեմատվող դոզավորումների լուծման պրոֆիլների և դրանց դեղակինետիկ պարամետրերի գծայնության գնահատում և որոշել դեղապատրաստուկի առավել զգայուն դոզավորումը` համաձայն Կենսահամարժեքության հետազոտության անցկացման կանոնների III բաժնի 7-րդ ենթաբաժնի:
86. Դեղապատրաստուկների հետազոտությունների շրջանակներում հայտնաբերված՝ սննդի հետ դեղապատրաստուկների փոխազդեցությամբ պայմանավորված տարբերությունները ցույց են տալիս այդ դեղապատրաստուկների միջև եղած տարբերությունները, որոնք թույլ չեն տալիս համարել հետազոտվող դեղապատրաստուկը՝ որպես ռեֆերենտ դեղապատրաստուկի նկատմամբ վերարտադրված: Եթե դեղապատրաստուկների կենսահամարժեքությունը հաստատվել է դեղապատրաստուկի ընդհանուր բնութագրի մեջ նշված այն պայմաններին համապատասխան դրա կիրառման ժամանակ, որոնք թույլ են տալիս նվազեցնել սննդի ազդեցությունը դեղապատրաստուկի կենսադեղագործական հատկությունների վրա, սակայն դեղապատրաստուկների այդ կենսահամարժեքությունն անհնար է հաստատել դեղապատրաստուկի ընդհանուր բնութագրի մեջ նշված պայմաններից տարբերվող ընդունման պայմաններում, ապա հետազոտվող դեղապատրաստուկը չի համապատասխանում վերարտադրված դեղապատրաստուկին ներկայացվող պահանջներին, սակայն կարող է թույլատրվել դրա գրանցումը` որպես հիբրիդային դեղապատրաստուկ:
Դեղապատրաստուկի դեղագործական մշակման ծրագրում և դեղապատրաստուկի գրանցման դոսյեում հետազոտությունների մի մասից հրաժարվելու վերաբերյալ գիտական հիմնավորման առկայության դեպքում, որը հիմնված է օժանդակ նյութերի կազմում եղած տարբերությունների՝ դեղապատրաստուկի դեղաձևի կենսադեղագործական հատկությունների վրա ազդեցության գնահատման տվյալների վրա, թույլատրվում է`
չանցկացնել բազմակի դոզավորմամբ հետազոտություններ.
օգտագործել այլընտրանքային մոտեցումներ՝ դեղապատրաստուկի հետազոտվող դոզավորումների տիրույթը որոշելու համար.
օգտագործել այլընտրանքային մոտեցում՝ միմյանց նկատմամբ տարբեր դոզավորումների բաղադրության համամասնության գնահատման նկատմամբ` մոդիֆիկացված ձերբազատմամբ դեղապատրաստուկի հետազոտությունների համար սահմանային տարբերակների ընտրության մեթոդը կիրառելիս:
Ներկայացված փաստարկները հիմնավորելիս հայտատուն պետք է ներկայացնի հղումներ Հանձնաժողովի այն ակտերի դրույթներին, որոնք կարգավորում են վերարտադրված դեղապատրաստուկների մշակման հարցերը: Անդամ պետությունների լիազորված մարմինները (փորձագիտական կազմակերպությունները) պետք է կատարեն դեղապատրաստուկի գրանցման դոսյեում ներկայացված հիմնավորումների գնահատումը` հաշվի առնելով դեղաձևի տեսակը, բաղադրությունը և նման դեղապատրաստուկների կենսադեղագործական հատկությունների, անվտանգության, որակի և էֆեկտիվության վրա ազդող այլ գործոններ:
2. Ներքին ընդունման՝ երկարաձգված ձերբազատմամբ դեղապատրաստուկների համար կենսահամարժեքության գնահատում կատարելու պայմանները
87. Երկարաձգված ձերբազատմամբ 2 դեղապատրաստուկների կենսահամարժեքությունը գնահատվում է այն հետազոտություններում, որոնք ուղղված են հաստատելու, որ`
ա) հետազոտվող դեղապատրաստուկը ցուցաբերում է ռեֆերենտ դեղապատրաստուկի երկարաձգված ձերբազատման հայտագրված բնութագրերը.
բ) հետազոտվող դեղապատրաստուկի ազդող նյութն անկանխատեսելիորեն չի ձերբազատվում (բացակայում է դեղաչափի արագ ձերբազատումը).
գ) հետազոտվող ու ռեֆերենտ դեղապատրաստուկների ֆունկցիոնալ բնութագրերը համարժեք են` մեկանգամյա ընդունումից հետո և հավասարակշիռ վիճակում.
դ) մեկանգամյա դոզավորմամբ հետազոտության մեջ սննդի ընդունումը համադրելի ազդեցություն է գործում հետազոտվող ու ռեֆերենտ դեղապատրաստուկների in vivo ֆունկցիոնալ բնութագրերի վրա`երկու դեղապատրաստուկների համար:
3. Մոդիֆիկացված ձերբազատմամբ դեղապատրաստուկների կենսահամարժեքության հաստատման համար անհրաժեշտ հետազոտությունները
88. Մոդիֆիկացված ձերբազատմամբ դեղապատրաստուկների կենսահամարժեքության հաստատման համար անհրաժեշտ են`
ա) հետազոտվող ու ռեֆերենտ դեղապատրաստուկների մեկանգամյա դոզավորմամբ անոթի անցկացվող հետազոտություն.
բ) հետազոտվող ու ռեֆերենտ դեղապատրաստուկների մեկանգամյա դոզավորմամբ հետազոտություն, որն անցկացվում է շատ յուղոտ սնունդ ընդունելուց հետո.
գ) հետազոտվող ու ռեֆերենտ դեղապատրաստուկների բազմակի դոզավորմամբ հետազոտություն:
Մեկանգամյա դոզավորմամբ դեղապատրաստուկների հետազոտություններ
89. Հետազոտվող ու ռեֆերենտ դեղապատրաստուկների` անոթի և սննդի ընդունումից հետո մեկանգամյա ներմուծվող դեղաչափի գնահատումն անցկացնում են հետևյալ սխեմաներից մեկով`
ա) չորս փուլային խաչաձև հետազոտության կատարում` կիրառման 4 պայմանների 4 փոխլրացնող հաջորդականություններով: Հետազոտվող ու ռեֆերենտ դեղապատրաստուկներն անհրաժեշտ է գնահատել անոթի, ինչպես նաև դեղապատրաստուկն ընդունելուց առաջ որոշակի ժամի ճարպերի բարձր պարունակությամբ սնունդ ընդունելուց հետո.
բ) հետազոտվող ու ռեֆերենտ դեղապատրաստուկների մեկանգամյա ներմուծվող դեղաչափի 2 խաչաձև հետազոտությունների կատարում: Առաջին հետազոտության ժամանակ անհրաժեշտ է համեմատել անոթի ընդունվող՝ հետազոտվող ու ռեֆերենտ դեղապատրաստուկները: Ընդ որում, հետազոտվող ու ռեֆերենտ դեղապատրաստուկները ներմուծում են 2 փուլերի շրջանակներում և կիրառման 2 հաջորդականություններով: Երկրորդ հետազոտության ժամանակ հետազոտվող ու ռեֆերենտ դեղապատրաստուկները համեմատում են հետազոտվող ու ռեֆերենտ դեղապատրաստուկներն ընդունելուց առաջ որոշակի ժամին ճարպի բարձր պարունակությամբ սնունդ ընդունելիս, ինչպես նաև հետազոտվող դեղապատրաստուկն անոթի ընդունելիս` սննդի հնարավոր ազդեցությունը բնութագրող դրա կենսամատչելիության մասին տվյալներ ստանալու նպատակով.
գ) 2 խաչաձև հետազոտությունների կատարում` 2 փուլերում և հետազոտվող ու ռեֆերենտ դեղապատրաստուկների կիրառման 2 հաջորդականություններով: Առաջին հետազոտությունն անհրաժեշտ է անցկացնել անոթի: Երկրորդ հետազոտությունն անհրաժեշտ է անցկացնել հետազոտվող ու ռեֆերենտ դեղապատրաստուկներն ընդունելուց առաջ որոշակի ժամի ճարպի բարձր պարունակությամբ սնունդ ընդունելուց հետո:
Բազմակի դոզավորմամբ դեղապատրաստուկների հետազոտությունները
90. Բազմակի դոզավորմամբ հետազոտություններն անհրաժեշտ է անցկացնել այն դեպքում, երբ մեկանգամյա դոզավորմամբ հետազոտության ժամանակ, որն անցկացվել է հետազոտվող ու ռեֆերենտ դեղապատրաստուկների առավելագույն դոզավորմամբ, չի հաստատվել, որ հետազոտվող ու ռեֆերենտ դեղապատրաստուկների առաջին դեղաչափից հետո միջին AUC(0-Ժ)-ն կազմում է միջին AUC(0-∞)-ի ավելի քան 90 տոկոսը և սպասվում է օրգանիզմում ազդող նյութի մեծ քանակության կուտակում (կումուլյացիա): Այս դեպքում հետազոտվող դեղապատրաստուկի կենսահամարժեքությունն անհրաժեշտ է հաստատել լրացուցիչ պարամետրերի օգտագործմամբ, որոնք բնութագրում են «պլազմային կոնցենտրացիա-ժամանակ» կորի ձևը՝ մեկանգամյա դոզավորմամբ հետազոտության ժամանակ: Անհրաժեշտ է հետազոտել սկզբնական մասնակի մակերեսը (մասնակիAUC(0-t-բաժանման)) դեղակինետիկ կորի տակ և տերմինալային մասնակի մակերեսը (մասնակիAUC(t-բաժանման – t-վերջին)) դեղակինետիկ կորի տակ, որոնք բաժանված են նախապես ընտրված` բաժանման ժամանակային կետով (օրինակ` այլ գիտական հիմնավորումների բացակայության դեպքում՝ որպես բաժանման կետ հարկավոր է օգտագործել դոզավորման միջակայքի կեսին հավասար արժեքը):
Կուտակման (կումուլյացիայի) առաջացման բոլոր դեպքերում (առաջին դեղաչափից հետո AUC(0-Ժ)-ն ընդգրկում է միջին AUC(0-∞)-ի 90 %-ից քիչ) պահանջվում է անցկացնել բազմակի դոզավորմամբ հետազոտություն: Հավասարակշիռ վիճակում հետազոտությունները խորհուրդ է տրվում անցկացնել դեղապատրաստուկը սննդի հետ ընդունելու հետ միասին` ռեֆերենտ դեղապատրաստուկի համար դեղապատրաստուկի ընդհանուր բնութագրին համապատասխան: Եթե դեղապատրաստուկի ընդհանուր բնութագրի մեջ նշված է, որ պատրաստուկը պետք է ընդունել սնունդն ընդունելուց հետո, ապա հետազոտությունն անցկացվում է միայն սնունդն ընդունելուց հետո (սննդի ստանդարտ ընդունում) (ներառյալ պրոֆիլի որոշման օրը): Եթե դեղապատրաստուկի ընդհանուր բնութագրում նշված է, որ պատրաստուկը պետք է ընդունել անոթի կամ սննդի ընդունումից անկախ՝ հետազոտություններն անցկացվում են անոթի: Եթե բազմակի դոզավորմամբ հետազոտության ժամանակ կիրառվում է դեղապատրաստուկների՝ անոթի ընդունումը, ապա անհրաժեշտ է մոդելավորել սննդի ընդունման իրական ռեժիմին առավելագույնս մոտեցված պայմաններ: Օրինակ` հետազոտվող դեղապատրաստուկի առավոտյան ներմուծումը պահանջում է 10-ժամյա քաղցածության ժամանակահատվածի պահպանում, մինչդեռ դեղապատրաստուկների ներմուծման մնացած ռեժիմներում բավարար է ներմուծումից առաջ 4-ժամյա քաղցածության պահպանումը: Դեղապատրաստուկների յուրաքանչյուր ներմուծումից հետո քաղցածությունը պետք է շարունակվի առնվազն 2 ժամ:
91. Կենսահամարժեքության հետազոտություններում՝ օրգանիզմի հավասարակշիռ վիճակը մոդելավորելիս լվացազատման ժամանակահատվածը նախորդող դեղապատրաստուկի ընդունումից հետո կարող է փոխածածկվել հաջորդող դեղապատրաստուկի ընդունումից հետո կոնցենտրացիայի աճի ժամանակահատվածով (ուղիղ փոխարկում), պայմանով, որ կոնցենտրացիայի աճի այդ ժամանակահատվածն ունի բավարար տևողություն (հավասար կիսադուրսբերման առնվազն 5 տերմինալային ժամանակահատվածներին): Օրգանիզմի հավասարակշիռ վիճակին հասնելը գնահատվում է յուրաքանչյուր դեղապատրաստուկի առնվազն 3 կոնցենտրացիաների համեմատության միջոցով` դրա հերթական ներմուծումից առաջ: Օրգանիզմի հավասարակշիռ վիճակին հասնելու համար դեղապատրաստուկի ընդունման ժամանակահատվածը որոշելիս անհրաժեշտ է հաշվի առնել նաև դեղապատրաստուկի ազդող նյութի կիսադուրսբերման ժամանակահատվածի մեծությունը:
Մոդիֆիկացված ձերբազատմամբ դեղապատրաստուկների հետազոտվող դոզավորումը (դոզավորումները) Մոդիֆիկացված ձերբազատմամբ մեկ միավորից դեղապատրաստուկներ
92. Մի քանի դոզավորումներով մեկ միավորից դեղապատրաստուկների համար հետազոտվող դոզավորումների ընտրության և հետազոտությունների անցկացման պայմանների մասով կիրառվում են հետևյալ սկզբունքները`
ա) մեկանգամյա դոզավորմամբ հետազոտություններում` եթե ռեֆերենտ դեղապատրաստուկի ընդհանուր բնութագրում պարունակվում են անոթի կամ սննդի ընդունումից անկախ ընդունման ցուցումներ`
բոլոր դոզավորումների մասով անհրաժեշտ է անոթի` մեկանգամյա դոզավորմամբ հետազոտություն: Սակայն բավարար հիմնավորման դեպքում թույլատրված է սահմանային տարբերակների ընտրությունը: Առողջ կամավորների անվտանգության ապահովման նպատակով՝ հետազոտություններն անհրաժեշտ է անցկացնել պացիենտների մասնակցությամբ (առողջ կամավորների փոխարեն), ինչը կարող է պահանջել հավասարակշիռ վիճակի պայմանների ստեղծում.
սննդի ընդունումից հետո բավարար է կենսահամարժեքության հետազոտությունների անցկացումը` առավելագույն (առավել զգայուն) դոզավորման մեկանգամյա դոզավորմամբ: Մնացած դոզավորումները կարող են ազատվել, եթե պահպանված են Կենսահամարժեքության հետազոտությունների անցկացման կանոնների III բաժնի 7-րդ ենթաբաժնում նկարագրված դոզավորման կենսավեյվերի չափանիշները: Եթե հետազոտվող դեղապատրաստուկների դոզավորումները չեն համապատասխանում այդ չափանիշներին կամ տարբեր դոզավորումներն ունեն տարբեր ձևեր, ապա անհրաժեշտ է գնահատել 2 դոզավորումները, որոնք արտացոլում են 2 առավել սահմանային տարբերակները` սննդի ընդունումից հետո.
բ) դեղաչափի՝ մեկանգամյա ներմուծմամբ հետազոտություններում` եթե ռեֆերենտ դեղապատրաստուկի ընդհանուր բնութագիրը պարունակում է սննդի ընդունումից հետո այն ընդունելու ցուցումներ`
սնունդն ընդունելուց հետո բոլոր դոզավորումների մասով անհրաժեշտ է անցկացնել մեկանգամյա դոզավորմամբ հետազոտություն: Սակայն հիմնավորման դեպքում նաև թույլատրված է սահմանային տարբերակների ընտրությունը.
անոթի վիճակում բավարար է կենսահամարժեքության մեկ հետազոտության անցկացումը` ամենամեծ (առավել զգայուն) դոզավորման մեկանգամյա դոզավորմամբ: Մնացած դոզավորումները կարող են ազատվել, եթե պահպանված են Կենսահամարժեքության հետազոտությունների անցկացման կանոնների III բաժնի 7-րդ ենթաբաժնում նկարագրված դոզավորման կենսավեյվերի չափանիշները: Սակայն եթե հետազոտվող պատրաստուկի դոզավորումները չեն համապատասխանում այդ չափանիշներին կամ տարբեր դոզավորումներ ունեն տարբեր ձևեր, ապա անհրաժեշտ է անոթի գնահատել 2 դոզավորումները, որոնք արտացոլում են 2 առավել սահմանային տարբերակները:
93. Բազմակի դոզավորմամբ հետազոտությունն անհրաժեշտ է անցկացնել առավելագույն դոզավորմամբ (միայն եթե հայտնաբերված չէ ազդող նյութի կուտակման (կումուլյացիայի) բացակայություն): Անվտանգության ապահովման նպատակով հետազոտությունն անհրաժեշտ է անցկացնել պացիենտների մասնակցությամբ: Այլ դոզավորումների հետազոտությունները թույլատրվում է չանցկացնել այն դեպքում, երբ պահպանված են Կենսահամարժեքության հետազոտությունների անցկացման կանոնների III բաժնի 7-րդ ենթաբաժնում նկարագրված դոզավորման կենսավեյվերի չափանիշները: Հիմնավորման առկայության դեպքում նաև թույլատրվում է սահմանային տարբերակների ընտրությունը՝ Կենսահամարժեքության հետազոտությունների անցկացման կանոնների III բաժնի 7-րդ ենթաբաժնի ցուցումներին համապատասխան:
Մոդիֆիկացված ձերբազատմամբ բազմամիավոր դեղապատրաստուկներ
94. Բազմամիավոր դեղապատրաստուկների մի քանի դոզավորումների մասով բավարար է սույն պահանջների VI բաժնի 1-ին ենթաբաժնում նշված հետազոտությունների անցկացումը՝ միայն ամենամեծ (առավել զգայուն) դոզավորմամբ, եթե դոզավորումների բաղադրությունները համամասնական են, պարունակում են նույնական պելլետներ (որոնք արտադրված են արտադրության միևնույն պրոցեսի միջոցով) և ունեն լուծման համանման պրոֆիլներ:
4. Հետաձգված ձերբազատմամբ դեղապատրաստուկների համար կենսահամարժեքության գնահատում կատարելու պայմանները
95. Հետաձգված ձերբազատմամբ 2 դեղապատրաստուկների կենսահամարժեքությունն անհրաժեշտ է գնահատել այն հետազոտություններում, որոնք ուղղված են հաստատելու, որ`
ա) հետազոտվող դեղապատրաստուկն ունի հետաձգված ձերբազատման նույն բնութագրերը, ինչը և ռեֆերենտ դեղապատրաստուկը.
բ) ազդող նյութը չի ձերբազատվում հետազոտվող դեղապատրաստուկից անկանխատեսելիորեն (այսինքն` ազդող նյութի ձերբազատումն օրգանիզմում տեղի է ունենում դրա համար նախատեսված ձերբազատման տեղում).
գ) հետազոտվող ու ռեֆերենտ դեղապատրաստուկների ֆունկցիոնալ բնութագրերը համարժեք են` դրանց մեկանգամյա ընդունումից հետո.
դ) մեկանգամյա դոզավորմամբ հետազոտության մեջ in vivo ֆունկցիոնալ բնութագրերի վրա սննդի ազդեցությունը հետաձգված ձերբազատմամբ 2 դեղապատրաստուկի համար համադրելի է:
Հետաձգված ձերբազատմամբ դեղապատրաստուկների կենսահամարժեքության հաստատման համար անհրաժեշտ հետազոտությունները
96. Որպես կանոն՝ հետաձգված ձերբազատմամբ դեղապատրաստուկների կենսահամարժեքության հաստատման համար պահանջվում են`
հետազոտվող ու ռեֆերենտ դեղապատրաստուկների մեկանգամյա դոզավորմամբ անոթի անցկացվող հետազոտություններ.
հետազոտվող ու ռեֆերենտ դեղապատրաստուկների մեկանգամյա դոզավորմամբ հետազոտություններ (շատ յուղոտ սնունդ ընդունելուց հետո):
Հետաձգված ձերբազատմամբ դեղապատրաստուկների՝ մեկանգամյա դոզավորմամբ հետազոտությունների անցկացումը պլանավորելիս թույլատրվում է կիրառել երկարաձգված ձերբազատմամբ դեղապատրաստուկների ուսումնասիրման մոտեցմանը համանման մոտեցում:
Հետաձգված ձերբազատմամբ դեղապատրաստուկների հետազոտվող դոզավորումը (դոզավորումները) Հետաձգված ձերբազատմամբ մեկ միավորից դեղապատրաստուկներ
97. Մեկանգամյա դոզավորմամբ մեկ միավորից դեղապատրաստուկների հետազոտությունների ժամանակ, այն դեպքում, երբ ռեֆերենտ դեղապատրաստուկի ընդհանուր բնութագրի մեջ նշված է դրա կիրառման հնարավորությունը՝ անոթի կամ սննդի ընդունումից անկախ, անհրաժեշտ է կատարել`
ա) անոթի վիճակում մեկանգամյա դոզավորմամբ հետազոտություն` բոլոր դոզավորումների համար: Հիմնավորման առկայության դեպքում թույլատրվում է նաև սահմանային տարբերակների ընտրություն.
բ) ամենամեծ (առավել զգայուն) դոզավորման մեկանգամյա դոզավորմամբ կենսահամարժեքության հետազոտություն` սննդի ընդունումից հետո: Մնացած դոզավորումների համար նշված հետազոտությունը կարող է չանցկացվել, եթե պահպանված են Կենսահամարժեքության հետազոտությունների անցկացման կանոնների III բաժնի 7-րդ ենթաբաժնում նկարագրված դոզավորման կենսավեյվերի չափանիշները: Եթե հետազոտվող դեղապատրաստուկի դոզավորումները չեն համապատասխանում այդ չափանիշներին կամ դեղապատրաստուկի տարբեր դոզավորումներն ունեն տարբեր արտաքին ձևեր, ապա անհրաժեշտ է գնահատել 2 դոզավորումը, որոնք արտացոլում են 2 առավել սահմանային տարբերակները` սննդի ընդունումից հետո դրանք ընդունելու պայմաններում:
98. Դեղապատրաստուկների՝ մեկ միավորից դեղաձևերի դեղաչափի մեկանգամյա ներմուծմամբ հետազոտություններում, եթե ռեֆերենտ դեղապատրաստուկի ընդհանուր բնութագրում խորհուրդ է տրվում այն կիրառել միայն սննդի ընդունումից հետո: Սննդի ընդունումից հետո բոլոր դոզավորումների համար անհրաժեշտ է անցկացնել մեկանգամյա դոզավորմամբ հետազոտություն: Սակայն հիմնավորման դեպքում թույլատրվում է նաև սահմանային տարբերակների ընտրությունը: Բավարար է կենսահամարժեքության 1 հետազոտության անցկացումը` անոթի վիճակում առավելագույն դոզավորման մեկանգամյա դոզավորմամբ: Մնացած դոզավորումների համար նշված հետազոտությունը կարող է չանցկացվել, եթե պահպանված են Կենսահամարժեքության հետազոտությունների անցկացման կանոնների III բաժնի 7-րդ ենթաբաժնում նկարագրված դոզավորման կենսավեյվերի չափանիշները: Եթե հետազոտվող դեղապատրաստուկի դոզավորումները չեն համապատասխանում այդ չափանիշներին կամ տարբեր դոզավորումներն ունեն տարբեր ձևեր, ապա անհրաժեշտ է անոթի գնահատել 2 դոզավորումները, որոնք արտացոլում են առավել սահմանային 2 տարբերակները: Բաղադրության համամասնությունը գնահատելիս գաստրոռեզիստենտ թաղանթի նմանությունն ըստ մակերևույթի մակերեսի (այլ ոչ թե ըստ միջուկի զանգվածի) դիտարկում են որպես նույն գաստրոռեզիստենտություն (թաղանթի շերտը մակերևույթի մգ/սմ2-ում):
99. Բազմակի դոզավորմամբ հետազոտությունների անցկացում չի պահանջվում, բացառությամբ այն դեպքերի, երբ մեկանգամյա դոզավորմամբ հետազոտությունները չեն կարող անցկացվել մարդու մոտ` անվտանգության նկատառումներից ելնելով:
Հետաձգված ձերբազատմամբ բազմամիավոր դեղապատրաստուկներ
100. Բազմամիավոր դեղապատրաստուկների մի քանի դոզավորումների մասով բավարար է սույն Պահանջների VI բաժնի 3-րդ ենթաբաժնում նշված հետազոտությունների անցկացումը, սակայն ամենամեծ (առավել զգայուն) դոզավորմամբ` եթե դոզավորումների բաղադրությունները համամասնական են, պարունակում են նույնական պելլետներ (որոնք արտադրված են արտադրության միևնույն պրոցեսի միջոցով) և ունեն լուծման համանման պրոֆիլներ:
5. Մոդիֆիկացված և հետաձգված ձերբազատմամբ դեղաձևերով դեղապատրաստուկների՝ ստամոքսի մեջ մնալու երկարաձգված ժամանակը
101. Ստամոքսի մեջ չտրոհվող՝ մոդիֆիկացված ձերբազատմամբ դեղապատրաստուկներից (օրինակ` աղելույծ պատվածքով հաբեր) ստամոքսի դատարկումը կարող է լինել երկարաձգված և բարձր փոփոխականությամբ: Այս էֆեկտի հետևանքները հետաձգված ձերբազատմամբ դեղապատրաստուկների՝ աղելույծ թաղանթի համար բավականին անկանխատեսելի են և կարող են հանգեցնել կոնցենտրացիայի՝ գոյություն չունեցող կամ նորմայից շեղվող պրոֆիլների: Եթե նման անոմալ վարքը՝ թե հետազոտվող, և թե` ռեֆերենտ դեղապատրաստուկների խմբերում դիտվում է համադրելի հաճախականությամբ (օրինակ` հետազոտվող դեղապատրաստուկի խմբում դեպքերի թիվը չի գերազանցում ռեֆերենտ դեղապատրաստուկի խմբում դեպքերի թվին), ապա գոյություն չունեցող կամ նորմայից շեղվող պրոֆիլի ժամանակահատվածների մասին տվյալները կարելի է հանել վիճակագրական վերլուծությունից` պայմանով, որ դա նախատեսված է եղել հետազոտության արձանագրությամբ: Երկփուլ հետազոտության ժամանակ դա ենթադրում է վերլուծությունից սուբյեկտին բացառելը: Եթե բացառված սուբյեկտների մասնաբաժինը գերազանցում է 20 տոկոսն առանձին հետազոտության մեջ, ապա կարող է պահանջվել հետազոտության հիմնավորվածության ստուգում:
Բացի այդ, ազդող նյութի ձերբազատումը կարող է էականորեն դանդաղել՝ ստամոքսի մեջ ազդող նյութի երկարատև մնալու հետևանքով: Այդ իսկ պատճառով նմուշառման ժամանակահատվածն անհրաժեշտ է պլանավորել այնպես, որ ստացվեն չափելի կոնցենտրացիաներ (հաշվի առնելով ոչ միայն ազդող նյութի կիսադուրսբերման ժամանակահատվածը, այլ նաև այդ էֆեկտի հնարավոր առաջացումը):
6. Բազմաֆազ մոդիֆիկացված ձերբազատմամբ դեղապատրաստուկների համար կենսահամարժեքության գնահատում կատարելու պայմանները
102. Սույն Պահանջներում բերված չափանիշները կիրառելի են նաև այն մոդիֆիկացված ձերբազատմամբ դեղապատրաստուկների կենսահամարժեքության գնահատման համար, որոնք մշակվել են ազդող նյութի՝ հաջորդական ձերբազատում ստանալու համար, որի դեպքում դեղաձևի մեջ զուգակցվում են սովորական և մոդիֆիկացված բնութագրերը (օրինակ` երկֆազ (բաբախող) ձերբազատում):
103. Եթե մոդիֆիկացված է ձերբազատման ֆազերից մեկը, ապա անհրաժեշտ հետազոտությունների տեսակն ու քանակը համընկնում են սույն պահանջների 81-101-րդ կետերում` ձերբազատման մոդիֆիկացիայի տվյալ մեխանիզմի համար նկարագրվածների հետ: Սակայն կենսահամարժեքությունը հաստատելու նպատակով բոլոր ֆազերի համար անհրաժեշտ է հետազոտել լրացուցիչ դեղակինետիկ պարամետրերը:
7. Միջմկանային (ենթամաշկային) դեպո-պատրաստուկներ
Միջմկանային (ենթամաշկային) դեպո-պատրաստուկների կենսահամարժեքությունը հաստատելու համար անհրաժեշտ հետազոտությունները
104. Միջմկանային (ենթամաշկային) դեպո-պատրաստուկների կենսահամարժեքության հաստատման համար պահանջվում են`
հետազոտվող ու ռեֆերենտ դեղապատրաստուկների մեկանգամյա դոզավորմամբ հետազոտություն.
հետազոտվող ու ռեֆերենտ դեղապատրաստուկների բազմակի դոզավորմամբ հետազոտություն:
Բազմակի դոզավորմամբ հետազոտությունն անհրաժեշտ է անցկացնել այն դեպքում, եթե առավելագույն դոզավորմամբ անցկացված` միջմկանային (ենթամաշկային) դեպո-պատրաստուկների մեկանգամյա դոզավորմամբ հետազոտության ժամանակ ցույց տված չէ, որ առաջին դեղաչափից հետո միջին AUC(0-Ժ)-ն ընդգրկում է միջին AUC(0-∞) -ի ավելի քան 90 տոկոսը` հետազոտվող ու ռեֆերենտ դեղապատրաստուկների համար, հնարավոր է օրգանիզմում դեղապատրաստուկի ազդող նյութի կուտակման (կումուլյացիայի) ոչ բարձր աստիճան:
Միջմկանային (ենթամաշկային) դեպո-պատրաստուկների հետազոտվող դոզավորումը
105. Եթե միջմկանային (ենթամաշկային) դեպո-պատրաստուկների տարբեր դոզավորումները համամասնական են ըստ բաղադրության և արտահայտում են in vitro լուծման համանման պրոֆիլ, ապա անհրաժեշտ է հետազոտել միայն 1 դոզավորում: Դոզավորումն ընտրում են դեղակինետիկայի գծայնության և անվտանգության հիման վրա: Մի քանի ոչ համամասնական դոզավորումների առկայության դեպքում թույլատրվում է սահմանային տարբերակների ընտրություն, սակայն այդ դեպքում անհրաժեշտ է նկատի ունենալ ռեֆերենտ դեղապատրաստուկի բաղադրության ընտրության ռազմավարությունը:
106. Եթե ռեֆերենտ դեղապատրաստուկը գրանցված է միայն մեկ կոնցենտացիայով, իսկ դրա տարբեր դեղաչափերը ստացվում են դեղապատրաստուկի տարբեր ծավալներ ներմուծելու հաշվին, ապա կենսահամարժեքության հետազոտման մեջ թույլատրվում է օգտագործել ցանկացած դեղաչափ` այն դեպքում, երբ ռեֆերենտ դեղապատրաստուկի համար սահմանված է դեղաչափերի համամասնություն: Եթե թերապևտիկ դեղաչափերը չեն կարող ներմուծվել առողջ կամավորներին, ապա անվտանգության ապահովման համար թույլատրվում է առողջ կամավորներին ոչ թերապևտիկ դեղաչափերի ներմուծում: Եթե մեկանգամյա դոզավորմամբ միջմկանային (ենթամաշկային) դեպո-պատրաստուկների հետազոտության անցկացումն առողջ կամավորների մոտ անհնարին է` անվտանգության նպատակներով կամ էթիկական պատճառներից ելնելով, ապա կենսահամարժեքության հաստատման համար պացիենտների մոտ անցկացվում է բազմակի դոզավորմամբ հետազոտություն:
8. Դեղապատրաստուկների վերմաշկային ձևերը
107. Դեղապատրաստուկի վերարտադրված վերմաշկային ձևը պարունակում է ժամանակի միավորում ձերբազատվող նույն քանակության ազդող նյութ, ինչքան և պարունակում է դեղապատրաստուկի ռեֆերենտ վերմաշկային ձևը: Այդ սահմանումը տարբերվում է վերարտադրված դեղապատրաստուկի ընդհանուր սահմանումից, քանի որ ազդող նյութի ընդհանուր քանակը կարող է տարբերվել, մինչդեռ ժամանակի միավորում ձերբազատվող ազդող նյութի անվանական քանակությունը պետք է լինի նույնը՝ դեղապատրաստուկի՝ վերարտադրված և օրիգինալ վերմաշկային ձևերի համար:
Վերարտադրված դեղապատրաստուկի վերմաշկային ձևերի կենսահամարժեքության հետազոտությունը պետք է ցույց տա ռեֆերենտ դեղապատրաստուկի հետ համադրելի կամ ավելի բարձր ադհեզիոն հատկություններ և հաստատի դրանց կենսահամարժեքությունը: Վերմաշկային դեղաձևերի համադրելի կամ ավելի բարձր ադհեզիոն հատկություններն անհրաժեշտ է ապահովել՝ նախքան կամավորների մոտ կենսահամարժեքության հետազոտություններն սկսելը, քանի որ ավելի ցածր ադհեզիան կարող է նվազեցնել դեղակինետիկ հետազոտությունների արդյունքների հավաստիությունը և կասկածի տակ առնել դեղապատրաստուկի կենսահամարժեքության ապացույցը: Քանի որ ադհեզիայի կենսահամարժեքության հետազոտությանը մասնակցող մարդկանց մաշկի հատկությունները պետք է համանման (նման) լինեն այն պացիենտների մաշկի հատկություններին, որոնց համար տվյալ դեղապատրաստուկը պետք է կիրառվի սովորական կլինիկական պրակտիկայում, ապա պահանջվում է անցկացնել այդպիսի դեղապատրաստուկների ադհեզիայի և դեղակինետիկայի մի քանի հետազոտություններ՝ կախված այն պացիենտների մաշկի հատկություններից, որոնց համար նախատեսված է դեղապատրաստուկը:
Դեղապատրաստուկների վերմաշկային ձևերի կենսահամարժեքությունը հաստատելու համար անհրաժեշտ հետազոտությունները
108. Դեղապատրաստուկների վերմաշկային ձևերի կենսահամարժեքությունը հաստատելու համար պահանջվում են՝
հետազոտվող և ռեֆերենտ դեղապատրաստուկների՝ մեկանգամյա դոզավորմամբ համեմատական հետազոտություններ.
հետազոտվող և ռեֆերենտ դեղապատրաստուկների՝ բազմակի դոզավորմամբ համեմատական հետազոտություններ:
Վերմաշկային դեղաձևի կենսահամարժեքությունն անհրաժեշտ է գնահատել դեղապատրաստուկի՝ մեկանգամյա և բազմակի կիրառումից հետո: Անհրաժեշտ է անցկացնել բազմակի դոզավորմամբ հետազոտություն այն դեպքում, երբ մեկանգամյա դոզավորմամբ հետազոտության ժամանակ, որն անցկացվել է ամենամեծ դոզավորմամբ, չի հաստատվել, որ AUC(0-Ժ) միջինը առաջին դեղաչափից հետո ընդգրկում է AUC(0-∞) արժեքի 90 %-ից ավելին՝ ինչպես հետազոտվող դեղապատրաստուկի համար, այնպես էլ ռեֆերենտ դեղապատրաստուկի համար, և հնարավոր է օրգանիզմում դեղապատրաստուկի ազդող նյութի կուտակման (կումուլյացիայի) ոչ բարձր աստիճան: Հետազոտության դիզայնը (ներառյալ զետեղման տեղի ընտրությունը) հիմնավորելիս անհրաժեշտ է ներկայացնել ընտրված դիզայնի այն անհրաժեշտ զգայունությունը հաստատող տվյալները, որը թույլ է տալիս հայտնաբերել հետազոտվող և ռեֆերենտ դեղապատրաստուկների միջև տարբերությունները: Անհրաժեշտ է առավելագույնս ստանդարտացնել մաշկի հատվածի ընտրությունը և այդ հատվածի վրա դեղապատրաստուկը զետեղելու պրոցեսը: Մաշկի հատվածի ընտրությունը և այդ հատվածի վրա դեղապատրաստուկը զետեղելու պրոցեսը պետք է լինեն միատեսակ՝ հետազոտվող և ռեֆերենտ դեղապատրաստուկների համար: Սպեղանիները զետեղելու տեղը փոխելու և դեղապատրաստուկները փոփոխելու անհրաժեշտության պատճառով պետք է օգտագործել մարդու մարմնի միևնույն մասի մաշկի այլ հատված: Չի թույլատրվում խախտել սպեղանու ադհեզիոն հատկությունները (օրինակ՝ փակցնելու նպատակով ավելորդ սեղմելու հետևանքով):
Դեղապատրաստուկների վերմաշկային ձևերի կենսահամարժեքությունն անհրաժեշտ է գնահատել նույն դեղակինետիկ պարամետրերի և վիճակագրական ընթացակարգերի օգտագործմամբ, որոնք օգտագործվում են երկարաձգված ձերբազատմամբ դեղապատրաստուկների կենսահամարժեքության հետազոտություններն անցկացնելիս:
Հետազոտվող դեղապատրաստուկը պետք է ցուցաբերի ռեֆերենտ դեղապատրաստուկի համեմատ նույնանման կամ ավելի պակաս տեղային գրգռիչ ազդեցություն, ֆոտոտոքսիկ ազդեցություն, սենսիբիլիզացնող ազդեցություն և ունենա մաշկի նկատմամբ նույնանման կամ ավելի բարձր ադհեզիվություն: Եթե չի ներկայացվել հետազոտությունների անցկացումից հրաժարվելու համար հիմնավորում (օրինակ, հետազոտվող և ռեֆերենտ դեղապատրաստուկների՝ գործնականում նույնական քանակական և որակական բաղադրության հետ կապված), ապա անվտանգության տեսանկյունից կենսահամարժեքությունն ապահովելու նպատակով համեմատական հետազոտություններում պետք է ուսումնասիրվեն՝
մաշկի կողմից դեղապատրաստուկի տանելիությունը, դրա՝ գրգռվածություն առաջացնելու ունակությունը և սենսիբիլիզացիան.
դեղապատրաստուկի՝ ֆոտոտոքսիկ ռեակցիաներ առաջացնելու ունակությունը.
դեղապատրաստուկի սպեղանային հիմքի ադհեզիոն բնութագրերը:
Դեղապատրաստուկների վերմաշկային ձևերի հետազոտվող դոզավորումը
109. Դեղապատրաստուկների վերմաշկային ձևերի մի քանի դոզավորումներ գրանցելիս դեղապատրաստուկների վերմաշկային ձևերի կենսահամարժեքության հետազոտությունը թույլատրվում է անցկացնել ամենամեծ (առավել զգայուն) դոզավորմամբ՝ պայմանով, որ.
դեղապատրաստուկների վերմաշկային ձևերի որակական բաղադրությունը բոլոր դոզավորումների համար նույնն է.
դեղապատրաստուկի վերմաշկային ձևի դոզավորման մեծությունը համեմատական է սպեղանու աշխատանքային մակերևույթի մակերեսին (այսինքն ցածր դոզավորումների սպեղանիների աշխատանքային մակերևույթների մակերեսներն ամենամեծ դոզավորմամբ սպեղանու աշխատանքային մակերևույթի մակերեսի մասերն են).
դեղապատրաստուկների հետազոտվող և ռեֆերենտ վերմաշկային ձևերից ազդող նյութի լուծման (ձերբազատման) պրոֆիլները հավասարապես նույնանման են:
Անվտանգության նկատառումներից ելնելով՝ առողջ կամավորների մասնակցությամբ դեղապատրաստուկի վերմաշկային ձևի ամենաբարձր դոզավորման հետազոտությունների անցկացման անհնարինության դեպքում թույլատրվում է անցկացնել դեղապատրաստուկների ցածր դոզավորումների օգտագործմամբ հետազոտություններ, եթե պահպանվում է սպեղանու աշխատանքային մակերևույթի մակերեսի դոզավորման մեծության համամասնության սկզբունքը:
Դեղապատրաստուկների վերմաշկային ձևերի հետազոտության ժամանակ սահմանային տարբերակների ընտրությունը
110. Եթե անհրաժեշտ է դեղապատրաստուկի ավելի քան 2 դոզավորումների կենսահամարժեքության գնահատում (օրինակ, դեղապատրաստուկի տարբեր դոզավորումների բաղադրության համամասնության բացակայության և (կամ) դեղապատրաստուկի լուծման պրոֆիլների նմանության պատճառով), ինչպես նաև համամասնական բաղադրությամբ մեկ միավորից դեղապատրաստուկների համար, կենսահամարժեքության հետազոտություն անցկացնելու անհրաժեշտությունից ազատվելու այլ չափանիշներ կատարելիս կարելի է կիրառել սահմանային տարբերակների ընտրությունը: Այդ դեպքում թույլատրվում է անցկացնել կենսահամարժեքության 2 հետազոտություն, եթե ընտրված դոզավորումները սահմանային տարբերակներ են, օրինակ՝ ամենաբարձր և ամենացածր դոզավորում, կամ 2 դոզավորումներ, որոնք ավելի շատ տարբերվում են ըստ բաղադրության, լուծման կամ ձևի, այնպես որ մնացած դոզավորումների բաղադրության կամ լուծման ցանկացած տարբերություն ընդգրկված է 2 անցկացված հետազոտություններում:
Երկարաձգված ձերբազատմամբ դեղապատրաստուկների համար ձերբազատումը հսկող օժանդակ նյութերը և ազդող նյութի ձերբազատման մեխանիզմը պետք է նույնը լինեն հետազոտվող դեղապատրաստուկի բոլոր դոզավորումների համար: Նույն պահանջները ներկայացվում են ձերբազատումը հսկող՝ հետաձգված ձերբազատմամբ դեղապատրաստուկների թաղանթներին:
9. Մոդիֆիկացված ձերբազատմամբ գրանցված դեղապատրաստուկի նոր դոզավորումը
111. Սույն Պահանջների VI բաժնի դրույթները կիրառվում են նաև մոդիֆիկացված ձերբազատմամբ դեղապատրաստուկի նոր դոզավորում մշակելիս հետազոտությունների ընտրության նկատմամբ, որը գտնվում է ռեֆերենտ դեղապատրաստուկի համար դեղապատրաստուկի ընդհանուր բնութագրում նշված՝ կիրառվող դեղաչափերի ընդգրկույթի սահմաններում: Նոր դոզավորման համար, որի բաղադրությունը համամասնական է գրանցված դոզավորմանը (դոզավորումներին), թույլատրվում է կիրառել սահմանային տարբերակների ընտրությունը: Գրանցված դոզավորման (դոզավորումների) համեմատ ոչ համամասնական բաղադրությամբ նոր դոզավորումը պետք է բավարարի սույն Պահանջների VI բաժնի 1- 6-րդ ենթաբաժիններում նշված պահանջները: Նոր հետազոտություն անցկացնել չի պահանջվում, եթե մոդիֆիկացված ձերբազատմամբ դեղապատրաստուկի մշակվող նոր դոզավորումը գտնվում է մյուս դոզավորումների սահմանային տարբերակների միջև ընդգրկույթում և բավարարում է հետևյալ պահանջները, որոնք ներկայացվում են՝
ձերբազատումը հսկող օժանդակ նյութերին.
դեղապատրաստուկի չափին և ձևին.
դեղաձևի արտադրությանը:
Դեղապատրաստուկի այդպիսի նոր դոզավորումն ընկնում է սույն Պահանջների V բաժնի 7-րդ ենթաբաժնում բերված կատեգորիայի մեջ: Գոյություն ունեցող թերապևտիկ ընդգրկույթի մեջ չմտնող նոր դոզավորմամբ պահանջվում է անցկացնել կլինիկական մշակում: Որոշ պարամետրեր (օրինակ՝ վերմաշկային առաքման համակարգի համար մաշկի անվտանգության պրոֆիլը) չեն պահանջում վերագնահատում, եթե չի ակնկալվում, որ նոր դոզավորումը և առաջարկվող կիրառման ցուցումը կփոխեն դեղապատրաստուկի անվտանգության ընդհանուր պրոֆիլը:
10. Դեղակինետիկ պարամետրերի գնահատումը
Անալիզի ենթակա դեղակինետիկ պարամետրերը
112. Կենսահամարժեքության՝ մեկանգամյա դոզավորմամբ հետազոտություններում պետք է որոշել AUC(0-t)-ը, AUC(0-∞)-ը, մնացորդային մակերեսը, Cmax-ը, tmax-ը և, անհրաժեշտության դեպքում, մասնակիAUC-ը: Հատված AUC(0–72 ժ) կիրառելի չէ մոդիֆիկացված ձերբազատմամբ դեղապատրաստուկների համար, որոնք չեն ենթադրում ներքին ընդունման կիրառություն:
113. Որոշման ենթակա՝ բազմաֆազ մոդիֆիկացված ձերբազատմամբ դեղապատրաստուկների լրացուցիչ պարամետրերին են դասվում մասնակիAUC-ը, Cmax-ը և tmax -ը բոլոր ֆազերում: ՄասնակիAUC-ի հատման ժամանակային կետը պետք է հիմնվի դեղակինետիկ պրոֆիլի վրա (օրինակ, համապատասխանաբար՝ սովորական և մոդիֆիկացված ձերբազատման մասերի վրա) և պետք է հիմնավորվի ու նախապես նշվի հետազոտության արձանագրության մեջ:
114. Կենսահամարժեքության՝ բազմակի դոզավորմամբ հետազոտություններում անհրաժեշտ է որոշել AUC(0-Ժ)ss-ը, tmax,ss-ը, Cmax,ss-ը, СԺ,ss-ը և ֆլուկտուացիան: Ի տարբերություն մոդիֆիկացված ձերբազատմամբ նոր դեղաձևերն ուսումնասիրելիս Cmin,ss-ը սահմանելու անհրաժեշտության՝ մոդիֆիկացված ձերբազատմամբ վերարտադրված դեղապատրաստուկներն ուսումնասիրելիս բավական է համեմատել СԺ,ss ցուցանիշները վերարտադրված դեղապատրաստուկի և ռեֆերենտ դեղապատրաստուկի համար: СԺ,ss-ի ցուցանիշը թույլ է տալիս գնահատել վերարտադրված դեղապատրաստուկի կորի ձևը և փոխարինում է այդ իրավիճակներում Cmin,ss-ի գնահատման անհրաժեշտությունը:
Ընդունելիության բնութագրերի և չափանիշների գնահատումը
115. Կուտակման (կումուլյացիայի) ունակ՝ երկարաձգված ձերբազատմամբ դեղապատրաստուկների կենսահամարժեքությունը հաստատվում է հետևյալ պարամետրերի վիճակագրական գնահատումից հետո.
մեկանգամյա ներմուծման դեպքում՝ AUC(0-t), AUC(0-∞), Cmax,
բազմակի ներմուծման դեպքում՝ AUC(0-Ժ), Cmax,ss, С Ժ,ss:
Կուտակման (կումուլյացիայի) ունակ՝ երկարաձգված ձերբազատմամբ դեղապատրաստուկների կենսահամարժեքության հետազոտության մեջ դեղակինետիկ պարամետրերի վիճակագրական գնահատման անհրաժեշտությունը ներկայացված է 1-ին աղյուսակում:
Աղյուսակ 1
Կուտակման (կումուլյացիայի) ունակ՝ երկարաձգված ձերբազատմամբ դեղապատրաստուկների կենսահամարժեքության հետազոտության մեջ դեղակինետիկ պարամետրերի վիճակագրական գնահատման անհրաժեշտությունը
|
Դեղակինետիկ պարամետրերը |
Պարամետրերի գնահատման անհրաժեշտությունը | ||
|
մեկանգամյա դոզավորում՝ անոթի ժամանակ |
մեկանգամյա դոզավորում՝ սնունդ ընդունելուց հետո |
բազմակի դոզավորում | |
|
Cmax |
այո |
այո |
ոչ |
|
AUC(0–t) |
այո |
այո |
ոչ |
|
AUC(0–∞) |
այո |
այո |
ոչ |
|
մասնակիAUC |
ոչ |
ոչ |
ոչ |
|
Cmax,ss |
ոչ |
ոչ |
այո |
|
С Ժ,ss |
ոչ |
ոչ |
այո |
|
AUC(0–Ժ)ss |
ոչ |
ոչ |
այո |
116. Երկարաձգված ձերբազատմամբ այն պատրաստուկների կենսահամարժեքությունը, որոնք ունակ չեն կուտակման (կումուլյացիայի) կամ նախատեսված են բացառապես մեկանգամյա կիրառման համար, հաստատվում է մեկանգամյա ներմուծման դեպքում հետևյալ պարամետրերի վիճակագրական գնահատումից հետո՝ AUC(0–t), AUC(0–∞), Cmax և կորի ձևի ռեպրեզենտատիվ չափումից հետո (օրինակ՝ սկզբնական մասնակիAUC-ի և վերջնական մասնակիAUC-ի):
Երկարաձգված ձերբազատմամբ այն դեղապատրաստուկների կենսահամարժեքության հետազոտության մեջ դեղակինետիկ պարամետրերի վիճակագրական գնահատման անհրաժեշտությունը, որոնք ունակ չեն կուտակման (կումուլյացիայի), ներկայացված է 2-րդ աղյուսակում:
Աղյուսակ 2
Երկարաձգված ձերբազատմամբ այն դեղապատրաստուկների կենսահամարժեքության հետազոտության մեջ դեղակինետիկ պարամետրերի վիճակագրական գնահատման անհրաժեշտությունը, որոնք ունակ չեն կուտակման (կումուլյացիայի)
|
Դեղակինետիկ պարամետրերը |
Պարամետրերի գնահատման անհրաժեշտությունը | ||
|
մեկանգամյա դոզավորում՝ անոթի ժամանակ |
մեկանգամյա դոզավորում՝ սնունդ ընդունելուց հետո |
բազմակի դոզավորում | |
|
Cmax |
այո |
այո |
ոչ |
|
AUC(0–t) |
այո |
այո |
ոչ |
|
AUC(0–∞) |
այո |
այո |
ոչ |
|
մասնակիAUC |
այո |
այո |
ոչ |
|
Cmax,ss |
ոչ |
ոչ |
ոչ |
|
С Ժ,ss |
ոչ |
ոչ |
ոչ |
|
AUC(0–Ժ)ss |
ոչ |
ոչ |
ոչ |
117. Հետաձգված ձերբազատմամբ պատրաստուկների կենսահամարժեքությունը հաստատվում է AUC(0–t), AUC(0-∞) և Cmax պարամետրերի վիճակագրական գնահատումից հետո՝ մեկանգամյա ներմուծման դեպքում:
Հետաձգված ձերբազատմամբ դեղապատրաստուկների կենսահամարժեքության հետազոտության մեջ դեղակինետիկ պարամետրերի վիճակագրական գնահատման անհրաժեշտությունը ներկայացված է 3-րդ աղյուսակում:
Աղյուսակ 3
Հետաձգված ձերբազատմամբ դեղապատրաստուկների կենսահամարժեքության հետազոտության մեջ դեղակինետիկ պարամետրերի վիճակագրական գնահատման անհրաժեշտությունը
|
Դեղակինետիկ պարամետրերը |
Պարամետրերի գնահատման անհրաժեշտությունը | ||
|
մեկանգամյա դոզավորում՝ անոթի ժամանակ |
մեկանգամյա դոզավորում՝ սնունդ ընդունելուց հետո |
բազմակի դոզավորում | |
|
Cmax |
այո |
այո |
ոչ |
|
AUC(0–t) |
այո |
այո |
ոչ |
|
AUCի |
այո |
այո |
ոչ |
|
մասնակիAUC |
ոչ |
ոչ |
ոչ |
|
Cmax,ss |
ոչ |
ոչ |
ոչ |
|
С Ժ,ss |
ոչ |
ոչ |
ոչ |
|
AUC(0–Ժ)ss |
ոչ |
ոչ |
ոչ |
118. Մոդիֆիկացված ձերբազատմամբ բազմաֆազ պատրաստուկների կենսահամարժեքությունը հաստատվում է հետևյալ պարամետրերի վիճակագրական գնահատումից հետո՝
մեկանգամյա ներմուծման դեպքում՝ AUC(0–t), AUC(0–∞), մասնակիAUC և Cmax (ազդող նյութի ձերբազատման բոլոր ֆազերում).
բազմակի ներմուծման ժամանակ ազդող նյութի կումուլյացիայի դեպքում՝ AUC(0–Ժ), Cmax,ss, С Ժ,ss:
Բազմաֆազ մոդիֆիկացված ձերբազատմամբ դեղապատրաստուկների կենսահամարժեքության հետազոտության մեջ դեղակինետիկ պարամետրերի վիճակագրական գնահատման անհրաժեշտությունը բերված է 4-րդ աղյուսակում:
119. Բազմաֆազ մոդիֆիկացված ձերբազատմամբ վերարտադրված դեղապատրաստուկների կենսահամարժեքության ապացույցի համար կիրառվում է մոտեցում, որով ենթադրվում է կենսահամարժեքության ստանդարտ սահմանների օգտագործում (80,00 %-125,00 %): Cmax ցուցանիշի համար կենսահամարժեքության սահմանների ցանկացած ընդլայնում պետք է անցկացվի՝ հաշվի առնելով «Կենսահամարժեքության հետազոտությունների անցկացման կանոնների» III բաժնի 11-րդ ենթաբաժնում բերված բարձր փոփոխականությամբ դեղապատրաստուկների համար ցուցումը:
Աղյուսակ 4
Բազմափուլ մոդիֆիկացված ձերբազատմամբ դեղապատրաստուկների կենսահամարժեքության հետազոտության մեջ դեղակինետիկ պարամետրերի վիճակագրական գնահատման անհրաժեշտությունը
|
Դեղակինետիկ պարամետրերը |
Պարամետրերի գնահատման անհրաժեշտությունը | ||
|
մեկանգամյա դոզավորում՝ անոթի ժամանակ |
մեկանգամյա դոզավորում՝ սնունդ ընդունելուց հետո |
բազմակի դոզավորում | |
|
Cmax(х) |
այո |
այո |
ոչ |
|
Cmax(х+1) |
այո |
այո |
ոչ |
|
AUC(0–t) |
այո |
այո |
ոչ |
|
AUC(0–∞) |
այո |
այո |
ոչ |
|
մասնակիAUC(х) |
այո |
այո |
ոչ |
|
մասնակիAUC(х+1) |
այո |
այո |
ոչ |
|
Cmax,ss |
ոչ |
ոչ |
այո |
|
С Ժ,ss |
ոչ |
ոչ |
այո |
|
AUC(0–Ժ)ss |
ոչ |
ոչ |
այո |
120. Կենսահամարժեքության սահմանների ընդլայնման՝ 119-րդ կետում բերված համանման մոտեցումը կարելի է օգտագործել Cmax,ss, СԺ,ss և մասնակիAUC ցուցանիշների համար: Ներանհատական փոփոխականության ցուցանիշի հաշվարկը բազմակի դոզավորմամբ հետազոտություններում կարող է կատարվել հավասարակշիռ վիճակին հասնելուց հետո միևնույն պատրաստուկի 2 հաջորդական ներմուծումների տվյալների հիման վրա:
121. Հետաձգված ձերբազատմամբ դեղաձևերով և բազմաֆազ դեղաձևերով դեղապատրաստուկների համար անհրաժեշտ է նաև գնահատել tmax -ի միջև տարբերությունները, հատկապես եթե դեղապատրաստուկի համար կարևոր է ապահովել ազդեցության արագ սկսվելը: Ընդ որում, չի պահանջվում անցկացնել tmax ցուցանիշի ձևական վիճակագրական գնահատում: Բավական է ցույց տալ tmax միջնարժեքի և դրա կվարտիլային ընդգրկույթի մեջ ակնհայտ տարբերությունների բացակայությունը՝ հետազոտվող և ռեֆերենտ դեղապատրաստուկների համար:
11. Մոդիֆիկացված ձերբազատմամբ դեղապատրաստուկների ֆունկցիոնալ բնութագրերի վրա ալկոհոլի ազդեցության ուսումնասիրությունը
122. Անհրաժեշտ է կատարել սպիրտային լուծույթներում in vitro վերարտադրված դեղապատրաստուկների ձերբազատման հետազոտություններ: Եթե կարճ ժամանակահատվածի ընթացքում սպիրտի բարձր կամ ցածր կոնցենտրացիաների դեպքում, կամ տևական ժամանակի ընթացքում սպիրտի ցածր կոնցենտրացիաների դեպքում նկատվում է in vitro ազդող նյութի արագացված ձերբազատում, ապա անհրաժեշտ է փոփոխել դեղապատրաստուկի բաղադրությունը։ Եթե անհնար է խուսափել դեղապատրաստուկի կիրառման ընթացքում ալկոհոլի՝ դեղապատրաստուկի վրա ազդեցությունից և այդպիսի անխուսափելի ազդեցության մասին նշված է ռեֆերենտ դեղապատրաստուկի համար դեղապատրաստուկի ընդհանուր բնութագրի մեջ, ապա հայտատուն պետք է հիմնավորի (հաստատի), որ այդպիսի ազդեցությունը կլինիկորեն նշանակալի չէ, կամ վերլուծության ենթարկի դրա պոտենցիալ կլինիկական նշանակալիությունը՝ ռեֆերենտ դեղապատրաստուկի կիրառման մասին տվյալների հիման վրա:
12. Այլ գործոններ, որոնք պահանջվում է հաշվի առնել մոդիֆիկացված ձերբազատմամբ դեղապատրաստուկների կենսահամարժեքության հետազոտություններն անցկացնելիս
123. Պետք է հաշվի առնել Կենսահամարժեքության հետազոտությունների անցկացման կանոններում բերված՝ սովորական ձերբազատմամբ դեղապատրաստուկների համար ցուցումներին համապատասխան կենսահամարժեքության պլանավորման և գնահատման հետևյալ ասպեկտներին ներկայացվող պահանջները՝
ա) հետազոտվող և ռեֆերենտ դեղապատրաստուկների ընտրություն.
բ) հետազոտությունների սուբյեկտների ընտրություն.
գ) կենսահամարժեքության հետազոտությունների անցկացում.
դ) առաջնային սահմանային կետերի վիճակագրական գնահատում.
ե) սկզբնական միացության և դրա մետաբոլիտների գնահատում.
զ) էնանտիոմերների գնահատում.
է) էնդոգեն նյութերի գնահատում.
ը) նեղ թերապևտիկ ինդեքսով դեղապատրաստուկների հետազոտություն (կարող է անհրաժեշտ լինել СԺ ցուցանիշի համար կենսահամարժեքության սահմանների նեղացում).
ժ) բարձր փոփոխականությամբ ազդող նյութերի և դեղապատրասուկների հետազոտություն.
ժա) ուսումնասիրվող դեղապատրաստուկների համար դեղակինետիկայի ցուցանիշների գծայնության գնահատում:
|
ՀԱՎԵԼՎԱԾ ԹԻՎ 1 |
ՊԱՀԱՆՋՆԵՐ
վերմաշկային դեղապատրաստուկների՝ սենսիբիլիզացիայի և գրգռվածության մասով հետազոտությունների անցկացմանը ներկայացվող
1. Սույն Պահանջներում պարունակվում են ցուցումներ հետազոտությունների պլանավորման և հաշվարկման համակարգերի մասով, որոնք կարելի է օգտագործել մաշկային գրգռվածության և մաշկի սենսիբիլիզացիայի հետազոտության համար՝ նոր քիմիական միացությունով վերմաշկային դեղապատրաստուկների կամ վերարտադրված վերմաշկային դեղապատրաստուկների մշակման ընթացքում: Հետազոտության դիզայնը կարող է ադապտացվել կոնկրետ իրավիճակի համար:
2. Քանի որ մաշկի վիճակը կարող է ազդել վերմաշկային դեղապատրաստուկի ազդող նյութի աբսորբման վրա և ազդեցություն ցուցաբերել դրա էֆեկտիվության և (կամ) դրա կիրառման անվտանգության վրա, ապա մաշկի ռեակցիաները և մաշկի սենսիբիլիզացիան ենթակա են գնահատման:
3. Վերարտադրված վերմաշկային դեղապատրաստուկի՝ ռեֆերենտ վերմաշկային դեղապատրաստուկի համեմատ համակողմանի գնահատման համար, այլ հիմնավորումների (օրինակ՝ այդ վերմաշկային դեղապատրաստուկների շատ մոտ քանակական և որակական բաղադրության) բացակայության դեպքում անհրաժեշտ է նաև հաստատել գրգռվածության ռեակցիաների համանմանությունը և մաշկի սենսիբիլիզացիայի ռեակցիաների համանմանությունը:
4. Հետազոտության մեջ ընդգրկվող դոզավորումը որոշում են՝ հաշվի առնելով հետևյալ գործոնները՝
ա) մարդու մոտ վերմաշկային դեղապատրաստուկների կիրառման ռետրոսպեկտիվ փորձ՝ըստ գիտական գրականության տվյալների.
բ) կենդանիների մոտ մաշկի սենսիբիլիզացիայի (գրգռվածության)՝ նախկինում անցկացված հետազոտություններ.
գ) յուրաքանչյուր կոնկրետ հետազոտվող ազդող նյութի համար բնորոշ՝ անվտանգության հարցեր:
Վերարտադրված վերմաշկային դեղապատրաստուկի հետազոտությունների ընդհանուր դիզայնը
5. Ստանդարտ հետազոտությունը պետք է ունենա զուգահեռ խմբերում ակտիվ հսկողության և 3 ֆազով բազմակի դոզավորմամբ պլացեբոյի ներմուծմամբ դիզայն:
Եթե անհնար է հետազոտվող և ռեֆերենտ վերմաշկային դեղապատրաստուկները միաժամանակ զետեղել, քանի որ ըստ չգրանցված ցուցումի կներմուծվի ազդող նյութի կրկնակի քանակ, ինչը կարող է կյանքին վտանգ սպառնացող հետևանքներ ունենալ, ապա թույլատրվում է օգտագործել բաղադրություններով և զետեղելու մակերեսներով համամասնական վերմաշկային դեղապատրաստուկների ցածր դոզավորումներ:
Նախքան վերմաշկային սպեղանիները զետեղելը՝ 14 օրվա ընթացքում անցկացվում է սկրինինգային գնահատում, որը ներառում է՝
բժշկական անամնեզի հավաքում,
ամբողջական ֆիզիկական հետազոտություն,
էլեկտրասրտագրության հետազոտություն (ԷՍԳ) 12 արտածումներում.
լաբորատոր անալիզներ (ներառյալ արյան բիոքիմիան, արյունաբանությունը և մեզի անալիզը, այդ թվում՝ թմրանյութերի պարունակության մասով անալիզը):
Հետազոտության սուբյեկտները բաշխվում են խմբերի (խումբ 1 և խումբ 2) և գնահատվում են մաշկի կումուլյատիվ գրգռվածության ու կոնտակտային սենսիբիլիզացիայի մասով: Երկու խմբերի հետազոտության սուբյեկտներին անհրաժեշտ է, եթե դա թույլատրված է դեղապատրաստուկի ընդհանուր բնութագրի մեջ, պատահական կարգով զետեղել հետազոտվող վերմաշկային սպեղանին, ռեֆերենտ վերմաշկային սպեղանին և պլացեբո-սպեղանին՝ մեջքի մաշկի կամ մաշկի այլ հետազոտվող հատվածների վրա: Մաշկի ռեակցիաները պետք է գնահատի փորձառու հետազոտողը (անհրաժեշտ պատրաստվածություն անցած), որի համար դեղապատրաստուկների բաշխման մասին տեղեկատվությունը պետք է լինի քողարկված: Վերմաշկային սպեղանու ազդեցության նկատմամբ սուբյեկտի մոտ ավելորդ ռեակցիա զարգանալուց խուսափելու համար անհրաժեշտ է նախատեսել հետազոտությունում մասնակցության դադարեցման չափանիշներ:
Յուրաքանչյուր սուբյեկտ մասնակցում է հետազոտության հետևյալ 3 հաջորդական փուլերում:
Գրգռվածության ինդուկցիայի (կուտակման) փուլ
6. 1-ին խմբի սուբյեկտների վրա զետեղում են հետազոտվող սպեղանին, ռեֆերենտ սպեղանին և պլացեբո-սպեղանին մաշկի՝ պատահականորեն ընտրված հատվածների վրա՝ 21 օրվա ընթացքում: 2-րդ խմբի սուբյեկտների վրա զետեղում են հետազոտվող սպեղանին, ռեֆերենտ սպեղանին և պլացեբո-սպեղանին մաշկի՝ պատահականորեն ընտրված հատվածների վրա՝ շաբաթական 3 անգամ, 21 օրվա ընթացքում (զետեղում են ընդամենը 9 անգամ): 2-րդ խմբում սպեղանիները մնում են մաշկի վրա 48 ժամվա ընթացքում աշխատանքային օրերին և 72 ժամ՝ ոչ աշխատանքային օրերին: Նոր սպեղանին զետեղում են նույն հատվածին, որ հատվածին զետեղված էր նախորդը: Եթե հերթական սպեղանին պետք է զետեղել նախորդը հեռացնելուց հետո 1 ժամվա ընթացքում կամ դրանից պակաս ժամանակահատվածում, ապա հերթական սպեղանու կիրառման ժամականահատվածը թույլատրվում է կրճատել այդ ժամանակահատվածի չափով:
Հանգստի փուլ
7. Գրգռվածության ինդուկցիայի (կումուլյացիայի) փուլին հաջորդում է երկշաբաթյա հանգստի փուլը, որի ընթացքում սպեղանիներ չեն զետեղվում:
Պրովոկացիայի փուլ
8. Հանգստի փուլից հետո սպեղանիները 48 ժամով զետեղում են մաշկի նոր հատվածների վրա՝ նախկինում որոշված սահմանների շրջանում:
9. Որպես մաշկի գնահատման լրացում՝ սպեղանին հեռացնելուց հետո 0,5 և 24 ժամ անց պրովոկացիայի փուլին մասնակցող սուբյեկտները վերադառնում են հետազոտության՝ 40-րդ և 41-րդ օրերին՝ վերջին սպեղանին հեռացնելուց 48 և 72 ժամ հետո մաշկային ռեակցիայի լրացուցիչ գնահատման համար:
10. Միջանհատական փոփոխականության ազդեցությունը նվազեցնելու նպատակով հետազոտության յուրաքանչյուր սուբյեկտ ստանում է բոլոր 3 համեմատվող սպեղանիները միաժամանակ: Բացի այդ՝ «պատրաստուկ-զետեղելու հատված» փոխազդեցության հնարավորությունը հսկելու նպատակով (որը քիչ հավանական է), բոլոր 3 սպեղանիները պատահական կարգով զետեղվում են մաշկի 3 հատվածների վրա այնպես, որ յուրաքանչյուր սպեղանի կիրառվի մաշկի նույն հատվածի վրա, որը կիրառվում էր նախկինում՝ մոտավորապես թվով հավասար անգամներ (եթե հաշվի առնվեն հետազոտության բոլոր մասնակիցների մոտ կիրառությունները):
11. Մաշկի ռեակցիաներն անհրաժեշտ է գնահատել հետազոտության՝ 1-ին խմբի ու 2-րդ խմբի բոլոր սուբյեկտների մոտ: Երկու խմբերի սուբյեկտների մոտ սպեղանու զետեղելու հատվածները գնահատվում են մաշկի գրգռվածության մասով՝ սպեղանին հեռացնելուց հետո 30 րոպե անց (բալ՝ ըստ մաշկի պատասխանի գնահատման սանդղակի և բալ՝ ըստ սենսիբիլիզացիայի ու ալերգիկ ռեակցիաների գնահատման սանդղակի): Գրգռվածության ինդուկցիայի (կուտակման) փուլում նոր սպեղանիները զետեղում են նախորդը հեռացնելուց հետո 1 ժամ անց:
12. Պրովոկացիայի փուլում կոնտակտային սենսիբիլիզացիայի գնահատման նպատակներով հետազոտվող սպեղանին, համեմատման սպեղանին և պլացեբո-սպեղանին զետեղում են միաժամանակ 48 ժամով՝ երկու խմբերի սուբյեկտների մաշկի այն հատվածներին, որոնց վրա նախկինում սպեղանի չէր զետեղվել: Այդ հատվածների վրա մաշկի ռեակցիան գնահատվում է սպեղանին հեռացնելուց հետո 0.5, 24, 48 և 72 ժամ անց:
13. Մաշկային ռեակցիաները ստուգում և դասակարգում են՝ օգտագործելով 1-ին աղյուսակում (մաշկի պատասխանի գնահատման սանդղակ) և 2-րդ աղյուսակում (սենսիբիլիզացիայի և ալերգիկ ռեակցիաների գնահատման սանդղակ) բերված բալերի գնահատման սանդղակները: Թույլատրվում է որպես գնահատման հնարավոր այլընտրանքային տարբերակներ օգտագործել գնահատման այլ սանդղակներ, որոնք նկարագրված են գիտա-բժշկական գրականության մեջ, ընդ որում՝ պահանջվում է հիմնավորել գնահատման այդպիսի սանդղակի ընտրությունը կլինիկական հետազոտության ծրագրում:
14. Զետեղելու յուրաքանչյուր տեղ ստանում է առանձին բալ՝ ըստ մաշկի պատասխանի գնահատման և սենսիբիլիզացիայի ու ալերգիկ ռեակցիաների գնահատման սանդղակների, որոնք գումարվում են մաշկի ռեակցիայի համակցված գնահատման բալերում: Մաշկի ռեակցիայի յուրաքանչյուր տեսակի բալի գնահատման համար անհրաժեշտ է, որ մաշկի այն հատվածի մակերեսի առնվազն 25 %-ի վրա, որի վրա զետեղվել է սպեղանին, նկատվի մաշկի ռեակցիա: Պրովոկացիայի փուլի ընթացքում (կոնտակտային գերզգայունացման գնահատում) դրական պատասխան է համարվում միայն մաշկի ռեակցիայի համակցված գնահատման բալը, որը գերազանցում է 2-ը:
Աղյուսակ 1
Բալերը՝ ըստ մաշկի պատասխանի գնահատման սանղակի
|
Բալ |
Սահմանումը |
|
0 |
Ռեակցիա չկա (գրգռվածության հատկանիշները բացակայում են) |
|
1 |
Նվազագույն (հազիվ տեսանելի) էրիթեմա |
|
2 |
Թեթև (թեթև տեսանելի) էրիթեմա՝ առանց այտուցի և (կամ) պապուլաների |
|
3 |
Չափավոր էրիթեմա՝ առանց այտուցի և (կամ) պապուլաների կամ թեթև (թեթև տեսանելի) էրիթեմա՝ այտուցով և (կամ) պապուլաներով |
|
4 |
Ծանր էրիթեմա՝ առանց այտուցի (կամ) պապուլաների կամ չափավոր էրիթեմա՝ այտուցով և (կամ) պապուլաներով |
|
5 |
Ծանր էրիթեմա՝ այտուցով և (կամ) պապուլաներով կամ ցանկացած վեզիկուլյար ռեակցիա |
|
6 |
Բուլեզային ռեակցիա կամ ցանկացած ռեակցիա, որը համապատասխանում է 3-5 բալերին, սակայն տարածվում է սպեղանու սահմաններից դուրս |
Աղյուսակ 2
Բալեր՝ ըստ սենսիբիլիզացիայի և ալերգիկ ռեակցիաների գնահատման սանդղակի
|
Բալ |
Սահմանումը |
|
0 |
Ռեակցիա չկա |
|
0,5 |
Էրիթեմա առանց ինֆիլտրացիայի |
|
1 |
Էրիթեմա ինֆիլտրացիայով, առանձին պապուլաներով |
|
2 |
Էրիթեմա ինֆիլտրացիայով, պապուլաներով, վեզիկուլաներով |
|
3 |
Էրիթեմա ինֆիլտրացիայով, պապուլաներով, միախառնված վեզիկուլաներով |
15. Հետազոտվող պատրաստուկի նկատմամբ «արտահայտված» ռեակցիա է համարվում ըստ մաշկի պատասխանի գնահատման սանդղակի այն բալը, որը հավասար է 3-6-ի, կամ մաշկի պատասխանի գնահատման սանդղակով ցանկացած բալի և սենսիբիլիզացիայի ու ալերգիկ ռեակցիաների գնահատման սանդղակով բալի գումարը, որը հավասար է 3-ի կամ դրանից ավելի է:
Աղյուսակ 3
Հետազոտվող վերմաշկային դեղապատրաստուկի, ռեֆերենտ վերմաշկային դեղապատրաստուկի և պլացեբո-պատրաստուկի համակցված գնահատումը՝ ըստ մաշկի պատասխանի գնահատման սանդղակի բալերի և սենսիբիլիզացիայի ու ալերգիկ ռեակցիաների գնահատման սանդղակի բալերի
|
Խումբը |
Փուլը |
Հետազոտողի կողմից կատարվող գնահատման տեսակը |
Գնահատվող ցուցանիշները |
|
Խումբ 1 |
գրգռվածության ինդուկցիայի (կուտակման) փուլ |
Մաշկի պատասխանի բալերը |
գրգռվածության միջին բալը (հավասար է խմբում մաշկի պատասխանի միջին բալին). |
|
Խմբերը 1+2 |
պրովոկացիայի (կոնտակտային սենսիբիլիզացիայի) փուլը |
Մաշկի պատասխանի բալերը |
մաշկի համակցված պատասխանի բալը՝ 2:2 |
| Խումբը |
փուլը |
Հետազոտողի կողմից կատարվող գնահատման տեսակը |
գնահատվող ցուցանիշներ |
| ռեակցիաների գնահատման համար բալերը |
16. Հիմնական անալիզն անցկացնելիս համեմատում են հետազոտվող պատրաստուկի և ռեֆերենտ պատրաստուկի գրգռվածության միջին բալը (մաշկի պատասխանի՝ բոլոր ուսումնասիրությունների միջին բալը) և ընդհանուր կուտակված գրգռվածությունը՝ բալերով (բոլոր ուսումնասիրություններում մաշկի պատասխանի բալերի գումարը): Այդպիսի պատրաստուկի «օգուտ-ռիսկ» հարաբերակցության դրական պատասխան ստանալու համար անցկացնում են նախօրոք պլանավորված վիճակագրական անալիզ, որը հիմնված է ոչ պակաս էֆեկտիվության վիճակագրական հիպոթեզի ստուգման վրա: Պատրաստուկների միջև գրգռվածության բալերի համեմատման համար օգտագործվում է 2 միակողմանի t-թեստերի մեթոդը: Յուրաքանչյուր պարամետրի համար նվազագույն միջին քառակուսային շեղումը յուրաքանչյուր պատրաստուկի մասով ստանում են դիսպերսիոն անալիզի մոդելից, որում սուբյեկտը և հետազոտվող պատրաստուկը հանդես են գալիս որպես ֆիքսված փոփոխականներ: Անհրաժեշտ է հաշվարկել հետազոտվող պատրաստուկի նվազագույն միջին քառակուսային շեղման հարաբերությունը ռեֆերենտ պատրաստուկին՝ 90 % վստահելի միջակայքի հետ միասին: Եթե 90 % վստահելի միջակայքն ամբողջությամբ տեղավորվում է 0,80000-1,2500 միջակայքի մեջ, ապա եզրահանգում են 2 պատրաստուկների համարժեքության մասին:
17. Կոնտակտային սենսիբիլիզացիայի գնահատումն անցկացվում է պրովոկացիայի փուլում՝ մաշկի պատասխանի՝ 2-ին հավասար կամ դրանից ավելի բալի դեպքում: Այդ տվյալները չի պահանջվում ենթարկել վիճակագրական վերլուծության:
18. Սույն հավելվածում բերված հետազոտության դիզայնն օգտագործվում է վերարտադրված վերմաշկային դեղապատրաստուկների համարժեքության առանձին հարցերի ուսումնասիրման համար (օրինակ, արդյունաբերական բաղադրագրի ու արտադրական պրոցեսի որոշակի բնութագրերի համարժեքության գնահատում, ռեֆերենտ դեղապատրաստուկների համեմատ՝ վերարտադրված վերմաշկային դեղապատրաստուկների բաղադրության մեջ տարբերություններ, վերմաշկային դեղապատրաստուկների դոզավորման պլանավորվող միջակայքերի համարժեքության գնահատում):
Սենսիբիլիզացիայի գնահատման համար անցկացվող հետազոտությունները, որոնցով նախատեսվում է մարդու վրա՝ որպես հետազոտության սուբյեկտի, սպեղանու բազմակի զետեղումը, անհրաժեշտ է անցկացնել միայն բացառիկ դեպքերում, քանի որ հետազոտության սուբյեկտները կարող են ենթարկվել ավելորդ սենսիբիլիզացիայի, իսկ ընտրանքի չափում կարող են չներառվել զգայուն սուբյեկտները (այսինքն մարդկանց, որոնց օրգանիզմը ունակ է ապահովելու պատշաճ ռեակցիա):
|
ՀԱՎԵԼՎԱԾ ԹԻՎ 2 |
ՑՈՒՑՈՒՄՆԵՐ՝
in vivo մաշկային ադհեզիայի գնահատման վերաբերյալ
I. Վերմաշկային դեղապատրաստուկներ, որոնք պարունակում են նոր կամ հայտնի ազդող նյութ
1. in vivo ադհեզիվ ֆունկցիոնալ բնութագրերի ուսումնասիրությունը, որպես կանոն, դեղապատրաստուկի էֆեկտիվության հետազոտությունների մաս է: Ռիսկերի, դեղապատրաստուկի ընդհանուր բնութագրի և կոնկրետ դեղապատրաստուկների ներդիր-թերթիկների վերլուծության հիման վրա անհրաժեշտ է գնահատել դեղպատրաստուկի կայունությունը՝ առօրյա ֆիզիկական ակտիվության և վարքագծի նկատմամբ (օրինակ՝ խոնավության նկատմամբ կայունությունը՝ լվացվելիս, լոգանք ընդունելիս, շոգեբաղնիք այցելելիս, խոնավացուցիչներ օգտագործելիս, ինքնաբերաբար պոկվելու ռիսկը՝ ֆիզիկական մարզանք կատարելիս և (կամ) քնի մեջ, այլ մարդկանց մաշկի վրա (սեռական զուգընկերների կամ ընտանիքի անդամների) հնարավոր փոխանցումը): Անհրաժեշտ է կանխարգելել սպեղանու պատահաբար փոխանցումը այլ մարդու մաշկի վրա, որը այն չի կրում, և նվազեցնել այլ ռիսկեր, որոնք պայմանավորված են վատ ադհեզիայով՝ սպեղանու բավարար ադհեզիոն ֆունկցիոնալ բնութագրերի ապահովման միջոցով:
II. Վերմաշկային դեղապատրաստուկ, որը գրանցված վերմաշկային դեղապատրաստուկի անալոգ է
2. in vivo ադհեզիվ ֆունկցիոնալ բնութագրերի ուսումնասիրությունը կարելի է ներառել կլինիկական դեղակինետիկայի հետազոտության մեջ (ինչպես մեկանգամյա դոզավորմամբ, այնպես էլ բազմակի դոզավորմամբ), կամ այն կարող է լինել անկախ հետազոտություն՝ կամ պացիենտների, կամ կամավորների մասնակցությամբ: Քանի որ ադհեզիվ ֆունկցիոնալ բնութագրերի հետազոտություններով պետք է սահմանվեն սպեղանու բավարար ադհեզիոն հատկությունները՝ նպատակային պոպուլյացիայի համար կիրառման դեպքում, ապա ադհեզիայի ուսումնասիրության և դեղակինետիկայի համար կարող են պահանջվել հետազոտությունների տարբեր տեսակներ:
3. Մի քանի դոզավորումներով ներկայացված՝ վերմաշկային սպեղանիների մասով այլ հիմնավորման բացակայության դեպքում in vivo փորձարկումներն անցկացվում են ամենամեծ չափի սպեղանու կիրառմամբ:
1. Ադհեզիայի հետազոտության անցկացումը
4. Չի թույլատրվում սպեղանու կրկնակի ֆիքսումը, օրինակ, դրա վրա ուժեղ սեղմելու միջոցով: Սակայն եթե անհրաժեշտ է պատրաստուկն օգտագործել դեղապատրաստուկի ընդհանուր բնութագրին համապատասխան՝ բավարար ադհեզիան ապահովելու համար նախատեսված ֆիքսող կապով, ապա ադհեզիայի հետազոտություններն անհրաժեշտ է անցկացնել այդ ֆիքսող կապի օգտագործմամբ:
5. Անհրաժեշտ է նշել և հիմնավորել ադհեզիայի գնահատման հաճախականությունը՝ նշելով վերմաշկային սպեղանիները զետեղելու և հեռացնելու ժամանակային կետերը: Ադհեզիայի գնահատման հաճախականությունը պետք է կախված լինի սպեղանին կրելու ժամանակից: Բավարար և ոչ բավարար ֆունկցիոնալ բնութագրերը նաև կարելի է գրանցել լուսանկարման միջոցով:
6. Եթե ադհեզիան ուսումնասիրվում է բազմակի դոզավորմամբ դեղակինետիկ հետազոտության ժամանակ, ապա ընտրանքի չափը հաշվարկելիս անհրաժեշտ է հաշվի առնել ոչ միայն դեղակինետիկ սահմանային կետերի արժեքները, այլ նաև բավարար ադհեզիայի մասին հիպոթեզի ստուգման ժամանակ ընդունելիության չափանիշների արժեքները:
7. Գրանցման դոսյեում պետք է ներկայացնել հետազոտության արդյունքների կրճատ ամփոփում յուրաքանչյուր հետազոտվող վերմաշկային դեղապատրաստուկի համար՝ աղյուսակային ու գրաֆիկական ձևաչափերով՝ պարզաբանումներով:
8. Գրանցման դոսյեում անհրաժեշտ է բերել ադհեզիայի մասնաբաժնի անհատական արժեքները՝ կախված զետեղելու ժամանակից՝ աղյուսակային ձևաչափով դրանց համապատասխանող նկարագրական վիճակագրություններով: Հետազոտության միջին արդյունքների ամփոփումը ներկայացնում են 1-ին աղյուսակին համապատասխան աղյուսակային ձևով:
Աղյուսակ 1
Մաշկային ադհեզիայի հետազոտության արդյունքների ամփոփումը
|
Ամրացում |
Գնահատման ժամանակային կետը, ժամերը | |||||||
|
... ժ |
... ժ |
... ժ |
... ժ | |||||
|
Ռեֆերենտ (R) № (%) |
Հետազոտ վող (T) № (%) |
(R) № (%) |
(T) № (%) |
(R) № (%) |
(T) № (%) |
(R) № (%) |
(T) № (%) | |
|
Մեծ կամ հավասար 90 % |
||||||||
|
Մեծ կամ հավասար 80 % |
||||||||
|
Մեծ կամ հավասար 70 % |
||||||||
|
Մեծ կամ հավասար 60 % |
||||||||
|
Մեծ կամ հավասար 50 % |
||||||||
|
0-ից մինչև 50 %-ից քիչ |
||||||||
9. Զետեղելու ժամանակից կախված՝ որպես ադհեզիայի անհատական և միջին մասնաբաժիններով աղյուսակային տվյալների լրացում՝ գրանցման դոսյեում անհրաժեշտ է ներկայացնել ադհեզիվության հիստագիրը 2 հետազոտվող խմբերում:
2. Ադհեզիայի գնահատման չափանիշները
10. Ադհեզիան քանակապես արտահայտում են մաշկի այն մակերեսի մասնաբաժնի (տոկոսի) միջոցով, որի վրա դոզավորման միջակայքի վերջում սպեղանին մնում է փակցված վիճակում:
11. Ադհեզիայի գնահատման հիմնական չափանիշները՝
ա) ադհեզիան համարվում է ընդունելի, եթե մաշկի այն հատվածի միջին մակերեսի 90-տոկոսանոց վստահելի միջակայքը, որի վրա դոզավորման միջակայքի վերջում հետազոտվող սպեղանին մնում է փակցված վիճակում, գերազանցում է սպեղանին ամրացնելու սկզբնական մակերեսի մեծության 90 %-ը: Տվյալ պահանջը չպահպանելու ցանկացած դեպք պետք է հիմնավորել՝ ուշադրություն դարձնելով բոլոր հնարավոր ռիսկերին, որոնք պայմանավորված են սպեղանին ոչ ամբողջությամբ ամրացնելով.
բ) եթե ենթադրվում է, որ սույն կետի «բ» ենթակետի պահանջի կատարումը քիչ հավանական է, կարելի է սահմանել հետազոտվող վերմաշկային դեղապատրաստուկի ոչ պակաս էֆեկտիվությունը՝ ռեֆերենտ վերմաշկային դեղապատրաստուկի համեմատ: Դա հնարավոր է, եթե ռեֆերենտ վերմաշկային դեղապատրաստուկը ինքնին թույլ է ամրացվում (90 %-ից պակաս): Ըստ ադհեզիայի մասնաբաժնի՝ որպես անընդհատ փոփոխականի, հաշվարկված (հետազոտվող դեղապատրաստուկ՝ հանած ռեֆերենտ դեղապատրաստուկ)՝ ադհեզիվության տարբերության 90-տոկոսանոց վստահելի միջակայքի ստորին սահմանը չպետք է լինի 10 %-ից պակաս:
12. Բացի այդ, պետք է գնահատել և համեմատել՝
ադհեզիայի մասնաբաժինը բոլոր ժամանակային կետերում, որպեսզի գնահատվի հետազոտության ընթացքում ադհեզիայի փոփոխության դինամիկան.
սուբյեկտների մասնաբաժինը, որոնք յուրաքանչյուր գնահատվող ժամանակային կետում պահպանում են ավելի քան 90-տոկոսանոց ամրացում.
բոլոր ժամանակային կետերում պոկվածության էական աստիճան (մաշկից հեռացումը կամ սպեղանու կեսից ավելի պոկումը) ունեցող՝ յուրաքանչյուր հետազոտվող դեղապատրաստուկի սուբյեկտների մասնաբաժինր.
յուրաքանչյուր ժամանակային կետում ամբողջությամբ պոկված սպեղանիների թիվը:
Անհրաժեշտ է նաև վերլուծել սպեղանիների՝ ամբողջությամբ պոկվելու և թույլ ամրացվելու դեպքերը՝ սահմանելով հնարավոր պատճառները և ռիսկի գործոնները:
13. Ադհեզիայի որակական գնահատման դեպքում անհրաժեշտ է հաշվի առնել հետևյալ գործոնները՝
ձերբազատող շերտը և վերմաշկային սպեղանին հեռացնելիս ազդող նյութի մնացորդների առկայությունը.
սպեղանու տակից ադհեզիվ նյութի արտահոսքը, որը կարող է հանգեցնել, օրինակ, վերմաշկային սպեղանու շուրջ մուգ օղակի առաջացման, սպեղանու շարժունության կամ պոկվելու, ծալքերի առաջացման:
Հետազոտության արդյունքները պետք է ներառել դեղապատրաստուկի ընդհանուր բնութագրի մեջ:
|
ՀԱՎԵԼՎԱԾ ԹԻՎ 3 |
ՑՈՒՑՈՒՄՆԵՐ
in vitro և in vivo ստացված տվյալների համահարաբերությունը որոշելու վերաբերյալ
I. Ընդհանուր դրույթներ
1. In vitro և in vivo ստացված տվյալների համահարաբերությունը (IVIVC) մաթեմատիկական մոդել է, որը բնութագրում է դեղաձևի՝ in vitro սահմանված հատկության (գլխավորապես ազդող նյութի լուծման կամ ձերբազատման) և in vivo-ի համապատասխան պատասխանի (գլխավորապես ազդող նյութի պլազմային կոնցենտրացիայի և դրա աբսորբված քանակի) միջև կախվածությունը։ Նման կախվածությունն առաջանում է, եթե միայն ազդող նյութի՝ դեղապատրաստուկից ձերբազատումը թույլ է տալիս վերահսկել պլազմայում ազդող նյութի ի հայտ գալու արագությունը։
2. Մոդիֆիկացված ձերբազատմամբ դեղապատրաստուկը մշակելիս առաջարկվում է ուսումնասիրել IVIVC-ն՝
ա) ազդող նյութի՝ դեղապատրաստուկից in vivo ձերբազատումը և ազդող նյութի աբսորբման վրա դեղաձևի ազդեցությունը որոշելու համար.
բ) լուծման փորձարկումների in vitro ստացված արդյունքների՝ նշանակալիությունն in vivo որոշելու և լուծման մասնագրերում համապատասխան ցուցանիշների ընտրության համար.
գ) դեղապատրաստուկի կլինիկական մշակման վերջին փուլերում կամ դեղաձևի բաղադրությունը փոխելիս հետգրանցումային փուլում բիովեյվերի անցկացումը հիմնավորելու համար։
3. Առանձնացնում են IVIVC-ի մի քանի մակարդակներ՝ A, B և C։ IVIVC-ի A մակարդակը՝ ի տարբերություն B և C մակարդակների, թույլ է տալիս հաստատել կետային կախվածությունը պատրաստուկի in vitro լուծման կորագծի և «կոնցենտրացիա-ժամանակ» in vivo պրոֆիլի միջև ու մոդիֆիկացված ձերբազատմամբ դեղապատրաստուկների համար ցանկալի մակարդակ է։ Եթե IVIVC-ն օգտագործվում է բիովեյվերի անցկացման նպատակով, ապա A մակարդակի համահարաբերությանը հասնելը պարտադիր պայման է։
4. IVIVC-ի պիտանիությունը պայմանավորված է նրանով, թե որքան ճիշտ է այն կանխատեսում ձեռք բերվող պլազմային կոնցենտրացիան՝ in vitro ստացված տվյալների ցանկացած բազմությունից։ Դա իր հերթին գլխավորապես պայմանավորված է IVIVC-ն սահմանելու և վալիդացնելու համար կիրառված՝ in vitro և in vivo հետազոտությունների դիզայնով։
II. Հետազոտության դիզայնը
5. Խաչաձև հետազոտությունում առողջ կամավորներին տալիս են լուծման պրոֆիլներով տարբերվող նույն ձերբազատման մեխանիզմով 2 կամ ավելի դեղապատրաստուկ և ռեֆերենտ դեղապատրաստուկի համապատասխան դեղաձև (դեկոնվոլյուցիայի նպատակով)՝ ազդող նյութի արագ ձերբազատմամբ (օրինակ՝ ներքին ընդունման լուծույթ կամ սովորական ձերբազատմամբ դեղապատրաստուկ)։ Նաև կարող են նախատեսվել հետազոտությունների այլընտրանքային դիզայններ (օրինակ՝ զուգահեռ, ռանդոմացված՝ կամ մասնակի, կամ ամբողջությամբ), որոնց ընտրությունն իրականացվում է կախված մոդիֆիկացված ձերբազատմամբ դեղապատրաստուկի հատկություններից, ազդող նյութի դեղակինետիկ ցուցանիշների փոփոխականությունից, այդ ազդող նյութի տանելիությունից և այլն։ Մոդիֆիկացված ձերբազատմամբ դեղապատրաստուկի IVIVC հետազոտությունն անցկացնում են անոթի, նույնիսկ եթե այդ պատրաստուկը խորհուրդ է տրվում ընդունել սննդի հետ։ Պլազմայի կամ արյան մեջ ազդող նյութի (ելանյութի կամ այլ համապատասխան անալիտի) պարունակությունը որոշվում է Եվրասիական տնտեսական հանձնաժողովի խորհրդի 2016 թվականի նոյեմբերի 3-ի թիվ 85 որոշմամբ հաստատված՝ Եվրասիական տնտեսական միության շրջանակներում դեղապատրաստուկների կենսահամարժեքության հետազոտությունների անցկացման կանոններին համապատասխան։
6. IVIVC-ի ստեղծման և վալիդացման համար օգտագործված պատրաստուկների համար ուսումնասիրված ընդգրկույթից դուրս արտարկում թույլ չի տրվում՝ այդ դեղապատրաստուկների գրանցման և շրջանառության նկատմամբ վերահսկողություն իրականացնելու նպատակներով (օրինակ՝ դրանց համար մասնագրեր կազմելիս կամ բիովեյվերի գրանցման ժամանակ անցկացնելիս)։ Այսպիսով, գնահատման համար դեղապատրաստուկների ընտրությունը պահանջում է հանգամանորեն վերլուծություն՝ հաշվի առնելով այնպիսի գործոնները, ինչպիսիք են ազդող նյութի ձերբազատման մեխանիզմը, դեղապատրաստուկների միջև բավարար տարբերությունների ապահովման եղանակը և այլն՝ Ներքին ընդունման մոդիֆիկացված ձերբազատմամբ դեղաձևով դեղապատրաստուկների որակի վերաբերյալ ձեռնարկին համապատասխան (Եվրասիական տնտեսական հանձնաժողովի կոլեգիայի 2018 թվականի հունվարի 16-ի թիվ 2 հանձնարարականի հավելված)։ Քանի որ ցանկացած ազդող նյութի «կոնցենտրացիա-ժամանակ» պրոֆիլի զգայունությունը պայմանավորված է դրա սեփական դեղակինետիկ հատկություններով, ապա պատրաստուկների ընտրությունը պետք է հիմնված լինի «պլազմային կոնցենտրացիա-ժամանակ» ակնկալվող պրոֆիլի վրա (IVIVC-ի թեորետիկ կախվածության կամ հնարավոր կախվածությունների բազմության և ազդող նյութի հայտնի դեղակինետիկ հատկությունների օգտագործման նմանակում)։
7. Միևնույն դեղապատրաստուկի տարբեր դոզավորումները, որպես կանոն, չեն դիտարկվում որպես ձերբազատման տարբեր արագություններ ներկայացնող, չնայած այն բանին, որ IVIVC-ի սահմանման կամ արտաքին կանխատեսելիության գնահատման համար թույլատրվում է տարբեր դոզավորումների օգտագործումը։ Այդ իսկ պատճառով տարբեր պատրաստուկների լուծման պրոֆիլների տարբերության գնահատումը, որպես կանոն, հիմնվում է ազդող նյութի անվանական (կամ փաստացի) պարունակությունից տոկոսի վրա:
1. Ռեֆերենտ դեղապատրաստուկի համապատասխան դեղաձևի ընտրությունը դեկոնվոլյուցիայի համար
8. Դեկոնվոլյուցիայի համար ռեֆերենտ դեղապատրաստուկի դեղաձևն արագ ձերբազատմամբ պատրաստուկ է, որը ներառված է IVIVC հետազոտություններում՝ մոդիֆիկացված ձերբազատմամբ յուրաքանչյուր հետազոտվող դեղապատրաստուկից ազդող նյութի in vivo ձերբազատումը՝ որպես ժամանակից ֆունկցիա գնահատելու նպատակով։ Ներքին ընդունման մոդիֆիկացված ձերբազատմամբ դեղապատրաստուկների «in vivo ձերբազատում-ժամանակ» պրոֆիլը, որպես կանոն, ստանում են դեկոնվոլյուցիայի միջոցով։ Դա արտացոլում է in vivo ազդող նյութի իրական ձերբազատումը՝ եթե միայն ռեֆերենտ դեղապատրաստուկի դեղաձևը ներքին ընդունման լուծույթ է (ստամոքսում կամ աղեստամոքսային տրակտում այդ լուծույթը նստվածք չի առաջացնում)։ Եթե սովորական ձերբազատմամբ պատրաստուկի լուծման արագությունը գերազանցում է դրա աբսորբումը (ինչը, որպես կանոն, պահպանվում է մոդիֆիկացված ձերբազատմամբ դեղապատրաստուկի մշակման համար ընտրված ազդող նյութերի համար), ապա հետազոտություններում՝ որպես ռեֆերենտ դեղապատրաստուկի դեղաձև, թույլատրվում է օգտագործել սովորական ձերբազատմամբ դեղապատրաստուկներ, որոնցից ազդող նյութի ձերբազատումը մոտ է մոդիֆիկացված ձերբազատմամբ դեղապատրաստուկներից՝ in vivo ազդող նյութի ձերբազատմանը։ Որոշ դեպքերում՝ որպես ռեֆերենտ դեղապատրաստուկի դեղաձև, IVIVC-ի համար օգտագործվում է ներերակային ներմուծման դեղապատրաստուկ, որը նաև թույլ է տալիս հասնել in vivo ազդող նյութի ձերբազատման՝ մոդիֆիկացված ձերբազատմամբ դեղապատրաստուկի համեմատ՝ մոտ ցուցանիշների, եթե ներերակային ներմուծման դեղապատրաստուկի աբսորբումը բավականին արագ է (օրինակ՝ բարձր ներթափանցման ունակությամբ ազդող նյութերի մոտ)։ Եթե ազդող նյութի ներթափանցման ունակությունը՝ ի լրումն դեղապատրաստուկից դրա ձերբազատմանը, ազդում է ազդող նյութի՝ մոդիֆիկացված ձերբազատմամբ դեղապատրաստուկներից աբսորբման արագության վրա, ապա ռեֆերենտ դեղապատրաստուկի օպտիմալ դեղաձևը ներքին ընդունման լուծույթն է (նախընտրելի է, քան ներերակային ներմուծման դեղապատրաստուկը և սովորական ձերբազատմամբ դեղապատրաստուկը)։ Ցածր լուծելիությամբ և (կամ) ներթափանցման ունակությամբ ազդող նյութերի նկատմամբ, հատկապես եթե ներթափանցման ունակությունը փոխվում է աղեստամոքսային տրակտի երկայնքով, կարող են արժեք ներկայացնել ֆիզիոլոգիապես հիմնավորված դեղակինետիկ մոդելի (այսուհետ՝ ՖՀԴԿ-մոդել) վրա հիմնված՝ IVIVC-ի նկատմամբ մոտեցումները։
9. Միջմկանային (ենթամաշկային) դեպո պատրաստուկների IVIVC-ն գնահատելիս ռեֆերենտ դեղապատրաստուկի համապատասխան դեղաձևը այնպիսի ջրային լուծույթ է, որը ներմուծվում է (նախընտրելի է) միջմկանային (ենթամաշկային) դեպո պատրաստուկի ներմուծման միևնույն եղանակով, կամ ներերակային ներմուծման դեղապատրաստուկ է։ Վերմաշկային առաքման համակարգերի համար ռեֆերենտ դեղապատրաստուկի պատշաճ դեղաձևը ներերակային ներմուծման պատրաստուկն է։
10. Ռեֆերենտ դեղապատրաստուկի ընտրված դեղաձևն անհրաժեշտ է ներառել յուրաքանչյուր հետազոտության մեջ, որի տվյալներն օգտագործվելու են IVIVC-ն սահմանելու, ինչպես նաև ազդող նյութի կոնցենտրացիայի փոփոխման ներքին կամ արտաքին կանխատեսելիությունը գնահատելու համար։ IVIVC հետազոտություններում ռեֆերենտ դեղապատրաստուկի ընտրված դեղաձևի ներառման առավելությունը՝ IVIVC-ի հաջող սահմանման և վալիդացման հավանականությունը բարձրացնելն է, հատկապես ազդող նյութի կոնցենտրացիայի կանխատեսելիության արտաքին գնահատման նպատակների համար։ Ռեֆերենտ դեղապատրաստուկի՝ պատշաճորեն ընտրված դեղաձևը հաջող IVIVC-ի դիզայնի ամենակարևոր տարրերից մեկն է, քանի որ այն թույլ է տալիս անհատական կարգով նորմալացնել տարբերություններն ազդող նյութի դեղակինետիկայում։ Ռեֆերենտ դեղապատրաստուկի դեղաձևը ներառվում է տվյալների վերլուծության յուրաքանչյուր մեթոդի մեջ՝ ինչպես ներքին, այնպես էլ արտաքին վալիդացման ժամանակ և հատկապես կարևոր է, եթե միջանհատական փոփոխականությունը չափավոր կամ բարձր է, իսկ հետազոտության սուբյեկտների քանակը դա չի համակշռում։ Եթե փոփոխականությունը ցածր է և (կամ) սուբյեկտների թիվը բավականին մեծ է, ապա IVIVC-ն հնարավոր է սահմանել և հաջողությամբ վալիդացնել՝ առանց ռեֆերենտ դեղապատրաստուկի ընտրված դեղաձևն օգտագործելու (օրինակ՝ գիտական գրականության կամ պոպուլյացիոն դեղակինետիկայի նախկինում ստեղծված մոդելի տվյալների օգտագործման միջոցով)։ Տեղեկացված որոշում կայացնելու նպատակով այն օպտիմալ է սահմանել նմանակման (սիմուլյացիոն) մոդելավորման օգնությամբ՝ օգտագործելով դեղակինետիկ ցուցանիշների հայտնի փոփոխականությունը և հետազոտության առաջարկվող դիզայնը։ Մոդիֆիկացված ձերբազատմամբ վերարտադրված պատրաստուկների համար կարելի է օգտագործել մոդիֆիկացված ձերբազատմամբ ռեֆերենտ դեղապատրաստուկի դեղաձևը հետազոտության տարբեր սուբյեկտների մոտ՝ դեղապատրաստուկների ազդող նյութերի քլիրենսում տարբերությունները նորմալացնելու նպատակով, սակայն այդ եղանակը քիչ հուսալի է։ Տվյալ ռազմավարությունը կարելի է նաև գնահատել նմանակման միջոցով՝ հաշվի առնելով ռեֆերենտ դեղապատրաստուկի և մոդիֆիկացված ձերբազատմամբ մյուս ռեֆերենտ պատրաստուկների ընտրված դեղաձևի փոփոխականությունը։
2. Նմուշառման ժամանակը
11. In vitro նմուշառման ժամանակային կետերի ընտրության հարցերը քննարկվում են Ներքին ընդունման մոդիֆիկացված ձերբազատմամբ դեղապատրաստուկների որակի վերաբերյալ ձեռնարկում։ Լուծման in vitro հետազոտություններում և արյան (պլազմայի) նմուշների in vivo հետազոտությունում նմուշառման ժամանակային կետերի ընտրության ժամանակ անհրաժեշտ է հաշվի առնել այն, որ IVIVC-ի վերլուծությունում տվյալները միավորվելու են։ Այդ պատճառով IVIVC-ի հետազոտությունը (ներառյալ in vitro լուծման փորձարկումը) պլանավորելիս առաջարկվում է հետևել ամբողջական մոտեցմանը։
12. Արյան (պլազմայի) նմուշառման ժամանակային կետերի ընտրությունն ավելի լավ է կատարել IVIVC-ի հետազոտության նպատակների համար արտադրված կլինիկական սերիաների in vitro ձերբազատման փաստացի (կամ մոդելավորված) տվյալների օգտագործմամբ՝ մոդելավորման հիման վրա։ Եթե in vitro լուծման վրա ազդում են pH-ի ցուցանիշը կամ թիակային խառնիչի (զամբյուղի) պտտման արագությունը, ընկղմումների քանակը մեկ րոպեում (dpm) կամ հոսքի արագությունը (պայմանավորված ապարատի տեսակով), ապա նպատակահարմար է իրականացնել մոդելավորում՝ օգտագործելով in vitro լուծման պրոֆիլների բազմությունը՝ in vivo պայմաններում վարքագծի հնարավոր տարբերակների բազմությունն ընդգրկելու համար նմուշառման ռեժիմ կազմելու նպատակով։ Բացի այդ՝ IVIVC-ի հավանական կախվածության որոշակի նախնական ընկալման առկայության դեպքում լավ կլինի այն ներառել սկզբնական մոդելավորման մեջ։ Օրինակ՝ ներարկման եղանակով ներմուծվող՝ հսկվող ձերբազատմամբ պատրաստուկների նկատմամբ լուծման in vitro փորձարկումը ստանդարտ մեթոդիկայի դեպքում անցկացնում են 24-48 ժամվա ընթացքում, մինչդեռ in vivo դեղապատրաստուկի ազդող նյութի ներթափանցման ենթադրյալ տևողությունը կազմում է 1-2 ամիս։ Այսպիսով, in vivo օրգանիզմի մեջ ազդող նյութի ակնկալվող ներթափանցման ավելի իրական պատկերը ստեղծելու և հետազոտվող պատրաստուկների նմուշառման պատշաճ ժամանակային կետերի ավելի լավ ընտրության համար ժամանակային գործոնը (կամ, in vivo ակնկալվող ձերբազատման անորոշությունը հաշվի առնելու նպատակով, մի քանի գործոնները) կարելի է նախապես որոշել և ներառել մոդելում։
3. Հետազոտության սուբյեկտների քանակը
13. IVIVC-ի հետազոտության մեջ ընդգրկվելու ենթակա՝ սուբյեկտների քանակը պայմանավորված է դեղապատրաստուկի ազդող նյութի աբսորբման միջանհատական փոփոխականությամբ և ներանհատական փոփոխականությամբ ու դեղակինետիկայով։ Չնայած հստակ հանձնարարականներ տալու անհնարինությանը, պրագմատիկ մոտեցումը՝ IVIVC-ի խաչաձև հետազոտության մեջ առնվազն 12 սուբյեկտ ներառելն է։
III. IVIVC-ի սահմանումը և վալիդացումը
1. Ընդհանուր դրույթներ
14. IVIVC-ն սահմանելու վերջնական նպատակը՝ մոդիֆիկացված ձերբազատմամբ պատրաստուկի պլազմային կոնցենտրացիայի՝ ժամանակի ընթացքում փոփոխության դինամիկայի հուսալի կանխատեսումն է՝ in vitro ձերբազատման տվյալների հիման վրա։ Ընդհանուր առմամբ, այդ նպատակների համար թույլատրելի է օգտագործել ցանկացած՝ գիտականորեն հիմնավորված հետազոտության մեթոդ։ Քանի որ հետազոտության մեթոդները շարունակում են զարգանալ, ապա ընդունելի մեթոդների ցանկը չի քննարկվում որպես սպառիչ։ Քանի որ IVIVC-ի սահմանման նպատակը in vitro ձերբազատման տարբեր տվյալների օգնությամբ կանխատեսումն է՝ առանց մոդիֆիկացված ձերբազատմամբ պատրաստուկի կիրառումից հետո ձեռք բերվող՝ in vivo պլազմային կոնցենտրացիայի մասին տվյալներ ստանալու, ապա պարտադիր պայման է IVIVC-ի մեկ կախվածության կիրառելիությունը բոլոր այն պատրաստուկների նկատմամբ, որոնք օգտագործվել են դրա ստեղծման և վալիդացման ժամանակ։
2. Տվյալների վերլուծության թույլատրելի մեթոդները
15. IVIVC-ի մոդելավորմանը մաթեմատիկական մոտեցումների երկու հիմնական կատեգորիաները միա- և երկփուլ մեթոդներն են։ Երկփուլ մեթոդը հիմնված է դեկոնվոլյուցիայի վրա։ Միափուլ մեթոդներին են դասվում կոնվոլյուցիայի վրա հիմնված մեթոդը և դիֆերենցիալ հավասարումների ու ՖՀԴԿ-մոդելների օգտագործման վրա հիմնված մեթոդը։
16. Դեկոնվոլյուցիայի վրա հիմնված մեթոդները ներառում են տվյալների վերլուծության 2 փուլեր և կարող են օգտագործվել որպես IVIVC-ի վերլուծության հիմնական մեթոդ կամ որոնողական վերլուծության նպատակով՝ կանխելով միափուլ մեթոդը (մեթոդները)։ Առաջին փուլում իրականացվում է դեկոնվոլյուցիա՝ in vivo աբսորբման դինամիկան գնահատելու նպատակով։ Կամերային մոդելների փոխարեն նախընտրելի է օգտագործել այնպիսի ոչ կամերային մոդելներ, ինչպիսիք են Վագների-Նելսոնի կամ Լու-Ռիգելմանի մոդելը։ Դեկոնվոլյուցիայի կատարման մեթոդիկաները ներառված են՝ դեղակինետիկ անալիզի կատարման համար ծրագրային ապահովման կազմում։ Որպես կանոն, դրանք ներառում են յուրաքանչյուր սուբյեկտի համար եզակի ազդակի պատասխանի (CԲ)՝ ռեֆերենտ դեղապատրաստուկի դեղաձևի տվյալներին ֆունկցիայի համար կորի հարմարեցում՝ առանձին սուբյեկտի մոտ մոդիֆիկացված ձերբազատմամբ յուրաքանչյուր դեղապատրաստուկի համար ստացված տվյալների հետագա դեկոնվոլյուցիայով, հետևյալ ֆունկցիոնալ կախվածության համաձայն, in vivo ներթափանցման (աբսորբման) արագությունը (r(t)) ստանալու նպատակով՝
որտեղ՝
C-ն՝ պլազմային կոնցենտրացիան է.
Cδ-ն՝ եզակի ազդակին պատասխանն է (այսինքն ազդող նյութի եզակի դեղաչափի ակնթարթային աբսորբումից հետո ձևավորվող պլազմային կոնցենտրացիայի պրոֆիլն է).
*՝ կոնվոլյուցիայի օպերատորն է։
17. Երկրորդ փուլում սահմանում են՝ in vivo կուտակված աբսորբման և in vitro ազդող նյութի ձերբազատման միջև կախվածությունը։ Մաթեմատիկական մոդելավորման մեջ ընդունված ցուցումներին համապատասխան՝ անհրաժեշտ է ձգտել խնայողությանը և տվյալների նկարագրության համար օգտագործել պարզագույն մոդել։ Սովորաբար օգտագործում են աճող բարդությամբ մոդելներ, սկսած գծային կախվածություններից և այնուհետև, անհրաժեշտության դեպքում, դրանք բարդացնելով՝ հաշվի առնելով կենսաբանական ճշմարտանմանությունը։ Չնայած՝ in vivo աբսորբման և in vitro ձերբազատման միջև գծային կախվածություն ստանալու ձգտմանը, այն պարտադիր չէ։ Դրանից բացի առկա է ֆիզիոլոգիական և ֆիզիկաքիմիական գործոնների բազմություն, որոնք այն դարձնում են քիչ հավանական։ Դեղապատրաստուկի բաղադրությունը, ազդող նյութի in vitro և in vivo ձերբազատումը հսկող՝ ֆիզիկաքիմիական, դեղակինետիկ և ֆիզիոլոգիական գործոնները հաշվի առնելու վրա հիմնված հիմնավորման առկայության դեպքում թույլատրվում է բոլոր դեղապատրաստուկների համար IVIVC-ի նկարագրության նպատակով օգտագործել կախվածության ցանկացած տեսակ՝ ներառյալ սիգմանման կախվածությունն ըստ Հիլի մոդելի, ինչպես նաև օգտագործել աբսորբման ոչ լրիվությունը հաշվի առնող՝ ժամանակի և ժամանակային տեղաշարժերի մասշտաբավորման պարամետրերն ու դրանց նկատմամբ մոտեցումները (օրինակ՝ ներքին ընդունման դեղապատրաստուկների համար սահմանել աբսորբման ընդհատման ժամանակը)։ Յուրաքանչյուր պատրաստուկի համար ժամանակի տարբեր ընդգրկույթները մատնանշում են պատրաստուկների համար IVIVC-ի միասնական կախվածության բացակայությունը։ Դեկոնվոլյուցիայի վրա հիմնված մեթոդները հատկապես օգտակար են մոդելի կառուցման ընթացքում տվյալների որոնողական վերլուծության ժամանակ, քանի որ դրանք տալիս են գրաֆիկական պատկեր (in vivo աբսորբված կուտակված քանակը՝ in vitro ձերբազատված կուտակված քանակի համեմատ, և Լևիի գրաֆիկները՝ in vivo դեղաչափի որոշակի մասի աբսորբման ժամանակը՝ in vitro դեղաչափի որոշակի մասի ձերբազատման ժամանակի համեմատ)։ Այդ պատկերը կարելի է օգտագործել IVIVC-ի կախվածության համար համապատասխան մոդելների հայտնաբերման և մոդելավորման միափուլ մեթոդների համար անհրաժեշտ՝ պարամետրերի անհրաժեշտ սկզբնական գնահատականներն ստանալու համար։
18. Դիֆերենցիալ հավասարման, կոնվոլյուցիայի, ինչպես նաև ՖՀԴԿ-մոդելների վրա հիմնված մեթոդները դիտարկվում են որպես միափուլ, քանի որ մոդելավորումը ներառում է ստացված տվյալների ուղղակիորեն՝ առանց փոխակերպումների (այսինքն առանց դեկոնվոլյուցիայի) օգտագործումը։ Միափուլ մոտեցումները դեկոնվոլյուցիայի վրա հիմնված մեթոդների համեմատ մի շարք առավելություններ են տալիս, քանի որ մոդելն ուղղակիորեն կանխատեսում է «պլազմային կոնցենտրացիա-ժամանակ» պրոֆիլը. մոդելավորումը կենտրոնացված է չափելի քանակը, այլ ոչ թե անուղղակիորեն հաշվարկված քանակը, օրինակ՝ աբսորբված կուտակված քանակը կանխատեսելու ունակության վրա։ Բացի այդ, այդ արդյունքները հեշտությամբ են մեկնաբանվում՝ կենսահամարժեքության ստանդարտ պարամետրերի վրա in vitro ձերբազատման ազդեցության տեսանկյունից։ Կամերային մոտեցումը թույլ է տալիս ոչ գծային (օրինակ՝ Միքայելիս-Մենտենի մոդելով նկարագրվող) դեղակինետիկա, մինչդեռ կոնվոլյուցիայի վրա հիմնված մեթոդը ենթադրում է միայն գծային կինետիկա։ Չնայած նրան, որ կոնվոլյուցիայի և դիֆերենցիալ հավասարման վրա հիմնված մեթոդները միափուլ են, դրանք տարբերվում են ազդող նյութի in vitro ձերբազատման և պլազմային կոնցենտրացիայի միջև կախվածության ձևով։ Կոնվոլյուցիայի վրա հիմնված մոտեցման դեպքում օգտագործվում է սույն ցուցումների 16-րդ կետում բերված՝ մոդիֆիկացված ձերբազատմամբ պատրաստուկի կոնցենտրացիայի (C(t)), in vivo ներթափանցման (աբսորբման) տրված արագության (r(t)) և եզակի ազդակի պատասխանի (Cδ) միջև կախվածության ինտեգրալ փոխակերպումը։
Դիֆերենցիալ հավասարումների օգտագործման վրա հիմնված մոտեցումը կիրառելիս օգտագործվում է ազդող նյութի դեղակինետիկայի նկարագրության ավանդական կամերային մոդելը, որը նաև իր մեջ ներառում է օրգանիզմ դրա ներթափանցումը նկարագրող ֆունկցիան։
Երկու դեպքերում IVIVC-ի հավասարումը որոշում է in vitro ազդող նյութի (rdis(t)) ձերբազատման և in vivo դրա աբսորբման (r(t)) միջև կախվածությունը։ Կախվածության ամենապարզ դեպքում ազդող նյութի լուծվելու պրոցեսն ամբողջությամբ բնութագրում է դրա աբսորբման արագությունը՝
r(t) = rdis(t)
IVIVC-ն նկարագրելիս թույլատրվում է օգտագործել տարբեր ավելի բարդ ֆունկցիաներ, որոնք հաշվի են առնում աբսորբման գաղտնի շրջանները, in vivo լուծման և in vivo աբսորբման ժամկետներում տարբերությունը, ինչպես նաև աղեստամոքսային տրակտի տարբեր հատվածներում ներթափանցման ունակության փոփոխությունը։ Օրինակ, հետևյալ հավասարումն այնպիսի փոփոխականներ է ներառում, ինչպիսիք են գաղտնի շրջանը (t0), մասշտաբավորման գործոնը (s1), ոչ լրիվ աբսորբումը և in vitro լուծումն ու in vivo աբսորբումը նկարագրելու համար տարբեր միավորների օգտագործումը հաշվի առնող մասշտաբավորման գործոնը (sr)՝
r(t) = sr ● rdis (t0 + s1 ● t)
Դիֆերենցիալ հավասարման կիրառման վրա հիմնված մոտեցման դեպքում օգտագործվում է ազդող նյութի դեղակինետիկայի ավանդական կամերային մոդելը, որում նաև ներառվում է ներթափանցման ֆունկցիան։ Որպես այլընտրանք կարելի է օգտագործել ՖՀԴԿ-մոդելը։ Այս մոդելով պետք է նկարագրվի ազդող նյութի ազդեցության մեխանիզմը և առկա լինեն փորձարարական տվյալներ՝ հետազոտվող ազդող նյութի աբսորբման, մետաբոլիզմի, բաշխման և էլիմինացման փուլերը պատշաճ նկարագրելու համար։ Դիֆերենցիալ հավասարման օգտագործման վրա հիմնված կոնվոլյուցիայի մեթոդի նման՝ ՖՀԴԿ-մոդելի օգտագործման դեպքում որպես ներթափանցում օգտագործվում է in vitro ձերբազատման պրոֆիլը, որը թույլ է տալիս ստանալ պլազմային պրոֆիլ, որն արտացոլում է in vivo պատրաստուկի ֆունկցիոնալ բնութագրերը՝ հետևյալ բանաձևի համաձայն.
r(t) = φabs(t)srrdis(t0 + s1t)
Երկփուլ մոտեցումն օգտագործելիս աբսորբման միջին պրոֆիլն ստանում են առանձին սուբյեկտների՝ աբսորբման պրոֆիլները միջինացնելուց հետո (այսինքն ըստ անհատական դեկոնվոլյուցիայի արդյունքների), այլ ոչ թէ «կոնցենտրացիա-ժամանակ» միջինացված պրոֆիլի դեկոնվոլյուցիայից հետո։ Եթե միայն in vitro լուծման տվյալներն ակնհայտ փոփոխական չեն, ապա միջին լուծման օգտագործումը նորմայում տվյալների վերլուծության արդյունքի վրա քիչ ազդեցություն է ունենում և դիտարկվում է որպես ընդունելի գործելակերպ։
IVIVC-ն նկարագրող մոդելի որակավորումը (ատեստավորումը) և կանխատեսող ունակության գնահատումը
19. IVIVC-ն նկարագրող մոդելի ընտրությունը պետք է հիմնված լինի ազդող նյութի ֆիզիկաքիմիական հատկությունների, դրա աբսորբման բնութագրերի, լուծման թեստի բնութագրերի և կանխատեսման համաձայնության աստիճանի ցուցանիշի գնահատման համար ընտրված չափանիշների վրա (օրինակ՝ կանխատեսման ստուգում՝ արդեն իսկ առկա տվյալների հիման վրա)։ IVIVC-ն նկարագրող մոդելի կիրառման նպատակը՝ մոդիֆիկացված պատրաստուկի in vitro լուծման տվյալների հիման վրա «պլազմային կոնցենտրացիա-ժամանակ» ակնկալվող պրոֆիլի բավականին ճիշտ կանխատեսման հնարավորությունն է։ Դա հաստատվում է կանխատեսվող և փաստացի կոնցենտրացիաների գրաֆիկական համեմատման ու ընդհանրացված պարամետրերի՝ ներառյալ առնվազն Cmax, AUC0–t և մասնակիAUC, կանխատեսման համար սխալների հաշվարկման միջոցով։
20. IVIVC-ի նկարագրության համար ՖՀԴԿ-մոդելն օգտագործելիս անհրաժեշտ է հաստատել, որ մոդելի հիման վրա հնարավոր է համեմատման պատրաստուկի համար տվյալների, ինչպես նաև մոդիֆիկացված ձերբազատմամբ հետազոտվող դեղապատրաստուկի տվյալների կանխատեսումը։ Մոդելի ֆունկցիոնալությունը հիմնավորելու համար անհրաժեշտ է ներկայացնել տվյալների բավարար ծավալ։
21. Մեծ մասամբ՝ IVIVC-ն նկարագրող մոդելներն in vivo «կոնցենտրացիա-ժամանակ» միջինացված պրոֆիլը կանխատեսելու նպատակով օգտագործում են in vitro միջինացված լուծումը։ Տվյալ մոտեցումն ունակ չէ պատշաճորեն հաշվի առնելու ազդող նյութի դեղակինետիկ պարամետրերի պատահական վարիացիաները՝ ոչ միայն in vitro, այլ նաև in vivo։ Այդ տեսանկյունից միափուլ մոտեցումները առավելություն ունեն, քանի որ դրանց կիրառմամբ կարելի է իրականացնել ոչ գծային խառը էֆեկտների վերլուծություն, որը թույլ է տալիս մոդելում ներառել անհատական փոփոխականությունը, ինչը պոտենցիալ կերպով բարելավում է մոդելի հուսալիությունը՝ նոր պատրաստուկների կենսահամարժեքության ցուցանիշները կանխատեսելիս։
22. Ընդհանուր առմամբ, IVIVC-ն նկարագրող մոդելը բավականաչափ ճշգրիտ է համարվում, եթե վիզուալ ստուգման հիման վրա հաջողվում է լավ կանխատեսել ամբողջ «կոնցենտրացիա-ժամանակ» պրոֆիլը, իսկ կանխատեսման սխալներն ընդունելի սահմաններում են գտնվում։ Ներքին կանխատեսելիությունը գնահատում են IVIVC-ի մոդելի «կոնցենտրացիա-ժամանակ» պրոֆիլի օգնությամբ՝ յուրաքանչյուր պատրաստուկի լուծման մասին համապատասխան տվյալների հիման վրա։ Ընդհանրացված պարամետրերը (Cmax և այլն) հաշվարկում են՝ ելնելով «կոնցենտրացիա – ժամանակ» կանխատեսվող պրոֆիլից և համեմատում են փաստացի տվյալների համապատասխան ընդհանրացված պարամետրերի հետ։ Բոլոր ընդհանրացնող պարամետրերի համար կանխատեսման սխալի բացարձակ արժեքը չպետք է գերազանցի 15 %-ը յուրաքանչյուր պատրաստուկի համար, իսկ կանխատեսման միջինացված սխալը՝ IVIVC-ի մշակման ժամանակ օգտագործված բոլոր պատրաստուկների համար չպետք է գերազանցի 10 %-ը՝ յուրաքանչյուր ընդհանրացնող պարամետրի համար։ Եթե առանձին պատրաստուկը ոչ ճշգրիտ է կանխատեսվում IVIVC-ի օգնությամբ, ապա թույլատրելի է վերամոդելավորել IVIVC-ը՝ բացառելով այդ պատրաստուկը, ինչը կհանգեցնի լուծման տվյալների ավելի նեղ ընդգրկույթի ներառմանը IVIVC-ի մեջ։ Հետագայում լուծման տվյալների հենց այդ ավելի նեղ ընդգրկույթով է որոշվելու այն ընդգրկույթը, որի սահմաններում IVIVC-ն ընդունվում է որպես կանխատեսվող, և դրանով իսկ ազդելու մասնագրերի ու բիովեյվերների հիմնավորման հնարավորության վրա։ Դեղապատրաստուկը մոդելավորումից բացառելիս պետք է պահպանվեն լուծման մասին տվյալները՝ առնվազն 2 պատրաստուկների համար, իսկ բացառումն անհրաժեշտ է հիմնավորել շեղումների հնարավոր պատճառների վերլուծությամբ (օրինակ՝ ձերբազատման մեխանիզմի, արտադրության գործընթացի հետևանքով)։
23. Ի լրումն՝ IVIVC-ի ձևական հետազոտության մեջ ներառված սերիաների օգտագործմամբ ներքին կանխատեսելիության գնահատմանն առաջարկվում է շարունակել հաստատել IVIVC-ի կիրառելիությունը՝ լրացուցիչ փորձնական սերիաներով (օրինակ՝ առանցքային հետազոտություններում օգտագործված, լայնամասշտաբ սերիաներով, in vivo ուսումնասիրված լրացուցիչ դեղաչափերով, բաղադրության հետագա փոփոխություններով և այլն)։ Լավագույն դեպքում in vitro ձերբազատման տարբերվող պրոֆիլներով պատրաստուկների դեղակինետիկ հետազոտություններ անցկացնելիս այդ տվյալներն անհրաժեշտ է օգտագործել in vitro լուծման՝ in vivo փորձարկման օգտին տվյալներն ստանալու կամ ամրապնդելու համար։ Դրան կարելի է հասնել՝ փոքրամասշտաբ սերիաների օգտագործմամբ IVIVC-ը և լայնամասշտաբ սերիաների օգտագործմամբ՝ արտաքին վալիդացումը խաչաձև որոշելու միջոցով։ Ցանկացած դեպքում՝ IVIVC-ի ցանկացած մշակման ժամանակ անհրաժեշտ է հաստատել, որ կախվածությունը ճիշտ է այն սերիաների համար, որոնք արտացոլում են շուկա դուրս բերվող պատրաստուկի հատկությունները։
24. Արտաքին կանխատեսելիության վերլուծության ընթացակարգը համընկնում է նախկինում մշակված IVIVC-ի օգտագործմամբ՝ վերևում նկարագրված ընթացակարգի հետ։ «Կոնցենտրացիա-ժամանակ» պրոֆիլը կանխատեսվում է՝ արտաքին վալիդացման նպատակով հետազոտության մեջ ընդգրկված արագ ձերբազատմամբ պատրաստուկի (այսինքն ռեֆերենտ դեղապատրաստուկի ընտրված դեղաձևի) դեղակինետիկայի և արտաքին վալիդացման համար օգտագործված որոշակի սերիայի in vitro լուծման տվյալների հիման վրա։ Կանխատեսման սխալի բացարձակ արժեքը բոլոր ընդհանրացված պարամետրերի համար չպետք է գերազանցի 10 %-ը՝ արտաքին վալիդացման համար օգտագործված յուրաքանչյուր պատրաստուկի համար։
In vitro և in vivo տվյալների համահարաբերության հետազոտությունների արդյունքների հիման վրա հաշվետվությունը
25. IVIVC-ն սահմանելու մասին հաշվետվությունը պետք է ներառի մոդիֆիկացված ձերբազատմամբ պատրաստուկով անցկացված in vivo բոլոր հետազոտությունների ցանկը, ինչպես նաև IVIVC-ի վերլուծության համար տվյալների ընտրության հիմնավորումը։ Տվյալների ցանկը պետք է ներառի in vitro լուծման անհատական տվյալները և ընդհանրացված վիճակագրական տվյալները, «պլազմային կոնցենտրացիա-ժամանակ» պրոֆիլի տվյալները, ստացված դեղակինետիկ պարամետրերը և ազդող նյութի կուտակված աբսորբված քանակը (ստացված դեկոնվոլյուցիայի եղանակով, նույնիսկ եթե մոդելի օգտագործման նպատակով կիրառվել է միափուլ մեթոդը)՝ բոլոր սերիաների համար։
26. IVIVC-ի գրաֆիկական արտացոլումը պետք է ներառի IVIVC-ի վերլուծության մեջ ներառված բոլոր պատրաստուկների ժամանակի ընթացքում in vitro լուծման տվյալները (նշելով կլինիկորեն նշանակալի սերիաները, օրինակ՝ իրացման համար նախատեսված պատրաստուկի սերիաները և այլն), ժամանակի միջակայքով պայմանավորված՝ ազդող նյութի կուտակված աբսորբված քանակը, ժամանակով պայմանավորված՝ աբսորբման արագության փոփոխությունը, ազդող նյութի լուծման և աբսորբման դինամիկայի համադրումը (in vitro և in vivo տվյալների միջև ժամանակի ընդգրկույթները, գաղտնի ժամանակահատվածները գնահատելու նպատակով), ժամանակի միևնույն պահին in vivo կուտակված աբսորբված քանակը (համեմատման պատրաստուկի նկատմամբ տոկոսներով)՝ in vitro ձերբազատված քանակի համեմատ (դեղաչափից տոկոսներով) (1:1 հարաբերակցության գերազանցումով, ռեգրեսիայի գծերով՝ անհրաժեշտության դեպքում)։ In vitro ձերբազատման և in vivo աբսորբման ժամանակահատվածների միջև ակնհայտ ժամանակային տարբերությունների առկայության դեպքում (այսինքն 1:1 հարաբերակցությունից շեղվելու դեպքում) օգտակար գրաֆիկական արտապատկերում է Լևիի գրաֆիկը (in vivo որոշակի մասի ձերբազատման ժամանակը՝ in vitro նույն մասի համար ձերբազատման ժամանակի համեմատ)։
27. Անհրաժեշտ է նկարագրել լուծման թեստի մեթոդը և հիմնավորել դրա պիտանիությունը՝ հաշվի առնելով ազդող նյութի ֆիզիկաքիմիական հատկությունները և այլն։
28. Անհրաժեշտ է ներկայացնել մոդելավորման և կիրառված ծրագրային ապահովման մեթոդաբանության լրիվ նկարագրությունը, ինչպես նաև որոշումներ կայացնելու հիմքերը, հիմնավորելով դրանք բաղադրության, in vitro և in vivo ազդող նյութի ձերբազատումը հսկող ֆիզիկաքիմիական, դեղակինետիկ և ֆիզիոլոգիական գործոնների վերլուծությամբ։ Դեկոնվոլյուցիայի կամերային մեթոդը (օրինակ՝ Վագների-Նելսոնի կամ Լու-Ռիգելմանի մոդելը) օգտագործելիս անհրաժեշտ է վերլուծել մոտեցման պիտանիությունը։
29. Անհրաժեշտ է ներկայացնել համապատասխանության աստիճանը բնութագրող գրաֆիկները, որոնք համապատասխանում են մոդելավորման օգտագործված մեթոդաբանությանը, ինչպես նաև պարամետրերի ամփոփիչ գնահատականները բոլոր մոդելավորված տվյալների համար (օրինակ՝ in vitro լուծում և in vivo աբսորբցիա՝ եթե մոդելում օգտագործվում է ինտերպոլյացիա, ինչպես նաև հենց IVIVC-ի մոդելի համար)։
30. Հաշվետվության ամփոփիչ աղյուսակում անհրաժեշտ է ներառել IVIVC-ի վերջնական մոդելի օգնությամբ կանխատեսված՝ «պլազմային կոնցենտրացիա-ժամանակ» պրոֆիլի տվյալները, ստացված պարամետրերը և դրանց հետ կապված կանխատեսման սխալը։ Անհրաժեշտ է ներկայացնել «կոնցենտրացիա-ժամանակ» կանխատեսումային և փաստացի պրոֆիլների գրաֆիկական համեմատությունը։
|
ՀԱՎԵԼՎԱԾ ԹԻՎ 4 |
ՑՈՒՑՈՒՄՆԵՐ
դեղապատրաստուկի պարզեցված գրանցման ժամանակ հետազոտությունների անցկացման վերաբերյալ
Աղյուսակ 1
Մեկ միավորից պատրաստուկ՝ երկարաձգված ձերբազատմամբ (համաձայն դեղապատրաստուկի ընդհանուր բնութագրի՝ պատրաստուկն ընդունում են անոթի կամ սնունդ ընդունելուց հետո)
|
Դոզավորումը |
Մեկանգամյա դոզավորմամբ հետազոտություն՝ անոթի ** |
Մեկանգամյա դոզավորմամբ հետազոտություն՝ սնունդ ընդունելուց հետո** |
Բազմակի դոզավորմամբ հետազոտություն՝ անոթի * |
|
բարձր |
այո |
այո |
այո |
|
միջին |
այո |
բիովեյվեր՝ ձևի նմանության դեպքում*** |
բիովեյվեր*** |
|
ցածր |
այո |
բիովեյվեր՝ ձևի նմանության դեպքում*** |
բիովեյվեր*** |
________________________
* Հետազոտության անցկացման անհրաժեշտության չափանիշները բերված են «Մոդիֆիկացված ձերբազատմամբ դեղապատրաստուկների կենսահամարժեքության դեղակինետիկ և կլինիկական ուսումնասիրություն անցկացնելուն ներկայացվող պահանջների» VI բաժնի 2-րդ ենթաբաժնում՝ Եվրասիական տնտեսական հանձնաժողովի խորհրդի 2016 թվականի նոյեմբերի 3-ի թիվ 85 որոշմամբ հաստատված՝ «Եվրասիական տնտեսական միության շրջանակներում դեղապատրաստուկների կենսահամարժեքության հետազոտությունների անցկացման կանոնների» թիվ 10 հավելված (այսուհետ՝ Պահանջներ):
** Պահանջների VI բաժնի 7-րդ ենթաբաժնում բերված՝ հետազոտության անցկացման չափանիշները կատարելիս հնարավոր է սահմանային տարբերակների ընտրությունը:
*** Եթե կատարվում են Պահանջների VI բաժնում բերված՝ հետազոտությունների անցկացման չափանիշները, ապա հնարավոր է որոշ դոզավորումների բիովեյվերը կամ սահմանային տարբերակների ընտրությունը:
Աղյուսակ 2
Մեկ միավորից պատրաստուկ՝ երկարաձգված ձերբազատմամբ (համաձայն դեղապատրաստուկի ընդհանուր բնութագրի՝ պատրաստուկն ընդունում են սնունդ ընդունելուց հետո)
|
Դոզավորումը |
Մեկանգամյա դոզավորմամբ հետազոտություն՝ անոթի ** |
Մեկանգամյա դոզավորմամբ հետազոտություն՝ սնունդ ընդունելուց հետո** |
Բազմակի դոզավորմամբ հետազոտություն՝ անոթի * |
|
բարձդ |
այո |
այո |
այո |
|
միջին |
բիովեյվեր՝ ձևի նմանության դեպքում*** |
այո |
բիովեյվեր*** |
|
ցածր |
բիովեյվեր՝ ձևի նմանության դեպքում*** |
այո |
բիովեյվեր*** |
Աղյուսակ 3
Բազմամիավոր պատրաստուկ՝ երկարաձգված ձերբազատմամբ (համաձայն դեղապատրաստուկի ընդհանուր բնութագրի՝ պատրաստուկն ընդունում են անոթի, կամ անոթի կամ սնունդ ընդունելուց հետո)
|
Դոզավորումը |
Մեկանգամյա դոզավորմամբ հետազոտություն՝ անոթի |
Մեկանգամյա դոզավորմամբ հետազոտություն՝ սնունդ ընդունելուց հետո |
Բազմակի դոզավորմամբ հետազոտություն՝ անոթի * |
|
բարձր |
այո |
այո |
այո |
|
միջին |
բիովեյվեր** |
բիովեյվեր** |
բիովեյվեր** |
|
ցածր |
բիովեյվեր** |
բիովեյվեր** |
բիովեյվեր** |
________________________
* Հետազոտության անցկացման անհրաժեշտության չափանիշները բերված են Պահանջների VI բաժնի 2-րդ բաժնի ենթաբաժնում:
** Պահանջների VI բաժնի 7-րդ ենթաբաժնում բերված՝ հետազոտությունների անցկացման չափանիշները կատարելիս հնարավոր է սահմանային տարբերակների ընտրությունը:
*** Եթե կատարվում են Պահանջների VI բաժնում բերված՝ հետազոտությունների անցկացման չափանիշները, ապա հնարավոր է որոշ դոզավորումների բիովեյվերը կամ սահմանային տարբերակների ընտրությունը:
* Հետազոտության անցկացման անհրաժեշտության չափանիշները բերված են Պահանջների VI բաժնի 2-րդ բաժնի ենթաբաժնում:
** Եթե կատարվում են Պահանջների VI բաժնում բերված՝ հետազոտության անցկացման չափանիշները, ապա հնարավոր է որոշ դոզավորումների բիովեյվերը կամ սահմանային տարբերակների ընտրությունը:
Աղյուսակ 4
Բազմամիավոր պատրաստուկ՝ երկարաձգված ձերբազատմամբ (համաձայն դեղապատրաստուկի ընդհանուր բնութագրի՝ պատրաստուկն ընդունում են սնունդ ընդունելուց հետո)
|
Դոզավորումը |
Մեկանգամյա դոզավորմամբ հետազոտություն՝ անոթի |
Մեկանգամյա դոզավորմամբ հետազոտություն՝ սնունդ ընդունելուց հետո |
Բազմակի դոզավորմամբ հետազոտություն՝ անոթի * |
|
բարձր |
այո |
այո |
այո |
|
միջին |
բիովեյվեր** |
բիովեյվեր** |
բիովեյվեր** |
|
ցածր |
բիովեյվեր** |
բիովեյվեր** |
բիովեյվեր** |
Աղյուսակ 5
Մեկ միավորից պատրաստուկ՝ հետաձգված ձերբազատմամբ (համաձայն դեղապատրաստուկի ընդհանուր բնութագրի՝ պատրաստուկն ընդունում են անոթի, կամ անոթի կամ սնունդ ընդունելուց հետո)
|
Դոզավորումը |
Մեկանգամյա դոզավորմամբ հետազոտություն՝ անոթի * |
Մեկանգամյա դոզավորմամբ հետազոտություն՝ սնունդ ընդունելուց հետո* |
|
բարձր |
այո |
այո |
|
միջին |
այո |
բիովեյվեր՝ ձևի նմանության դեպքում** |
|
ցածր |
այո |
բիովեյվեր՝ ձևի նմանության դեպքում** |
_______________________
* Հետազոտության անցկացման անհրաժեշտության չափանիշները բերված են Պահանջների VI բաժնի 2-րդ բաժնի ենթաբաժնում:
** Եթե կատարվում են Պահանջների VI բաժնում բերված՝ հետազոտության անցկացման չափանիշները, ապա հնարավոր է որոշ դոզավորումների բիովեյվերը կամ սահմանային տարբերակների ընտրությունը:
* Եթե կատարվում են Պահանջների VI բաժնի 7-րդ ենթաբաժնում բերված՝ հետազոտության անցկացման չափանիշները, ապա հնարավոր է սահմանային տարբերակների ընտրությունը:
** Եթե կատարվում են Պահանջների VI բաժնում բերված՝ հետազոտության անցկացման չափանիշները, ապա հնարավոր է որոշ դոզավորումների բիովեյվերը կամ սահմանային տարբերակների ընտրությունը:
Աղյուսակ 6
Մեկ միավորից պատրաստուկ՝ հետաձգված ձերբազատմամբ (համաձայն դեղապատրաստուկի ընդհանուր բնութագրի՝ պատրաստուկն ընդունում են սնունդ ընդունելուց հետո)
|
Դոզավորումը |
Մեկանգամյա դոզավորմամբ հետազոտություն՝ անոթի ** |
Մեկանգամյա դոզավորմամբ հետազոտություն՝ սնունդ ընդունելուց հետո** |
|
բարձր |
այո |
այո |
|
միջին |
բիովեյվեր՝ ձևի նմանության դեպքում** |
այո |
|
ցածր |
բիովեյվեր՝ ձևի նմանության դեպքում** |
այո |
Աղյուսակ 7
Բազմամիավոր պատրաստուկ՝ հետաձգված ձերբազատմամբ (համաձայն դեղապատրաստուկի ընդհանուր բնութագրի՝ պատրաստուկն ընդունում են անոթի, կամ անոթի կամ սնունդ ընդունելուց հետո)
|
Դոզավորումը |
Մեկանգամյա դոզավորմամբ հետազոտություն՝ անոթի |
Մեկանգամյա դոզավորմամբ հետազոտություն՝ սնունդ ընդունելուց հետո |
|
բարձր |
այո |
այո |
|
միջին |
բիովեյվեր* |
բիովեյվեր* |
|
ցածր |
բիովեյվեր* |
բիովեյվեր* |
_______________________________
* Եթե կատարվում են Պահանջների VI բաժնի 7-րդ ենթաբաժնում բերված՝ հետազոտության անցկացման չափանիշները, ապա հնարավոր է սահմանային տարբերակների ընտրությունը:
** Եթե կատարվում են Պահանջների VI բաժնում բերված՝ հետազոտության անցկացման չափանիշները, ապա հնարավոր է որոշ դոզավորումների բիովեյվերը կամ սահմանային տարբերակների ընտրությունը:
* Եթե կատարվում են Պահանջների VI բաժնում բերված՝ հետազոտության անցկացման չափանիշները, ապա հնարավոր է որոշ դոզավորումների բիովեյվերը կամ սահմանային տարբերակների ընտրությունը:
Աղյուսակ 8
Բազմամիավոր պատրաստուկ՝ հետաձգված ձերբազատմամբ (համաձայն դեղապատրաստուկի ընդհանուր բնութագրի՝ պատրաստուկն ընդունում են սնունդ ընդունելուց հետո)
|
Դոզավորումը |
Մեկանգամյա դոզավորմամբ հետազոտություն՝ անոթի |
Մեկանգամյա դոզավորմամբ հետազոտություն՝ սնունդ ընդունելուց հետո |
|
բարձր |
այո |
այո |
|
միջին |
բիովեյվեր* |
բիովեյվեր* |
|
ցածր |
բիովեյվեր* |
բիովեյվեր* |
_____________________________
* Եթե կատարվում են Պահանջների VI բաժնում բերված՝ հետազոտության անցկացման չափանիշները, ապա հնարավոր է որոշ դոզավորումների բիովեյվերը կամ սահմանային տարբերակների ընտրությունը:
(հավելվածը լրաց. 04.09.20 թիվ 67)
|
ՀԱՎԵԼՎԱԾ թիվ 11 Եվրասիական տնտեսական միության շրջանակներում դեղապատրաստուկների կենսահամարժեքության հետազոտությունների անցկացման կանոնների |
ՊԱՀԱՆՋՆԵՐ
հայտնի ազդող նյութ (նյութեր) պարունակող, տեղային ազդեցություն թողնող դեղաձևերով դեղապատրաստուկների կլինիկական հետազոտությունների անցկացմանը ներկայացվող
I. Ընդհանուր դրույթները
1. Սույն պահանջներով սահմանվում է հայտնի ազդող նյութ (նյութեր) պարունակող, տեղային ազդեցություն թողնող դեղաձևերով դեղապատրաստուկների (այսուհետ՝ տեղային ազդեցության պատրաստուկներ) կլինիկական հետազոտությունների անցկացման և այդ հետազոտությունների արդյունքների՝ գրանցման դոսյեի 2-րդ մոդուլի 2.5 և 2.7 բաժիններում և 5-րդ մոդուլում ներկայացնելու կարգը։ Այդ դեղապատրաստուկների ուսումնասիրման լրացուցիչ ասպեկտները ներկայացված են Եվրասիական տնտեսական հանձնաժողովի խորհրդի 2016 թվականի նոյեմբերի 3-ի թիվ 85 որոշմամբ հաստատված՝ Եվրասիական տնտեսական միության շրջանակներում դեղապատրաստուկների կենսահամարժեքության հետազոտությունների անցկացման կանոնների (այսուհետ՝ կանոններ) թիվ 12 և թիվ 13 հավելվածներում։
2. Սույն պահանջները պարունակում են տեղային ազդեցության պատրաստուկների հետազոտությունների ծավալի մանրամասները՝ հաշվի առնելով Եվրասիական տնտեսական հանձնաժողովի խորհրդի 2016 թվականի նոյեմբերի 3-ի թիվ 78 որոշմամբ հաստատված՝ Բժշկական կիրառման դեղամիջոցների գրանցման և փորձաքննության կանոնները՝ դեղապատրաստուկի տեսակով պայմանավորված, հաշվի առնելով Եվրասիական տնտեսական հանձնաժողովի կոլեգիայի 2019 թվականի նոյեմբերի 26-ի թիվ 202 որոշմամբ հաստատված՝ Դեղապատրաստուկների կլինիկական հետազոտությունների անցկացման և գրանցման նպատակներով անվտանգության նախակլինիկական հետազոտությունների ձեռնարկը։
3. Տեղային ազդեցության պատրաստուկները կիրառվում են տեղային էֆեկտ թողնելու համար, օրինակ՝մաշկաբանական դեղապատրաստուկները (կրեմները, քսուքները),ինհալացիաների համար դեղապատրաստուկները՝ փոշու կամ աերոզոլի տեսքով,աչքի կաթիլները և ականջի կաթիլները,քթի դեղապատրաստուկները,պերօրալ, վագինալ կամ ռեկտալ եղանակով կիրառվող՝ տեղային ազդեցության պատրաստուկները։
Համակարգային ազդեցությունը (եթե այդպիսին կա) դեղապատրաստուկների այդ խմբերի համար դիտարկվում է որպես անցանկալի ազդեցություն։
4. Տեղային ազդեցության պատրաստուկների տեխնոլոգիայի, բաղադրության կամ դեղաձևի փոփոխման (օրինակ՝ դեղապատրաստուկի ֆիզիկաքիմիական հատկությունների փոփոխման, օժանդակ նյութերի փոփոխման) դեպքում կարող են փոփոխվել դրանց անվտանգությունը և (կամ) արդյունավետությունը, ինչպես նաև ազդող նյութի՝ դեպի համակարգային շրջապտույտ ներթափանցման աստիճանը։ Բացի այդ՝ մաշկին կամ լորձաթաղանթին քսելիս հենց ազդող նյութի կրողը (դեղաձևի ձևագոյացնող բաղադրիչը, որն օժանդակ նյութերի կազմություն է) կարող է ներգործություն ունենալ հիվանդության պաթոգենեզի վրա։
5. Եթե հնարավոր չէ դեղապատրաստուկի կենսամատչելիությունը գնահատել դեղակինետիկ, դեղադինամիկ վերջնակետերի կամ in vitro վերջնակետերի օգտագործմամբ, ապա չի թույլատրվում այդ դեղապատրաստուկը դիտարկել որպես վերարտադրված դեղապատրաստուկ։ Միևնույն ժամանակ, այդ դեղապատրաստուկների դեղագործական մշակման ծավալը համապատասխանում է համառոտ դոսյեին։ Այդ պատրաստուկների առնչությամբ գրանցման դիմում ներկայացնելիս հարկավոր է նշել, որ դրանք դասվում են հիբրիդային դեղապատրաստուկների տիպին։
Տեղային ազդեցության պատրաստուկների դեպքում նախակլինիկական և կլինիկական հետազոտության մասին նշված տվյալների բացակայությունն անհրաժեշտ է հիմնավորել գրանցման դոսյեի 2-րդ մոդուլի 2.4 և 2.5 բաժիններում։
6. II տիպի էական փոփոխություններ կատարելիս անհրաժեշտ է ապացուցել թերապևտիկ համարժեքությունը՝ օրիգինալ (ռեֆերենտ) դեղապատրաստուկի նկատմամբ (այսուհետ՝ համեմատման պատրաստուկ)։ Հետազոտությունների ընտրությունը և տվյալների բացակայությունը դիմողի կողմից պետք է հիմնավորվեն գրանցման դոսյեի 2-րդ մոդուլի 2.5 բաժնում (և եթե դա կիրառելի է գրանցման դիմումի տեսակի առնչությամբ, նաև՝ 2.4 բաժնում)։
7. Տեղային ազդեցության պատրաստուկների գրանցման դոսյեում ներկայացվող՝ այդ պատրաստուկների հետազոտությունների մասին տվյալների ծավալին ներկայացվող պահանջները, պայմանավորված գրանցման դիմումի տեսակով և համեմատման պատրաստուկից տարբերության աստիճանով, բերված են աղյուսակում։
Աղյուսակ
Տեղային ազդեցության պատրաստուկների գրանցման դոսյեում ներկայացվող տվյալների ծավալին ներկայացվող պահանջներ
|
Գրանցման դիմումի տեսակը |
Հետազոտությունների մասին տվյալների ծավալը |
|
1. Նախկինում տեղային չկիրառված հայտնի ազդող նյութով տեղային ազդեցության պատրաստուկների գրանցման դիմումը |
ամբողջական գրանցման դոսյեն կամ գրանցման դոսյեի 5-րդ մոդուլում համապատասխան կապակցող հետազոտությունները |
|
2. Գրանցման դիմումը՝ ներկայացնելով համառոտ դոսյեն և նշելով հետազոտվող հիբրիդային դեղապատրաստուկի և համեմատման պատրաստուկի1,2 միջև տարբերությունների հետևյալ տեսակներից մեկը՝ |
|
|
ա) կիրառման այլ ցուցում |
տվյալ ցուցումի առնչությամբ արդյունավետության և անվտանգության կլինիկական հետազոտությունները |
|
բ) դոզավորման այլ ռեժիմ |
դոզավորման տվյալ ռեժիմի առնչությամբ արդյունավետության և անվտանգության կլինիկական հետազոտությունները։ Հետազոտությունների շրջանակներում անհրաժեշտ է հիմնավորել դոզավորման նոր ռեժիմ մշակելու նպատակահարմարությունը և հետազոտությունների առաջարկվող ծավալի բավարար լինելը՝ ելնելով ստացված արդյունքներից |
|
գ) այլ դեղաչափ, սակայն դոզավորման սովորական ռեժիմ |
հնարավորության դեպքում՝ դեղադինամիկ հետազոտությունները կամ տեղային մատչելիության հետազոտությունները. կամ in vitro հետազոտությունները (օրինակ՝ աչքի կաթիլների համար) կամ դեղաչափերի աննշան տարբերությունների դեպքում հետազոտություններ անցկացնելու անհրաժեշտության բացակայության հիմնավորումը։ Անհրաժեշտ է ներկայացնել այլ դեղաչափի անվտանգության հաստատումը։ Հետազոտությունների շրջանակներում անհրաժեշտ է հիմնավորել նոր դեղաչափ մշակելու նպատակահարմարությունը և հետազոտությունների առաջարկվող ծավալի բավարար լինելը՝ ելնելով ստացված արդյունքներից |
|
դ) այլ դեղաձև (օրինակ՝ կրեմը քսուքով փոխարինելը, աերոզոլը ինհալացիաների համար փոշիով փոխարինելը) |
կլինիկական հետազոտությունները՝ անվտանգությունը և (կամ) արդյունավետությունը հաստատելու համար և (կամ) հնարավորության դեպքում՝ դեղադինամիկ հետազոտությունները․ ինչպես նաև (եթե անհրաժեշտ է) աբսորբման, ներթափանցման և տեղային տանելիության հետազոտությունները։ Հետազոտությունների շրջանակներում անհրաժեշտ է հիմնավորել նոր դեղաձև մշակելու նպատակահարմարությունը և հետազոտությունների առաջարկվող ծավալի բավարար լինելը՝ ելնելով ստացված արդյունքներից |
|
ե) վերարտադրված (հիբրիդային) դեղապատրաստուկները (օժանդակ նյութերի և (կամ) արտադրության տեխնոլոգիայի հնարավոր էական փոփոխությունների դեպքում՝ համեմատման պատրաստուկի հետ համեմատած) |
համեմատման պատրաստուկի հետ թերապևտիկ համարժեքության հաստատումը։ Հնարավորության դեպքում՝ դեղադինամիկ հետազոտությունները կամ տեղային մատչելիության հետազոտությունները.կամ in vitro հետազոտությունները (օրինակ՝ աչքի կաթիլների համար) կամ օժանդակ նյութերի բաղադրության և արտադրության եղանակի աննշան տարբերությունների դեպքում հետազոտություններ անցկացնելու անհրաժեշտության բացակայության հիմնավորումը։ Անհրաժեշտ է ներկայացնել դեղապատրաստուկի անվտանգության հաստատումները |
|
3. Տեղային ազդեցության պատրաստուկների գրանցման դոսյեում II տիպի էական փոփոխությունների կատարման մասին դիմումը2,3 |
|
|
ա) ազդող նյութի հատկությունների փոփոխությունները (առանց դրա մոլեկուլային կառուցվածքի փոփոխման), որոնք նշվում են դրա ֆիզիկական հատկությունների բնութագրի մեջ |
հնարավորության դեպքում՝ դեղադինամիկ հետազոտությունները կամ տեղային մատչելիության հետազոտությունները կամ in vitro հետազոտությունները։ Նշված հետազոտություններն անցկացնելու անհնարինության դեպքում՝ թերապևտիկ համարժեքության կլինիկական հետազոտությունները։ Անհրաժեշտ է ներկայացնել դեղապատրաստուկի անվտանգության հաստատումները |
|
բ) օժանդակ նյութերի փոփոխությունները |
հնարավորության դեպքում՝ դեղադինամիկ հետազոտությունները կամ տեղային մատչելիության հետազոտությունները կամ in vitro հետազոտությունները։ Նշված հետազոտություններն անցկացնելու անհնարինության դեպքում՝ թերապևտիկ համարժեքության կլինիկական հետազոտությունները։ Անհրաժեշտ է ներկայացնել դեղապատրաստուկի անվտանգության հաստատումները |
|
գ) դեղապատրաստուկի ներմուծման ուղու և (կամ) քսելու եղանակի փոփոխությունները՝ հաշվի առնելով մատակարարելու կամ քսելու սարքերը (օրինակ՝ ինհալատոր) |
հնարավորության դեպքում՝ դեղադինամիկ հետազոտությունները կամ տեղային մատչելիության հետազոտությունները կամ in vitro հետազոտությունները։ Նշված հետազոտություններն անցկացնելու անհնարինության դեպքում՝ թերապևտիկ համարժեքության կլինիկական հետազոտությունները։ Անհրաժեշտ է ներկայացնել դեղապատրաստուկի անվտանգության հաստատումները |
Ինչ վերաբերում է աղյուսակի մեջ նկարագրված բոլոր փոփոխություններին, ապա գրանցման դոսյեի համապատասխան բաժինները պետք է պարունակեն հետազոտությունների ծրագրի ընտրության վերլուծությունը կամ դրանց բացակայության բավարար հիմնավորումը։
II. Նախկինում տեղային չկիրառված հայտնի ազդող նյութով տեղային ազդեցության պատրաստուկների գրանցման դիմումը
8. Գրանցման դոսյեի 5-րդ մոդուլի ձևավորման համար, դեղապատրաստուկով պայմանավորված, պահանջվում է կամ ներկայացնել ամբողջական գրանցման դոսյեն, կամ գրանցման դոսյեի նշված մոդուլի մեջ ներկայացնել համապատասխան կապակցող հետազոտությունների տվյալները։ Կապակցող հետազոտությունների արդյունքները կարող են օգտագործվել այն դեպքերում, երբ ազդող նյութը գրանցված է ներմուծման այլ ուղիներ ունեցող դեղապատրաստուկների բաղադրության մեջ։ Անհրաժեշտ է հիմնավորել կլինիկական մշակման ամբողջական ծրագրի իրագործման փոխարեն կապակցող հետազոտությունների օգտագործման հնարավորությունը։
III. Գրանցման դիմումը՝ համառոտ դոսյեի ներկայացմամբ
1. Գրանցման դիմումի տեսակի հիմնավորումը
9. Տեղային ազդեցության պատրաստուկների համար անհրաժեշտ է հաստատել, որ դեղապատրաստուկը (վերարտադրված կամ հիբրիդային) թերապևտիկ տեսանկյունից համարժեք է համեմատման պատրաստուկին։
10. Թերապևտիկ համարժեքությունը հաստատելու համար անհրաժեշտ է անցկացնել կլինիկական հետազոտություններ, հատկապես՝ տեղային ազդեցության մաշկաբանական պատրաստուկների համար (բացառությամբ Կանոնների թիվ 1 հավելվածի X բաժնում նշված դեղապատրաստուկների)։ Դիմողն իրավունք ունի օգտագործելու Կանոնների թիվ 13 հավելվածում նշված հետազոտությունների մոդելները կամ մշակել հետազոտությունների այլընտրանքային մոդելներ։ Այդ նպատակի համար, իրավիճակով պայմանավորված, թույլատրվում է անցկացնել՝մարդու մասնակցությամբ դեղադինամիկ հետազոտություններ,մարդու մասնակցությամբ տեղային կենսամատչելիության հետազոտություններ,կենդանիների վրա հետազոտություններ (եթե կիրառելի է)․
in vitro հետազոտություններ (եթե կիրառելի է)։
Նշված հետազոտությունների բոլոր մոդելները (անցկացման մեթոդիկաները) պետք է վալիդացվեն։ Բացի այդ՝ անհրաժեշտ է համապատասխան մեթոդիկաների օգտագործմամբ ուսումնասիրել հետազոտվող, տեղային ազդեցության պատրաստուկների անվտանգության և տեղային տանելիության հարցերը։
11. Հետազոտությունների այլընտրանքային մոդելներ մշակելիս թույլատրվում է օգտագործել Բժշկական կիրառության համար նախատեսված դեղագործական պատրաստուկներին ներկայացվող տեխնիկական պահանջների ներդաշնակեցման հարցերով միջազգային խորհրդի անդամ պետությունների՝ պատրաստուկին մասնահատուկ ցուցումներում բերված մոդելները տեղային ազդեցության պատրաստուկների միևնույն կամ համանման ազդող նյութերի և դեղաձևերի համար։ Այլընտրանքային մոդելների մշակումը, պատրաստուկին մասնահատուկ կիրառված ցուցումները, ինչպես նաև հետազոտվող, տեղային ազդեցության պատրաստուկների անվտանգության և տեղային տանելիության վերաբերյալ տվյալներն անհրաժեշտ է հիմնավորել գրանցման դոսյեի 2-րդ մոդուլի 2.5 բաժնում։
2. Տեղային ազդեցության պատրաստուկների արդյունավետության (համարժեքության) մասին տվյալների ներկայացումը
Կլինիկական հետազոտությունները
12. Համարժեքության սահմանների ընդունելիության չափորոշիչները պետք է սահմանվեն նախապես, հետազոտության համար պացիենտների անհրաժեշտ թիվը կլինիկական հետազոտության արձանագրության մեջ պետք է գնահատվի նախքան հետազոտությունն սկսելը՝ համապատասխան վիճակագրական մոտեցումների կիրառմամբ։ Հետազոտվող, տեղային ազդեցության պատրաստուկի՝ համեմատման պատրաստուկին համարժեքության սահմանների ընտրությունը պայմանավորված է ազդող նյութով և համարժեքության գնահատման կիրառվող պարամետրերով և պետք է հիմնավորվի դիմողի կողմից։ Անցկացված հետազոտության մասին հաշվետվության մեջ համարժեքության ստանդարտ սահմանների մասին նշումը նաև պահանջում է հիմնավորել ուսումնասիրվող պատրաստուկների տվյալ խմբի համար տեղային ազդեցությունը։
13. Թերապևտիկ համարժեքության հաստատումը՝ բացառապես հետազոտվող, տեղային ազդեցության պատրաստուկների ներգործության մեջ եղած տարբերությունների փաստի և պլացեբոյի հիման վրա բավարար չէ։ Պլացեբոյի նկատմամբ ակնկալվող պատասխանից և բացասական հսկողության խմբի առկայության անհրաժեշտությամբ պայմանավորված՝ պահանջվում է կամավորների 3 խմբերի համար հետազոտություն անցկացնել, որը թույլ է տալիս համեմատել պլացեբոյի, հետազոտվող, տեղային ազդեցության պատրաստուկի և համեմատման պատրաստուկի ազդեցությունը։ Կամավորների 2 խմբերի համար հետազոտությունների անցկացումը թույլատրվում է այն դեպքում, եթե դա հիմնավորված է կենսավիճակագրական անալիզի կիրառվող սկզբունքներով։ Հետազոտության դիզայնի ընտրությունը նաև պետք է դիմողի կողմից հիմնավորվի կլինիկական հետազոտության արձանագրության և հետազոտության արդյունքների մասին հաշվետվության մեջ։
Համարժեքության ապացուցման այլ մոդելներ
14. Եթե կլինիկական հետազոտությունների փոխարեն ընտրվել է համարժեքության ապացուցման այլ մոդել, ապա թերապևտիկ համարժեքությունը հաստատելու համար անհրաժեշտ է ցույց տալ և հիմնավորել մոդելի համապատասխանությունը (մոդելը պետք է վալիդացվի), այդ թվում անհրաժեշտ է հաստատել դրա կիրառելիությունը գրանցման ժամանակ նշվող՝ դեղապատրաստուկի կիրառման ռեժիմի և եղանակի առնչությամբ։ Որպես կլինիկական հետազոտություններին այլընտրանք՝ մշակված մոդելների մեծամասնության համար վալիդացումը բացակայում է։
15. Տեղային ազդեցության դեղապատրաստուկների համար դեղակինետիկ կենսահամարժեքությունը ոչ բոլոր դեպքերում է համարվում թերապևտիկ համարժեքությունը հաստատելու օպտիմալ մեթոդ (բացառությունների թվին դասվում են Կանոնների թիվ 9 հավելվածում նշվածները), քանի որ պլազմային կոնցենտրացիաները տեղային արդյունավետությունը գնահատելու համար ներկայացուցչական չեն, սակայն դեղապատրաստուկի անվտանգությունը գնահատելու համար թույլատրվում է օգտագործել դեղակինետիկ կենսահամարժեքության մասին տվյալները։
3. Տեղային ազդեցության պատրաստուկների անվտանգության մասին տվյալների ներկայացումը
16. Տեղային ազդեցության պատրաստուկների անվտանգությունը և տեղային տանելիությունը թույլատրվում է հիմնավորել ազդող նյութի հատկությունների և հայտնի օժանդակ բաղադրիչների ընտրության մասին տեղեկատվություն ներկայացնելու միջոցով։ Առանձին դեպքերում պահանջվում է դեղապատրաստուկի, որպես ամբողջական պրոդուկտի (արդյունքի) (ազդող նյութի և բոլոր օժանդակ նյութերի խառնուրդ), լրացուցիչ հետազոտությունների անցկացում կենդանիների վրա, ինչպես նաև լրացուցիչ հետազոտությունների անցկացում՝ մարդու մասնակցությամբ։
17. Եթե դիմողը ելնում է այն ենթադրությունից, որ հետազոտվող, տեղային ազդեցության պատրաստուկի մեջ ակտիվ նյութի՝ համակարգային արյան հոսքին և (կամ) դեղաբանական ազդեցություն թողնելու տեղին հասնող քանակն ավելի բարձր է, քան համեմատման պատրաստուկի մեջ, և այդ ենթադրությունը հաստատվել է, հարկավոր է գրանցման դոսյեում ներկայացնել համապատասխան թունաբանական տվյալները և տեղային ազդեցության պատրաստուկի անվտանգության մասին տվյալները, որոնք ստացվել են մարդու մասնակցությամբ հետազոտությունների շրջանակներում։ Այդպիսի տվյալներ ներկայացնելուց դիմողի կողմից հրաժարվելը պետք է հիմնավորվի գրանցման դոսյեի 2-րդ մոդուլի 2.5 բաժնում (և, եթե կիրառելի է՝ 2.4 բաժնում)։
18. Այն դեպքում, երբ օգտագործվում են տեղային ազդեցության պատրաստուկների բաղադրության մեջ առաջին անգամ կիրառվող օժանդակ նյութեր, անհրաժեշտ է ներկայացնել մարդու մասնակցությամբ հետազոտությունների շրջանակներում ստացված համապատասխան թունաբանական, դեղաբանական տվյալները և այդ պատրաստուկների անվտանգության մասին տվյալները՝ հաստատելու համար, որ տվյալ օժանդակ նյութն իսկապես ոչ ակտիվ և անվտանգ է, ինչպես նաև դեղապատրաստուկի ազդող նյութի հետ այդ օժանդակ նյութի փոխազդեցությունն անցանկալի բնույթ չունի։
19. Տեղային ազդեցության պատրաստուկների հետազոտությունների ծրագիրը և դրանց անվտանգության մասին տվյալներն անհրաժեշտ է դիտարկել գրանցման դոսյեի 2-րդ մոդուլի 2.5 բաժնում (և, եթե կիրառելի է՝ 2.4 բաժնում), ինչպես նաև հիմնավորել ներկայացվող տվյալների ընտրությունը կամ այդ տվյալները ներկայացնելուց հրաժարումը։ Նոր դեղապատրաստուկի ռիսկը գնահատելիս անհրաժեշտ է հաշվի առնել այն փաստը, որ պաթոլոգիական գործընթացն ինքնին կարող է ազդել տեղային ազդեցության պատրաստուկի ազդող նյութի աբսորբման կամ համակարգային արյան հոսքի մեջ դրա ներթափանցման վրա, ընդ որում, պահանջվում է ներկայացնել մարդու մասնակցությամբ ստացված անվտանգության մասին տվյալները։
4. Գրանցման դոսյեում ներկայացվող՝ տեղային ազդեցության պատրաստուկի մասին այլ տեղեկություններ
20. Եթե նոր բաղադրությամբ տեղային ազդեցության պատրաստուկի վերաբերյալ գրանցման ժամանակ նոր հատկություններ են հայտագրվում, ապա անհրաժեշտ է դրանք հիմնավորել գրանցման դոսյեում։
IV. Տեղային ազդեցության պատրաստուկների գրանցման դոսյեում II տիպի էական փոփոխությունների կատարման մասին դիմումը
21. Դեղապատրաստուկի բնութագրերի (արտադրական բաղադրագրի, բաղադրության, արտադրման եղանակի կամ դեղաձևի մոդիֆիկացման) այնպիսի փոփոխության դեպքում, որը չի պահանջում ներկայացնել գրանցման նոր դիմում՝ համառոտ դոսյեի ներկայացման հնարավորությամբ (գրանցման ընդլայնում չպահանջող փոփոխություն), որը սակայն կարելի է դիտարկել որպես II տիպի էական փոփոխություն, հարկավոր է ներկայացնել այդ պատրաստուկի թերապևտիկ համարժեքության գնահատման արդյունքները՝ ներառյալ դրա տեղային տանելիությունը (անհրաժեշտության դեպքում)։ Եթե դիմողն այլ բան չի հիմնավորել, ապա պահանջվում է ներկայացնել սույն պահանջների III բաժնում նշված տվյալները։ Չի պահանջվում այդ տվյալները ներկայացնել այն դեպքում, երբ փոփոխությունները դասակարգվում են որպես ոչ էական փոփոխություններ։ Փոփոխությունների կարևորությունն անհրաժեշտ է հիմնավորել գրանցման դոսյեի 2-րդ մոդուլի 2.5 բաժնում (և, եթե կիրառելի է՝ 2.4 բաժնում)։
______________________
1 Աղյուսակի 2-րդ կետի «ա»-«գ» ենթակետերում նշված փոփոխությունների կատարման դեպքում հետազոտությունների մի մասը հնարավոր է նկարագրել նախապես հաստատված գրանցման դոսյեին կատարված հղումը նշելու միջոցով․դրա հետ մեկտեղ անհրաժեշտ է ներկայացնել սեփական հետազոտությունների արդյունքները։
2 Աղյուսակի 3-րդ կետի «ա»-«գ» ենթակետերում նշված փոփոխությունների կատարման դեպքում, ինչպես նաև վերարտադրված և հիբրիդային դեղապատրաստուկների համար աղյուսակի 2-րդ կետի «ե» ենթակետում նշված փոփոխությունների կատարման դեպքում անհրաժեշտ է հաստատել համեմատման պատրաստուկի հետ թերապևտիկ համարժեքությունը՝ վալիդացված մոդելների օգտագործմամբ։
Թույլատրվում է փորձարարական տվյալներ չներկայացնել այնպիսի աննշան փոփոխություններով սահմանափակվող դեպքերում, որոնք դեղապատրաստուկի անվտանգության և արդյունավետության տեսանկյունից չեն դիտարկվում որպես էական, տվյալների բացակայությունն անհրաժեշտ է հիմնավորել գրանցման դոսյեի 2-րդ մոդուլի 2.5 բաժնում (և, եթե կիրառելի է՝ 2.4 բաժնում)։ Եթե դիմողը որևէ հիմնավորում չի ներկայացրել, ապա անհրաժեշտ է կլինիկական հետազոտություններ անցկացնել։
3 Աղյուսակի մեջ նշված դիմումների կատեգորիաների միջև հստակ տարանջատումը մի շարք դեպքերում դժվար է։ Ինչ վերաբերում է տեղային ազդեցության մաշկաբանական պատրաստուկներին, ապա օժանդակ նյութերի ավելացմամբ (օրինակ՝ ազդող նյութի ներթափանցման ուժեղացուցչի համար) կիրառվում է աղյուսակի 3-րդ կետի «բ» ենթակետը, և պահանջվում է ընդլայնված հետազոտությունների անցկացում (ինչպես աղյուսակի 2-րդ կետի «դ» ենթակետի շրջանակներում փոփոխությունների համար)։
(հավելվածը լրաց. ԵՏՀԽ 05.02.23 թիվ 22)
|
ՀԱՎԵԼՎԱԾ թիվ 12 Եվրասիական տնտեսական միության շրջանակներում դեղապատրաստուկների կենսահամարժեքության հետազոտությունների անցկացման կանոնների |
ՊԱՀԱՆՋՆԵՐ
աղեստամոքսային տրակտում տեղային ազդեցություն թողնող դեղաձևերով դեղապատրաստուկների թերապևտիկ համարժեքությունը հաստատելու համար հետազոտությունների անցկացմանը ներկայացվող
I. Ընդհանուր դրույթներ
1. Սույն պահանջները կիրառվում են այնպիսի դեղաձևերով դեղապատրաստուկների առնչությամբ, որոնք տեղային ազդեցություն են թողնում աղեստամոքսային տրակտի որոշակի հատվածում (հատվածներում) (բերանի խոռոչից մինչև ուղիղ աղիք), և որոնց համար համակարգային ցանկացած ազդեցություն դիտարկվում է որպես անցանկալի ռեակցիա (այսուհետ՝ տեղային ազդեցության պատրաստուկներ)։
2. Սույն պահանջներով սահմանվում են կենսահամարժեքության անհրաժեշտ in vivo հետազոտությունների և համարժեքության in vitro հետազոտությունների անցկացման առանձնահատկությունները՝ տեղային ազդեցության պատրաստուկների թերապևտիկ համարժեքությունը հաստատելու համար, ինչպես նաև ներառում են այնպիսի պայմաններ, որոնց պահպանման դեպքում չի պահանջվում ներկայացնել սեփական կլինիկական տվյալները։
3. Եվրասիական տնտեսական հանձնաժողովի խորհրդի 2016 թվականի նոյեմբերի 3-ի թիվ 85 որոշմամբ հաստատված՝ Եվրասիական տնտեսական միության շրջանակներում դեղապատրաստուկների կենսահամարժեքության հետազոտությունների անցկացման կանոնների (այսուհետ՝ Կանոններ) թիվ 1 հավելվածին համապատասխան՝ անհրաժեշտ է անցկացնել դեղապատրաստուկների տվյալ խմբի համար կենսահամարժեքության կլինիկական հետազոտություններ, սակայն համարժեքությունն ապացուցելու համար թույլատրվում է նաև օգտագործել հետազոտությունների պատրաստի փորձարարական մոդելներ կամ մշակել այլ այդպիսի մոդելներ։ Իրավիճակով պայմանավորված՝ կարելի է դիտարկել դեղադինամիկ հետազոտությունները, մարդու մասնակցությամբ տեղային մատչելիությամբ հետազոտությունները, և եթե դա հիմնավորված է, կենդանիների վրա հետազոտությունները կամ in vitro հետազոտությունները՝ պայմանով, որ հետազոտությունների համապատասխան մեթոդիկաները կամ մոդելները բավականաչափ հուսալի են (ելնելով մեթոդիկայի կամ մոդելի վալիդացման արդյունքներից)։
4. Կլինիկական հետազոտություններում կլինիկական և դեղադինամիկ վերջնակետերի հետ համեմատած՝ այլընտրանքային մոդելների (ներառյալ in vitro և in vivo մեթոդները) օգտագործումը կարող է ապահովել ավելի բարձր զգայունություն՝ միատեսակ ազդող նյութեր պարունակող դեղապատրաստուկների միջև տարբերություններ հայտնաբերելու նկատմամբ։ Այս այլընտրանքային մոդելներից մի քանիսի առանձին կամ համակցված կիրառության փորձը վկայում է այն մասին, որ հնարավոր է ուղղակիորեն կամ անուղղակիորեն համեմատել ազդող նյութերի տեղային կոնցենտրացիաները։
5. Տեղային ազդեցության պատրաստուկների թերապևտիկ համարժեքությունը թույլատրվում է ապացուցել այլընտրանքային մոդելների օգտագործմամբ՝ պայմանով, որ այս մոդելները հաստատել են in vivo հետազոտվող պատրաստուկի բաղադրիչների ձերբազատումը և տեղային մատչելիությունը ճիշտ արտացոլելու ունակությունը։ Ազդող նյութերի ձերբազատման և տեղային մատչելիության համանմանությունն այն հիմնական գործոնն է, որով որոշվում է տեղային կիրառության պատրաստուկների նկատմամբ նման կլինիկական պատասխանը։ Այն դեպքերում, երբ in vitro հետազոտությունները կամ դեղակինետիկ հետազոտությունները թույլ են տալիս գնահատել այս գործոնները, թույլատրվում է կլինիկական հետազոտություններ չանցկացնել։
6. Այն հետազոտությունների տեսակը, որոնց անցկացումն անհրաժեշտ է համարժեքությունը հաստատելու համար, որոշվում է դեղապատրաստուկի բնութագրերի մանրակրկիտ վերլուծության, դրա ազդեցության մեխանիզմի, հիվանդության պաթոգենեզի, ցանկացած in vitro կամ in vivo հետազոտության հուսալիության, օժանդակ նյութերի ներգործությունների և ազդող նյութի մատակարարման համակարգերի տարբերությունների հիման վրա։ Կլինիկական հետազոտությունների բացակայությունն անհրաժեշտ է հիմնավորել։
II. Կիրառության ոլորտը
7. Սույն պահանջներում բերվում է համարժեքության in vitro հետազոտությունների և կենսահամարժեքության in vivo դեղակինետիկ հետազոտությունների, որպես միևնույն ազդող նյութը պարունակող, արագ կամ մոդիֆիկացված ձերբազատմամբ տեղային ազդեցության պատրաստուկների թերապևտիկ համարժեքությունը հաստատելու համար հարմար մոդելների, ընտրության նկարագրությունը։ Հետազոտությունների ընտրությունն անհրաժեշտ է հիմնավորել գրանցման դոսյեում՝ հաշվի առնելով պատրաստուկի ազդող նյութի in vivo ձերբազատման և դրա տեղային մատչելիության վրա ազդեցություն ունեցող բոլոր կարևոր բնութագրերը։
8. Դեղադինամիկ հետազոտությունների և թերապևտիկ համարժեքության կլինիկական հետազոտությունների դիզայնը պայմանավորված է այն հիվանդությունների առանձնահատկություններով, որոնց բուժման համար կիրառվում են տեղային ազդեցության պատրաստուկներ։ Դեղապատրաստուկների առանձին խմբերի և տարատեսակների հետազոտությունների պլանավորման և անցկացման դեպքում անհրաժեշտ է հաշվի առնել Եվրասիական տնտեսական միության մարմինների այն ակտերի դրույթները, որոնցով կանոնակարգվում է դեղապատրաստուկների հետազոտությունների անցկացումը։
9. Սույն պահանջները կիրառվում են քիմիական սինթեզի ճանապարհով ստացված ցածր մոլեկուլային միացություններ հանդիսացող, ազդող նյութեր պարունակող դեղապատրաստուկների նկատմամբ որոնք սահմանված են Եվրասիական տնտեսական հանձնաժողովի խորհրդի 2016 թվականի նոյեմբերի 3 ի թիվ 89 որոշմամբ հաստատված՝ Եվրասիական տնտեսական միության կենսաբանական դեղամիջոցների հետազոտությունների անցկացման կանոններում։
10. Սույն պահանջները կիրառվում են դեղապատրաստուկների հետևյալ տեսակների գրանցման դիմումների ձևակերպման ժամանակ՝օրիգինալ դեղապատրաստուկներ (ամբողջական դիմումները՝ Եվրասիական տնտեսական հանձնաժողովի խորհրդի 2016 թվականի նոյեմբերի 3-ի թիվ 78 որոշմամբ հաստատված՝ Բժշկական կիրառության դեղամիջոցների գրանցման և փորձաքննության կանոնների (այսուհետ՝ Գրանցման և փորձաքննության կանոններ) թիվ 1 հավելվածի I բաժնին համապատասխան)․
վերարտադրված դեղապատրաստուկներ (Գրանցման և փորձաքննության կանոնների թիվ 1 հավելվածի II բաժնի 6-րդ ենթաբաժնին համապատասխան)․
հիբրիդային դեղապատրաստուկներ (Գրանցման և փորձաքննության կանոնների թիվ 1 հավելվածի II բաժնի 7-րդ ենթաբաժնին և թիվ 11 հավելվածին համապատասխան)․
լավ ուսումնասիրված բժշկական կիրառությամբ դեղապատրաստուկներ (Գրանցման և փորձաքննության կանոնների թիվ 1 հավելվածի II բաժնի 8-րդ ենթաբաժնին համապատասխան)․
համակցված դեղապատրաստուկներ (դեղաչափերի ֆիքսված համակցություն) (Գրանցման և փորձաքննության կանոնների թիվ 1 հավելվածի II բաժնի 9-րդ ենթաբաժնին համապատասխան)։
Սույն պահանջների դրույթները նաև կիրառվում են գրանցման պայմանների փոփոխության դեպքում (Գրանցման և փորձաքննության կանոնների թիվ 19 հավելվածին համապատասխան)։
11. Հետազոտվող տեղային ազդեցության պատրաստուկները պետք է արտադրվեն Եվրասիական տնտեսական հանձնաժողովի խորհրդի 2016 թվականի նոյեմբերի 3-ի թիվ 77 որոշմամբ հաստատված՝ Եվրասիական տնտեսական միության պատշաճ արտադրական գործունեության կանոններին համապատասխան՝ գրանցման դոսյեի կազմում համապատասխան փաստաթղթերը ներկայացնելով։
12. Դիմողն իրավունք ունի դիմելու Եվրասիական տնտեսական միության անդամ պետությունների լիազորված մարմիններին (փորձագիտական կազմակերպություններին) Գրանցման և փորձաքննության կանոնների 26 րդ կետին համապատասխան գիտական կամ նախագրանցումային խորհրդատվության համար, այդ թվում՝ նեղ թերապևտիկ ինդեքսով դեղապատրաստուկների հետազոտությունների ծրագրի և տեսակների համար։
III. Տեղային ազդեցության պատրաստուկների տեսակները
13. Տեղային ազդեցության պատրաստուկները բաժանվում են հետևյալ կատեգորիաների՝
ա) ըստ ազդեցության տեղի՝
բերանում և (կամ) կոկորդում ու ըմպանում տեղային ազդեցություն ունեցող պատրաստուկներ (օրինակ՝ տեղային անզգայացնող միջոցներ, տեղային ազդեցության ցավազրկողներ),
կերակրափողում և ստամոքսում տեղային ազդեցություն ունեցող պատրաստուկներ (օրինակ՝ անտացիդներ),
բարակ աղիքի պրոքսիմալ կամ դիստալ հատվածներում, հաստ աղիքում կամ ուղիղ աղիքում տեղային ազդեցություն ունեցող պատրաստուկներ (օրինակ՝ հակաբորբոքային կամ սպազմոլիտիկ [հակակծկանքային] պատրաստուկներ)
բ) ըստ ազդեցության մոլեկուլային թիրախի դիրքի՝
ներբջջային թիրախի վրա տեղային ազդեցություն ունեցող պատրաստուկներ,
աղեստամոքսային տրակտի լուսանցքում կամ աղեստամոքսային տրակտի լորձաթաղանթի բջջային թաղանթի մակերևույթի վրա ազդեցություն ունեցող պատրաստուկներ,
ներբջջային և արտաբջջային տեղակայմամբ մոլեկուլային թիրախների մի քանի տեսակների վրա տեղային ազդեցություն ունեցող պատրաստուկներ․
գ) ըստ ազդեցության մեխանիզմի՝
մարսողական հյութերում կամ աղեստամոքսային միջավայրում խելատացնող միացություններ, որոնք թիրախների հետ կապակցվում են աղեստամոքսային տրակտի լուսանցքում (օրինակ՝ ֆոսֆատը կամ լեղին),
փոխարինող թերապիայի պատրաստուկներ, որոնք աղեստամոքսային տրակտ են հասցնում էնդոգեն միացություններ (օրինակ՝ լեղաթթուները),
աղեստամոքսային տրակտում ֆիզիկաքիմիական պայմաններ փոխող պատրաստուկներ (օրինակ՝ անտացիդները),
ֆիզիկական ազդեցություն ունեցող պատրաստուկներ (օրինակ՝ օսմոտիկ լուծողական միջոցները և ծավալ գոյացնող լուծողական միջոցները),
աղիների լորձաթաղանթի բջիջներում ռեցեպտորների կամ թիրախների հետ կապակցվող պատրաստուկներ (օրինակ՝ կորտիկոստերոիդները, 5-ամինոսալիցիլաթթուն)
դ) ըստ կենսադեղագործական և դեղակինետիկ հատկությունների՝
աբսորբվող պատրաստուկներ,
չաբսորբվող պատրաստուկներ
ե) ըստ դեղաձևի՝
արագ ձերբազատմամբ դեղաձևերով պատրաստուկներ,
լուծույթների ձևով պատրաստուկներ,
լուծույթներ չհանդիսացող հեղուկ դեղաձևերով պատրաստուկներ,
մոդիֆիկացված ձերբազատմամբ դեղաձևերով պատրաստուկներ
զ) ըստ դեղաձևի մեջ ազդող նյութի վիճակի՝ ազդող նյութը լուծվում է հեղուկ դեղաձևի մեջ (օրինակ՝ լուծույթը, էլիքսիրը),
ազդող նյութը չի լուծվում հեղուկ կամ փափուկ դեղաձևի մեջ (օրինակ՝ գելը կամ կախույթը),
ազդող նյութը լուծվում է պինդ դեղաձևի մեջ (օրինակ՝ պաստեղը),
ազդող նյութը չի լուծվում պինդ դեղաձևի մեջ (օրինակ՝ դեղահաբը)։
IV. Տեղային ազդեցության պատրաստուկների համարժեքության հաստատմանը ներկայացվող ընդհանուր պահանջները
14. Տեղային ազդեցության պատրաստուկների համարժեքության ընդհանուր գնահատումը բերվում է կամ գրանցման դոսյեի փորձաքննության շրջանակներում՝ համառոտ դոսյեի ներկայացմամբ գրանցման դիմումն ուսումնասիրելու ժամանակ, կամ գրանցման դոսյեի փորձաքննության շրջանակներում՝ արդեն գրանցված դեղապատրաստուկի մեջ փոփոխությունների կատարման մասին դիմումն ուսումնասիրելու ժամանակ։ Այս դեպքերում թերապևտիկ համարժեքությունը տեղային ազդեցության պատրաստուկների անվտանգության և արդյունավետության մասով համարժեքության առկայություն է ենթադրում։ Թերապևտիկ համարժեքությունը հաստատելու համար պահանջվում է անցկացնել կլինիկական վերջնակետերով կլինիկական հետազոտություններ, սակայն կարելի է կիրառել այլընտրանքային մոտեցումներ՝ պայմանով, որ դրանք ունեն հստակ հիմնավորում և համապատասխան բնութագրեր՝ հաշվի առնելով in vivo ներթափանցումը, ձերբազատումը և լուծվելը գնահատելու անհրաժեշտությունը։ In vitro հետազոտությունները կամ մոդելը (մոդելները) պետք է գնահատեն համարժեքությունը հաստատող դեղաձևի առանձնահատուկ բնութագրերը։ Անհրաժեշտ է ներկայացնել հետազոտության ընտրված մեթոդի (մեթոդների) կամ մոդելի (մոդելների) բազմակողմանի և հստակ հիմնավորում։ Հետազոտությունների արդյունքները պետք է լինեն հուսալի, վերարտադրելի, իսկ մեթոդը՝ զգայուն և սպեցիֆիկ՝ հայտագրված նպատակների համար։
15. Կլինիկական և դեղադինամիկ վերջնակետերի մոդելներին այլընտրանք հանդիսացող մոդելների վրա հետազոտությունների արդյունքները ներկայացնելիս անհրաժեշտ է, որ դիմողը ներկայացնի այն բանի փաստաթղթային ապացույցները, որ մոդելը ճշտորեն է արտացոլում ազդող նյութի in vivo ձերբազատումը և մատչելի է ազդեցության տեղերում։ Դրա համար անհրաժեշտ է, որ դիմողը սեփական փորձարարական կամ գիտական բժշկական տվյալների օգտագործմամբ ներկայացնի թերապևտիկ էֆեկտի առումով մոդելի համապատասխանելիության և մոդելի ոչ պակաս զգայունության հիմնավորումը՝ կլինիկական և (կամ) դեղադինամիկ վերջնակետերի մոդելների հետ համեմատած դեղապատրաստուկների միջև տարբերությունները հայտնաբերելու համար։
16. Անհրաժեշտ է պարզել դեղակինետիկ վերջնակետերի կամ in vitro մեթոդների զգայունությունը՝ օրիգինալ (ռեֆերենտ) դեղապատրաստուկի (այսուհետ՝ համեմատման պատրաստուկ) տարբեր դեղաչափեր ներմուծելու ժամանակ (օրինակ՝ գիտական բժշկական տվյալների կամ փորձնական հետազոտության տվյալների օգնությամբ)։
17. Տեղային ազդեցության պատրաստուկների համարժեքությունը հաստատելու համար անհրաժեշտ է կիրառել հետևյալ տվյալները՝ ըստ դրանց ընտրության նախապատվության աճման կարգի՝
ա) միայն դեղագործական որակի մասին տվյալները,
բ) դեղագործական որակի մասին տվյալները և in vitro մոդելի վրա ստացված տվյալները,
գ) դեղագործական որակի մասին տվյալները և in vivo դեղակինետիկ տվյալները,
դ) դեղագործական որակի մասին տվյալները, in vitro մոդելի վրա ստացված տվյալները և in vivo դեղակինետիկ տվյալները։
18. Ընտրված մոտեցումը ենթակա է մանրամասն հիմնավորման՝ պացիենտների համար դեղապատրաստուկի in vivo ազդեցությունն իրականացնելու առանձնահատկություններն արտացոլող բոլոր էական պարամետրերի գնահատմամբ։ Նշված այլընտրանքային մեթոդներն օգտագործելու համար անհրաժեշտ է հաշվի առնել այն, որ ներմուծման եղանակից բացի, դեղապատրաստուկի որակը (օրինակ՝ ըստ կրիտիկական ցուցանիշների գնահատվող) տվյալների պարտադիր բաղադրիչ է։ Օրինակ՝ in vivo դեղակինետիկ կենսահամարժեքությունը հաստատելու վերաբերյալ պահանջը թույլատրվում է չկիրառել, եթե հետազոտվող դեղապատրաստուկը և համեմատման պատրաստուկը լուծույթներ են և որակական ու քանակական համանման կազմի դեպքում ունեն որակի համադրելի բնութագրեր ու ներմուծման միատեսակ ուղի։
19. Եթե առկա է պատրաստուկների միջև չափավոր տարբերությունների դեպքում լուրջ անցանկալի ներգործության՝ կտրուկ աճելու ռիսկ, ապա համակարգային անվտանգությունը գնահատելու համար հարկավոր է ներկայացնել աբսորբման աստիճանի մասին տվյալները նույնիսկ եթե դեղադինամիկ մոտեցման օգնությամբ ապացուցվել է թերապևտիկ համարժեքությունը։
20. Դիմողի կողմից գրանցման դոսյեի մեջ հատուկ կերպով հիմնավորված առանձին դեպքերում դեղակինետիկ կենսահամարժեքության կլինիկական հետազոտությունների արդյունքներով հաստատվում է հետազոտվող դեղապատրաստուկների թերապևտիկ համարժեքությունը (օրինակ՝ առավելապես իրենց ունեցած ազդեցության տեղում աբսորբվող դեղապատրաստուկների համար)։ Այդպիսի դեպքերում թույլատրվում է կիրառել կենսահամարժեքության հաստատման սովորական չափորոշիչներ։
21. Անհրաժեշտ է ուսումնասիրել հետազոտվող դեղապատրաստուկների տեղային անվտանգությունը և տանելիությունը։ Հետազոտվող դեղապատրաստուկների բաղադրության մեջ անհրաժեշտ է օգտագործել միևնույն օժանդակ նյութերը՝ միևնույն քանակներով, ինչ համեմատման պատրաստուկների մեջ։ Օժանդակ նյութերի միջև եղած տարբերությունների (ինչպես հայտնի, այնպես էլ անհայտ) առկայության դեպքում հարկավոր է անցկացնել տանելիության լրացուցիչ համեմատական հետազոտություններ։
22. In vitro մոդելների՝ սույն պահանջներով նախատեսված ցանկն սպառիչ չէ, ուստի թույլատրվում է կիրառել այլ մոդելներ, եթե դրանց կիրառումը դիմողի կողմից հիմնավորված է գրանցման դոսյեի մեջ՝ հաշվի առնելով դեղապատրաստուկի in vivo դեղաբանական ազդեցության բոլոր առաձնահատկությունները, որոնք էական են դրա ներթափանցման, ձերբազատման և լուծվելու համար։
23. Թույլատրվում է կիրառել գամմա-սցինտիգրաֆիայի մեթոդներ և տեսանելիացման այլ մեթոդներ՝ դեղապատրաստուկի in vivo դեզինտեգրացիան և աղեստամոքսային տրակտով դրա տարածումը գնահատելու համար։ Այդ մեթոդները թույլատրվում է օգտագործել, եթե բացակայում է դեղապատրաստուկի in vivo լուծվելու փուլը։ Տեսանելիացման մեթոդները հարկավոր է օգտագործել նմուշների դեղակինետիկ գնահատման հետ համակցված, որպեսզի նկարագրվի ուսումնասիրվող միացության տարածումն աղեստամոքսային տրակտում, և (կորերի տակ գտնվող մասնակի տարածքների գնահատման միջոցով) համակարգային էքսպոզիցիայի հետ հարաբերակցվի աղեստամոքսային տրակտում պատրաստուկի որոշակի գտնվելու տեղի դեպքում։
V. Տեղային ազդեցության պատրաստուկների առանձին խմբերի համարժեքության հաստատմանը ներկայացվող հատուկ պահանջները
1. Բերանի խոռոչում և (կամ) կոկորդում ու ըմպանում տեղային ազդեցություն ունեցող դեղապատրաստուկները
24. Բերանի խոռոչում և (կամ) կոկորդում ու ըմպանում տեղային ազդեցություն ունեցող դեղապատրաստուկների տեղային ազդեցության համար կիրառվում են տարբեր դեղաձևեր (օրինակ՝ լուծույթներ, կախույթներ, էլիքսիրներ, փոշիներ, դեղահաբեր, պաստեղներ, գելեր, հարթշային ցողաշիթեր և այլն). Նմանատիպ դեղապատրաստուկների համար կիրառվում են որոշումների ընդունման՝ 1-ին նկարում բերված սխեման, ինչպես նաև համարժեքության հաստատման՝ սույն բաժնում նշված սկզբունքները և սույն պահանջների IV բաժնի դրույթները։
Լուծույթի ձևով դեղապատրաստուկը
25. Եթե հետազոտվող դեղապատրաստուկը լուծույթ է կամ լուծույթի ձև է ստանում ներմուծման պահից անմիջապես առաջ և պարունակում է ազդող նյութ միևնույն կոնցենտրացիայով, ինչ լուծույթի ձևով համեմատման պատրաստուկը, ապա կենսահամարժեքության արդյունավետությունը և անվտանգությունը հիմնավորող հետազոտություններ թույլատրվում է չանցկացնել։ Սակայն հարկավոր է հաշվի առնել օժանդակ նյութերի բաղադրության մանրամասն վերլուծության անհրաժեշտությունը, քանի որ օժանդակ նյութերը կարող են ազդել այն ժամանակի վրա, որի ընթացքում դեղապատրաստուկը մնում է աղեստամոքսային տրակտի վերին հատվածի համապատասխան մասում (օրինակ՝ համային գրավչություն, լուծույթի մակերևութային լարվածություն, դրա մածուցիկություն և այլն), ազդող նյութի in vivo լուծելիության (օրինակ՝ համալուծիչներ) կամ դրա in vivo կայունության վրա։ Օժանդակ նյութերի միջև տարբերությունների առկայության դեպքում անհրաժեշտ է անցկացնել համարժեքության հետազոտություն, եթե միայն այդ օժանդակ նյութերի որակական և (կամ) քանակական կազմի միջև տարբերությունները հնարավոր չէ ամբողջությամբ հիմնավորել այլ տվյալների օգնությամբ՝ հաշվի առնելով Կանոնների թիվ 1 և թիվ 4 հավելվածների պահանջները։
26. Այն դեպքերում, երբ հետազոտվող դեղապատրաստուկը պերօրալ լուծույթ է, որը գրանցման համար հայտագրվում է որպես արագ ձերբազատմամբ պերօրալ այլ դեղաձևին համարժեք, անհրաժեշտ է թերապևտիկ համարժեքության հետազոտություններ անցկացնել։
Լուծույթ չհանդիսացող ձևով դեղապատրաստուկը
27. Եթե հետազոտվող դեղապատրաստուկը լուծույթ չէ (օրինակ՝ պինդ դեղաձև է), «թքի մեջ կոնցենտրացիա-ժամանակ» կախվածության կորի համար Сmах և AUC դեղակինետիկ պարամետրերի հիման վրա ազդեցության տեղում համարժեք տեղային մատչելիության հաստատումը կարելի է դիտարկել որպես թերապևտիկ համարժեքության սուռոգատ [փոխնակ] ցուցանիշ։ Տեղային մատչելիության հետազոտությունները տվյալ դեպքում իրագործելի են, քանի որ հնարավոր է անմիջապես ազդեցության տեղում նմուշառումը (թուքը վերցնելը)։ Այդ կապակցությամբ մատչելիության in vivo համեմատական հետազոտությունը թքի նմուշառմամբ ընտրության տարբերակ է՝ չնայած արդյունքների ակնհայտ փոփոխականությանը։
Կենսահամարժեքության գնահատման ստանդարտ մեթոդներին համապատասխան՝ անհրաժեշտ է համեմատել Cmax, AUC դեղակինետիկ պարամետրերը և Сmax-ին հասնելու ժամանակը (Тmax )։ Համարժեքության մասին եզրակացություն կարելի է անել, եթե յուրաքանչյուր պարամետրի համար երկրաչափական միջին արժեքների հարաբերակցության 90 %-անոց վստահելի միջակայքը գտնվում է 80,00-125,00 %-ի սահմաններում։
28. Այն դեպքերում, երբ ազդող նյութը, բարձր լուծելիությամբ պայմանավորված, դեղաձևից ձերբազատվում է լուծույթի, այլ ոչ թե կախույթի ձևով, կարելի է in vivo հետազոտության մեջ անուղղակիորեն գնահատել տեղային մատչելիությունը կամ ձերբազատված քանակը՝ դեղաձևի մեջ մնացող նյութի քանակը ժամանակային որոշակի կետերում չափելու միջոցով։ Բացի այդ՝ այն դեպքերում, երբ հիմնավորված է, որ ազդող նյութը դեղաձևի մեջ համասեռ տարրալուծված է, դեղաձևի մեջ մնացող քանակը կարելի է գնահատել ըստ զանգվածի։ Համարժեքության մասին եզրակացություն կարելի է անել այն նույն սկզբունքներին համապատասխան, որոնք կիրառվում են in vitro լուծվելու մասով թեստերի համար՝ Կանոնների թիվ 5 հավելվածին համապատասխան։ Լուծվելու պրոֆիլների նմանությունն անհրաժեշտ է գնահատել՝ հիմք ընդունելով ± 10 %-ին հավասար ընդունելիության տիրույթը՝ նմանության գործոնի f2 ≥ 50 արժեքի դեպքում։
29. Այն դեպքերում, երբ ազդեցության տեղում տեղային կոնցենտրացիան (օրինակ՝ թքի մեջ կոնցենտրացիան) չի չափվում ուղղակիորեն, անհրաժեշտ է կրիտիկական տեսանկյունից վերլուծել օժանդակ նյութերի բաղադրությունը՝ համոզվելու համար, որ օժանդակ նյութերի մեջ եղած տարբերությունները չեն ազդում մնալու տեղային ժամանակի վրա (օրինակ՝ համային գրավչություն, մակերևութային լարվածություն, մածուցիկություն և այլն), ազդող նյութի in vivo լուծելիության (օրինակ՝ համալուծիչների ներգործություն) կամ դրա in vivo կայունության վրա։
30. Շատ դեպքերում պլազմային կոնցենտրացիաներն անհնար է ուղղակիորեն օգտագործել որպես թերապևտիկ համարժեքության փոխնակ ցուցանիշ, քանի որ այդ դեպքերում անհրաժեշտ է տարբերակել աղեստամոքսային տրակտի վերին հատվածում (օրինակ՝ բերանի խոռոչում) ազդեցության տեղում տեղային աբսորբումից հետո ստացվող պլազմային կոնցենտրացիաները և աղեստամոքսային տրակտի այլ հատվածներում (օրինակ՝ աղիներում) աբսորբման արդյունքում ստացվող կոնցենտրացիաները։ Այն դեպքում, երբ կարելի է ապահովել գնահատում՝ բացառելով աղեստամոքսային տրակտի այլ հատվածներում ադսորբումը (օրինակ՝ ակտիվացված ածուխի օգտագործման հաշվին), պլազմային կոնցենտրացիաները կարելի է դիտարկել որպես ազդեցության տեղի կոնցենտրացիաներ։ Դրա հետ մեկտեղ՝ անհրաժեշտ է համոզվել, որ ակտիվացված ածուխն ունակ է աղիներից աբսորբումն արգելափակելու մինչև աննշան կոնցենտրացիաներ՝ համեմատած համակարգային այն կոնցենտրացիաների հետ, որոնց հասնում են ազդեցության տեղերից աբսորբման հաշվին։ Այդ դեպքերում պահանջվում է կենսահամարժեքության հետազոտություն առանց աղեստամոքսային աբսորբման արգելափակման՝ համակարգային անվտանգությունը գնահատելու համար։
31. In vitro համեմատական լուծվելու ստանդարտ մեթոդաբանությունը չի համարվում ներկայացուցչական՝ բերանի խոռոչում և (կամ) կոկորդում ու ըմպանում դեղապատրաստուկի in vivo լուծվելը գնահատելու համար։
Նկ. 1. Բերանի խոռոչում և (կամ) կոկորդում ու ըմպանում տեղային ազդեցություն ունեցող դեղապատրաստուկների վերաբերյալ որոշումների ընդունման սխեման
32. In vitro համեմատական լուծվելու ստանդարտ մեթոդաբանությունը չի համարվում ներկայացուցչական՝ բերանի խոռոչում և (կամ) կոկորդում ու ըմպանում դեղապատրաստուկի in vivo լուծվելը գնահատելու համար։
2. Կերակրափողում կամ ստամոքսում տեղային ազդեցություն ունեցող դեղապատրաստուկները
Լուծույթի ձևով դեղապատրաստուկը
33. Դեղապատրաստուկների տվյալ խմբի համար կիրառվում են պահանջներ, որոնք համանման են սույն պահանջների 24-31-րդ կետերում շարադրվածներին։ Հատուկ ուշադրություն է հարկավոր դարձնել այն օժանդակ նյութերի քանակին և տեսակին, որոնք ունակ են ազդելու ստամոքսի դատարկման վրա (ստամոքսում ազդող դեղապատրաստուկների համար) կամ կերակրափողում մնալու ժամանակի (օրինակ՝ մածուցիկություն, մակերևութային լարվածություն և այլն), աբսորբման (օրինակ՝ pH-ը), ազդող նյութի in vivo լուծելիության (օրինակ՝ համալուծիչների առկայություն) կամ դրա in vivo կայունության վրա (օրինակ՝ pH-ը)։ Նմանատիպ դեղապատրաստուկների և լուծույթ չհանդիսացող դեղաձևով դեղապատրաստուկների առնչությամբ կիրառվում են որոշումների՝ 2-րդ նկարում բերված սխեման, ինչպես նաև Կանոնների թիվ 1 և թիվ 4 հավելվածների պահանջները և ազդող նյութի դասակարգումը՝ ըստ կենսադեղագործական դասակարգման համակարգի։
Լուծույթ չհանդիսացող ձևով դեղապատրաստուկը
34. Անտացիդ դեղամիջոցների համար դինամիկ և ստատիկ չեզոքացնող հետազոտությունների վրա հիմնված in vitro մեթոդիկաները փոխնակ մեթոդներ են՝ թերապևտիկ համարժեքությունը հաստատելու համար։ Համեմատման պատրաստուկի և հետազոտվող պատրաստուկի նմանությունը հաստատելու համար թույլատրվում է կիրառել մի քանի տարբեր in vitro մեթոդներ։ Դիմողը պետք է հիմնավորի ընտրված դինամիկ և ստատիկ չեզոքացնող հետազոտությունները՝in vitro գնահատվող պարամետրերի հետ միասին, հատկապես՝ առաջարկվող վերջնակետերի կլինիկական վերաբերելիությունը։ Համարժեքության գնահատման in vitro ստանդարտ մեթոդիկաների կիրառման դեպքում հարկավոր է օգտագործել ստանդարտ (դեղագրքային) փորձասարքեր, իսկ համարժեքության գնահատման in vitro նոր մեթոդիկաների կիրառման դեպքում այդ մեթոդիկաները պետք է պատշաճորեն վալիդացվեն։ Դեղապատրաստուկների in vitro համարժեքությունն անհրաժեշտ է գնահատել՝ ըստ± 10 %-ոց ընդունելիության տիրույթի, եթե դիմողը գրանցման դոսյեում այլ բան չի հիմնավորել։
35. Այն դեպքերում, երբ դիտվում է ազդող նյութի աբսորբման և համակարգային կենսամատչելիության զգալի աստիճան, պահանջվում է անցկացնել կենսահամարժեքության հետազոտություն՝ համակարգային անվտանգությունը գնահատելու համար, եթե այլ բան հիմնավորված չէ։ Համակարգային անվտանգությունը գնահատելու համար կենսահամարժեքության հետազոտությունը թույլատրվում է չանցկացնել, եթե կիրառելի է դասակարգման կենսադեղագործական համակարգի վրա հիմնված բիովեյվեր՝ Կանոնների թիվ 4 հավելվածում նկարագրված չափորոշիչներին համապատասխան։ Պլազմային կոնցենտրացիաները չի կարելի օգտագործել որպես համարժեք արդյունավետության փոխնակ ցուցանիշ՝ բացառապես ստամոքսում տեղային ազդեցություն ունեցող դեղապատրաստուկների առնչությամբ, քանի որ հնարավոր չէ առանձին տարանջատել աղիներում աբսորբման ազդեցության աստիճանը։ Ենթադրաբար, տարբեր կերպ ձերբազատվող և լուծվող, և հետևաբար, ազդեցության տեղի հետ կոնտակտի՝ ստամոքսում մնալու ժամանակը չգերազանցող տարբեր ժամանակով երկու դեղապատրաստուկներ կարող են դրսևորել «կոնցենտրացիա-ժամանակ»-ի նման պրոֆիլ, քանի որ ստամոքսի դատարկումը աբսորբման արագությունը սահմանափակող գործոն է։ Այդ կապակցությամբ դեղակինետիկ կենսահամարժեքության հետազոտություններն այս դեպքում չեն դիտարկվում որպես թերապևտիկ համարժեքությունը հաստատելու համար հուսալի մեթոդաբանություն։
Նկ. 2 Կերակրափողում կամ ստամոքսում տեղային ազդեցություն ունեցող դեղապատրաստուկների վերաբերյալ որոշումների սխեման
3. Աղիներում տեղային ազդեցություն ունեցող դեղապատրաստուկները
Լուծույթի ձևով դեղապատրաստուկը
36. Դեղապատրաստուկների տվյալ խմբի համար կիրառվում են պահանջներ, որոնք համանման են սույն պահանջների 32-34-րդ կետերում շարադրվածներին։ Անհրաժեշտ է վերլուծել այն օժանդակ նյութերի քանակական կազմը և տեսակը, որոնք ունակ են ազդելու աղեստամոքսային տարանցման վրա (օրինակ՝ սորբիտոլը, մաննիտոլը և այլն), աբսորբման վրա (օրինակ՝ մակերևութային ակտիվ նյութերը կամ օժանդակ նյութերը, որոնք ունակ են ազդելու փոխադրող սպիտակուցների վրա), ազդող նյութի in vivo լուծելիության (օրինակ՝ համալուծիչների առկայությունը) կամ դրա կայունության վրա։ Նմանատիպ դեղապատրաստուկների և լուծույթ չհանդիսացող դեղաձևով դեղապատրաստուկների առնչությամբ կիրառվում է որոշումների՝ 2-րդ նկարում բերված սխեման։
37. Այն դեպքում, երբ դիտվում է համակարգային կենսամատչելիության որոշակի աստիճան, կարելի է կիրառել համակարգային էքսպոզիցիայի վրա հիմնված կենսահամարժեքության հետազոտություններ՝ հետազոտվող պատրաստուկի և համեմատման պատրաստուկի անվտանգությունն ու արդյունավետությունը համեմատելու համար։
Լուծույթ չհանդիսացող ձևով դեղապատրաստուկը
38. Աղիների ամբողջ երկայնքով աղեստամոքսային միջավայրի բաղադրիչների հետ կապակցման վրա հիմնված ազդեցության մեխանիզմով դեղապատրաստուկների (օրինակ՝ կոլեստիրամինը, կոլեստիպոլը, կալցիումի ացետատը, սեվելամերը) առնչությամբ դրանց կապակցող ունակության վրա հիմնված in vitro հետազոտությունները (օրինակ՝ հավասարակշռության և դինամիկ կապակցման in vitro հետազոտությունները) արդյունավետության գնահատման ընդունելի փոխնակ չափորոշիչներ են համարվում՝ պայմանով, որ օժանդակ նյութերի մասով տարբերությունը կրիտիկական չէ, իսկ pH ֆիզիոլոգիական տիրույթում քայքայման և լուծվելու պրոֆիլները նման են։ Ծավալ գոյացնող ազդեցությամբ դեղապատրաստուկների նմանության հաստատումը in vitro հետազոտությունների օգնությամբ (օրինակ՝ ուռչելը, մածուցիկությունը) ևս թերապևտիկ համարժեքության հաստատում է համարվում։ Դեղապատրաստուկների in vitro համարժեքությունն անհրաժեշտ է գնահատել՝ ըստ± 10 %-ոց ընդունելիության տիրույթի, եթե այլ բան հիմնավորված չէ։
39. Լավ լուծվող ազդող նյութ պարունակող, արագ ձերբազատմամբ դեղապատրաստուկների համար հնարավոր է դասակարգման կենսադեղագործական համակարգի վրա հիմնված բիովեյվեր՝ Կանոնների թիվ 4 հավելվածում բերված չափորոշիչները հաշվի առնելով։ Դրա հետ մեկտեղ, ինչ վերաբերում է համակարգային կենսամատչելիություն չունեցող դեղապատրաստուկներին (օրինակ՝ III դաս՝ ըստ դասակարգման կենսադեղագործական համակարգի), պարտադիր չէ, որ դրսևորվի չափազանց արագ լուծվելը բավական է, որ դրանք դրսևորեն ձերբազատման համապատասխան արագություն։
40. Այն դեպքում, երբ դասակարգման կենսադեղագործական համակարգի վրա հիմնված բիովեյվերին ներկայացվող պահանջները չեն կատարվում, և դիտվում է համակարգային կենսամատչելիության որոշակի աստիճան, որպես արդյունավետության և համակարգային անվտանգության համարժեքության փոխնակ ցուցանիշ՝ կարելի է օգտագործել սովորաբար ուտելուց հետո և անոթի վիճակում պլազմային կոնցենտրացիաների վրա հիմնված կենսահամարժեքության հետազոտության արդյունքը, քանի որ ազդեցության տեղը նաև աբսորբման տեղն է այն նյութերի համար, որոնք ազդեցություն են թողնում աղեստամոքսային տրակտի լորձաթաղանթի ներսում։ Ինչ վերաբերում է աղիների լուսանցքում կամ դրանց լորձաթաղանթի մակերեսին ազդեցություն ունեցող դեղապատրաստուկներին, ապա սովորաբար անոթի վիճակում և ուտելուց հետո պլազմային կոնցենտրացիաների վրա հիմնված կենսահամարժեքության հետազոտության արդյունքները նաև կարելի է օգտագործել որպես համարժեքության փոխնակ ցուցանիշ, եթե աբսորբումը չի բնորոշվում հագեցման շեմով (ինչը հաստատվել է, օրինակ, դեղաչափերի համամասնության հետազոտությունների օգնությամբ)։ Եթե ազդող նյութի աբսորբման արագությունը և աստիճանը համադրելի են, ապա ակնկալվում է աղիների տարբեր հատվածներում դրա համադրելի տարածում։ Եթե դիմողն այլ բան չի հիմնավորել, ապա կենսահամարժեքության հետազոտություններն անցկացվում են անոթի վիճակում և ուտելուց հետո նույնիսկ այն դեղապատրաստուկների դեպքում, որոնց ընդունումը կատարվում է բացառապես անոթի վիճակում, քանի որ տեղային ազդեցության դեղապատրաստուկները, որպես կանոն, ունեն ցածր ներթափանցման ունակություն և աղիների լուսանցքում մնում են տևական ժամանակ։ Այդ պատճառով ակնկալվում է, որ դրանք սննդի հետ կփոխազդեն աղիներով տարանցման ժամանակ։
41. Ինչ վերաբերում է աբսորբվող և համակարգային կենսամատչելիություն դրսևորող ազդող նյութ պարունակող, մոդիֆիկացված ձերբազատմամբ դեղապատրաստուկներին, ապա պլազմային կոնցենտրացիաների վրա հիմնված կենսահամարժեքության հետազոտության արդյունքները նաև կարելի է օգտագործել որպես անվտանգության և արդյունավետության համարժեքության փոխնակ ցուցանիշ, եթե համակարգային աբսորբումն սկսվում է աղիների համապատասխան հատվածում, և աբսորբման կինետիկան համարժեք է, քանի որ համակարգային աբսորբումը տեղի է ունենում ազդող նյութի ձերբազատման տեղում։ Մասնակի AUC-ների գնահատումը կարող է օգնել՝ տարբերակելու վաղ ձերբազատմամբ պայմանավորված աբսորբումը ազդեցության տեղերում ձերբազատման արդյունքում տեղի ունեցող աբսորբումից, եթե՝
ա) թերապևտիկ դեղաչափերով աբսորբումը չի բնորոշվում հագեցման շեմով (ինչը հաստատվել է, օրինակ, հիմնական ԴԿ պարամետրերի համար դեղաչափերի համամասնության հետազոտությունների օգնությամբ)
բ) հետազոտվող պատրաստուկը և համեմատման պատրաստուկն ունեն միանման դեղաձև.
գ) հետազոտվող պատրաստուկը և համեմատման պատրաստուկը դրսևորում են ակտուալ կենսադեղագործական մեթոդիկաների շարքի (հավաքակազմի) մեջ in vitro լուծվելու նման պրոֆիլներ (ոչ միայն որակի հսկողության միջավայրում և բուֆերներում՝ pH 1,2; 4,5 և 6,8 արժեքների դեպքում, այլ նաև in vitro մեթոդներում, որոնք նմանակում են ներլուսանցքային pH-պայմանները, իոնային բուֆերային տարողությունը, մեխանիկական պայմանները և մարդու աղեստամոքսային տրակտում մնալու ժամանակը (օրինակ՝ անոթի վիճակում հետազոտության մեջ «միջին» սուբյեկտներին նմանակող մխոցային գլանի մեջ փորձարկումները), ինչպես նաև pH-պայմանների մոդելների՝ «պացիենտին բնորոշ» շրջանակը և անցման ժամանակը՝ բարակ աղիներով անընդհատ և ընդհատվող անցմամբ)․
դ) մասնակի էքսպոզիցիաները մանրամասն նկարագրված են, և դրանց աբսորբման համապատասխան տեղերը հստակ պարզվել են։
42. Անհրաժեշտ է կիրառել Կանոնների թիվ 10 հավելվածում շարադրված պահանջները։ Անհրաժեշտ է հաստատել մեկանգամյա դեղաչափի կենսահամարժեքությունը անոթի վիճակում և ուտելուց հետո հետազոտություններում, իսկ զգալի կումուլյացիայով երկարաձգված ձերբազատմամբ դեղապատրաստուկների համար՝ բազմակի դոզավորմամբ հետազոտությունում։ Մասնակի AUC-ները (վաղ և ուշ մասնակի AUC-ներ, որոնք հաշվարկված են նախապես ընտրված, լավ հիմնավորված հատման կետերի օգնությամբ) անհրաժեշտ է օգտագործել որպես մեկանգամյա դեղաչափի երկու տեսակի հետազոտություններում առաջնային դեղակինետիկ վերջնակետ նույնիսկ զգալի կումուլյացիայի դեպքում, որի պարագայում բազմակի դոզավորմամբ հետազոտություն է պահանջվում։ Որոշ դեպքերում կարող է պահանջվել արտաթորանքի մեջ դեղի կոնցենտրացիաների համեմատում։
Նկ. 3 Աղիներում տեղային ազդեցություն ունեցող դեղապատրաստուկների վերաբերյալ որոշումների սխեման
4. Ուղիղ աղիքում տեղային ազդեցություն ունեցող դեղապատրաստուկները
43. Ուղիղ աղիքի լուսանցքում տեղային ազդեցություն թողնելու համար կիրառվում են դեղապատրաստուկների տարատեսակ դեղաձևեր (օրինակ՝ լուծույթի կամ կախույթի ձևով հոգնաները, դեղամոմիկները, գելերը, փրփուրները և այլն)։ Սույն պահանջների IV բաժնի դրույթները կիրառվում են դեղապատրաստուկների նշված բոլոր դեղաձևերի առնչությամբ։ Նմանատիպ դեղապատրաստուկների համար կիրառվում է որոշումների՝ 4-րդ նկարում բերված սխեման։
Լուծույթի ձևով դեղապատրաստուկը
44. Դեղապատրաստուկների տվյալ խմբի համար կիրառվում են պահանջներ, որոնք համանման են սույն պահանջների 24-31-րդ կետերում շարադրվածներին։ Անհրաժեշտ է վերլուծել դեղաձևի այն օժանդակ նյութերի քանակական կազմը և տեսակը, որոնք ունակ են ազդելու տեղային տանելիության, մնալու տեղային ժամանակի (օրինակ՝ մակերևութային լարվածություն, մածուցիկություն և այլն), ազդող նյութի in vivo լուծելիության (օրինակ՝ համալուծիչների առկայություն) կամ դրա in vivo կայունության վրա։
Լուծույթ չհանդիսացող ձևով դեղապատրաստուկը
45. Եթե հետազոտվող դեղապատրաստուկը ներկայացված է լուծույթ չհանդիսացող դեղաձևով (օրինակ՝ պինդ դեղաձևով), ապա ազդող նյութի համարժեք ձերբազատման և ազդեցության տեղերում մատչելիության հաստատումը կարելի է դիտարկել որպես թերապևտիկ համարժեքության փոխնակ հաստատում։
46. Այն դեպքերում, երբ դիտվում է համակարգային կենսամատչելիություն, դեղապատրաստուկի անվտանգությունը գնահատելու համար պահանջվում է դեղակինետիկ կենսահամարժեքության հետազոտություն, եթե այլ բան հիմնավորված չէ։ Նման դեպքերում պլազմային կոնցենտրացիաները նաև կարելի է օգտագործել որպես արդյունավետության մասով համարժեքության փոխնակ հաստատում այն դեղապատրաստուկների առնչությամբ, որոնք գործում են տեղային՝ ուղիղ աղիքում և հաստ աղիքում (օրինակ՝ հոգնաները), եթե ազդող նյութն աբսորբվում է ազդեցության տեղերից։ Այս դեպքում պլազմային կոնցենտրացիաներն արտացոլում են ազդող նյութի ձերբազատումն ու մատչելիությունը ազդեցության տեղին մոտ։ Կարող է պահանջվել արտաթորանքի մեջ ազդող նյութի կոնցենտրացիաների համեմատում։
47. Ցանկացած դեպքում անհրաժեշտ է կրիտիկական տեսանկյունից վերլուծել օժանդակ նյութերի բաղադրությունը, քանի որ օժանդակ նյութերը կարող են ազդել տանելիության, համակարգային աբսորբման, մնալու տեղային ժամանակի (օրինակ՝ մակերևութային լարվածություն, մածուցիկություն և այլն), ազդող նյութի in vivo լուծելիության (օրինակ՝ համալուծիչների առկայություն) կամ դրա in vivo կայունության վրա։ Անհրաժեշտ է անցկացնել համարժեքության հետազոտություն, եթե նշված օժանդակ նյութերի քանակների տարբերությունները հնարավոր չէ լիարժեք հիմնավորել այլ տվյալների հղում կատարելու միջոցով։
Նկ. 4 Ուղիղ աղիքում տեղային ազդեցություն ունեցող դեղապատրաստուկների վերաբերյալ որոշումների սխեման
VI. Դեղաձևերի համարժեքության հաստատմանը ներկայացվող պահանջները՝ դեղապատրաստուկի սանդղակում լրացուցիչ դոզավորումների առկայության դեպքում
48. Այն պայմանները, որոնց պետք է համապատասխանեն դեղապատրաստուկի լրացուցիչ դոզավորումները դասակարգման կենսադեղագործական համակարգի վրա հիմնված բիովեյվերի կիրառման նպատակով, պայմանավորված են դեղապատրաստուկի տեսակով (օրինակ՝ պերօրալ դեղաձևեր՝ արագ կամ մոդիֆիկացված ձերբազատմամբ)։ Նշված պահանջները նման են համակարգային ազդեցություն ունեցող դեղապատրաստուկներին ներկայացվող պահանջներին, որոնք նկարագրված են սույն կանոններում (այդ թվում՝ Կանոնների թիվ 10 հավելվածում)։
49. Այն դեպքերում, երբ համեմատման պատրաստուկն ունի մշակվող դեղապատրաստուկից տարբերվող՝ այլ դոզավորումներ, և կենսահամարժեքությունը ցույց է տրված in vivo հետազոտությունների (օրինակ՝ մարդու մասնակցությամբ կենսահամարժեքության դեղակինետիկ հետազոտությունների (դեղագործական որակի տվյալներ և in vivo դեղակինետիկ տվյալներ)) օգնությամբ, անհրաժեշտ է հաստատել կենսահամարժեքությունն առավել զգայուն դոզավորման համար՝ հնարավոր տարբերությունները հայտնաբերելու նպատակով։ Ինչ վերաբերում է լրացուցիչ դոզավորումներին, in vivo կենսահամարժեքության հաստատում (լրացուցիչ դոզավորումների բիովեյվեր) չի պահանջվում, եթե կատարվում են սույն կանոններում (այդ թվում՝ Կանոնների թիվ 10 հավելվածում) նկարագրված պայմանները։
50. Այն դեպքերում, երբ համեմատման պատրաստուկն ունի մշակվող դեղապատրաստուկից տարբերվող՝ այլ դոզավորումներ, և կենսահամարժեքությունը հաստատված է դեղագործական որակի տվյալների (օրինակ՝ օժանդակ նյութերի բաղադրության համեմատություն) կամ դեղագործական որակի տվյալների և in vitro տվյալների օգնությամբ (օրինակ՝ դասակարգման կենսադեղագործական համակարգի վրա հիմնված բիովեյվերի դեպքում լուծվելու համեմատական պրոֆիլները՝ III դասի նյութ պարունակող դեղապատրաստուկի համար), անհրաժեշտ է հաստատել համեմատման պատրաստուկի համապատասխան դոզավորմանը հետազոտվող դեղապատրաստուկի յուրաքանչյուր առանձին դոզավորման կենսահամարժեքությունը՝ լրացուցիչ դոզավորումների բիովեյվերը կիրառելու (հետազոտվող դեղապատրաստուկի տարբեր դոզավորումներ համեմատելու) փոխարեն։
51. Այն դեպքերում, երբ համեմատման պատրաստուկն ունի մշակվող դեղապատրաստուկից տարբերվող՝ այլ դոզավորումներ, և կենսահամարժեքությունը հաստատված է դեղագործական որակի տվյալների, in vitro տվյալների և in vivo դեղակինետիկ տվյալների օգնությամբ (օրինակ՝ երկարաձգված ձերբազատմամբ պինդ պերօրալ դեղաձև), լրացուցիչ դոզավորումների in vivo կենսահամարժեքության հաստատում չի պահանջվում (կիրառվում է լրացուցիչ դոզավորումների բիովեյվերը), եթե կատարվում են վերը նկարագրված որոշակի պայմանները։ Բացի այդ՝ անհրաժեշտ է հաստատել յուրաքանչյուր առանձին դոզավորման կենսահամարժեքությունը համեմատման պատրաստուկի համապատասխան դոզավորմանը՝ըստ դեղագործական որակի տվյալների և in vitro տվյալների։
(հավելվածը լրաց. ԵՏՀԽ 05.02.23 թիվ 22)
|
ՀԱՎԵԼՎԱԾ թիվ 13 Եվրասիական տնտեսական միության շրջանակներում դեղապատրաստուկների կենսահամարժեքության հետազոտությունների անցկացման կանոնների |
ՊԱՀԱՆՋՆԵՐ
Մաշկին քսելու և տեղային կիրառության այլ եղանակների դեպքում տեղային կիրառության դեղապատրաստուկների որակին և կենսահամարժեքությանը ներկայացվող
I. Ընդհանուր դրույթներ
1. Սույն պահանջները կիրառվում են մաշկին քսելու միջոցով և կիրառության այլ եղանակներով տեղային կիրառության դեղապատրաստուկների առնչությամբ (օրինակ՝ աչքի կամ ականջների դեղապատրաստուկներ) և կանոնակարգում են դրանց որակի ու այդպիսի պատրաստուկների կենսահամարժեքության հաստատման մասին տեղեկությունների ներկայացումը։
2. Սույն պահանջներում բերվում են ցուցումներ՝ հետևյալի վերաբերյալ՝
ա) տեղային կիրառության դեղապատրաստուկների որակի մասին այնպիսի տեղեկություններ ներկայացնելը, որոնք առնչվում են այդ դեղապատրաստուկների գրանցման համար և գրանցված դեղապատրաստուկների գրանցման դոսյեում փոփոխությունների կատարման համար նոր դիմումներ ներկայացնելիս կենսահամարժեքության գնահատմանը․
բ) տեղային կիրառության դեղապատրաստուկների կենսահամարժեքության հետազոտության մեթոդիկաների կիրառման՝ թերապևտիկ համարժեքության ստանդարտ կլինիկական հետազոտությունների անցկացման փոխարեն
գ) այլընտրանքային այնպիսի մոդելների և հետազոտությունների կիրառման, որոնք կարող են օգտագործվել դեղապատրաստուկի անվտանգության, արդյունավետության և որակի կենսահամարժեքությունը սահմանելու համար և թույլ են տալիս հիմնավորել ներմուծման համանման ուղի օգտագործելու դեպքում ռեֆերենտ դեղապատրաստուկին այդ դեղապատրաստուկների թերապևտիկ համարժեքության մասին դիմողի ենթադրությունը, և առողջապահության համակարգի ու պացիենտի համար նվազագույն ռիսկերով բուժումն անցկացնել տեղային կիրառության ոչ համարժեք դեղապատրաստուկով
դ) թերապևտիկ համարժեքության կլինիկական հետազոտությունների անցկացման անհրաժեշտության՝ այն դեպքերում, երբ չի թույլատրվում այլընտրանքային մոդելների և հետազոտությունների կիրառումը։
3. Եվրասիական տնտեսական հանձնաժողովի խորհրդի 2016 թվականի նոյեմբերի 3-ի թիվ 85 որոշմամբ հաստատված՝ Եվրասիական տնտեսական միության շրջանակներում դեղապատրաստուկների կենսահամարժեքության հետազոտությունների անցկացման կանոնների (այսուհետ՝ Կանոններ) թիվ 11 հավելվածին համապատասխան՝ տեղային կիրառության դեղապատրաստուկների մասով դրանց բաղադրության (արտադրական բաղադրագրի դեղագործական-տեխնոլոգիական պարամետրերի), դեղաձևի, ներմուծման եղանակի կամ արտադրության գործընթացի փոփոխությունը կարող է հանգեցնել այդ դեղապատրաստուկների արդյունավետության և (կամ) անվտանգության էական փոփոխությանը։ Այդ պատճառով պահանջվում է անցկացնել թերապևտիկ համարժեքության կլինիկական հետազոտություններ կամ կիրառել նշված դեղապատրաստուկների կենսահամարժեքությունն ապացուցող այլ մեթոդներ։
4. Սույն պահանջները կիրառվում են տեղային կիրառության դեղապատրաստուկների կենսահամարժեքության հետազոտությունների արձանագրությունները մշակելու և հիմնավորելու համար։
5. Սույն պահանջներում բերված են տեղային կիրառության դեղապատրաստուկների կենսահամարժեքության հետազոտությունների ստանդարտ արձանագրությունները՝ ստորև նշվածների գնահատման միջոցով՝
ա) in vitro ձերբազատում,
բ) մարդու մաշկի մեջ in vitro ներթափանցում,
գ) եղջերային շերտի in vivo նմուշառում (կպչուն ժապավենով քերում),
դ) կորտիկոստերոիդների համար վազոկոնստրիկցիայի [անոթասեղմում] in vivo անալիզ։
6. Սույն պահանջների դրույթները կիրառելի են արդեն գոյություն ունեցող օրիգինալ (ռեֆերենտ) դեղապատրաստուկի (այսուհետ՝ համեմատման պատրաստուկ) նկատմամբ տեղային կիրառության նոր դեղապատրաստուկի համարժեքությունը սահմանելու դեպքերի առնչությամբ։
7. Սույն պահանջները պարունակում են դեղապատրաստուկների տվյալ խմբերի համար հետազոտությունների մեթոդիկաների ընդհանուր նկարագրությունը, քանի որ՝
ա) մաշկային ծածկույթներն ունեն բարդ անատոմիաֆիզիոլոգիական կառուցվածք և գործառույթներ,
բ) մաշկի և դրա ածանցյալների հիվանդությունները տարբերվում են ընթացքի տեսակով և մաշկի պաշտպանիչ գործառույթի խանգարման աստիճանով,
գ) մաշկի և դրա ածանցյալների վիճակը տարբեր մարդկանց մոտ տարբերվում է՝ պայմանավորված տարիքով, սեռով և այլ բնութագրերով։
8. Սույն պահանջները չեն կիրառվում՝
ա) կենսաբանական դեղապատրաստուկների առնչությամբ,
բ) բուսական դեղապատրաստուկների առնչությամբ,
գ) այն դեպքերում, երբ դեղապատրաստուկի արդյունավետության կենսահամարժեքությունը հաստատված է դրա թերապևտիկ համարժեքության կլինիկական հետազոտությունների օգնությամբ,
դ) այն դեպքերում, երբ հետազոտվող պատրաստուկի և համեմատման պատրաստուկի դեղաձևը կամ որակական ու քանակական կազմը սույն պահանջների 124-129-րդ կետերին համապատասխան չեն համընկնում կամ համարժեք չեն։
9. Կամավորների մասնակցությամբ կենսահամարժեքության հետազոտությունները պետք է անցկացվեն Եվրասիական տնտեսական հանձնաժողովի խորհրդի 2016 թվականի նոյեմբերի 3-ի թիվ 79 որոշմամբ հաստատված՝ Եվրասիական տնտեսական միության պատշաճ կլինիկական գործունեության կանոններին (այսուհետ՝ Կլինիկական գործունեության կանոններ) համապատասխան:
10. Մարդու մաշկի մեջ in vitro ներթափանցման կինետիկայի համարժեքության հետազոտությունները, որոնք հենանշային են՝ դեղապատրաստուկը հավանության արժանացնելու համար, Եվրասիական տնտեսական միության անդամ պետության (այսուհետ՝ Միություն, անդամ պետություն) լիազորված մարմնի կողմից տեսչական ստուգման օբյեկտ են և պետք է անցկացվեն Կլինիկական գործունեության կանոններին համապատասխան։
11. Հետազոտությունների արդյունքները բերվում են գրանցման դոսյեում՝ Եվրասիական տնտեսական հանձնաժողովի խորհրդի 2016 թվականի նոյեմբերի 3-ի թիվ 78 որոշմամբ հաստատված՝ Բժշկական կիրառության դեղամիջոցների գրանցման և փորձաքննության կանոնների (այսուհետ՝ Գրանցման և փորձաքննության կանոններ) թիվ 1 հավելվածին համապատասխան։
12. Դիմողն իրավունք ունի, Գրանցման և փորձաքննության կանոնների 26-րդ կետին համապատասխան, գիտական կամ նախագրանցումային խորհրդատվության համար դիմելու անդամ պետությունների լիազորված մարմիններին։
II. Գրանցման դոսյեում տեղային կիրառության դեղապատրաստուկների որակի համարժեքության հիմնավորումը՝ դրանց կենսահամարժեքությունը հաստատելու համար
13. Դեղապատրաստուկի դեղաձևի, բաղադրության և ներմուծման ուղու ընտրությունը հիմնավորելու համար անհրաժեշտ է, որ դիմողը գնահատի այդ պատրաստուկի կիրառության ցուցումները, թիրախային պոպուլյացիան և դեղապատրաստուկի ազդեցության տեղը։
14. Դեղապատրաստուկի ներմուծման ուղու ընտրությունը հիմնավորելիս անհրաժեշտ է վերլուծել դեղապատրաստուկի ենթադրվող ներգործության հիմնական գործառույթը (գործառույթները) և դրա կիրառության եղանակը։ Դեղապատրաստուկը մաշկի մակերևույթին պարզապես քսելու դեպքում ազդող նյութի կենսամատչելիությունն ավելանում է դեղապատրաստուկի բաղադրության մեջ այնպիսի օժանդակ նյութեր (ներթափանցման ուժեղացուցիչներ) ներառելու միջոցով, որոնք փոփոխում են ազդող նյութի ջերմադինամիկական հատկությունները (օրինակ՝ դրա սոլյուբիլիզացիայի փոփոխման, գերհագեցած լուծույթների ստեղծման հաշվին, որոնք մոդիֆիկացնում են մաշկի պատնեշի միջով ազդող նյութի դիֆուզիան կամ խախտում են այդ պատնեշների ֆիզիոլոգիական գործառույթները)։ Օկլյուզիոն փաթաթանի տակ քսելու դեպքում թե՛ հենց քսուքային հիմքը և թե՛ դրա առանձին բաղադրիչները, օրինակ՝ խոնավացուցիչները և փափկացուցիչները, կարող են ազդել մաշկի՝ ներգործության ենթարկվող հատվածի վիճակի և թափանցելիության վրա։
15. Դեղապատրաստուկի որակի թիրախային պրոֆիլով պետք է պացիենտի համար հաշվի առնվեն դրա կիրառելիությունը, կոնտեյներից հանելու և քսելու հեշտությունը, չչափածրարված պատրաստուկի այնպիսի էսթետիկ հատկություններ, ինչպիսիք են արտաքին տեսքը, քսելիությունը, դրանից ստացած զգացողությունը, միկրոկառուցվածքը, ֆիզիկական հատկությունները, ցնդող օժանդակ նյութերի գոլորշացումը և օկլյուզիան, եթե կիրառելի է։ Նշված տարրերն անհրաժեշտ է բնութագրելև, եթե անհրաժեշտ է, դրանք հսկել որպես որակի կրիտիկական ցուցանիշներ։
16. Դեղապատրաստուկի դեղաձևը և արտադրության եղանակն անհրաժեշտ է մշակել՝ օգտագործելով առկա գիտաբժշկական գիտելիքները, սահմանված գիտական նախադրյալները և ապացույցները։ Որակի ամփոփիչ բնութագրերն անհրաժեշտ է սահմանել դեղապատրաաստուկի մի քանի սերիաների հետազոտության հիման վրա, որոնք ներկայացուցչական են դեղապատրաստուկի՝ շրջանառության մեջ բացթողման համար նախատեսված արդյունաբերական սերիաների համար։
17. Դեղապատրաստուկի ամբողջ կենսական պարբերաշրջանի ընթացքում դրա կայուն որակն ապահովելու համար կայուն արտադրական գործընթաց է պահանջվում։ Գրանցման դոսյեում նշված արդյունաբերական արտադրության գործընթացին համապատասխան արտադրված դեղապատրաստուկները պետք է ունենան նույնպիսի որակ, ինչպիսիք ունեն դեղապատրաստուկների այն սերիաները, որոնց առնչությամբ անվտանգության և արդյունավետության կամ կենսահամարժեքության ապացույց է ստացվել։
18. Տեղային կիրառության դեղապատրաստուկի կայունությունը հաստատելու համար դրա սերիաները թողարկման ժամանակ և պիտանիության ժամկետի (պահպանման ժամկետի) ավարտին պետք է ունենան որակի համարժեք ֆիզիկական, քիմիական և միկրոկենսաբանական ցուցանիշներ՝ ներառյալ in vitro գործառութային բնութագրերը, եթե դա հիմնավորված է։
19. Հսկողության ռազմավարությունը պետք է ապահովի դեղապատրաստուկի համապատասխանությունը՝ դրա կիրառության նպատակին և Եվրասիական տնտեսական հանձնաժողովի կոլեգիայի 2020 թվականի օգոստոսի 11-ի թիվ 100 որոշմամբ հաստատված՝ Եվրասիական տնտեսական միության դեղագրքի (այսուհետ՝ Միության դեղագիրք) պահանջներին, իսկ դրա մեջ բացակայության դեպքում՝ անդամ պետությունների դեղագրքերի պահանջներին։ Դեղապատրաստուկի ոչ լրիվ դեղագործական մշակումը կամ որակը չի թույլատրվում հիմնավորել կլինիկական հետազոտությունների հղումներ կատարելու միջոցով։
III. Գրանցման դոսյեում տեղային կիրառության դեղապատրաստուկների կենսահամարժեքության հիմնավորումը
20. Համեմատման պատրաստուկի նկատմամբ տեղային կիրառության, հետազոտվող նոր դեղապատրաստուկի կենսահամարժեքության հաստատում կարող է պահանջվել՝
ա) գրանցման համար որոշ տեսակների դիմումներ ներկայացնելու դեպքում (վերարտադրված, հիբրիդային, համակցված դեղապատրաստուկներ), որոնցում օգտագործվում են գոյություն ունեցող դեղապատրաստուկների գրանցման դոսյեներից տեղեկություններ,
բ) դեղապատրաստուկի դեղագործական մշակման ժամանակ կամ դրա գրանցումից հետո դրա մեջ այնպիսի փոփոխություններ կատարելու դեպքում, որոնք կարող են հնարավոր էական ազդեցություն ունենալ այդ դեղապատրաստուկի անվտանգության, արդյունավետության կամ որակի վրա։
21. Այն դեպքում, երբ գրանցման դոսյեում դեղապատրաստուկի անվտանգությունը և արդյունավետությունը հաստատված են գիտաբժշկական տվյալներով, այդ տվյալների կիրառելիությունն անհրաժեշտ է հաստատել հետազոտվող պատրաստուկի և գիտաբժշկական գրականության մեջ նկարագրված համեմատման պատրաստուկի կենսահամարժեքության մասին կապակցող տվյալներով։ Դա պայմանավորված է դեղապատրաստուկի դեղաձևի բաղադրության մեջ կամ դրա դեղագործական-տեխնոլոգիական պարամետրերի, արտադրական գործընթացի և ներմուծման ուղու մեջ որակի մակարդակով տարբերություններ առաջանալու անկանխատեսելի հավանականությամբ։
22. Ինչ վերաբերում է տեղային կիրառության դեղապատրաստուկներին, ապա դեղապատրաստուկի դեղաձևի բաղադրության կամ դրա դեղագործական-տեխնոլոգիական պարամետրերի, հենց դեղաձևի, ներմուծման ուղու կամ արտադրական գործընթացի մեջ կատարվող փոփոխությունները կարող են էապես ազդել դեղապատրաստուկների անվտանգության և (կամ) արդյունավետության վրա։ Այս դեպքում անհրաժեշտ է թերապևտիկ համարժեքության կլինիկական հետազոտությունների անցկացում։ Թույլատրվում է նաև կիրառել կամ մշակել հետազոտությունների այլընտրանքային մոդելներ։
23. Թերապևտիկ համարժեքությունը պարզելու նպատակով կլինիկական տվյալների փոխարինումը in vitro և in vivo հետազոտությունների մոդելների վրա ստացված տվյալներով թույլատրվում է միայն սույն պահանջների V-IX բաժիններով սահմանված դեպքերում։
24. Տեղային կիրառության դեղապատրաստուկների որակի համարժեքության հաստատումը սովորաբար բավարար չէ՝ դրանց թերապևտիկ համարժեքությունն ապացուցելու համար։ Ինչ վերաբերում է լուծույթներին (օրինակ՝ մաշկին քսելու համար նախատեսված), ապա թերապևտիկ համարժեքությունը կարող է ապացուցվել միայն որակի համարժեքության հիման վրա, բացառապես եթե ուսումնասիրվող դեղապատրաստուկի և համեմատման դեղապատրաստուկի կիրառման եղանակը նույնն է։
25. Որակի համարժեքությունը կարող է պարզվել համեմատման պատրաստուկի հետ համադրման տվյալների օգտագործմամբ (եթե դիմողը դա հիմնավորել է), ըստ այնպիսի ցուցանիշների, ինչպիսիք են՝ դեղապատրաստուկների դեղաձևը, որակական և քանակական կազմը, միկրոկառուցվածքը և ֆիզիկական հատկությունները, գործառութային բնութագրերը, դրանց կիրառման եղանակը (այսուհետ՝ ընդլայնված դեղագործական համարժեքություն)։
26. Արդյունավետության համարժեքությամբ պահանջվում են համեմատման պատրաստուկով ներթափանցման համեմատական կինետիկայի հետազոտություններ և դեղադինամիկայի հետազոտություններ (եթե կիրառելի է)։ Դեղապատրաստուկի ներթափանցման կինետիկայի ուսումնասիրման համար համապատասխան մեթոդներ են՝
մարդու մաշկի մեջ դեղապատրաստուկի in vitro ներթափանցման գնահատումը,
կամավորներիցin vivo պայմաններում վերցված եղջերային շերտի նմուշների (կպչուն ժապավենով քերում) մեջ դեղապատրաստուկի պարունակության գնահատումը,
դեղակինետիկ կենսահամարժեքության հետազոտությունը,
դեղադինամիկ հետազոտությունները, որոնք ներառում են կորտիկոստերոիդների համար վազոկոնստրիկցիայի in vivo անալիզը և հակասեպտիկների մասով մանրէային դեկոլոնիզացման [ապագաղութացման] in vivo հետազոտությունները, որոնք անցկացվում են կամավորների վրա։
Եթե ներթափանցման կինետիկայի և դեղադինամիկայի հետազոտությունները կիրառելի չեն կամ բավարար չափով չեն կանխորոշում դեղապատրաստուկի նկատմամբ կլինիկական պատասխանը, ապա, որպես կանոն, կլինիկական արդյունավետության տվյալներ կպահանջվեն։
27. Անվտանգության և տեղային տանելիության մասով համարժեքությունը կարող է հիմնավորվել ազդող նյութի մասին տեղեկատվության լիարժեքությամբ և լավ հայտնի օժանդակ նյութերի ընտրությամբ։
28. Դասակարգման կենսադեղագործական համակարգի վրա հիմնված բիովեյվերը ներթափանցման կինետիկայի կամ դեղադինամիկայի համարժեքության հետազոտությունների մասով կիրառելի է ըստ բաղադրության և դեղագործական-տեխնոլոգիական պարամետրերի պարզ դեղաձևերի ուսումնասիրման դեպքերում, այսինքն՝ այն դեպքերում, երբ բավարար կլինի որակի համարժեքությունը ցույց տալը։
29. Տեղային կիրառության դեղապատրաստուկների կոնկրետ տեսակների համարժեքության հետազոտությունների արձանագրություններ մշակելիս հարկավոր է կիրառել ընդհանուր ցուցումները, որոնք բերված են սույն պահանջներում, և դիմողի գիտական խորհրդատվության արդյունքները (անհրաժեշտության դեպքում)։
IV. Տեղային կիրառության դեղապատրաստուկների որակի մասին տվյալները ներկայացնելը՝ դրանց կենսահամարժեքությունը հաստատելու համար
1. Գրանցման դոսյեում դեղապատրաստուկի նկարագրությունը և բաղադրությունը
30. Անհրաժեշտ է գրանցման դոսյեում մանրամասն նկարագրել դեղապատրաստուկի բաղադրությունը և օժանդակ նյութերի գործառույթները։
31. Օժանդակ նյութերի անվանումներով պետք է միանշանակ նույնականացվի օժանդակ նյութերից յուրաքանչյուրը։ Թույլատրվում է կիրառել՝
օժանդակ նյութի առաջարկվող միջազգային չարտոնագրված անվանումը (ՄՉԱ) կամ ձևափոխված միջազգային չարտոնագրված անվանումը (ձՄՉԱ)՝ նշելով դրա աղային ձևը (եթե կիրառելի է) կամ Միության դեղագրքի համապատասխան հոդվածը, իսկ դրա մեջ բացակայության դեպքում՝ անդամ պետության դեղագրքերի համապատասխան հոդվածները։
օժանդակ նյութի համընդհանուր հասարակ անվանումը,
օժանդակ նյութի քիմիական անվանումը։
Այլ դեպքերում օժանդակ նյութի անվանումը պետք է հիմնավորվի դիմողի կողմից։
32. Թույլատրվում է, որպեսզի օժանդակ նյութի անվանումը ներառի մաքրության դասը և (կամ) կոմերցիոն (առևտրային) անվանումը, եթե դա պահանջվում է արտադրական գործընթացի կայուն վերարտադրելիության (տեխնոլոգիական վերարտադրելիության) և արտադրանքի որակի համար։
33. Անհրաժեշտ է հստակ նշել դեղապատրաստուկի բաղադրության, կառուցվածքի և նշանակության մեջ օժանդակ նյութի ունեցած բազմագործառութային դերը (օրինակ՝ պրոպիլենգլիկոլը գործում է որպես խոնավությունը պահող, սոլյուբիլիզատոր և ներթափանցման ունակությունն ուժեղացնող)։
34. Դեղապատրաստուկի մասին տեղեկատվության (դեղապատրաստուկի ընդհանուր բնութագրի և բժշկական կիրառության հրահանգի (ներդիր-թերթիկի) մեջ անհրաժեշտ է նշել դեղապատրաստուկի կիրառվող դեղաչափը (որն արտահայտված է ազդող նյութի՝ մակերևույթի մակերեսի կամ ախտահարված հատվածի միավորի վրա քսվող զանգվածով) և առավելագույն օրական դեղաչափը։
35. Անհրաժեշտ է նկարագրել դեղապատրաստուկի առաջնային փաթեթվածքը և (եթե անհրաժեշտ է) երկրորդային փաթեթվածքը կամ փաթեթվածքի այլ նյութեր կամ բաղադրիչներ, եթե դրանք կրիտիկական են դեղապատրաստուկի կայունության ապահովման կամ դրա կիրառության եղանակի համար։
2. Դեղագործական մշակումը (գրանցման դոսյեի 3.2.Р.2 բաժին)
36. Գրանցման դոսյեի տվյալ բաժինը պետք է պարունակի գիտականորեն հիմնավորված տվյալներ, որոնք առնչվում են դեղապատրաստուկի պլանավորվող կիրառությանը և այդ կիրառության ու դեղապատրաստուկի մշակման գործընթացի միջև կապին։ Գրանցման դոսյեի նշված բաժնի բոլոր տվյալները պետք է հաստատվեն գիտական դեղագործական (բժշկական) հրապարակումների սկզբնաղբյուրներով կամ սեփական հետազոտությունների արդյունքներով։
Դեղապատրաստուկի կիրառության թերապևտիկ նպատակների ապահովումը՝ դրա դեղագործական մշակման ժամանակ
37. Դեղապատրաստուկի որակի թիրախային պրոֆիլը պետք է համապատասխանի դրա կիրառության (նշանակության) պլանավորվող թերապևտիկ նպատակներին, ինչպես նաև թույլ տա հասնել այդ նպատակներին դեղագործական մշակման գործընթացում։
38. Դեղապատրաստուկի դեղագործական մշակման ժամանակ պացիենտին միտված մոտեցման կիրառումը նախատեսում է՝
ա) դեղապատրաստուկի կիրառության ցուցման և մաշկի այնպիսի պաթոլոգիական վիճակի վերլուծություն, որի դեպքում պլանավորվում է կիրառել դեղապատրաստուկը,
բ) պացիենտների թիրախային խմբի տարիքին դեղաձևի և դրա բաղադրության (կազմության) համապատասխանության ապահովում,
գ) պացիենտների կողմից կիրառության համար դեղապատրաստուկի դեղաձևի պիտանիության ապահովում,
դ) դեղապատրաստուկը քսելու օպտիմալ եղանակի ընտրություն և կիրառության հարմարության ապահովում,
ե) դեղապատրաստուկը քսելու օպտիմալ տեղի որոշում,
զ) դեղապատրաստուկի դոզավորման և դրա դոզավորման ռեժիմի տեսանկյունից արդյունավետության ապահովում,
է) ազդող նյութի օպտիմալ լուծվածության, ինչպես նաև դրա կենսամատչելիության և (կամ) ներթափանցման ունակության ուժեղացման ապահովում,
ը) դեղապատրաստուկի օպտիմալ մեղմացնող հատկությունների ապահովում,
թ) դեղապատրաստուկի անվտանգության ապահովում՝ դրա բաղադրության մեջ մտնող բաղադրիչների թունավորության, դրա մեջ գոյություն ունեցող խառնուկների, միկրոկենսաբանական որակի ցուցանիշների և ֆիզիկական ու քիմիական կայունությունը որոշող որակի ցուցանիշների տեսանկյունից,
ժ) որակի կրիտիկական ցուցանիշների ընտրություն և դեղագրքային պահանջներին ու դեղամիջոցների շրջանառության ոլորտում Միության մարմինների ակտերի պահանջներին դեղապատրաստուկի համապատասխանության ապահովում։
39. Դեղագործական մշակման ժամանակ անհրաժեշտ է նշել դեղապատրաստուկի ազդեցության հետևյալ տեղերից որևէ մեկը՝
ա) մաշկի մակերևույթ,
բ) մաշկի հաստություն (եղջերային շերտ, վերնամաշկ կամ բուն մաշկ) կամ ենթամաշկ,
գ) մաշկի խորը կից հյուսվածքներ (հարակից հյուսվածքներ)։
40. Անհրաժեշտ է բացատրել դեպի ազդեցության տեղ ազդող նյութի ներթափանցման մեխանիզմը և կինետիկան։ Պետք է նկարագրվեն (եթե կիրառելի է) քսելու եղանակը, լուծույթի մեջ ազդող նյութի վիճակը, լուծվելը, պատրաստուկից ձերբազատումը և մարդու մաշկի միջով դիֆուզիան (օրինակ՝ կրեմի ձևով ոչ ստերոիդային հակաբորբոքային դեղապատրաստուկների առնչությամբ)։
41. Առանձին դեպքերում (օրինակ՝ մաշկի հակասեպտիկների լուծույթների առնչությամբ) սույն պահանջների 40-րդ կետում նշված տեղեկատվության փոխարեն թույլատրվում է ներկայացնել միայն ներմուծման ուղու մասին տվյալները։
42. Անհրաժեշտ է հիմնավորել կենսամատչելիությունը կամ մեղմացնող հատկությունները ավելացնելու համար դեղապատրաստուկի բաղադրության մեջ օժանդակ նյութերի ներառումը և դեղաձևի տեսակի ընտրությունը (օրինակ՝ ջրային գել, կրեմ, քսուք)։
43. Անհրաժեշտ է վերլուծել և նկարագրել դեղապատրաստուկի դոզավորումների սանդղակում տարբեր դոզավորումների (դրանց առկայության դեպքում) համամասնությունը և հիմնավորել դրանց անհրաժեշտությունը։
44. Գրանցման դոսյեի 3.2.Р.2 բաժինը պետք է պարունակի գրանցման դոսյեի 4-րդ և 5-րդ մոդուլների համապատասխան բաժիններին կատարվող փոխադարձ հղումներ, որոնցում պարունակվում են տվյալ բաժնի տեղեկությունները հիմնավորող նախակլինիկական և կլինիկական հետազոտությունների արդյունքները։
3. Ակտիվ դեղագործական բաղադրամասը
(գրանցման դոսյեի 3.2.Р.2.1.1 բաժին)
45. Անհրաժեշտ է նույնականացնել և ներկայացնել ակտիվ դեղագործական բաղադրամասի ֆիզիկաքիմիական այն հատկությունների վերլուծությունը, որոնք կարևոր են դեղապատրաստուկի կենսամատչելիության, արտադրության, ազդեցության իրականացման և կայունության համար։ Այս հատկությունները կարող են ներառել մոլեկուլային զանգվածը, անջատման գործակիցը, հալման կետը (եռման կետը (եթե կիրառելի է)), рКа-ն, լույսի, օդի կամ խոնավության նկատմամբ զգայունությունը, քայքայման ուղին, լուծելիությունը և pH-ի ազդեցությունը, ինչպես նաև մասնիկների չափսը և պոլիմորֆիզմը, եթե ազդող նյութը դեղապատրաստուկի մեջ ներկայացված է պինդ վիճակում։ Որակի կրիտիկական ցուցանիշներն անհրաժեշտ է նույնականացնել և հսկել ակտիվ դեղագործական բաղադրամասի մասնագրի մեջ։
4. Օժանդակ նյութերը
(գրանցման դոսյեի 3.2.Р.2.1.2 բաժին)
46. Տեղային կիրառության դեղապատրաստուկների մեջ օգտագործվող օժանդակ նյութերը հաճախ փոփոխականություն են դրսևորում (օրինակ՝ ածխաջրածնային շղթաների հոմոլոգիական կազմի, չհագեցման աստիճանի, մոլեկուլային զանգվածի, պոլիմորֆիզմի առումով)՝ պայմանավորված սերիայով և դրանց ստացման աղբյուրով։ Դա, իր հերթին, հանգեցնում է արտադրանքի ռեոլոգիական հատկությունների, միկրոկառուցվածքի և ֆիզիկական հատկությունների, ազդող նյութի կամ այլ բաղադրատարրի բյուրեղացման, կայունության կամ կենսամատչելիության անկանխատեսելի փոփոխականությանը։
47. Փոփոխականությունը, օժանդակ նյութերի սերիայով և աղբյուրով պայմանավորված, անհրաժեշտ է պարզել և վերացնել մշակման ժամանակ։
48. Յուրաքանչյուր օժանդակ նյութի և դրա քանակի ընտրությունը, ինչպես նաև որակի կիրառելի կրիտիկական ցուցանիշների ընտրությունն անհրաժեշտ է վերլուծել և հիմնավորել՝ հիմք ընդունելով դրա գործառույթը (գործառույթները) ՝ ներառյալ մեղմացման գործառույթը (եթե կիրառելի է)։
49. Անհրաժեշտ է նշել օժանդակ նյութի մաքրության դասը, եթե ազդող նյութի կենսամատչելիությունը, դեղապատրաստուկի արտադրության գործընթացի վերարտադրելիությունը և (կամ) դրա որակը փոխվում են օժանդակ նյութի մաքրության այլ դասեր կիրառելու դեպքում։
50. Մասնագրի մեջ անհրաժեշտ է ներառել օժանդակ նյութերի որակի կրիտիկական ցուցանիշների հսկողությունը։ Որակի այս կրիտիկական ցուցանիշների համար ընդունելիության չափորոշիչները պետք է հիմնավորվեն գրանցման դոսյեի 3-րդ մոդուլի 3.2.Р.4 բաժնում։
51. Անհրաժեշտ է ներկայացնել այն օժանդակ նյութերի (օրինակ՝ սոլյուբիլիզատորի, ներթափանցման ուժեղացուցչի) մասին մանրամասն տեղեկություններ, որոնք կարող են ազդեցություն ունենալ ազդող նյութի ներթափանցման ունակության և կենսամատչելիության վրա՝ ներառյալ պլանավորվող գործառույթը կատարելու և դա դեղապատրաստուկի պլանավորվող պիտանիության ժամկետի (պահպանման ժամկետի) ընթացքում կատարելու դրանց ունակությունը։
52. Ինչ վերաբերում է միացությունների խառնուրդ հանդիսացող օժանդակ նյութերին, ապա անհրաժեշտ է ներկայացնել օժանդակ նյութերի որակական և քանակական կազմի մասին տեղեկություններ և բնութագրել այդ օժանդակ նյութերը՝ ներառյալ դրանց ռեոլոգիական հատկությունները (հիմնավորված լինելու դեպքում)։
53. Ինչ վերաբերում է նոր օժանդակ նյութերին, ապա անհրաժեշտ է ներկայացնել արտադրության, բնութագրերի սահմանման և հսկողության մասին ամբողջական տեղեկություններ՝ անվտանգության մասին հիմնավորող տվյալներին փոխադարձ հղումների կատարմամբ։
54. Ինչ վերաբերում է դեղապատրաստուկի՝ նաև օծանելիքակոսմետիկական արտադրանքի մեջ օգտագործվող օժանդակ նյութերին, հարկավոր է ներկայացնել տվյալներ (տեղեկություններ) այն մասին, որ դեղապատրաստուկի մեջ այդպիսի նյութերի օգտագործումը չի հակասում Մաքսային միության «Օծանելիքակոսմետիկական արտադրանքի անվտանգության մասին» տեխնիկական կանոնակարգի (ՄՄ ՏԿ 009/2011) թիվ 2-5 հավելվածներում սահմանված պահանջներին։
55. Անհրաժեշտ է նույնականացնել և նկարագրել տեխնոլոգիական հավելումները։
56. Եթե տեղային կիրառության դեղապատրաստուկների մեջ օգտագործվող որոշ օժանդակ նյութեր ունակ են առաջացնելու գրգռում կամ բարձր զգայունության ռեակցիաներ, հարկավոր է դրանք հնարավորինս բացառել կամ նվազեցնել դրանց կիրառությունն այն դեպքում, երբ նոր արտադրանքի մշակման ժամանակ դրանք ամբողջովին բացառելն անհնար է։ Օժանդակ նյութերի հնարավոր անցանկալի ազդեցության մասին տեղեկությունները բերված են Եվրասիական տնտեսական հանձնաժողովի խորհրդի 2016 թվականի նոյեմբերի 3-ի թիվ 88 որոշմամբ հաստատված՝ Դեղապատրաստուկի բժշկական կիրառության հրահանգին և բժշկական կիրառության դեղապատրաստուկի ընդհանուր բնութագրին ներկայացվող պահանջների թիվ 1 հավելվածում:
5. Պատրաստի դեղաձևի մշակումը
(գրանցման դոսյեի 3.2.Р.2.2.1 բաժին)
57. Դեղապատրաստուկի մշակումն անհրաժեշտ է նկարագրել դեղապատրաստուկի որակի թիրախային պրոֆիլի տեսանկյունից՝ կիրառելով որակի կրիտիկական ցուցանիշների բնորոշման և հսկողության համար հարմար հետազոտություններ, այնպիսի գործոններ, որոնք ազդում են պատրաստուկի կիրառման հեշտության կամ տևողության, ինչպես նաև պատրաստուկի դրսևորման վրա (օրինակ՝ ազդող նյութի in vitro լուծվելը, ձերբազատումը և (եթե կիրառելի է), մաշկի մեջ in vitro ներթափանցումը (մեթոդիկաներին համապատասխան՝ թիվ 1 և թիվ 2 հավելվածների համաձայն)։ Անհրաժեշտ է տրամադրել հետազոտությունների կիրառվող մեթոդիկաների և ընդունելիության չափորոշիչների պիտանիության ապացույցը՝ դեղապատրաստուկի գնահատման համար։
58. Դեղապատրաստուկի մեջ ազդող նյութի վիճակը և հագեցման աստիճանը (օրինակ՝ լուծված ձևով կամ կախույթի ձևով) որակի այնպիսի կրիտիկական ցուցանիշներ են, որոնք անհրաժեշտ է հիմնավորել դեղապատրաստուկի արդյունավետության և անվտանգության տեսանկյունից՝ հիմնավորելով այն բանի ապացույցով, թե արտադրության գործընթացում ազդող նյութի թիրախային վիճակին ինչպես են հասնում, և դեղապատրաստուկի պահման ընթացքում դա ինչպես է պահպանվում։
59. Անհրաժեշտ է գնահատել մասնիկների նստեցման, դրանց չափի աճի, ազդող նյութի բյուրեղային վիճակի փոփոխության կամ դրա այլ բնութագրերի փոփոխության ռիսկերը, որոնք առաջանում են ջերմաստիճանի փոփոխմամբ պայմանավորված կամ պահպանման ժամանակ և կարող են ազդեցություն ունենալ այդ ազդող նյութի կենսամատչելիության վրա, ինչպես նաև կայունության հետազոտության շրջանակներում անցկացնել համապատասխան փորձարկումներ։
60. Անհրաժեշտ է վերլուծել ազդող նյութի մատակարարումը՝ դեպի ազդեցության տեղը։ Կարելի է օգտագործել լուծիչներ և ուժեղացուցիչներ՝ մաշկի տարբեր շերտերի միջով դրա ներթափանցմանը նպաստելու համար։ Քսուքները կարող են գործել՝ մաշկի օկլյուզիա [փակվածք] ստեղծելու միջոցով՝ դրանով հեշտացնելով ներթափանցումը։ Դեղապատրաստուկի և ազդեցության տեղի միջև ազդող նյութի կոնցենտրացիաների տարբերությունը ներթափանցման շարժիչ ուժն է, ուստի դեղապատրաստուկի մեջ ազդող նյութի հագեցած վիճակին հասնելը կարող է սկզբունքային կարևորություն ունենալ։
61. Անհրաժեշտ է վերլուծել պացիենտի համար դեղապատրաստուկի ընդունելիությունը և կիրառության հարմարությունը (օրինակ՝ կիրառության հեշտությունը, քսելիությունը, որը կարող է կարևոր լինել մակերևույթի կոնկրետ մակերեսի վրա կոնկրետ դեղաչափ քսելու անհրաժեշտության, ինչպես նաև քսելուց հետո առաջացող զգացողության դեպքում) (չորություն կամ «յուղայնություն»)։
62. Հարկավոր է նշել (եթե կիրառելի է) դեղաձևի դեղագործական-տեխնոլոգիական բնութագիրը (օրինակ՝ հիդրոֆոբ քսուք (ածխաջրածնային հիմք, կլանող հիմք), ջրաէմուլսիոն քսուք, հիդրոֆիլ քսուք)։
63. Անհրաժեշտ է ներկայացնել դեղապատրաստուկի միկրոկառուցվածքի և ֆիզիկական հատկությունների մասին տեղեկություններ՝ հաշվի առնելով փափուկ դեղաձևերի համար այդ ցուցանիշների կրիտիկական կարևորությունը և նկարագրել (բնութագրել) արտադրության գործընթացում դրանց ձևավորման համար պատասխանատու մեխանիզմները (օրինակ՝ օժանդակ նյութերի փոխազդեցության, սերիայից սերիա որակի ցուցանիշների փոփոխականության արդյունքում և մասշտաբավորման դեպքում), որպեսզի արտադրության գործընթացը հնարավոր լինի օպտիմալացնել կայուն որակով արտադրանք ստանալու համար։
64. Անհրաժեշտ է կրիտիկական տեսանկյունից վերլուծել տեղային կիրառության դեղապատրաստուկի բնութագրերի փոփոխությունն այն քսելուց հետո։ Մասնավորապես այն դեպքերում, երբ ցնդող լուծիչների և օժանդակ նյութերի գոլորշացումը կամ այլ երևույթներ անհրաժեշտ են ազդող նյութը դեպի ազդեցության տեղն արդյունավետորեն հասցնելու համար։
65. Անհրաժեշտ է մանրամասն նկարագրել կլինիկական հետազոտությունների համար դեղաձևի բաղադրությունը և դեղագործական-տեխնոլոգիական պարամետրերն ու համեմատական հետազոտություններում օգտագործված սերիաները։ Անհրաժեշտ է հիմնավորել հենանշային կլինիկական հետազոտություններում օգտագործված դեղապատրաստուկի դեղաձևերի և գրանցման համար հայտագրված դեղապատրաստուկի միջև բաղադրության, դեղագործական-տեխնոլոգիական պարամետրերի, արտադրական գործընթացների ցանկացած տարբերություն։ Անհրաժեշտ է ներկայացնել ընդլայնված դեղագործական համարժեքության համեմատական հետազոտությունների, in vitro կամin vivo հետազոտությունների արդյունքները։
66. Դեղապատրաստուկի բաղադրությունը որոշելուց հետո սկսվում է արտադրության գործընթացի մասշտաբավորումը, և անհրաժեշտ է նույնականացնել ու հսկել գործընթացի կրիտիկական պարամետրերը։
67. Արտադրության գործընթացի մասշտաբավորման ընթացքում թույլատրվում է անհրաժեշտ շտկումներ կատարել՝ դեղապատրաստուկի արդյունաբերական սերիաների կայուն արտադրությանը հասնելու և արտադրության գործընթացն օպտիմալացնելու համար։ Այդ շտկումները կարող են լինել փոփոխություններ դեղապատրաստուկի բաղադրության, արտադրական գործընթացների, սարքավորումների մեջ կամ արտադրական հարթակի փոփոխություններ։ Որոշ դեպքերում անհրաժեշտ է գնահատել դեղապատրաստուկի գործառույթի վրա նշված փոփոխությունների հավանական ազդեցությունը (օրինակ՝ կենսամատչելիության կամ կիրառության հարմարության առումով)։
68. Անհրաժեշտ է ներկայացնել Միության դեղագրքի պահանջներին, իսկ դրա մեջ բացակայության դեպքում՝ անդամ պետությունների դեղագրքերի պահանջներին տեղային կիրառության դեղաձևի համապատասխանության հաստատումը։
69. Անհրաժեշտ է մանրամասն վերլուծել դեղապատրաստուկի որակի թիրախային պրոֆիլի, որակի կրիտիկական ցուցանիշների և դեղապատրաստուկի մասնագրի միջև կապը։
70. Եթե դեղապատրաստուկի հիմքը պարունակում է բոցավառվող ցնդող լուծիչներ (օրինակ՝ իզոպրոպիլային սպիրտ և էթանոլ), ապա անհրաժեշտ է որոշել բռնկման ջերմաստիճանը և դեղապատրաստուկի մասին տեղեկատվության մեջ ներառել համապատասխան նախազգուշացումներ։ Բռնկման ջերմաստիճանը որոշելու համար թույլատրվում է կիրառել մեթոդիկաներ՝ Պենսկի-Մարտենսի փակ հալքանոթով սարքի օգտագործմամբ։
71. Պարաֆինի հիմքով դեղապատրաստուկներն ինքնին բոցավառվող չեն, սակայն հագուստի, անկողնու սպիտակեղենի կամ փաթաթանի վրա դրանց ընկնելու դեպքում կտորի նյութը պատրույգ է, իսկ պարաֆինը՝ այրվող նյութ։ Այդպիսի դեղապատրաստուկների համար անհրաժեշտ է գնահատել պացիենտի համար ռիսկերը և դեղապատրաստուկի մասին տեղեկատվության մեջ ներառել համապատասխան նախազգուշացումներ։
6. Դեղապատրաստուկի բնութագրերի սահմանումը
72. Անհրաժեշտ է կատարել դեղապատրաստուկի բնութագրերի մանրամասն գնահատում, որպեսզի ապահովվի դեղապատրաստուկի կենսական պարբերաշրջանի հսկողությունն իրականացնելիս դրա մեջ փոփոխությունների կատարման հնարավորությունը, և հիմնավորվի համեմատման պատրաստուկին համարժեքության պահպանումը։
73. Բնութագրերի սահմանման մասին տվյալները պետք է ստացվեն ներկայացուցչական հանդիսացող թվով սերիաներից (առնվազն 3)՝ հաշվի առնելով հավանական փոփոխականությունը, որը դիտվում է դիսպերսային համակարգերի դեպքում՝ պարզ լուծույթների համեմատությամբ։
74. Վիճակագրական գնահատում անցկացնելու համար նմուշների քանակը պետք է լինի ներկայացուցչական՝ յուրաքանչյուր փորձի մեջ ամեն սերիային բաժին ընկնող առնվազն 12 միավորներով։ Անհրաժեշտ է հաշվի առնել սերիաների միջև փոփոխականությունը (օրինակ՝ սերիայի չափից, արտադրության ամսաթվով և պահպանման ժամկետով պայմանավորված)։
7. Տեղային կիրառության դեղապատրաստուկների դեղաձևերը
75. Տեղային կիրառության դեղապատրաստուկների դեղաձևերը ներառում են՝
ա) մաշկի լուծույթներ,
բ) փրփուրներ և ցողաշիթեր,
գ) շամպուններ,
դ) քսուքներ (ածխաջրածնային, կլանող, ջրով մաքրվող և ջրալուծելի հիմքեր),
ե) կրեմներ (յուղ՝ ջրի մեջ, կամ ջուր՝ յուղի մեջ),
զ) գելեր,
է) մածուկներ,
ը) թրջոցալաթեր,
թ) դեղային սպեղանիներ և մաշկի սպեղանիներ։
76. Անհրաժեշտ է ներկայացնել դեղաձևի տեսակի ապացույցներ՝ դեղապատրաստուկի հիմքում ընկած ազդող նյութի վիճակի (լուծույթի, դիսպերսային համակարգի, չխառնվող ֆազային համակարգի տեսակը) և դոզավորման ձևի տիպի տեսանկյունից։
Կիրառվող դեղապատրաստուկների մեծամասնությունը դասվում է դեղաձևերի հետևյալ տեսակներից որևէ մեկի՝
ա) լուծույթի մեջ ազդող նյութ, միաֆազային կրող՝ արտաքին կիրառման լուծույթ, միաֆազային գել կամ քսուք,
բ) կախույթի մեջ ազդող նյութ, միաֆազային կրող՝ արտաքին կիրառման կախույթներ,
գ) լուծույթի մեջ ազդող նյութ, երկֆազային կրող՝ «յուղ՝ ջրի մեջ» տիպի կրեմ և քսուք, որոնց մեջ ազդող նյութը լուծված է յուղային ֆազում,
դ) կախույթի մեջ ազդող նյութ, երկֆազային կրող՝ «յուղ՝ ջրի մեջ» տիպի կրեմ և քսուք, որոնց մեջ ազդող նյութը կրողի ֆազերից ոչ մեկում լուծվող չէ։
77. Ինչ վերաբերում է կախույթներին, ապա պահանջվում է լրացուցիչ սահմանել բնութագրերը՝ ազդող նյութի մասնիկներն ըստ չափի և դրա պոլիմորֆ ձևի տարածելու տեսանկյունից՝ ներառյալ միկրոլուսանկարները։
78. Ինչ վերաբերում է չխառնվող ֆազերով դեղապատրաստուկներին, ապա պահանջվում է լրացուցիչ սահմանել բնութագրերը՝ գլոբուլներն ըստ չափի և արտաքին տեսքի տարածելու տեսանկյունից՝ ներառյալ միկրոլուսանկարները։
79. Անհրաժեշտ է (եթե անհրաժեշտ է) անցկացնել մասնիկների չափի վերլուծություն՝ տարբեր մեթոդների օգնությամբ (օրինակ՝ լույսի լազերային դիֆրակցիայի, Ռամանովյան կոնֆոկալ միկրոսկոպիայի, ինչպես նաև միկրոսկոպիայի օգնությամբ)։
Դեղաձևի արտաքին տեսքը
80. Դեղապատրաստուկի դեղաձևի արտաքին տեսքը պետք է բնութագրվի տեսողականորեն և միկրոլուսանկարներով։ Արտաքին տեսքի տվյալ բնութագրերը կրիտիկական են դիսպերսային համակարգերի համար։
Դեղաձևի միկրոկառուցվածքը և ֆիզիկական հատկությունները
81. Դեղաձևի միկրոկառուցվածքը և ֆիզիկական հատկությունները չչափածրարված դեղապատրաստուկի որակի ֆիզիկական կրիտիկական այնպիսի ցուցանիշների տեսանկյունից բնութագրելու համար, որոնք ազդում են կենսամատչելիության, կիրառության հարմարության վրա կամ վկայում են արտադրության գործընթացում արտադրանքի փոփոխականության և անկայունության մասին, անհրաժեշտ է ներկայացնել հետևյալ տվյալները՝
ա) լուծույթների և կախույթների համար՝ pH-ը, բուֆերային տարողությունը, մածուցիկությունը, խտությունը, մակերևութային լարվածությունը, օսմոլյալությունը,
բ) փափուկ դեղաձևերի համար՝ pH-ը, խտությունը, ռեոլոգիական հատկությունները։
82. Անհրաժեշտ է բնութագրել դեղաձևի ռեոլոգիական հատկությունները որպես ոչ նյուտոնյան հեղուկ՝ համապատասխան բացարձակ ռեոմետրի օգտագործմամբ՝ ներառյալ՝
ա) շեղման լարման դեֆորմացիայի (կամ մածուցիկության) ամբողջական ռեոլոգիական կորը՝ պայմանավորված լարման աճող և նվազող արագությունների ընդգրկույթում տվյալների կետերի համակցությամբ լարման արագությամբ այնպես, որ վերընթաց կորերի կամ վարընթաց կորերի ցանկացած գծային հատված հստակ նույնականացվի։ Ձևավորվող կորերն անհրաժեշտ է նկարագրել պոլինոմիալ [բազմանդամ] միտման գծերի օգնությամբ (համապատասխան մոդիֆիկացիայով), որպեսզի հնարավոր լինի հաշվարկել անհրաժեշտ թվային ցուցանիշները․
բ) առաձգականության սահմանի և սողունության փորձարկումը,
գ) գծային վիսկոպլաստիկ պատասխանի գնահատումը (կուտակման մոդուլի և կորուստների մոդուլի կախվածությունը՝ տատանումների հաճախականությունից)։
83. Անհրաժեշտ է ներկայացնել ռեոգրամաներ և դասակարգել արտադրանքի դրսևորումները՝ պայմանավորված լարման և ժամանակի ազդեցությամբ (օրինակ՝ պսևդոպլաստիկ, դիլատանտ, տիքսոտրոպ), և դրանք բնութագրել համապատասխան չափագրերի կիրառմամբ։ Պարամետրերի նվազագույն ծավալը ներառում է՝
ա) լարման սահմանված արագությունների դեպքում մածուցիկությունը՝ տարբեր ռեոգրամաների տվյալներով (օրինակ՝ η100-ի դեպքում),
բ) պլաստիկ հոսքի առաձգականության սահմանների արժեքները,
գ) տիքսոտրոպային հարաբերական մակերեսը (SR),
դ) կուտակման և կորուստների մածուցիկ-կերպարանվող [վիսկոպլաստիկ] մոդուլները (G’ և G”),
ե) թվացյալ մածուցիկությունը, կորուստների անկյան տանգենսը (tg δ)։
84. Ռեոլոգիական հատկությունների բնութագրերի համապատասխան սահմանումը կարող է թույլ տալ նույնականացնել կամ պլանավորել առավել պարզ փորձարկում` պատրաստի պատրաստուկի մասնագրի մեջ դա օգտագործելու համար։
8. Դեղապատրաստուկի կենսադեղագործական բնութագրերի գնահատումը
85. Անհրաժեշտ է մշակել հետազոտություններ, որոնք թույլ են տալիս սահմանել դեղապատրաստուկի այնպիսի կենսադեղագործական բնութագրեր, ինչպիսիք են կախույթների համար լուծվելը և ազդող նյութի in vitro ձերբազատումը՝ սույն պահանջների թիվ 1 հավելվածի համաձայն մեթոդիկային համապատասխան, և պահպանման ընթացքում ցույց տալ դրա կայունությունը։
86. Կենսադեղագործական բնութագրերը սահմանելու համար նաև թույլատրվում է մաշկի մեջ կիրառել in vitro ներթափանցման հետազոտություն՝ սույն պահանջների թիվ 2 հավելվածով սահմանված մեթոդիկային համապատասխան։
9. Գրանցման դոսյեում դեղապատրաստուկի կիրառության առանձնահատկությունների նկարագրությունը
87. Դեղապատրաստուկի ընդհանուր բնութագիրը և բժշկական կիրառության հրահանգը (ներդիր-թերթիկը) պետք է ներառեն դեղապատրաստուկի անվտանգ կիրառության վերաբերյալ ցանկացած անհրաժեշտ հրահանգ և նախազգուշացում։
88. Բերվում է (եթե կիրառելի է) դեղապատրաստուկը սպառողի (բժշկական աշխատողի) կողմից քսվելու դեպքում դրա լրացուցիչ փոխակերպման (օրինակ՝ որևէ կրող նյութի հետ խառնելու) նկարագրությունը։
89. Դեղապատրաստուկի ընդհանուր բնութագրի և բժշկական կիրառության հրահանգի (ներդիր-թերթիկի) մեջ կիրառության եղանակը նկարագրելու դեպքում պետք է բերվի հետևյալ տեղեկատվությունը՝
ա) քսելու տեղը․
բ) դեղապատրաստուկը մաշկային ծածկույթի որոշակի հատվածների (վնասված կամ չվնասված մաշկի, վերքի մակերեսի և այլնի) վրա քսելուց խուսափելու անհրաժեշտության մասին տեղեկատվությունը․
գ) մաշկի նախնական մշակմանը ներկայացվող պահանջները․
դ) դեղապատրաստուկի էքսպոզիցիայի վրա շրջակա միջավայրի էքստրեմալ պայմանների (տաքի, ցրտի, արևի լույսի) ազդեցության մասին տեղեկատվությունը․
ե) դեղապատրաստուկը քսելուց հետո պացիենտի ամենօրյա ֆիզիկական ակտիվությունն իրականացնելու (օրինակ՝ լվացվելու, ցնցուղ կամ լոգանք ընդունելու, արևապաշտպան կամ խոնավացնող միջոցներ օգտագործելու) վրա դրա ունեցած ազդեցության մասին տեղեկատվությունը․
զ) անհրաժեշտ սահմանափակումները (օրինակ՝ դեղապատրաստուկը օկլյուզիոն փաթաթանի տակ քսելուց խուսափելու անհրաժեշտության մասին նախազգուշացումը)
է) պահպանման ցանկացած հատուկ պայմանի մասին նշումը․
ը) երեխաների կողմից չկանխամտածված օգտագործման հնարավորությունը թույլ չտալու անհրաժեշտության մասին նշումը․
թ) բոցավառվող ցնդող լուծիչներ պարունակող դեղապատրաստուկների համար բոցավառելիության մասին նախազգուշացումը։ Օրինակ՝
«Վտանգավոր է։ Կարող է բոցավառվել։ Հեռո՛ւ պահել ջերմությունից, տաք մակերևույթներից, կայծերից, բաց բոցից և բռնկման այլ աղբյուրներից։ Չծխե՛լ կիրառության ժամանակ։ Պաշտպանե՛լ արևի լույսի ազդեցությունից։ Չենթարկե՛լ 50 °С-ից բարձր ջերմաստիճանների ազդեցությանը։ Չփոշեցրե՛լ բոցի կամ բռնկման այլ աղբյուրների վրա։»․
ժ) հագուստը, անկողնու սպիտակեղենը կամ այդ պատրաստուկով ներծծված (աղտոտված) փաթաթանները պարբերաբար փոխելու և բաց կրակին մոտ գտնվելուց խուսափելու անհրաժեշտության մասին տեղեկատվությունն այն պացիենտների համար, որոնց դեպքում կիրառվում են պարաֆինի հիմքով ցանկացած դեղապատրաստուկի մեծ (> 100 գ) քանակներ։ Օրինակ՝
«Եթե դեղապատրաստուկը քսվում է փաթաթանի տակ կամ շփվում է հագուստի հետ, կա ռիսկ, որ ծխելու կամ բաց կրակի հետ շփվելու դեպքում փաթաթանը կամ հագուստի կտորը կարող է բռնկվել։
Պատրաստուկի կիրառության ընթացքում դադարեցրե՛ք ծխելը, բաց կրակ մի՛ օգտագործեք (կամ ծխող մարդկանց կամ բաց կրակի աղբյուրներին մոտ մի՛ գտնվեք) կամ մի՛մոտեցեք այլ առարկաների և տեղերի, որոնք կարող են բռնկում առաջացնել այն ժամանակ, երբ ձեր կողմից օգտագործվող դեղապատրաստուկը շփման մեջ է գտնվում ձեր հագուստի, փաթաթանի կամ վիրափաթաթանի հետ։
Պարբերաբար (նախընտրելի է ամեն օր) փոխե՛ք հագուստը և անկողնու սպիտակեղենը, քանի որ պարաֆինը ներծծվում է կտորի մեջ և պոտենցիալ հրավտանգ է։ Անհրաժեշտ է խուսափել դեղապատրաստուկի՝ աթոռի նստատեղի կամ այլ կահույքի վրա ընկնելուց։
Ձեր մտերիմներին կամ ձեր խնամքն իրականացնող անձանց տեղեկացրե՛ք ձեր բուժման մասին և նրանց ցույց տվե՛ք բժշկական կիրառության տվյալ հրահանգը (ներդիր-թերթիկը)։
Զգուշացրե՛ք ձեր բժշկին, բուժքրոջը կամ դեղագործին այն մասին, որ դուք ծխում եք։ Նրանք կարող են խորհուրդներ տալ ծխելը դադարեցնելու վերաբերյալ։»։
10. Արտադրության գործընթացի մշակումը և արտադրությունը
(գրանցման դոսյեի 3-րդ մոդուլի 3.2.Р.2.3 և 3.2.P.3 բաժիններ)
90. Ինչ վերաբերում է դեղապատրաստուկների դիսպերսային դեղաձևերին (օրինակ՝ երկֆազային էմուլսիաներին), ապա դեղաձևի բաղադրության և դեղագործական-տեխնոլոգիական պարամետրերի կամ արտադրության գործընթացի փոփոխությունները կարող են ազդել դեղապատրաստուկի անվտանգության և (կամ) արդյունավետության վրա և, հետևաբար, կարևոր են գնահատման և հսկման համար։ Կարևոր կարող են լինել պատրաստի դեղաձևի մեջ տարբեր բաղադրիչներ ավելացնելու կարգը, ինչպես նաև արտադրության գործընթացի այնպիսի պարամետրեր, ինչպիսիք են համասեռացման ջերմաստիճանը և պայմանները (օրինակ՝ արագությունը և տևողությունը)։
91. Արտադրության տիպիկ գործընթացի դեպքում կրիտիկական կետեր սովորաբար համարվում են միաֆազ համակարգերից երկ- կամ բազմաֆազ համակարգի առաջացումը և այն կետը, որում ավելացվում է ազդող նյութը։
92. Քանի որ ազդող նյութի ձերբազատման արագությունը, դեղապատրաստուկի միկրոկառուցվածքը և ֆիզիկական հատկություններն ու ռեոլոգիական պրոֆիլները կարող են ենթարկվել մասշտաբավորման ազդեցությանը, հատկապես կարևոր է, որ նշված հատկություններն ստուգվեն արդյունաբերական մասշտաբով։
93. Գրանցման դոսյեի 3-րդ մոդուլի 3.2.P.3.3 և 3.2.Р.3.4 բաժինները պետք է պարունակեն համարժեքության գնահատման համար պահանջվող տեղեկատվության ծավալը և ներառեն արտադրության գործընթացի կրիտիկական ու ոչ կրիտիկական պարամետրեր և հիմնավորվեն արտադրության գործընթացի կատարված մշակման տվյալներով։
94. Անհրաժեշտ է նշել և հիմնավորել տարբեր լուծույթների ու միջանկյալ նյութերի արտադրական փուլերի միջև պահպանման ժամկետները և դրանց պահպանման պայմանները՝ նշելով կայունության համապատասխան հետազոտությունները և վերաբերելի այլ տվյալներ։
95. Տեղային կիրառության չչափածրարված շատ դեղապատրաստուկներ խառնելիս թանձրանում են դրանց արտադրությունից հետո մի քանի օրերի ընթացքում։ Այս դեպքերում կարող է պահանջվել չչափածրարված դեղապատրաստուկի արտադրության և դեղապատրաստուկի չափածրարման միջև ընկած ժամանակահատվածի հիմնավորումը։
96. Անհրաժեշտ է նաև հիմնավորել միջանկյալ արտադրանքի, չչափածրարված դեղապատրաստուկի պահպանման և դրա փոխադրման համար օգտագործվող փաթեթվածքի պիտանիությունը։
11. Փաթեթավորման (խցանափակման) համակարգը
(գրանցման դոսյեի 3-րդ մոդուլի 3.2.Р.2.4 բաժին)
97. Անհրաժեշտ է վերլուծել և հիմնավորել փաթեթավորման (խցանափակման) համակարգի պիտանիությունը։ Այդ վերլուծությունը և հիմնավորումը պետք է ներառեն նյութերի ընտրությունը, խոնավությունից, թթվածնից և լույսից պաշտպանությունն այնտեղ, որտեղ դա կիրառելի է, փաթեթավորման (խցանափակման) համակարգի հետ դեղապատրաստուկի համատեղելիությունը, դոզավորումը, դեղապատրաստուկի կիրառության հարմարությունը և անվտանգությունը։
98. Մանրէազերծ դեղապատրաստուկները պետք է փաթեթավորվեն մեկանգամյա օգտագործման կոնտեյներների մեջ։
99. Եթե որևէ արտադրատեսակ փաթեթավորվում է դեղապատրաստուկի հետ միասին (օրինակ՝ դեղապատրաստուկի չափումը (դոզավորումը) կամ քսելը (կիրառելը) հեշտացնելու համար), ապա այդ արտադրատեսակի նկատմամբ պետք է կիրառվեն Գրանցման և փորձաքննության կանոնների 187-րդ կետում նշված պահանջները։ Անհրաժեշտ է հաստատել այդ արտադրատեսակի և դեղապատրաստուկի միջև համատեղելիությունը, և եթե տվյալ արտադրատեսակը դոզատորի գործառույթներ է կատարում, ապա անհրաժեշտ է հաստատել դեղապատրաստուկի ճիշտ դոզավորում իրականացնելու դրա ունակությունը։
12. Միկրոկենսաբանական բնութագրերը
(գրանցման դոսյեի 3-րդ մոդուլի 3.2.Р.2.5 բաժին)
100. Դեղապատրաստուկների տվյալ խմբի միկրոկենսաբանական մաքրությունը պետք է ապահովվի միևնույն կարգով, ինչ ներմուծման այլ ուղիներ ունեցող դեղապատրաստուկների դեպքում՝ հաշվի առնելով այն, որ որոշ դեղապատրաստուկներ կարող են քսվել վնասված մաշկին։ Դեղապատրաստուկները պետք է համապատասխանեն Միության դեղագրքի «Դեղապատրաստուկների, դեղագործական բաղադրամասերի և դրանց արտադրության համար օժանդակ նյութերի միկրոկենսաբանական մաքրությանը ներկայացվող պահանջներ»-ի 2.3.1.2 ընդհանուր դեղագրքային հոդվածի պահանջներին։
101. Դեղապատրաստուկի մանրէազերծվածությունը պահանջվում է, եթե դա նախատեսված է բաց կամ խորը մեծ վերքերի կամ զգալիորեն վնասված մաշկի վրա օգտագործելու համար։ Մանրէազերծվածությունը պահանջվում է ինվազիվ պրոցեդուրաներից առաջ օգտագործվող դեղապատրաստուկների համար (օրինակ՝ մաշկի նախավիրահատական հակասեպտիկի համար), ինչպես նաև ողողման համար նախատեսված լուծույթների ձևով դեղապատրաստուկների համար։
102. Ինչ վերաբերում է բազմակի օգտագործման համար կոնտեյներների մեջ գտնվող ոչ մանրէազերծ դեղապատրաստուկներին, ապա անհրաժեշտ է հիմնավորել դեղապատրաստուկի բաղադրության մեջ հակամանրէային կոնսերվանտի ներառումը։ Հակամանրէային կոնսերվանտի օգտագործվող կոնցենտրացիան պետք է լինի հնարավորինս ցածր և պետք է համապատասխանի Միության դեղագրքի «Հակամանրէային կոնսերվանտների արդյունավետությունը» 2.3.1.1 ընդհանուր դեղագրքային հոդվածի պահանջներին։ Բազմաֆազ դեղապատրաստուկների համար անհրաժեշտ է ներկայացնել յուրաքանչյուր ֆազում կոնսերվանտի լուծելիության մասին տվյալները։
13. Հսկողության ռազմավարությունը
103. Դեղապատրաստուկների տվյալ խմբի արտադրության ժամանակ կիրառվող հսկողության ռազմավարությունը պետք է համապատասխանի Եվրասիական տնտեսական հանձնաժողովի խորհրդի 2016 թվականի նոյեմբերի 3-ի թիվ 77 որոշմամբ հաստատված՝ Եվրասիական տնտեսական միության պատշաճ արտադրական գործունեության կանոնների III մասի II և III գլուխների պահանջներին և դեղապատրաստուկների դեղագործական մշակման ոլորտում Միության մարմինների ակտերին։ Հարկավոր է ներկայացնել և վերլուծել որակի այնպիսի կրիտիկական ցուցանիշներ, որոնք անհրաժեշտ են ազդող նյութի ձերբազատումը, այսինքն՝ դրա in vitro ձերբազատումը կամ լուծվելը և (եթե կիրառելի է), մաշկի մեջ in vitro ներթափանցումը հսկելու համար։
104. Դեղագործական մշակմամբ պետք է սահմանվի դեղապատրաստուկի որակի ցուցանիշների, դրա կենսադեղագործական բնութագրերի և կլինիկական արդյունավետության միջև կապը։
14. Մասնագրերը (գրանցման դոսյեի 3-րդ մոդուլի Р.5 բաժին)
105. Դեղապատրաստուկների տվյալ խմբի մասնագիրը պետք է համապատասխանի Եվրասիական տնտեսական հանձնաժողովի կոլեգիայի 2018 թվականի սեպտեմբերի 7-ի թիվ 151 որոշմամբ հաստատված՝ Դեղապատրաստուկի որակին առնչվող նորմատիվ փաստաթղթի կազմման վերաբերյալ ձեռնարկի թիվ 1 հավելվածի պահանջներին՝ նոր ակտիվ դեղագործական բաղադրամասերի և քիմիական սինթեզի դեղապատրաստուկների մասնագրերի մասով, Եվրասիական տնտեսական հանձնաժողովի կոլեգիայի 2022 թվականի հոկտեմբերի 4-ի թիվ 138 որոշմամբ հաստատված՝ Խառնուկների պարունակության գնահատման և հսկողության մասով դեղամիջոցների հետազոտությունների (փորձարկումների) անցկացմանը ներկայացվող պահանջներին, ինչպես նաև Միության դեղագրքի՝ դեղաձևի յուրաքանչյուր տեսակին առնչվող պահանջներին։
106. Դեղապատրաստուկի մասնագիրը պետք է պարունակի ֆիզիկական, քիմիական և միկրոկենսաբանական որակի փորձարկումները և դեղապատրաստուկի կենսադեղագործական բնութագրերի գնահատումը, այսինքն՝ երաշխավորի դեղապատրաստուկի սահմանված բնութագրերի հսկողության ապահովումը։
107. Անհրաժեշտ է ապահովել դեղապատրաստուկի արդյունավետության վրա ազդելու ունակ՝ դրա որակի հետևյալ թերությունների նկատմամբ հսկողությունը՝
ա) բյուրեղագոյացում,
բ) սիներեզիս (փափուկ ձևից հեղուկի լուծահանումը կամ դուրսմղումը),
գ) կոնտեյների մեջ պատրաստի դեղապատրաստուկի ոչ միատարրություն (դրա բաղադրիչների նստվածքից առաջացած)։
108. Ինչ վերաբերում է տեղային կիրառության դեղապատրաստուկներին, ապա քայքայման արգասիքների պարունակության սահմանները որոշելու համար առավելագույն օրական դեղաչափի հաշվարկը չի կարող իրականացվել այն մեթոդիկաներով, որոնք պիտանի են պինդ պերօրալ դեղապատրաստուկերի կամ ներարկումների համար նախատեսված դեղապատրաստուկների համար։ Հաշվարկի ստանդարտ մեթոդիկաներից շեղումներն անհրաժեշտ է հիմնավորել՝ հաշվի առնելով անվտանգության հարցերը, ինչպես նաև հետևյալ գործոնները՝
ա) տեղային քսվող դեղապատրաստուկով բուժման համար պահանջվող տևողությունը և դրա քանակը սովորաբար տատանվում են ավելի շատ, քան պինդ պերօրալ դեղապատրաստուկերի կամ ներարկումների համար նախատեսված դեղապատրաստուկների դեպքում,
բ) մաշկին քսվող դեղապատրաստուկների կիրառումից հետո էքսպոզիցիայի մակարդակները համարվում են շատ ավելի քիչ, քան համակարգային էքսպոզիցիայով դեղապատրաստուկների կիրառումից հետո էքսպոզիցիայի մակարդակները։
109. Անհրաժեշտ է կիրառել նախազգուշական առավել խիստ միջոցներ՝ վնասված մաշկին քսվող դեղապատրաստուկների կամ ներթափանցման ուժեղացուցիչներ պարունակող պատրաստուկների դեպքում խառնուկների պարունակության համար ընդունելիության չափորոշիչները (մակարդակները) հաշվարկելիս։
110. Եթե մասնագրի մեջ ներառված են դեղապատրաստուկի կենսադեղագործական բնութագրերի հետազոտությունների համար ընդունելիության չափորոշիչներ (այսինքն՝ ազդող նյութի լուծվելը, ձերբազատումը՝ սինթետիկ մեմբրանի օգտագործմամբ և (եթե կիրառելի է)՝ մաշկի մեջ ներթափանցման հետազոտությունը), ապա դրանք անհրաժեշտ է հիմնավորել դեղապատրաստուկների այն սերիաների տվյալներով, որոնց համար անցկացվել են կլինիկական հետազոտություններ, և սահմանվել են բավարար արդյունավետություն և անվտանգություն։ Ընդունելիության չափորոշիչները պետք է միատեսակ լինեն դեղապատրաստուկի թողարկման ժամանակ և պիտանիության ժամկետի (պահպանման ժամկետի) ավարտին, եթե միայն այլ բան հիմնավորված չէ, և կլինիկական հետազոտությունների տվյալներով այլ բան հաստատված չէ։
15. Դեղապատրաստուկի կայունությունը
(գրանցման դոսյեի 3-րդ մոդուլի 3.2.Р.8 բաժին)
111. Պիտանիության ամբողջ ժամկետի (պահպանման ժամկետի) ընթացքում դեղապատրաստուկի որակը և կայուն բնութագրերն ապահովելու համար պիտանիության ժամկետի (պահպանման ժամկետի) սահմանումը պետք է հիմնվի դեղապատրաստուկի ֆիզիկական, քիմիական և միկրոկենսաբանական կայունության վրա, ինչպես նաև ազդող նյութի in vitro ձերբազատման վրա կամ դեղապատրաստուկի կենսադեղագործական բնութագրերի այլ փորձարկումների վրա։
112. Անհրաժեշտ է գնահատել դեղապատրաստուկի կայունության համար ռիսկի գործոնները (օրինակ՝ մասնիկների նստեցումը, աճը, ազդող նյութի բյուրեղային վիճակի փոփոխությունը կամ ջերմադինամիկական ակտիվության վրա պոտենցիալ ազդող այլ բնութագրեր, էմուլսային բնութագրերի փոփոխությունները)։ Համապատասխան փորձարկումներն անհրաժեշտ է ներառել կայունության հետազոտության մեջ ընդգրկված դեղապատրաստուկի որակի մասնագրի մեջ՝ ի լրումն դեղապատրաստուկի մասնագրի մեջ նախատեսված փորձարկումների։
113. Կայունության հետազոտության ժամանակ հարկավոր է հաշվի առնել նաև այնպիսի պարամետրեր (ռիսկի գործոններ), ինչպիսիք են դեղապատրաստուկը խառնելիս թանձրանալը և դեղապատրաստուկի ազդող նյութի միկրոկառուցվածքի մեջ փոփոխությունները։
114. Կայունության ծրագիրը պետք է ներառի դեղապատրաստուկի սթրեսային հետազոտությունները, որպեսզի գնահատվի դեղապատրաստուկի վրա պահպանման կոշտ պայմանների ազդեցությունը (օրինակ՝ ջերմաստիճանի փոփոխման ցիկլայնությունը՝ կրեմների և էմուլսիաների համար)։
115. Կայունության հետազոտության մեջ ընդգրկված որակի մասնագիրը պետք է ներառի այնպիսի փորձարկումներ, որոնք թույլ են տալիս գնահատել փաթեթավորման (խցանափակման) համակարգի պիտանիությունը։
116. Կայունության հետազոտությունների շրջանակներում անհրաժեշտ է հաստատել պահպանման հատուկ պայմանների (օրինակ՝ «չսառեցնե՛լ» պայմանի) հիմնավորվածությունը։
117. Պետք է կատարվի պատրաստի դեղապատրաստուկի համար կայունության ծրագիրը։ Անհրաժեշտ է, որպեսզի այս հետազոտություններն ունենան հիմնավորված տևողություն՝ հաշվի առնելով բուժման տևողությունը, դոզավորման ռեժիմը և փաթեթվածքի տարողունակությունը։ Չի թույլատրվում կայունության հետազոտության փոխարեն դեղապատրաստուկի կիրառման ցուցումների մեջ ներառել դրա չափից ավելի ծախսը կամ սահմանել չափազանց կարճ պիտանիության ժամկետներ (պահպանման ժամկետներ)։
V. Տեղային կիրառության դեղապատրաստուկների որակի համարժեքությունը
1. Տեղային կիրառության դեղապատրաստուկների որակի համարժեքության հիմնավորման նկատմամբ ընդհանուր մոտեցումը
118. Տեղային կիրառության դեղապատրաստուկների կենսահամարժեքության հետազոտությունը թույլատրվում է կիրառել համեմատման պատրաստուկների նկատմամբ դրանց թերապևտիկ համարժեքությունը հիմնավորելու համար՝ թերապևտիկ համարժեքության կլինիկական հետազոտությունների փոխարեն՝ պայմանով, որ այդ հետազոտության շրջանակներում վերլուծվել են դեղապատրաստուկի անվտանգությանը, արդյունավետությանը և որակին առնչվող ասպեկտները։
119. Ինչ վերաբերում է ըստ բաղադրության և դեղագործական-տեխնոլոգիական պարամետրերի պարզ դեղաձևերին (օրինակ՝ միաֆազ լուծույթներին, գելերին, քսուքներին), ապա թույլատրվում է միայն ցույց տալ որակի մասով համարժեքությունը (այսինքն՝ ընդլայնված դեղագործական համարժեքության կիրառումը)։
120. Ինչ վերաբերում է ըստ բաղադրության և դեղագործական-տեխնոլոգիական պարամետրերի առավել բարդ դեղաձևերին կամ այնպիսի օժանդակ նյութեր պարունակող դեղաձևերին, որոնք կարող են անմիջական ազդեցություն ունենալ ազդող նյութի կենսամատչելիության կամ դեղապատրաստուկի կենսադեղագործական բնութագրերի վրա, ապա, որպես կանոն, պահանջվում են ներթափանցման կինետիկայի և (եթե կիրառելի է) դեղադինամիկայի համարժեքության լրացուցիչ հետազոտություններ։
121. Դեղաձևի բաղադրությունը, դեղագործական-տեխնոլոգիական պարամետրերը և դեղապատրաստուկի դոզավորումը պետք է այնպիսին լինեն, որ համարժեքության հետազոտությունները և դրանց հետ կապված վերլուծական մեթոդիկաները լինեն բավականաչափ զգայուն, խտրականացնող, ճիշտ և ճշգրիտ՝ ներթափանցման կինետիկայի չափվող պարամետրի (պարամետրերի) կամ դեղադինամիկ պարամետրի (պարամետրերի) համար, որը քանակական բնութագրման է տրվում։
122. Սույն պահանջների 119-121-րդ կետերում նշված մոտեցումները կիրառելի չեն այն դեղապատրաստուկների համար,
ա) որոնք ունեն նեղ թերապևտիկ ինդեքս․
բ) որոնք ունեն դոզակախյալ համակարգային թունավորություն (բացառությամբ այն դեպքերի, երբ համարժեք համակարգային էքսպոզիցիան սահմանվում է դեղակինետիկ կենսահամարժեքության ստանդարտ հետազոտությունների օգնությամբ)
գ) որոնք ունեն չպարզված կամ ոչ հստակ այնպիսի մեխանիզմներ (օրինակ՝ լուծվելը, ձերբազատումը, դիֆուզիան և ներթափանցման կինետիկան), որոնց օգնությամբ ազդող նյութը հասնում է իր ազդեցությունն իրականացնելու տեղին․
դ) որոնց կիրառման եղանակը չի համընկնում համեմատման պատրաստուկի կիրառման եղանակի հետ․
ե) որոնք հնարավոր չէ ամբողջությամբ բնութագրել որակի ցուցանիշների գնահատման տեսանկյունից (օրինակ՝ դեղաձևի բաղադրության և դեղագործական-տեխնոլոգիական պարամետրերի բարդությամբ, մեթոդաբանական սահմանափակումներով պայմանավորված)․
զ) որոնց դեպքում հնարավոր չէ բավարար հուսալիությամբ չափել քանակական բնութագրման տրվող՝ ներթափանցման կինետիկայի պարամետրերը կամ դեղադինամիկ պարամետրերը (օրինակ՝ հաշվի առնելով սահմանափակ դիֆուզիան կամ փորձարկումների մեթոդիկաների ոչ զգայունությունը)․
է) որոնց առնչությամբ in vitro և in vivo ներթափանցման կինետիկայի կամ դեղադինամիկայի հետազոտություններ չեն անցկացվում, կամ որոնց դեպքում հնարավոր չէ բավարար հավաստիությամբ կանխատեսել ակնկալվող համարժեք կլինիկական պատասխան (օրինակ՝ բաց վերքերի և խոցերի բուժման համար կիրառվող դեղապատրաստուկները)։
123. Սույն պահանջների 122-րդ կետում նշված դեղապատրաստուկների խմբերի համար անհրաժեշտ է թերապևտիկ համարժեքության կլինիկական հետազոտությունների անցկացում։
2. Ընդլայնված դեղագործական համարժեքությունը
(տեղային կիրառության դեղապատրաստուկների որակի համարժեքության հիմնավորման նկատմամբ ընդլայնված մոտեցումը)
124. Համարժեքության ապացույցը պահանջում է ներկայացնել հետազոտվող դեղապատրաստուկի որակի մասին համեմատական տվյալներ՝ համեմատման պատրաստուկի համապատասխան տվյալներով։ Այդ կապակցությամբ գրանցման դոսյեում դեղապատրաստուկի որակի բնութագրերի համարժեքությունը նկարագրելիս և հիմնավորելիս դիմողը պետք է ներկայացնի սույն պահանջների 72-74-րդ և 161-169-րդ կետերով նախատեսված տեղեկությունները։
125. Անհրաժեշտ է համեմատել դեղապատրաստուկի դեղաձևը, որակական և քանակական կազմը, միկրոկառուցվածքը և ֆիզիկական հատկությունները, կենսադեղագործական բնութագրերը (օրինակ՝ լուծվելը, in vitro ձերբազատման փորձարկումը և կիրառության եղանակը)։ Ինչ վերաբերում է ցնդող լուծիչի հիմքով տեղային կիրառության դեղապատրաստուկներին, ապա անհրաժեշտ է նաև համեմատել քսելիս այդ պատրաստուկի փոխակերպվելու մասին տվյալները։
126. Դեղապատրաստուկների որակի համարժեքությունն անհրաժեշտ է միևնույն բաղադրությամբ և արտադրության եղանակով դեղապատրաստուկի այնպիսի սերիաների վրա գնահատել, որոնք բաղադրությամբ և արտադրության եղանակով նույնական են արդյունաբերական սերիաներին կամ մոտ են դրանց։ Եթե արտադրության գործընթացի և սարքավորումների մեջ փոփոխություններ չկան, և ներկայացվել է այն բանի ապացույցը, որ մասշտաբավորումը չի ազդում պատրաստուկի որակի վրա, ապա դեղապատրաստուկի բնութագրերի սահմանման և համեմատման պատրաստուկի հետ դրա համադրման նպատակով՝ որպես այլընտրանքային տարբերակ, թույլատրվում է օգտագործել փորձաարդյունաբերական մասշտաբի այնպիսի սերիաներ, որոնց ծավալը կազմում է արդյունաբերական մասշտաբի սերիայի ծավալի առնվազն 1/10-ը։
127. Չնայած այն բանին, որ դեղապատրաստուկի գրանցման դիմումը ներկայացնելու պահին դիմողի տրամադրության տակ կան նրա կողմից արտադրված դեղապատրաստուկի՝ սահմանափակ թվով հասանելի ներկայացուցչական սերիաներ, գրանցման դոսյեում անհրաժեշտ է ներկայացնել հետազոտվող դեղապատրաստուկի և համեմատման պատրաստուկի առնվազն երեք տարբեր սերիաների համեմատության արդյունքները։
128. Վիճակագրական գնահատում կատարելու հնարավորության համար դեղապատրաստուկի նմուշների քանակը պետք է կազմի առնվազն 12 միավոր՝ յուրաքանչյուր փորձի մեջ չափումների ամեն սերիայի համար։
129. Ստացված տվյալներով նաև պետք է հաստատվի, որ դեղապատրաստուկի բնութագրերը կայուն և համարժեք են մնում արտադրողի կողմից նշված՝ դեղապատրաստուկի պիտանիության ժամկետի (պահպանման ժամկետի) ամբողջ ընթացքում։
3. Ընդլայնված դեղագործական համարժեքության ընդունելիության չափորոշիչները
130. Հետազոտվող պատրաստուկի և համեմատման պատրաստուկի միջև ընդլայնված դեղագործական համարժեքության կիրառումը թույլատրվում է սույն պահանջների 131-134-րդ կետերում նշված բոլոր պայմանների կատարման դեպքում։
131. Պետք է ապահովվի դեղաձևի նույնականությունը, այսինքն՝ հետազոտվող դեղապատրաստուկը պետք է ունենա միևնույն դեղաձևը, լուծույթի մեջ կամ միևնույն չխառնվող ֆազերում ազդող նյութի միևնույն վիճակով, ինչ համեմատման պատրաստուկը։
132. Պետք է ապահովվի հետազոտվող դեղապատրաստուկի և համեմատման պատրաստուկի որակական և քանակական կազմի նմանությունը՝ հաշվի առնելով հետևյալ գործոնները՝
ա) ազդող նյութի պարունակությունը և դրա աղային ձևը պետք է լինեն միատեսակ,
բ) օժանդակ նյութերի որակական կազմը՝ ներառյալ դրանց մաքրության դասը, և անհրաժեշտության դեպքում՝ օժանդակ նյութերի քանակական կազմը պետք է լինեն միատեսակ (եթե դիմողն այլ մոտեցման հնարավորություն չի հիմնավորել)։ Ընդ որում, բոլոր դեպքերում օժանդակ նյութերը, որոնց գործառույթը ազդող նյութի լուծելիության, ջերմադինամիկական ակտիվության կամ կենսամատչելիության վրա ազդեցությունն է, և դեղապատրաստուկի կենսադեղագործական բնութագրերը պետք է լինեն որակապես միատեսակ։ Օժանդակ նյութերի նոմինալ քանակական կազմը պետք է լինի միատեսակ կամ տարբերվի ոչ ավելի, քան ± 5 %-ով։ Օրինակ, եթե համեմատման պատրաստուկի մեջ օժանդակ նյութի պարունակությունն ըստ զանգվածի 2 % է, ապա հետազոտվող պատրաստուկի մեջ դրա պարունակության թույլատրելի ընդգրկույթը կազմում է 1,9-2,1 %՝ ըստ պատրաստուկի զանգվածի․
գ) թույլատրվում է որակական կազմի մեջ փոփոխություն այն օժանդակ նյութերի համար, որոնց հիմնական գործառույթը կապված չէ դեղապատրաստուկի կենսադեղագործական բնութագրերի ապահովման կամ դրա ներմուծման հետ (օրինակ՝ այնպիսի օժանդակ նյութերի, ինչպիսիք են հակաօքսիդանտները, հակամանրէային կոնսերվանտները, ներկանյութերը, որոնք դեղաձևի բաղադրության մեջ չունեն այլ գործառույթներ կամ այնպիսի ազդեցություն, որն ազդում է ազդող նյութի լուծելիության, ջերմադինամիկական ակտիվության կամ կենսամատչելիության և դեղապատրաստուկի կենսադեղագործական բնութագրերի վրա)։ Համեմատման պատրաստուկի բաղադրության հետ համեմատած՝ դեղապատրաստուկի բաղադրության մեջ օժանդակ նյութերի փոխարինման դեպքում թույլատրվում է կիրառել լայնորեն օգտագործվող (համընդհանուր ճանաչված, ստանդարտ) օժանդակ նյութեր սովորական քանակներով․ ընդ որում, հարկավոր է գրանցման դոսյեի կազմի մեջ ներկայացնել հնարավոր այնպիսի փոխազդեցությունների վերլուծություն, որոնք ազդում են դեղապատրաստուկի կենսամատչելիության և (կամ) լուծելիության բնութագրերի վրա․
դ) թույլատրվում է պարաֆինի հոմոլոգ հանդիսացող օժանդակ նյութերի օգտագործումը՝ պայմանով, որ դրանք կրող կամ մեղմացնող նյութի գործառույթ են կատարում և չեն ազդում ազդող նյութի լուծելիության, ջերմադինամիկական ակտիվության կամ կենսամատչելիության և դեղապատրաստուկի կենսադեղագործական բնութագրերի վրա․
ե) սույն կետի «գ» և «դ» ենթակետերում նշված օժանդակ նյութերի համար թույլատրվում է օժանդակ նյութերի համար նշված արժեքից դրանց նոմինալ քանակական կազմի տարբերություն՝ ± 10 %-ի սահմաններում․
զ) հետազոտվող դեղապատրաստուկի բաղադրության մեջ ներմուծված այլընտրանքային օժանակ նյութը չպետք է ազդեցություն ունենա տեղային տանելիության կամ անվտանգության վրա։ Անհրաժեշտ է հաստատել, որ այդ օժանդակ նյութերը չունեն այլ գործառույթներ կամ այնպիսի ազդեցություն, որն ազդում է արտադրանքի դեղապատրաստուկի լուծելիության, ջերմադինամիկական ակտիվության, կենսադեղագործական բնութագրերի վրա։ Այս դեպքերում բիովեյվերն անհնար է հիմնավորել, և դրա կիրառումը չի թույլատրվում։
133. Պետք է ապահովվի ընդունելիության չափորոշիչներին հետազոտվող դեղապատրաստուկի համապատասխանությունը՝
ա) որակի քանակական ցուցանիշների համար հետազոտվող պատրաստուկի և համեմատման պատրաստուկի միջին արժեքների տարբերության դեպքում 90 %-անոց վստահելի միջակայքերը պետք է գտնվեն համեմատման պատրաստուկի որակի համապատասխան ցուցանիշների միջին արժեքների ± 10 %-ին հավասար ընդունելիության չափորոշչի սահմաններում՝ պայմանով, որ փորձարարական տվյալների բաշխումը համապատասխանում է նորմալ բաշխման օրենքին․
բ) հետազոտվող պատրաստուկի և համեմատման պատրաստուկի որակի որակական ցուցանիշների գնահատման արդյունքները պետք է լինեն միատեսակ։
134. Պետք է ապահովվի համեմատման պատրաստուկի կիրառության եղանակին հետազոտվող դեղապատրաստուկի կիրառության եղանակի նմանությունը։ Կիրառության եղանակը և կիրառության (պատրաստուկի դոզավորման, քսելու) համար օգտագործվող արտադրատեսակները պետք է լինեն նման և հետազոտվող պատրաստուկն ու համեմատման պատրաստուկը քսելու դեպքում պետք է ապահովեն դրանց նույնական դեղաչափերի մատակարարումը։ Եթե կիրառության ընթացքում տեղի է ունենում դեղապատրաստուկի փոխակերպում, ապա հետազոտվող պատրաստուկի և համեմատման պատրաստուկի մնացորդները պետք է մնան ըստ իրենց որակի համարժեք՝ ընդլայնված դեղագործական համարժեքության տեսանկյունից։
VI. Տեղային կիրառության դեղապատրաստուկների արդյունավետության մասով համարժեքության ապացույցը
1. Արդյունավետության համարժեքության հետազոտությունների մեթոդները
135. Կլինիկական թերապևտիկ հետազոտության փոխարեն համարժեքության հետազոտությունների անցկացման համար կիրառվում են հետևյալ մեթոդները՝
ա) ներթափանցման կինետիկայի հետազոտությունը,
մաշկի մեջ in vitro ներթափանցման հետազոտությունը՝ սույն պահանջների թիվ 2 հավելվածին համապատասխան,
եղջերային շերտի փորձանմուշներ վերցնելը (կպչուն ժապավենով քերումը)՝ թիվ 3 հավելվածով սահմանված մեթոդիկային համապատասխան,
դեղակինետիկ կենսահամարժեքության հետազոտությունը։
Նշված հետազոտությունները թույլ են տալիս սահմանել չվնասված մաշկի վրա քսվող դեղապատրաստուկների ազդող նյութի ներթափանցման կինետիկայի համարժեքությունը։
Մարդու մասնակցությամբ դեղակինետիկ կենսահամարժեքության հետազոտությունները պետք է անցկացվեն այն դեպքում, եթե ազդող նյութը քանակապես որոշվող համակարգային կենսամատչելիություն ունի։ Մաշկի մեջ in vitro ներթափանցման հետազոտությունները հարկավոր է անցկացնել այն դեպքերում, երբ ազդող նյութը դիֆուզվում է մաշկի միջով՝ թույլ տալով դա քանակապես որոշել ընդունող անալիտիկ բջջի մեջ։ Եղջերային շերտի նմուշառումը (կպչուն ժապավենով քերումը) իրականացվում է այն դեպքերում, երբ դիտվում է եղջերային շերտի միջով ազդող նյութի՝ քանակապես որոշվող բավարար դիֆուզիա։
Հետազոտությունների այլ մեթոդներ, ինչպիսիք են միկրոդիալիզը և Ռամանովյան կոնֆոկալ միկրոսկոպիան, բավարար չափով ուսումնասիրված չեն՝ համարժեքության մասին հենանշային տվյալներ ստանալու նպատակներով օգտագործման համար, սակայն կարող են օժանդակ դեր ունենալ․
բ) դեղադինամիկ հետազոտությունները,
կորտիկոստերոիդների համար վազոկոնստրիկցիայի անալիզը,
հակասեպտիկ և հակամանրէային դեղապատրաստուկների հետազոտությունները։
Նշված հետազոտությունները թույլ են տալիս սահմանել չվնասված մաշկի վրա քսվող դեղապատրաստուկների ազդող նյութի դեղադինամիկ ակտիվության համարժեքությունը։ Այլ դեղապատրաստուկների դեղադինամիկ հետազոտությունները բավարար չափով չեն օգտագործվել համարժեքության մասին հենանշային տվյալներ ստանալու համար, սակայն կարող են օժանդակ դեր ունենալ։ Մոդելը պետք է լինի բավանակաչափ հուսալի, և պետք է ցույց տրվի դրա կապը թերապևտիկ իրավիճակի հետ։
2. Կենսահամարժեքությունը հիմնավորելու դեպքում հաշվի առնվող ընդհանուր գործոնները
Փոփոխականության հարցերը
136. Հետազոտության պայմանները պետք է ստանդարտացվեն, որպեսզի նվազեցվի բոլոր ազդող գործոնների փոփոխականությունը՝ բացառությամբ հետազոտվող դեղապատրաստուկների հետ կապված փոփոխականության։ Հարկավոր է անցկացնել պիլոտային հետազոտություններ՝ հետազոտության ընթացակարգեր մշակելու և դրանք օպտիմալացնելու համար։
137. Մեկանգամյա դեղաչափի կիրառմամբ հետազոտություններում դեղապատրաստուկը քսելը փոփոխականության կարևոր աղբյուր է։ Դեղաչափը քսելու պրոցեդուրան (և եղջերային շերտի նմուշառման ժամանակ փորձանմուշներ վերցնելու պրոցեդուրան (կպչուն ժապավենով քերումը)) պետք է համապատասխանի հետևյալ պահանջներին՝
ա) լինի կատարման համար հարմար,
բ) մանրամասն նկարագրված լինի հետազոտության ընթացակարգերում,
գ) համապատասխանի համեմատման պատրաստուկի ընդհանուր բնութագրի մեջ նշված՝ դեղապատրաստուկի կիրառության պրոցեդուրային,
դ) մանրակրկիտ հսկվի (օրինակ՝ քսելու համար կաղապարանմուշներ օգտագործելու կամ պրոցեդուրային հատուկ վերապատրաստում անցած մեկ կամ մի քանի բժշկական աշխատողների ներգրավելու միջոցով),
դ) լինի վալիդացված,
ե) թույլ տա միանշանակ սահմանել դեղապատրաստուկի փաստացի քսած դեղաչափը։
138. Հետազոտության տևողությունը պետք է լինի բավարար՝ դիֆուզիան քանակապես դիտարկելու համար, սակայն օպտիմալ սահմանափակ՝ հետազոտության պայմաններում այն փոփոխությունները նվազեցնելու համար, որոնք կարող են բնականոն ի հայտ գալ՝ կինետիկ պրոֆիլներում առաջացնելով տեղաշարժեր (օրինակ՝ մաշկի դեսկվամացիան [շերտազատումը], ամբողջականության կորուստը, հակադարձ դիֆուզիան, քսված դեղաչափի պատահական կորուստը կամ փոխանցումը)։
139. Քանի որ համարժեքության ուսումնասիրման մեթոդներով միատիպ կատարման համար բարդ մի քանի փուլ է նախատեսվում, հետազոտությունները պետք է անցկացվեն հատուկ վերապատրաստում անցած փորձառու աշխատակիցների կողմից, և կատարվեն հետազոտության ընթացակարգին ու հետազոտական կենտրոնի որակի ապահովման համակարգի պահանջներին խստագույն համապատասխանությամբ։
140. Մաշկի մեջ in vitro ներթափանցման և եղջերային շերտի նմուշառման (կպչուն ժապավենով քերումը) հետազոտությունները պետք է ներառեն բացասական հսկողությունները, որոնք համարժեք չեն հետազոտվող դեղապատրաստուկին և համեմատման պատրաստուկին։
141. Մաշկի միջանհատական կամ միջդոնորային փոփոխականությունն անհրաժեշտ է նվազեցնել հետազոտության խաչաձև դիզայնի միջոցով։
142. Մաշկի մեջ in vitro ներթափանցման և եղջերային շերտի նմուշառման (կպչուն ժապավենով քերումը) հետազոտությունների անցկացման դեպքում հետազոտվող պատրաստուկը, համեմատման պատրաստուկը և բացասական հսկողությունն անհրաժեշտ է հետազոտել կամավորների կամ դոնորային մաշկի միևնույն խմբի վրա։
143. Ինչ վերաբերում է ցածր դոզավորմամբ և սահմանափակ դիֆուզիայով դեղապատրաստուկներին, ապա ազդող նյութի՝ նմուշներում ակնկալվող շատ ցածր կոնցենտրացիաները կարող են փոփոխականության էական աղբյուր լինել։ Անհրաժեշտ է կիրառել զգայուն անալիտիկ մեթոդիկաներ (օրինակ՝ տանդեմային զանգվածասպեկտրաչափությամբ քրոմատագրումը)։
144. Անալիտիկ մեթոդիկաները պետք է վալիդացվեն Կանոնների թիվ 6 հավելվածին համապատասխան:
Դեղապատրաստուկի դեղաչափը
145. Համարժեքության հետազոտություններում կիրառվող դեղապատրաստուկի դեղաչափը պետք է հիմնավորվի՝ հաշվի առնելով՝
ա) քսվող ազդող նյութի զանգվածը,
բ) օգտագործվող դեղապատրաստուկի զանգվածը կամ ծավալը,
գ) քսելու հատվածը (տարածքը),
դ) համեմատման պատրաստուկի ընդհանուր բնութագրի մեջ նշված դեղաչափի մեծությունը։
146. Քսելու հատվածը (տարածքը) պետք է թույլ տա ապահովել դեղապատրաստուկի ազդող նյութի աբսորբման ցուցանիշների քանակական գնահատումը։ Թույլատրվում է, որ քսելու հատվածը (տարածքը) գերազանցի քսելու հատվածի՝ համեմատման պատրաստուկի ընդհանուր բնութագրի մեջ նշված չափը, եթե դա կապված է անալիզի մեթոդիկայի պահանջվող անալիտիկ զգայունությունն ապահովելու անհրաժեշտության հետ և հետազոտության սուբյեկտների անվտանգության տեսանկյունից մտահոգությունների տեղիք չի տալիս։
147. In vivo հետազոտությունների անցկացման դեպքում անհրաժեշտ է հիմնավորել դեղապատրաստուկը քսելու համար նախատեսված մաշկի հատվածի (տարածքի) ընտրությունը։
Հետազոտության սուբյեկտների ընտրանքի չափերը
148. Հետազոտության սուբյեկտների թիվը պետք է հիմնված լինի ընտրանքի չափի համապատասխան հաշվարկի վրա և կազմի առնվազն 12 մարդ։
149. Մաշկի մեջ in vitro ներթափանցման հետազոտությունների անցկացման դեպքում մաշկի դոնորների թիվը կարող է լինել 12 մարդուց պակաս, եթե դա հիմնավորված է դիմողի կողմից։
150. Մաշկի մեջ in vitro ներթափանցման և եղջերային շերտի նմուշառման (կպչուն ժապավենով քերումը) հետազոտությունների անցկացման դեպքում անհրաժեշտ է կիրառել հետազոտությունների ռեպլիկատիվ [կրկնապատկող] դիզայնը։ Հետազոտվող դեղապատրաստուկներից յուրաքանչյուրի (հետազոտվող պատրաստուկ և համեմատման պատրաստուկ) և հսկիչ արտադրանքի համար սահմանվածների նվազագույն թիվը պետք է լինի առնվազն 24։
151. Հետազոտության յուրաքանչյուր սուբյեկտի համար ժամանակային կետերի քանակը և փորձանմուշները վերցնելու հաճախականությունը կամ կրկնողությունները պետք է բավարար լինեն, որպեսզի բնութագրեն ազդող նյութի կինետիկ պրոֆիլը և սահմանեն համարժեքության պարամետրերը։
Ընդունելիության չափորոշիչները
152. Համարժեքության պարամետրերն ընդունելիության չափորոշիչներին համապատասխանում են այն պայմանով, որ հետազոտվող պատրաստուկի և համեմատման պատրաստուկի միջին արժեքների հարաբերակցության 90 %-անոց վստահելի միջակայքը գտնվում է 80,00-125,00 %-ին հավասար միջակայքում, եթե դիմողի կողմից ընդունելիության չափորոշիչների այլ սահմաններ չեն հիմնավորվել։
153. 90 %-անոց վստահելի միջակայքի համար ընդունելիության չափորոշիչների սահմանների ընդլայնումը (առավելագույնը՝ մինչև 69,84-143,19 %) թույլատրվում է ներանհատական կամ ներդոնորային բարձր փոփոխականության դեպքում, որը դիտվում է ցածր դոզավորմամբ և սահմանափակ դիֆուզիայով դեղապատրաստուկների դեպքում, եթե դա կլինիկական տեսանկյունից հիմնավորված է։ Ընդունելիության ընդլայնված չափորոշիչների գնահատումը կատարվում է Կանոնների III բաժնի 11-րդ ենթաբաժնին համապատասխան։
Հետազոտական լաբորատորիաներում տեղային կիրառության դեղապատրաստուկների համարժեքության գնահատման դեպքում որակի ապահովումը
154. Անհրաժեշտ է ապահովել, որպեսզի հետազոտություններն իրականացնող լաբորատորիայի անձնակազմն ունենա կենսաանալիտիկ հետազոտությունների ոլորտում անհրաժեշտ որակավորում, և լաբորատորիայում ներդրված լինի որակի արդյունավետ համակարգ, որով նախատեսվում է՝
ա) որակի համակարգերից որևէ մեկի՝ լաբորատորիայի համապատասխանության հայտարարագրում,
բ) լաբորատորիայի տեխնիկական հագեցվածության և կիրառվող մեթոդների հուսալիության մասով լաբորատորիայի որակի համակարգի պարբերական ներքին աուդիտների անցկացում՝ արդյունքների փաստաթղթավորմամբ,
գ) անձնակազմի որակավորման հաստատում այն պետության օրենսդրությամբ սահմանված կարգով, որտեղ փորձարկումները կատարվում են։
3. Ներթափանցման կինետիկայի ուսումնասիրման մեթոդիկաները
155. Մաշկի մեջ ազդող նյութի ներթափանցման կինետիկայի ուսումնասիրումը կատարվում է հետևյալ երեք մեթոդներից մեկով՝
մաշկի մեջ in vitro ներթափանցման հետազոտությունը՝ սույն պահանջների թիվ 2 հավելվածին համապատասխան,
եղջերային շերտի փորձանմուշներ վերցնելը (կպչուն ժապավենով քերումը)՝ սույն պահանջների թիվ 3 հավելվածին համապատասխան,
դեղակինետիկ կենսահամարժեքության հետազոտությունը։
4. Դեղադինամիկ հետազոտությունները
Կորտիկոստերոիդները
156. Կորտիկոստերոիդների համար վազոկոնստրիկցիայի անալիզը (թիվ 4 հավելվածի համաձայն անցկացվող) թույլատրվում է ներկայացնել գրանցման դոսյեում՝ կենսահամարժեքության հետազոտության փոխարեն։
Մաշկի հակասեպտիկները
157. Մաշկի հակասեպտիկ դեղապատրաստուկների որակի և ակտիվության ցուցանիշները պետք է համապատասխանեն Միության դեղագրքի «Հակամանրէային կոնսերվանտների արդյունավետությունը (203010001)» 2.3.1.1 հոդվածի պահանջներին։
158. Եթե հետազոտվող հակասեպտիկ դեղապատրաստուկի կիրառության եղանակը համեմատման պատրաստուկի ընդհանուր բնութագրի մեջ նշված է ոչ հստակ, կամ կիրառության եղանակը համեմատման պատրաստուկի կիրառության եղանակի հետ համեմատած նոր է, ապա անհրաժեշտ է կամավորների վրա in vivo հետազոտություններ կատարել։ Այդ հետազոտությունների շրջանակներում անցկացվում է մաշկի հատվածների վրա կամավորի էնդոգեն ֆլորայի հետազոտություն՝ մաշկը հակասեպտիկ դեղապատրաստուկներով մշակելուց առաջ և հետո։ ԳԱՄ ցուցանիշների նվազման համարժեքության չափորոշիչները՝ log-միավորներով արտահայտված, պետք է հիմնավորվեն դիմողի կողմից։
159. Եթե հակասեպտիկ դեղապատրաստուկը նախատեսված է ինվազիվ բժշկական պրոցեդուրաներ կատարելուց առաջ կիրառության համար, ապա թույլատրվում է ներկայացնել այդ հակասեպտիկ դեղապատրաստուկի այն գնահատման արդյունքները, որոնք կատարվել են սանիտարական միջոցառումների ոլորտում Միության մարմինների ակտերի կամ անդամ պետությունների համապատասխան ակտերի պահանջներին համապատասխան։
Մաշկի վարակների բուժման համար նախատեսված հակամանրէային դեղապատրաստուկները
160. Վարակող դեղաչափով ինոկուլացված [պատվաստված] մաշկի վրա դեղապատրաստուկի հակասեպտիկ ազդեցության համարժեքության հետազոտությունների և դրա հետագա in vitro դեկոլոնիզացիայի արդյունքները թույլատրվում է համարժեքության այլ հետազոտությունների արդյունքների հետ միասին ներկայացնել որպես հակասեպտիկ դեղամիջոցների ազդեցության արդյունավետության համարժեքության ապացույցներ՝ այդ հետազոտությունների պատշաճ վալիդացման դեպքում։
VII. Տեղային կիրառության դեղապատրաստուկների անվտանգության մասով համարժեքությունը
161. Անվտանգությունը և տեղային տանելիությունը կարող են հաստատվել դեղապատրաստուկի հայտնի ազդող նյութի դեպքում գիտական բժշկական տվյալների հիման վրա և դրա բաղադրության մեջ միայն լավ ուսումնասիրված օժանդակ նյութեր օգտագործելու դեպքում։
162. Այն դեպքում, երբ այդ դեղապատրաստուկների համար ցույց է տրված որակի ցուցանիշներին առնչվող համարժեքությունը, անվտանգության և տեղային տանելիության համարժեքության հետազոտություններ ներկայացնել չի պահանջվում։
163. Ներթափանցման կինետիկայի համարժեքության հետազոտություններում սահմանված համարժեքությունը թույլատրվում է կիրառել որպես այն բանի հաստատում, որ ազդող նյութի այն քանակը, որը հետազոտվող դեղապատրաստուկի կիրառության ժամանակ հասնում է ազդեցության և (կամ) համակարգային շրջապտույտի տեղին, համանման է համեմատման պատրաստուկի ազդող նյութի քանակին։
164. Ինչ վերաբերում է տեղային ազդեցությամբ տեղային կիրառության դեղապատրաստուկներին, որոնց ազդող նյութը համակարգային կենսամատչելիություն ունի, ապա կենսահամարժեքության հետազոտություններն ինչպես արդյունավետության, այնպես էլ անվտանգության ապացույց են։
165. Սույն բաժնի դրույթները չեն կիրառվում դոզակախյալ համակարգային թունավորություն ունեցող դեղապատրաստուկների առնչությամբ։ Դեղապատրաստուկների տվյալ խմբի համար անհրաժեշտ է անցկացնել տեղային տանելիության և կլինիկական անվտանգության հետազոտություններ։ Եթե այդ դեղապատրաստուկների դեպքում համակարգային էքսպոզիցիան չափելի է և թույլ է տալիս եզրահանգում կատարել այն մասին, որ դա ավելի բարձր չէ, քան համեմատման պատրաստուկի դեպքում, բավական է անցկացնել կենսահամարժեքության հետազոտություններ, որոնք ցույց են տալիս այդ դեղապատրաստուկների համակարգային դեղակինետիկայի պրոֆիլների նմանությունը։
VIII. Տեղային կիրառության դեղապատրաստուկների համար կենսահամարժեքության հաստատման սպեցիֆիկ արձանագրությունները
166. Տեղային կիրառության դեղապատրաստուկների համար կենսահամարժեքության հետազոտությունների սպեցիֆիկ արձանագրություններ (այսուհետ՝ հետազոտության սպեցիֆիկ արձանագրություն) մշակելիս և կենսահամարժեքության հետազոտություններ ընտրելիս պետք է հաշվի առնվեն հետևյալ գործոնները՝
ա) դեղապատրաստուկի դեղաձևը,
բ) դեղապատրաստուկի դեղաձևի բաղադրությունը և դեղագործական-տեխնոլոգիական պարամետրերը,
գ) ազդող նյութի լուծվելը և ձերբազատումը,
դ) մաշկի մեջ ազդող նյութի դիֆուզիան և ազդեցության տեղը։
167. Անհրաժեշտ է ներկայացնել և հիմնավորել հետազոտության սպեցիֆիկ պատրաստված արձանագրությունը, որի մեջ ներառված են հետազոտությունների մեթոդները և դրանց ընդունելիության չափորոշիչները։ Այդ արձանագրությունը պետք է պատրաստված լինի նախքան կենսահամարժեքության հետազոտությունների անցկացումն սկսելը։ Անհրաժեշտ է տրամադրել դեղապատրաստուկի վերաբերյալ գոյություն ունեցող բոլոր դրական և բացասական տվյալները։
168. Դեղապատրաստուկի ուսումնասիրման արդյունքներով դրա կենսահամարժեքության մասին եզրահանգում կարելի է անել, եթե հետազոտության ստացված արդյունքներն ի սկզբանե խստագույնս համապատասխանում են հետազոտության սպեցիֆիկ արձանագրության մեջ սահմանված ընդունելիության չափորոշիչներին։
169. Հետազոտության սպեցիֆիկ արձանագրությունը պետք է ներառի՝
ա) թերապևտիկ համարժեքության կլինիկական հետազոտություն անցկացնելու անհնարինության հիմնավորումը,
բ) դեղապատրաստուկի առնչությամբ սույն պահանջների դրույթները կիրառելու թույլատրելիության հիմնավորումը,
գ) դեղապատրաստուկի անվտանգության մասով համարժեքության հետազոտություններ կատարելու անհնարինության հիմնավորումը,
դ) դեղապատրաստուկի ընդլայնված դեղագործական համարժեքության և դրա կիրառության եղանակի համարժեքության հետազոտությունների արդյունքները,
ե) ներթափանցման կինետիկայի համարժեքության համապատասխան հետազոտության արդյունքները, եթե մաշկի միջով ազդող նյութի դիֆուզիան անհրաժեշտ է արդյունավետության ապահովման համար, և հետազոտության (հետազոտությունների) մեթոդի ընտրության հիմնավորումը։ Որպես այլընտրանք՝ թույլատրվում է ներկայացնել ներթափանցման կինետիկայի համարժեքության հետազոտությունների կատարման անհնարինության հիմնավորումը,
զ) դեղադինամիկ հետազոտությունների արդյունքները, եթե այդ հետազոտությունների անցկացումը հնարավոր է տվյալ ազդող նյութի համար և հիմնավորված է դեղապատրաստուկի համարժեքության գնահատման տեսանկյունից։ Թույլատրվում է կիրառել հետազոտությունների նորարարական մեթոդիկաներ, եթե դրանք պատշաճ մշակված և վալիդացված են։
IX. Բիովեյվերները
1. Դասակարգման կենսադեղագործական համակարգի վրա հիմնված բիովեյվերը
170. Ներթափանցման կինետիկայի կամ դեղադինամիկայի համարժեքության մասին տվյալները ներկայացնելու անհրաժեշտությունից հրաժարվելն ընդունելի է ստորև նշվածների համար՝
ա) միաֆազ հիմքով, ըստ բաղադրության և դեղագործական-տեխնոլոգիական պարամետրերի պարզ դեղաձևերի, որոնց մեջ ազդող նյութը լուծույթի կամ կախույթի մեջ է (օրինակ՝ մաշկի լուծույթների, միաֆազ գելերի և քսուքների, մաշկի կախույթների),
բ) դեղապատրաստուկների, որոնք նախատեսված են ազդող նյութը բացառապես մաշկի մակերևույթին քսելու համար՝ առանց դրա աբսորբման։ Այսպիսի դեպքերում բավարար են ընդլայնված դեղագործական համարժեքության հետազոտությունների արդյունքները՝ ներառյալ գելերի, քսուքների և կախույթների համար ազդող նյութի in vitro ձերբազատումը, և ներմուծման համարժեքության հետազոտությունների արդյունքները։
171. Արդյունավետության մասով համարժեքության հետազոտություններն անհրաժեշտ են այն դեպքում, եթե դեղապատրաստուկը՝
ա) իր բաղադրության մեջ պարունակում է այնպիսի օժանդակ նյութեր, որոնք ազդում են ազդող նյութի կենսամատչելիության, դեղապատրաստուկի կենսադեղագործական բնութագրերի վրա կամ ուժեղացնում են ազդող նյութի ներթափանցումը,
բ) իր բաղադրության մեջ պարունակում է բարդ կառուցվածք ունեցող օժանդակ նյութեր, որոնց դեպքում արտադրության տարբեր եղանակները կամ մաքրության դասերը կարող են ազդել դեղապատրաստուկի in vivo կենսադեղագործական բնութագրերի կամ ազդող նյութի կայունության վրա,
գ) ունի օժանդակ նյութերի որակապես այլ՝ համեմատման պատրաստուկից տարբերվող բաղադրություն։
172. Կենսահամարժեքության հետազոտությունների տվյալները ներկայացնել պահանջվում է այն դեպքում, երբ դեղապատրաստուկներն ունեն տեղային ազդեցություն, և ազդող նյութն այնպիսի համակարգային կենսամատչելիությամբ է օժտված, որը կարող է քանակապես չափվել։
2. Դեղաչափերի բիովեյվերը
173. Եթե գրանցման համար ներկայացվում է հետազոտվող դեղապատրաստուկի մի քանի դեղաչափ, ապա բավական է սահմանել միայն մեկ դեղաչափի կենսահամարժեքությունը, որն ամենազգայունն է տարբեր դեղաչափերով դեղապատրաստուկների միջև հնարավոր տարբերությունները հայտնաբերելու առումով։
174. Եթե հայտարարվել է լրացուցիչ դեղաչափի (դեղաչափերի) համար բիովեյվերի կիրառության մասին, ապա պետք է կատարվեն հետևյալ բոլոր պահանջները՝
ա) հետազոտվող դեղապատրաստուկների տարբեր դեղաչափեր արտադրվում են միևնույն արտադրական գործընթացի օգնությամբ,
բ) հետազոտվող դեղապատրաստուկների տարբեր դեղաչափեր միատեսակ որակական կազմ ունեն,
գ) հետազոտվող դեղապատրաստուկների տարբեր դեղաչափերի որակական և քանակական կազմերը համարժեք են համեմատման պատրաստուկների տարբեր դեղաչափերին,
դ) սահմանվել է հետազոտվող դեղապատրաստուկի և համեմատման պատրաստուկի միջև ընդլայնված դեղագործական համարժեքությունը՝ բոլոր դեղաչափերի մասով։
X. Հետգրանցումային փոփոխությունները
175. Առաջարկվող հետգրանցումային ցանկացած փոփոխության դեպքում անհրաժեշտ է կատարել ռիսկի գնահատում դեղապատրաստուկի անվտանգության, արդյունավետության և որակի վրա դրա ազդեցությունը որոշելու համար։
176. Ռիսկի գնահատում իրականացնելիս անհրաժեշտ է նաև վերլուծել այն ռիսկերը, որոնք կապված են դեղապատրաստուկի սկզբնական բաղադրությանը և արտադրության եղանակին առնչվող հետգրանցումային փոփոխությունների կուտակման հետ։
177. Որպես դեղապատրաստուկի անվտանգության, արդյունավետության և որակի վրա հնարավոր էական ազդեցություն ունեցող՝ դիտարկվում են հետևյալ փոփոխությունները՝
ա) ազդող նյութի ֆիզիկաքիմիական վիճակի և (կամ) ջերմադինամիկական ակտիվության փոփոխությունը,
բ) փոփոխությունը, որն ազդում է դեղապատրաստուկի լուծվելու բնութագրերի, in vitro ձերբազատման բնութագրերի, դրա in vitro ներթափանցման կինետիկայի բնութագրերի վրա,
գ) արտադրության գործընթացի փոփոխությունը (օրինակ՝ գործընթացի կրիտիկական պարամետրի փոփոխությունը)։
178. Համարժեքության հետազոտություններ անցկացնելիս հետգրանցումային փոփոխությունների հիմնավորման համար պետք է օգտագործվի դեղաձևի կոնկրետ բաղադրություն և դեղագործական-տեխնոլոգիական պարամետրեր, արտադրության գործընթաց, փաթեթվածքի տեսակ և այլն ունեցող պատրաստուկ, որը տվյալ պահին գրանցված է և թույլատրված է բժշկական կիրառության համար։
179. Եթե առաջարկվող փոփոխությունը համապատասխանում է դեղաձևի համար ընդլայնված դեղագործական համարժեքության, ինչպես նաև դեղապատրաստուկի որակական և քանակական կազմի ընդունելիության չափորոշիչներին, ապա բավարար է հաստատել այդ դեղապատրաստուկի համարժեքությունը սույն պահանջներին համապատասխան՝ կիրառելով դեղապատրաստուկի համար սպեցիֆիկ համարժեքության արձանագրությունը՝ նշելով հետազոտությունների հիմնավորված մեթոդները և ընդունելիության չափորոշիչների սահմանները։
180. Եթե առաջարկվող փոփոխությունը չի համապատասխանում դեղաձևի համար ընդլայնված դեղագործական համարժեքության կամ որակական և քանակական կազմի ընդունելիության չափորոշիչներին, ապա կենսահամարժեքությունն անհրաժեշտ է ցույց տալ՝ կիրառելով համապատասխան կլինիկական հետազոտությունը։
181. Բոլոր դեպքերում փոփոխությունը պետք է հիմնավորված լինի օրիգինալ (ռեֆերենտ) դեղապատրաստուկի սերիաների մասին համապատասխան ներկայացուցչական տվյալներով և որակի բոլոր կրիտիկական ցուցանիշների՝ առաջարկվող փոփոխության մասին տվյալներով։
|
ՀԱՎԵԼՎԱԾ ԹԻՎ 1 Մաշկին քսելու և տեղային կիրառության այլ եղանակների դեպքում տեղային կիրառության դեղապատրաստուկների որակին և կենսահամարժեքությանը ներկայացվող պահանջների |
ՄԵԹՈԴԻԿԱ
in vitro (IVRT) ձերբազատման հետազոտության
1. Ընդհանուր պահանջները
Սույն մեթոդիկան պարունակում է in vitro (IVRT) ձերբազատման հետազոտությունների անցկացման վերաբերյալ ցուցումներ դեղապատրաստուկների փափուկ դեղաձևերի (օրինակ՝ կրեմների կամ քսուքների) և կախույթների համար։
IVRT հետազոտության մեթոդիկան չի կիրառվում տեղային կիրառության դեղապատրաստուկների հետևյալ դեղաձևերից ազդող նյութերի ձերբազատումն ուսումնասիրելու դեպքում՝
պարզ հեղուկ դեղաձևեր՝ լուծույթի տեսքով,
տեղային կիրառության փոշիներ,
տեղային կիրառության ոչ ստանդարտ այլ դեղաձևեր (օրինակ՝ փրփուրներ)։
Դիֆուզային անալիտիկ բջիջների օգտագործմամբ «պսևդոանվերջ» դոզավորմամբ IVRT հետազոտության մեջ գնահատվում են հետազոտվող դեղապատրաստուկից ազդող նյութի ձերբազատման արագությունը և աստիճանը։
IVRT հետազոտության մեջ անհրաժեշտ է որոշել հետևյալ պարամետրերը՝
ազդող նյութի ձերբազատման արագությունը (R)․ կոորդինատներով տրված՝ ձերբազատվող ազդող նյութի կուտակման կորի գծային հատվածի թեքության անկյունի տանգենսը, ազդող նյութի ձերբազատման (կուտակման) հանրագումարային տոկոսը՝ ազդող նյութի ձերբազատման ժամանակի արժեքի քառակուսի արմատով պայմանավորված։ Եթե ազդող նյութի ձերբազատման պրոֆիլի գծային հատվածը ստանալ հնարավոր չէ, ապա IVRT հետազոտությունը ճանաչվում է ոչ հուսալի․
ձերբազատված ազդող նյութի կուտակվող քանակը (А), որն արտահայտված է ձերբազատման պրոֆիլի գծային հատվածի վրա նմուշառման վերջին ժամանակային կետում ձերբազատման մակերևույթի միավոր մակերեսի վրա ընկնող ազդող նյութի զանգվածի միավորներով․
ձերբազատման ուշացման ժամանակը (եթե այդպիսին կա)։
հետազոտությամբ չեն մոդելավորվում դեղապատրաստուկի in vivo դրսևորումները, սակայն ազդող նյութի ձերբազատման արագությունը (R) որակի կրիտիկական ցուցանիշ է, որը հարկավոր է նշել պատրաստի դեղապատրաստուկի թողարկման և պիտանիության ժամկետի (պահպանման ժամկետի) ավարտի մասնագրի մեջ, եթե արտադրողի կողմից այլ բան հիմնավորված չէ։
In vitro ձերբազատման չափորոշիչների սահմաններն անհրաժեշտ է հիմնավորել in vitro ձերբազատման հետազոտության տվյալներով, որն անցկացվել է դեղապատրաստուկի այն սերիաների համար, որոնք կլինիկական հետազոտություններ են անցել և բավարար արդյունավետություն կամ համարժեքություն են դրսևորել։
Թողարկման և պիտանիության ժամկետի (պահպանման ժամկետի) ավարտի մասնագրի մեջ ընդունելիության չափորոշիչները պետք է միատեսակ լինեն։ Թույլատրվում է ընդունելիության տարբեր չափորոշիչներ սահմանել միայն հետևյալ դեպքերում՝
ելնելով դեղապատրաստուկի որակի ասպեկտներից՝ դիմողը պարզաբանել և հիմնավորել է ընդունելիության չափորոշիչների տարբեր ցուցանիշներ նշելու պատճառները՝ հղում կատարելով դեղապատրաստուկի սերիաների կլինիկական հետազոտությունների արդյունքներին․
թողարկման մասնագրի մեջ սահմանվել են ընդունելիության չափորոշիչների առավել սեղմ սահմաններ, որպեսզի երաշխավորվի պիտանիության ժամկետի (պահպանման ժամկետի) ավարտի մասնագրի մեջ ընդունելիության չափորոշիչների սահմաններում դեղապատրաստուկի որակի ցուցանիշների ընդունելիության պահպանումը։
Ընդլայնված դեղագործական համարժեքությունը հիմնավորելու նպատակով պահանջվում է ներկայացնել in vitro ձերբազատման վալիդացված հետազոտության արդյունքները։
2. Հետազոտության դիզայնը
Հարկավոր է անցկացնել հետազոտվող դեղապատրաստուկը և համեմատման պատրաստուկը համեմատող IVRT պիլոտային հետազոտություն՝ ընտրված մեմբրանի պիտանիությունը հաստատելու և փորձարկման պայմանները վալիդացնելու համար։
Պետք է հիմնավորվի IVRT հետազոտությունն անցկացնելու համար կրիտիկական հետևյալ գործոնների ընտրությունը՝
ընտրված մեմբրանի տեսակը։ Մեմբրանը պետք է ապահովի հետազոտվող դեղապատրաստուկի և այն միջավայրի տարանջատումը, որի մեջ տեղի է ունենում ձերբազատումը (այսուհետ՝ ընդունող միջավայր), ինչպես նաև հետազոտությունների ընթացքում հետազոտվող դեղապատրաստուկի անփոփոխ պահպանումը։ Մեմբրանը չպետք է լինի դեղաձևից ազդող նյութի ձերբազատման արագությունը սահմանափակող գործոն։ Մեմբրանը պետք է համատեղելի լինի դեղապատրաստուկի հետ և չկապակցի ազդող նյութը․
ընդունող միջավայրի տեսակը։ Անհրաժեշտ է ներկայացնել հետազոտությունների ամբողջ ընթացքում ընդունող միջավայրի չհագեցման պայմանների (sink conditions) պահպանման հաստատումը։ Ընդունող միջավայրի չհագեցման պայմանները համարվում են ընդունելի այն դեպքում, երբ ընդունող անալիտիկ բջջի մեջ ազդող նյութի առավելագույն կոնցենտրացիան, որին հասնում են փորձի ժամանակ, չի գերազանցում ընդունող միջավայրի մեջ ազդող նյութի առավելագույն լուծելիության 30 %-ը։ Ընդունող միջավայրի չհագեցման պայմաններն ստեղծվում են միջավայրի այնպիսի ծավալով, որը հագեցման ծավալը գերազանցում է առնվազն 3-10 անգամ։
Անհրաժեշտ է նվազեցնել ընդունող միջավայրից ազդող նյութի հակադարձ դիֆուզիան քսված դեղապատրաստուկի փոխակերպումից խուսափելու համար։ Ընդունող միջավայրի pH արժեքը պետք է անփոփոխ մնա IVRT հետազոտության ամբողջ ընթացքում․
փորձանմուշներ վերցնելու ժամանակը։ Անհրաժեշտ է սահմանել ըստ ժամանակի փորձանմուշներ վերցնելու (փորձանմուշներ վերցնելը՝ առնվազն յուրաքանչյուր ժամը մեկ) կանոնակարգ և փորձարարական պայմաններ (ինչպիսիք են սարքի տեսակը, միջավայրի ջերմաստիճանը, խառնելու արագությունը)։ IVRT հետազոտության տևողությունը պետք է բավարար լինի՝ ձերբազատման պրոֆիլը բնորոշելու համար։ Պետք է ձերբազատվի քսված ազդող նյութի առնվազն 70 %-ը։ Անհրաժեշտ է ստանալ ազդող նյութի ձերբազատման պրոֆիլի գծային հատվածի վրա առնվազն 6 ժամանակային կետ՝ ներառյալ առաջին նմուշը (անմիջապես այն բանից հետո, երբ ազդող նյութի դիֆուզիան կայուն վիճակի է հասել)․
դեղապատրաստուկի քանակը և քսելու եղանակը։ Դեղապատրաստուկի քանակը և քսելու եղանակը պետք է լինեն անփոփոխ (թույլատրվում են նմուշների միջև ± 5 %-ից ոչ ավելի տարբերություններ) և վալիդացված, որպեսզի ապահովեն մեմբրանի վրա այդ պատրաստուկի միատարր տարածումը և «պսևդոանվերջ» դեղաչափի ներմուծման պայմաններին հասնելը։ Անհրաժեշտ է նվազեցնել հետազոտության պայմանների վրա դեղապատրաստուկի գոլորշիացման ազդեցությունը․
կիրառվող անալիտիկ մեթոդիկաները։ Անալիտիկ մեթոդիկաները պետք է լինեն վալիդացված և բավականաչափ զգայուն՝ ժամանակային տարբեր կետերում ընդունող լուծույթի մեջ ազդող նյութը քանակապես որոշելու համար։
3. Հետազոտության մեթոդիկայի վալիդացումը
Գրանցման դոսյեի մեջ անհրաժեշտ է ներառել IVRT հետազոտության վալիդացման և դեղապատրաստուկի որակի հսկողության համար դրա պիտանիության գնահատման մասին հաշվետվությունը։ Անհրաժեշտ է ներկայացնել համառոտ տեղեկատվություն IVRT հետազոտության մշակման և այնպիսի հետազոտությունների պայմանների ընտրության մասին, որոնք հետազոտության մեթոդիկայի առավել համապատասխան խտրականացնող ունակություն են ապահովում։
Վալիդացնող հաշվետվությունը պետք է ներառի՝
հետազոտությունների մեթոդիկայի խտրականացնող ունակության ապացույցը՝ դեղապատրաստուկի որակի հետևյալ երկու մոդիֆիկացիաների մասով՝
ազդող նյութի կոնցենտրացիայի փոփոխությունների (ազդող նյութի ձերբազատման արագության կախվածությունը՝ որպես դեղապատրաստուկի մեջ դրա կոնցենտրացիա, ուսումնասիրելու միջոցով (առնվազն 3 տարբեր դեղաչափերի համար)։ Անհրաժեշտ է հաստատել հետազոտվող դեղապատրաստուկի կոնցենտրացիայի և դրանից ազդող նյութի ձերբազատման (R) արագության գծայնությունը (r2 > 0,90 համահարաբերակցության գործակցով) այնպիսի պայմաններում, երբ ազդող նյութն ամբողջությամբ լուծվել է։ Կախույթների համար անհրաժեշտ է նաև սահմանել և վերլուծել ազդող նյութի կոնցենտրացիայի և դրա ձերբազատման արագության փոխկախվածությունը (R).
ըստ բաղադրության և դեղագործական-տեխնոլոգիական պարամետրերի փոփոխված դեղապատրաստուկի դեղաձևերի՝ որակի կրիտիկական ցուցանիշների փոփոխություններով (կիրառված մեթոդիկայի խտրականացնող ունակությունն անհրաժեշտ է հաստատել այնպիսի ցուցանիշների համար, ինչպիսիք են ազդող նյութի մասնիկներն ըստ չափի տարածելը կամ դեղապատրաստուկի ռեոլոգիական պրոֆիլը, ինչպես նաև արտադրության գործընթացի կրիտիկական փոփոխականների կամ օժանդակ նյութերի քանակական կազմի կրիտիկական փոփոխականների համար)։ Անհրաժեշտ է խուսափել ըստ բաղադրության և դեղագործական-տեխնոլոգիական պարամետրերի փոփոխված պատրաստուկի դեղաձևից մեկ կամ մի քանի սպեցիֆիկ օժանդակ նյութերն ամբողջությամբ բացառելուց․
դեղապատրաստուկի միևնույն սերիայի համար մեթոդիկայի միջանկյալ ճշգրտության ուսումնասիրման արդյունքները, որը կատարվել է տարբեր օպերատորների կողմից տարբեր օրերի (ընդունելիության չափորոշիչը՝ CV < 10 %):
մեթոդիկայի կայունության ուսումնասիրման արդյունքները՝ խառնելու արագության, քսվող դեղապատրաստուկի քանակի, ընդունող միջավայրի և դրա ջերմաստիճանի փոփոխությունների մասով։
4. Հետազոտության մեթոդիկայի վալիդացման մասին տվյալներ ներկայացնելը
Հետազոտության մեթոդիկայի սկզբնական վալիդացման կամ համարժեքության հաստատման համար անհրաժեշտ է օգտագործել դեղապատրաստուկի յուրաքանչյուր սերիայի առնվազն 12 նմուշ։ Որակի ամենօրյա հսկողության համար նախատեսված մեթոդիկայի կիրառման դեպքում թույլատրվում է օգտագործել առնվազն 6 նմուշ։
Ազդող նյութի in vitro ձերբազատման պրոֆիլի մասին տվյալներն անհրաժեշտ է ներկայացնել աղյուսակի և գծապատկերի ձևաչափերով։ Ազդող նյութի ձերբազատման պրոֆիլները պետք է ներկայացվեն ձերբազատման մեմբրանի մակերեսի միավորի վրա ընկնող զանգվածի միավորներով արտահայտված՝ ձերբազատված ազդող նյութի քանակի և ժամանակի փոխկախվածության կոորդինատներով։
Ընդլայնված դեղագործական համարժեքությունը կիրառելու դեպքում՝
ազդող նյութի հանրագումարային ձերբազատման (կուտակման) կախվածությունը դրա ձերբազատման ժամանակի արժեքի քառակուսի արմատից պետք է լինի գծային․
R պարամետրը պետք է էապես տարբերվի զրոյից․
հետազոտվող պատրաստուկի և համեմատման պատրաստուկի համար (R) ու (А) պարամետրերի միջին արժեքների հարաբերակցության 90 %-անոց վստահելի միջակայքը պետք է գտնվի ընդունելիության չափորոշչի՝ 90,00–111,00 %-ին հավասար սահմաններում․
ձերբազատման ուշացման ժամանակը (եթե այդպիսին կա) պետք է միատեսակ լինի հետազոտվող պատրաստուկի և համեմատման պատրաստուկի համար (այսինքն՝ տարբերությունները պետք է լինեն ոչ ավելի, քան ± 10 %)։
|
ՀԱՎԵԼՎԱԾ ԹԻՎ 2 Մաշկին քսելու և տեղային կիրառության այլ եղանակների դեպքում տեղային կիրառության դեղապատրաստուկների որակին և կենսահամարժեքությանը ներկայացվող պահանջների |
ՄԵԹՈԴԻԿԱ
մաշկի մեջ in vitro ներթափանցման (IVPT) հետազոտության
1. IVPT հետազոտությունների կիրառության ոլորտը
In vitro ներթափանցման խտրականացնող փորձարկման (IVPT) կիրառմամբ դեղապատրաստուկի ներթափանցման բնորոշիչ պրոֆիլի սահմանումը գործածվում է դեղապատրաստուկի կենսական պարբերաշրջանի ընթացքում դրա մեջ կատարվող փոփոխությունների հսկողության դեպքում։ Տվյալ հետազոտությունը, մաշկի մեջ ազդող նյութի ներթափանցման կինետիկայի ուսումնասիրմամբ, թույլատրվում է նաև անցկացնել հետազոտվող դեղապատրաստուկի համարժեքությունը հիմնավորելու համար։
Համարժեքության հետազոտություններ անցկացնելիս համեմատվում են հետազոտվող պատրաստուկը և համեմատման պատրաստուկը՝ բացասական հսկողության հետ մեկտեղ (օրինակ՝ հետազոտվող դեղապատրաստուկի 50%-անոց դեղաչափին համապատասխան բաղադրությամբ պատրաստուկի դեղաձևով և նույնպիսի դեղագործական-տեխնոլոգիական բնութագրերով)։
2. Հետազոտության դիզայն
Համարժեքության տեղաշարժված գնահատում կատարելու ռիսկի նվազեցման նպատակով հետազոտության արձանագրության մեջ ներառվում են կուրացման [քողարկման] և ռանդոմիզացիայի [պատահականացման] մեթոդները կամ տեղաշարժված գնահատում կատարելու ռիսկի նվազեցման՝ դիմողի կողմից հիմնավորված այլ մեթոդներ։
Մաշկի մեջ ազդող նյութի ներթափանցումը հաստատելու, հետազոտության պայմանները և կրիտիկական գործոնները (ինչպիսիք են օգտագործվող սարքի տեսակը, պատրաստուկի քսվող դեղաչափը, փորձանմուշներ վերցնելու ժամանակը, խառնելու արագությունը և այլն) վալիդացնելու, ինչպես նաև հենանիշային հետազոտության անցկացման համար անհրաժեշտ դոնորների ընտրանքի չափը հիմնավորելու նպատակով անցկացվում է in vitro (IVPT) պիլոտային հետազոտություն, որի ընթացքում համեմատվում են հետազոտվող դեղապատրաստուկը և համեմատման պատրաստուկը։
In vitro հետազոտությունն (IVPT) անցկացնելու ընթացքում անհրաժեշտ է հիմնավորել կրիտիկական հետևյալ բոլոր պարամետրերի ընտրությունը՝
ա) ընտրված մեմբրանի տեսակը։ Անհրաժեշտ է օգտագործել ex vivo հասուն մարդու մաշկ։ Հետազոտության արձանագրությունը պետք է պարունակի հետազոտության մեջ ներառելու կամ չներառելու համար նախապես սահմանված և հիմնավորված չափորոշիչներ (մաշկի կտորների տեսակը, դրանք կտրելու անատոմիական հատվածը, դրանք պահպանելու պայմանները և տևողությունը)։ Դոնորից մաշկի կտոր կտրելու համար չեն օգտագործվում դաջվածքներով, ցանկացած մաշկաբանական անոմալիայով կամ խիտ մազային ծածկույթով հատվածները։
Թույլատրվում է կիրառել մաշկի կտորների կտրման տարբեր տեխնիկաներ։ Անհրաժեշտ է հաստատել, որ մաշկի կտորների կտրման և պահպանման տեխնիկան չի հանգեցնում անալիտիկ մեթոդիկայի՝ սահմանված արժեքները գերազանցող արժեքների [artifact] ի հայտ գալուն և չի խախտում մաշկի պատնեշային գործառույթը։ Չի թույլատրվում մաշկի կտորը կտրել ամբողջ հաստությամբ, քանի որ դա հանգեցնում է ազդող նյութի ներթափանցման արհեստական հետաձգմանը, եթե դիմողը չի հիմնավորել այդ կերպ կտրելու թույլատրելիությունը։ Հետազոտության արձանագրության մեջ անհրաժեշտ է նկարագրել այն հաստությունը, որի չափով կտրվում է մաշկի կտորը, և մաշկի կտորը շերտերի բաժանելու տեխնիկան։
Մաշկի ամբողջականությունն անհրաժեշտ է ստուգել յուրաքանչյուր փորձի անցկացումն սկսելուց առաջ և դրա ավարտից հետո։ Մաշկի ամբողջականության հետազոտության տեսակի ընտրությունը և դրա ընդունելիության չափորոշիչներն անհրաժեշտ է հիմնավորել արձանագրության և հաշվետվության մեջ՝ ըստ հետազոտության արդյունքների։ Եթե փորձն սկսելուց առաջ և դրա ավարտից հետո մաշկի ամբողջականության գնահատման համար կիրառվում են ընդունելիության տարբեր չափորոշիչներ, ապա դրանց կիրառման հնարավորությունը պետք է հիմնավորվի դիմողի կողմից, և այդ չափորոշիչները պետք է կիրառվեն միատեսակ՝զուգահեռ փորձերի ամբողջ սերիայի մեջ։
Անհրաժեշտ է մաշկի կտորներ ստանալ տարբեր դոնորներից։ Միևնույն դոնորից ստացված մաշկի կտորի վրա պետք է քսվեն հետազոտվող պատրաստուկը, համեմատման պատրաստուկը և բացասական հսկողության պատրաստուկը։ Օպտիմալ է համարվում այդ պատրաստուկները յուրաքանչյուր կրկնողության ժամանակ մերձակա հատվածների վրա քսելը։
Մաշկի դոնորների թիվը պետք է լինի առնվազն 12 (առնվազն երկու կրկնողություն՝ յուրաքանչյուր դոնորի համար)։
Մաշկի մեջ դեղապատրաստուկի ներթափանցման գնահատման համար նախատեսված սարքը պետք է ապահովի տրված սահմաններում ջերմաստիճանի հսկողությունը՝ ամբողջ փորձի ընթացքում։ Մաշկի մակերևույթի ջերմաստիճանը պետք է լինի կայուն և համապատասխանի 32 ± 1 °С ընդգրկույթին․
բ) լուծվելու ընդունող միջավայրի ընտրությունը։ Անհրաժեշտ է ներկայացնել ընդունող միջավայրի չհագեցման պայմանները (sink conditions) այն պայմաններին համապատասխան պահպանելու հաստատումը, որոնք IVRT հետազոտության համար նկարագրված են Մաշկին քսելու և տեղային կիրառության այլ եղանակների դեպքում տեղային կիրառության դեղապատրաստուկների որակին և կենսահամարժեքությանը ներկայացվող պահանջների թիվ 1 հավելվածում։
Լուծվելու ընդունող միջավայրը պետք է լինի ջրային բուֆերային համակարգ, եթե դիմողն այլ բան չի հիմնավորել։ Անհրաժեշտ է ներկայացնել այն բանի ապացույցը, որ ընտրված ընդունող միջավայրը չի խախտում մաշկի պատնեշի ամբողջականությունը հետազոտության ընթացքում։
Մաշկի մեմբրանի հնարավոր բակտերիալ քայքայումը նվազեցնելու համար ընդունող միջավայրի կազմի մեջ հակամանրէային միջոցի ներառումը թույլատրվում է՝ պայմանով, որ մաշկի ֆիզիոլոգիական հատկությունների կամ անալիզի արդյունքների խեղաթյուրման հավանականություն չկա.
գ) փորձանմուշներ վերցնելու ժամանակը։ Փորձանմուշներ վերցնելու ժամանակային կետերի թիվը պետք է բավարար լինի՝ ազդող նյութի ներթափանցման այնպիսի պրոֆիլներ ստանալու համար, որոնք հնարավոր է մեկնաբանել (փորձանմուշներ վերցնելու ժամանակային միջակայքը պետք է ընդգրկի ազդող նյութի աբսորբման առավելագույն արագությամբ ժամանակահատվածը և ազդող նյութի աբսորբման արագության հետագա նվազմամբ ժամանակահատվածը, ազդող նյութի աբսորբման արագության ամենից շատ փոփոխված հատվածներում փորձանմուշներն առավել հաճախ պետք է վերցվեն)։ Հետազոտության տևողությունը պետք է կազմի 24 ժամ։ Եթե հետազոտության տևողությունը գերազանցում է 24 ժամը, ապա անհրաժեշտ է ապացուցել, որ մաշկի պատնեշային գործառույթը և դրա ամբողջականությունը պահպանվում են նույն մակարդակի վրա, ինչ փորձի առաջին 24 ժամվա ընթացքում․
դ) դեղապատրաստուկի քանակը և քսելու եղանակը։ Դեղապատրաստուկի քսվող դեղաչափը պետք է գտնվի մաշկի 2-15 մգ/սմ2 տիրույթում և համապատասխանի դեղապատրաստուկի ընդհանուր բնութագրի մեջ նշված դոզավորման ռեժիմին, եթե այլ բան հիմնավորված չէ։ Դեղաչափը քսելը պետք է լինի վալիդացված, որպեսզի ապահովվի դեղապատրաստուկի վերարտադրելիությունը (± 5 %) և մաշկի մեմբրանի վրա դրա տարածման միատարրությունը։ Դոնորի կոմպարտմենտը պետք է օկլյուզիա չունենա, եթե դեղապատրաստուկի ընդհանուր բնութագրի մեջ այլ բան նախատեսված չէ․
ե) հավանական կոնտամինացիայի և (կամ) խեղաթյուրող ներգործությունների ռիսկի հայտնաբերումն ու բացառումը։ Հավանական կոնտամինացիան և (կամ) խեղաթյուրող ներգործությունները հայտնաբերելու համար հարկավոր է յուրաքանչյուր դիֆուզային անալիտիկ բջջից անալիզի համար մի քանի փորձանմուշ վերցնել՝ նախքան դրա մեջ հետազոտվող պատրաստուկներն ավելացնելը, և անցկացնել զուգահեռ փորձ՝ «դատարկ» հսկիչ մաշկով, որի վրա դեղապատրաստուկներ չեն քսվում․
զ) կուրացման մեթոդը։ Հետազոտության արձանագրության և եզրափակիչ հաշվետվության մեջ անհրաժեշտ է ներկայացնել կուրացման [քողարկման] ընթացակարգի մանրամասն նկարագիրը։ Հետազոտվող պատրաստուկի, համեմատման պատրաստուկի և բացասական հսկողության պատրաստուկի փաթեթվածքները պետք է արտաքինից նույնական լինեն, որպեսզի պահպանվի հետազոտության մասնակիցների կուրացման [քողարկման] պատշաճ մակարդակը։ Ռանդոմիզացման մեթոդը և սխեման անհրաժեշտ է նկարագրել հետազոտության արձանագրության մեջ․
է) կիրառվող անալիտիկ մեթոդիկաները։ Ցածր դոզավորմամբ դեղապատրաստուկի համար անալիտիկ մեթոդիկաները պետք է լինեն վալիդացված և զգայուն՝ տարբեր ժամանակային կետերում ընդունող միջավայրի մեջ ազդող նյութը քանակապես որոշելու համար։
ը) ազդող նյութի կայունությունը։ Անհրաժեշտ է հաստատել ընդունող միջավայրի մեջ ազդող նյութի կայունությունը IVPT հետազոտությունն անցկացնելու և նմուշը մինչև դրա անալիզը պահպանելու ամբողջ ընթացքում։
3. IVPT հետազոտության մեթոդիկայի վալիդացումը
Գրանցման դոսյեի մեջ անհրաժեշտ է ներառել IVPT հետազոտության վալիդացման և դեղապատրաստուկները համեմատելու համար դրա պիտանիության գնահատման մասին հաշվետվությունը։
Հետազոտությունների պայմանների պիտանիությունն անհրաժեշտ է հաստատել՝ օգտագործելով որակի տարբեր ցուցանիշներ (բացասական հսկողություն) ունեցող այնպիսի դեղապատրաստուկի սերիաներ (օրինակ՝ այնպիսի բաղադրությամբ պատրաստուկի դեղաձև, որը համապատասխանում է նույնպիսի դեղագործական-տեխնոլոգիական բնութագրեր ունեցող, հետազոտվող դեղապատրաստուկի 50 %-անոց դոզավորմանը), որի համար ցույց են տրված հետազոտվող պատրաստուկներից վիճակագրական տարբերությունը և դրանց հետ համեմատության ոչ համարժեք լինելը։
Թույլատրվում է օգտագործել պատրաստուկի՝ կատարված ներկայացուցչական փոփոխություններով այլ սերիաներ՝ ուսումնասիրվող դեղապատրաստուկի հետ համեմատած։ Նմանօրինակ ներկայացուցչական փոփոխությունները կարող են առնչվել դեղապատրաստուկի քանակական կազմին, դրա դեղաձևի դեղագործական-տեխնոլոգիական, որակի կրիտիկական ցուցանիշների պարամետրերին և (կամ) արտադրական գործընթացի աննշան մոդիֆիկացված պարամետրերի կիրառմանը։ Փոփոխությունների կատարման համար որակի ցուցանիշների ընտրության դեպքում հարկավոր է կիրառել ազդող նյութի բնութագրերի մասին առկա տվյալները, դեղապատրաստուկի բաղադրությունը և դրա դեղաձևի դեղագործական-տեխնոլոգիական պարամետրերը։ Անհրաժեշտ է խուսափել ըստ բաղադրության և դեղագործական-տեխնոլոգիական պարամետրերի փոփոխված պատրաստուկի դեղաձևից մեկ կամ մի քանի սպեցիֆիկ օժանդակ նյութեր (օրինակ՝ ներթափանցման ուժեղացուցիչ, կոնսերվանտներ) ամբողջությամբ բացառելուց։
4. Տվյալները ներկայացնելը
IVPT հետազոտության տվյալներն անհրաժեշտ է ներկայացնել աղյուսակի և գծապատկերի ձևաչափերով։ Անհրաժեշտ է ներկայացնել ստացված բոլոր անհատական տվյալները և պարամետրերը՝ պատրաստի դեղապատրաստուկի դեղաձևի յուրաքանչյուր ուսումնասիրված բաղադրության և դեղագործական-տեխնոլոգիական պարամետրերի մասով՝ ընդհանրացնող վիճակագրության հետ միասին։ Ձերբազատման պրոֆիլը համեմատելու նպատակով անհրաժեշտ է ներկայացնել հետևյալը՝
մաշկի մակերեսի մեկ միավորի միջով ներթափանցած ազդող նյութի կուտակման տեսակարար զանգվածի (1 սմ2-ի վրա ընկնող զանգվածի միավորներով արտահայտված)՝ ժամանակից կախվածության գծապատկերը․
ազդող նյութի աբսորբման տեսակարար արագության (1 ժամում 1 սմ2-ի վրա ընկնող զանգվածի միավորներով արտահայտված)՝ ժամանակից կախվածության գծապատկերը։
Անհրաժեշտ է սահմանել և համեմատել ներթափանցման վերաբերելի պարամետրերը, օրինակ՝ ազդող նյութի աբսորբման առավելագույն արագությունը (Jmax) և դրա՝ փորձի վերջում մաշկի մեջ ներթափանցած ընդհանուր քանակը(Аtotal)։
Հետազոտության ռեպլիկատիվ դիզայնի կիրառության դեպքում միևնույն դոնորի կրկնակող հատվածների վրա ստացված արդյունքները (երկրաչափական միջինի օգտագործմամբ) անհրաժեշտ է ճշգրտելով բերել միջինացված ցուցանիշների՝ նախքան հաջորդ հետազոտության անցկացումը։
Համարժեքության պարամետրերը ընդունելիության չափորոշիչներին համապատասխանում են՝ պայմանով, որ (Jmax) և (Atotal) համարժեքության այն պարամետրերի 90 %-անոց վստահելի միջակայքերը, որոնք հաշվարկված են որպես փորձարկվող պատրաստուկի միջին ցուցանիշների և համեմատման պատրաստուկի համապատասխան միջին ցուցանիշների հարաբերակցություն, գտնվում են 80,00-125,00 %-ին հավասար միջակայքում, եթե դիմողն ընդունելիության չափորոշիչների այլ սահմաններ չի հիմնավորել։
90 %-անոց վստահելի միջակայքի համար ընդունելիության չափորոշիչների սահմանների ընդլայնումը (առավելագույնը՝ մինչև 69,84-143,19 %) թույլատրվում է ներանհատական բարձր փոփոխականության դեպքում, որը դիտվում է ցածր դոզավորմամբ և սահմանափակ դիֆուզիայով դեղապատրաստուկների դեպքում, եթե դա կլինիկական տեսանկյունից հիմնավորված է։
Ընդունելիության ընդլայնված չափորոշիչների գնահատումը կատարվում է Կանոնների III բաժնի 11-րդ ենթաբաժնին համապատասխան։
Հետազոտությունը ճանաչվում է հուսալի բացառապես հետևյալ պայմանները պահպանելու դեպքում՝
ա) (Jmax) և (Atotal) համարժեքության պարամետրերի ընդունելիության չափորոշիչների համար՝
հետազոտվող դեղապատրաստուկի միջին արժեքների և բացասական հսկողության հարաբերակցության համար 90%-անոց վստահելի միջակայքը պետք է ամբողջությամբ դուրս լինի 80,00-125,00 %-ի միջակայքից,
համեմատման պատրաստուկի միջին արժեքների և բացասական հսկողության հարաբերակցության համար 90%-անոց վստահելի միջակայքը պետք է ամբողջությամբ դուրս լինի 80,00-125,00 %-ի միջակայքից․
բ) հաշվետվության մեջ բերված՝ ներթափանցման լրացուցիչ պարամետրերի (մինչև աբսորբման առավելագույն արագությունն ընկած ժամանակը (tmax) և ձերբազատման ուշացման ժամանակը) համար կատարվում են հետևյալ պայմանները՝
ձերբազատման ուշացման ժամանակը (եթե այդպիսին կա) պետք է միատեսակ լինի հետազոտվող պատրաստուկի և համեմատման պատրաստուկի համար (այսինքն՝ տարբերությունները պետք է լինեն ± 10 %-ից ոչ ավելի),
ներթափանցման պարամետրերի ցանկացած տարբերություն պետք է գնահատվի համարժեքության վրա դրանց ունեցած ազդեցության տեսանկյունից․
գ) սահմանվել է նյութի բալանս։ Անհրաժեշտ է ներկայացնել հետևյալի հաշվարկը՝
ընդունող միջավայր ներթափանցած ազդող նյութի կուտակված քանակը(Atotal).
մաշկի նմուշների մեջ մնացող (Stotal) ազդող նյութի ընդհանուր քանակը․
մաքրելու համար օգտագործվող սարքավորումների կամ փորձի մեջ օգտագործվող սարքավորումների վրա մնացած ազդող նյութի քանակը (Rtotal)։
Այն դեպքում, երբ ընդունող միջավայր ներթափանցած ազդող նյութի ընդհանուր կուտակված քանակը կազմում է 90-110 %, նյութի բալանսի լրացուցիչ հիմնավորում չի պահանջվում։ Ցուցանիշների էական փոփոխականության առկայության դեպքում դրա առաջացման պատճառներն անհրաժեշտ է մանրամասն վերլուծել և պարզաբանել։
Թույլատրվում է առանձին վերլուծել մաշկի տարբեր շերտերում (եղջերային շերտում և վերնամաշկում) մնացող ազդող նյութի քանակը մարդու մաշկի մեջ ազդող նյութի տարածումը գնահատելու նպատակով։
|
ՀԱՎԵԼՎԱԾ ԹԻՎ 3 Մաշկին քսելու և տեղային կիրառության այլ եղանակների դեպքում տեղային կիրառության դեղապատրաստուկների որակին և կենսահամարժեքությանը ներկայացվող պահանջների |
ՄԵԹՈԴԻԿԱ
եղջերային շերտի փորձանմուշներ վերցնելու (կպչուն ժապավենով քերումը)
1. Ընդհանուր դրույթները
Սույն մեթոդիկան պարունակում է տեղեկություններ՝ եղջերային շերտի փորձանմուշներ վերցնելու (կպչուն ժապավենով քերումը) մեթոդով փափուկ դեղաձևերի մասով in vivo այն հետազոտության մասին, որն անցկացվում է որպես ներթափանցման կինետիկայի որոշման մեթոդ՝ համարժեքությունը հիմնավորելու նպատակով (թերապևտիկ համարժեքության հետազոտություն անցկացնելու փոխարեն)։
Եղջերային շերտի փորձանմուշներ վերցնելու մեթոդով հետազոտությունն ամենաքիչ ինվազիվ տեխնիկան է, որով նախատեսվում է կպչուն (ադհեզիվ) ժապավենների օգտագործմամբ մաշկի արտաքին շերտի (եղջերային շերտի) հաջորդող հեռացումը՝ ազդող նյութ պարունակող դեղապատրաստուկը քսելուց հետո։
Եղջերային շերտի մեջ ազդող նյութի քանակը պայմանավորված է հետևյալ 3 գործընթացներով՝
դեղապատրաստուկից ազդող նյութի տարածումը եղջերային շերտի մեջ,
եղջերային շերտի միջով ազդող նյութի դիֆուզիան,
եղջերային շերտից ազդող նյութի տարածումը դեպի կենսունակ հյուսվածքներ։
Կպչուն ժապավենով քերման մեթոդով հետազոտության հիմնական առավելությունն այն է, որ հետազոտությունն անցկացվում է in vivo՝ մաշկի ամբողջական միկրոշրջանառությամբ, ինչի արդյունքում մաշկից ազդող նյութի կլիրենսը տեղի է ունենում անարգել։
Նշված հետազոտությունը թույլ է տալիս ստանալ տվյալներ եղջերային շերտի վրա կամ դրա մեջ ազդող դեղապատրաստուկների (օրինակ՝ հակասնկային դեղապատրաստուկների) փափուկ դեղաձևերի տեղային կենսամատչելիության մասին։ Այն դեպքում, երբ ազդեցության թիրախային տեղերը դուրս են եղջերային շերտի սահմաններից, կպչուն ժապավենով քերման մեթոդով հետազոտությունները կարող են թույլ տալ ստանալ համապատասխան փոխնակ գնահատում՝ խորը հյուսվածքների միջով դեղապատրաստուկի ազդող նյութի աբսորբման արագությունը և աստիճանը բնութագրելու համար։
Կպչուն ժապավենով քերման մեթոդով in vivo հետազոտությունները դեղապատրաստուկների համար կիրառվում են եղջերային շերտի մեջ և դրա միջով ազդող նյութի դիֆուզիայի դեպքում։ Այսպիսով, հարկավոր չէ նշված հետազոտությունը կիրառել զգալիորեն ախտահարված մաշկին (օրինակ՝ բաց վերքերը, այրվածքները) կամ վաղածին նորածնի մաշկին քսվող դեղապատրաստուկների հետազոտությունների համար, ինչպես նաև դա պիտանի չէ ցնդող ազդող նյութեր կամ այնպիսի նյութեր պարունակող դեղապատրաստուկների համար, որոնք ներթափանցում են առավելապես մաշկի դերմալ շերտերի մեջ (մազապարկեր, ճարպագեղձեր)։
2. Մեթոդիկայի մշակումը և օպտիմալացումը
Կպչուն ժապավենով քերման մեթոդով հետազոտությունն ավտոմատացված մեթոդիկա չէ, ուստի անհրաժեշտ է հնարավորինս ստանդարտացնել փորձարարական դիզայնը։
Հենանիշային հետազոտության փորձարարական պայմաններն անհրաժեշտ է վերլուծել և հիմնավորել՝ ելնելով ուսումնասիրվող պատրաստուկների տեսակից և առանձնահատկություններից, իսկ պայմանների ընտրությունն անհրաժեշտ է կատարել կպչուն ժապավենով քերման մեթոդով պիլոտային հետազոտության արդյունքների հիման վրա։
Անհրաժեշտ է գրանցման դոսյեում ներկայացնել կպչուն ժապավենով քերման մեթոդի մշակման և օպտիմալացման համառոտ նկարագիրը։
Պիլոտային հետազոտությունն անցկացնելու ժամանակ անհրաժեշտ է ստուգել և հիմնավորել հետևյալ պայմանների ընտրությունը՝
ա) մաշկի հետազոտվող հատվածի տեսակը։ Հետազոտությունը պետք է անցկացվի մաշկի համարժեք պատնեշային գործառույթ ունեցող՝ նախաբազկի (ափային մակերեսի) նորմալ մաշկի առողջ հատվածների վրա։ Անհրաժեշտ է սահմանել հետազոտություններին մաշկի տարբեր վիճակներ ունեցող օբյեկտներ ներգրավելու և չներգրավելու չափորոշիչները։ Դաջվածքներով, ցանկացած մաշկաբանական անոմալիայով կամ խիտ մազային ծածկույթով մաշկի հատվածները ենթակա չեն հետազոտության մեջ ներառման։ Անհրաժեշտ է սահմանել փորձից առաջ և դրա անցկացման ընթացքում մաշկի հատվածների նախապատրաստման և մաքրման ընթացակարգեր, որպեսզի միջամտության հատվածները մաքրման գործողություններից չվնասվեն․
բ) մաշկի հետազոտվող հատվածի վիճակը։ Մաշկի ամբողջականությունն անհրաժեշտ է որոշել փորձի անցկացումից առաջ և դրանից հետո։ Ամբողջականությունը հաստատելու համար չափվում է ջրի տրանսէպիդերմալ կորստի (TEWL) մակարդակը՝ ամբողջականության հաստատման այլ մեթոդիկաների կիրառմամբ, եթե դրանց կիրառումը հիմնավորված է դիմողի կողմից։ Ընդունելիության չափորոշիչներն անհրաժեշտ է մանրամասն վերլուծել և հիմնավորել․
գ) քսելու (կիրառելու) բնույթը։ Էական ներանհատական փոփոխականությամբ պայմանավորված՝ համեմատվող պատրաստուկներն անհրաժեշտ է քսել հետազոտության միևնույն սուբյեկտի մաշկին։ Անհրաժեշտ է նաև ներառել բացասական հսկողության պատրաստուկի (որի փոխարեն չի կարող կիրառվել համեմատման պատրաստուկը) քսելը՝ մեթոդիկայի բավարար խտրականացնող ունակությունը հաստատելու նպատակով։
Հարկավոր է կուրացնել [քողարկել] հետազոտվող դեղապատրաստուկը քսելու և կպչուն ժապավենով քերում կատարելու համար պատասխանատու՝ հետազոտությունն իրականացնող անձին՝ տեղաշարժը նվազեցնելու նպատակով․
դ) դեղապատրաստուկի դեղաչափը։ Դեղապատրաստուկի՝ հետազոտության մեջ օգտագործվող դեղաչափն անհրաժեշտ է որոշել՝ ելնելով դեղապատրաստուկի ընդհանուր բնութագրից։ Պիլոտային հետազոտությունն անցկացնելու ժամանակ դեղաչափը և դա քսելու համար նախատեսված մաշկի հատվածն անհրաժեշտ է ստուգել՝ եղջերային շերտում ազդող նյութի քանակապես որոշվող զանգվածին հասնելու համար։ Անհրաժեշտ է նաև որոշել դոզավորման տեխնիկան, կուրացման և ռանդոմիզացիայի ընթացակարգերը․
ե) հետազոտության դիզայնը։ Անհրաժեշտ է կիրառել դեղաչափի մեկանգամյա օգտագործմամբ հետազոտության դիզայն (մաշկի քերումը կատարվում է հետազոտվող դեղապատրաստուկը և համեմատման պատրաստուկը մեկ անգամ քսելուց հետո).
զ) արդյունքների գնահատման ժամանակային կետերը։ Դեղապատրաստուկներն անհրաժեշտ է համեմատել հետազոտության յուրաքանչյուր սուբյեկտի վրա, երկու ժամանակային կետերում (մեկը՝ կլանման, մյուսը՝ կլիրենսի ժամանակ)։ Կլանման և կլիրենսի օպտիմալ ժամանակը պայմանավորված է ազդող նյութերի բնութագրերով և դեղապատրաստուկների դեղաձևով և պետք է սահմանվի պիլոտային հետազոտությունն անցկացնելու ժամանակ։ Կլանման ժամանակը պետք է տևի բավականաչափ երկար, որպեսզի ազդող նյութը հասնի դիֆուզիայի կայուն ֆազին։ Թույլատրվում է, որ կլանման ժամանակը սահմանվի փորձով՝ կլանման մի քանի ժամանակային կետերի որոշման արդյունքներով, և որոշելով, թե որ պահից է եղջերային շերտից վերցված ազդող նյութի զանգվածը կայուն մնում։ Կլիրենսի ժամանակը պետք է տևի բավականաչափ երկար, որպեսզի ապահովվի եղջերային շերտից ազդող նյութի չափելի անցումը կենսունակ մաշկի (և ավելի խորը հյուսվածքների) մեջ, սակայն չպետք է գերազանցի 48 ժամը՝ մաշկի շերտազատման ցանկացած էֆեկտից խուսափելու համար։ Նախընտրելի է կլիրենսի այն ժամանակը, որն ապահովում է կլանման ֆազում եղջերային շերտից վերցվող ազդող նյութի զանգվածի նկատմամբ եղջերային շերտից վերցվող ազդող նյութի զանգվածի՝ առնվազն 25 %-անոց նվազում։ Բոլոր դեպքերում նմուշառման ժամանակային կետերը հարկավոր է մանրակրկիտ կերպով մշակել և հիմնավորել․
է) դեղապատրաստուկը հեռացնելու ընթացակարգը։ Կլանման սահմանված ժամանակից հետո հետազոտվող պատրաստուկը հեռացվում է մաշկի մակերևույթի վրայից։ Անհրաժեշտ է սահմանել մաքրման ընթացակարգ՝ քերելուց առաջ մաշկի մշակման տեղերից մնացորդային պատրաստուկի արդյունավետ հեռացումն ապահովելու համար․
ը) կպչուն ժապավենի բնութագրերը։ Հետազոտությունն անցկացնելու համար օգտագործվող կպչուն ժապավենը պետք է համապատասխանի հետևյալ պահանջներին՝
կպչուն ժապավենը մաշկին փակցնելու և դրա մակերևույթին քսելու դեպքում չպետք է զանգվածի կորուստ ունենա,
կպչուն ժապավենը պետք է օժտված լինի պահպանման ժամանակ զանգված կորցնելու և դրա ավելանալու նվազագույն ցուցանիշներով,
ազդող նյութը պետք է հեշտությամբ արտազատվի ժապավենին կպած եղջերային շերտից․
ադհեզիվը կամ ժապավենի այլ բաղադրիչներ չպետք է խեղաթյուրեն ազդող նյութի անալիտիկ քանակական որոշումը․ ընդ որում, ադհեզիայի ուժը պետք է լինի այնպիսին, որ եղջերային շերտի մեծ մասը հեռացվի ոչ մեծ թվով (օրինակ՝ ոչ ավելի, քան 30 ժապավեն) կպչուն ժապավենների օգնությամբ։
թ) վերցված փորձանմուշի բնութագրերը։ Կպչուն ժապավենով քերման կիրառվող մեթոդով պետք է ապահովվի, որ մաշկի յուրաքանչյուր հատվածից եղջերային շերտի մեծ մաս (≥ 75 %) վերցվի։ Անհրաժեշտ է սահմանել ժապավենների նվազագույն և առավելագույն քանակ՝ հիմնվելով ջրի տրանսէպիդերմալ կորստի (TEWL) մակարդակի չափումների կամ վերաբերելի այլ չափորոշիչների վրա (օրինակ՝ սկզբնական արժեքի հետ համեմատած՝ ազդող նյութի պարունակության ութապատիկ աճը, անվտանգության նկատառումներից ելնելով՝ հետազոտության անցկացման դադարեցումը).
ժ) կիրառվող անալիտիկ մեթոդները։ Հետազոտության մեթոդիկայի ստանդարտ իրականացման դեպքում ազդող նյութը սկզբում արտազատվում է կպչուն ժապավեններից, իսկ հետո քանակապես որոշվում է լուծահանող լուծիչի (լուծիչների) մեջ։ Թույլատրվում է լուծահանման այլընտրանքային մեթոդների և քանակական որոշման կիրառումը, եթե դա հիմնավորված է։ Անհրաժեշտ է ցույց տալ լուծահանման առաջարկվող մեթոդի բավարար արդյունավետություն։
3. Հետազոտության դիզայնը
Անհրաժեշտ է նախապատրաստել մանրամասն ստանդարտ գործառական ընթացակարգեր՝ կպչուն ժապավենով քերման մեթոդով հետազոտությունների անցկացման համար, դոզավորման, մաքրման, քերման, լուծահանման, քանակական որոշման և հետազոտության այլ փոփոխականների կամ փորձի ժամանակ տեղաշարժերի հավանական աղբյուրների ճշգրիտ հսկողությունն ապահովելու համար։
Ներգրավելու և չներգրավելու չափորոշիչներն անհրաժեշտ է նախապես ձևակերպել և հստակ նկարագրել հետազոտության արձանագրության մեջ։
Կպչուն ժապավենով քերման մեթոդով հետազոտությունների առնչությամբ հարկավոր է կիրառել հետազոտության դիզայնը, որի սխեման բերված է 1-ին և 2-րդ նկարներում։ Վերջնական մշակված հետազոտության արձանագրությունը յուրաքանչյուր առանձին դեպքի համար պետք է հիմնավորվի։
|
Նկ. 1. Հետազոտության սուբյեկտների նախաբազուկներին օբյեկտները քսելու հատվածների ընդհանուր տեսքը |
Նկ. 2. Քսելու (կիրառելու) յուրաքանչյուր |
Պետք է հիմնավորվի հետազոտությունն անցկացնելու համար կրիտիկական հետևյալ բոլոր գործոնների ընտրությունը՝
ա) հետազոտության սուբյեկտները։ Կպչուն ժապավենով քերման մեթոդով հետազոտությունները պետք է անցկացվեն առողջ կամավորների վրա, որոնք անցնում են սքրինինգ՝ Կանոնների III մասի 3-րդ բաժնի պահանջներին համապատասխան հետազոտությանը մասնակցելու պիտանիության մասով։
բ) մշակվող հատվածը։ Նախաբազկի առաջային մակերեսի առողջ մաշկի հատվածը պետք է ունենա այնպիսի չափ, որը բավարար է քսելու առնվազն 6 հատված տեղավորելու համար։ Անհրաժեշտ է համոզվել, որ մաշկն ամբողջական է (օրինակ՝ ջրի տրանսէպիդերմալ կորստի (TEWL) մակարդակը չափելու միջոցով)։ Յուրաքանչյուր նախաբազկի վրա պետք է լինեն քսելու համար նախատեսված միևնույն քանակով հատվածներ։ Քսելու համար նախատեսված հատվածների տեղակայման հնարավոր տարբերակը ներկայացված է 1-ին նկարում․
գ) հետազոտության սուբյեկտների քանակը։ Հետազոտության սուբյեկտների քանակի ընտրությունը պետք է լինի հիմնավորված՝ ելնելով այն փոփոխականությունից, որը գնահատվել է պիլոտային հետազոտություններում և վիճակագրական տեսանկյունից կարևոր է։ Համարժեքությունը հաստատելու համար հետազոտության մեջ անհրաժեշտ է ներառել առնվազն 12 սուբյեկտ․
դ) կրկնությունների քանակը։ Անհրաժեշտ է նախատեսել յուրաքանչյուր դեղապատրաստուկի (հետազոտվող պատրաստուկը, համեմատման պատրաստուկը և բացասական հսկողության պատրաստուկը) համար քսելու առնվազն 2 հատված։ Մի նախաբազուկը հարկավոր է օգտագործել կլանման նմուշների համար, իսկ մյուսը՝ կլիրենսի․
ե) դեղապատրաստուկի քսվող դեղաչափը։ Դեղապատրաստուկներն անհրաժեշտ է քսել նախապես սահմանված դեղաչափերով (թույլատրվում են ± 5 %-ից ոչ ավելի շեղումներ) և հավասարաչափ տարածել նշագծված բոլոր հատվածների վրա։ Դատարկ փորձանմուշներն անհրաժեշտ է վերցնել մաշկի մոտակա հատվածներից՝ վստահ լինելու համար, որ չկան ազդող նյութի կամ այլ միացությունների այնպիսի ֆոնային կոնցենտրացիաներ, որոնք կարող են խեղաթյուրել մշակվող եղջերային շերտի մեջ ազդող նյութի քանակական որոշումը․
զ) քսելու հատվածների բաժանումը։ Քսելու հատվածների հերթականությունն անհրաժեշտ է ընտրել պատահականորեն՝ հետազոտության արդյունքների խեղաթյուրումից խուսափելու համար։ Դեղապատրաստուկները հատվածների վրա քսվում են փուլ առ փուլ՝ յուրաքանչյուր հատվածից եղջերային շերտի փորձանմուշներ վերցնելու համար անհրաժեշտ ժամանակային միջակայք ապահովելու նպատակով․
է) քսելու պայմանները։ Հարկավոր է կիրառել առանց օկլյուզիոն փաթաթանի քսելու պայմաններ, եթե միայն այդ փաթաթանը նշված չէ դեղապատրաստուկի մասին տեղեկատվության մեջ կամ այլ կերպ հիմնավորված չէ (օրինակ՝ քսված դեղապատրաստուկի պատահաբար հեռացնելը կանխելու նպատակով)․
ը) դեղապատրաստուկը հեռացնելու պայմանները։ Դեղապատրաստուկն անհրաժեշտ է քսելու բոլոր (կլանման և կլիրենսի) հատվածներից հեռացնել կլանման ֆազի ավարտին։ Մաքրման ընդհանուր ժամանակն անհրաժեշտ է նվազեցնել ազդող նյութի հետագա դիֆուզիայից առաջացած՝ սահմանված արժեքները գերազանցող ցանկացած արժեք ի հայտ գալու ռիսկից խուսափելու նպատակով։ Քերելուց առաջ անհրաժեշտ է ստուգել մշակված տարածքի մաշկի ամբողջականությունը։
«Կլանման» հատվածներն անհրաժեշտ է կպչուն ժապավենով քերել դեղապատրաստուկը հեռացնելուց անմիջապես հետո։ «Կլիրենսի» հատվածներն անհրաժեշտ է կպչուն ժապավենով քերել կլիրենսի՝ նախապես սահմանված ժամանակային կետերում։ Քսելու յուրաքանչյուր հատվածի վրա կատարվող գործողությունների կարգը և քսելու ու նմուշառում կատարելու հատվածների չափերի հարաբերակցությունը ներկայացված են 2-րդ նկարում․
թ) հետազոտությունն անցկացնելու համար անհրաժեշտ կպչուն ժապավենների կոնկրետ քանակը որոշվում է՝ ելնելով ջրի տրանսէպիդերմալ կորստի (TEWL) մակարդակի չափումներից, քերվող տարածքից և պիլոտային հետազոտության մեջ սահմանված դադարի չափորոշիչներից․
ժ) կիրառվող անալիտիկ մեթոդները։ Եղջերային շերտի՝ մեկ կպչուն ժապավենով հեռացվող զանգվածը որոշվում է ծանրաչափական մեթոդի կիրառմամբ և կպչուն ժապավենները քերելուց առաջ և հետո կշռելու միջոցով։ Թույլատրվում է եղջերային շերտի քանակական որոշման այլընտրանքային մեթոդների կիրառումը, եթե դրանք դիմողի կողմից մանրամասն նկարագրված և հիմնավորված են հետազոտության ծրագրի և հետազոտության արդյունքների վրա հիմնված հաշվետվության մեջ։
Անհրաժեշտ է անալիզի ենթարկել յուրաքանչյուր մշակված հատվածից վերցված՝ քերուկով բոլոր կպչուն ժապավենները։ Անհրաժեշտ է առաջին 2 ժապավենները մնացած ժապավեններից առանձին ենթարկել անալիզի՝ այն ազդեցությունը գնահատելու համար, որն ազդող նյութն այդ ժապավեններից ներմուծում է ազդող նյութի դուրս հանվող ընդհանուր քանակի մեջ։ Անալիտիկ հայտնաբերման հավանականությունը մեծացնելու համար հաջորդ կպչուն ժապավենները լուծահանման համար կարելի է միավորել խմբերի մեջ (օրինակ՝ յուրաքանչյուր խումբ, որը պարունակում է եղջերային շերտի պահանջվող նվազագույն քանակ)։ Եղջերային շերտի մեջ ազդող նյութի ընդհանուր զանգվածն անհրաժեշտ է հաշվարկել որպես այն զանգվածների հանրագումար, որոնք արտազատվել են կպչուն ժապավենների բոլոր նմուշներից։ Յուրաքանչյուր մշակված հատվածի համար անհրաժեշտ է որոշել նյութի բալանս՝ ներառյալ մաքրման միջոցով մակերևույթից հեռացված ազդող նյութի պարունակությունը։ Համարժեքության մասին որոշում ընդունելու համար ազդող նյութի՝ 90-110 %-ին հավասար ընդհանուր արտազատված քանակը հիմնավորելու կարիք չկա։ Ցուցանիշների էական շեղումների առկայության դեպքում այդ շեղումների ի հայտ գալու պատճառներն անհրաժեշտ է մանրամասն վերլուծել և պարզաբանել։
4. Կպչուն ժապավենով քերման մեթոդի վալիդացումը
Նախքան կպչուն ժապավենով քերելը քսելու ավարտման փուլում մաշկի մակերևույթի մաքրումը կարևոր է և պետք է թույլ տա արդյունավետորեն հեռացնել դեղապատրաստուկի ավելորդ քանակը (չաբսորբված ազդող նյութը) առանց ազդող նյութը պատնեշի մեջ չկանխամտածված ձևով «ներհրելու»։ Նշված ընթացակարգը սովորաբար նախատեսում է չոր կամ խոնավ անձեռոցիկով, բամբակյա փայտիկներով և (կամ) թարմ սպիրտային անձեռոցիկներով մաշկի արագ և զգույշ սրբում։ Գրանցման դոսյեում պետք է ներկայացված լինի այն բանի հաստատումը, որ մաքրող բաղադրիչները չեն ազդում եղջերային շերտի մեջ և դրա միջով ազդող նյութի դիֆուզիայի վրա։ Անհրաժեշտ է մանրակրկիտ գնահատել և վալիդացնել հենանիշային հետազոտության անցկացումից առաջ մաշկի արդյունավետ մաքրման ընթացակարգը (օրինակ՝ մաշկի մակերևույթից հեռացված դեղապատրաստուկի բավարար (> 90 %) դուրսբերման հաստատմամբ և քսելուց անմիջապես հետո մաքրված մաշկի քերուկից դուրս բերված ազդող նյութի շատ քիչ (< 10 %) պարունակությամբ)։ Կարելի է կիրառել վալիդացման այլ եղանակներ, եթե դրանք, ինչպես հարկն է, հիմնավորված են։
Կպչուն ժապավենների մեջ ազդող նյութի քանակական որոշման համար կիրառվող կենսաանալիտիկ մեթոդիկան պետք է վալիդացվի։ Հետազոտողը պետք է սահմանի և հաստատի լուծահանման գործընթացների արդյունավետության հիմնավորվածությունը (ներառյալ խմբերով կպչուն ժապավենների լուծահանումը)՝ նախքան հենանիշային հետազոտության անցկացումը։
Կպչուն ժապավենով քերման մեթոդի խտրականացնող ունակությունն անհրաժեշտ է հաստատել՝ օգտագործելով որակի տարբեր ցուցանիշներ (բացասական հսկողություն) ունեցող հետազոտվող այնպիսի դեղապատրաստուկի սերիաներ (օրինակ՝ այնպիսի բաղադրությամբ պատրաստուկի դեղաձևով, որը համապատասխանում է նույնպիսի դեղագործական-տեխնոլոգիական բնութագրեր ունեցող, ուսումնասիրվող դեղապատրաստուկի 50 %-անոց դոզավորմանը), որի համար ցույց են տրված հետազոտվող պատրաստուկներից վիճակագրական տարբերությունը և դրանց հետ համեմատության ոչ համարժեք լինելը։ Կպչուն ժապավենով քերված եղջերային շերտի մեջ ազդող նյութի պարունակությունը որոշող անալիտիկ մեթոդները պետք է վալիդացվեն Կանոնների թիվ 6 հավելվածին համապատասխան։
5. Տվյալների վերլուծությունը և դրանց վիճակագրական գնահատումը
Անհրաժեշտ է վերջնական հաշվետվության մեջ ներկայացնել հետազոտության բոլոր սուբյեկտներից ստացված հետազոտության տվյալները և վերլուծել արդյունքների հուսալիությունն ու փոփոխականությունը։ Հետազոտության բոլոր սուբյեկտները և միջամտության ենթարկված՝ քսելու հատվածները պետք է ներառվեն վիճակագրական վերլուծության մեջ։ Հետազոտության սուբյեկտներից ստացված տվյալները բացառելու համար թույլատրված հիմքերը պետք է սահմանված լինեն հետազոտության արձանագրության մեջ։ Տվյալների բացառումը՝ վիճակագրական վերլուծության հիման վրա կամ միայն կինետիկ նկատառումներից ելնելով, ընդունելի չէ։
Յուրաքանչյուր դեղապատրաստուկի համար անհրաժեշտ է հաղորդել հեռացված եղջերային շերտի հաստությունը, օգտագործված կպչուն ժապավենների քանակը և, ինչպես կլանման, այնպես էլ կլիրենսի ժամանակ չափված՝ ջրի տրանսէպիդերմալ կորստի (TEWL) մակարդակի վերջնական արժեքը։ Հետազոտվող դեղապատրաստուկի և համեմատման պատրաստուկի՝ այդ պարամետրերի ցանկացած տարբերություն անհրաժեշտ է քննարկել համարժեքության տեսանկյունից։
Անհրաժեշտ է ներկայացնել ազդող նյութը քսելու յուրաքանչյուր հատվածի համար եղջերային շերտի մեջ դրա պարունակության (օրինակ՝ եղջերային շերտի քերուկով յուրաքանչյուր ժապավենի (մեկ կամ խմբավորված) մեջ ազդող նյութի պարունակությունը) և եղջերային շերտի խորության փոխկախվածության գծապատկերը։
Հետազոտության յուրաքանչյուր սուբյեկտի մոտ յուրաքանչյուր դեղապատրաստուկի համար կրկնակող չափումներն անհրաժեշտ է միջինացնել (պոպուլյացիոն երկրաչափական միջին)՝ նախքան անալիզը։
Դեղապատրաստուկների համեմատման համար համարժեքության պարամետրերը (կլանման (Muptake) և կլիրենսի (Mclearance) հատվածներից վերցված ազդող նյութի զանգվածը) անհրաժեշտ է վիճակագրորեն համեմատել՝ Կանոններում բերված պահանջներին համապատասխան։
Համարժեքության պարամետրերի (Muptake) և (Mclearance) համար ընդունելիության չափորոշիչներ են՝
հետազոտվող դեղապատրաստուկի միջին ցուցանիշների և համեմատման պատրաստուկի միջին ցուցանիշների հարաբերակցության 90 %-անոց վստահելի միջակայքը պետք է գտնվի ընդունելիության՝ 80,00-125,00 %-ին հավասար միջակայքում, եթե այլ բան հիմնավորված չէ․
90 %-անոց վստահելի միջակայքի ընդլայնված սահմաններ (առավելագույնը՝ մինչև 69,84-143,19 %) կարող են ընդունվել ներանհատական բարձր փոփոխականության դեպքում, որը դիտվում է ցածր դոզավորմամբ և սահմանափակ դիֆուզիայով դեղապատրաստուկների դեպքում, ինչպես նաև այն դեպքում, երբ դրանց կիրառումը կլինիկական տեսանկյունից հիմնավորված է։ Ընդլայնված սահմաններ կիրառելու համար անհրաժեշտ է Կանոնների III մասի 11-րդ բաժնում բերված պայմանների կատարումը։
Հետազոտության հուսալիությունն ապահովելու համար պետք է պահպանվեն հետևյալ չափորոշիչները՝
համարժեքության պարամետրերի (Muptake) և (Mclearance) համար՝ ընդունելիության չափորոշիչները.
հետազոտվող դեղապատրաստուկի (Muptake) և (Mclearance) միջին ցուցանիշների և բացասական հսկողության ցուցանիշների հարաբերակցության 90 %-անոց վստահելի միջակայքը պետք է ամբողջությամբ դուրս գտնվի 80,00-125,00 %-անոց միջակայքից.
համեմատման պատրաստուկի (Muptake) և (Mclearance) միջին ցուցանիշների և բացասական հսկողության միջին ցուցանիշների հարաբերակցության 90 %-անոց վստահելի միջակայքը պետք է ամբողջությամբ դուրս գտնվի 80,00-125,00 %-անոց միջակայքից․
հետազոտվող դեղապատրաստուկի (Mclearance) միջին ցուցանիշի և համեմատման պատրաստուկի
ցուցանիշի հարաբերակցության 90 %-անոց վստահելի միջակայքը պետք է ամբողջությամբ պակաս լինի 1,0 արժեքից.
համեմատման պատրաստուկի (Mclearance) միջին ցուցանիշի և այդ համեմատման պատրաստուկի
ցուցանիշի հարաբերակցության 90 %-անոց վստահելի միջակայքը պետք է ամբողջությամբ պակաս լինի 1,0 արժեքից։
Անհրաժեշտ է ներկայացնել հետազոտության ամփոփիչ եզրահանգումները։ Դրանք պետք է ուղեկցվեն ստացված արդյունքների՝ գիտական տեսանկյունից վերլուծությամբ և կպչուն ժապավենով քերման մեթոդով ստացված տվյալների հնարավոր կլինիկական մեկնաբանությամբ։
|
ՀԱՎԵԼՎԱԾ ԹԻՎ 4 Մաշկին քսելու և տեղային կիրառության այլ եղանակների դեպքում տեղային կիրառության դեղապատրաստուկների որակին և կենսահամարժեքությանը ներկայացվող պահանջների |
ՄԵԹՈԴԻԿԱ
կորտիկոստերոիդների համար վազոկոնստրիկցիայի հետազոտության
Ի լրումն Կանոնների թիվ 9 հավելվածում բերված պահանջների՝ կորտիկոստերոիդային դեղապատրաստուկների համար վազոկոնստրիկցիայի անալիզի հետազոտություն կազմակերպելու և անցկացնելու դեպքում անհրաժեշտ է ապահովել հետևյալ պայմանների կատարումը՝
գրանցման դոսյեում ներկայացնել հետազոտության արձանագրության նկարագիրը,
կատարել «դեղաչափի ազդեցության տևողություն-պատասխան» փոխկախվածության գնահատմամբ in vivo պիլոտային հետազոտություն, որպեսզի սահմանվեն հետազոտության կրիտիկական ցուցանիշներ՝ համարժեքության այն պարամետրերը որոշելու համար, որոնք կիրառվելու են համարժեքության հենանիշային հետազոտության մեջ։
Հետազոտություններին կամավորներին ներգրավելու և չներգրավելու չափորոշիչներն անհրաժեշտ է նշել հաշվետվողական փաստաթղթերի մեջ և հետևել պիլոտային ու հենանիշային հետազոտություններում դրանց կատարմանը․
հետազոտությանը ներգրավել տոպիկ [տեղային] կորտիկոստերոիդների նկատմամբ համարժեք վազոկոնստրիկցիա ունեցող, առողջ կամավորի։
Հետազոտվող դեղապատրաստուկը, կրողը, համեմատման պատրաստուկը և առանց պատրաստուկը քսելու հսկողությունն անհրաժեշտ է պատահական հերթականությամբ տարածել նախաբազկի առաջային մակերեսին քսվող հատվածների վրա։
Հետազոտությունը պետք է համապատասխան ձևով կուրացված լինի:
Հենանիշային հետազոտության մեջ անհրաժեշտ է ներառել առնվազն 12 սուբյեկտ։
Վազոկոնստրիկտոր ռեակցիան անհրաժեշտ է որոշել սկզբնական մակարդակում (նախքան դեղապատրաստուկը քսելը), դեղապատրաստուկը հեռացնելու պահին և դեղապատրաստուկը հեռացնելուց հետո մի քանի անգամ (օրինակ՝ 2, 4, 6, 19, 24 ժամ հետո)։
Անհրաժեշտ է հետևել պատասխանի դինամիկային, ընդհուպ մինչև սկզբնական վիճակին վերադառնալը՝ առավելագույն դեղադինամիկ պատասխանի ստացումն ապահովելու նպատակով։ Անալիզն անհրաժեշտ է օպտիմալացնել այնպես, որ դեղապատրաստուկները համեմատվեն մաշկի գունատման կորի գծային հատվածի վրա։ Հետազոտությունից առաջ անհրաժեշտ է հետազոտել քսելու մի քանի ժամանակային կետեր։ Անհրաժեշտ է որոշել մեթոդիկայի զգայունության ստորին սահմանը։
Վազոկոնստրիկտոր ռեակցիան անհրաժեշտ է որոշել ժամանակային մի քանի կետերում և գեներացնել AUC [կոնցենտրացիա-ժամանակ կորի տակ գտնվող տարածք] տվյալները։ Վազոկոնստրիկտոր ռեակցիան գնահատելու համար մեկ ժամանակային կետն անընդունելի է։
Վազոկոնստրիկտոր ռեակցիայի չափումն անհրաժեշտ է իրականացնել՝ քրոմաչափի կամ տեսողական գնահատումից առավել զգայուն այլ մեթոդների կիրառմամբ և անկախ դիտորդի կողմից երկրորդ կլինիկական գնահատում իրականացնելու միջոցով։
(հավելվածը լրաց. ԵՏՀԽ 05.02.23 թիվ 22)
(կանոնները խմբ., լրաց. ԵՏՀԽ 04.09.20 թիվ 67, լրաց., փոփ., խմբ. ԵՏՀԽ 05.02.23 թիվ 22)
Պաշտոնական հրապարակման օրը՝ 22 հունիսի 2022 թվական: