ԵՎՐԱՍԻԱԿԱՆ ՏՆՏԵՍԱԿԱՆ ՀԱՆՁՆԱԺՈՂՈՎ
ԽՈՐՀՈՒՐԴ
Ո Ր Ո Շ ՈՒ Մ
|
4 սեպտեմբերի 2020 թվականի |
թիվ 67 |
քաղ. Մինսկ |
Եվրասիական տնտեսական միության շրջանակներում դեղապատրաստուկների կենսահամարժեքության հետազոտությունների անցկացման կանոններում փոփոխություններ կատարելու մասին
«Եվրասիական տնտեսական միության շրջանակներում դեղամիջոցների շրջանառության միասնական սկզբունքների և կանոնների մասին» 2014 թվականի դեկտեմբերի 23–ի համաձայնագրի 4-րդ հոդվածի 2-րդ կետին և 6-րդ հոդվածին ու Եվրասիական տնտեսական բարձրագույն խորհրդի 2014 թվականի դեկտեմբերի 23-ի թիվ 98 որոշմամբ հաստատված՝ Եվրասիական տնտեսական հանձնաժողովի աշխատանքի կանոնակարգի թիվ 1 հավելվածի 86-րդ կետին համապատասխան՝ Եվրասիական տնտեսական հանձնաժողովի խորհուրդը որոշեց.
1. Եվրասիական տնտեսական հանձնաժողովի խորհրդի 2016 թվականի նոյեմբերի 3-ի թիվ 85 որոշմամբ հաստատված՝ Եվրասիական տնտեսական միության շրջանակներում դեղապատրաստուկների կենսահամարժեքության հետազոտությունների անցկացման կանոններում կատարել փոփոխություններ՝ համաձայն հավելվածի։
2. Սույն որոշումն ուժի մեջ է մտնում դրա պաշտոնական հրապարակման օրվանից 6 ամիսը լրանալուց հետո։
Եվրասիական տնտեսական հանձնաժողովի խորհրդի անդամներ՝
|
Հայաստանի Հանրապետությունից` |
Բելառուսի Հանրապետությունից՝ |
Ղազախստանի Հանրապետությունից՝ |
Ղրղզստանի Հանրապետությունից` |
Ռուսաստանի Դաշնությունից՝ |
|
|
|
|
|
|
|
Մ. Գրիգորյան |
Ի. Պետրիշենկո |
Ա. Սմայիլով |
Է. Ասրանդիև |
Ա.Օվերչուկ |
|
ՀԱՎԵԼՎԱԾ |
ՓՈՓՈԽՈՒԹՅՈՒՆՆԵՐ
Եվրասիական տնտեսական միության շրջանակներում դեղապատրաստուկների կենսահամարժեքության հետազոտությունների անցկացման կանոններում կատարվող
1. Նշված կանոնների 6-րդ կետը շարադրել հետևյալ խմբագրությամբ՝ «Մոդիֆիկացված ձերբազատմամբ դեղաձևերով, վերմաշկային դեղաձևերով և ինհալացիոն դեղաձևերով, ինչպես նաև տեղային կիրառման դեղաձևերով և լիպոսոմալ դեղաձևերով թողարկվող դեղապատրաստուկների կենսահամարժեքությունը հաստատելիս հետազոտությունները հարկավոր է անցկացնել թիվ 9 և 10 հավելվածների պահանջներին, ինչպես նաև Եվրասիական տնտեսական միության (այսուհետ՝ Միություն) իրավունքի մեջ մտնող՝ դեղամիջոցների շրջանառության ոլորտի ակտերին համապատասխան:»:
2. Նշված կանոնների թիվ 8 հավելվածը շարադրել հետևյալ խմբագրությամբ՝
|
«ՀԱՎԵԼՎԱԾ ԹԻՎ 8 |
ԴԵՂԱԿԻՆԵՏԻԿ ՊԱՐԱՄԵՏՐԵՐԻ ՊԱՅՄԱՆԱԿԱՆ ՆՇԱԳՐԵՐԸ
|
Ae(0–t)՝ |
դեղապատրաստուկի ընդունման պահից մինչև t ժամանակը հավաքված մեզի մեջ չփոփոխված ազդող նյութի ընդհանուր պարունակությունը | ||
|
AUC(0–72 ժ)՝ |
«պլազմային կոնցենտրացիա-ժամանակ» կորի տակ ընկած մակերեսը՝ դեղապատրաստուկի ընդունման պահից մինչև 72 ժ | ||
|
AUC(0–∞)՝ |
«պլազմային կոնցենտրացիա-ժամանակ» կորի տակ ընկած մակերեսը՝ դեղապատրաստուկի ընդունման պահից մինչև անվերջություն | ||
|
AUC(0–t)՝ |
«պլազմային կոնցենտրացիա-ժամանակ» կորի տակ ընկած մակերեսը՝ դեղապատրաստուկի ընդունման պահից մինչև t ժամանակային կետում վերջին որոշվող կոնցենտրացիան | ||
|
AUC(0– Ժ)՝ |
դոզավորման միջակայքում կորի տակ ընկած հավասարակշիռ մակերեսը | ||
|
AUC(0–Ժ)ss |
հավասարակշիռ վիճակում դոզավորման միջակայքի ընթացքում «պլազմային կոնցենտրացիա-ժամանակ» կորի տակ ընկած մակերեսը | ||
|
AUC(t–∞) |
կորի տակ ընկած մնացորդային (արտարկվող) մակերեսը, որը որոշվում է
բանաձևով | ||
|
մասնակիAUC |
մասնակի AUC, որը բաժանված է նախապես ընտրված բաժանման կետերով | ||
|
մասնակիAUC(х) |
x ֆազում բազմաֆազ պատրաստուկների մասնակի AUC | ||
|
AUEC |
էֆեկտի կորի տակ ընկած մակերեսը | ||
|
Cmax |
առավելագույն պլազմային կոնցենտրացիան | ||
|
Cmax,ss |
հավասարակշիռ առավելագույն պլազմային կոնցենտրացիան | ||
|
Cmin,ss |
նվազագույն պլազմային կոնցենտրացիան հավասարակշիռ վիճակում | ||
|
СԺ |
կոնցենտրացիան դոզավորման միջակայքի վերջում | ||
|
СԺ,ss |
կոնցենտրացիան դոզավորման միջակայքի վերջում հավասարակշիռ վիճակում | ||
|
D1 |
դեղաչափի ազդեցության տևողությունը, որը հավասար է մոտավորապես 0,5 x ED50 | ||
|
D2 |
դեղաչափի ազդեցության տևողությունը, որը հավասար է մոտավորապես 2 x ED50 | ||
|
Е0 |
սկզբնական էֆեկտը | ||
|
Еmax |
առավելագույն էֆեկտը | ||
|
ED50 |
այն դեղաչափի ազդեցության տևողությունը, որի կիրառման դեպքում էֆեկտը կազմում է առավելագույնի կեսը | ||
|
kel |
տերմինալ էլիմինացման արագության հաստատունը | ||
|
Rmax |
մեզի հետ դուրսբերման առավելագույն արագությունը | ||
|
t1/2 |
պլազմայից կիսադուրսբերման ժամանակահատվածը | ||
|
tmax |
Cmax-ին հասնելու ժամանակը | ||
|
tmax,ss |
Cmax,ss-ին հասնելու ժամանակը | ||
|
tlag |
գաղտնի շրջանը | ||
|
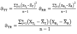
ôTT,ôRR |
ընտրանքային դիսպերսիա | ||
| ôTR |
ընտրանքային կովարիացիա | ||
| x |
ընտրանքային միջինը»: |
3. Լրացնել հետևյալ բովանդակությամբ թիվ 9 հավելվածով՝
|
«ՀԱՎԵԼՎԱԾ ԹԻՎ 9 |
ՊԱՀԱՆՋՆԵՐ
տեղային կիրառման կորտիկոստերոիդային դեղապատրաստուկների կենսահամարժեքության դեղակինետիկ և կլինիկական հետազոտությունների անցկացմանը ներկայացվող
I. Ընդհանուր դրույթներ
1. Սույն պահանջները պարունակում են ցուցումներ՝ ըստ Ստաուտոն ՄաքՔենզիի՝ անոթների նեղացման մոդիֆիկացված կենսաանալիզի մեթոդի (այսուհետ՝ անոթների նեղացման կենսաանալիզ, մաշկի գունատման կենսաանալիզ) օգտագործմամբ դեղադինամիկ հետազոտությունների անցկացման միջոցով՝ տեղային կիրառման կորտիկոստերոիդային դեղապատրաստուկների in vivo կենսահամարժեքության հաստատման վերաբերյալ: Նշված մեթոդը ենթադրում է ազդեցության տևողության գնահատում՝ ներմուծվող տեղային կիրառման կորտիկոստերոիդային պատրաստուկների դեղաչափը հսկելու համար, ինչպես նաև «դեղաչափի ազդեցության տևողություն՝ պատասխան» կախվածության փորձնական հետազոտության անցկացում՝ հենակետային կլինիկական հետազոտության ընթացքոմ դեղաչափի ազդեցության ընդունելի տևողությունը որոշելու համար, և ռեպլիկատիվ դիզայնով և սուբյեկտների «դեղաչափի ազդեցության տևողություն-պատասխան» ընդունելի կախվածության հաստատմամբ in vivo կենսահամարժեքության հենակետային կլինիկական հետազոտության անցկացում: Ինչպես և բոլոր կենսաանալիտիկ մեթոդիկաները՝ տվյալ դեղադինամիկ կենսաանալիզը պահանջում է մանրամասն վալիդացում, ինչը հովանավորի պարտականությունն է:
2. Տեղային կիրառման ուժեղ ազդող կորտիկոստերոիդային դեղապատրաստուկները կարող են ճնշել հիպոթալամո-հիպոֆիզար-մակերիկամային առանցքի աշխատանքը, սակայն այն պատրաստուկների մասով, որոնց կենսահամարժեքությունը հաստատվել է սույն պահանջներին համապատասխան, չի պահանջվում հիպոթալամո-հիպոֆիզար-մակերիկամային առանցքի ճնշմանն ուղղված փորձարկումների արդյունքներ ներկայացնելը որպես հաշվետվություն դեղապատրաստուկի գրանցման դոսյեի կազմում:
3. Սույն պահանջները կիրառվում են տեղային կիրառման կորտիկոստերոիդային դեղապատրաստուկների նկատմամբ՝ անկախ դրանց ակտիվության աստիճանից: Քանի որ «դեղաչափի ազդեցության տևողություն-պատասխան» կախվածության բնութագրերը կարող են փոփոխվել՝ կախված կոնկրետ դեղապատրաստուկից, հիմնական (հենակետային) հետազոտության համապատասխան պարամետրերը որոշելու համար առաջարկվում է փորձնական հետազոտության անցկացում:
4. Ներքին ընդունման 2 պինդ դեղաձևերի կենսահամարժեքության հաստատումը սովորաբար հիմնվում է առողջ կամավորների մասնակցությամբ հետազոտություն անցկացնելիս յուրաքանչյուր դեղապատրաստուկի մեկանգամյա կամ բազմակի դոզավորումից հետո առկա կենսաբանական հեղուկում (օրինակ՝ արյան կամ մեզի մեջ) ազդող նյութի և (կամ) մետաբոլիտի կոնցենտրացիաների համեմատության վրա: Այս մեթոդի կիրառման անհնարինության դեպքում կենսահամարժեքության հաստատման համար թույլատրվում է օգտագործել in vivo և in vitro հետազոտությունների հետևյալ մեթոդները (դրանց նախապատվության նվազման հերթականությամբ)՝
ա) դեղադինամիկ հետազոտություններ.
բ) կլինիկական հետազոտություններ.
գ) in vivo հետազոտություններ կենդանիների վրա.
դ) in vitro հետազոտություններ։
5. Այն դեպքում, երբ ազդող նյութի կամ դրա մետաբոլիտի կոնցենտրացիան չի կարող գնահատվել առկա կենսաբանական հեղուկների մեջ, տեղային կիրառման կորտիկոստերոիդային դեղապատրաստուկների կենսահամարժեքությունը որոշելու համար պահանջվում է դեղադինամիկ կամ կլինիկական in vivo հետազոտության անցկացում: Կլինիկական հետազոտությունները պահանջում են սովորաբար մեծ թվով սուբյեկտների ներգրավում և հաճախ չեն ունենում բավարար զգայունություն: Ի տարբերություն դրանց՝ դեղադինամիկ հետազոտությունները թույլ են տալիս կենսահամարժեքության վերաբերյալ ստանալ ընդունելի տվյալներ՝ համեմատաբար փոքր թվով սուբյեկտների մասնակցությամբ:
6. Տեղային կիրառման վերարտադրված կորտիկոստերոիդային դեղապատրաստուկների գրանցումը պետք է հիմնվի առաջին հերթին դեղադինամիկ էֆեկտների գնահատման վրա: Նման մոտեցումը պայմանավորված է մաշկի միկրոանոթների նեղացման հետևանքով մաշկի գունատում առաջացնելու կորտիկոստերոիդների հատկությամբ: Տվյալ հատկությունը կապված է մաշկի մեջ ներթափանցած ազդող նյութի քանակի հետ և կարող է հիմք հանդիսանալ տեղային կիրառման կորտիկոստերոիդային դեղապատրաստուկների 2 պոտենցիալ համարժեք բաղադրություններից ազդող նյութի ներթափանցումը համեմատելու համար:
7. Չնայած այն բանին, որ գոյություն ունի անոթների նեղացման անալիզի մի քանի տեսակ, ընդհանուր մեթոդը հիմնված է առողջ կամավորներին կորտիկոստերոիդային դեղապատրաստուկը 6-ից 16 ժամ ժամանակահատվածով տեղային զետեղելու վրա, որին հաջորդում է պատրաստվածություն ունեցող շլացած դիտորդի կողմից մաշկի գունատման աստիճանի տեսողական գնահատումը բալային սանդղակով (0-3 կամ 0-4 բալ) մեկ ժամանակային կետում, որպես կանոն, պատրաստուկի հեռացումից 2 ժամ անց:
8. Սույն պահանջները նախատեսում են 2 in vivo հետազոտությունների («դեղաչափի ազդեցության տևողություն-պատասխան» կախվածության փորձնական հետազոտության և in vivo կենսահամարժեքության հենակետային կլինիկական հետազոտության) անցկացում՝ հետազոտվող և ռեֆերենտ դեղապատրաստուկները համեմատելու համար: Փորձնական հետազոտությունը բնութագրում է «դեղաչափի ազդեցության տևողություն-պատասխան» կախվածությունը Еmax-ի որոշման մոդելի շրջանակներում և անցկացվում է բացառապես ռեֆերենտ դեղապատրաստուկի օգտագործմամբ: Կենսահամարժեքությունը հաստատելու համար դեղաչափի ազդեցության տևողության գնահատման նախընտրելի մեթոդը հիմնված է դեղաչափերի ազդեցության 3 տևողությունների օգտագործման վրա՝ ED50, D1 և D2. Հետազոտվող և ռեֆերենտ կորտիկոստերոիդային դեղապատրաստուկների համեմատումը հենակետային հետազոտության շրջանակներում կատարվում է դեղաչափի ազդեցության տևողության այն մակարդակով, որը փորձնական հետազոտության արդյունքներով մոտավորապես համարժեք է պոպուլյացիոն ED50-ին: Հենակետային հետազոտության զգայունությունը սահմանվում է ռեֆերենտ ստուգաճշտման ստանդարտը՝ դեղաչափի ազդեցության տևողության 2 մակարդակներում զետեղելու միջոցով՝ D1 (դեղաչափի ազդեցության ավելի կարճ տևողությամբ ստուգաճշտման ստանդարտ) և D2 (դեղաչափի ազդեցության ավելի մեծ տևողությամբ ստուգաճշտման ստանդարտ): Փորձնական հետազոտության արդյունքների հիման վրա՝ D1-ը անհրաժեշտ է սահմանել մոտավորապես հավասար 0,5xED50-ի, իսկ D2-ը՝ 2xED50-ի: Նման հետազոտության մեջ յուրաքանչյուր սուբյեկտ հանդես է գալիս «դետեկտորի» դերում, այդ պատճառով in vivo կենսահամարժեքությունը հաստատելու համար անալիզի մեջ կարող են ներառվել և վիճակագրական մշակման ենթարկվել միայն այն սուբյեկտների տվյալները, որոնց D2 դեղաչափի՝ D1 դեղաչափի նկատմամբ դեղադինամիկ պատասխանների հարաբերությունը համապատասխանում է սահմանված նվազագույն արժեքին:
II. Սահմանումներ
9. Սույն պահանջների նպատակների համար օգտագործվում են հասկացություններ, որոնք ունեն հետևյալ իմաստը՝
բուժմանը չարձագանքած սուբյեկտ (nonresponder)՝ փորձնական և հենակետային հետազոտություններում միևնույն պայմաններում (օկլյուզիայով կամ առանց օկլյուզիայի) օգտագործված ռեֆերենտ դեղապատրաստուկի դեղաչափի ազդեցության մեկանգամյա տևողությանը չարձագանքող սուբյեկտ.
բուժմանը արձագանքած սուբյեկտ (responder)՝ փորձնական կամ հենակետային հետազոտություններում միևնույն պայմաններում (օկլյուզիայով կամ առանց օկլյուզիայի) օգտագործված ռեֆերենտ դեղապատրաստուկի դեղաչափի ազդեցության մեկանգամյա տևողությանը արձագանքող սուբյեկտ:
III. Դեղադինամիկ էֆեկտների հետազոտություն՝ անոթների նեղացման անալիզ
10. Համարժեքության հետազոտությունների արդյունքները գնահատելիս Եվրասիական տնտեսական միության անդամ պետությունների (այսուհետ՝ անդամ պետություններ) լիազորված մարմինները (փորձագիտական կազմակերպությունները) պետք է հավաստիանան կատարողի կողմից մաշկի անոթների նեղացման անալիզի մեթոդով համարժեքությունն ուսումնասիրելիս հետևյալ հետազոտություններն անցկացնելու մեջ՝
մաշկի անոթների նեղացման անալիզի մեթոդի՝ որպես կենսաանալիզի, վալիդացման և ստանդարտացման.
անոթների նեղացման պատշաճ գնահատման նպատակով՝ որպես դիտորդ պատրաստում անցած անձնակազմի ընտրության:
1. Մաշկի անոթների նեղացման անալիզի մեթոդի վալիդացում և ստանդարտացում
11. Տեղային կիրառման կորտիկոստերոիդային դեղապատրաստուկների կենսահամարժեքությունը գնահատելու համար անոթների նեղացման անալիզի կիրառումը հիմնվում է այն ենթադրության վրա, որ տեղային կիրառման ժամանակ կորտիկոստերոիդների անոթներ նեղացնող հատկությունները կարող են օգտագործվել ստանդարտ վալիդացված կենսաանալիզի մեթոդի մշակման համար: Մշակման արդյունքները և կենսաանալիզի վալիդացումը պետք է փաստաթղթորեն ձևակերպվեն:
12. Կորտիկոստերոիդային դեղապատրաստուկի գրանցման դոսյեի փորձաքննության ընթացքում անհրաժեշտ է կատարել որոշակի դեղաչափի ներմուծումից հետո արյան մեջ կորտիկոստերոիդային դեղապատրաստուկի կոնցենտրացիայի քանակական որոշման համար ԲԱՀՔ կամ ԳՀՔ մեթոդիկայի վալիդացման արդյունքների համադրում՝ անոթների նեղացման կենսաանալիզի մեթոդիկայի վալիդացման արդյունքների հետ: Անոթների նեղացման կենսաանալիզ օգտագործելու դեպքում ԲԱՀՔ կամ ԳՀՔ դետեկտորի պատասխանը ազդող նյութի հայտնի քանակին փոխարինվում է ազդող նյութի ներմուծված քանակին դիտվող դեղադինամիկ պատասխանով (տվյալ դեպքում՝ տեղային կիրառման կորտիկոստերոիդային դեղապատրաստուկ օգտագործելիս անոթների նեղացմամբ):
13. Մինչդեռ արյան և մեզի մեջ կոնցենտրացիայի տիպիկ անալիզում օգտագործվում է միայն մեկ գործիք և «դետեկտոր», դեղադինամիկ կենսաանալիզի մեթոդի օգտագործմամբ հետազոտության յուրաքանչյուր սուբյեկտ հանդես է գալիս ազդող նյութի հայտնի կամ անհայտ քանակին արձագանքող «դետեկտորի» դերում: Չնայած արյան կամ մեզի մեջ կոնցենտրացիայի ստանդարտ անալիզի և կենսաանալիզի միջև հիմնարար տարբերություններին, ստանդարտացման և վալիդացման սկզբունքների մեծ մասը համադրելի են:
Գծայնություն
14. Կորտիկոստերոիդային դեղապատրաստուկի դեղաչափի կամ կոնցենտրացիայի և դրա հետազոտվող դեղադինամիկ էֆեկտի միջև դեղադինամիկ կախվածությունը կիրառելի է անոթների նեղացման կենսաանալիզի մեջ՝ դրա գծայնության գնահատման առկայության դեպքում: Չնայած այն բանին, որ գոյություն ունեն «դեղաչափ՝ էֆեկտ» կախվածության նկարագրության տարբեր մոդելներ, անոթների նեղացման կենսաանալիզի համար կիրառվում է գնահատման Emax մոդելը կամ համապատասխան Emax սիգմայաձև մոդելը, որի հաշվարկն իրականացվում է հետևյալ բանաձևով՝
|
E = E0 + |
Emax xD |
|
|
ED50 +D |
Էֆեկտի մեծությունը (Е) ցանկացած դեղաչափի ներմուծումից (D) հաշվարկվում է ելնելով 3 հաստատունների արժեքներից՝ սկզբնական էֆեկտի (Е0), առավելագույն էֆեկտի (Еmax) և այն դեղաչափի, որի ներմուծումից էֆեկտը կազմում է առավելագույնի կեսը (ED50):
15. in vivo պայմաններում անոթների նեղացումը մոտենում է առավելագույնին: Այսպիսով, կենսահամարժեքության գնահատման համար մաշկի անոթների նեղացման անալիզի մեթոդը կիրառելիս լուծում պահանջող հիմնական խնդիրը՝ հետազոտվող պատրաստուկները զետեղելու ժամանակ մաշկի միկրոանոթների պատասխանի՝ գծային ընդգրկույթի սահմաններից դուրս գալն է: Տեղային կիրառման կորտիկոստերոիդային դեղապատրաստուկների համեմատաբար բարձր դոզավորումներն անոթների նեղացման վրա կարող են ունենալ նվազագույն ազդեցություն՝ անկախ դեղաչափի մեծության փոփոխման միջակայքից: Տեղային կիրառման կորտիկոստերոիդային դեղապատրաստուկի համեմատաբար ցածր դոզավորումների դեպքում հիմնական խնդիրն անոթների հուսալի և վերարտադրելի նեղացում առաջացնող նվազագույն դեղաչափի որոշումն է: Նվազագույն դեղաչափի որոշումը՝ ստանդարտ դեղակինետիկ կոր կառուցելիս կենսաանալիտիկ մեթոդիկաների վալիդացման ընթացքում արյան կամ մեզի մեջ ազդող նյութի կոնցենտրացիայի քանակական որոշման ստորին շեմի որոշման անալոգն է: ED50, D1 и D2 ընտրության ճիշտ լինելը գնահատելու համար անհրաժեշտ է « դեղաչափ-պատասխան» ստանդարտ կորի կառուցում և վալիդացում:
16. Անալիտիկ մեթոդիկաների ստանդարտ վալիդացման համար անհրաժեշտ է «դետեկտորի» պատասխանի գծայնության սահմանումը: Անոթների նեղացման անալիզը մշակելիս նույնպես ցանկալի է պատասխանի գծայնությունը: Քանի որ վերարտադրված և ռեֆերենտ կորտիկոստերոիդային դեղապատրաստուկների արդյունաբերական բաղադրագրերը կարող են գրանցվել «դեղաչափ-պատասխան» կորի հարթակին համապատասխանող դոզավորումներով կիրառելու համար, ապա մեթոդիկան պետք է օպտիմալացնել՝ կորի գծային հատվածում պատրաստուկների համեմատումն ապահովելու համար:
17. Տեղային կիրառման կորտիկոստերոիդային դեղապատրաստուկների մասով «դեղաչափ-էֆեկտ» կախվածության սահմանումը պետք է հիմնված լինի մաշկի վրա դեղապատրաստուկի ուսումնասիրվող դեղաչափի հուսալի զետեղումն ապահովող եղանակի օգտագործման վրա: Թույլատրվում է կորտիկոստերոիդային դեղապատրաստուկի ուսումնասիրվող դեղաչափի հուսալի զետեղումն ապահովող հետևյալ մեթոդներից մեկի օգտագործումը՝
դեղաչափի ազդեցության տևողության մեթոդ.
նոսրացման մեթոդ.
մակերևույթի մեթոդ:
Նոսրացման և դեղաչափի տևողության մեթոդները լավ ստանդարտացվող և վերարտադրվող մեթոդներ են, սակայն միշտ չէ, որ նոսրացման մեթոդը թույլ է տալիս հաշվի առնել պատրաստուկների բաղադրությունում տարբերությունների առանձնահատկությունները: Տեղային կիրառման կորտիկոստերոիդային դեղապատրաստուկների կենսահամարժեքության հաստատման համար առավել համապատասխան մեթոդ է դեղաչափի ազդեցության տևողության մեթոդը: Տեղային կիրառման կորտիկոստերոիդային դեղապատրաստուկների «դեղաչափի ազդեցության տևողություն-պատասխան» կախվածության սահմանումը թույլ կտա որոշել «պատասխան-ժամանակ» կորի կետերը, երբ անոթների նեղացումը դառնում է ոչ զգայուն: Ընդհանուր առմամբ, որպեսզի ապահովվի առավելագույն դեղադինամիկ պատասխանի դիտումը դեղաչափի յուրաքանչյուր տևողության դեպքում, պատասխանի ժամանակային դինամիկան պետք է որոշվի մինչև սկզբնական մակարդակին վերադառնալը:
Ճշտություն, ճշգրտություն և զգայունություն
18. Տեղային կիրառման կորտիկոստերոիդային դեղապատրաստուկի կենսաանալիզի ճշտությունը, ճշգրտությունը և զգայունությունը որոշելու մեթոդաբանության մշակումը պետք է կատարվի անոթների նեղացման անալիզի համար ընդունելի ստանդարտ կորի կառուցման հետ միաժամանակ: Հետազոտության մեջ ընդգրկված պացիենտների յուրաքանչյուր խմբի համար անհրաժեշտ է մշակել նշված մեթոդաբանությունը և կառուցել անոթների նեղացման անալիզի համար ստանդարտ կորը: Արյան կամ մեզի մեջ ազդող նյութի կոնցենտրացիայի ստանդարտ անալիզի նման՝ այս տեղեկություններն ստանում են՝ օգտագործելով ստուգիչ խումբը, որի սուբյեկտները չեն ենթարկվում ազդեցության, և ստուգաճշտման ստանդարտներ, որոնք պարունակում են հետազոտվող տեղային կիրառման կորտիկոստերոիդային դեղապատրաստուկը: Փորձարկումների արդյունքների վերարտադրումը ստուգիչ խմբում և ստուգաճշտման ստանդարտների կիրառմամբ թույլ է տալիս գնահատել վարիացիայի գործակիցները: Ինչպես և ստանդարտ ԲԱՀՔ և ԳՀՔ մեթոդիկաները, որոնց ստուգաճշտման ստանդարտը ենթադրում է «դետեկտորի» պատասխանի գնահատումն ազդող նյութի հայտնի կոնցենտրացիային, տեղային կիրառման կորտիկոստերոիդային դեղապատրաստուկի՝ դեղաչափի ազդեցության տևողության վրա հիմնված դեղադինամիկ կենսաանալիզում ստուգաճշտման ստանդարտը ենթադրում է տեղային կիրառման կորտիկոստերոիդային դեղապատրաստուկի ստանդարտ դեղաչափի զետեղումը և դրա ազդեցությունը մաշկի վրա տարբեր տևողության ժամանակահատվածների ընթացքում:
2. Անոթների նեղացման գնահատում
19. Էրիտեմայի հայտնաբերման համար ապարատային քրոմաչափության կամ գունաչափության կիրառումը թույլ է տալիս անոթների նեղացման անալիզի շրջանակներում սուբյեկտիվ տեսողական գնահատումը փոխարինել օբյեկտիվ, քանակապես որոշելի գնահատմամբ: Անդամ պետությունների լիազորված մարմինների (փորձագիտական կազմակերպությունների) կողմից ընդունվում են անոթների նեղացման անալիզի հիման վրա կենսահամարժեքության հետազոտություններում ապարատային գնահատման արդյունքները: Սակայն քրոմաչափի (գունաչափի) չափումների և վիզուալ գնահատականների միջև կոռելյացիա սահմանելով համապատասխան վալիդացում անցկացնելիս թույլատրվում է անոթների նեղացման աստիճանի վիզուալ գնահատման մեթոդի օգտագործումը:
20. Վիզուալ գնահատման համեմատ՝ մաշկի գունատման նկատմամբ քրոմաչափն ունի ավելի բարձր զգայունություն:
21. Պլազմայի մեջ կորտիզոլի պարունակության ցիրկադային ռիթմով պայմանավորված՝ մաշկի անոթների ռեակցիայի փոփոխման ցիրկադային ռիթմի առկայության հետ կապված՝ մաշկի գունատումն անհրաժեշտ է գնահատել 2 հաջորդական 24-ժամանոց միջակայքի ընթացքում (48 ժամ): Դեղապատրաստուկը հեռացնելու կամ զետեղելու պահից առնվազն 24 ժամվա ընթացքում ստացված՝ դեղադինամիկ կորի տակ մակերեսի արժեքները (AUEC) կիրառելի են սույն պահանջների 51-րդ կետում ներկայացված մեթոդիկայում՝ կենսահամարժեքության գնահատման համար:
22. Քրոմաչափով չափված և առանց դեղապատրաստուկի զետեղման մաշկի ստուգիչ հատվածներում անոթների վիճակի սկզբնական արժեքին համապատասխան ճշգրտված՝ անոթների նեղացման աստիճանի ցուցանիշներով (AUEC ստուգիչ խմբում) պետք է հաստատվի, որ հետազոտության սուբյեկտների մոտ բացակայում են՝
դեղապատրաստուկի նկատմամբ ձախ և աջ ձեռքերի մաշկի պատասխանների տարբերությունը.
պատասխանի մեծության վրա՝ մինչև արմունկի փոսիկը կամ դաստակը 3-4 սմ-ից ոչ մոտ հեռավորության վրա գտնվող ձեռքի մաշկի վրա դեղապատրաստուկի զետեղման հատվածի ազդեցությունը:
Եթե պարզվել է, որ պատասխաններում առկա է տարբերություն կամ պատասխանի մեծության վրա՝ դեղապատրաստուկը զետեղելու հատվածի ազդեցություն, ապա անհրաժեշտ է օգտագործել սույն պահանջների 59-րդ կետում նշված կլինիկական հետազոտության դիզայնը, որի դեպքում յուրաքանչյուր ձեռքի վրա դեղապատրաստուկը զետեղելու սխեմաները կոմպլեմենտար են (օրինակ՝ հետազոտվող դեղապատրաստուկը մի ձեռքի վրա զետեղելու հատվածները համընկնում են մյուս ձեռքի վրա ռեֆերենտ դեղապատրաստուկը զետեղելու հատվածների հետ): Դա թույլ է տալիս նվազագույնի հասցնել պատասխանների տարբերությունը կամ պատասխանի մեծության վրա՝ դեղապատրաստուկը քսելու հատվածի ազդեցությունը:
IV. «Դեղաչափի ազդեցության տևողություն-պատասխան» կախվածության փորձնական հետազոտություն
23. Փորձնական հետազոտության նպատակն է «դեղաչափի ազդեցության տևողություն-պատասխան» կախվածության գնահատումը, որը պետք է ուսումնասիրվի տեղային կիրառման կորտիկոստերոիդային դեղապատրաստուկի in vivo կենսահամարժեքության հիմնական (հենակետային) հետազոտության ընթացքում: Սույն հետազոտությունը համանման է կենսաբանական մատրիցում ազդող նյութի պարունակության անալիզի ժամանակ ստանդարտ կորի մշակմանը: Փորձնական հետազոտության արդյունքը թույլ է տալիս ստանալ «դեղաչափի ազդեցության գնահատում-պատասխան» կախվածության վերաբերյալ տեղեկություններ, որոնք անհրաժեշտ են ED50, D1 և D2 պարամետրերի որոշման համար և որոնք օգտագործվում են in vivo կենսահամարժեքության հենակետային հետազոտության մեջ, և կատարել այն սուբյեկտների մասնաբաժնի գնահատում, որոնք ենթադրաբար կհամապատասխանեն հենակետային հետազոտության մեջ D2 դեղաչափի համար AUEC ցուցանիշների՝ D1 դեղաչափի համար AUEC ցուցանիշներին հարաբերության նվազագույն արժեքին: Քանի որ փորձնական հետազոտության արդյունքները կարող են ֆունկցիոնալ կերպով կախված լինել հետազոտության պայմաններից՝ ներառյալ ի թիվս այլ գործոնների՝ սուբյեկտների խմբի բնութագրերը, մաշկի գունատման գնահատման մեթոդոլոգիան, զետեղված դեղապատրաստուկի քանակը, հարկավոր է անցկացնել փորձնական հետազոտություն յուրաքանչյուր հետազոտական կենտրոնում՝ հետազոտության յուրաքանչյուր ռեֆերենտ դեղապատրաստուկի համար:
1. Հետազոտության դիզայն ու վերլուծություն
24. «Դեղաչափի ազդեցության տևողություն-պատասխան» հետազոտությունն անցկացվում է միայն ռեֆերենտ կորտիկոստերոիդային դեղապատրաստուկի մասով՝ ռանդոմացնելով զետեղելու հատվածներն ըստ դեղաչափի ազդեցության տևողության: Հետազոտության ընթացքում դեղապատրաստուկի ազդեցությանը ենթարկված մաշկի հատվածների գույնի փոփոխության ճշգրտումը հաշվի առնելու համար, անկախ դեղապատրաստուկի ազդեցության տևողությունից օգտագործում են դեղաչափի ազդեցության 0,25-ից մինչև 6,0 ժամ տևողությունը, ինչպես նաև դրա զետեղումը յուրաքանչյուր ձեռքի չմշակված ստուգիչ հատվածներին: Քանի որ համապատասխան ռեֆերենտ կորտիկոստերոիդային դեղապատրաստուկի կրիչը (հիմքը), որպես կանոն, հասանելի չէ, ապա չմշակված ստուգիչ հատվածները են մաշկի չմշակված հատվածներ են, այլ ոչ թե մաշկի շրջաններ, որոնց վրա զետեղված է կրիչը (հիմքը):
25. Տեղային կիրառման կորտիկոստերոիդային դեղապատրաստուկի նկատմամբ դեղադինամիկ պատասխանի քրոմաչափական գնահատումը դեղապատրաստուկի դեղաչափի յուրաքանչյուր զետեղումից և հեռացումից հետո կատարվում է տարբեր ժամանակահատվածներ անց, այլ ոչ թե նույն ժամանակային կետում:
26. «Դեղաչափի ազդեցության տևողություն-պատասխան» կախվածության վերաբերյալ տվյալների նկատմամբ կիրառվում է խառը էֆեկտներով ոչ գծային մոդելի մոտեցումը կամ պոպուլյացիոն ED50-ի մեծության գնահատման համար տվյալների պարզ միավորման մեթոդը, որը պետք է ծառայի որպես հիմնական (հենակետային) հետազոտության մեջ կենսահամարժեքության հաստատման համար դեղաչափի ազդեցության տևողության մոտավոր արժեք:
27. Հետազոտություններն անցկացվում են 12 սուբյեկտների մասնակցությամբ:
28. Մի քանի դոզավորումների առկայության դեպքում փորձնական և հենակետային հետազոտությունները հարկավոր է անցկացնել առավելագույն դոզավորում ունեցող դեղապատրաստուկով: Տեղային կիրառման մաշկաբանական կորտիկոստերոիդային դեղապատրաստուկի ավելի փոքր դոզավորումների կենսահամարժեքության հետազոտություններում լրացուցիչ դոզավորումների համար բիովեյվեր թույլատրվում է կիրառել 2 պայման կատարելու դեպքում՝
դեղապատրաստուկի ավելի բարձր դոզավորման համար ստացվել են մարդու մոտ կենսահամարժեքության (in vivo) ուսումնասիրության դրական արդյունքներ.
ներկայացվել են տվյալներ հետազոտվող դեղապատրաստուկի ավելի փոքր դոզավորումների և ռեֆերենտ դեղապատրաստուկի համապատասխան դոզավորումների օժանդակ նյութերի բաղադրության համադրելիության մասին՝ ինչպես դրանց որակական բաղադրության առումով (Q1 պարամետր), այնպես էլ բաղադրության յուրաքանչյուր բաղադրիչի քանակական պարունակության առումով (Q2 պարամետր):
Հետազոտվող դեղապատրաստուկի ավելի փոքր դոզավորումների համար օժանդակ նյութերի՝ ըստ Q1 և Q2 պարամետրերի բաղադրության՝ ռեֆերենտ դեղապատրաստուկի համապատասխան դոզավորումների նկատմամբ համադրելիության պահանջները չկատարելու դեպքում բիովեյվերի կիրառումը լրացուցիչ դոզավորումների համար հնարավոր է միայն ուսումնասիրվող դեղապատրաստուկների կիրառման արդյունավետության և անվտանգության վրա բաղադրությունների տարբերության ազդեցության բացակայության մասին հայտատուի կողմից հիմնավորում ներկայացնելու դեպքում:
2. Հետազոտության մեջ սուբյեկտների ընդգրկման չափանիշներ
29. Հետազոտությունը պլանավորելիս և անցկացնելիս օգտագործվում են հետազոտության մեջ սուբյեկտների ընդգրկման հետևյալ չափանիշները՝
ա) սուբյեկտն ունի «առողջ է» վերիֆիկացված ախտորոշում.
բ) ի պատասխան տեղային ազդեցության կորտիկոստերոիդային դեղապատրաստուկի կիրառման՝ սուբյեկտի մոտ նկատվում է անոթների արտահայտված նեղացում (բուժմանը արձագանքած սուբյեկտ).
գ) սուբյեկտի ստորագրած տեղեկացված համաձայնության առկայությունը.
դ) սուբյեկտի պատրաստակամությունը՝ պահպանել հետազոտության անցկացման պայմանները:
3. Հետազոտության մեջ սուբյեկտներին չընդգրկելու չափանիշները և հետազոտությունից սուբյեկտներին բացառելու չափանիշները
30. Հետազոտությունը պլանավորելիս և անցկացնելիս օգտագործվում են հետազոտության մեջ սուբյեկտներին չընդգրկելու հետևյալ չափանիշները (ինչպես նաև հետազոտությունից բացառելու չափանիշները)՝
ա) կլինիկորեն նշանակալի արտերիալ հիպերթենզիա կամ արյան շրջանառության համակարգի հիվանդություններ.
բ) ծխելը 1 շաբաթվա ընթացքում՝ մինչև հետազոտության սկիզբը և հետազոտության ժամանակ.
գ) օրական 500 մգ-ից ավելի կոֆեինի օգտագործումը մինչև հետազոտության սկիզբը կամ հետազոտության ժամանակ (1 գավաթ սուրճը պարունակում է մոտավորապես 85 մգ կոֆեին).
դ) կլինիկորեն նշանակալի ալկոհոլային կամ թմրամոլային կախվածություն անամնեզում.
ե) նախաբազուկների առջևի մակերեսի վրա զետեղվող տեղային կիրառման մաշկաբանական դեղապատրաստուկների օգտագործումը (ներառյալ դեղադինամիկ հետազոտության ընթացքում մաշկի որոշակի հատվածի վրա տեղային կիրառման կորտիկոստերոիդային դեղապատրաստուկի նախորդող զետեղումը) 1 ամսվա ընթացքում՝ մինչև հետազոտության սկիզբը.
զ) տեղային կամ համակարգային ազդեցության կորտիկոստերոիդային դեղապատրաստուկների նկատմամբ անցանկալի ռեակցիաներ.
է) ցանկացած հիվանդություն անամնեզում կամ ներկա ժամանակ (ներառյալ ակտիվ մաշկաբորբը) կամ ցանկացած այլ մաշկաբանական վիճակ, որոնք կարող են զգալիորեն ազդել ներմուծվող դեղապատրաստուկի դեղադինամիկ պատասխանի վրա.
ը) սուբյեկտի նախաբազուկների առջևի մակերեսներից մազերի հեռացման անհրաժեշտություն, որոնք թույլ չեն տալիս ապահովել մաշկի մակերեսին դեղապատրաստուկի համապատասխան դեղաչափի զետեղումը.
թ) սուբյեկտի կողմից ցանկացած վազոակտիվ դեղապատրաստուկի կիրառում, որն ունակ է ազդելու արյան հոսքի վրա (վազոկոնստրիկտորներ և վազոդիլատատորներ), անկախ այդ դեղապատրաստուկների բացթողման կարգից (դեղատոմսով կամ առանց դեղատոմսի): Նման դեղապատրաստուկների օրինակներ են՝ նիտրոգլիցերինը, հիպոթենզիվ և հակահիստամինային դեղապատրաստուկները, ոչ ստերոիդային հակաբորբոքիչ պատրաստուկները (այդ թվում՝ ասպիրինը), հազի օշարակները կամ սուր շնչառական վիրուսային վարակի սիմպտոմատիկ բուժման համար օշարակները, որոնք պարունակում են հակահիստամինային ազդող նյութեր և (կամ) ֆենիլպրոպանոլամին, ինչպես նաև ֆենտոլամին պարունակող դեղապատրաստուկները.
ժ) սուբյեկտի ձեռքերի մաշկի գույնի ցանկացած ակնհայտ տարբերություն:
4. Հետազոտության ժամանակ սուբյեկտների նկատմամբ կիրառվող սահմանափակումները
31. Հետազոտության ժամանակ սուբյեկտների նկատմամբ սահմանվում են հետևյալ սահմանափակումները՝
ա) չի թույլատրվում ձեռքերի ֆիզիկական ծանրաբեռնվածություն, ինչպես նաև ընդհանուր առմամբ օրգանիզմի ֆիզիկական ծանրաբեռնվածություն.
բ) չի թույլատրվում լոգանք կամ ցնցուղ ընդունել դեղապատրաստուկը զետեղելու ժամանակահատվածում և մաշկի ռեակցիայի գնահատման ժամանակահատվածում.
գ) չի թույլատրվում մինչև հետազոտության սկիզբը 24 ժամվա ընթացքում և հետազոտության ամբողջ ժամանակահատվածում նախաբազուկներին քսել փափուկ ձևերի կոսմետիկական արտադրանք (քսուքներ, փափկեցնող միջոցներ կամ նույնանման արտադրանք):
5. Բուժմանն արձագանքած սուբյեկտների սքրինինգ
32. Բուժմանը չարձագանքած սուբյեկտների ընդգրկումը հետազոտության մեջ նվազեցնում է հետազոտության արդյունքների հիման վրա՝ հետազոտվող և ռեֆերենտ դեղապատրաստուկների միջև իրական տարբերությունների հայտնաբերումը, եթե դրանք գոյություն ունեն: Այդ պատճառով «դեղաչափի ազդեցության տևողություն-պատասխան» փորձնական հետազոտության և կենսահամարժեքության հենակետային հետազոտության մեջ անհրաժեշտ է ընդգրկել միայն բուժմանն արձագանքած սուբյեկտներին:
33. Փորձնական և հիմնական (հենակետային) հետազոտություններում մաշկի գունատման քանակական գնահատումը քրոմաչափի օգնությամբ համարվում է առավել ընդունելի: Սակայն վիզուալ հաշվարկի համար բալային սանդղակի ընդհատունության պատճառով (0-3 կամ 0-4 բալ) բուժմանը արձագանքած սուբյեկտի կարգավիճակի որոշումը կարող է հիմնվել վիզուալ գնահատման վրա: Դեղաչափի ազդեցության առաջարկվող տևողությունը կազմում է 4 ժամ (III խմբի ակտիվության պատրաստուկների համար) կամ 6 ժամ՝ դեղապատրաստուկի հեռացումից հետո 2 ժամ անց մաշկի գունատման գնահատմամբ: Բուժմանն արձագանքած սուբյեկտի մաշկի գույնի վիզուալ գնահատման ժամանակ արձանագրվում է գույնի փոփոխություն առնվազն 1 միավորով:
34. «Դեղաչափի ազդեցության տևողություն-պատասխան» կախվածության հետազոտություններում և կենսահամարժեքության հետազոտություններում օգտագործելու նպատակով նախաբազկի վրա մաշկի հատվածները պահպանելու նպատակով, բուժմանն արձագանքած սուբյեկտի կարգավիճակը որոշելու համար հետազոտություններն անցկացվում են մյուս հատվածների վրա:
35. Հետազոտության վերաբերյալ հաշվետվության մեջ անհրաժեշտ է ներառել բուժմանն արձագանքած սուբյեկտներին որոշելու չափանիշները (ներառյալ դեղաչափի ազդեցության տևողությունը, պատասխանի մեծությունը և մաշկի հետազոտվող հատվածի նշումը): Բուժմանն արձագանքած սուբյեկտի կարգավիճակը կարող է հաստատվել նաև անոթների նեղացման անալիզով նախորդ հետազոտության մեջ մասնակցությամբ:
6. Անալիտիկ մեթոդիկայի ճշգրտության վալիդացում
36. Անալիտիկ մեթոդիկայի ճշգրտության վալիդացումը մաշկի հատվածի ներսում կամ հատվածների միջև պետք է փաստաթղթավորված լինի սույն բաժնի 2-4-րդ ենթաբաժիններում շարադրված չափանիշներին և սահմանափակումներին համապատասխանող 4-6 սուբյեկտների մոտ: Անհրաժեշտ է ընտրել նախաբազկի յուրաքանչյուր առջևի մակերեսի վրա 4 չմշակված ստուգիչ հատված: Քրոմաչափի չորս ցուցմունքներն անհրաժեշտ է ստանալ յուրաքանչյուր հատվածի համար 1 ժամվա ընթացքում:
37. Վալիդացիոն հետազոտությունը հաստատում է ընդունելի ճշգրտությունը՝ կենսահամարժեքության հետազոտություն անցկացնող կազմակերպության կողմից մաշկի գունատման աստիճանը քրոմաչափի օգտագործմամբ չափելու համար: Հետազոտությունն անհրաժեշտ է անցկացնել մինչև դեղապատրաստուկի ներմուծումը:
38. Արդյունքներն անհրաժեշտ է շարադրել փորձնական հետազոտության վերաբերյալ հաշվետվության մեջ (եթե նման հետազոտություն անցկացվել է), ինչպես նաև in vivo կենսահամարժեքության հիմնական (հենակետային) հետազոտության հաշվետվության մեջ:
7. Դեղապատրաստուկների օկլյուզիոն և ոչ օկլյուզիոն զետեղումը
39. Տեղային կիրառման կորտիկոստերոիդային դեղապատրաստուկների վերաբերյալ տեղեկատվությունը թույլ է տալիս օգտագործել օկլյուզիոն վիրակապ՝ պսորիազի կամ դժվար բուժվող հիվանդությունների թերապիայում: Կորտիկոստերոիդային դեղապատրաստուկի վերաբերյալ տեղեկատվության (դեղապատրաստուկի ընդհանուր բնութագրի, բժշկական կիրառման վերաբերյալ հրահանգի) մեջ ներկայացվում են տեղեկություններ տվյալ դեղապատրաստուկների՝ օկլյուզիոն վիրակապերով օգտագործելու հնարավորության կամ անթույլատրելիության մասին: Եթե ռեֆերենտ կորտիկոստերոիդային դեղապատրաստուկի վերաբերյալ տեղեկատվության մեջ նշված է օկլյուզիոն վիրակապերի օգտագործման թույլատրելիությունը, ապա «դեղաչափի ազդեցության տևողություն-պատասխան» փորձնական հետազոտությունը և in vivo կենսահամարժեքության հիմնական (հենակետային) հետազոտությունը կարող են անցկացվել օկլյուզիոն վիրակապերի օգտագործմամբ: Սակայն նման հետազոտությունները նախընտրելի չեն, քանի որ ավելի վաղ անցկացված փորձնական հետազոտությունների վերլուծությունը թույլ է տալիս ենթադրել, որ նման պայմաններում ED50-ի մեծությունը (դեղաչափի ազդեցության տևողությունը՝ հիմնական (հենակետային) հետազոտության մեջ օգտագործելու համար) նվազելու է տեղային կիրառման կորտիկոստերոիդային դեղապատրաստուկների ակտիվության աճին զուգընթաց: «Դեղաչափի ազդեցության տևողություն-պատասխան» կախվածության գնահատումը պահանջում է դեղաչափի ազդեցության ավելի փոքր տևողության տվյալներ, քան ED50-ը: Դեղաչափի ազդեցության շատ կարճ տևողությունն առաջացնում է բարդություններ հետազոտության անցկացման ժամանակ և նպաստում է պատասխանի բարձր փոփոխականությանը: Այսպիսով, օկլյուզիայի կիրառումը նպատակահարմար է միայն ավելի ցածր ակտիվությամբ դեղապատրաստուկների համար (օրինակ՝ ակտիվության VI և VII խմբերի համար): Եթե օկլյուզիան օգտագործվում է փորձնական հետազոտության համար, ապա նույն պայմանները պետք է օգտագործվեն հիմնական (հենակետային) հետազոտության ժամանակ:
8. Դեղապատրաստուկներ զետեղելու և հեռացնելու եղանակները
40. Փորձնական և հիմնական (հենակետային) հետազոտություններում ընդունելի է դեղապատրաստուկները զետեղելու և հեռացնելու ցանկացած 2 եղանակից յուրաքանչյուրը՝
ա) ըստ ժամանակի բաշխված զետեղում և համաժամանակյա հեռացում, երբ դեղապատրաստուկը զետեղվում է մաշկի հատվածներին տարբեր ժամանակներ, իսկ հեռացվում է միևնույն ժամանակ: Անոթների նեղացման սկզբնական մակարդակի համաժամանակյա չափումից հետո պատրաստուկի նմուշները զետեղվում են մաշկից պատրաստուկի զետեղված նմուշների համաժամանակյա հեռացումից 6. 4. 2. 1,5. 1. 0,75. 0,5. 0,25 ժամ առաջ: Մաշկի գունատման գնահատումը կատարվում է պատրաստուկը հեռացնելուց 0 (պատրաստուկը հեռացնելուց անմիջապես հետո ժամանակի տվյալ պահին). 2, 4, 6, 19 և 24 ժամ հետո.
բ) համաժամանակյա զետեղում և ըստ ժամանակի բաշխված հեռացում, երբ դեղապատրաստուկը զետեղվում է մաշկի հատվածներին միևնույն ժամանակ, իսկ հեռացվում է տարբեր ժամանակ: Անոթների նեղացման սկզբնական մակարդակի համաժամանակյա չափումից հետո պատրաստուկի նմուշները միաժամանակ զետեղվում են և այնուհետև հեռացվում են զետեղելուց 0,25. 0,5. 0,75. 1. 1.5. 2. 4. 6 ժամ հետո: Մաշկի գունատման գնահատումը կատարվում է պատրաստուկը զետեղելուց 6, 8, 11, 24 և 28 ժամ հետո:
9. Հետազոտության սուբյեկտների ակտիվության ստանդարտացումը՝ հետազոտությանը մասնակցելու ժամանակ
41. Սուբյեկտների մոտ հետազոտության բոլոր փուլերը և ընթացակարգերը պետք է սկսվեն ամեն օր մոտավորապես միևնույն ժամին (թույլատրվում են շեղումներ 1 ժամվա սահմաններում):
Չթույլատրված դեղապատրաստուկների մասով պետք է կատարվի բավարար լվացման ժամանակահատվածի պահպանման ստուգում:
42. Հետազոտության սուբյեկտի նախաբազուկը պետք է զերծ լինի ցանկացած աղտոտումից կամ կոշտ մասնիկներից, որոնք ունակ են խոչընդոտելու դեղապատրաստուկը պատշաճ զետեղելուն կամ դեղադինամիկ պատասխանի գնահատմանը: Խորհուրդ չի տրվում իրականացնել մաշկի մաքրում՝ ազդող նյութի աբսորբցիայի պրոցեսների և դեղապատրաստուկի դեղադինամիկ պատասխանի վրա հնարավոր ազդեցության պատճառով: Անհրաժեշտության դեպքում մաքրումն անհրաժեշտ է իրականացնել դեղապատրաստուկը զետեղելուց առնվազն 2 ժամ առաջ: Եթե մաշկի մաքրումն իրականացվել է, ապա դրա իրականացման մասին տեղեկատվությունը պետք է պարունակվի հետազոտության վերաբերյալ հաշվետվության մեջ:
43. Անկախ հետազոտության անցկացման պայմաններից (օկլյուզիայով կամ առանց օկլյուզիայի) առաջարկվում է օգտագործել օկլյուզիոն վիրակապի էֆեկտ չառաջացնող պաշտպանիչ միջոց՝ մաշկի հատվածից տեղային կիրառման կորտիկոստերոիդային դեղապատրաստուկի տարածումը կամ հեռացումը կանխելու համար: Պետք է զգույշ լինել պաշտպանիչ նյութի և ցանկացած դեղապատրաստուկի միջև շփումից խուսափելու համար՝ չմշակված ստուգիչ հատվածների կամ այլ հետազոտվող հատվածների չկանխամտածված կոնտամինացիան կանխելու նպատակով:
44. Մաշկի հատվածները պետք է լինեն արմունկի փոսիկից կամ դաստակից առնվազն 3-4 սմ հեռավորության վրա:
45. Ռեֆերենտ դեղապատրաստուկը քսվում է նախաբազուկների առջևի (ներքին) շրջանների հավասար մակերեսով մաշկի հատվածներին: Փորձնական հետազոտության համար դեղաչափի ազդեցության առաջարկվող տևողությունը կազմում է 0,25. 0,5. 0,75. 1. 1,5. 2. 4 և 6 ժամ, սակայն կարող է փոփոխվել՝ կախված հետազոտվող կորտիկոստերոիդային դեղապատրաստուկից: Դեղապատրաստուկի 8 դեղաչափերը (այսինքն՝ դեղապատրաստուկ քսած մաշկի 8 հատվածները (մաշկի ակտիվ հատվածները)) պետք է հավասարաչափ բաշխվեն հետազոտության սուբյեկտի 2 ձեռքերին:
46. Դեղապատրաստուկի քանակը, մաշկի հատվածի չափը, ինչպես նաև տարածությունը հատվածների միջև պետք է սահմանվեն հետազոտական կենտրոնի կողմից: Հետազոտության շրջանակներում օգտագործվում են մաշկի մակերեսի 2-10 մգ/սմ2 դեղաչափեր և 1 սմ տրամագծով հատվածներ, եթե այլ բան հատուկ հիմնավորված չէ: Հատվածները պետք է տեղակայվեն կենտրոնների միջև 2,5 սմ հեռավորության վրա՝ շարքով կամ շախմատային դասավորվածությամբ՝ կախված մաշկի մակերեսի պիտանիությունից (օրինակ՝ վասկուլյարացում, խալերի առկայություն և այլն) և ձեռքի երկարությունից: Տվյալների վերլուծությունից անհրաժեշտ է բացառել այն սուբյեկտներին, որոնց 2 հարևան հատվածների անոթների նեղացման պատասխանները փոխադարձաբար ծածկում են մեկը մյուսին և հետազոտողը չի կարողանում տարբերել անոթների նեղացման պատասխանը յուրաքանչյուր հետազոտվող հատվածում:
47. Քրոմաչափի չափումների հիման վրա հետազոտության մեջ սուբյեկտի ընդգրկումը կատարվում է՝ յուրաքանչյուր ձեռքի մաշկի 2 չմշակված ստուգիչ հատվածները քրոմաչափի միջոցով գնահատելուց հետո:
48. Այն հատվածները, որոնց վրա քսվում է 8 դեղաչափ՝ ազդեցության տարբեր տևողությամբ, և չմշակված 4 ստուգիչ հատվածները պատահականության սկզբունքով բաշխվում են սուբյեկտի մոտ ընտրված 12 հատվածների միջև, ընդ որում՝ սուբյեկտի յուրաքանչյուր ձեռքի վրա պետք է տեղակայվի 6 հատված՝ 2 չմշակված ստուգիչ հատված և 4 հատված՝ զետեղված կորտիկոստերոիդային դեղապատրաստուկով:
49. Վիզուալ գնահատմամբ հետազոտություններում չի պահանջվում չմշակված ստուգիչ հատվածների առանձնացում, քանի որ գնահատումը ենթադրում է մշակված հատվածի և հարակից մաշկի վիզուալ համեմատություն: Ազդեցության տարբեր տևողությամբ կորտիկոստերոիդային դեղապատրաստուկի 8 դեղաչափ պատահականության սկզբունքով բաշխվում են սուբյեկտի 2 ձեռքերին, ընդ որում՝ սուբյեկտի յուրաքանչյուր ձեռքի վրա պետք է լինի 4 հատված՝ զետեղված կորտիկոստերոիդային դեղապատրաստուկով:
50. Հետևելու ժամանակահատվածի վերջում դեղադինամիկ պատասխանը չափելուց առաջ՝ տեղային կիրառման կորտիկոստերոիդային դեղապատրաստուկը, որը մնացել է զետեղելուց հետո, պետք է զգուշորեն հեռացնել մաշկի մակերեսից հետևյալ եղանակներից ցանկացածով՝
ա) 3 հաջորդաբար ներծծելով չորացում չոր բամբակե վիրախծուծով՝ դեղապատրաստուկի մնացորդների հեռացման համար: Տվյալ եղանակը պիտանի է դեղապատրաստուկը տարբեր ժամանակներում զետեղելու դեպքում՝ հետագա համաժամանակյա հեռացումով, ինչպես նաև բոլոր հատվածներին կորտիկոստերոիդային դեղապատրաստուկը համաժամանակյա քսելու դեպքում՝ հետագա տարբեր ժամանակներում հեռացումով.
բ) մաշկի բոլոր հատվածների լվացում փափուկ լվացող միջոցով և ջրով, հատվածների՝ ոչ խավավոր (ոչ աբրազիվ) սրբիչով ներծծելով չորացում և բաց օդի պայմաններում չորացում՝ գնահատումից առաջ առնվազն 5 րոպեի ընթացքում: Եթե 5 րոպե անց սուբյեկտի մաշկի վրա հայտնաբերվում են լվացման հետ կապված տեսանելի մաշկային էֆեկտներ, ապա պահանջվում է ավելի շատ ժամանակ՝ մինչև գնահատումը: Տվյալ եղանակը պիտանի է կորտիկոստերոիդային դեղապատրաստուկը տարբեր ժամանակներում զետեղելու դեպքում՝ հետագա համաժամանակյա հեռացումով: Ձեռքերի մակերևույթի մաքրումը կատարվում է փափուկ լվացող միջոցի նվազագույն քանակի կիրառմամբ (օրինակ՝ հեղուկ լվացող միջոցի 1 կաթիլը փրփրեցվում է ձեռքերի խոնավ մակերևույթի վրա, այնուհետև՝ լվացվում):
51. Տարբեր ժամանակներ դեղապատրաստուկը զետեղելու դեպքում՝ հետագա համաժամանակյա հեռացումով, դեղաչափի ազդեցության բոլոր տևողությունների համար մաշկի սկզբնական գույնի և մաշկի գունատման գնահատումը յուրաքանչյուր նման հատվածում և չմշակված ստուգիչ հատվածում կատարվում է դեղաչափի ազդեցության առավելագույն տևողություն ունեցող դեղապատրաստուկը զետեղելուց առաջ 1 ժամվա ընթացքում և դեղապատրաստուկը հեռացնելուց 0, 2, 4, 6, 19 և 24 ժամ հետո՝ համաձայն թիվ 1 հավելվածի սխեմայի: «0» կետը համապատասխանում է կորտիկոստերոիդային դեղապատրաստուկի հեռացման պահին:
Դեղաչափերի ազդեցության բոլոր տևողությունների համար՝ հետագայում տարբեր ժամանակների հեռացումով կորտիկոստերոիդային դեղապատրաստուկը բոլոր հատվածներին միաժամանակ զետեղելիս մաշկի սկզբնական գույնի և մաշկի գունատման գնահատումը յուրաքանչյուր նման հատվածում և չմշակված ստուգիչ հատվածում կատարվում է ակտիվ հատվածներին կորտիկոստերոիդային դեղապատրաստուկը զետեղելուց առաջ 1 ժամվա ընթացքում և կորտիկոստերոիդային դեղապատրաստուկը զետեղելուց 6, 8, 11, 24 և 28 ժամ հետո՝ համաձայն թիվ 2 հավելվածի սխեմայի: «0» կետը համապատասխանում է կորտիկոստերոիդային դեղապատրաստուկը քսելու պահին:
Զետեղման և հեռացնելու ցանկացած մեթոդի համար գնահատման օպտիմալ ժամանակը կարող է պահանջել կոնկրետ կորտիկոստերոիդային դեղապատրաստուկի և մաշկի հետազոտվող հատվածի համար էֆեկտի գնահատման ժամանակացույցի ճշգրտում: Ցանկացած մեթոդի համար անհրաժեշտ է պլանավորել արդյունքի առնվազն մեկ գնահատման կատարում՝ ժամը 17-ից մինչև ժամը 24-ը:
10. Տվյալների վերլուծություն և դեղադինամիկ մոդելավորում
52. «Մաշկի գունատում-ժամանակ» յուրաքանչյուր պրոֆիլի համար (զետեղումով հատվածների և առանց զետեղման ստուգիչ հատվածների համար) պահանջվում է քրոմաչափի առաջնային ցուցմունքների ուղղում՝ այդ հատվածում սկզբնական մակարդակի նկատմամբ: Կորտիկոստերոիդային դեղապատրաստուկի զետեղման յուրաքանչյուր հատվածի համար՝ սկզբնական մակարդակի նկատմամբ ուղղումից հետո քրոմաչափի ցուցմունքներն անհրաժեշտ է ճշգրտել ըստ նույն ձեռքի 2 ստուգիչ հատվածների միջին արժեքի՝ ուղղում կատարելով սկզբնական մակարդակի նկատմամբ (թիվ 4 հավելվածի 1-3-րդ աղյուսակներ):
Սկզբնական մակարդակի և ստուգիչ հատվածների նկատմամբ ճշգրտված՝ դեղաչափի ազդեցության յուրաքանչյուր տևողության համար (թիվ 4 հավելվածի 1 և 4 աղյուսակներ) անհրաժեշտ է սեղանի մեթոդով հաշվարկել պատասխանի կորի տակ ընկած մակերեսներից մեկը (AUEC)՝
AUEC0-24՝ հետագա համաժամանակյա հեռացումով տարբեր ժամանակներում դեղապատրաստուկ զետեղելու դեպքում.
AUEC6-28՝ հետագա տարբեր ժամանակներում հեռացումով դեղապատրաստուկը՝ բոլոր հատվածներին միաժամանակ զետեղելու դեպքում: Որպես կանոն՝ AUEC-ը հաշվարկվում է դեղապատրաստուկը զետեղելուց հետո՝ դեղաչափի ազդեցության՝ մինչև 28 ժամ առավելագույն տևողության համար:
53. «Դեղաչափի ազդեցության տևողություն-պատասխան» տվյալների համար կորի հարմարեցում՝ դեղաչափի ազդեցության յուրաքանչյուր տևողության համար ըստ սուբյեկտների միջինացված տվյալներն օգտագործելու միջոցով, չի թույլատրվում: Կորի հարմարեցումն անհրաժեշտ է իրականացնել բոլոր սուբյեկտների մասով դիտարկումների բոլոր արդյունքներով:
Մոդելավորման համար ծրագրային ապահովումը պետք է թույլ տա գնահատել ED50-ը և Emax-ը 12 սուբյեկտների ընդհանրացված տվյալների համար: Ընդունելի են կորի հարմարեցման հետևյալ մեթոդները՝
կորի հարմարեցում խառը էֆեկտներով ոչ գծային մոդելի ենթադրության մեջ (պոպուլյացիոն մոդել) համապատասխան ծրագրային ապահովման օգտագործմամբ (թիվ 1 հավելվածի 1-ին նկար): Խառը էֆեկտներով ոչ գծային մոդելում հաշվի են առնվում ներանհատական և միջանհատական փոփոխականությունը.
կորի հարմարեցումը ոչ գծային ռեգրեսիայի ենթադրության մեջ նվազագույն քառակուսիների մեթոդով բոլոր սուբյեկտների առանձին դիտարկումների ընդհանրացմամբ (տվյալների պարզ միավորման մեթոդ):
54. Մոդելավորման տվյալների գնահատման արդյունքներով հիմնական (հենակետային) հետազոտության մեջ օգտագործելու համար սահմանվում են՝
ED50՝ դեղաչափի ազդեցության տևողություն, որը համապատասխանում է առավելագույն պատասխանի կեսին.
D1՝ դեղաչափի ազդեցության տևողություն, որը համապատասխանում է ED50-ի մոտավորապես կեսին.
D2՝ դեղաչափի ազդեցության տևողություն, որը համապատասխանում է ED50-ի արժեքի մոտավորապես կրկնապատիկին:
ED50-ի դիտարկվող արժեքը կարող է կլորացվել մինչև 15 րոպե՝ հիմնական (հենակետային) հետազոտության մեջ օգտագործվող ED50-ի արժեքն ստանալու համար: Ընդունելի է «դեղաչափի ազդեցության տևողություն-պատասխան» կախվածության հաստատումը՝ հիմնված D1-ի վրա, որը կազմում է դիտարկվող ED50-ից 0,25-0,5, և D2-ի վրա, որը կազմում է դիտարկվող ED50-ից 2-4: ED50-ի ոչ մեծ արժեքներ ունեցող ակտիվ կորտիկոստերոիդային դեղապատրաստուկների համար անհրաժեշտ է այդ հանձնարարականների ճշգրտում: Այդ արժեքներն «ընդգրկում են» ED50-ը, կազմելով առավելագույն պատասխանի մոտավորապես 33 % և 67 % -ը համապատասխանաբար, և ձևավորում են «դեղաչափի ազդեցության տևողություն-պատասխան» կորի զգայուն մասը:
55. Վիզուալ մեթոդով ստացված տվյալների համար կատարվում է հաշվարկ՝
«անոթների նեղացում-ժամանակ» յուրաքանչյուր պրոֆիլի համար էֆեկտի կորի տակ ընկած մակերեսի (AUEC).
«դեղաչափի ազդեցության տևողություն-պատասխան» կախվածության՝ սույն պահանջների 54-րդ կետին համապատասխան.
ED50, D1 և D2 ցուցանիշների:
56. Եթե հովանավորը պլանավորում է քննարկել «դեղաչափի ազդեցության տևողություն-պատասխան» փորձնական հետազոտության մեթոդիկայի վալիդացմանը, «դեղաչափի ազդեցության տևողություն-պատասխան» պրոֆիլին կամ այլ ասպեկտների վերաբերող հարցեր մինչև in vivo կենսահամարժեքության հիմնական (հենակետային) հետազոտություն անցկացնելը, Եվրասիական տնտեսական հանձնաժողովի խորհրդի 2016 թվականի նոյեմբերի 3-ի թիվ 78 որոշմամբ հաստատված՝ Բժշկական կիրառության դեղամիջոցների գրանցման և փորձաքննության կանոնների 26-րդ կետի համաձայն՝ կլինիկական հետազոտության հովանավորն իրավունք ունի ներկայացնելու փորձնական հետազոտության արդյունքների տվյալները և ամփոփագիրը անդամ պետությունների լիազորված մարմիններ (փորձագիտական կազմակերպություններ)՝ ED50-ի, D1-ի և D2-ի արժեքների փորձաքննություն անցկացնելու համար, ինչպես նաև ներկայացնելու հիմնական (հենակետային) հետազոտության ենթադրվող արձանագրությունը գիտական և նախագրանցման խորհրդատվության շրջանակներում դրանց գնահատման համար՝ անդամ պետությունների օրենսդրությանը համապատասխան:
Փորձնական հետազոտության արդյունքները ներկայացնելիս հովանավորն իրավունք ունի ներառելու հետազոտության բոլոր տվյալները՝ հիմնավորելով բոլոր այն տեղեկությունները, որոնք չեն ներառվել դեղադինամիկ անալիզի մեջ:
Հովանավորն իրավունք ունի ընդունելու որոշում, որ արդեն տիրապետում է հետազոտվող տեղային կիրառման կորտիկոստերոիդային դեղապատրաստուկի «դեղաչափի ազդեցության տևողություն-պատասխան» կախվածության վերաբերյալ բավարար տեղեկությունների, որպեսզի անցկացնի հիմնական (հենակետային) հետազոտություն՝ առանց փորձնական հետազոտություն անցկացնելու: Տվյալ որոշումը պետք է հիմնվի կլինիկական կենտրոնի պայմաններում համապատասխան ռեֆերենտ դեղապատրաստուկի՝ ED50-ի, D1-ի և D2-ի հայտնի արժեքների վրա, ինչը ընդունելի հիմնական (հենակետային) հետազոտության անբաժանելի մասն է: Տվյալ որոշման հավանությունն ստանալու նպատակով հովանավորն իրավունք ունի դիմելու անդամ պետությունների լիազորված մարմիններին (փորձագիտական կազմակերպություններին)՝ Բժշկական կիրառության դեղամիջոցների գրանցման և փորձաքննության կանոնների 26-րդ կետին համապատասխան գիտական կամ նախագրանցման խորհրդատվություն ստանալու համար:
Համակարգչային տվյալները ներկայացնելու ձևաչափը
57. Սկզբնական քրոմաչափական տվյալները, սկզբնական մակարդակի նկատմամբ ճշգրտված տվյալները, սկզբնական մակարդակի նկատմամբ ճշգրտված՝ չմշակված ստուգիչ հատվածների տվյալները և AUEC-ի տվյալները պետք է ներկայացվեն աղյուսակային ձևաչափով առանձին ֆայլերի տեսքով (օրինակները ներկայացված են թիվ 3 հավելվածում):
V. in vivo կենսահամարժեքության հիմնական (հենակետային) հետազոտություն
58. Հիմնական (հենակետային) հետազոտության նպատակն է՝ in vivo պայմաններում հետազոտվող կորտիկոստերոիդային դեղապատրաստուկի կենսահամարժեքության հաստատումը համապատասխան ռեֆերենտ կորտիկոստերոիդային դեղապատրաստուկին: Սույն պահանջներում սահմանված է «դեղաչափի ազդեցության տևողություն-պատասխան» կախվածության համար նվազագույն հարաբերությունը, որը տվյալների վերլուծության մեջ սուբյեկտների ընդգրկման պայմանն է: Այդ իսկ պատճառով, ընդհանուր առմամբ, հիմնական (հենակետային) հետազոտությունը կարող է սկսվել առանց անդամ պետությունների լիազորված մարմինների (փորձագիտական կազմակերպությունների) հետ գիտական խորհրդատվության անցկացման:
1. Հետազոտության դիզայնը
59. Հետազոտության ստանդարտ դիզայն է համարվում կենսահամարժեքության դեղադինամիկ հետազոտությունը՝ մեկ օրվա սահմաններում հետազոտվող և ռեֆերենտ կորտիկոստերոիդային դեղապատրաստուկների միանվագ դեղաչափերի՝ ազդեցության տևողությունների կրկնությամբ, որը հիմնված է փորձնական հետազոտության ընթացքում սահմանված ED50-ի պոպուլյացիոն արժեքի վրա:
60. D2 և D1 դեղաչափերում AUEC-ի ցուցանիշների անհատական հարաբերության նվազագույն արժեքը ռեֆերենտ կորտիկոստերոիդային դեղապատրաստուկի համար պետք է կազմի 1,25: Համապատասխանությունը տվյալ չափանիշին որոշվում է՝ պոպուլյացիոն ED50-ի մոտավորապես կեսին համապատասխանող D1 դեղաչափով և մոտավորապես կրկնապատկված պոպուլյացիոն ED50-ին համապատասխանող D2 դեղաչափով ռեֆերենտ կորտիկոստերոիդային դեղապատրաստուկը կրկնակի զետեղելով:
61. Հետազոտության մեջ անհրաժեշտ է ընդգրկել գնահատման համար պիտանի 40-ից մինչև 60 սուբյեկտ, այսինքն այն սուբյեկտներին, որոնք բավարարում են «բուժմանը արձագանքած սուբյեկտ» և «դետեկտոր» չափանիշներին՝ սույն պահանջների 31-34, 68-րդ կետերի համաձայն:
2. Ընդգրկման չափանիշներ
62. Հետազոտության մեջ կիրառում են սույն պահանջների IV բաժնի 2-րդ ենթաբաժնում նկարագրված ընդգրկման չափանիշները:
3. Հետազոտության մեջ սուբյեկտներին չընդգրկելու չափանիշներ և հետազոտությունից սուբյեկտներին բացառելու չափանիշներ
63. Հետազոտության մեջ կիրառում են սույն պահանջների IV բաժնի 3-րդ ենթաբաժնում նկարագրված չընդգրկելու չափանիշները և բացառելու չափանիշները:
4. Հետազոտության ժամանակ սուբյեկտների նկատմամբ կիրառվող սահմանափակումները
64. Հետազոտությունն ունի սույն պահանջների IV բաժնի 4-րդ ենթաբաժնում նկարագրված սահմանափակումներ:
5. Բուժմանն արձագանքած սուբյեկտների սկրինինգ
65. Մասնակիցների արձագանքի հետազոտությունը (բուժմանն արձագանքած սուբյեկտների սկրինինգ) նկարագրված է սույն պահանջների IV բաժնի 5-րդ ենթաբաժնում:
6. Անալիտիկ մեթոդիկայի ճշգրտության վալիդացում
66. Անալիտիկ մեթոդիկայի ճշգրտության վալիդացումը նկարագրված է սույն պահանջների IV բաժնի 6-րդ ենթաբաժնում:
7. Հետազոտության սուբյեկտների ակտիվության ստանդարտացումը՝ հետազոտությանը մասնակցելու ժամանակ
67. Հետազոտության սուբյեկտների ակտիվության ստանդարտացումը հետազոտության ժամանակ կատարվում է սույն պահանջների IV բաժնի 9-րդ ենթաբաժնի պահանջներին համապատասխան:
68. Անհրաժեշտ է յուրաքանչյուր սուբյեկտի նախաբազուկների առջևի մակերեսի մաշկի հատվածներին՝ ստորև ներկայացված հանձնարարականների համաձայն զետեղված հետազոտվող դեղաչափերի ազդեցության տևողությունները բաշխել պատահականության սկզբունքով: Քսելու հատվածները՝ սույն պահանջների 39-րդ կետում նշված ցուցումներին և փորձնական հետազոտության արդյունքներին համապատասխան, կարող են լինել օկլյուզիայով կամ առանց օկլյուզիայի: Քրոմաչափական գնահատականների հիման վրա հետազոտություն անցկացնելու դեպքում յուրաքանչյուր ձեռքի վրա նույնպես անհրաժեշտ է թողնել մաշկի չմշակված ստուգիչ հատվածներ:
Յուրաքանչյուր ձեռքի վրա՝ դեղաչափի ազդեցության տևողությունը որոշելու հատվածները և ստուգիչ հատվածները պետք է ներառեն՝
փորձնական հետազոտության ժամանակ ռեֆերենտ դեղապատրաստուկի համար սահմանված՝ ED50-ին մոտավորապես համապատասխանող դեղաչափի ազդեցության տևողությամբ հետազոտվող դեղապատրաստուկով հատվածներ (2 հատված՝ յուրաքանչյուր ձեռքի վրա).
հատվածներ ռեֆերենտ դեղապատրաստուկով, որի դեղաչափի ազդեցության տևողությունը մոտավորապես համապատասխանում է ED50-ին՝ ինչպես և հետազոտվող դեղապատրաստուկի համար (2 հատված՝ յուրաքանչյուր ձեռքի վրա).
ռեֆերենտ դեղապատրաստուկի դեղաչափի ազդեցության ավելի փոքր տևողությամբ հատված (1 հատված՝ ձեռքի վրա).
ռեֆերենտ դեղապատրաստուկի դեղաչափի ազդեցության ավելի մեծ տևողությամբ հատված (D1) (1 հատված՝ ձեռքի վրա).
ստուգիչ հատվածներ առանց զետեղելու (2 հատված՝ յուրաքանչյուր ձեռքի վրա):
Հետազոտվող հատվածների ընդհանուր թիվը կազմում է 16 (8 հատված՝ յուրաքանչյուր ձեռքի վրա): 8 զետեղումներ անհրաժեշտ է ռանդոմացնել՝ ինչպես նշված է վերևում : Յուրաքանչյուր ձեռքի վրա զետեղելու սխեմաները պետք է լինեն կոմպլեմենտար, այսինքն D2-ը կոմպլեմենտար է D1-ին, ռեֆերենտ դեղապատրաստուկը զետեղելու հատվածները կոմպլեմենտար են հետազոտվող դեղապատրաստուկը զետեղելու հատվածներին, ինչպես նաև կոմպլեմենտար են ստուգիչ հատվածները: Օրինակ՝ ռեֆերենտ դեղապատրաստուկի զետեղումը մի ձեռքի մաշկի որոշակի հատվածի վրա ենթադրում է ռեֆերենտ դեղապատրաստուկի զետեղում մյուս ձեռքի մաշկի համապատասխան հատվածին: Մի ձեռքի մաշկի հատվածը որպես ստուգիչ սահմանելու դեպքում երկրորդ ձեռքի համապատասխան հատվածը նույնպես դառնում է ստուգիչ:
Յուրաքանչյուր կոնկրետ սուբյեկտի համար՝ որպես դեղաչափերի ազդեցության տևողությունները զետեղելու ռեպրեզենտատիվ հաջորդականություն, թույլատրվում է օգտագործել հետևյալ կարգը՝
|
Արմունկի փոսիկ | |
|
ձախ ձեռք |
աջ ձեռք |
|
D1 |
D2 |
|
ՀՊ |
ՌՊ |
|
Ս |
Ս |
|
ՌՊ |
ՀՊ |
|
Ս |
Ս |
|
ՀՊ |
ՌՊ |
|
D2 |
D1 |
|
ՌՊ |
ՀՊ |
|
Դաստակ | |
|
Ծանոթագրություն: ՀՊ՝ հետազոտվող դեղապատրաստուկ. | |
69. Հովանավորի պարտականությունն է մաշկի վրա դեղապատրաստուկները զետեղելու հատվածների հստակ սխեմայի նկարագրությունը, այսինքն՝ մարմնի առանցքի նկատմամբ հատվածների միջնագծային (ուլնար) և լատերալ (շառավղային) տեղակայումը, ինչպես նաև միմյանց նկատմամբ հատվածների ավելի վերև և ավելի ներքև տեղակայումը:
70. ED50, D1 և D2 դեղաչափի ազդեցության տևողության գնահատման համար օգտագործվում է դեղապատրաստուկն ըստ ժամանակի բաշխված զետեղելու և համաժամանակյա հեռացման մեթոդը կամ դեղապատրաստուկը համաժամանակյա զետեղելու և տարբեր ժամանակներ հեռացնելու մեթոդը՝ փորձնական հետազոտության մեջ օգտագործված մեթոդոլոգիային համապատասխան:
Ըստ ժամանակի բաշխված զետեղման և համաժամանակյա հեռացման դեպքում դեղաչափի ազդեցության ցանկացած տևողության և չմշակված ստուգիչ հատվածների համար սկզբնական գնահատումը կատարվում է դեղաչափի ազդեցության առավելագույն տևողությամբ դեղապատրաստուկը զետեղելուց առաջ 1 ժամվա ընթացքում և դեղապատրաստուկի հեռացումից հետո 0, 2, 4, 6, 19, և 24 ժամ անց: Փաստացի ժամանակը կախված կլինի դոզավորման ժամանակից և հետազոտվող տեղային կիրառման կորտիկոստերոիդային դեղապատրաստուկից: «0» կետը համապատասխանում է դեղապատրաստուկի հեռացման պահին:
Համաժամանակյա զետեղման և ըստ ժամանակի բաշխված հեռացման դեպքում դեղաչափի ազդեցության ցանկացած տևողության և չմշակված ստուգիչ հատվածների համար սկզբնական գնահատումը կատարվում է ակտիվ հատվածներին դեղապատրաստուկը զետեղելուց առաջ 1 ժամվա ընթացքում, մաշկի գունատումը գնահատվում է D2 կետում դեղապատրաստուկը զետեղելուց հետո և 6, 8, 11, 24 և 28 ժամ անց: Փաստացի ժամանակը կախված է լինելու դոզավորման ժամանակից և հետազոտվող կորտիկոստերոիդային դեղապատրաստուկից: «0» կետը համապատասխանում է դեղապատրաստուկը զետեղելու պահին: Եթե որոշակի դեղապատրաստուկի համար D2-ը կազմում է, օրինակ, 4 ժամ, ապա դեղապատրաստուկը զետեղված մաշկի բոլոր հատվածների և ստուգիչ հատվածների գունատման առաջին գնահատումը սկզբնական գնահատումից հետո կատարվում է 4 ժամ անց: Ցանկացած մեթոդի համար անհրաժեշտ է պլանավորել առնվազն 1 գնահատում՝ ժամը 17-ից մինչև ժամը 24-ը:
8. Տվյալների վերլուծություն և վիճակագրական վերլուծություն
Տվյալների վերլուծություն
71. «Մաշկի գունատում-ժամանակ» յուրաքանչյուր պրոֆիլի համար (դեղապատրաստուկը զետեղված հատվածների և առանց զետեղելու ստուգիչ հատվածների համար) անհրաժեշտ է քրոմաչափի առաջնային ցուցմունքների ուղղում՝տվյալ հատվածում ելակետային արժեքին համապատասխան: Անհրաժեշտ է ճշգրտել դեղապատրաստուկը զետեղելու յուրաքանչյուր հատված ելակետային մակարդակին համապատասխան ուղղելուց հետո՝ նույն ձեռքին 2 ստուգիչ հատվածներից ստացված միջին արժեքին համապատասխան՝ ելակետային մակարդակի նկատմամբ ուղղումով (սույն պահանջների թիվ 4 հավելվածի 1-4-րդ աղյուսակներ):
Անհրաժեշտ է հաշվարկել AUEC-ը՝ յուրաքանչյուրը՝ ելակետային մակարդակի նկատմամբ ճշգրտված ստուգիչ հատվածներում դեղաչափի ազդեցության տևողության մակարդակի համար (թիվ 4 հավելվածի 3-6-րդ աղյուսակներ)՝
AUEC(0-24)՝ հետագա համաժամանակյա հեռացումով պատրաստուկը տարբեր ժամանակներ զետեղելու համար.
AUEC(D2-28)՝ (D2 ժամանակից մինչև 28 ժամ) տարբեր ժամանակներ հետագա հեռացումով պատրաստուկի համաժամանակյա զետեղման համար:
Տվյալների վերլուծության մեջ թույլատրվում է ներառել միայն «դետեկտորների» տվյալները, այսինքն այն սուբյեկտների, որոնց AUEC արժեքները D1 և D2 ազդեցության տևողությունների համար բացասական են և որոնք համապատասխանում են թիվ 4 հավելվածի 6-րդ աղյուսակում և թիվ 5 հավելվածի 1-ին աղյուսակում նկարագրված «դեղաչափի ազդեցության տևողություն-պատասխան» չափանիշին:
«Դեղաչափի ազդեցության տևողություն-պատասխան» չափանիշը՝
որտեղ՝
AUEC-ը D2 պահին = 0,5x(AUEC-ը D2 պահին (ձախ ձեռք) + AUEC-ը D2 պահին (աջ ձեռք)).
AUEC-ը D1 պահին = 0,5x(AUEC D1 պահին (ձախ ձեռք) + AUEC D1 պահին (աջ ձեռք)):
72. Տվյալների վերլուծությունը կատարվում է տվյալների ամբողջական լրակազմով՝ այսինքն D1 և D2 կրկնակի գնահատման և հետազոտվող և ռեֆերենտ դեղապատրաստուկների ու ստուգիչ հատվածների քառակի գնահատման արդյունքների մասին տվյալներով սուբյեկտների մասով:
73. Կենսահամարժեքության գնահատումը պետք է հիմնված լինի AUEC-ի այն արժեքների վրա, որոնք հաշվարկվել են սույն պահանջների 71-րդ կետին համապատասխան՝ հետազոտվող և ռեֆերենտ դեղապատրաստուկների համար մոտավորապես ED50-ին հավասար դեղաչափի ազդեցության տևողության դեպքում (այն հատվածներում, որոնք նշված են սույն պահանջների 68-րդ կետում):
74. Անհրաժեշտ է ներկայացնել հետազոտության բոլոր տվյալները՝ ներառելով բուժմանը չարձագանքած սուբյեկտների տվյալները: Կենսահամարժեքության գնահատման մեջ չօգտագործվող ցանկացած տվյալ անհրաժեշտ է ուղեկցել հիմնավորմամբ (օրինակ՝ «բուժմանը չարձագանքած սուբյեկտ», «հարևան հատվածներում անոթների նեղացման էֆեկտների փոխադարձաբար ծածկում» և այլն):
Վիճակագրական վերլուծություն
75. Վիճակագրական վերլուծությունը պահանջում է չկերպափոխված տվյալների օգտագործում, քանի որ AUEC-ի արժեքները հետազոտվող և ռեֆերենտ դեղապատրաստուկների համար՝ հաշվարկված սկզբնական մակարդակին և չմշակված հսկիչ հատվածին համապատասխան ուղղումով, որպես կանոն, լինում են բացասական, սակայն երբեմն կարող են լինել նաև դրական: Դրական և բացասական արժեքների առկայությունը հնարավորություն է տալիս չօգտագործել ստանդարտ վիճակագրական կերպափոխություններ: Չի թույլատրվում կիրառել հաշվարկման մոտավոր մեթոդներ (օրինակ՝ հետազոտվող և ռեֆերենտ դեղապատրաստուկների միջին արժեքների տարբերության համար վստահելի միջակայքի հաշվարկը և տվյալ վստահելի միջակայքի սահմանների և ռեֆերենտ պատրաստուկի միջին արժեքի գնահատականի հարաբերության հաշվումը). Չկերպափոխված տվյալների համար ճշգրիտ վստահելի միջակայքը հաշվելու նախընտրելի մեթոդիկան է՝ ըստ Locke C.S.-ի, թույլ է տալիս հաշվել:
76. Ըստ Locke C.S.-ի մեթոդիկայի՝ անհրաժեշտ է հաշվարկել հետազոտվող պատրաստուկի միջին AUEC-ի (4 կրկնությունների միջին արժեքի)՝ ռեֆերենտ պատրաստուկի միջին AUEC-ին (4 կրկնությունների միջին արժեքը) հարաբերության 90 % վստահելի միջակայքը՝ թիվ 5 հավելվածի համաձայն:
77. Ներկա պահին սահմանված չեն կենսահամարժեքության ճանաչման սահմանները: Ներկայացված տվյալների գնահատման ժամանակ կարող է պահանջվել կենսահամարժեքության ճանաչման ավելի լայն սահմանների օգտագործում, քան ստանդարտ համարվող 80,00-125,00%-ը, ինչը կարող է ավելացնել տվյալների գնահատման ժամկետները:
78. Հետազոտության վերաբերյալ հաշվետվությունը պետք է պարունակի ռանդոմացիոն ծածկագիր, որը սահմանում է դեղաչափի ազդեցության յուրաքանչյուր տևողության զետեղումը մաշկի կոնկրետ հատվածների վրա և ստուգիչ հատվածները:
Համակարգչային տվյալները ներկայացնելու ձևաչափ
79. Առաջնային քրոմաչափական տվյալները, սկզբնական մակարդակի նկատմամբ ճշգրտված տվյալները, սկզբնական մակարդակի և չմշակված ստուգիչ հատվածների նկատմամբ ճշգրտված տվյալները և AUEC տվյալները պետք է տեղաբաշխվեն աղյուսակային ձևաչափով առանձին ֆայլերի ձևով (օրինակները ներկայացված են թիվ 4 հավելվածում):
|
ՀԱՎԵԼՎԱԾ ԹԻՎ 1 |
ՍԽԵՄԱ
փորձնական հետազոտության առաջարկվող արձանագրության՝ դեղապատրաստուկը՝ ըստ ժամանակի բաշխված զետեղելու և համաժամանակյա հեռացնելու վերաբերյալ
Նկար 1
Մաշկի սկզբնական գույնի, մաշկի գույնի՝ դեղապատրաստուկը զետեղելուց և հեռացնելուց հետո գնահատման գրաֆիկ
Ծանոթագրություն.-7…0՝ ժամանակը՝ մինչև դեղապատրաստուկի հեռացումը (ժ).
ՍՄ՝ մաշկի անոթների նեղացման սկզբնական մակարդակը.
՝ դեղապատրաստուկի զետեղումը.
՝ դեղապատրաստուկի հեռացումը:
Նկար 2
Մաշկի գունատման գնահատման գրաֆիկ
Ծանոթագրություն. 0…24՝ ժամանակը՝ դեղապատրաստուկից հետո (ժ).
՝ դեղապատրաստուկը հեռացնելու ժամանակը.
՝ արդյունքների գնահատման ժամանակը:
|
ՀԱՎԵԼՎԱԾ ԹԻՎ 2 |
ՍԽԵՄԱ
դեղապատրաստուկը համաժամանակյա զետեղելու և ըստ ժամանակի բաշխված հեռացնելու վերաբերյալ փորձնական հետազոտության առաջարկվող արձանագրության
Նկար 1
Մաշկի սկզբնական գույնի, մաշկի գույնի՝ դեղապատրաստուկը զետեղելուց և հեռացնելուց հետո գնահատման գրաֆիկ
Ծանոթագրություն. -1…6՝ ժամանակը՝ դեղապատրաստուկը զետեղելուց հետո (ժ).
ՍՄ՝ մաշկի անոթների նեղացման աստիճանի սկզբնական մակարդակը.
՝ դեղապատրաստուկի զետեղումը.
՝ դեղապատրաստուկի հեռացումը:
Նկար 2
Մաշկի գունատման գնահատման գրաֆիկ
Ծանոթագրություն. 0…28՝ ժամանակը՝ դեղապատրաստուկը զետեղելուց հետո (ժ).
՝ դեղապատրաստուկը զետեղելու ժամանակը.
՝ արդյունքների գնահատման ժամանակը:
|
ՀԱՎԵԼՎԱԾ ԹԻՎ 3 |
ՕՐԻՆԱԿ
փորձնական հետազոտության արդյունքների աղյուսակային և գրաֆիկական եղանակով ներկայացնելու
1. Կորտիկոստերոիդային դեղապատրաստուկի՝ հետագա համաժամանակյա հեռացմամբ տարբեր ժամանակներ զետեղելիս կատարվող և հետագայում տարբեր ժամանակահատվածներ անց հեռացվող՝ բոլոր հատվածներին միաժամանակ զետեղելիս կատարվող հետազոտությունները միևնույն կերպով ընդունելի են:
2. Սույն հավելվածում բերված են հետազոտության արդյունքները՝ յուրաքանչյուր ձեռքի վրա առանց դեղապատրաստուկը զետեղելու միայն 2 ստուգիչ հատվածների օգտագործմամբ: Ձեռքի մնացած հատվածներին մաշկի գույնի արժեքների ճշգրտումն անցկացվել է միևնույն ձեռքին՝ դեղապատրաստուկը զետեղված հատվածի մաշկի գույնի յուրաքանչյուր արժեքից այդ 2 ստուգիչ հատվածների մաշկի գույնի միջին արժեքը հանելու միջոցով:
3. 1-ին աղյուսակում ներկայացված են հետազոտության մեկ սուբյեկտի քրոմաչափական տվյալները՝ 24 ժամվա համար: Սկզբնական մակարդակի նկատմամբ արված ուղղումով տվյալները ներկայացված են 2-րդ աղյուսակում: Առանց դեղապատրաստուկը զետեղելու ստուգիչ հատվածներին համապատասխան ճշգրտված՝ սկզբնական մակարդակի նկատմամբ արված ուղղումով տվյալները՝ սկզբնական մակարդակի նկատմամբ արված ուղղումից հետո, և AUEC(0-24) տվյալները ներկայացված են 3-րդ աղյուսակում: 3-րդ աղյուսակում բերված օրինակում՝ դեղապատրաստուկը զետեղելու յուրաքանչյուր հատված ճշգրտվել է՝ առանց դեղապատրաստուկ զետեղելու ստուգիչ հատվածի նկատմամբ:
4. 4-րդ աղյուսակում ներկայացված են AUEC0-24-ի արժեքները: Emax մոդելի համար կորի հարմարեցումը ընդհանրացված տվյալներին ներկայացված է 1-ին նկարում:
Աղյուսակ 1
Քրոմաչափի ցուցմունքների արժեքները՝ հետազոտությունների սուբյեկտի համար
|
Սուբյեկտը |
Դեղաչափի ազդեցության տևողությունը, ժ |
Հատվածը (դեղապատրաստուկով մշակված/չմշակված) |
Սկզբնական մակարդակը |
Ժամերը՝ դեղապատրաստուկը հեռացնելուց հետո | |||||
|
0 |
2 |
4 |
6 |
19 |
24 | ||||
|
1 |
0,25 |
չմշակ. |
9,86 |
9,99 |
10,10 |
9,52 |
10,03 |
10,40 |
9,65 |
|
1 |
0,25 |
մշակ. |
10,36 |
9,89 |
10,38 |
10,32 |
10,51 |
10,86 |
10,04 |
|
1 |
0,5 |
չմշակ. |
9,27 |
8,20 |
9,78 |
8,54 |
9,61 |
9,87 |
9,59 |
|
1 |
0,5 |
մշակ. |
9,59 |
8,77 |
9,35 |
9,27 |
8,78 |
10,87 |
9,59 |
|
1 |
0,75 |
չմշակ. |
8,45 |
8,75 |
8,24 |
8,16 |
8,92 |
8,43 |
8,22 |
|
1 |
0,75 |
մշակ. |
8,46 |
8,66 |
8,53 |
8,04 |
8,26 |
8,72 |
8,56 |
|
1 |
1 |
չմշակ. |
9,00 |
9,63 |
8,45 |
8,03 |
8,94 |
9,33 |
9,66 |
|
1 |
1 |
մշակ. |
8,52 |
8,80 |
8,87 |
8,53 |
8,05 |
8,66 |
8,21 |
|
1 |
1,5 |
չմշակ. |
9,44 |
9,39 |
9,46 |
9,27 |
9,92 |
9,59 |
9,01 |
|
1 |
1,5 |
մշակ. |
9,59 |
9,60 |
9,99 |
9,93 |
9,18 |
10,23 |
9,24 |
|
1 |
2 |
չմշակ. |
10,12 |
10,13 |
9,50 |
9,93 |
9,39 |
10,95 |
10,84 |
|
1 |
2 |
մշակ. |
10,28 |
10,25 |
10,68 |
10,15 |
10,31 |
11,46 |
8,92 |
|
1 |
4 |
չմշակ. |
8,89 |
8,01 |
8,78 |
8,89 |
9,76 |
8,48 |
9,18 |
|
1 |
4 |
մշակ. |
8,21 |
8,28 |
8,36 |
7,98 |
7,96 |
8,15 |
8,30 |
|
1 |
6 |
չմշակ. |
9,18 |
9,46 |
8,79 |
8,03 |
9,29 |
10,11 |
9,52 |
|
1 |
6 |
մշակ. |
9,37 |
9,61 |
9,30 |
8,92 |
9,20 |
10,16 |
9,63 |
Աղյուսակ 2
Քրոմաչափի ցուցմունքների արժեքները հետազոտության սուբյեկտի համար՝ սկզբնական մակարդակի նկատմամբ արված ուղղումով
|
Սուբյեկտը |
Դեղաչափի ազդեցության տևողոթյունը, ժ |
Հատվածը (դեղապատրաստուկով մշակված/չմշակված) |
Սկզբնական մակարդակը |
Ժամերը՝ | |||||
|
0 |
2 |
4 |
6 |
19 |
24 | ||||
|
1 |
0,25 |
չմշակ. |
- |
0,13 |
0,24 |
-0,34 |
0,17 |
0,54 |
-0,21 |
|
1 |
0,25 |
մշակ. |
- |
-0,47 |
0,02 |
-0,04 |
0,15 |
0,50 |
-0,32 |
|
1 |
0,5 |
չմշակ. |
- |
-1,07 |
0,51 |
-0,73 |
0,34 |
0,60 |
0,32 |
|
1 |
0,5 |
մշակ. |
- |
-0,82 |
-0,24 |
-0,32 |
-0,81 |
0,81 |
0,23 |
|
1 |
0,75 |
չմշակ. |
- |
0,30 |
-0,21 |
-0,29 |
0,47 |
-0,02 |
-0,23 |
|
1 |
0,75 |
մշակ. |
- |
0,20 |
0,07 |
-0,42 |
-0,20 |
0,26 |
0,10 |
|
1 |
1 |
չմշակ. |
- |
0,63 |
-0,55 |
-0,97 |
-0,06 |
0,33 |
0,66 |
|
1 |
1 |
մշակ. |
- |
0,28 |
0,35 |
0,01 |
-0,47 |
0,14 |
-0,31 |
|
1 |
1,5 |
չմշակ. |
- |
-0,05 |
0,02 |
-0,17 |
0,48 |
0,15 |
-0,43 |
|
1 |
1,5 |
մշակ. |
- |
0,01 |
0,40 |
0,34 |
-0,41 |
0,64 |
-0,35 |
|
1 |
2 |
չմշակ. |
- |
0,01 |
-0,62 |
-0,19 |
-0,73 |
0,83 |
0,72 |
|
1 |
2 |
մշակ. |
- |
-0,03 |
0,40 |
-0,13 |
0,03 |
1,18 |
-1,36 |
|
1 |
4 |
չմշակ. |
- |
-0,88 |
-0,11 |
0,00 |
0,87 |
-0,41 |
0,29 |
|
1 |
4 |
մշակ. |
- |
0,07 |
0,15 |
-0,23 |
-0,25 |
-0,06 |
0,09 |
|
1 |
6 |
չմշակ. |
- |
0,28 |
-0,39 |
-1,15 |
0,11 |
0,93 |
0,33 |
|
1 |
6 |
մշակ. |
- |
0,24 |
-0,07 |
-0,45 |
-0,17 |
0,79 |
0,26 |
Աղյուսակ 3
Քրոմաչափի ցուցմունքների արժեքները հետազոտության սուբյեկտի համար՝ սկզբնական մակարդակի նկատմամբ արված ուղղումով, որոնք ճշգրտվել են ըստ ստուգիչ հատվածների՝ առանց դեղապատրաստուկը զետեղելու, և AUEC(0-24) տվյալները
|
Սուբյեկտը |
Դեղաչափի ազդեցության տևողությունը, |
Հատվածը (դեղապատրաս-տուկով մշակված/ |
Սկզբնական մակարդակը |
Ժամերը՝ դեղապատրաստուկը հեռացնելուց հետո |
AUEC(0-24)* | |||||
|
0 |
2 |
4 |
6 |
19 |
24 | |||||
|
1 |
0,25 |
մշակ. |
- |
-0,60 | -0,22 | -0,30 | -0,02 | -0,04 | -0,11 |
-1,23 |
|
1 |
0,5 |
մշակ. |
- |
0,25 |
-0,75 |
0,41 |
-1,15 |
0,21 |
-0,09 |
-7,39 |
|
1 |
0,75 |
մշակ. |
- |
-0,10 |
0,28 |
-0,13 |
-0,67 |
0,28 |
0,33 |
-1,48 |
|
1 |
1 |
մշակ. |
- |
-0,35 |
0,90 |
0,98 |
-0,41 |
-0,19 |
-0,97 |
-3,80 |
|
1 |
1,5 |
մշակ. |
- |
0,06 |
0,38 |
0,51 |
-0,89 |
0,49 |
0,08 |
-0,23 |
|
1 |
2 |
մշակ. |
- |
-0,04 |
1,02 |
0,06 |
0,76 |
0,35 |
-2,08 |
5,77 |
|
1 |
4 |
մշակ. |
0,95 |
0,26 |
-0,23 |
-1,12 |
0,35 |
-0,20 |
-4,74 | |
|
1 |
6 |
մշակ. |
-0,04 |
0,32 |
0,70 |
-0,28 |
-0,14 |
-0,07 |
-1,53 | |
________________
Ծանոթագրություն.* AUEC(0-24) արժեքները հաշվարկված են այն տվյալների հիման վրա, որոնք ճշգրտվել են ժամանակի համապատասխան պահերին մաշկի ստուգիչ հատվածների անոթային ռեակցիայի և գույնի փոփոխության սկզբնական մակարդակի նկատմամբ:
Աղյուսակ 4
AUEC(0-24) արժեքները հետազոտության 12 սուբյեկտների համար՝ դեղաչափի ազդեցության տրված տևողության դեպքում
|
Դեղաչափի ազդեցության տևողությունը, ժ |
Հետազոտության սուբյեկտները | |||||||||||
|
1 |
2 |
3 |
4 |
5 |
6 |
7 |
8 |
9 |
10 |
11 |
12 | |
|
0,25 |
-1,23 | -0,02 | -13,87 | -27,7 | -10,65 | -10,41 |
4,20 |
-11,95 | -12,36 |
1,15 |
-30,03 |
-7,25 |
|
0,5 |
-7,39 |
-6,13 |
-15,03 |
-3,71 |
7,72 |
-5,94 |
-12,31 |
7,45 |
12,95 |
-39,45 |
-39,56 |
14,73 |
|
0,75 |
-1,48 |
-8,92 |
-18,39 |
-43,82 |
-23,42 |
-2,29 |
1,34 |
5,95 |
1,88 |
-40,68 |
-61,06 |
-21,09 |
|
1 |
-3,80 |
-24,56 |
-16,25 |
-44,39 |
-20,37 |
-8,92 |
-18,84 |
8,78 |
-43,35 |
-16,19 | -43,58 |
10,81 |
|
1,5 |
-0,23 |
-19,21 |
-15,44 |
-77,04 |
-19,95 |
-20,64 |
-42,70 |
1,26 |
-20,97 |
6,87 |
-40,73 |
0,51 |
|
2 |
5,77 |
-1,80 |
-23,74 |
-66,80 |
-32,00 |
-19,52 |
-37,29 |
-48,83 |
-39,79 |
10,75 |
-62,01 |
-10,51 |
|
4 |
-4,74 |
-43,07 |
-24,80 |
-62,96 |
-32,81 |
-8,52 |
-45,46 |
-71,77 |
-57,55 |
-37,64 |
-27,82 |
-14,89 |
|
6 |
-1,53 |
-41,56 |
-21,79 |
-71,60 |
-61,51 |
-19,01 |
-37,24 |
-8,14 |
-34,18 |
-35,01 |
-33,60 |
16,14 |
4. AUEC(0-24) դիտվող միջին արժեքները (սև կետեր) և միջինի ստանդարտ սխալը (վերին և ստորին սահմաններ), ինչպես նաև Emax մոդելը (անընդհատ գիծ)՝ «դեղաչափի ազդեցության տևողություն-պատասխան» կախվածության հետազոտության ընդհանրացված այն տվյալներին համապատասխան կորի հարմարեցմամբ, որոնք ստացվել են փորձնական հետազոտության ժամանակ հետազոտության 12 սուբյեկտներից, բերված են նկարում:
Ծանոթագրություններ. 1. 0…6՝ դեղաչափի ազդեցության տևողությունը (ժ):
2. Սկզբնական մակարդակի և ստուգիչ հատվածների նկատմամբ ճշգրտված տվյալներ, այդ պատճառով AUEC արժեքն ընդունվել է 0-ին հավասար՝ դեղաչափի ազդեցության զրոյական տևողության պայմաններում:
3. Emax մոդելի համար կորի հարմարեցումը կատարվել է տվյալների պոպուլյացիոն դեղակինետիկ-դեղադինամիկ մոդելավորման համար ծրագրային ապահովման օգտագործմամբ: Պոպուլյացիոն արժեքները կորը հարմարեցնելուց հետո կազմել են՝ ED50 = 1,89 ժ, Emax = 48,80 քրոմաչափի սանդղակի միավոր՝ մեկ ժամում:
4. Ազդեցության տևողության մասին այդ տվյալների հիման վրա՝ հետազոտվող և ռեֆերենտ դեղապատրաստուկների համեմատության համար որպես ED50-ի մոտավոր արժեք վերցված դեղաչափերը, ինչպես նաև in vivo կենսահամարժեքության հիմնական (հենակետային) հետազոտության համար D1 և D2 արժեքները կազմել են՝ մոտավոր արժեքը՝ ED50 = 2,0 ժ, D1 = 1,0 ժ և D2 = 4,0 ժ:
|
ՀԱՎԵԼՎԱԾ ԹԻՎ 4 |
ՕՐԻՆԱԿ
հիմնական (հենակետային) հետազոտության տվյալների և դրանց վերլուծության արդյունքների՝ աղյուսակային եղանակով ներկայացնելու
1. Սույն փաստաթղթում ներկայացված են in vivo կենսահամարժեքության այն հիմնական (հենակետային) հետազոտության քրոմաչափական տվյալները և AUEC(0-24) արժեքները, որը համապատասխանում է «Տեղային կիրառման կորտիկոստերոիդային դեղապատրաստուկների կենսահամարժեքության դեղակինետիկ և կլինիկական հետազոտությունների անցկացմանը ներկայացվող պահանջների» (այսուհետ՝ Պահանջներ) թիվ 3 հավելվածում բերված փորձնական հետազոտությանը: Հիմնական (հենակետային) հետազոտության մեջ համեմատությունը հիմնված է փորձնական հետազոտության արդյունքների օրինակի 4-րդ կետում (Պահանջների թիվ 3 հավելված) բերված «դեղաչափի ազդեցության տևողություն-պատասխան» կախվածության վերլուծության վրա:
2. Սույն փաստաթղթում տրված են առաջարկություններ՝ յուրաքանչյուր ձեռքի վրա առանց դեղապատրաստուկը զետեղելու 2 ստուգիչ հատվածներն օգտագործելու և միևնույն ձեռքի վրա դեղապատրաստուկ զետեղված հատվածի յուրաքանչյուր արժեքից այդ 2 հատվածների համար միջին արժեքը հանելու վերաբերյալ:
3. 1-ին աղյուսակում ներկայացված են 1 սուբյեկտի համար սկզբնական տվյալները՝ 24 ժամվա ընթացքում: 2-րդ աղյուսակում ներկայացված են սկզբնական մակարդակին համապատասխան արված ուղղումով տվյալները: 3-րդ աղյուսակում ներկայացված են այն տվյալները, որոնք ճշգրտվել են առանց զետեղման ստուգիչ հատվածների նկատմամբ՝ սկզբնական մակարդակին համապատասխան արված ուղղումից հետո: Սույն օրինակում դեղապատրաստուկը զետեղելու յուրաքանչյուր հատված ճշգրտվել է՝ համապատասխան ստուգիչ հատվածի համաձայն՝ առանց դեղապատրաստուկը զետեղելու:
4. 4-րդ աղյուսակում ներկայացված են այն արժեքները, որոնք ճշգրտվել են ստուգիչ հատվածներին համապատասխան՝ բոլոր սուբյեկտների մասով հետազոտվող և ռեֆերենտ դեղապատրաստուկների համար սկզբնական մակարդակի նկատմամբ արված ուղղումից հետո: 5-րդ աղյուսակում ներկայացված են տվյալները՝ AUEC(0-24)՝ աջ և ձախ ձեռքերի համար ու D1 և D2 համար երկու ձեռքերի միջին արժեքները՝ բոլոր սուբյեկտների համար: 5-րդ աղյուսակում սահմանվել են «դետեկտորներ», այսինքն՝ գնահատման համար պիտանի սուբյեկտները, որոնք բավարարում են «դեղաչափի ազդեցության տևողություն-պատասխան» չափանիշը: 6-րդ աղյուսակում ներկայացված են AUEC(0-24) տվյալները՝ աջ և ձախ ձեռքերի համար ու երկու ձեռքերի միջին արժեքները՝ հետազոտվող և ռեֆերենտ դեղապատրաստուկների համար՝ դեղաչափի ազդեցության՝ 2,0 ժամ տևողության համար՝ բոլոր սուբյեկտների մասով, առանձնացվել են երկու ձեռքերի AUEC(0-24) միջին արժեքները «դետեկտորների» համար: Կենսահամարժեքության գնահատականի մեջ ներառված են միայն «դետեկտորների» տվյալները՝ ինչպես նկարագրված է Պահանջների թիվ 5 հավելվածում:
Աղյուսակ 1
Սկզբնական քրոմաչափական տվյալները սուբյեկտի համար
|
Սուբյեկտը |
Մշակում |
Ձեռք (աջ/ձախ) |
Զետեղելու տեղը |
Հատվածը (դեղապատրաս-տուկով մշակված/ |
Սկզբնական մակարդակը |
Ժամերը՝ | |||||
|
0 |
2 |
4 |
6 |
19 |
24 | ||||||
|
1 |
Ա |
Աջ |
1 |
չմշակ. |
7,34 |
7,23 |
8,09 |
7,64 |
7,82 |
7,68 |
8,71 |
|
1 |
Ա |
Աջ |
1 |
մշակ. |
7,11 |
7,86 |
7,59 |
5,92 |
6,23 |
6,32 |
7,30 |
|
1 |
Բ |
Աջ |
2 |
չմշակ. |
6,18 |
7,38 |
7,26 |
6,85 |
7,35 |
7,14 |
7,87 |
|
1 |
Բ |
Աջ |
2 |
մշակ. |
6,79 |
6,29 |
6,12 |
4,45 |
5,88 |
6,01 |
7,26 |
|
1 |
Գ |
Աջ |
3 |
չմշակ. |
6,28 |
7,32 |
7,80 |
6,77 |
7,75 |
6,59 |
7,55 |
|
1 |
Գ |
Աջ |
3 |
մշակ. |
7,78 |
9,26 |
9,30 |
7,42 |
8,24 |
7,40 |
8,59 |
|
1 |
Դ |
Աջ |
4 |
չմշակ. |
9,31 |
10,19 |
10,61 |
9,56 |
10,88 |
9,52 |
10,13 |
|
1 |
Դ |
Աջ |
4 |
մշակ. |
7,38 |
8,22 |
6,94 |
5,07 |
6,98 |
7,24 |
7,91 |
|
1 |
Գ |
Ձախ |
1 |
չմշակ. |
7,62 |
7,98 |
7,56 |
7,48 |
7,24 |
6,73 |
7,49 |
|
1 |
Գ |
Ձախ |
1 |
մշակ. |
6,97 |
5,42 |
5,39 |
4,39 |
4,79 |
5,76 |
6,45 |
|
1 |
Բ |
Ձախ |
2 |
չմշակ. |
7,12 |
6,32 |
6,76 |
6,25 |
6,74 |
6,80 |
7,58 |
|
1 |
Բ |
Ձախ |
2 |
մշակ. |
7,46 |
4,48 |
4,38 |
4,11 |
4,39 |
6,27 |
7,25 |
|
1 |
Ա |
Ձախ |
3 |
չմշակ. |
7,69 |
7,03 |
7,73 |
7,21 |
7,87 |
7,89 |
8,38 |
|
1 |
Ա |
Ձախ |
3 |
մշակ. |
8,99 |
8,75 |
8,07 |
6,74 |
6,53 |
7,14 |
8,25 |
|
1 |
Դ |
Ձախ |
4 |
չմշակ. |
8,99 |
8,28 |
8,95 |
8,50 |
9,10 |
9,05 |
9,93 |
|
1 |
Դ |
Ձախ |
4 |
մշակ. |
8,80 |
8,04 |
6,71 |
5,51 |
5,14 |
7,05 |
7,96 |
Ծանոթագրություններ. Մշակում.
Ա՝ ռեֆերենտ դեղապատրաստուկ՝ դեղաչափի ազդեցության՝ D1 տևողության դեպքում (1 ժ)
Բ՝ ռեֆերենտ դեղապատրաստուկ՝ դեղաչափի ազդեցության՝ D2 տևողության դեպքում (4 ժ)
Գ՝ հետազոտվող դեղապատրաստուկ՝ դեղաչափի ազդեցության՝ 2 ժամին հավասար տևողության դեպքում
Դ՝ ռեֆերենտ դեղապատրաստուկ՝ դեղաչափի ազդեցության՝ 2 ժամին հավասար տևողության դեպքում
Աղյուսակ 2
Հետազոտության սուբյեկտի համար քրոմաչափի ցուցմունքների՝ սկզբնական մակարդակի նկատմամբ արված ուղղումով արժեքները
|
Սուբյեկտը |
Մշակումը* |
Ձեռքը (աջ/ձախ) |
Զետեղելու տեղը |
Հատվածը (դեղապատրաս-տուկով մշակված/ |
Սկզբնական մակարդակը |
Ժամերը՝ դեղապատրաս-տուկը հեռացնելուց | |||||
|
0 |
2 |
4 |
6 |
19 |
24 | ||||||
|
1 |
Ա |
Աջ |
1 |
չմշակ. |
- |
-0,11 |
0,75 |
0,30 |
0,48 |
0,34 |
1,37 |
|
1 |
Ա |
Աջ |
1 |
մշակ. |
- |
0,75 |
0,48 |
-1,19 | -0,88 | -0,79 |
0,19 |
|
1 |
Բ |
Աջ |
2 |
չմշակ. |
- |
1,20 |
1,08 |
0,67 |
1,17 |
0,96 |
1,69 |
|
1 |
Բ |
Աջ |
2 |
մշակ. |
- |
-0,50 |
-0,67 |
-2,34 |
-0,91 |
-0,78 |
0,47 |
|
1 |
Գ |
Աջ |
3 |
չմշակ. |
- |
1,04 |
1,52 |
0,49 |
1,47 |
0,31 |
1,27 |
|
1 |
Գ |
Աջ |
3 |
մշակ. |
- |
1,48 |
1,52 |
-0,36 |
0,46 |
-0,38 |
0,81 |
|
1 |
Դ |
Աջ |
4 |
չմշակ. |
- |
0,88 |
1,30 |
0,25 |
1,57 |
0,21 |
0,82 |
|
1 |
Դ |
Աջ |
4 |
մշակ. |
- |
0,84 |
-0,44 |
-2,31 |
-0,40 |
-0,14 |
0,53 |
|
1 |
Գ |
Ձախ |
1 |
չմշակ. |
- |
0,36 |
-0,06 |
-0,14 |
-0,38 |
-0,89 |
-0,13 |
|
1 |
Գ |
Ձախ |
1 |
մշակ. |
- |
-1,55 |
-1,58 |
-2,58 |
-2,18 |
-1,21 |
-0,52 |
|
1 |
Բ |
Ձախ |
2 |
չմշակ. |
- |
-0,80 |
-0,36 |
-0,87 |
-0,38 |
-0,32 |
0,46 |
|
1 |
Բ |
Ձախ |
2 |
մշակ. |
- |
-2,98 |
-3,08 |
-3,35 |
-3,07 |
-1,19 |
-0,21 |
|
1 |
Ա |
Ձախ |
3 |
չմշակ. |
- |
-0,66 |
0,04 |
-0,48 |
0,18 |
0,20 |
0,69 |
|
1 |
Ա |
Ձախ |
3 |
մշակ. |
- |
-0,24 |
-0,92 |
-2,25 |
-2,46 |
-1,85 |
-0,74 |
|
1 |
Դ |
Ձախ |
4 |
չմշակ. |
- |
-0,71 |
-0,04 |
-0,49 |
0,11 |
0,06 |
0,94 |
|
1 |
Դ |
Ձախ |
4 |
մշակ. |
-0,76 |
-2,09 |
-3,29 |
-3,66 |
-1,75 |
-0,84 | |
Ծանոթագրություններ. Մշակում.
Ա՝ ռեֆերենտ դեղապատրաստուկ՝ դեղաչափի ազդեցության՝ D1 տևողության դեպքում (1 ժ)
Բ՝ ռեֆերենտ դեղապատրաստուկ՝ դեղաչափի ազդեցության՝ D2 տևողության դեպքում (2 ժ)
Գ՝ հետազոտվող դեղապատրաստուկ՝ դեղաչափի ազդեցության՝ 2 ժամին հավասար տևողության դեպքում
Դ՝ ռեֆերենտ դեղապատրաստուկ՝ դեղաչափի ազդեցության՝ 2 ժամին հավասար տևողության դեպքում
Աղյուսակ 3
Հետազոտության սուբյեկտի համար քրոմաչափի ցուցմունքների՝ սկզբնական մակարդակի նկատմամբ արված ուղղումով արժեքները, որոնք ճշգրտվել են ըստ ստուգիչ հատվածների՝ առանց դեղապատրաստուկը զետեղելու, և AUEC(0-24) տվյալները
|
Սուբյեկտը |
Մշակումը |
Ձեռքը (աջ/ձախ) |
Զետեղելու տեղը |
Հատվածը (դեղապատրաստուկով մշակված/չմշակված) |
Սկզբնական մակարդակը |
Ժամերը՝ դեղապատրաստուկը հեռացնելուց հետո |
AUEC(0-24) | |||||
|
0 |
2 |
4 |
6 |
19 |
24 | |||||||
|
1 |
Ա |
Աջ |
1 |
մշակ. |
- |
0,86 |
-0,27 | -1,49 |
-1,36 |
-1,13 |
-1,18 |
-25,98 |
|
1 |
Բ |
Աջ |
2 |
մշակ. |
- |
-1.70 |
-1.75 |
-3.01 |
-2.08 |
-1.74 |
-1.22 |
-45.53 |
|
1 |
Գ |
Աջ |
3 |
մշակ. |
- |
0.44 |
0.00 |
-0.85 |
-1.01 |
-0.69 |
-0.46 |
-16.20 |
|
1 |
Դ |
Աջ |
4 |
մշակ. |
- |
-0.04 |
-1.74 |
-2.56 |
-1.97 |
-0.35 |
-0.29 |
-27.29 |
|
1 |
Գ |
Ձախ |
1 |
մշակ. |
- |
-1.91 |
-1.52 |
-2.44 |
-1.80 |
-0.32 |
-0.39 |
-27.19 |
|
1 |
Բ |
Ձախ |
2 |
մշակ. |
- |
-2.18 |
-2.72 |
-2.48 |
-2.69 |
-0.87 | -0.67 |
-42.26 |
|
1 |
Ա |
Ձախ |
3 |
մշակ. |
- |
0.42 |
-0.96 |
-1.77 |
-2.64 |
-2.05 |
-1.43 |
-46.87 |
|
1 |
Դ |
Ձախ |
4 |
մշակ. |
- |
-0.05 |
-2.05 |
-2.80 |
-3.77 |
-1.81 |
-1.78 |
-58.77 |
Ծանոթագրություն. Մշակում.
Ա՝ ռեֆերենտ դեղապատրաստուկ՝ դեղաչափի ազդեցության՝ D1 տևողության դեպքում (1 ժ)
Բ՝ ռեֆերենտ դեղապատրաստուկ՝ դեղաչափի ազդեցության՝ D2 տևողության դեպքում (4 ժ)
Գ՝ հետազոտվող դեղապատրաստուկ՝ դեղաչափի ազդեցության՝ 2 ժամին հավասար տևողության դեպքում
Դ՝ ռեֆերենտ դեղապատրաստուկ՝ դեղաչափի ազդեցության՝ 2 ժամին հավասար տևողության դեպքում
Աղյուսակ 4
Քրոմաչափի ցուցմունքների՝ սկզբնական մակարդակի նկատմամբ արված ուղղումով արժեքները, որոնք ճշգրտվել են հետազոտության 12 սուբյեկտների համար ըստ ստուգիչ հատվածների՝ առանց դեղապատրաստուկը զետեղելու
Հետազոտվող դեղապատրաստուկը
|
Սուբյեկտը |
Մշակումը* |
Ձեռքը (աջ/ձախ) |
Զետեղելու տեղը |
Ժամերը՝ դեղապատրաստուկը հեռացնելուց հետո | ||||||
|
0 |
2 |
4 |
6 |
19 |
24 | |||||
|
1 |
Գ |
Աջ |
3 |
0.44 |
0.00 |
-0.85 |
-1.01 |
-0.69 |
-0.46 | |
|
1 |
Գ |
Ձախ |
1 |
-1.91 |
-1.52 |
-2.44 |
-1.80 |
-0.32 |
-0.39 | |
|
2 |
Գ |
Աջ |
3 |
-1.51 |
-3.29 |
-3.45 |
-4.11 |
-0.89 |
-1.26 | |
|
2 |
Գ |
Ձախ |
1 |
0.23 |
-1.09 |
-0.94 |
-2.15 |
-2.05 |
-0.66 | |
|
3 |
Գ |
Ձախ |
3 |
-1.29 |
-1.75 |
-0.96 |
-0.90 |
-3.06 |
-1,05 | |
|
3 |
Գ |
Աջ |
2 |
0.02 |
-1.43 |
-2.24 |
-1.16 |
-1,56 |
-1.72 | |
|
4 |
Գ |
Աջ |
1 |
-0.02 |
-0.19 |
-0.52 |
-1.00 |
-0.43 |
-0.50 | |
|
4 |
Գ |
Ձախ |
3 |
-0.12 |
0.15 |
-0.29 |
-0.06 |
-0.07 |
0.12 | |
|
5 |
Գ |
Ձախ |
3 |
-0.36 |
-0.01 |
-0.19 |
-0.06 |
-0.72 |
-0.28 | |
|
5 |
Գ |
Աջ |
1 |
-0.02 |
-0.63 |
-1.13 |
-0.90 |
-0.88 |
-0.03 | |
|
6 |
Գ |
Աջ |
4 |
-0.80 |
0.60 |
0.32 |
0.30 |
-1.09 |
-1.53 | |
|
6 |
Գ |
Ձախ |
3 |
-1.08 |
-0.45 |
-0.98 |
-0.83 |
-1.18 |
-0.07 | |
|
7 |
Գ |
Աջ |
4 |
-0.28 |
0.25 |
-0.34 |
-0.64 |
-0.64 |
-0.41 | |
|
7 |
Գ |
Ձախ |
1 |
0.67 |
0.74 |
0.72 |
1.03 |
0.33 |
-0.11 | |
|
8 |
Գ |
Աջ |
4 |
-0.40 |
0.49 |
0.46 |
0.00 |
-0.35 |
0.78 | |
|
8 |
Գ |
Ձախ |
3 |
0.30 |
0.05 |
0.07 |
0.19 |
-0.05 |
-0.28 | |
|
9 |
Գ |
Աջ |
1 |
-0.71 |
-1.13 |
-1.94 |
-2.40 |
-1.70 |
-1.41 | |
|
9 |
Գ |
Ձախ |
3 |
-0.34 |
-0.52 |
-1.46 |
-1.41 |
-0.31 |
-1.10 | |
|
10 |
Գ |
Աջ |
1 |
-0.49 |
-0.43 |
-0.63 |
-0.10 |
-0.50 |
-1.10 | |
|
10 |
Գ |
Ձախ |
3 |
0.10 |
-0.66 |
-0.44 |
-0.68 |
-0.34 |
-0.86 | |
|
11 |
Գ |
Ձախ |
2 |
-0.58 |
-0.93 |
-1.60 |
-2.29 |
-0.24 |
-0.54 | |
|
11 |
Գ |
Աջ |
3 |
0.12 |
-1.67 |
-1.71 |
-2.34 |
0.15 |
-1.28 | |
|
12 |
Գ |
Ձախ |
3 |
0.05 |
-0.08 |
-0.18 |
-0.35 |
-1.28 |
-0.46 | |
|
12 |
Գ |
Աջ |
3 |
-0.60 |
0.15 |
0.19 |
-0.42 |
-0.40 |
-0.32 | |
|
Միջին արժեքը |
-0.30 |
-0,57 |
-0.86 |
-0.96 |
-0.76 |
-0.62 | ||||
|
Ստանդարտ շեղումը, SD |
0.65 |
0.91 |
1.01 |
1.12 |
0.76 |
0.59 | ||||
|
Միջին արժեքի սխալը, SE |
0.13 |
0.19 |
0.21 |
0.23 |
0.16 |
0.12 | ||||
|
Վարիացիայի գործակիցը, % CV |
217 |
161 |
118 |
117 |
100 |
96 | ||||
|
*Ծանոթագրություն. | ||||||||||
Ռեֆերենտ դեղապատրաստուկը
|
Սուբյեկտը |
Մշակումը* |
Ձեռքը (աջ/ձախ) |
Զետեղելու տեղը |
Ժամերը՝ դեղապատրաստուկը հեռացնելուց հետո | |||||
|
0 |
2 |
4 |
6 |
19 |
24 | ||||
|
1 |
Դ |
Աջ |
4 |
-0.04 |
-1.74 |
-2.56 |
-1.97 |
-0.35 |
-0.29 |
|
1 |
Դ |
Ձախ |
4 |
-0.05 |
-2.05 |
-2.80 |
-3.77 |
-1.81 |
-1.78 |
|
2 |
Դ |
Աջ |
4 |
-0.23 |
-1.58 |
-2.53 |
-2.53 |
0.00 |
-0.49 |
|
2 |
Դ |
Ձախ |
4 |
-2.30 |
-2.88 |
-2.15 |
-3.05 |
2.09 |
0.27 |
|
3 |
Դ |
Աջ |
1 |
1.25 |
-0.10 |
-1.99 |
-1.52 |
0.24 |
-1.24 |
|
3 |
Դ |
Ձախ |
4 |
-0.04 |
-0.28 |
-1.30 |
-1.23 |
-0.77 |
-1.07 |
|
4 |
Դ |
Աջ |
4 |
-0.43 |
-0.34 |
-1.50 |
-1.80 |
-0.74 |
-0.96 |
|
4 |
Դ |
Ձախ |
2 |
-0.47 |
-0.22 |
-0.49 |
-0.83 |
-0.89 |
-0.82 |
|
5 |
Դ |
Ձախ |
2 |
-0.71 |
-1.77 |
-1.62 |
-2.62 |
-0.76 |
-0.60 |
|
5 |
Դ |
Աջ |
3 |
0.46 |
-1.23 |
-1.23 |
-1.61 |
-1.70 |
-0.47 |
|
6 |
Դ |
Աջ |
1 |
-0.11 |
0.20 |
1.35 |
0.86 |
-0.77 |
-1.00 |
|
6 |
Դ |
Ձախ |
4 |
-0.95 |
-1.07 |
-0.52 |
-1.17 |
-2.33 |
-1.52 |
|
7 |
Դ |
Աջ |
2 |
-0.22 |
-0.30 |
-0.42 |
-0.18 |
-0.74 |
-1.00 |
|
7 |
Դ |
Ձախ |
4 |
-0.51 |
0.03 |
-0.76 |
-0.12 |
-0.42 |
-1.24 |
|
8 |
Դ |
Աջ |
2 |
0.51 |
0.30 |
0.92 |
0.63 |
0.56 |
0.34 |
|
8 |
Դ |
Ձախ |
1 |
-0.44 |
0.08 |
-0.16 |
-0.95 |
-2.00 |
-1.49 |
|
9 |
Դ |
Աջ |
4 |
-0.40 |
-1.15 |
-2.25 |
-2.57 |
-1.20 |
-1.55 |
|
9 |
Դ |
Ձախ |
2 |
-1.16 |
-1.05 |
-1.90 |
-1.80 |
-1.06 |
-1.42 |
|
10 |
Դ |
Ձախ |
3 |
0.28 |
-0.31 |
-1.16 |
-1.40 |
-0.64 |
-0.57 |
|
10 |
Դ |
Աջ |
1 |
-0.14 |
-0.05 |
-0.24 |
-0.63 |
-0.41 |
-1.09 |
|
11 |
Դ |
Աջ |
1 |
-0.46 |
-0.82 |
-1.10 |
-2.15 |
-0.47 |
-0.59 |
|
11 |
Դ |
Ձախ |
4 |
-0.15 |
-1.45 |
-1.66 |
-1.61 |
-1.14 |
0.55 |
|
12 |
Դ |
Աջ |
1 |
-0.25 |
-0.76 |
-1.35 |
-2.29 |
-1.23 |
-0.99 |
|
12 |
Դ |
Ձախ |
4 |
1.89 |
0.73 |
2.07 |
0.82 |
-0.59 |
0.70 |
|
Միջին արժեքը |
-0.19 |
-0.74 |
-1.06 |
-1.40 |
-0.71 |
-0.76 | |||
|
Ստանդարտ շեղումը, SD |
0.79 |
0.87 |
1.23 |
1.20 |
0.90 |
0.68 | |||
|
Միջին արժեքի սխալը, SE |
0.16 |
0.18 |
0.25 |
0.25 |
0.18 |
0.14 | |||
|
Վարիացիայի գործակիցը, % CV |
405 |
117 |
116 |
86 |
126 |
89 | |||
*Ծանոթագրություն.
Դ մշակում՝ ռեֆերենտ դեղապատրաստուկ՝ դեղաչափի ազդեցության 2 ժամ տևողության դեպքում
Աղյուսակ 5
AUEC(0-24)-ի արժեքները աջ և ձախ ձեռքերի համար ու երկու ձեռքերի համար միջին արժեքը դեղաչափի ազդեցության՝ D1-ին և D2-ին հավասար տևողությունների դեպքում, ինչպես նաև D2-ի դեպքում AUEC-ի միջին արժեքի հարաբերությունը՝ D1-ի դեպքում AUEC-ի միջին արժեքին՝ 12 սուբյեկտների համար
|
AUEC(0-24)՝ D1-ի դեպքում |
AUEC(0-24)՝ D2-ի դեպքում |
AUEC՝ D2-ի դեպքում / AUEC՝ D1-ի դեպքում | ||||||
|
սուբյեկտը |
ձեռքը (ձախ/աջ) |
AUEC |
AUEC (միջին) |
սուբյեկտը |
ձեռքը (ձախ/աջ) |
AUEC |
AUEC (միջին) | |
|
1 |
Աջ |
-25.98 |
-36.42 |
1 |
Աջ |
-45.53 |
-43.90 |
1.21 |
|
1 |
Ձախ |
-46.87 |
1 |
Ձախ |
-42.26 |
|||
|
2 |
Աջ |
-62.43 |
-45.09 |
2 |
Աջ |
-69.72 |
-59.96 |
1.33 |
|
2 |
Ձախ |
-27.76 |
2 |
Ձախ |
-50.20 |
|||
|
3 |
Աջ |
-22.53 |
-28.41 |
3 |
Աջ |
-31.87 |
-64.04 |
2.25 |
|
3 |
Ձախ |
-34.29 |
3 |
Ձախ |
-96.21 |
|||
|
4 |
Աջ |
-7.49 |
-11.70 |
4 |
Աջ |
-27.48 |
-23.30 |
1.99 |
|
4 |
Ձախ |
-15.91 |
4 |
Ձախ |
-19.12 |
|||
|
5 |
Ձախ |
-16.59 |
-17.36 |
5 |
Ձախ |
-25.01 |
-16.58 |
0.95 |
|
5 |
Աջ |
-18.14 |
5 |
Աջ |
-8.15 |
|||
|
6 |
Աջ |
-8.24 |
-10.44 |
6 |
Աջ |
-27.36 |
-9.33 |
0.89 |
|
6 |
Ձախ |
-12.64 |
6 |
Ձախ |
8.70 |
|||
|
7 |
Աջ |
-10.89 |
-13.36 |
7 |
Աջ |
-20.44 |
-23.68 |
1.77 |
|
7 |
Ձախ |
-15.83 |
7 |
Ձախ |
-26.92 |
|||
|
8 |
Ձախ |
7.08 |
4.69 |
8 |
Ձախ |
-26.16 |
-21.02 |
-4.48 |
|
8 |
Աջ |
2.31 |
8 |
Աջ |
-15.88 |
|||
|
9 |
Ձախ |
-34.22 |
-13.82 |
9 |
Ձախ |
-33.80 |
-21.39 |
1.55 |
|
9 |
Աջ |
6.58 |
9 |
Աջ |
-8.97 |
|||
|
10 |
Ձախ |
-4.10 |
3.06 |
10 |
Ձախ |
-52.60 |
-43.79 |
-14.29 |
|
10 |
Աջ |
10.23 |
10 |
Աջ |
-34.97 |
|||
|
11 |
Աջ |
-33.30 |
-37.30 |
11 |
Աջ |
-57.00 |
-52.20 |
1.40 |
|
11 |
Ձախ |
-41.30 |
11 |
Ձախ |
-47.40 |
|||
|
12 |
Աջ |
-0.55 |
-21.06 |
12 |
Աջ |
-29.24 |
-28.22 |
1.34 |
|
12 |
Ձախ |
-41.57 |
12 |
Ձախ |
-27.20 |
|||
|
__________________ | ||||||||
Աղյուսակ 6
AUEC(0-24)-ի արժեքները աջ և ձախ ձեռքերի համար ու երկու ձեռքերի համար միջին արժեքը՝ հետազոտվող և ռեֆերենտ դեղապատրաստուկների համար 12 սուբյեկտների մասով՝ դեղաչափի ազդեցության՝ 2 ժամին հավասար տևողության դեպքում
|
Հետազոտվող դեղապատրաստուկի AUEC(0-24) |
Ռեֆերենտ դեղապատրաստուկի AUEC(0-24) | ||||||||
|
սուբյեկտը |
ձեռքը (ձախ/աջ) |
Զետեղելու տեղը |
AUEC |
AUEC (միջին) |
սուբյեկտը |
ձեռքը (ձախ/աջ) |
Զետեղելու տեղը |
AUEC |
AUEC (միջին) |
|
1 |
Աջ |
3 |
-16.20 |
-21.69 |
1 |
Աջ |
4 |
-27.29 |
-43.03 |
|
1 |
Ձախ |
1 |
-27.19 |
1 |
Ձախ |
4 |
-58,77 |
||
|
2 |
Ձախ |
3 |
-56,98 |
-48,52 |
2 |
Աջ |
4 |
-28,65 |
-22,20 |
|
2 |
Աջ |
1 |
-40,06 |
2 |
Ձախ |
4 |
-15,75 |
||
|
3 |
Ձախ |
3 |
-43,63 |
-38,99 |
3 |
Աջ |
1 |
-15,27 |
-18,65 |
|
3 |
Աջ |
2 |
-34,36 |
3 |
Ձախ |
4 |
-22,03 |
||
|
4 |
Աջ |
1 |
-14,06 |
-7,62 |
4 |
Աջ |
4 |
-26,67 |
-22,42 |
|
4 |
Ձախ |
3 |
-1,18 |
4 |
Ձախ |
2 |
-18,18 |
||
|
5 |
Ձախ |
3 |
-8,39 |
-13,34 |
5 |
Ձախ |
2 |
-35,48 |
-34,25 |
|
5 |
Աջ |
1 |
-18,29 |
5 |
Աջ |
3 |
-33,01 |
||
|
6 |
Աջ |
4 |
-9,51 |
-15,23 |
6 |
Աջ |
1 |
0.01 |
-18.83 |
|
6 |
Ձախ |
3 |
-20,96 |
6 |
Ձախ |
4 |
-37,68 |
||
|
7 |
Աջ* |
4 |
-12,05 |
0,98 |
7 |
Աջ |
2 |
-12,17 |
-10,96 |
|
7 |
Ձախ* |
1 |
14,01 |
7 |
Ձախ |
4 |
-9,75 |
||
|
8 |
Աջ* |
4 |
0,30 |
0,56 |
8 |
Աջ |
2 |
13,57 |
-7,94 |
|
8 |
Ձախ* |
3 |
0,81 |
8 |
Ձախ |
1 |
-29,45 |
||
|
9 |
Աջ* |
1 |
-43,68 |
-32,05 |
9 |
Աջ |
4 |
-41,15 |
-37,40 |
|
9 |
Ձախ* |
3 |
-20,42 |
9 |
Ձախ |
2 |
-33,65 |
||
|
10 |
Աջ* |
1 |
-10,61 |
-11,51 |
10 |
Ձախ |
3 |
-20,35 |
-16,10 |
|
10 |
Ձախ* |
3 |
-12,41 |
10 |
Աջ |
1 |
-11,86 |
||
|
11 |
Ձախ* |
2 |
-26,33 |
-26,18 |
11 |
Աջ |
1 |
-26,13 |
-26,73 |
|
11 |
Աջ* |
3 |
-26,04 |
11 |
Ձախ |
4 |
-27,33 |
||
|
12 |
Ձախ* |
3 |
-15,77 |
-11,62 |
12 |
Աջ |
1 |
-35,19 |
-12,56 |
|
12 |
Աջ* |
3 |
-7,47 |
12 |
Ձախ |
4 |
10,08 |
||
|
Միջին արժեքը |
-18,77 |
-18,77 |
Միջին արժեքը |
-22,59 |
-22,59 | ||||
|
Ստանդարտ շեղումը, SD |
16,45 |
15,28 |
Ստանդարտ շեղումը, SD |
16,14 |
10,92 | ||||
|
Միջին արժեքի սխալը, SE |
3,36 |
3,12 |
Միջին արժեքի սխալը, SE |
3,30 |
2,23 | ||||
|
Վարիացիայի գործակիցը, % CV |
88 |
81 |
Վարիացիայի գործակիցը, % CV |
71 |
48 | ||||
_____________________
Ծանոթագրություն. Եզրագծված են յոթ սուբյեկտների AUEC-ի տվյալները, որոնց համար D2-ի դեպքում AUEC-ի հարաբերությունը D1-ին ա1,25 (աղյուսակ 5), այսինքն, դրանք հետազոտության այն սուբյեկտներն են, որոնք պիտանի են գնահատման համար: AUEC-ի այդ տվյալներն օգտագործվել են 90% վստահելի միջակայքը հաշվելու համար՝ Պահանջների թիվ 5 հավելվածի համաձայն:
|
ՀԱՎԵԼՎԱԾ ԹԻՎ 5 |
ՀԱՇՎԱՐԿ
չկերպափոխված տվյալների համար ճշգրիտ 90 % վստահելի միջակայքի՝ ըստ Locke C.S.
Սույն փաստաթղթում ներկայացված է «Տեղային կիրառման կորտիկոստերոիդային դեղապատրաստուկների կենսահամարժեքության դեղակինետիկ և կլինիկական հետազոտությունների անցկացմանը ներկայացվող պահանջների» թիվ 5 հավելվածի 6-րդ աղյուսակում բերված՝ կենսահամարժեքության հիմնական (հենակետային) հետազոտության չկերպափոխված տվյալների մասով 90 % ճշգրիտ վստահելի միջակայքի հաշվարկման մեթոդիկան: Վստահելի միջակայքը հաշվարկելու համար օգտագործվել են միայն «դետեկտորների» AUEC-ի միջին արժեքները: Հիմնական (հենակետային) հետազոտության մեջ հետազոտման սուբյեկտների AUEC-ի միջին արժեքները, որոնք համապատասխանում են «Տեղային կիրառման կորտիկոստերոիդային դեղապատրաստուկների կենսահամարժեքության դեղակինետիկ և կլինիկական հետազոտությունների անցկացմանը ներկայացվող պահանջների» 71-րդ կետում բերված՝ «դեղաչափի ազդեցության տևողություն - պատասխան» չափանիշին, բերված են հետևյալ աղյուսակում:
|
Սուբյեկտը |
Հետազոտվող |
Ռեֆերենտ |
|
2 |
-48,52 |
-22,20 |
|
3 |
-38,99 |
-18,65 |
|
4 |
-7,62 |
-22,42 |
|
7 |
0,98 |
-10,96 |
|
9 |
-32,05 |
-37,40 |
|
11 |
-26,18 |
-26,73 |
|
12 |
-11,62 |
-12,56 |
Վստահելի միջակայքը հաշվարկելու համար պետք է հաշվել հետևյալ միջանկյալ մեծությունները՝
որտեղ՝
n-ը գնահատման համար պիտանի սուբյեկտների թիվն է (տվյալ օրինակում՝ 7):
Այնուհետև, ըստ ստորև բերված բանաձևերի, անհրաժեշտ է հաշվարկել ընտրանքային միջինը, ընտրանքային դիսպերիսան և ընտրանքային կովարիացիան՝ գնահատման համար պիտանի առանձին սուբյեկտների AUEC-ի միջին արժեքների համար:
Տվյալ օրինակում այդ արժեքները կազմել են՝
t-ն սահմանում են որպես ազատության n-1 աստիճաններով t-բաշխման 95-րդ պրոցենտիլի արժեք: Օրինակ, n = 7 դեպքում t-ի արժեքը (ազատության 6 աստիճանների համար) կազմում է 1,9432:
Այնուհետև որոշում են՝
Ճշգրիտ վստահելի միջակայք կառուցելու համար պահանջվում է կատարել հետևյալ պայմանը՝ G < 1.
Եթե G ա 1, ապա հետազոտությունը չի համապատասխանում in vivo կենսահամարժեքության պահանջներին: Տվյալ օրինակում G-ն կազմում է 0,0930:
եթե G < 1, ապա հաշվում են՝
Տվյալ օրինակում К-ն կազմում է 2,791:
Դրանից հետո հնարավոր է հաշվարկել վստահելի միջակայքի սահմանները.
Տվյալ օրինակում 90 % վստահելի միջակայքի սահմանները կազմում են 53,60 % և 165,90 %՝ գնահատման համար պիտանի յոթ սուբյեկտների տվյալների հիման վրա:»:
4. Լրացնել հետևյալ բովանդակությամբ թիվ 10 հավելվածով.
|
«ՀԱՎԵԼՎԱԾ ԹԻՎ 10 |
ՊԱՀԱՆՋՆԵՐ
մոդիֆիկացված ձերբազատմամբ դեղապատրաստուկների կենսահամարժեքության դեղակինետիկ և կլինիկական ուսումնասիրություն անցկացնելուն ներկայացվող
I. Ընդհանուր դրույթներ
1. Սույն Պահանջները պարունակում են ներքին ընդունման, միջմկանային և ենթամաշկային ներմուծման համար մոդիֆիկացված ձերբազատմամբ դեղաձևով դեղապատրաստուկների և վերմաշկային դեղաձևերի՝ մարդու նկատմամբ արդյունավետության, անվտանգության, կենսադեղագործական և դեղակինետիկ հատկությունների որոշման համար անհրաժեշտ հետազոտություններ անցկացնելու, ինչպես նաև այդ հետազոտությունների պլանավորման, անցկացման և արդյունքների գնահատման ընդհանուր սկզբունքները սահմանելու վերաբերյալ ցուցումներ։
2. Սույն Պահանջները նաև պարունակում են երկարաձգված և հետաձգված ձերբազատմամբ վերարտադրված դեղապատրաստուկների կենսահամարժեքության հետազոտություններ անցկացնելու վերաբերյալ ցուցումներ։
3. Առանձին հանձնարարականներ և ստանդարտներ է պահանջում այն հանգամանքներից յուրաքանչյուրը, որոնց դեպքում կարող է մշակվել մոդիֆիկացված ձերբազատմամբ դեղաձևով դեղապատրաստուկը (այսուհետ՝ մոդիֆիկացված ձերբազատմամբ դեղապատրաստուկ)։ Այդ հանգամանքները բաժանվում են 3 խմբի՝
ա) նոր քիմիական միացությունների մոդիֆիկացված ձերբազատմամբ դեղապատրաստուկի գրանցումը.
բ) մոդիֆիկացված ձերբազատմամբ այն դեղապատրաստուկի գրանցումը, որի ազդող նյութը գրանցված է ձերբազատման այլ արագությամբ պատրաստուկի (օրինակ՝ սովորական ձերբազատմամբ պատրաստուկի) կազմում.
գ) մոդիֆիկացված ձերբազատմամբ դեղապատրաստուկի պարզեցված գրանցումը, որով վկայակոչվում է շուկայում գտնվող՝ մոդիֆիկացված ձերբազատմամբ դեղապատրաստուկը (օրինակ՝ որպես վերարտադրված կամ հիբրիդային դեղապատրաստուկ գրանցելը)։
4. Յուրաքանչյուր կոնկրետ դեպքում պետք է որոշվեն կատարվող հետազոտությունների տեսակներն ու քանակը՝ հաշվի առնելով դեղաձևի հատկություններն ու կիրառման ոլորտը, ինչպես նաև դեղապատրաստուկի ենթադրվող թերապևտիկ կիրառումը։
II. Սահմանումներ
5. Սույն պահանջների նպատակներով օգտագործվում են հասկացություններ, որոնք ունեն հետևյալ իմաստը՝
միջմկանային (ենթամաշկային) դեպո պատրաստուկ (depot formulation)՝ միջմկանային կամ ենթամաշկային ներմուծման համար նախատեսված պատրաստուկ, որը որոշակի ժամանակահատվածի ընթացքում անընդհատ ձերբազատում է ազդող նյութը։ Ենթամաշկային պատրաստուկների շարքին են դասվում իմպլանտները.
երկֆազ ձերբազատմամբ դեղաձև (biphase release formulation)՝ դեղաձև, որն առաջին ֆազի ժամանակ արագ ձերբազատում է կիրառելուց հետո կարճ ժամանակահատվածի ընթացքում ազդող նյութի թերապևտիկ կոնցենտրացիան ապահովող դեղաչափի մի մասը։ Երկրորդ՝ երկարաձգված ֆազի ընթացքում տեղի է ունենում երկարատև ժամանահատվածում ազդող նյութի արդյունավետ թերապևտիկ կոնցենտրացիայի պահպանման համար անհրաժեշտ դեղաչափի մնացած մասի ձերբազատումը.
սովորական ձերբազատմամբ դեղաձև (immediate release dosage form, immediate release formulation)՝ դեղաձև, որի ազդող նյութի ձերբազատման արագությունը, և (կամ) ժամանակը, և (կամ) տեղը չեն մոդիֆիկացվում հատուկ օժանդակ նյութերի ներմուծման և (կամ) արտադրության հատուկ տեխնոլոգիայի կիրառման միջոցով.
հետաձգված ձերբազատմամբ դեղաձև (delayed release dosage form, delayed release formulation)՝ դեղաձև, որի ազդող նյութի ձերբազատումը հետաձգված է դեղաչափը կիրառելուց հետո որոշակի ժամանակահատվածով։ Հետագա ձերբազատումը նույնանման է սովորական ձերբազատմամբ դեղաձևից ձերբազատմանը.
բաբախող (ընդհատումներով) ձերբազատմամբ դեղաձև (pulsatile release dosage form)՝ ազդող նյութի՝ ժամանակի որոշակի ընդհատումներով չափաբաժնային ձերբազատմամբ դեղաձև.
բազմամիավոր դեղաձև (multiple-unit dosage form)՝ դեղաձև, որը պարունակում է բազմաթիվ առանձին (օրինակ՝ ժելատինե պատիճի մեջ) կամ հաբի տեսքով մամլած միավորներ (օրինակ՝ պելետներ կամ հատիկներ), որոնցից յուրաքանչյուրը պարունակում է ազդող նյութի ձերբազատումը վերահսկող օժանդակ նյութեր».
մեկ միավորից դեղաձև (single-unit dosage form)՝ միայն մեկ միավորից բաղկացած դեղաձև (օրինակ՝օսմոտիկ հաբի ձևով).
սպեղանի վերմաշկային (transdermal patch, transdermal drug delivery system)՝ մեկ կամ ավելի ազդող նյութ պարունակող՝ տարբեր չափերի դեղապատրաստուկի փափուկ ձև, որը զետեղվում է չվնասված մաշկի վրա՝ համակարգային հասանելիությանը հասնելու համար։ Գոյություն ունի վերմաշկային սպեղանիների 2 հիմնական տիպ՝ կախված սպեղանու բաղադրիչներում ազդող նյութի բաշխման եղանակից՝
մատրիցային (դիֆուզիայի միջոցով ազդող նյութի ձերբազատմամբ).
ռեզերվուարային (հեղուկ խցիկից ազդող նյութի՝ թաղանթով վերահսկվող ձերբազատմամբ)։
III. Մշակման հիմնավորումը
6. Ազդող նյութի մոդիֆիկացված ձերբազատմամբ դեղապատրաստուկի մշակումը պետք է հիմնված լինի հստակ որոշված կլինիկական անհրաժեշտության (օրինակ՝ ընկալունակության բարձրացումը և (կամ) պացիենտների անվտանգությունը) և ֆիզիոլոգիական, դեղադինամիկ և դեղակինետիկ սկզբունքների միասնականության վրա։
7. Մոդիֆիկացված ձերբազատմամբ դեղապատրաստուկի գրանցման դոսյեն պետք է պարունակի դեղապատրաստուկի (մոդիֆիկացված ձերբազատմամբ և ձերբազատման մեխանիզմի) ֆիզիկական ձևի, դեղաձևի ընտրության (պատրաստուկի in vitro և in vivo ֆունկցիոնալ բնութագրերի նկարագրությամբ), միավոր դեղաձևում ազդող նյութի պարունակության ընտրության լիարժեք հիմնավորումը, ինչպես նաև նոր դեղաձևի կլինիկական հիմնավորումը (հատկապես՝ կիրառման առաջարկվող ցուցումների և դոզավորման ռեժիմի հետ կապված)։
1. Կլինիկական հիմնավորումը
8. Երկարաձգված ձերբազատմամբ դեղաձևն ընդունելի է, եթե ազդող նյութը կարող է ապահովել ցանկալի կլինիկական էֆեկտը՝ սովորական ձերբազատմամբ դեղաձև կիրառելիս ապահովվող պրոֆիլից տարբերվող դեղակինետիկ պրոֆիլի դեպքում։
9. Երկարաձգված ձերբազատմամբ դեղաձևը սովորական ձերբազատմամբ դեղաձևի համեմատ կարող է ունենալ մի շարք առավելություններ՝ օրինակ՝
ա) պատրաստուկի պլազմային կոնցենտրացիայի նվազեցված ֆլուկտուացիաները (տատանումները), որոնք կարող են ապահովել ավելի երկարատև էֆեկտներ և (կամ) անցանկալի ռեակցիաների դեպքերի առաջացման նվազեցված հաճախականություն և (կամ) ինտենսիվություն.
բ) կիրառման ավելի փոքր հաճախականությունը և պացիենտների կողմից ընկալունակության հնարավոր բարձրացումը.
գ) ներմուծման այլ ուղի (միջմկանային, ենթամաշկային կամ վերմաշկային սպեղանիների օգտագործմամբ) (բացառությամբ ներքին ընդունման)։
10. Երկֆազ ձերբազատմամբ դեղաձևի մշակումը նպատակահարմար է հետագա երկարաձգված ձերբազատմամբ դեղապատրաստուկի ազդեցությունն արագ սկսվելու անհրաժեշտության դեպքում։
11. Հետաձգված ձերբազատմամբ դեղաձևի մշակումը նպատակահարմար է ազդող նյութը ստամոքսի թթվային միջավայրից պաշտպանելու, ստամոքսն ազդող նյութից պաշտպանելու նպատակով կամ եթե ազդող նյութի ձերբազատումը նախատեսված է աղիքների որոշակի հատվածում։
12. Բաբախող (ընդհատումներով) ձերբազատմամբ դեղաձևի մշակումը նպատակահարմար է, եթե բուժումը պահանջում է ճշգրտում՝ հաշվի առնելով առկա վիճակի օրական (ցիրկադային) ռիթմը, կամ ցածր հաճախականությամբ ներմուծման անհրաժեշտության դեպքում, իսկ արդյունավետության հասնելու համար անհրաժեշտ է պլազմային կոնցենտրացիայի տատանվող պրոֆիլ, որը բնորոշ է սովորական ձերբազատմամբ դեղաձևին։
2. Կիրառումը և դոզավորման ռեժիմը
13. Դեղապատրաստուկի գրանցման դոսյեում անհրաժեշտ է հստակ նշել մոդիֆիկացված ձերբազատմամբ դեղաձևի ներմուծման պայմանները և, եթե դա ընդունելի է, սովորական ձերբազատմամբ դեղաձևի հետ դրա կիրառումը հետևյալ իրավիճակներում՝
բուժման սկզբում,
դեղաչափի ընտրության անհրաժեշտության դեպքում,
թերապևտիկ էֆեկտի պահպանման համար,
սուր հիվանդությունների բուժման դեպքում,
բնակչության հատուկ խմբերի համար (տարեց մարդիկ, երեխաներ և երիկամային կամ լյարդային անբավարարությամբ պացիենտներ)։
Մոդիֆիկացված ձերբազատմամբ դեղապատրաստուկի գրանցման դոսյեում անհրաժեշտ է հիմնավորել մոդիֆիկացված ձերբազատմամբ դեղաձևերի այն դոզավորումների բացակայությունը, որոնք ընդգրկում են դեղաչափերի բոլոր անհրաժեշտ մակարդակները (օրինակ՝ բնակչության հատուկ խմբերի համար ցածր դեղաչափեր)։
Շրջանառության մեջ միաժամանակ մոդիֆիկացված և չմոդիֆիկացված դեղաձևերի առկայության դեպքում անհրաժեշտ է դեղապատրաստուկի մասին տեղեկատվության մեջ տալ հանձնարարականներ՝
սովորական ձերբազատմամբ դեղաձևերը մոդիֆիկացված ձերբազատմամբ դեղաձևերով փոխարինելու վերաբերյալ.
կիրառման օպտիմալ պայմանների ապահովման վերաբերյալ (օրինակ՝ հաբերը չծամելու կամ չկոտրելու ցուցումներ), եթե դա ազդում է դեղապատրաստուկի կենսադեղագործական հատկությունների վրա։
IV. Որպես ազդող նյութեր նոր քիմիական միացություններ պարունակող՝ մոդիֆիկացված ձերբազատմամբ դեղաձևերի հետազոտությունները
14. Եթե նոր քիմիական միացությունը՝ որպես ազդող նյութ, մտնում է մոդիֆիկացված ձերբազատմամբ մշակվող դեղապատրաստուկի բաղադրության մեջ, ապա այդ պատրաստուկի գրանցման դոսյեն պետք է պարունակի համապատասխան դեղագործական և քիմիական տվյալները, անհրաժեշտ նախակլինիկական հետազոտություններն ու կլինիկական հետազոտությունների տվյալների ամբողջական լրակազմը։
1. Նոր քիմիական միացություն պարունակող՝ ներքին ընդունման մոդիֆիկացված ձերբազատմամբ դեղապատրաստուկների դեղակինետիկ հետազոտությունները
15. Նոր քիմիական միացությունը, որը՝ որպես ազդող նյութ, մտնում է մոդիֆիկացված ձերբազատմամբ մշակվող դեղապատրաստուկի բաղադրության մեջ, պահանջում է ներկայացնել բոլոր դեղակինետիկ տվյալները։ Մոդիֆիկացված ձերբազատմամբ դեղաձևի համար սպեցիֆիկ լրացուցիչ փաստաթղթերը ներառում են մոդիֆիկացված ձերբազատմամբ դեղապատրաստուկի կենսադեղագործական բնութագրերի վրա ազդող գործոնների գնահատմանն ուղղված հետազոտությունների տվյալները՝ ինչպես նշված է սույն պահանջների V բաժնի 1-ին ենթաբաժնում։
16. Հետազոտությունների (օրինակ՝ դոզային և ժամանակային կախվածության հետազոտություն) կրկնօրինակումը կանխելու համար առաջարկվում է կլինիկակական մշակման ժամանակահատվածում հնարավորինս վաղ անցկացնել մոդիֆիկացված ձերբազատմամբ դեղաձևի դեղակինետիկ հետազոտություններ։ Մշակման I ֆազի սկզբնական հետազոտությունները (օրինակ՝ առաջին անգամ մարդու մասնակցությամբ անցկացվող հետազոտություններ) անցկացնում են՝ օգտագործելով ներքին ընդունման լուծույթը կամ սովորական ձերբազատմամբ դեղապատրաստուկը, և այդ հետազոտությունների ընթացքում ստանում են ազդող նյութի հիմնական դեղակինետիկ բնութագրերը (tmax, Vd, Сl, կիսադուրսբերման տերմինալային ժամանակահատվածը, դուրսբերման ուղին (ուղիները))։ Դեղամիջոցների փոխազդեցության հետազոտությունները և բնակչության հատուկ խմբերում հետազոտություններն անցկացնում են՝ օգտագործելով մոդիֆիկացված ձերբազատմամբ դեղապատրաստուկը։ Ի լրումն ցանկացած նոր դեղապատրաստուկի համար անհրաժեշտ սովորական դեղակինետիկ հետազոտությունների (օրինակ՝ դեղաչափերի մեկանգամյա և բազմակի ներմուծման դեպքում դեղակինետիկ պարամետրերի որոշումը, ինչպես նաև (անհրաժեշտության դեպքում) սննդի ազդեցությունն ու դեղաչափի համամասնությունը)՝ անհրաժեշտ է նկարագրել ազդող նյութի ձերբազատման նկատմամբ հսկողության մեխանիզմը։ Դա իրականացվում է տարբեր բաղադրությունների և (կամ) արտադրության մեթոդների օգտագործմամբ կատարվող կենսահամարժեքության (հարաբերական կենսամատչելիության) հետազոտությունների ընթացքում, որոնց ժամանակ, օրինակ, փոփոխվում է ձերբազատումը վերահսկող օժանդակ նյութի քանակը։ Եթե հնարավոր է, ապա ստացված in vivo դեղակինետիկ պրոֆիլներն անհրաժեշտ է համադրել in vitro ազդող նյութի ձերբազատման պրոֆիլների հետ (սույն պահանջների թիվ 1 հավելված)։
Ներքին ընդունման մոդիֆիկացված ձերբազատմամբ դեղաձևերի վրա սննդի ազդեցության հետազոտությունները
17. Սննդի հետ փոխազդեցությունը կարող է պայմանավորված լինել ազդող նյութով կամ դեղապատրաստուկով (վերջինս առավել կարևոր է մոդիֆիկացված ձերբազատմամբ պատրաստուկների համար)։
18. Սննդի ազդեցության հետազոտության օպտիմալ փորձարարական պայմանները ենթադրում են դեղապատրաստուկն ընդունելուց անմիջապես առաջ շատ յուղոտ սննդի օգտագործում՝ սույն պահանջների V բաժնի 1-ին ենթաբաժնի ցուցումներին համապատասխան։
19. Մոդիֆիկացված ձերբազատմամբ դեղապատրաստուկների վրա սննդի ազդեցության հետազոտություններն առաջարկվում է անցկացնել մշակման վաղ փուլերում, որպեսզի կլինիկական արդյունավետության և անվտանգության հետազոտություններում հնարավոր լինի ներառել սննդի ընդունման առնչությամբ պատրաստուկի կիրառման վերաբերյալ համապատասխան հանձնարարականներ։ Դա նաև կարևոր է անվտանգության համար, քանի որ դեղաչափի արագ ձերբազատման հեռանկարային ռիսկը անհրաժեշտ է գնահատել արդյունավետության և անվտանգության հետազոտություններ սկսելուց առաջ։
20. Նոր դեղապատրաստուկի ազդող նյութի աբսորբման վրա սննդի ազդեցության գնահատման համար երբեմն բավարար է անցկացնել խաչաձև հետազոտություն 2 խմբում (մոդիֆիկացված ձերբազատմամբ դեղապատրաստուկի ընդունում՝ անոթի կամ սնունդն ընդունելուց հետո)։ Մոդիֆիկացված ձերբազատմամբ դեղապատրաստուկի վրա սննդի՝ կլինիկորեն նշանակալի ազդեցության առկայության դեպքում կարող է պահանջվել ներքին ընդունման լուծույթի օգտագործմամբ լրացուցիչ հետազոտություն (հետազոտություններ)՝ գնահատելու համար այն, թե արդյոք սննդի ազդեցությունը վերաբերում է դեղապատրաստուկին, դեղաձևին կամ ազդող նյութին։ Այդ դեպքում կարելի է անցկացնել խաչաձև հետազոտություն 4 խմբում՝ մոդիֆիկացված ձերբազատմամբ դեղապատրաստուկ՝ անոթի և սնունդն ընդունելուց հետո՝ ներքին ընդունման լուծույթի համեմատ (կամ սովորական ձերբազատմամբ պատրաստուկի համեմատ, եթե հնարավոր չէ օգտագործել լուծույթը), որն ընդունվում է անոթի և սնունդն ընդունելուց հետո։
21. Մոդիֆիկացված ձերբազատմամբ դեղապատրաստուկի վրա սննդի՝ կլինիկորեն նշանակալի ազդեցության առկայության դեպքում դոզավորման վերաբերյալ հանձնարարականներ մշակելու համար կարող են պահանջվել մոդիֆիկացված ձերբազատմամբ դեղապատրաստուկի՝ սննդի հետ փոխազդեցության լրացուցիչ հետազոտություններ (օրինակ՝ սննդի կալորիականությունից և բաղադրությունից կախված՝ դրա տարբեր տեսակների ազդեցության հետազոտությունները, որոնք ուղղված են դեղապատրաստուկն ընդունելուց առաջ և հետո որոշակի ժամին ընդունվող սննդի ազդեցության որոշմանը և այլն)։
2. Վերմաշկային սպեղանիների դեղակինետիկ հետազոտությունները
22. Եթե նոր քիմիական ազդող նյութը մշակվում է վերմաշկային սպեղանու կազմում կիրառելու համար, ապա այդ դեղապատրաստուկի գրանցման դոսյեն պետք է պարունակի համապատասխան դեղագործական և քիմիական տվյալները, անհրաժեշտ նախակլինիկական հետազոտությունները, ինչպես նաև կլինիկական հետազոտությունների տվյալների ամբողջական լրակազմը։
23. Ընդհանուր առմամբ, վերմաշկային սպեղանուց ազդող նյութի առաքման կինետիկան որոշվում է դեղապատրաստուկի ազդող նյութի, օժանդակ նյութերի և մաշկի միջև փոխազդեցությամբ։ Ազդող նյութի դիֆուզիայի և համակարգային կենսամատչելիությունը որոշող՝ արագությունը սահմանափակող փուլի (օրինակ՝ մաշկի կողմից ազդող նյութի ձերբազատում և (կամ) կուտակում) բնութագրերի և (կամ) դեղապատրաստուկի այլ համապատասխան հատկությունների գնահատման համար անհրաժեշտ է անցկացնել in vitro և in vivo հետազոտություններ։ Դեղակինետիկ հետազոտությունները պետք է ներառեն մեկանգամյա և բազմակի կիրառման մասով հետազոտությունները, որոնցով հաշվի են առնվում այնպիսի ասպեկտներ, ինչպիսիք են՝
աբսորբման կախվածությունը զետեղման տեղից.
կոնցենտրացիաների ֆլուկտուացիան.
գաղտնի շրջանը.
«կոնցենտրացիա-ժամանակ» պրոֆիլը՝ վերմաշկային սպեղանու հեռացումից հետո։
Ցանկալի է որոշել in vitro և in vivo (IVIVC) հատկությունների միջև կապը վերմաշկային սպեղանու համար։ Մի քանի դոզավորումների մշակման դեպքում անհրաժեշտ է հետազոտել այդ դոզավորումների համամասնությունը՝ սույն պահանջների V բաժնի 1-ին ենթաբաժնի պահանջներին համապատասխան։
24. Ի լրումն I ֆազի ստանդարտ հետազոտությունների՝ անհրաժեշտ է անցկացնել հետևյալ հետազոտությունները՝
մաշկի գրգռվածության մասով,
սենսիբիլիզացիայի մասով (սույն պահանջների թիվ 2 հավելված),
վերմաշկային սպեղանու ֆոտոտոքսիկ լինելու և ադհեզիվության մասով (սույն պահանջների թիվ 3 հավելված)։
Վերմաշկային սպեղանու ադհեզիվությունը գնահատելիս անհրաժեշտ է հաշվի առնել արտաքին գործոնների (օրինակ՝ ջերմաստիճանի, արևապաշտպան նրբաքսուքների) ազդեցությունը։ Որպես կանոն՝ վերմաշկային սպեղանիները նախատեսված են տարեց անձանց կողմից կիրառվելու համար։ Հետևաբար՝ փորձարկումներն անհրաժեշտ է անցկացնել այդ տարիքային խմբին բնորոշ մաշկի վիճակով անձանց մասնակցությամբ։ Դեղապատրաստուկի բժշկական կիրառման հրահանգը (ներդիր թերթիկը) պետք է պարունակի հատուկ դեպքերում (օրինակ՝ շոգեբաղնիքում) կիրառման վերաբերյալ կոնկրետ ցուցումներ։ Վերմաշկային սպեղանիների կիրառման սխալները (օրինակ՝ վատ տեսողության դեպքում) կանխելու համար պացիենտի մաշկի վրա աննկատ վերմաշկային սպեղանիների մշակումը պետք է դիտարկվի պահպանողական տեսանկյունից։ Այդպիսի դեպքերում սպեղանու նկատելիությունը բարձրացնելու համար դրա վրա զետեղում են հեշտ նկատելի ներկ։
3. Միջմկանային (ենթամաշկային) դեպո պատրաստուկների դեղակինետիկ հետազոտությունները
25. Միջմկանային (ենթամաշկային) դեպո պատրաստուկների կինետիկան որոշվում է դեղապատրաստուկի ազդող նյութի և մկանային հյուսվածքի փոխազդեցությամբ։ Միջմկանային կամ ենթամաշկային դեպոյից ազդող նյութի դիֆուզիայի և համակարգային կենսամատչելիությունը որոշող՝ արագությունը սահմանափակող փուլի (օրինակ՝ մաշկային ռեզերվուարից ազդող նյութի ձերբազատում) բնութագրերի և (կամ) պատրաստուկով միջնորդավորված հանգամանքների գնահատման համար անհրաժեշտ է անցկացնել in vitro և in vivo հետազոտություններ։ Դեղակինետիկ հետազոտությունները պետք է ներառեն միջմկանային (ենթամաշկային) դեպո պատրաստուկների դեղաչափի մեկանգամյա և բազմակի ներմուծմամբ հետազոտություններ, որոնցով հաշվի են առնվում որոշակի ասպեկտներ (օրինակ՝ աբսորբման կախվածությունը կիրառման տեղից, կոնցենտրացիայի ֆլուկտուացիան, գաղտնի շրջանը)։ Անհրաժեշտ է որոշել in vitro և in vivo (IVIVC) հատկությունների միջև կապը միջմկանային (ենթամաշկային) դեպո պատրաստուկների համար։ Միջմկանային (ենթամաշկային) դեպո պատրաստուկների մի քանի դոզավորումների կիրառման դեպքում անհրաժեշտ է համապատասխան կերպով հետազոտել միջմկանային (ենթամաշկային) դեպո պատրաստուկների այդ դոզավորումների համամասնությունը։
V. Մոդիֆիկացված ձերբազատմամբ այն դեղաձևերի հետազոտությունները, որոնց ազդող նյութը գրանցված է ձերբազատման այլ արագությամբ դեղապատրաստուկի բաղադրության մեջ
26. Մոդիֆիկացված ձերբազատմամբ դեղաձևերը մշակվում են դեղաբանական (թունաբանական) պատասխանի ու ազդող նյութի և (կամ) մետաբոլիտի (մետաբոլիտների) համակարգային էքսպոզիցիայի բնութագրերի միջև առկա կախվածության հիման վրա։ Հետևաբար՝ մոդիֆիկացված ձերբազատմամբ դեղաձևի մշակման նպատակը շատ դեպքերում սովորական ձերբազատմամբ դեղաձևին նույնանման՝ ազդող նյութի ընդհանուր էքսպոզիցիային (AUC) հասնելն է։ Պարտադիր չէ կիրառել միևնույն անվանական դեղաչափերը, քանի որ մոդիֆիկացված ձերբազատմամբ դեղաձևը կարող է ունենալ այլ աստիճանի աբսորբում կամ մետաբոլիզմ։
27. Ընդհանուր առմամբ, մոդիֆիկացված ձերբազատմամբ դեղաձևերը կենսահամարժեք չեն սովորական ձերբազատմամբ համապատասխան դեղաձևին։ Միայն դեղակինետիկ տվյալների օգտագործումը կարող է բավարար չլինել մոդիֆիկացված ձերբազատմամբ դեղաձևի համար «օգուտ-ռիսկ» հարաբերակցության գնահատում կատարելու համար՝ համապատասխան դեղաչափերով կիրառվող սովորական դեղաձևի համեմատ։ Այլ հիմնավորման բացակայության դեպքում դեղակինետիկ տվյալներից բացի անհրաժեշտ է ստանալ սույն բաժնի 2-րդ ենթաբաժնում նշված՝ կլինիկական հետազոտությունների լրացուցիչ տվյալներ։
28. Այն դեպքում, երբ մոդիֆիկացված ձերբազատմամբ նոր դեղաձևի դոզավորումը տարբերվում է սովորական ձերբազատմամբ գրանցված դեղաձևի դոզավորումից, այդ տարբերությունը և դոզավորելու հնարավոր ռեժիմների տարբերություններն անհրաժեշտ է հստակորեն նշել դեղապատրաստուկի ընդհանուր բնութագրի, ներդիր թերթիկի և մականշվածքի մեջ։ Անհրաժեշտ է նաև նշել դեղաձևերի այդ դեղաչափերի կիրառման սխալների հետ կապված ռիսկերի նվազեցման առավել կարևոր սովորական միջոցները։ Հայտատուն պետք է հաստատի, որ նոր դեղաձևի օգուտը գերազանցում է տվյալ պատրաստուկին բնորոշ հնարավոր ռիսկերը (օրինակ՝ սխալ կիրառումը)։
29. Նոր դեղապատրաստուկն անհրաժեշտ է բնութագրել էֆեկտիվության (անվտանգության) համապատասխան դեղակինետիկ, դեղադինամիկ և կլինիկական հետազոտություններում՝ դեղաչափերի մեկանգամյա և բազմակի ներմուծման դեպքում։ Որոշ դեպքերում կարող են պահանջվել լրացուցիչ հետազոտություններ (օրինակ՝ եթե մոդիֆիկացված ձերբազատմամբ պատրաստուկը կիրառվում է ներմուծման նոր ուղու միջոցով, ապա անհրաժեշտ է անցկացնել դեղակինետիկ հետազոտություն՝ մետաբոլիկ պրոֆիլի բնութագրերն ստանալու նպատակով)։
30. Մոդիֆիկացված ձերբազատմամբ դեղաձևերի ազդող նյութի հատկությունների որոշման համար թունաբանական, դեղաբանական կամ կլինիկական փորձարկումներ չեն պահանջվում՝ պայմանով, որ մոդիֆիկացված և սովորական ձերբազատմամբ դեղապատրաստուկների կիրառման ժամանակ դիտվում է ազդող նյութի (մետաբոլիտների) միանման ընդհանուր էքսպոզիցիա։
31. Սովորական ձերբազատմամբ գրանցված դեղապատրաստուկը, որը պարունակում է նույն ազդող նյութը, ինչ մոդիֆիկացված ձերբազատմամբ դեղաձևը, համարվում է ռեֆերենտ դեղապատրաստուկ։ Ռեֆերենտ դեղապատրաստուկն օգտագործվում է դեղակինետիկ և թերապևտիկ հետազոտություններում այնքան ժամանակ, քանի դեռ չի պարզվել, որ ռեֆերենտ և հետազոտվող դեղապատրաստուկների միջև տարբերությունները չեն ազդում ձերբազատման և կենսամատչելիության բնութագրերի վրա։
1. Դեղակինետիկ հետազոտությունները
32. Դեղակինետիկ հետազոտությունների նպատակը մոդիֆիկացված ձերբազատմամբ դեղապատրաստուկի in vivo բնութագրման մեջ է՝ որոշելով՝
ա) աբսորբման արագությունն ու աստիճանը.
բ) հավասարակշիռ վիճակում ազդող նյութի կոնցենտրացիայի ֆլուկտուացիան.
գ) դեղակինետիկ հետազոտությունների սուբյեկտների միջև փոփոխականությունը, որը պայմանավորված է դեղապատրաստուկի բաղադրությամբ կամ դրա արտադրության մեթոդով.
դ) դեղապատրաստուկի դեղաչափի համամասնությունը.
ե) մոդիֆիկացված ձերբազատմամբ դեղապատրաստուկի ֆունկցիոնալ բնութագրերի վրա ազդող գործոնները.
զ) ձերբազատման չկանխատեսված բնութագրերի (օրինակ՝ դեղաչափի արագ ձերբազատման) ռիսկը։
33. Դեղակինետիկ հետազոտությունները հիմնված են ազդող նյութի և (կամ) մետաբոլիտի կոնցենտրացիայի չափումների վրա, իսկ որոշ դեպքերում՝ սուր դեղադինամիկ էֆեկտի որոշման հետ համակցությամբ։ Դեղապատրաստուկի բաղադրության՝ դրա կենսադեղագործական հատկությունների վրա էական ազդեցության հետ կապված՝ Եվրասիական տնտեսական հանձնաժողովի խորհրդի 2016 թվականի նոյեմբերի 3-ի թիվ 85 որոշմամբ հաստատված՝ Եվրասիական տնտեսական միության շրջանակներում դեղապատրաստուկների կենսահամարժեքության հետազոտությունների անցկացման կանոններում (այսուհետ՝ Կենսահամարժեքության հետազոտության անցկացման կանոններ) պարունակվող՝ մետաբոլիտների ուսումնասիրմանը ներկայացվող պահանջները չեն կիրառվում։ Անհրաժեշտ է որոշել մետաբոլիտների կոնցենտրացիան, քանի որ աբորբման արագության կամ ներմուծման ուղու փոփոխությունը կարող է փոփոխել մետաբոլիզմի աստիճանն ու ուղին։
34. Դեղակինետիկ հետազոտություններն անցկացվում են առողջ կամավորների մասնակցությամբ կամ (ելնելով անվտանգության նկատառումներից) պացիենտների մասնակցությամբ։
35. Դեղաչափի բազմակի ներմուծմամբ դեղակինետիկ հետազոտություններ անցկացնելիս անհրաժեշտ է հաստատել հավասարակշիռ վիճակին հասնելը։ Այլ հիմնավորման բացակայության դեպքում հավասարակշիռ վիճակին հասնելը որոշվում է նախապես սահմանված առնվազն 3 կոնցենտրացիաների համեմատությամբ՝ մինչև դեղապատրաստուկի յուրաքանչյուր դեղաչափի ներմուծումը։ Դեղաչափի բազմակի ներմուծմամբ դեղակինետիկ հետազոտություններ չեն պահանջվում ազդող նյութի կումուլյացիայի (այսինքն՝ դոզավորման ժամանակահատվածի վերջում մարդու օրգանիզմում դրա ոչ էական պարունակության) բացակայության դեպքում՝ ելնելով սույն պահանջների VI բաժնի 1-ին ենթաբաժնում բերված չափանիշներից։
36. Սննդի զուգընթաց ընդունման առնչությամբ անհրաժեշտ է անցկացնել դեղաչափի բազմակի ներմուծմամբ կենսահամարժեքության հետազոտություն՝ հաշվի առնելով դեղապատրաստուկի ընդհանուր բնութագրում նշված պայմանները՝ մինչև հավասարակշիռ վիճակին հասնելը։ Եթե դեղապատրաստուկի ընդհանուր բնութագրով դեղապատրաստուկի ներմուծման առնչությամբ սահմանվում է սննդի ընդունման որոշակի ժամ (ժամանակի միջակայք), ապա այդ ժամը (ժամանակի միջակայքը) պետք է պահպանվի ամբողջ հետազոտության ընթացքում, այդ թվում՝ դեղակինետիկ պրոֆիլների որոշման օրը։ Եթե դեղապատրաստուկի ընդհանուր բնութագրով խորհուրդ է տրվում դեղապատրաստուկն ընդունել անոթի (առանց սահմանելու ժամանակի սահմաններ) կամ սննդի ընդունումից անկախ, ապա դեղակինետիկ պրոֆիլների որոշման օրն անհրաժեշտ է կիրառել դեղապատրաստուկի անոթի ընդունման վատագույն տարբերակը (օրինակ՝ անոթի առավոտյան և պատրաստուկն ընդունելուց հետո 4 ժամվա ընթացում առանց ուտելիքի)։ Եթե դեղապատրաստուկի ընդհանուր բնութագրով խորհուրդ է տրվում դեղապատրաստուկն ընդունել սնունդն ընդունելուց հետո, ապա ամբողջ հետազոտության ընթացքում՝ ներառյալ դեղակինետիկ պրոֆիլների որոշման օրերը, անհրաժեշտ է ընդունել կալորիաների նորմալ պարունակությամբ սնունդ, եթե սննդի ընդունման այլ պայմաններ սահմանված չեն դեղապատրաստուկի ընդհանուր բնութագրով։
Աբսորբման արագությունն ու աստիճանը, ազդող նյութի ֆլուկտուացիան
37. Մոդիֆիկացված ձերբազատմամբ դեղաձևի ազդող նյութի աբսորբման արագությունը և աստիճանն անհրաժեշտ է գնահատել սովորական ձերբազատմամբ դեղաձևի ազդող նյութի աբսորբման արագության և աստիճանի հետ համեմատելու միջոցով` մեկանգամյա ներմուծումից հետո և բազմակի ներմուծումից հետո`կումուլյացիայի առկայության դեպքում։
Հետազոտվող դեղակինետիկ պարամետրերի շարքին են դասվում՝
դեղաչափի մեկանգամյա ներմուծմամբ հետազոտություններում՝
AUC(0-t),
AUC(0-∞),
AUC(t-∞) (մնացորդային մակերեսը),
Cmax,
tmax,
t1/2,
tlag.
դեղաչափի բազմակի ներմուծմամբ հետազոտությունների համար՝
AUC(0-t),
tmax,ss,
Cmax,ss,
Cmin,ss.
կոնցենտրացիայի ֆլուկտուացիա։
Անհրաժեշտ է հիմնավորել այն դեղակինետիկ պարամետրը (պարամետրերը), որը որպես հիմնական է ընտրվել համեմատության համար, այսինքն՝ այն պարամետրը, որը դիտարկվում է որպես դեղապատրաստուկի արդյունավետությունն ու անվտանգությունն առավել հավանականորեն արտացոլող պարամետր։
38. Անհրաժեշտ է հաստատել, որ մոդիֆիկացված ձերբազատմամբ դեղաձևն ունի ձերբազատման հայտագրված բնութագրերը։ Մոդիֆիկացված ձերբազատմամբ դեղաձևի համար առաջարկվում է օգտագործել «կոնցենտրացիա -ժամանակ» տվյալների դեկոնվոլյուցիա՝ սովորական ձերբազատմամբ համապատասխան դեղաձևի համեմատ՝ մոդիֆիկացված ձերբազատմամբ դեղաձևի համար ժամանակի ընթացքում աբսորբման կումուլյատիվ պրոֆիլի (կամ in vivo ձերբազատման) որոշման նպատակով։ Ձերբազատման հայտագրված բնութագրերի հաստատման համար անհրաժեշտ է օգտագործել կումուլյատիվ աբսորբված քանակը և ժամանակի ընթացքում աբսորբման արագությունը։
39. Դեղաչափի բազմակի ներմուծումից հետո անհրաժեշտ է հետազոտել ազդող նյութի կոնցենտրացիայի ֆլուկտուացիան։ Եթե այլ բան հիմնավորված չէ, ապա մոդիֆիկացված ձերբազատմամբ դեղաձևը պետք է դրսևորի նույնանման կամ ավելի փոքր ֆլուկտուացիաներ՝ սովորական ձերբազատմամբ դեղաձևի համեմատ։
40. Եթե մոդիֆիկացված ձերբազատմամբ դեղաձևը ենթակա է ներմուծման նախկինում սովորական ձերբազատմամբ դեղաձև ստացած պացիենտներին (օրինակ՝ դոզավորման ձևի փոփոխման կամ փոխարկման դեպքում), ապա հավասարակշիռ կոնցենտրացիայի պահպանման համար անհրաժեշտ է նախատեսել հատուկ հրահանգներ՝ դոզավորման այդպիսի փոփոխության կիրառման կամ փոխարկման ընթացքում։
Հետազոտման ենթակա դեղաչափերն ու դոզավորումները
41. Եթե ազդող նյութն ու մոդիֆիկացված ձերբազատմամբ դեղաձևը դրսևորում են գծային դեղակինետիկ հատկություններ, ապա բավական է համեմատել մոդիֆիկացված ձերբազատմամբ դեղաձևը և սովորական ձերբազատմամբ դեղաձևը՝ մեկանգամյա ներմուծումից հետո, և ազդող նյութի կուտակման դեպքում՝ դեղաչափի մեկ մեծության բազմակի ներմուծումից հետո։
42. Եթե ազդող նյութն ու մոդիֆիկացված ձերբազատմամբ դեղաձևը դրսևորում են ոչ գծային դեղակինետիկա (պլազմային կոնցենտրացիայի թերապևտիկ ընդգրկույթում), ապա անհրաժեշտ է համեմատել մոդիֆիկացված ձերբազատմամբ դեղաձևն ու սովորական ձերբազատմամբ դեղաձևն առնվազն՝ ամենամեծ և ամենափոքր դեղաչափերով։ Եթե մոդիֆիկացված և սովորական ձերբազատմամբ դեղաձևերը դրսևորում են ոչ գծայնության տարբեր աստիճաններ, ապա անհրաժեշտության դեպքում կարելի է համեմատել դրանց լրացուցիչ դոզավորումները։
2. Դեղակինետիկ պարամետրերի փոփոխականության հետազոտությունները
43. Սույն ենթաբաժնում նկարագրված՝ դեղաչափերի մեկանգամյա և բազմակի ներմուծմամբ հետազոտությունների ժամանակ անհրաժեշտ է որոշել հետաքրքրություն ներկայացնող դեղակինետիկ պարամետրերի միջանհատական փոփոխականությունը և ըստ այդ չափանիշի՝ համեմատել մոդիֆիկացված և սովորական ձերբազատմամբ դեղաձևերը։ Նախընտրելի է, որ մոդիֆիկացված ձերբազատմամբ դեղաձևի համար փոփոխականությունը չգերազանցի սովորական ձերբազատմամբ դեղաձևի համար փոփոխականությունը, եթե միայն փոփոխականության այդ գերազանցումը հիմնավորված չէ հնարավոր կլինիկական հետևանքների տեսանկյունից։
3. Դոզավորումների համամասնության հետազոտությունը
44. Ցանկալի դեղաչափին հասնելու նպատակով մի քանի դոզավորումների առկայության կամ մոդիֆիկացված ձերբազատմամբ դեղաձևի մի քանի միավորների միաժամանակյա ընդունման հնարավորության դեպքում անհրաժեշտ է հետազոտել մոդիֆիկացված ձերբազատմամբ դեղաձևի տարբեր դոզավորումների կամ ընդունվող դեղաչափերի համամասնությունը: Դեղաչափի համամասնությունն անհրաժեշտ է գնահատել դեղաչափերի մեկանգամյա ներմուծմամբ և ազդող նյութի կուտակման դեպքում՝ բազմակի ներմուծմամբ հետազոտության միջոցով, որի ժամանակ դեղաչափի ճշգրտումից հետո համեմատվում են բոլոր դոզավորումների (դեղաչափերի)՝ հետաքրքրություն ներկայացնող դեղակինետիկ պարամետրերը: Այդ դեպքում կիրառելի չեն AUC-ի և ընդունելիության 25 % ընդգրկույթի վրա հիմնված՝ դեղաչափի համամասնության չափանիշները, որոնք բերված են Կենսահամարժեքության հետազոտությունների անցկացման կանոններում, քանի որ դրանք կիրառելի են միայն կենսահամարժեքության հետազոտություններում դոզավորման ընտրության նկատմամբ:
4. Մոդիֆիկացված ձերբազատմամբ դեղապատրաստուկի ֆունկցիոնալ բնութագրերի վրա ազդող հիմնական գործոնները
Սնունդը
45. Դեղաչափի մեկանգամյա ներմուծմամբ դեղակինետիկ հետազոտության ժամանակ անհրաժեշտ է հետազոտել սննդի ազդեցությունը մոդիֆիկացված ձերբազատմամբ դեղաձևերի կենսամատչելիության վրա։ Դեղաձևրի կենսամատչելիության վրա սննդի ազդեցության մոդելավորման համար օպտիմալ փորձարարական պայմանները ներառում են նախապես որոշված՝ ճարպի բարձր պարունակությամբ բարձր կալորիականություն ունեցող սննդի ընդունումն անմիջապես դեղապատրատուկի ընդունումից առաջ։ Խորհուրդ է տրվում, որ սուբյեկտներն սկսեն սնունդն ընդունել դեղապատրաստուկի ընդունումից 30 րոպե առաջ և սննդի ընդունումն ավարտեն 30 րոպեի ընթացքում։ Սննդի մեկանգամյա ընդունման համար նախատեսված ճաշացանկը պետք է ապահովի՝
բարձր քանակությամբ ճարպերի ստացումը (օրական սննդակարգում կալորիաների ընդհանուր պարունակության մոտավորապես 50 %-ը).
բարձր կալորիականությունը (800-ից մինչև 1000 կիլոկալորիա).
սպիտակուցների օգտագործման հաշվին՝ 150 կիլոկալորիայի, ածխաջրերի օգտագործման հաշվին՝ 250 կիլոկալորիայի, և ճարպերի օգտագործման հաշվին՝ 500-600 կիլոկալորիայի ստացումը։
Հետազոտության վերաբերյալ հաշվետվության մեջ անհրաժեշտ է նկարագրել սննդի բաղադրությունը՝ դրանում սպիտակուցների, ածխաջրերի և ճարպերի պարունակության մասով՝ գրամներով, նշել կալորիաների բացարձակ և հարաբերական (տոկոսներով) պարունակությունը։
46. Մոդիֆիկացված ձերբազատմամբ դեղաձևի ֆունկցիոնալ բնութագրերի վրա սննդի ազդեցության հետազոտության անցկացման պլանավորումը կախված է այլ անցկացված հետզոտություններից, որոնց ժամանակ մոդիֆիկացված ձերբազատմամբ դեղաձևը համեմատվել է սովորական ձերբազատմամբ դեղաձևի հետ, ինչպես նաև կախված է սովորական ձերբազատմամբ դեղաձևի վրա սննդի՝ կլինիկորեն նշանակալի ազդեցության առկայությունից։
47. Եթե սնունդը կլինիկորեն նշանակալի ազդեցություն չի ունենում սովորական ձերբազատմամբ դեղաձևի վրա, ապա բավական է անցկացնել մոդիֆիկացված ձերբազատմամբ դեղաձևի կրկնակի խաչաձև համեմատական հետազոտություն անոթի և սնունդ ընդունելուց հետո՝ պայմանով, որ մնացած դեղակինետիկ հետազոտություններում մոդիֆիկացված ձերբազատմամբ դեղաձևը համեմատվել է սովորական ձերբազատմամբ դեղաձևի հետ՝ անոթի վիճակում։
48. Մոդիֆիկացված ձերբազատմամբ դեղաձևի վրա սննդի՝ կլինիկորեն նշանակալի ազդեցության առկայության դեպքում, յուրաքանչյուր դեղաձևի վրա սննդի ազդեցության քանակական որոշման համար նպատակահարմար է անցկացնել խաչաձև դեղակինետիկ հետազոտություն 4 խմբում ու համեմատել անոթի և սնունդ ընդունելուց հետո մոդիֆիկացված ձերբազատմամբ դեղաձևն ու անոթի և սնունդ ընդունելուց հետո սովորական ձերբազատմամբ դեղաձևը։
49. Մոդիֆիկացված ձերբազատմամբ դեղաձևի մի քանի դոզավորումների առկայության դեպքում դեղաձևի կենսադեղագործական բնութագրերի վրա սննդի ազդեցությունը կարող է հետազոտվել դոզավորումներից մեկի համար՝ միայն բոլոր հետևյալ պայմանները կատարելու դեպքում՝
դոզավորումները համամասնական են ըստ բաղադրության (օրինակ՝ բազմամիավոր դեղաձևեր են կամ ըստ բաղադրության՝ համամասնական հաբեր են).
դոզավորումներն ունեն արտադրության նույնանման պրոցես.
դոզավորումներն ունեն գծային դեղակինետիկա.
մոդիֆիկացված ձերբազատմամբ դեղաձևի յուրաքանչյուր դեղաչափի լուծման պրոֆիլները նույնանման են լուծման մի շարք միջավայրերում։
Եթե մշակման ծրագրում ներկայացված չէ հետազոտության համար այլ դոզավորման ընտրության հիմնավորումը, ապա ազդող նյութի ձերբազատման վրա սննդի ազդեցության ուսումնասիրմամբ հետազոտությունն անհրաժեշտ է անցկացնել մոդիֆիկացված ձերբազատմամբ դեղաձևի սանդղակում առավելագույն դոզավորմամբ։
Վերոնշյալ պայմանները չկատարելու դեպքում անհրաժեշտ է հետազոտել ազդող նյութի ձերբազատման վրա սննդի ազդեցությունը ամենամեծ և ամենափոքր դոզավորումների համար կամ անցկացնել սահմանային տարբերակների ընտրության մեթոդի կիրառմամբ հետազոտություն (bracketing)։
50. Ազդող նյութի ձերբազատման վրա սննդի ազդեցության գնահատում կատարելիս՝ բացի AUC-ի և Cmax-ի հաշվարկից՝ հարկավոր է նաև համեմատել ազդող նյութի մոդիֆիկացված ձերբազատման որակական բնութագրերը՝ դեղաձևի դոզավորումների ամբողջ սանդղակի համար «կոնցենտրացիա-ժամանակ» պրոֆիլների ձևի նմանությունն ստուգելու միջոցով, և հաստատել դրանց փոփոխության ոչ էական լինելը։
51. Անհրաժեշտ է վերլուծել այն, թե կլինիկորեն որքան նշանակալի է սննդի ազդեցությունը մոդիֆիկացված ձերբազատմամբ դեղաձևի ազդող նյութի ձերբազատման վրա՝ դրա անվտանգության և արդյունավետության փոփոխության մասով։ Անհրաժեշտության դեպքում՝ դեղապատրաստուկի մասին տեղեկատվության մեջ բերվում են դեղապատրաստուկն ընդունելու վերաբերյալ հանձնարարականները՝ սննդի ընդունման մասով։ Դեղապատրաստուկի դոզավորման վերաբերյալ հանձնարարականները հիմնավորելու համար կարող է պահանջվել լրացուցիչ հետազոտությունների անցկացում այլ տեսակի սննդով կամ դեղապատրաստուկի՝ սնունդն ընդունելուց առաջ և հետո որոշակի ժամանակահատվածներում ընդունման դեպքում։
52. Եթե դեղապատրաստուկի մշակման ժամանակ դրա բաղադրությունը և (կամ) արտադրության պրոցեսը փոփոխվում են այնպես, որ դա կարող է պոտենցիալ կերպով փոփոխել ազդող նյութի ձերբազատման բնութագրերը, ապա կարող է պահանջվել դեղապատրաստուկի փոփոխված այդ դեղաձևից ազդող նյութի ձերբազատման վրա սննդի ազդեցության կրկնակի գնահատում։
53. Որոշ բազմամիավոր դեղաձևերի դեղապատրաստուկի մասին տեղեկատվության մեջ կարող է նշվել, որ այդ պատրաստուկը կարող է բացվել և պելետները (հատիկները), օրինակ, կարող են ընդունվել փափուկ տեսակի սննդի հետ, դիսպերսվել մեկ բաժակ չգազավորված ջրում, և դրանք կարելի է կուլ տալ առանց ծամելու կամ ներմուծել ստամոքսային զոնդի միջոցով։ Դեղապատրաստուկի ներմուծման այդպիսի լրացուցիչ եղանակի մասին տեղեկատվության ավելացման համար անհրաժեշտ է անցկացնել in vitro կայունության և լուծման մասով լրացուցիչ փորձարկումներ, որոնցով հաստատվում է չբացված և բացված դեղաձևերի համարժեքությունը։ Անհրաժեշտ է հիմնավորել ներմուծման լրացուցիչ եղանակները նմանակող՝ կենսահամարժեքության հետազոտությունների բացակայությունը։
Աղեստամոքսային տրակտի ֆունկցիան
54. Եթե ենթադրվում է ներքին ընդունման մոդիֆիկացված ձերբազատմամբ դեղապատրաստուկը կիրառել աղեստամոքսային տրակտի ֆունկցիաների վրա ազդող այլ դեղապատրաստուկների (օրինակ՝օփիոիդների) հետ միասին, ապա անհրաժեշտ է հետազոտել ներքին ընդունման մոդիֆիկացված ձերբազատմամբ դեղաձևի ֆունկցիոնալ բնութագրերը՝ այլ դեղապատրաստուկների հետ համատեղ կիրառման պայմաններում։
55. Եթե ներքին ընդունման մոդիֆիկացված ձերբազատմամբ դեղապատրաստուկը նախատեսված է աղեստամոքսային տրակտի ֆունկցիայի արտահայտված խախտումներով ուղեկցվող հիվանդություններ ունեցող պացիենտների կողմից կիրառվելու համար, ապա այդ դեղապատրաստուկի կենսադեղագործական հատկությունները պետք է լրացուցիչ ուսումնասիրվեն պացիենտների այդ խմբի մոտ։
Ձերբազատման չկանխատեսված բնութագրերը
56. Մոդիֆիկացված ձերբազատմամբ դեղաձևում պարունակվող ազդող նյութի ամբողջ քանակության կամ դրա զգալի մասի չկանխատեսված արագ ձերբազատումը կոչվում է «դեղաչափի արագ ձերբազատում (դեղաչափի արտանետում)»։ Կախված դեղապատրաստուկի ազդող նյութի կիրառման ցուցումներից և թերապևտիկ ընդգրկույթից՝ դեղաչափի արագ ձերբազատումը կարող է էական ռիսկ առաջացնել պացիենտների համար՝ այդ դեղապատրաստուկի անվտանգության նվազման և (կամ) արդյունավետության պակասեցման պատճառով։
57. Անհրաժեշտ է բացառել չկանխատեսված ձերբազատման առաջացման ռիսկը, որը հանգեցնում է մոդիֆիկացված ձերբազատմամբ դեղաձևերի չնախատեսված էքսպոզիցիայի։ Եթե դիտվում է մոդիֆիկացված ձերբազատման անհամապատասխան պրոֆիլով դեղապատրաստուկի ավելի բարձր առավելագույն էքսպոզիցիա, կամ ենթադրվում է ազդող նյութի դեղաչափի արագ ձերբազատում (օրինակ՝ հետազոտության որոշ սուբյեկտների մոտ ստամոքսի թթվային միջավայրում կայուն դեղաձևի մեջ անկայուն ազդող նյութի կոնցենտրացիայի բացակայությունը), ապա անհրաժեշտ է լրամշակել դեղապատրաստուկի բաղադրությունը և (կամ) լրամշակել դրա արտադրության մեթոդը՝ դեղաձևի այդպիսի կենսադեղագործական թերությունը կանխելու համար։
58. Ավելի բարձր առավելագույն էքսպոզիցիան կարող է դիտվել երկարաձգած ձերբազատմամբ դեղապատրաստուկների մոտ՝ ավելի երկարատև ժամանակահատվածում ստամոքսում ազդող նյութի ձերբազատման հետևանքով (օրինակ՝ ստամոքսի դանդաղեցված դատարկման դեպքում)՝ միայն ստամոքսի պարունակությունը դատարկվելուց հետո ազդող նյութի ձերբազատված դեղաչափի հետագա աբսորբմամբ։ Քանի որ դեղապատրաստուկի ազդող նյութի էքսպոզիցիայի այդպիսի չկանխատեսված բարձրացումը պայմանավորված չէ անվերահսկելի ձերբազատմանը հանգեցնող՝ այդ դեղապատրաստուկի ոչ պատշաճ որակով, ապա դեղապատրաստուկն ստամոքսում երկարատև գտնվելուց խուսափելու համար անհրաժեշտ է հանձնարարականներ տալ այդ դեղապատրաստուկի դոզավորման, օրինակ՝ սննդի ընդունման հետ հարաբերակցության վերաբերյալ։
Ալկոհոլի ազդեցությունը
59. Ներքին ընդունման մոդիֆիկացված ձերբազատմամբ որոշ դեղաձևեր պարունակում են ազդող և (կամ) օժանդակ նյութեր, որոնք ավելի լավ են լուծվում սպիրտային լուծույթներում, քան ջրում։ Ալկոհոլային խմիչքների և այդպիսի դեղապատրաստուկների միաժամանակյա օգտագործումը կարող է հանգեցնել ազդող նյութի դեղաչափի արագ ձերբազատմանը։ Այդպիսի դեղաձևերի համար անհրաժեշտ է անցկացնել in vitro ազդող նյութի ձերբազատման հետազոտություններ սպիրտային լուծույթներում։ Եթե կարճ ժամանակի ընթացքում՝ սպիրտի բարձր կամ ցածր կոնցենտրացիաների դեպքում, կամ երկարատև ժամանակի ընթացքում՝ սպիրտի ցածր կոնցենտրացիաների դեպքում նկատվում է in vitro ազդող նյութի արագացված ձերբազատում, ապա անհրաժեշտ է փոխել դեղաձևի բաղադրությունը և (կամ) արտադրության մեթոդը։ Միայն եթե առկա է այն հիմնավորումը, որ in vitro ալկոհոլի հետ դեղապատրաստուկի ազդող նյութի փոխազդեցությունը հնարավոր չէ կանխել դեղաձևի բաղադրության և (կամ) արտադրության մեթոդի փոփոխությամբ, ապա դեղապատրաստուկի համար ալկոհոլի հետ այդ փոխազդեցության բացակայության հիմնավորումը թույլատրվում է կատարել in vivo հետազոտությունների տեսքով։
60. Դեղապատրաստուկից ազդող նյութի դեղաչափի՝ ալկոհոլի միջոցով հարուցված արագ ձերբազատման in vivo հետազոտություն անցկացնելիս անհրաժեշտ է համեմատել այդ ազդող նյութի համակարգային էքսպոզիցիան այն պայմաններում, երբ մոդիֆիկացված ձերբազատմամբ դեղապատրաստուկը մարդու կողմից ընդունվում է անոթի՝ ալկոհոլային խմիչքի նախապես որոշված դոզայի հետ միասին։ Հետազոտության արդյունքների վերաբերյալ հաշվետվության մեջ անհրաժեշտ է ներկայացնել համակարգային էքսպոզիցիայի խմբային միջին արժեքի փոփոխության կլինիկորեն նշանակալիության, ինչպես նաև դեղապատրաստուկի ազդող նյութի համակարգային էքսպոզիցիայի դիտվող անհատական հարաբերությունների կլինիկորեն նշանակալիության գնահատականը՝ հետազոտության սուբյեկտներից յուրաքանչյուրի կողմից ալկոհոլի հետ միասին և առանց ալկոհոլի այն ընդունելու դեպքում։
61. Եթե բարձր է in vivo ազդող նյութի դեղաչափի էական արագ ձերբազատման հավանականությունը, որից հնարավոր չէ խուսափել դեղաձևի բաղադրության և (կամ) արտադրության մեթոդի փոփոխման միջոցով, ապա անհրաժեշտ է մանրակրկիտ գնահատել դեղապատրաստուկի «օգուտ-ռիսկ» հարաբերակցությունը։ Դեղապատրաստուկի կիրառման հակացուցումների մեջ ալկոհոլի օգտագործման սահմանափակումների մասին տեղեկատվությունը՝ ալկոհոլի հետ դեղապատրաստուկի փոխազդեցության կանխման պատշաճ միջոց չէ։ Ալկոհոլի հետ դեղապատրաստուկի փոխազդեցության տեսակի մասին տեղեկատվությունը պետք է նշվի դեղապատրաստուկի մասին տեղեկատվության մեջ (եթե այդպիսի փոխազդեցությունը հանգեցնում է էֆեկտի՝ կլինիկորեն նշանակալի պոտենցմանը կամ վնասակար գումարային էֆեկտին)։ Դեղապատրաստուկի մասին տեղեկատվության մեջ պետք է նաև նշված լինեն սպիրտ պարունակող մթերքի ընդունման հետ կապված այլ նախազգուշական միջոցներ։ Այդպիսի դեղապատրաստուկի գրանցման դոսյեի ձևավորման ժամանակ դրա կազմում պետք է ներառվեն ալկոհոլի հետ դեղապատրաստուկի անցանկալի փոխազդեցությունը կանխելու հետ կապված՝ ռիսկերի կառավարման տարբեր ռազմավարությունների վերլուծության արդյունքները։
5. Մոդիֆիկացված ձերբազատմամբ դեղաձևի ֆունկցիոնալ բնութագրերի վրա ազդող այլ գործոններ Դեղապատրաստուկի կիրառումը պացիենտների հատուկ խմբերում
62. Օրական 1 անգամ ընդունելու համար ներքին ընդունման մոդիֆիկացված ձերբազատմամբ դեղապատրաստուկներ մշակելիս անհրաժեշտ է հաշվի առնել կենդանական ծագման սնունդ չօգտագործող պացիենտների, երեխաների և տարեց պացիենտների, ինչպես նաև կանոնավոր կերպով անտացիդներ ընդունող պացիենտների տարբեր ֆիզիոլոգիական գործոնները (օրինակ՝ աղեստամոքսային տրակտով սննդի անցնելու ժամանակը, pH-ի արժեքը, սննդի ընդունման հաճախականությունը և սննդի տեսակը):
Դեղապատրաստուկի ներմուծման (զետեղման) տեղի ազդեցությունը պլազմայում ազդող նյութի կոնցենտրացիայի վրա
63. Եթե մոդիֆիկացված ձերբազատմամբ դեղապատրաստուկի ներմուծումը ենթադրվում է մի քանի ուղիներով կամ այն կարող է զետեղվել մարդու մարմնի տարբեր հատվածների վրա, ապա գրանցման դոսյեի կազմում հարկավոր է ներառել ազդող նյութի աբսորբման ուսումնասիրության արդյունքները՝ այդպիսի դեղապատրաստուկների ներմուծման տարբեր ուղիների դեպքում, ինչպես նաև դեղապատրաստուկի ընդհանուր բնութագրում առաջարկվող` ներարկումների կատարման կամ սպեղանիների ապլիկացիայի տեղերում: Մոդիֆիկացված ձերբազատմամբ դեղապատրաստուկի ներմուծման կամ ապլիկացիայի յուրաքանչյուր տեղի համար անհրաժեշտ է գնահատել դեղապատրաստուկի կիրառման անվտանգությունը և տանելիությունը:
64. Գրանցման դոսյեում անհրաժեշտ է ներկայացնել այն հետազոտությունների արդյունքները, որոնցով հաստատվում է, որ ենթամաշկային (միջմկանային) ուղու միջոցով ներմուծվող մոդիֆիկացված ձերբազատմամբ դեղաձևերով դեղապատրաստուկների և վերմաշկային սպեղանիների համար պլազմայի մեջ ազդող նյութի կոնցենտրացիաները դեղապատրաստուկի հերթական ներմուծումից (վերմաշկային սպեղանու ապլիկացիայից) առաջ մնում են թերապևտիկ տիրույթում, ինչպես նաև անհրաժեշտ է ներկայացնել արյան պլազմայում դեղապատրաստուկի ազդող նյութի կոնցենտրացիայի նվազման ուսումնասիրության արդյունքները՝ ենթամաշկային (ներմկանային դեպոյից) դեղապատրաստուկը կամ վերմաշկային սպեղանին հեռացնելուց հետո:
Մոդիֆիկացված ձերբազատմամբ դեղապատրաստուկի ազդող նյութի բազմաֆազ ձերբազատումը
65. Գոյություն ունեն մոդիֆիկացված ձերբազատմամբ դեղապատրաստուկներ, որոնք մշակվել են բացառապես այն նպատակով, որպեսզի դրանց մեկանգամյա ընդունման ժամանակ վերարտադրվի սովորական դեղապատրաստուկը օրական 3 կամ 4 անգամ ընդունելիս դոզավորման սխեմային համապատասխանող` ազդող նյութի ձերբազատումը: Մոդիֆիկացված ձերբազատմամբ այդպիսի դեղապատրաստուկների համար «ազդող նյութի պլազմային կոնցենտրացիա-ժամանակ» պրոֆիլը օրական մեկանգամյա կիրառումից հետո պետք է համարժեք լինի օրվա ընթացքում դոզավորման սովորական ռեժիմով կիրառված սովորական ձերբազատմամբ դեղաձևով դեղապատրաստուկից ազդող նյութի ձերբազատման պրոֆիլին: «Ազդող նյութի պլազմային կոնցենտրացիա-ժամանակ» այդ պրոֆիլների անհամարժեքության դեպքում պահանջվում է մոդիֆիկացված ձերբազատմամբ դեղապատրաստուկի և սովորական դեղաձևով դեղապատրաստուկի համադրելի էֆեկտիվության և (կամ) անվտանգության հաստատում՝ լրացուցիչ կլինիկական տվյալներով:
Ստամոքսում դեղապատրաստուկի գտնվելու ժամանակի ավելացումը
66. Ստամոքսի մեջ չտրոհվող մեկ միավորից դեղաձևով դեղապատրաստուկից ստամոքսի դատարկումը կարող է լինել ավելի դանդաղ և տարբերվել ըստ ժամանակի` պատրաստուկի մեկ ընդունումից մինչև մյուս ընդունումը: Դեղաձևի՝ աղելույծ պատվածք ունեցող և հետաձգված ձերբազատմամբ դեղապատրաստուկների համար դա հանգեցնում է անկանխատեսելի հետևանքների: Եթե դեղապատրաստուկը պարունակում է թթվազգայուն ազդող նյութ և դրա ձերբազատումը տեղի է ունենում մինչև ստամոքսի դատարկումը, դա կարող է հանգեցնել ազդող նյութի դեգրադացիայի` «պլազմային կոնցենտրացիա-ժամանակ» պրոֆիլների առաջացմամբ, որոնք չեն արտացոլում դեղապատրաստուկի ազդող նյութի աբսորբման և էլիմինացման իրական պրոցեսը: Բացի այդ` ազդող նյութի ձերբազատումը կարող է էականորեն դանդաղել` ստամոքսում երկարատև գտնվելու հետևանքով: Այդ իսկ պատճառով հետազոտություններում նմուշառման ժամանակահատվածը պետք է ընտրվի այնպես, որ թույլ տա՝
ստանալ ազդող նյութի չափելի կոնցենտրացիաները (հաշվի առնելով ոչ միայն ազդող նյութի կիսադուրսբերման փուլը, այլ նաև նման էֆեկտի հնարավոր առաջացումը).
հետազոտության մասին հաշվետվության մեջ նկարագրել ստամոքսի դանդաղեցված դատարկման ազդեցությունը մոդիֆիկացված ձերբազատմամբ դեղապատրաստուկից ազդող նյութի ձերբազատման պրոցեսի վրա:
6. Մոդիֆիկացված ձերբազատմամբ դեղապատրաստուկների թերապևտիկ հետազոտությունները
67. Եթե մոդիֆիկացված ձերբազատմամբ դեղապատրաստուկների մշակումն իրականացվում է սովորական ձերբազատմամբ դեղաձևի մշակումից հետո և մոդիֆիկացված ձերբազատմամբ դեղապատրաստուկների մշակման ծրագրում ու գրանցման դոսյեում ներկայացված չէ համեմատական հետազոտություններ կատարելուց հրաժարվելու պատշաճ հիմնավորումը, ապա ի լրումն դեղակինետիկ տվյալների, անհրաժեշտ է ներկայացնել դեղապատրաստուկի համեմատական կլինիկական էֆեկտիվության և անվտանգության տվյալները: Քանի որ սովորական ձերբազատմամբ դեղաձևով դեղապատրաստուկների էֆեկտիվությունն ու անվտանգությունը հայտնի են, ուստի երկու դեղաձևերի կլինիկական էֆեկտիվության և անվտանգության նման համեմատության հիմնական խնդիրը հաստատելն է, որ մոդիֆիկացված ձերբազատմամբ նոր դեղաձևը նույնչափ անվտանգ ու էֆեկտիվ է, ինչ չմոդիֆիկացված ձերբազատմամբ գրանցված դեղաձևը: Մշակման ծրագրում և գրանցման դոսյեում անհրաժեշտ է ներկայացնել մոդիֆիկացված ձերբազատմամբ դեղաձևի հայտագրված լրացուցիչ առավելությունները հաստատող կամ հիմնավորող տեղեկություններ և տվյալներ:
68. Բացառիկ դեպքերում, երբ «կոնցենտրացիա-էֆեկտ» կախվածության գնահատումը ցույց է տալիս, որ ազդող նյութի պլազմային կոնցենտրացիայի (ակտիվ մետաբոլիտի (մետաբոլիտների)) և կլինիկական պատասխանի միջև գոյություն ունի հստակ կախվածություն, թույլատրվում է չանկացնել կլինիկական հետազոտություններ: Այս դեպքում էֆեկտիվության և անվտանգության նույն կամ բարելավված աստիճանը կարելի է հաստատել դեղակինետիկ-դեղադինամիկ հետազոտությունների արդյունքներով:
69. Մոդիֆիկացված ձերբազատմամբ դեղապատրաստուկների համար դեղակինետիկ-դեղադինամիկ կախվածությունը գնահատելիս անհրաժեշտ է գնահատել տվյալ դեղաձևով և սովորական (չմոդիֆիկացված) դեղաձևով դեղապատրաստուկի` էֆեկտիվության և անվտանգության վրա ազդեցության տարբերությունները, որոնք պայմանավորված են ազդող նյութի աբսորբման արագության և ազդող նյութի կոնցենտրացիայի ֆլուկտուացիաների միջև տարբերություններով: Անհրաժեշտ է պարզել «կոնցենտրացիա-էֆեկտ» կախվածությունը և որոշել «հավասարակշիռ կոնցենտրացիա-ժամանակ» պրոֆիլների միջև տարբերությունների վիճակագրական և կլինիկորեն նշանակալիությունը` մոդիֆիկացված ձերբազատմամբ դեղապատրաստուկի կիրառման ռեժիմի և սովորական ձերբազատմամբ դեղաձևով՝ գրանցված դեղապատրաստուկի կիրառման ռեժիմի համար: Անհրաժեշտ է նաև հետազոտել ազդող նյութի էքսպոզիցիայով, կոնցենտրացիայով, աբսորբման արագությամբ և ֆլուկտուացիայով պայմանավորված թերապևտիկ և տոքսիկ էֆեկտների տանելիությունը:
Թերապևտիկ հետազոտություններ անցկացնելուց հրաժարվելը
70. Թույլատրվում է չանցկացնել թերապևտիկ հետազոտություններ այն դեպքում, եթե կատարվում է հետևյալ պայմաններից առնվազն մեկը`
ա) հաստատված է ռեֆերենտ և հետազոտվող պատրաստուկների կենսահամարժեքությունն ըստ Cmax,ss, Cmin,ss և AUC(0-Ժ)ss դեղակինետիկ պարամետրերի` մոդիֆիկացված ձերբազատմամբ նոր դեղապատրաստուկի համար, որը մշակվել է ձերբազատման այլ մեխանիզմով դեղապատրաստուկի ֆունկցիոնալ բնութագրերը և դոզավորման ռեժիմը նմանակելու նպատակով (օրինակ` ձերբազատման տարբեր տևողությամբ պելլետներ (հատիկներ) պարունակող բաբախող բազմաֆազային ձերբազատմամբ դեղաձևով).
բ) հաստատված է ռեֆերենտ և հետազոտվող պատրաստուկների կենսահամարժեքությունն ըստ Cmax,ss, Cmin,ss և AUC(0-Ժ)ss դեղակինետիկ պարամետրերի (չնայած «պլազմային կոնցենտրացիա-ժամանակ» պրոֆիլի գրաֆիկական տեսքի մեջ տարբերությունների), եթե հնարավոր է հիմնավորել («էքսպոզիցիա-պատասխան» կախվածության և «ձև-պատասխան» պրոֆիլի վերլուծության հիման վրա), որ պրոֆիլի ձևի մեջ տարբերությունը նշանակալի չէ դեղապատրաստուկի էֆեկտիվության և անվտանգության համար.
գ) դեղապատրաստուկի համար սահմանվել է հետևյալ պայմանների զուգակցումը`
գոյություն ունի դեղապատրաստուկի անվտանգության և էֆեկտիվության հստակ արտահայտված թերապևտիկ պատուհան,
հայտնի է, որ համակարգային արյան հոսքի մեջ դեղապատրաստուկի ազդող նյութի ներթափանցման արագությունը չի ազդում դրա անվտանգության և էֆեկտիվության պրոֆիլի վրա, ինչպես նաև դեղապատրաստուկի նկատմամբ տոլերանտության զարգացման ռիսկի վրա,
հաստատված է ռեֆերենտ և հետազոտվող պատրաստուկների կենսահամարժեքությունը՝ ըստ AUC(0-Ժ)ss դեղակինետիկ պարամետրի,
պարզվել է, որ մոդիֆիկացված ձերբազատմամբ նոր դեղապատրաստուկի Cmax,ss-ը փոքր կամ համարժեք է գրանցված դեղապատրաստուկի Cmax,ss-ին, բայց միևնույն ժամանակ մոդիֆիկացված ձերբազատմամբ դեղապատրաստուկի Cmin,ss-ը բարձր կամ համարժեք է գրանցված դեղապատրաստուկի Cmin,ss-ին:
Թերապևտիկ հետազոտությունների պլանավորումը
71. Մոդիֆիկացված ձերբազատմամբ դեղապատրաստուկի համեմատական հետազոտություններն անհրաժեշտ է պատշաճորեն պլանավորել և անցկացնել` սովորական ձերբազատմամբ գրանցված դեղապատրաստուկի համեմատ մոդիֆիկացված ձերբազատմամբ դեղապատրաստուկի թերապևտիկ էֆեկտի և անցանկալի էֆեկտների ինտենսիվությունն ու տևողությունը գնահատելու համար: Հետազոտությունների ժամանակ անհրաժեշտ է պարզել սովորական ձերբազատմամբ դեղաձևով գրանցված դեղապատրաստուկի նկատմամբ մոդիֆիկացված ձերբազատմամբ նոր դեղապատրաստուկի կլինիկորեն նշանակալի առավելությունը` եթե նման հատկություններ հայտագրված են: Հետազոտությունները պլանավորելիս անհրաժեշտ է հաշվի առնել հետևյալ գործոնները`
ա) դեղամիջոցների որոշակի թերապևտիկ դասերի էֆեկտիվությունն ու անվտանգությունը գնահատելիս նախատեսել մոդիֆիկացված ձերբազատմամբ դեղապատրաստուկի էֆեկտների գնահատման կատարում՝ ընդունելուց հետո 24 ժամվա ընթացքում և, առանձին` հերթական դեղաչափն ընդունելու միջև միջակայքի վերջում (օրինակ`անալգետիկ միջոցների հետազոտության ժամանակ ցավի արտահայտվածության գնահատումը` ցավի դեղաբանական հսկողության կորստի հետ կապված).
բ) միմյանցից տարբերվող շեմային դեղաչափեր ունեցող դեղապատրաստուկների մի քանի էֆեկտներ գնահատելիս`
թերապևտիկ ազդեցությունը պետք է քանակապես գնահատվի դեղապատրաստուկների այն դեղադինամիկ կամ կլինիկական էֆեկտների հիման վրա, որոնք ընդունվել են որպես էֆեկտիվության գնահատման չափանիշներ՝ դեղամիջոցների դիտարկվող թերապևտիկ դասի համար.
մոդիֆիկացված ձերբազատմամբ դեղապատրաստուկի էֆեկտիվության և անվտանգության ցուցանիշների արտարկումը չհետազոտված ցուցումներին թույլատրվում է բացառիկ դեպքերում (եթե այն պատշաճորեն հիմնավորված է հայտատուի կողմից)` կիրառման ցուցումների տվյալ խմբում դեղամիջոցի միանման ազդեցության մեխանիզմի առկայության դեպքում.
անհրաժեշտ է կատարել անվտանգության մասով հետազոտություններ այն դեպքերում, երբ երկարաձգված թերապևտիկ ազդեցությունը կարող է վատթարացնել դեղապատրաստուկի անվտանգության պրոֆիլը` երկարատև կիրառման դեպքում:
72. Այն կլինիկական հետազոտությունները, որոնցում հաստատվում է ազդող նյութի էքսպոզիցիաների հավասարությունը մոդիֆիկացված ձերբազատմամբ դեղապատրաստուկի և սովորական ձերբազատմամբ դեղաձևով դեղապատրաստուկի կիրառումից հետո, կարող են կատարվել մոդիֆիկացված ձերբազատմամբ դեղապատրաստուկի ոչ պակաս թերապևտիկ էֆեկտիվությունը կամ համարժեքությունը հաստատելու համար: Ցանկացած կլինիկական հետազոտություն պլանավորելիս և վերլուծելիս հարկավոր է հաշվի առնել Եվրասիական տնտեսական հանձնաժողովի կողմից ընդունվող՝ կլինիկական հետազոտություններում կենսավիճակագրության կիրառման սկզբունքների վերաբերյալ ձեռնարկի ցուցումները:
73. Մոդիֆիկացված ձերբազատմամբ հետազոտվող դեղապատրաստուկը ռեֆերենտ դեղապատրաստուկի հետ համեմատելիս դեղադինամիկ կամ կլինիկական հետազոտությունների տեսակի ընտրությունը (համարժեքության հաստատման հետազոտությունը կամ ոչ պակաս էֆեկտիվության հետազոտությունը) որոշվում է՝ ելնելով գնահատվող էֆեկտի կամ անվտանգության ցուցանիշի տեսակից: Եթե դեղապատրաստուկի էֆեկտիվությունն ու անվտանգությունը սերտորեն կապված են, ապա անհրաժեշտ է կատարել համարժեքության հետազոտություն` հաստատելու, որ հետազոտվող էֆեկտը գտնվում է համարժեքության սահմանների շրջանակներում: Եթե չի ենթադրվում, որ մոդիֆիկացված ձերբազատմամբ հետազոտվող դեղապատրաստուկի և սովորական դեղաձևով ռեֆերենտ դեղապատրաստուկի անվտանգությունը տարբերվելու է, ապա թույլատրվում է ուսումնասիրել միայն էֆեկտիվության ցուցանիշները` կատարելով ոչ պակաս էֆեկտիվության հետազոտություններ:
74. Անհրաժեշտ հետազոտությունների տեսակի ընտրությունը կախված է հետևյալ գործոններից`
համապատասխան դեղադիամիկ սահմանային կետերը որոշելու հնարավորությունից.
դեղապատրաստուկի դեղադինամիկ մարկերների և կլինիկական էֆեկտիվության միջև կախվածության մասին տվյալների առկայությունից.
անալիզի անհրաժեշտ զգայունությունը ապահովելու հնարավորությունից.
ոչ պակաս էֆեկտիվության սահմանները կամ համարժեքության սահմանները որոշելու հնարավորությունից:
75. Համարժեքության և ոչ պակաս էֆեկտիվության նման հետազոտություններում` մոդիֆիկացված ձերբազատմամբ դեղապատրաստուկ և սովորական ձերբազատմամբ դեղաձևով դեղապատրաստուկ ընդունելուն լրացուցիչ կարող է ավելացվել պլացեբո պատրաստուկի ընդունումը: Հետազոտության մեջ պլացեբո պատրաստուկի կամ ավելի փոքր դեղաչափով դեղապատրաստուկի ընդունման ժամանակահատվածի ներառումը պարտադիր է, եթե անհնարին է ապահովել անալիզի անհրաժեշտ զգայունությունը:
76. Կլինիկական հետազոտության ծրագրում և հետազոտության արդյունքների մասին հաշվետվության մեջ անհրաժեշտ է լրացուցիչ ներառել համարժեքության կամ ոչ պակաս էֆեկտիվության սահմանվող սահմանների ընտրության և հիմնավորման բաժին` անկախ նրանից, հիմնված է արդյոք հետազոտության ընտրված վերջնական կետը դեղադինամիկ կամ կլինիկական ցուցանիշի վրա, թե` ոչ:
77. Եթե մոդիֆիկացված ձերբազատմամբ դեղապատրաստուկն ունի սովորական ձերբազատմամբ դեղապատրաստուկի ցուցումից տարբերվող կիրառման ցուցում, ապա կլինիկական հետազոտությունների ծրագրում անհրաժեշտ է ներկայացնել Միության իրավունքի մեջ մտնող ակտերին, ինչպես նաև նման կարգի գիտական հետազոտությունների ժամանակակից վիճակին համապատասխանության գնահատական:
78. Եթե դեղապատրաստուկը բաց է թողնվում մոդիֆիկացված ձերբազատմամբ սպեղանու կամ ներարկման համար նախատեսված դեպո-պատրաստուկի ձևով, ապա անհրաժեշտ է հետազոտել դրա տեղային կիրառման անվտանգությունը: Անհրաժեշտ է գնահատել հեռացումից հետո սպեղանու ազդող նյութի մնացորդային քանակությունների անվտանգությունը` դրանց պոտենցիալ սխալ կիրառման և շրջակա միջավայրի վրա ազդեցության տեսանկյունից (բնապահպանական ռիսկեր):
79. Սովորական ձերբազատմամբ դեղաձևի համեմատ մոդիֆիկացված ձերբազատմամբ դեղապատրաստուկի հայտագրված առավելությունն անհրաժեշտ է հաստատել կլինիկական հետազոտությունների անցկացման միջոցով: Նման հետազոտությունների պլանավորումը պետք է կատարվի՝ հաշվի առնելով բժշկության համապատասխան ոլորտում գիտական ձեռնարկների ցուցումները:
80. Եթե մոդիֆիկացված ձերբազատմամբ դեղապատրաստուկի համար հայտագրվում է սովորական ձերբազատմամբ դեղաձևով դեղապատրաստուկի համեմատ համակարգային անցանկալի ռեակցիաների ավելի քիչ քանակություն, ապա դա անհրաժեշտ է հաստատել համապատասխան հետազոտություններով:
VI. Մոդիֆիկացված ձերբազատմամբ գրանցված դեղաձևի հետ համեմատվող մոդիֆիկացված ձերբազատմամբ դեղաձևերը
1.Ընդհանուր դրույթներ
81. Խորհուրդ է տրվում ներքին ընդունման դեղաձևերի մասով կատարել դրանց կենսահամարժեքության հետազոտությունները` 2 համանման (հետազոտվող և ռեֆերենտ) դեղաձևերի համեմատության միջոցով: Մոդիֆիկացված ձերբազատմամբ վերարտադրված դեղապատրաստուկն անհրաժեշտ է համեմատել մոդիֆիկացված ձերբազատմամբ ռեֆերենտ դեղապատրաստուկի հետ կամ դոզավորումների սանդղակի լայնացում համարվող՝ սովորական ձերբազատմամբ դեղաձևով ռեֆերենտ դեղապատրաստուկի դոզավորման հետ, որի համար հայտագրվում է կենսահամարժեքությունը: Կենսահամարժեքության հետազոտությունների անցկացման կանոնների հիմնական տեքստում ներկայացված` վերարտադրված դեղապատրաստուկների կենսահամարժեքության հետազոտությունների ծրագրի մշակման, անցկացման, գնահատման և հաշվետվության մասով ընդհանուր ցուցումները նաև կիրառելի են մոդիֆիկացված ձերբազատմամբ դեղաձևերի կենսահամարժեքության հետազոտությունների նկատմամբ: Մոդիֆիկացված ձերբազատմամբ դեղաձևերի համար սպեցիֆիկ ասպեկտները ներկայացված են սույն բաժնում:
82. Եթե միանման դեղաձևով 2 պատրաստուկներ տարբերվում են ըստ օժանդակ նյութերի կամ ձերբազատումը հսկող մեխանիզմի, ապա դրանք կարելի է ճանաչել վերարտադրված, եթե դրանք in vivo կենսահամարժեք են մեկ անգամ`անոթի և ուտելուց հետո ընդունելուց հետո, ինչպես նաև, անհրաժեշտության դեպքում, բազմակի ներմուծումից հետո:
83. Այն դեպքում, երբ մոդիֆիկացված ձերբազատմամբ դեղապատրաստուկի լրացուցիչ դոզավորումների համար պահպանված են կենսավեյվերի չափանիշները և կենսահամարժեքության հաստատումն անցկացվում է մոդիֆիկացված ձերբազատմամբ դեղապատրաստուկի միայն մեկ դոզավորման համար, անհրաժեշտ է կատարել հետազոտությունների հետևյալ ծավալը`
ա) եթե մոդիֆիկացված ձերբազատմամբ ռեֆերենտ դեղապատրաստուկի դեղակինետիկան գծային է, ապա մոդիֆիկացված ձերբազատմամբ վերարտադրված դեղապատրաստուկի ամենաբարձր դոզավորման համար անհրաժեշտ է կատարել մեկանգամյա և բազմակի դոզավորմամբ հետազոտություններ.
բ) եթե մոդիֆիկացված ձերբազատմամբ ռեֆերենտ դեղապատրաստուկի դեղակինետիկան գծային չէ, ապա հետազոտություններն անհրաժեշտ է իրականացնել մեթոդի առավելագույն զգայունությունն ապահովող դոզավորումով: Հետազոտության համար դեղապատրաստուկի ավելի փոքր դոզավորման ընտրությունը կարող է հիմնավորված լինել՝ դեղապատրաստուկի կիրառման անվտանգությունն ապահովելու նպատակով:
84. Որպես կանոն, մոդիֆիկացված ձերբազատմամբ վերարտադրված դեղապատրաստուկի հետազոտություններն անցկացվում են առողջ կամավորների մասնակցությամբ: Եթե մոդիֆիկացված ձերբազատմամբ վերարտադրված դեղապատրաստուկի որևէ դոզավորման համար անհնար է իրականացնել առողջ կամավորների մասնակցությամբ հետազոտություններ` նման հետազոտությունները ոչ անվտանգ լինելու կապակցությամբ, ապա դրանք իրականացվում են պացիենտների մասնակցությամբ: Ընդ որում, նախընտրելի է հետազոտություններն իրականացնել դեղապատրաստուկի թե մեկանգամյա և թե` բազմակի դոզավորմամբ` ստորև բերված ցուցումներին համապատասխան: Եթե պացիենտների մասնակցությամբ հետազոտություններ անցկացնելն անընդունելի է, ապա նման հետազոտությունները կարող են փոխարինվել առողջ կամավորների մոտ մոդիֆիկացված ձերբազատմամբ վերարտադրված դեղապատրաստուկի բազմակի դոզավորմամբ հետազոտություններով:
85. Եթե մոդիֆիկացված ձերբազատմամբ դեղապատրաստուկի համար կատարվում են սահմանային տարբերակների ընտրության չափանիշները, ապա որպես սահմանային տարբերակներ ընտրված՝ մոդիֆիկացված ձերբազատմամբ վերարտադրված դեղապատրաստուկի 2 դոզավորումների կենսահամարժեքությունը հաստատելու համար անհրաժեշտ է`
կատարել մոդիֆիկացված ձերբազատմամբ դեղապատրաստուկի առավելագույն դոզավորման հետազոտություն` պացիենտների մասնակցությամբ, և մոդիֆիկացված ձերբազատմամբ դեղապատրաստուկի նվազագույն դոզավորման հետազոտություն` առողջ կամավորների մասնակցությամբ.
կատարել մոդիֆիկացված ձերբազատմամբ դեղապատրաստուկի համեմատվող դոզավորումների լուծման պրոֆիլների և դրանց դեղակինետիկ պարամետրերի գծայնության գնահատում և որոշել դեղապատրաստուկի առավել զգայուն դոզավորումը` համաձայն Կենսահամարժեքության հետազոտության անցկացման կանոնների III բաժնի 7-րդ ենթաբաժնի:
86. Դեղապատրաստուկների հետազոտությունների շրջանակներում հայտնաբերված՝ սննդի հետ դեղապատրաստուկների փոխազդեցությամբ պայմանավորված տարբերությունները ցույց են տալիս այդ դեղապատրաստուկների միջև եղած տարբերությունները, որոնք թույլ չեն տալիս համարել հետազոտվող դեղապատրաստուկը՝ որպես ռեֆերենտ դեղապատրաստուկի նկատմամբ վերարտադրված: Եթե դեղապատրաստուկների կենսահամարժեքությունը հաստատվել է դեղապատրաստուկի ընդհանուր բնութագրի մեջ նշված այն պայմաններին համապատասխան դրա կիրառման ժամանակ, որոնք թույլ են տալիս նվազեցնել սննդի ազդեցությունը դեղապատրաստուկի կենսադեղագործական հատկությունների վրա, սակայն դեղապատրաստուկների այդ կենսահամարժեքությունն անհնար է հաստատել դեղապատրաստուկի ընդհանուր բնութագրի մեջ նշված պայմաններից տարբերվող ընդունման պայմաններում, ապա հետազոտվող դեղապատրաստուկը չի համապատասխանում վերարտադրված դեղապատրաստուկին ներկայացվող պահանջներին, սակայն կարող է թույլատրվել դրա գրանցումը` որպես հիբրիդային դեղապատրաստուկ:
Դեղապատրաստուկի դեղագործական մշակման ծրագրում և դեղապատրաստուկի գրանցման դոսյեում հետազոտությունների մի մասից հրաժարվելու վերաբերյալ գիտական հիմնավորման առկայության դեպքում, որը հիմնված է օժանդակ նյութերի կազմում եղած տարբերությունների՝ դեղապատրաստուկի դեղաձևի կենսադեղագործական հատկությունների վրա ազդեցության գնահատման տվյալների վրա, թույլատրվում է`
չանցկացնել բազմակի դոզավորմամբ հետազոտություններ.
օգտագործել այլընտրանքային մոտեցումներ՝ դեղապատրաստուկի հետազոտվող դոզավորումների տիրույթը որոշելու համար.
օգտագործել այլընտրանքային մոտեցում՝ միմյանց նկատմամբ տարբեր դոզավորումների բաղադրության համամասնության գնահատման նկատմամբ` մոդիֆիկացված ձերբազատմամբ դեղապատրաստուկի հետազոտությունների համար սահմանային տարբերակների ընտրության մեթոդը կիրառելիս:
Ներկայացված փաստարկները հիմնավորելիս հայտատուն պետք է ներկայացնի հղումներ Հանձնաժողովի այն ակտերի դրույթներին, որոնք կարգավորում են վերարտադրված դեղապատրաստուկների մշակման հարցերը: Անդամ պետությունների լիազորված մարմինները (փորձագիտական կազմակերպությունները) պետք է կատարեն դեղապատրաստուկի գրանցման դոսյեում ներկայացված հիմնավորումների գնահատումը` հաշվի առնելով դեղաձևի տեսակը, բաղադրությունը և նման դեղապատրաստուկների կենսադեղագործական հատկությունների, անվտանգության, որակի և էֆեկտիվության վրա ազդող այլ գործոններ:
2. Ներքին ընդունման՝ երկարաձգված ձերբազատմամբ դեղապատրաստուկների համար կենսահամարժեքության գնահատում կատարելու պայմանները
87. Երկարաձգված ձերբազատմամբ 2 դեղապատրաստուկների կենսահամարժեքությունը գնահատվում է այն հետազոտություններում, որոնք ուղղված են հաստատելու, որ`
ա) հետազոտվող դեղապատրաստուկը ցուցաբերում է ռեֆերենտ դեղապատրաստուկի երկարաձգված ձերբազատման հայտագրված բնութագրերը.
բ) հետազոտվող դեղապատրաստուկի ազդող նյութն անկանխատեսելիորեն չի ձերբազատվում (բացակայում է դեղաչափի արագ ձերբազատումը).
գ) հետազոտվող ու ռեֆերենտ դեղապատրաստուկների ֆունկցիոնալ բնութագրերը համարժեք են` մեկանգամյա ընդունումից հետո և հավասարակշիռ վիճակում.
դ) մեկանգամյա դոզավորմամբ հետազոտության մեջ սննդի ընդունումը համադրելի ազդեցություն է գործում հետազոտվող ու ռեֆերենտ դեղապատրաստուկների in vivo ֆունկցիոնալ բնութագրերի վրա`երկու դեղապատրաստուկների համար:
3. Մոդիֆիկացված ձերբազատմամբ դեղապատրաստուկների կենսահամարժեքության հաստատման համար անհրաժեշտ հետազոտությունները
88. Մոդիֆիկացված ձերբազատմամբ դեղապատրաստուկների կենսահամարժեքության հաստատման համար անհրաժեշտ են`
ա) հետազոտվող ու ռեֆերենտ դեղապատրաստուկների մեկանգամյա դոզավորմամբ անոթի անցկացվող հետազոտություն.
բ) հետազոտվող ու ռեֆերենտ դեղապատրաստուկների մեկանգամյա դոզավորմամբ հետազոտություն, որն անցկացվում է շատ յուղոտ սնունդ ընդունելուց հետո.
գ) հետազոտվող ու ռեֆերենտ դեղապատրաստուկների բազմակի դոզավորմամբ հետազոտություն:
Մեկանգամյա դոզավորմամբ դեղապատրաստուկների հետազոտություններ
89. Հետազոտվող ու ռեֆերենտ դեղապատրաստուկների` անոթի և սննդի ընդունումից հետո մեկանգամյա ներմուծվող դեղաչափի գնահատումն անցկացնում են հետևյալ սխեմաներից մեկով`
ա) չորս փուլային խաչաձև հետազոտության կատարում` կիրառման 4 պայմանների 4 փոխլրացնող հաջորդականություններով: Հետազոտվող ու ռեֆերենտ դեղապատրաստուկներն անհրաժեշտ է գնահատել անոթի, ինչպես նաև դեղապատրաստուկն ընդունելուց առաջ որոշակի ժամի ճարպերի բարձր պարունակությամբ սնունդ ընդունելուց հետո.
բ) հետազոտվող ու ռեֆերենտ դեղապատրաստուկների մեկանգամյա ներմուծվող դեղաչափի 2 խաչաձև հետազոտությունների կատարում: Առաջին հետազոտության ժամանակ անհրաժեշտ է համեմատել անոթի ընդունվող՝ հետազոտվող ու ռեֆերենտ դեղապատրաստուկները: Ընդ որում, հետազոտվող ու ռեֆերենտ դեղապատրաստուկները ներմուծում են 2 փուլերի շրջանակներում և կիրառման 2 հաջորդականություններով: Երկրորդ հետազոտության ժամանակ հետազոտվող ու ռեֆերենտ դեղապատրաստուկները համեմատում են հետազոտվող ու ռեֆերենտ դեղապատրաստուկներն ընդունելուց առաջ որոշակի ժամին ճարպի բարձր պարունակությամբ սնունդ ընդունելիս, ինչպես նաև հետազոտվող դեղապատրաստուկն անոթի ընդունելիս` սննդի հնարավոր ազդեցությունը բնութագրող դրա կենսամատչելիության մասին տվյալներ ստանալու նպատակով.
գ) 2 խաչաձև հետազոտությունների կատարում` 2 փուլերում և հետազոտվող ու ռեֆերենտ դեղապատրաստուկների կիրառման 2 հաջորդականություններով: Առաջին հետազոտությունն անհրաժեշտ է անցկացնել անոթի: Երկրորդ հետազոտությունն անհրաժեշտ է անցկացնել հետազոտվող ու ռեֆերենտ դեղապատրաստուկներն ընդունելուց առաջ որոշակի ժամի ճարպի բարձր պարունակությամբ սնունդ ընդունելուց հետո:
Բազմակի դոզավորմամբ դեղապատրաստուկների հետազոտությունները
90. Բազմակի դոզավորմամբ հետազոտություններն անհրաժեշտ է անցկացնել այն դեպքում, երբ մեկանգամյա դոզավորմամբ հետազոտության ժամանակ, որն անցկացվել է հետազոտվող ու ռեֆերենտ դեղապատրաստուկների առավելագույն դոզավորմամբ, չի հաստատվել, որ հետազոտվող ու ռեֆերենտ դեղապատրաստուկների առաջին դեղաչափից հետո միջին AUC(0-Ժ)-ն կազմում է միջին AUC(0-∞)-ի ավելի քան 90 տոկոսը և սպասվում է օրգանիզմում ազդող նյութի մեծ քանակության կուտակում (կումուլյացիա): Այս դեպքում հետազոտվող դեղապատրաստուկի կենսահամարժեքությունն անհրաժեշտ է հաստատել լրացուցիչ պարամետրերի օգտագործմամբ, որոնք բնութագրում են «պլազմային կոնցենտրացիա-ժամանակ» կորի ձևը՝ մեկանգամյա դոզավորմամբ հետազոտության ժամանակ: Անհրաժեշտ է հետազոտել սկզբնական մասնակի մակերեսը (մասնակիAUC(0-t-բաժանման)) դեղակինետիկ կորի տակ և տերմինալային մասնակի մակերեսը (մասնակիAUC(t-բաժանման – t-վերջին)) դեղակինետիկ կորի տակ, որոնք բաժանված են նախապես ընտրված` բաժանման ժամանակային կետով (օրինակ` այլ գիտական հիմնավորումների բացակայության դեպքում՝ որպես բաժանման կետ հարկավոր է օգտագործել դոզավորման միջակայքի կեսին հավասար արժեքը):
Կուտակման (կումուլյացիայի) առաջացման բոլոր դեպքերում (առաջին դեղաչափից հետո AUC(0-Ժ)-ն ընդգրկում է միջին AUC(0-∞)-ի 90 %-ից քիչ) պահանջվում է անցկացնել բազմակի դոզավորմամբ հետազոտություն: Հավասարակշիռ վիճակում հետազոտությունները խորհուրդ է տրվում անցկացնել դեղապատրաստուկը սննդի հետ ընդունելու հետ միասին` ռեֆերենտ դեղապատրաստուկի համար դեղապատրաստուկի ընդհանուր բնութագրին համապատասխան: Եթե դեղապատրաստուկի ընդհանուր բնութագրի մեջ նշված է, որ պատրաստուկը պետք է ընդունել սնունդն ընդունելուց հետո, ապա հետազոտությունն անցկացվում է միայն սնունդն ընդունելուց հետո (սննդի ստանդարտ ընդունում) (ներառյալ պրոֆիլի որոշման օրը): Եթե դեղապատրաստուկի ընդհանուր բնութագրում նշված է, որ պատրաստուկը պետք է ընդունել անոթի կամ սննդի ընդունումից անկախ՝ հետազոտություններն անցկացվում են անոթի: Եթե բազմակի դոզավորմամբ հետազոտության ժամանակ կիրառվում է դեղապատրաստուկների՝ անոթի ընդունումը, ապա անհրաժեշտ է մոդելավորել սննդի ընդունման իրական ռեժիմին առավելագույնս մոտեցված պայմաններ: Օրինակ` հետազոտվող դեղապատրաստուկի առավոտյան ներմուծումը պահանջում է 10-ժամյա քաղցածության ժամանակահատվածի պահպանում, մինչդեռ դեղապատրաստուկների ներմուծման մնացած ռեժիմներում բավարար է ներմուծումից առաջ 4-ժամյա քաղցածության պահպանումը: Դեղապատրաստուկների յուրաքանչյուր ներմուծումից հետո քաղցածությունը պետք է շարունակվի առնվազն 2 ժամ:
91. Կենսահամարժեքության հետազոտություններում՝ օրգանիզմի հավասարակշիռ վիճակը մոդելավորելիս լվացազատման ժամանակահատվածը նախորդող դեղապատրաստուկի ընդունումից հետո կարող է փոխածածկվել հաջորդող դեղապատրաստուկի ընդունումից հետո կոնցենտրացիայի աճի ժամանակահատվածով (ուղիղ փոխարկում), պայմանով, որ կոնցենտրացիայի աճի այդ ժամանակահատվածն ունի բավարար տևողություն (հավասար կիսադուրսբերման առնվազն 5 տերմինալային ժամանակահատվածներին): Օրգանիզմի հավասարակշիռ վիճակին հասնելը գնահատվում է յուրաքանչյուր դեղապատրաստուկի առնվազն 3 կոնցենտրացիաների համեմատության միջոցով` դրա հերթական ներմուծումից առաջ: Օրգանիզմի հավասարակշիռ վիճակին հասնելու համար դեղապատրաստուկի ընդունման ժամանակահատվածը որոշելիս անհրաժեշտ է հաշվի առնել նաև դեղապատրաստուկի ազդող նյութի կիսադուրսբերման ժամանակահատվածի մեծությունը:
Մոդիֆիկացված ձերբազատմամբ դեղապատրաստուկների հետազոտվող դոզավորումը (դոզավորումները) Մոդիֆիկացված ձերբազատմամբ մեկ միավորից դեղապատրաստուկներ
92. Մի քանի դոզավորումներով մեկ միավորից դեղապատրաստուկների համար հետազոտվող դոզավորումների ընտրության և հետազոտությունների անցկացման պայմանների մասով կիրառվում են հետևյալ սկզբունքները`
ա) մեկանգամյա դոզավորմամբ հետազոտություններում` եթե ռեֆերենտ դեղապատրաստուկի ընդհանուր բնութագրում պարունակվում են անոթի կամ սննդի ընդունումից անկախ ընդունման ցուցումներ`
բոլոր դոզավորումների մասով անհրաժեշտ է անոթի` մեկանգամյա դոզավորմամբ հետազոտություն: Սակայն բավարար հիմնավորման դեպքում թույլատրված է սահմանային տարբերակների ընտրությունը: Առողջ կամավորների անվտանգության ապահովման նպատակով՝ հետազոտություններն անհրաժեշտ է անցկացնել պացիենտների մասնակցությամբ (առողջ կամավորների փոխարեն), ինչը կարող է պահանջել հավասարակշիռ վիճակի պայմանների ստեղծում.
սննդի ընդունումից հետո բավարար է կենսահամարժեքության հետազոտությունների անցկացումը` առավելագույն (առավել զգայուն) դոզավորման մեկանգամյա դոզավորմամբ: Մնացած դոզավորումները կարող են ազատվել, եթե պահպանված են Կենսահամարժեքության հետազոտությունների անցկացման կանոնների III բաժնի 7-րդ ենթաբաժնում նկարագրված դոզավորման կենսավեյվերի չափանիշները: Եթե հետազոտվող դեղապատրաստուկների դոզավորումները չեն համապատասխանում այդ չափանիշներին կամ տարբեր դոզավորումներն ունեն տարբեր ձևեր, ապա անհրաժեշտ է գնահատել 2 դոզավորումները, որոնք արտացոլում են 2 առավել սահմանային տարբերակները` սննդի ընդունումից հետո.
բ) դեղաչափի՝ մեկանգամյա ներմուծմամբ հետազոտություններում` եթե ռեֆերենտ դեղապատրաստուկի ընդհանուր բնութագիրը պարունակում է սննդի ընդունումից հետո այն ընդունելու ցուցումներ`
սնունդն ընդունելուց հետո բոլոր դոզավորումների մասով անհրաժեշտ է անցկացնել մեկանգամյա դոզավորմամբ հետազոտություն: Սակայն հիմնավորման դեպքում նաև թույլատրված է սահմանային տարբերակների ընտրությունը.
անոթի վիճակում բավարար է կենսահամարժեքության մեկ հետազոտության անցկացումը` ամենամեծ (առավել զգայուն) դոզավորման մեկանգամյա դոզավորմամբ: Մնացած դոզավորումները կարող են ազատվել, եթե պահպանված են Կենսահամարժեքության հետազոտությունների անցկացման կանոնների III բաժնի 7-րդ ենթաբաժնում նկարագրված դոզավորման կենսավեյվերի չափանիշները: Սակայն եթե հետազոտվող պատրաստուկի դոզավորումները չեն համապատասխանում այդ չափանիշներին կամ տարբեր դոզավորումներ ունեն տարբեր ձևեր, ապա անհրաժեշտ է անոթի գնահատել 2 դոզավորումները, որոնք արտացոլում են 2 առավել սահմանային տարբերակները:
93. Բազմակի դոզավորմամբ հետազոտությունն անհրաժեշտ է անցկացնել առավելագույն դոզավորմամբ (միայն եթե հայտնաբերված չէ ազդող նյութի կուտակման (կումուլյացիայի) բացակայություն): Անվտանգության ապահովման նպատակով հետազոտությունն անհրաժեշտ է անցկացնել պացիենտների մասնակցությամբ: Այլ դոզավորումների հետազոտությունները թույլատրվում է չանցկացնել այն դեպքում, երբ պահպանված են Կենսահամարժեքության հետազոտությունների անցկացման կանոնների III բաժնի 7-րդ ենթաբաժնում նկարագրված դոզավորման կենսավեյվերի չափանիշները: Հիմնավորման առկայության դեպքում նաև թույլատրվում է սահմանային տարբերակների ընտրությունը՝ Կենսահամարժեքության հետազոտությունների անցկացման կանոնների III բաժնի 7-րդ ենթաբաժնի ցուցումներին համապատասխան:
Մոդիֆիկացված ձերբազատմամբ բազմամիավոր դեղապատրաստուկներ
94. Բազմամիավոր դեղապատրաստուկների մի քանի դոզավորումների մասով բավարար է սույն պահանջների VI բաժնի 1-ին ենթաբաժնում նշված հետազոտությունների անցկացումը՝ միայն ամենամեծ (առավել զգայուն) դոզավորմամբ, եթե դոզավորումների բաղադրությունները համամասնական են, պարունակում են նույնական պելլետներ (որոնք արտադրված են արտադրության միևնույն պրոցեսի միջոցով) և ունեն լուծման համանման պրոֆիլներ:
4. Հետաձգված ձերբազատմամբ դեղապատրաստուկների համար կենսահամարժեքության գնահատում կատարելու պայմանները
95. Հետաձգված ձերբազատմամբ 2 դեղապատրաստուկների կենսահամարժեքությունն անհրաժեշտ է գնահատել այն հետազոտություններում, որոնք ուղղված են հաստատելու, որ`
ա) հետազոտվող դեղապատրաստուկն ունի հետաձգված ձերբազատման նույն բնութագրերը, ինչը և ռեֆերենտ դեղապատրաստուկը.
բ) ազդող նյութը չի ձերբազատվում հետազոտվող դեղապատրաստուկից անկանխատեսելիորեն (այսինքն` ազդող նյութի ձերբազատումն օրգանիզմում տեղի է ունենում դրա համար նախատեսված ձերբազատման տեղում).
գ) հետազոտվող ու ռեֆերենտ դեղապատրաստուկների ֆունկցիոնալ բնութագրերը համարժեք են` դրանց մեկանգամյա ընդունումից հետո.
դ) մեկանգամյա դոզավորմամբ հետազոտության մեջ in vivo ֆունկցիոնալ բնութագրերի վրա սննդի ազդեցությունը հետաձգված ձերբազատմամբ 2 դեղապատրաստուկի համար համադրելի է:
Հետաձգված ձերբազատմամբ դեղապատրաստուկների կենսահամարժեքության հաստատման համար անհրաժեշտ հետազոտությունները
96. Որպես կանոն՝ հետաձգված ձերբազատմամբ դեղապատրաստուկների կենսահամարժեքության հաստատման համար պահանջվում են`
հետազոտվող ու ռեֆերենտ դեղապատրաստուկների մեկանգամյա դոզավորմամբ անոթի անցկացվող հետազոտություններ.
հետազոտվող ու ռեֆերենտ դեղապատրաստուկների մեկանգամյա դոզավորմամբ հետազոտություններ (շատ յուղոտ սնունդ ընդունելուց հետո):
Հետաձգված ձերբազատմամբ դեղապատրաստուկների՝ մեկանգամյա դոզավորմամբ հետազոտությունների անցկացումը պլանավորելիս թույլատրվում է կիրառել երկարաձգված ձերբազատմամբ դեղապատրաստուկների ուսումնասիրման մոտեցմանը համանման մոտեցում:
Հետաձգված ձերբազատմամբ դեղապատրաստուկների հետազոտվող դոզավորումը (դոզավորումները) Հետաձգված ձերբազատմամբ մեկ միավորից դեղապատրաստուկներ
97. Մեկանգամյա դոզավորմամբ մեկ միավորից դեղապատրաստուկների հետազոտությունների ժամանակ, այն դեպքում, երբ ռեֆերենտ դեղապատրաստուկի ընդհանուր բնութագրի մեջ նշված է դրա կիրառման հնարավորությունը՝ անոթի կամ սննդի ընդունումից անկախ, անհրաժեշտ է կատարել`
ա) անոթի վիճակում մեկանգամյա դոզավորմամբ հետազոտություն` բոլոր դոզավորումների համար: Հիմնավորման առկայության դեպքում թույլատրվում է նաև սահմանային տարբերակների ընտրություն.
բ) ամենամեծ (առավել զգայուն) դոզավորման մեկանգամյա դոզավորմամբ կենսահամարժեքության հետազոտություն` սննդի ընդունումից հետո: Մնացած դոզավորումների համար նշված հետազոտությունը կարող է չանցկացվել, եթե պահպանված են Կենսահամարժեքության հետազոտությունների անցկացման կանոնների III բաժնի 7-րդ ենթաբաժնում նկարագրված դոզավորման կենսավեյվերի չափանիշները: Եթե հետազոտվող դեղապատրաստուկի դոզավորումները չեն համապատասխանում այդ չափանիշներին կամ դեղապատրաստուկի տարբեր դոզավորումներն ունեն տարբեր արտաքին ձևեր, ապա անհրաժեշտ է գնահատել 2 դոզավորումը, որոնք արտացոլում են 2 առավել սահմանային տարբերակները` սննդի ընդունումից հետո դրանք ընդունելու պայմաններում:
98. Դեղապատրաստուկների՝ մեկ միավորից դեղաձևերի դեղաչափի մեկանգամյա ներմուծմամբ հետազոտություններում, եթե ռեֆերենտ դեղապատրաստուկի ընդհանուր բնութագրում խորհուրդ է տրվում այն կիրառել միայն սննդի ընդունումից հետո: Սննդի ընդունումից հետո բոլոր դոզավորումների համար անհրաժեշտ է անցկացնել մեկանգամյա դոզավորմամբ հետազոտություն: Սակայն հիմնավորման դեպքում թույլատրվում է նաև սահմանային տարբերակների ընտրությունը: Բավարար է կենսահամարժեքության 1 հետազոտության անցկացումը` անոթի վիճակում առավելագույն դոզավորման մեկանգամյա դոզավորմամբ: Մնացած դոզավորումների համար նշված հետազոտությունը կարող է չանցկացվել, եթե պահպանված են Կենսահամարժեքության հետազոտությունների անցկացման կանոնների III բաժնի 7-րդ ենթաբաժնում նկարագրված դոզավորման կենսավեյվերի չափանիշները: Եթե հետազոտվող դեղապատրաստուկի դոզավորումները չեն համապատասխանում այդ չափանիշներին կամ տարբեր դոզավորումներն ունեն տարբեր ձևեր, ապա անհրաժեշտ է անոթի գնահատել 2 դոզավորումները, որոնք արտացոլում են առավել սահմանային 2 տարբերակները: Բաղադրության համամասնությունը գնահատելիս գաստրոռեզիստենտ թաղանթի նմանությունն ըստ մակերևույթի մակերեսի (այլ ոչ թե ըստ միջուկի զանգվածի) դիտարկում են որպես նույն գաստրոռեզիստենտություն (թաղանթի շերտը մակերևույթի մգ/սմ2-ում):
99. Բազմակի դոզավորմամբ հետազոտությունների անցկացում չի պահանջվում, բացառությամբ այն դեպքերի, երբ մեկանգամյա դոզավորմամբ հետազոտությունները չեն կարող անցկացվել մարդու մոտ` անվտանգության նկատառումներից ելնելով:
Հետաձգված ձերբազատմամբ բազմամիավոր դեղապատրաստուկներ
100. Բազմամիավոր դեղապատրաստուկների մի քանի դոզավորումների մասով բավարար է սույն Պահանջների VI բաժնի 3-րդ ենթաբաժնում նշված հետազոտությունների անցկացումը, սակայն ամենամեծ (առավել զգայուն) դոզավորմամբ` եթե դոզավորումների բաղադրությունները համամասնական են, պարունակում են նույնական պելլետներ (որոնք արտադրված են արտադրության միևնույն պրոցեսի միջոցով) և ունեն լուծման համանման պրոֆիլներ:
5. Մոդիֆիկացված և հետաձգված ձերբազատմամբ դեղաձևերով դեղապատրաստուկների՝ ստամոքսի մեջ մնալու երկարաձգված ժամանակը
101. Ստամոքսի մեջ չտրոհվող՝ մոդիֆիկացված ձերբազատմամբ դեղապատրաստուկներից (օրինակ` աղելույծ պատվածքով հաբեր) ստամոքսի դատարկումը կարող է լինել երկարաձգված և բարձր փոփոխականությամբ: Այս էֆեկտի հետևանքները հետաձգված ձերբազատմամբ դեղապատրաստուկների՝ աղելույծ թաղանթի համար բավականին անկանխատեսելի են և կարող են հանգեցնել կոնցենտրացիայի՝ գոյություն չունեցող կամ նորմայից շեղվող պրոֆիլների: Եթե նման անոմալ վարքը՝ թե հետազոտվող, և թե` ռեֆերենտ դեղապատրաստուկների խմբերում դիտվում է համադրելի հաճախականությամբ (օրինակ` հետազոտվող դեղապատրաստուկի խմբում դեպքերի թիվը չի գերազանցում ռեֆերենտ դեղապատրաստուկի խմբում դեպքերի թվին), ապա գոյություն չունեցող կամ նորմայից շեղվող պրոֆիլի ժամանակահատվածների մասին տվյալները կարելի է հանել վիճակագրական վերլուծությունից` պայմանով, որ դա նախատեսված է եղել հետազոտության արձանագրությամբ: Երկփուլ հետազոտության ժամանակ դա ենթադրում է վերլուծությունից սուբյեկտին բացառելը: Եթե բացառված սուբյեկտների մասնաբաժինը գերազանցում է 20 տոկոսն առանձին հետազոտության մեջ, ապա կարող է պահանջվել հետազոտության հիմնավորվածության ստուգում:
Բացի այդ, ազդող նյութի ձերբազատումը կարող է էականորեն դանդաղել՝ ստամոքսի մեջ ազդող նյութի երկարատև մնալու հետևանքով: Այդ իսկ պատճառով նմուշառման ժամանակահատվածն անհրաժեշտ է պլանավորել այնպես, որ ստացվեն չափելի կոնցենտրացիաներ (հաշվի առնելով ոչ միայն ազդող նյութի կիսադուրսբերման ժամանակահատվածը, այլ նաև այդ էֆեկտի հնարավոր առաջացումը):
6. Բազմաֆազ մոդիֆիկացված ձերբազատմամբ դեղապատրաստուկների համար կենսահամարժեքության գնահատում կատարելու պայմանները
102. Սույն Պահանջներում բերված չափանիշները կիրառելի են նաև այն մոդիֆիկացված ձերբազատմամբ դեղապատրաստուկների կենսահամարժեքության գնահատման համար, որոնք մշակվել են ազդող նյութի՝ հաջորդական ձերբազատում ստանալու համար, որի դեպքում դեղաձևի մեջ զուգակցվում են սովորական և մոդիֆիկացված բնութագրերը (օրինակ` երկֆազ (բաբախող) ձերբազատում):
103. Եթե մոդիֆիկացված է ձերբազատման ֆազերից մեկը, ապա անհրաժեշտ հետազոտությունների տեսակն ու քանակը համընկնում են սույն պահանջների 81-101-րդ կետերում` ձերբազատման մոդիֆիկացիայի տվյալ մեխանիզմի համար նկարագրվածների հետ: Սակայն կենսահամարժեքությունը հաստատելու նպատակով բոլոր ֆազերի համար անհրաժեշտ է հետազոտել լրացուցիչ դեղակինետիկ պարամետրերը:
7. Միջմկանային (ենթամաշկային) դեպո-պատրաստուկներ
Միջմկանային (ենթամաշկային) դեպո-պատրաստուկների կենսահամարժեքությունը հաստատելու համար անհրաժեշտ հետազոտությունները
104. Միջմկանային (ենթամաշկային) դեպո-պատրաստուկների կենսահամարժեքության հաստատման համար պահանջվում են`
հետազոտվող ու ռեֆերենտ դեղապատրաստուկների մեկանգամյա դոզավորմամբ հետազոտություն.
հետազոտվող ու ռեֆերենտ դեղապատրաստուկների բազմակի դոզավորմամբ հետազոտություն:
Բազմակի դոզավորմամբ հետազոտությունն անհրաժեշտ է անցկացնել այն դեպքում, եթե առավելագույն դոզավորմամբ անցկացված` միջմկանային (ենթամաշկային) դեպո-պատրաստուկների մեկանգամյա դոզավորմամբ հետազոտության ժամանակ ցույց տված չէ, որ առաջին դեղաչափից հետո միջին AUC(0-Ժ)-ն ընդգրկում է միջին AUC(0-∞) -ի ավելի քան 90 տոկոսը` հետազոտվող ու ռեֆերենտ դեղապատրաստուկների համար, հնարավոր է օրգանիզմում դեղապատրաստուկի ազդող նյութի կուտակման (կումուլյացիայի) ոչ բարձր աստիճան:
Միջմկանային (ենթամաշկային) դեպո-պատրաստուկների հետազոտվող դոզավորումը
105. Եթե միջմկանային (ենթամաշկային) դեպո-պատրաստուկների տարբեր դոզավորումները համամասնական են ըստ բաղադրության և արտահայտում են in vitro լուծման համանման պրոֆիլ, ապա անհրաժեշտ է հետազոտել միայն 1 դոզավորում: Դոզավորումն ընտրում են դեղակինետիկայի գծայնության և անվտանգության հիման վրա: Մի քանի ոչ համամասնական դոզավորումների առկայության դեպքում թույլատրվում է սահմանային տարբերակների ընտրություն, սակայն այդ դեպքում անհրաժեշտ է նկատի ունենալ ռեֆերենտ դեղապատրաստուկի բաղադրության ընտրության ռազմավարությունը:
106. Եթե ռեֆերենտ դեղապատրաստուկը գրանցված է միայն մեկ կոնցենտացիայով, իսկ դրա տարբեր դեղաչափերը ստացվում են դեղապատրաստուկի տարբեր ծավալներ ներմուծելու հաշվին, ապա կենսահամարժեքության հետազոտման մեջ թույլատրվում է օգտագործել ցանկացած դեղաչափ` այն դեպքում, երբ ռեֆերենտ դեղապատրաստուկի համար սահմանված է դեղաչափերի համամասնություն: Եթե թերապևտիկ դեղաչափերը չեն կարող ներմուծվել առողջ կամավորներին, ապա անվտանգության ապահովման համար թույլատրվում է առողջ կամավորներին ոչ թերապևտիկ դեղաչափերի ներմուծում: Եթե մեկանգամյա դոզավորմամբ միջմկանային (ենթամաշկային) դեպո-պատրաստուկների հետազոտության անցկացումն առողջ կամավորների մոտ անհնարին է` անվտանգության նպատակներով կամ էթիկական պատճառներից ելնելով, ապա կենսահամարժեքության հաստատման համար պացիենտների մոտ անցկացվում է բազմակի դոզավորմամբ հետազոտություն:
8. Դեղապատրաստուկների վերմաշկային ձևերը
107. Դեղապատրաստուկի վերարտադրված վերմաշկային ձևը պարունակում է ժամանակի միավորում ձերբազատվող նույն քանակության ազդող նյութ, ինչքան և պարունակում է դեղապատրաստուկի ռեֆերենտ վերմաշկային ձևը: Այդ սահմանումը տարբերվում է վերարտադրված դեղապատրաստուկի ընդհանուր սահմանումից, քանի որ ազդող նյութի ընդհանուր քանակը կարող է տարբերվել, մինչդեռ ժամանակի միավորում ձերբազատվող ազդող նյութի անվանական քանակությունը պետք է լինի նույնը՝ դեղապատրաստուկի՝ վերարտադրված և օրիգինալ վերմաշկային ձևերի համար:
Վերարտադրված դեղապատրաստուկի վերմաշկային ձևերի կենսահամարժեքության հետազոտությունը պետք է ցույց տա ռեֆերենտ դեղապատրաստուկի հետ համադրելի կամ ավելի բարձր ադհեզիոն հատկություններ և հաստատի դրանց կենսահամարժեքությունը: Վերմաշկային դեղաձևերի համադրելի կամ ավելի բարձր ադհեզիոն հատկություններն անհրաժեշտ է ապահովել՝ նախքան կամավորների մոտ կենսահամարժեքության հետազոտություններն սկսելը, քանի որ ավելի ցածր ադհեզիան կարող է նվազեցնել դեղակինետիկ հետազոտությունների արդյունքների հավաստիությունը և կասկածի տակ առնել դեղապատրաստուկի կենսահամարժեքության ապացույցը: Քանի որ ադհեզիայի կենսահամարժեքության հետազոտությանը մասնակցող մարդկանց մաշկի հատկությունները պետք է համանման (նման) լինեն այն պացիենտների մաշկի հատկություններին, որոնց համար տվյալ դեղապատրաստուկը պետք է կիրառվի սովորական կլինիկական պրակտիկայում, ապա պահանջվում է անցկացնել այդպիսի դեղապատրաստուկների ադհեզիայի և դեղակինետիկայի մի քանի հետազոտություններ՝ կախված այն պացիենտների մաշկի հատկություններից, որոնց համար նախատեսված է դեղապատրաստուկը:
Դեղապատրաստուկների վերմաշկային ձևերի կենսահամարժեքությունը հաստատելու համար անհրաժեշտ հետազոտությունները
108. Դեղապատրաստուկների վերմաշկային ձևերի կենսահամարժեքությունը հաստատելու համար պահանջվում են՝
հետազոտվող և ռեֆերենտ դեղապատրաստուկների՝ մեկանգամյա դոզավորմամբ համեմատական հետազոտություններ.
հետազոտվող և ռեֆերենտ դեղապատրաստուկների՝ բազմակի դոզավորմամբ համեմատական հետազոտություններ:
Վերմաշկային դեղաձևի կենսահամարժեքությունն անհրաժեշտ է գնահատել դեղապատրաստուկի՝ մեկանգամյա և բազմակի կիրառումից հետո: Անհրաժեշտ է անցկացնել բազմակի դոզավորմամբ հետազոտություն այն դեպքում, երբ մեկանգամյա դոզավորմամբ հետազոտության ժամանակ, որն անցկացվել է ամենամեծ դոզավորմամբ, չի հաստատվել, որ AUC(0-Ժ) միջինը առաջին դեղաչափից հետո ընդգրկում է AUC(0-∞) արժեքի 90 %-ից ավելին՝ ինչպես հետազոտվող դեղապատրաստուկի համար, այնպես էլ ռեֆերենտ դեղապատրաստուկի համար, և հնարավոր է օրգանիզմում դեղապատրաստուկի ազդող նյութի կուտակման (կումուլյացիայի) ոչ բարձր աստիճան: Հետազոտության դիզայնը (ներառյալ զետեղման տեղի ընտրությունը) հիմնավորելիս անհրաժեշտ է ներկայացնել ընտրված դիզայնի այն անհրաժեշտ զգայունությունը հաստատող տվյալները, որը թույլ է տալիս հայտնաբերել հետազոտվող և ռեֆերենտ դեղապատրաստուկների միջև տարբերությունները: Անհրաժեշտ է առավելագույնս ստանդարտացնել մաշկի հատվածի ընտրությունը և այդ հատվածի վրա դեղապատրաստուկը զետեղելու պրոցեսը: Մաշկի հատվածի ընտրությունը և այդ հատվածի վրա դեղապատրաստուկը զետեղելու պրոցեսը պետք է լինեն միատեսակ՝ հետազոտվող և ռեֆերենտ դեղապատրաստուկների համար: Սպեղանիները զետեղելու տեղը փոխելու և դեղապատրաստուկները փոփոխելու անհրաժեշտության պատճառով պետք է օգտագործել մարդու մարմնի միևնույն մասի մաշկի այլ հատված: Չի թույլատրվում խախտել սպեղանու ադհեզիոն հատկությունները (օրինակ՝ փակցնելու նպատակով ավելորդ սեղմելու հետևանքով):
Դեղապատրաստուկների վերմաշկային ձևերի կենսահամարժեքությունն անհրաժեշտ է գնահատել նույն դեղակինետիկ պարամետրերի և վիճակագրական ընթացակարգերի օգտագործմամբ, որոնք օգտագործվում են երկարաձգված ձերբազատմամբ դեղապատրաստուկների կենսահամարժեքության հետազոտություններն անցկացնելիս:
Հետազոտվող դեղապատրաստուկը պետք է ցուցաբերի ռեֆերենտ դեղապատրաստուկի համեմատ նույնանման կամ ավելի պակաս տեղային գրգռիչ ազդեցություն, ֆոտոտոքսիկ ազդեցություն, սենսիբիլիզացնող ազդեցություն և ունենա մաշկի նկատմամբ նույնանման կամ ավելի բարձր ադհեզիվություն: Եթե չի ներկայացվել հետազոտությունների անցկացումից հրաժարվելու համար հիմնավորում (օրինակ, հետազոտվող և ռեֆերենտ դեղապատրաստուկների՝ գործնականում նույնական քանակական և որակական բաղադրության հետ կապված), ապա անվտանգության տեսանկյունից կենսահամարժեքությունն ապահովելու նպատակով համեմատական հետազոտություններում պետք է ուսումնասիրվեն՝
մաշկի կողմից դեղապատրաստուկի տանելիությունը, դրա՝ գրգռվածություն առաջացնելու ունակությունը և սենսիբիլիզացիան.
դեղապատրաստուկի՝ ֆոտոտոքսիկ ռեակցիաներ առաջացնելու ունակությունը.
դեղապատրաստուկի սպեղանային հիմքի ադհեզիոն բնութագրերը:
Դեղապատրաստուկների վերմաշկային ձևերի հետազոտվող դոզավորումը
109. Դեղապատրաստուկների վերմաշկային ձևերի մի քանի դոզավորումներ գրանցելիս դեղապատրաստուկների վերմաշկային ձևերի կենսահամարժեքության հետազոտությունը թույլատրվում է անցկացնել ամենամեծ (առավել զգայուն) դոզավորմամբ՝ պայմանով, որ.
դեղապատրաստուկների վերմաշկային ձևերի որակական բաղադրությունը բոլոր դոզավորումների համար նույնն է.
դեղապատրաստուկի վերմաշկային ձևի դոզավորման մեծությունը համեմատական է սպեղանու աշխատանքային մակերևույթի մակերեսին (այսինքն ցածր դոզավորումների սպեղանիների աշխատանքային մակերևույթների մակերեսներն ամենամեծ դոզավորմամբ սպեղանու աշխատանքային մակերևույթի մակերեսի մասերն են).
դեղապատրաստուկների հետազոտվող և ռեֆերենտ վերմաշկային ձևերից ազդող նյութի լուծման (ձերբազատման) պրոֆիլները հավասարապես նույնանման են:
Անվտանգության նկատառումներից ելնելով՝ առողջ կամավորների մասնակցությամբ դեղապատրաստուկի վերմաշկային ձևի ամենաբարձր դոզավորման հետազոտությունների անցկացման անհնարինության դեպքում թույլատրվում է անցկացնել դեղապատրաստուկների ցածր դոզավորումների օգտագործմամբ հետազոտություններ, եթե պահպանվում է սպեղանու աշխատանքային մակերևույթի մակերեսի դոզավորման մեծության համամասնության սկզբունքը:
Դեղապատրաստուկների վերմաշկային ձևերի հետազոտության ժամանակ սահմանային տարբերակների ընտրությունը
110. Եթե անհրաժեշտ է դեղապատրաստուկի ավելի քան 2 դոզավորումների կենսահամարժեքության գնահատում (օրինակ, դեղապատրաստուկի տարբեր դոզավորումների բաղադրության համամասնության բացակայության և (կամ) դեղապատրաստուկի լուծման պրոֆիլների նմանության պատճառով), ինչպես նաև համամասնական բաղադրությամբ մեկ միավորից դեղապատրաստուկների համար, կենսահամարժեքության հետազոտություն անցկացնելու անհրաժեշտությունից ազատվելու այլ չափանիշներ կատարելիս կարելի է կիրառել սահմանային տարբերակների ընտրությունը: Այդ դեպքում թույլատրվում է անցկացնել կենսահամարժեքության 2 հետազոտություն, եթե ընտրված դոզավորումները սահմանային տարբերակներ են, օրինակ՝ ամենաբարձր և ամենացածր դոզավորում, կամ 2 դոզավորումներ, որոնք ավելի շատ տարբերվում են ըստ բաղադրության, լուծման կամ ձևի, այնպես որ մնացած դոզավորումների բաղադրության կամ լուծման ցանկացած տարբերություն ընդգրկված է 2 անցկացված հետազոտություններում:
Երկարաձգված ձերբազատմամբ դեղապատրաստուկների համար ձերբազատումը հսկող օժանդակ նյութերը և ազդող նյութի ձերբազատման մեխանիզմը պետք է նույնը լինեն հետազոտվող դեղապատրաստուկի բոլոր դոզավորումների համար: Նույն պահանջները ներկայացվում են ձերբազատումը հսկող՝ հետաձգված ձերբազատմամբ դեղապատրաստուկների թաղանթներին:
9. Մոդիֆիկացված ձերբազատմամբ գրանցված դեղապատրաստուկի նոր դոզավորումը
111. Սույն Պահանջների VI բաժնի դրույթները կիրառվում են նաև մոդիֆիկացված ձերբազատմամբ դեղապատրաստուկի նոր դոզավորում մշակելիս հետազոտությունների ընտրության նկատմամբ, որը գտնվում է ռեֆերենտ դեղապատրաստուկի համար դեղապատրաստուկի ընդհանուր բնութագրում նշված՝ կիրառվող դեղաչափերի ընդգրկույթի սահմաններում: Նոր դոզավորման համար, որի բաղադրությունը համամասնական է գրանցված դոզավորմանը (դոզավորումներին), թույլատրվում է կիրառել սահմանային տարբերակների ընտրությունը: Գրանցված դոզավորման (դոզավորումների) համեմատ ոչ համամասնական բաղադրությամբ նոր դոզավորումը պետք է բավարարի սույն Պահանջների VI բաժնի 1- 6-րդ ենթաբաժիններում նշված պահանջները: Նոր հետազոտություն անցկացնել չի պահանջվում, եթե մոդիֆիկացված ձերբազատմամբ դեղապատրաստուկի մշակվող նոր դոզավորումը գտնվում է մյուս դոզավորումների սահմանային տարբերակների միջև ընդգրկույթում և բավարարում է հետևյալ պահանջները, որոնք ներկայացվում են՝
ձերբազատումը հսկող օժանդակ նյութերին.
դեղապատրաստուկի չափին և ձևին.
դեղաձևի արտադրությանը:
Դեղապատրաստուկի այդպիսի նոր դոզավորումն ընկնում է սույն Պահանջների V բաժնի 7-րդ ենթաբաժնում բերված կատեգորիայի մեջ: Գոյություն ունեցող թերապևտիկ ընդգրկույթի մեջ չմտնող նոր դոզավորմամբ պահանջվում է անցկացնել կլինիկական մշակում: Որոշ պարամետրեր (օրինակ՝ վերմաշկային առաքման համակարգի համար մաշկի անվտանգության պրոֆիլը) չեն պահանջում վերագնահատում, եթե չի ակնկալվում, որ նոր դոզավորումը և առաջարկվող կիրառման ցուցումը կփոխեն դեղապատրաստուկի անվտանգության ընդհանուր պրոֆիլը:
10. Դեղակինետիկ պարամետրերի գնահատումը
Անալիզի ենթակա դեղակինետիկ պարամետրերը
112. Կենսահամարժեքության՝ մեկանգամյա դոզավորմամբ հետազոտություններում պետք է որոշել AUC(0-t)-ը, AUC(0-∞)-ը, մնացորդային մակերեսը, Cmax-ը, tmax-ը և, անհրաժեշտության դեպքում, մասնակիAUC-ը: Հատված AUC(0–72 ժ) կիրառելի չէ մոդիֆիկացված ձերբազատմամբ դեղապատրաստուկների համար, որոնք չեն ենթադրում ներքին ընդունման կիրառություն:
113. Որոշման ենթակա՝ բազմաֆազ մոդիֆիկացված ձերբազատմամբ դեղապատրաստուկների լրացուցիչ պարամետրերին են դասվում մասնակիAUC-ը, Cmax-ը և tmax -ը բոլոր ֆազերում: ՄասնակիAUC-ի հատման ժամանակային կետը պետք է հիմնվի դեղակինետիկ պրոֆիլի վրա (օրինակ, համապատասխանաբար՝ սովորական և մոդիֆիկացված ձերբազատման մասերի վրա) և պետք է հիմնավորվի ու նախապես նշվի հետազոտության արձանագրության մեջ:
114. Կենսահամարժեքության՝ բազմակի դոզավորմամբ հետազոտություններում անհրաժեշտ է որոշել AUC(0-Ժ)ss-ը, tmax,ss-ը, Cmax,ss-ը, СԺ,ss-ը և ֆլուկտուացիան: Ի տարբերություն մոդիֆիկացված ձերբազատմամբ նոր դեղաձևերն ուսումնասիրելիս Cmin,ss-ը սահմանելու անհրաժեշտության՝ մոդիֆիկացված ձերբազատմամբ վերարտադրված դեղապատրաստուկներն ուսումնասիրելիս բավական է համեմատել СԺ,ss ցուցանիշները վերարտադրված դեղապատրաստուկի և ռեֆերենտ դեղապատրաստուկի համար: СԺ,ss-ի ցուցանիշը թույլ է տալիս գնահատել վերարտադրված դեղապատրաստուկի կորի ձևը և փոխարինում է այդ իրավիճակներում Cmin,ss-ի գնահատման անհրաժեշտությունը:
Ընդունելիության բնութագրերի և չափանիշների գնահատումը
115. Կուտակման (կումուլյացիայի) ունակ՝ երկարաձգված ձերբազատմամբ դեղապատրաստուկների կենսահամարժեքությունը հաստատվում է հետևյալ պարամետրերի վիճակագրական գնահատումից հետո.
մեկանգամյա ներմուծման դեպքում՝ AUC(0-t), AUC(0-∞), Cmax,
բազմակի ներմուծման դեպքում՝ AUC(0-Ժ), Cmax,ss, С Ժ,ss:
Կուտակման (կումուլյացիայի) ունակ՝ երկարաձգված ձերբազատմամբ դեղապատրաստուկների կենսահամարժեքության հետազոտության մեջ դեղակինետիկ պարամետրերի վիճակագրական գնահատման անհրաժեշտությունը ներկայացված է 1-ին աղյուսակում:
Աղյուսակ 1
Կուտակման (կումուլյացիայի) ունակ՝ երկարաձգված ձերբազատմամբ դեղապատրաստուկների կենսահամարժեքության հետազոտության մեջ դեղակինետիկ պարամետրերի վիճակագրական գնահատման անհրաժեշտությունը
|
Դեղակինետիկ պարամետրերը |
Պարամետրերի գնահատման անհրաժեշտությունը | ||
|
մեկանգամյա դոզավորում՝ անոթի ժամանակ |
մեկանգամյա դոզավորում՝ սնունդ ընդունելուց հետո |
բազմակի դոզավորում | |
|
Cmax |
այո |
այո |
ոչ |
|
AUC(0–t) |
այո |
այո |
ոչ |
|
AUC(0–∞) |
այո |
այո |
ոչ |
|
մասնակիAUC |
ոչ |
ոչ |
ոչ |
|
Cmax,ss |
ոչ |
ոչ |
այո |
|
С Ժ,ss |
ոչ |
ոչ |
այո |
|
AUC(0–Ժ)ss |
ոչ |
ոչ |
այո |
116. Երկարաձգված ձերբազատմամբ այն պատրաստուկների կենսահամարժեքությունը, որոնք ունակ չեն կուտակման (կումուլյացիայի) կամ նախատեսված են բացառապես մեկանգամյա կիրառման համար, հաստատվում է մեկանգամյա ներմուծման դեպքում հետևյալ պարամետրերի վիճակագրական գնահատումից հետո՝ AUC(0–t), AUC(0–∞), Cmax և կորի ձևի ռեպրեզենտատիվ չափումից հետո (օրինակ՝ սկզբնական մասնակիAUC-ի և վերջնական մասնակիAUC-ի):
Երկարաձգված ձերբազատմամբ այն դեղապատրաստուկների կենսահամարժեքության հետազոտության մեջ դեղակինետիկ պարամետրերի վիճակագրական գնահատման անհրաժեշտությունը, որոնք ունակ չեն կուտակման (կումուլյացիայի), ներկայացված է 2-րդ աղյուսակում:
Աղյուսակ 2
Երկարաձգված ձերբազատմամբ այն դեղապատրաստուկների կենսահամարժեքության հետազոտության մեջ դեղակինետիկ պարամետրերի վիճակագրական գնահատման անհրաժեշտությունը, որոնք ունակ չեն կուտակման (կումուլյացիայի)
|
Դեղակինետիկ պարամետրերը |
Պարամետրերի գնահատման անհրաժեշտությունը | ||
|
մեկանգամյա դոզավորում՝ անոթի ժամանակ |
մեկանգամյա դոզավորում՝ սնունդ ընդունելուց հետո |
բազմակի դոզավորում | |
|
Cmax |
այո |
այո |
ոչ |
|
AUC(0–t) |
այո |
այո |
ոչ |
|
AUC(0–∞) |
այո |
այո |
ոչ |
|
մասնակիAUC |
այո |
այո |
ոչ |
|
Cmax,ss |
ոչ |
ոչ |
ոչ |
|
С Ժ,ss |
ոչ |
ոչ |
ոչ |
|
AUC(0–Ժ)ss |
ոչ |
ոչ |
ոչ |
117. Հետաձգված ձերբազատմամբ պատրաստուկների կենսահամարժեքությունը հաստատվում է AUC(0–t), AUC(0-∞) և Cmax պարամետրերի վիճակագրական գնահատումից հետո՝ մեկանգամյա ներմուծման դեպքում:
Հետաձգված ձերբազատմամբ դեղապատրաստուկների կենսահամարժեքության հետազոտության մեջ դեղակինետիկ պարամետրերի վիճակագրական գնահատման անհրաժեշտությունը ներկայացված է 3-րդ աղյուսակում:
Աղյուսակ 3
Հետաձգված ձերբազատմամբ դեղապատրաստուկների կենսահամարժեքության հետազոտության մեջ դեղակինետիկ պարամետրերի վիճակագրական գնահատման անհրաժեշտությունը
|
Դեղակինետիկ պարամետրերը |
Պարամետրերի գնահատման անհրաժեշտությունը | ||
|
մեկանգամյա դոզավորում՝ անոթի ժամանակ |
մեկանգամյա դոզավորում՝ սնունդ ընդունելուց հետո |
բազմակի դոզավորում | |
|
Cmax |
այո |
այո |
ոչ |
|
AUC(0–t) |
այո |
այո |
ոչ |
|
AUCի |
այո |
այո |
ոչ |
|
մասնակիAUC |
ոչ |
ոչ |
ոչ |
|
Cmax,ss |
ոչ |
ոչ |
ոչ |
|
С Ժ,ss |
ոչ |
ոչ |
ոչ |
|
AUC(0–Ժ)ss |
ոչ |
ոչ |
ոչ |
118. Մոդիֆիկացված ձերբազատմամբ բազմաֆազ պատրաստուկների կենսահամարժեքությունը հաստատվում է հետևյալ պարամետրերի վիճակագրական գնահատումից հետո՝
մեկանգամյա ներմուծման դեպքում՝ AUC(0–t), AUC(0–∞), մասնակիAUC և Cmax (ազդող նյութի ձերբազատման բոլոր ֆազերում).
բազմակի ներմուծման ժամանակ ազդող նյութի կումուլյացիայի դեպքում՝ AUC(0–Ժ), Cmax,ss, С Ժ,ss:
Բազմաֆազ մոդիֆիկացված ձերբազատմամբ դեղապատրաստուկների կենսահամարժեքության հետազոտության մեջ դեղակինետիկ պարամետրերի վիճակագրական գնահատման անհրաժեշտությունը բերված է 4-րդ աղյուսակում:
119. Բազմաֆազ մոդիֆիկացված ձերբազատմամբ վերարտադրված դեղապատրաստուկների կենսահամարժեքության ապացույցի համար կիրառվում է մոտեցում, որով ենթադրվում է կենսահամարժեքության ստանդարտ սահմանների օգտագործում (80,00 %-125,00 %): Cmax ցուցանիշի համար կենսահամարժեքության սահմանների ցանկացած ընդլայնում պետք է անցկացվի՝ հաշվի առնելով «Կենսահամարժեքության հետազոտությունների անցկացման կանոնների» III բաժնի 11-րդ ենթաբաժնում բերված բարձր փոփոխականությամբ դեղապատրաստուկների համար ցուցումը:
Աղյուսակ 4
Բազմափուլ մոդիֆիկացված ձերբազատմամբ դեղապատրաստուկների կենսահամարժեքության հետազոտության մեջ դեղակինետիկ պարամետրերի վիճակագրական գնահատման անհրաժեշտությունը
|
Դեղակինետիկ պարամետրերը |
Պարամետրերի գնահատման անհրաժեշտությունը | ||
|
մեկանգամյա դոզավորում՝ անոթի ժամանակ |
մեկանգամյա դոզավորում՝ սնունդ ընդունելուց հետո |
բազմակի դոզավորում | |
|
Cmax(х) |
այո |
այո |
ոչ |
|
Cmax(х+1) |
այո |
այո |
ոչ |
|
AUC(0–t) |
այո |
այո |
ոչ |
|
AUC(0–∞) |
այո |
այո |
ոչ |
|
մասնակիAUC(х) |
այո |
այո |
ոչ |
|
մասնակիAUC(х+1) |
այո |
այո |
ոչ |
|
Cmax,ss |
ոչ |
ոչ |
այո |
|
С Ժ,ss |
ոչ |
ոչ |
այո |
|
AUC(0–Ժ)ss |
ոչ |
ոչ |
այո |
120. Կենսահամարժեքության սահմանների ընդլայնման՝ 119-րդ կետում բերված համանման մոտեցումը կարելի է օգտագործել Cmax,ss, СԺ,ss և մասնակիAUC ցուցանիշների համար: Ներանհատական փոփոխականության ցուցանիշի հաշվարկը բազմակի դոզավորմամբ հետազոտություններում կարող է կատարվել հավասարակշիռ վիճակին հասնելուց հետո միևնույն պատրաստուկի 2 հաջորդական ներմուծումների տվյալների հիման վրա:
121. Հետաձգված ձերբազատմամբ դեղաձևերով և բազմաֆազ դեղաձևերով դեղապատրաստուկների համար անհրաժեշտ է նաև գնահատել tmax -ի միջև տարբերությունները, հատկապես եթե դեղապատրաստուկի համար կարևոր է ապահովել ազդեցության արագ սկսվելը: Ընդ որում, չի պահանջվում անցկացնել tmax ցուցանիշի ձևական վիճակագրական գնահատում: Բավական է ցույց տալ tmax միջնարժեքի և դրա կվարտիլային ընդգրկույթի մեջ ակնհայտ տարբերությունների բացակայությունը՝ հետազոտվող և ռեֆերենտ դեղապատրաստուկների համար:
11. Մոդիֆիկացված ձերբազատմամբ դեղապատրաստուկների ֆունկցիոնալ բնութագրերի վրա ալկոհոլի ազդեցության ուսումնասիրությունը
122. Անհրաժեշտ է կատարել սպիրտային լուծույթներում in vitro վերարտադրված դեղապատրաստուկների ձերբազատման հետազոտություններ: Եթե կարճ ժամանակահատվածի ընթացքում սպիրտի բարձր կամ ցածր կոնցենտրացիաների դեպքում, կամ տևական ժամանակի ընթացքում սպիրտի ցածր կոնցենտրացիաների դեպքում նկատվում է in vitro ազդող նյութի արագացված ձերբազատում, ապա անհրաժեշտ է փոփոխել դեղապատրաստուկի բաղադրությունը։ Եթե անհնար է խուսափել դեղապատրաստուկի կիրառման ընթացքում ալկոհոլի՝ դեղապատրաստուկի վրա ազդեցությունից և այդպիսի անխուսափելի ազդեցության մասին նշված է ռեֆերենտ դեղապատրաստուկի համար դեղապատրաստուկի ընդհանուր բնութագրի մեջ, ապա հայտատուն պետք է հիմնավորի (հաստատի), որ այդպիսի ազդեցությունը կլինիկորեն նշանակալի չէ, կամ վերլուծության ենթարկի դրա պոտենցիալ կլինիկական նշանակալիությունը՝ ռեֆերենտ դեղապատրաստուկի կիրառման մասին տվյալների հիման վրա:
12. Այլ գործոններ, որոնք պահանջվում է հաշվի առնել մոդիֆիկացված ձերբազատմամբ դեղապատրաստուկների կենսահամարժեքության հետազոտություններն անցկացնելիս
123. Պետք է հաշվի առնել Կենսահամարժեքության հետազոտությունների անցկացման կանոններում բերված՝ սովորական ձերբազատմամբ դեղապատրաստուկների համար ցուցումներին համապատասխան կենսահամարժեքության պլանավորման և գնահատման հետևյալ ասպեկտներին ներկայացվող պահանջները՝
ա) հետազոտվող և ռեֆերենտ դեղապատրաստուկների ընտրություն.
բ) հետազոտությունների սուբյեկտների ընտրություն.
գ) կենսահամարժեքության հետազոտությունների անցկացում.
դ) առաջնային սահմանային կետերի վիճակագրական գնահատում.
ե) սկզբնական միացության և դրա մետաբոլիտների գնահատում.
զ) էնանտիոմերների գնահատում.
է) էնդոգեն նյութերի գնահատում.
ը) նեղ թերապևտիկ ինդեքսով դեղապատրաստուկների հետազոտություն (կարող է անհրաժեշտ լինել СԺ ցուցանիշի համար կենսահամարժեքության սահմանների նեղացում).
ժ) բարձր փոփոխականությամբ ազդող նյութերի և դեղապատրասուկների հետազոտություն.
ժա) ուսումնասիրվող դեղապատրաստուկների համար դեղակինետիկայի ցուցանիշների գծայնության գնահատում:
|
ՀԱՎԵԼՎԱԾ ԹԻՎ 1 |
ՊԱՀԱՆՋՆԵՐ
վերմաշկային դեղապատրաստուկների՝ սենսիբիլիզացիայի և գրգռվածության մասով հետազոտությունների անցկացմանը ներկայացվող
1. Սույն Պահանջներում պարունակվում են ցուցումներ հետազոտությունների պլանավորման և հաշվարկման համակարգերի մասով, որոնք կարելի է օգտագործել մաշկային գրգռվածության և մաշկի սենսիբիլիզացիայի հետազոտության համար՝ նոր քիմիական միացությունով վերմաշկային դեղապատրաստուկների կամ վերարտադրված վերմաշկային դեղապատրաստուկների մշակման ընթացքում: Հետազոտության դիզայնը կարող է ադապտացվել կոնկրետ իրավիճակի համար:
2. Քանի որ մաշկի վիճակը կարող է ազդել վերմաշկային դեղապատրաստուկի ազդող նյութի աբսորբման վրա և ազդեցություն ցուցաբերել դրա էֆեկտիվության և (կամ) դրա կիրառման անվտանգության վրա, ապա մաշկի ռեակցիաները և մաշկի սենսիբիլիզացիան ենթակա են գնահատման:
3. Վերարտադրված վերմաշկային դեղապատրաստուկի՝ ռեֆերենտ վերմաշկային դեղապատրաստուկի համեմատ համակողմանի գնահատման համար, այլ հիմնավորումների (օրինակ՝ այդ վերմաշկային դեղապատրաստուկների շատ մոտ քանակական և որակական բաղադրության) բացակայության դեպքում անհրաժեշտ է նաև հաստատել գրգռվածության ռեակցիաների համանմանությունը և մաշկի սենսիբիլիզացիայի ռեակցիաների համանմանությունը:
4. Հետազոտության մեջ ընդգրկվող դոզավորումը որոշում են՝ հաշվի առնելով հետևյալ գործոնները՝
ա) մարդու մոտ վերմաշկային դեղապատրաստուկների կիրառման ռետրոսպեկտիվ փորձ՝ըստ գիտական գրականության տվյալների.
բ) կենդանիների մոտ մաշկի սենսիբիլիզացիայի (գրգռվածության)՝ նախկինում անցկացված հետազոտություններ.
գ) յուրաքանչյուր կոնկրետ հետազոտվող ազդող նյութի համար բնորոշ՝ անվտանգության հարցեր:
Վերարտադրված վերմաշկային դեղապատրաստուկի հետազոտությունների ընդհանուր դիզայնը
5. Ստանդարտ հետազոտությունը պետք է ունենա զուգահեռ խմբերում ակտիվ հսկողության և 3 ֆազով բազմակի դոզավորմամբ պլացեբոյի ներմուծմամբ դիզայն:
Եթե անհնար է հետազոտվող և ռեֆերենտ վերմաշկային դեղապատրաստուկները միաժամանակ զետեղել, քանի որ ըստ չգրանցված ցուցումի կներմուծվի ազդող նյութի կրկնակի քանակ, ինչը կարող է կյանքին վտանգ սպառնացող հետևանքներ ունենալ, ապա թույլատրվում է օգտագործել բաղադրություններով և զետեղելու մակերեսներով համամասնական վերմաշկային դեղապատրաստուկների ցածր դոզավորումներ:
Նախքան վերմաշկային սպեղանիները զետեղելը՝ 14 օրվա ընթացքում անցկացվում է սկրինինգային գնահատում, որը ներառում է՝
բժշկական անամնեզի հավաքում,
ամբողջական ֆիզիկական հետազոտություն,
էլեկտրասրտագրության հետազոտություն (ԷՍԳ) 12 արտածումներում.
լաբորատոր անալիզներ (ներառյալ արյան բիոքիմիան, արյունաբանությունը և մեզի անալիզը, այդ թվում՝ թմրանյութերի պարունակության մասով անալիզը):
Հետազոտության սուբյեկտները բաշխվում են խմբերի (խումբ 1 և խումբ 2) և գնահատվում են մաշկի կումուլյատիվ գրգռվածության ու կոնտակտային սենսիբիլիզացիայի մասով: Երկու խմբերի հետազոտության սուբյեկտներին անհրաժեշտ է, եթե դա թույլատրված է դեղապատրաստուկի ընդհանուր բնութագրի մեջ, պատահական կարգով զետեղել հետազոտվող վերմաշկային սպեղանին, ռեֆերենտ վերմաշկային սպեղանին և պլացեբո-սպեղանին՝ մեջքի մաշկի կամ մաշկի այլ հետազոտվող հատվածների վրա: Մաշկի ռեակցիաները պետք է գնահատի փորձառու հետազոտողը (անհրաժեշտ պատրաստվածություն անցած), որի համար դեղապատրաստուկների բաշխման մասին տեղեկատվությունը պետք է լինի քողարկված: Վերմաշկային սպեղանու ազդեցության նկատմամբ սուբյեկտի մոտ ավելորդ ռեակցիա զարգանալուց խուսափելու համար անհրաժեշտ է նախատեսել հետազոտությունում մասնակցության դադարեցման չափանիշներ:
Յուրաքանչյուր սուբյեկտ մասնակցում է հետազոտության հետևյալ 3 հաջորդական փուլերում:
Գրգռվածության ինդուկցիայի (կուտակման) փուլ
6. 1-ին խմբի սուբյեկտների վրա զետեղում են հետազոտվող սպեղանին, ռեֆերենտ սպեղանին և պլացեբո-սպեղանին մաշկի՝ պատահականորեն ընտրված հատվածների վրա՝ 21 օրվա ընթացքում: 2-րդ խմբի սուբյեկտների վրա զետեղում են հետազոտվող սպեղանին, ռեֆերենտ սպեղանին և պլացեբո-սպեղանին մաշկի՝ պատահականորեն ընտրված հատվածների վրա՝ շաբաթական 3 անգամ, 21 օրվա ընթացքում (զետեղում են ընդամենը 9 անգամ): 2-րդ խմբում սպեղանիները մնում են մաշկի վրա 48 ժամվա ընթացքում աշխատանքային օրերին և 72 ժամ՝ ոչ աշխատանքային օրերին: Նոր սպեղանին զետեղում են նույն հատվածին, որ հատվածին զետեղված էր նախորդը: Եթե հերթական սպեղանին պետք է զետեղել նախորդը հեռացնելուց հետո 1 ժամվա ընթացքում կամ դրանից պակաս ժամանակահատվածում, ապա հերթական սպեղանու կիրառման ժամականահատվածը թույլատրվում է կրճատել այդ ժամանակահատվածի չափով:
Հանգստի փուլ
7. Գրգռվածության ինդուկցիայի (կումուլյացիայի) փուլին հաջորդում է երկշաբաթյա հանգստի փուլը, որի ընթացքում սպեղանիներ չեն զետեղվում:
Պրովոկացիայի փուլ
8. Հանգստի փուլից հետո սպեղանիները 48 ժամով զետեղում են մաշկի նոր հատվածների վրա՝ նախկինում որոշված սահմանների շրջանում:
9. Որպես մաշկի գնահատման լրացում՝ սպեղանին հեռացնելուց հետո 0,5 և 24 ժամ անց պրովոկացիայի փուլին մասնակցող սուբյեկտները վերադառնում են հետազոտության՝ 40-րդ և 41-րդ օրերին՝ վերջին սպեղանին հեռացնելուց 48 և 72 ժամ հետո մաշկային ռեակցիայի լրացուցիչ գնահատման համար:
10. Միջանհատական փոփոխականության ազդեցությունը նվազեցնելու նպատակով հետազոտության յուրաքանչյուր սուբյեկտ ստանում է բոլոր 3 համեմատվող սպեղանիները միաժամանակ: Բացի այդ՝ «պատրաստուկ-զետեղելու հատված» փոխազդեցության հնարավորությունը հսկելու նպատակով (որը քիչ հավանական է), բոլոր 3 սպեղանիները պատահական կարգով զետեղվում են մաշկի 3 հատվածների վրա այնպես, որ յուրաքանչյուր սպեղանի կիրառվի մաշկի նույն հատվածի վրա, որը կիրառվում էր նախկինում՝ մոտավորապես թվով հավասար անգամներ (եթե հաշվի առնվեն հետազոտության բոլոր մասնակիցների մոտ կիրառությունները):
11. Մաշկի ռեակցիաներն անհրաժեշտ է գնահատել հետազոտության՝ 1-ին խմբի ու 2-րդ խմբի բոլոր սուբյեկտների մոտ: Երկու խմբերի սուբյեկտների մոտ սպեղանու զետեղելու հատվածները գնահատվում են մաշկի գրգռվածության մասով՝ սպեղանին հեռացնելուց հետո 30 րոպե անց (բալ՝ ըստ մաշկի պատասխանի գնահատման սանդղակի և բալ՝ ըստ սենսիբիլիզացիայի ու ալերգիկ ռեակցիաների գնահատման սանդղակի): Գրգռվածության ինդուկցիայի (կուտակման) փուլում նոր սպեղանիները զետեղում են նախորդը հեռացնելուց հետո 1 ժամ անց:
12. Պրովոկացիայի փուլում կոնտակտային սենսիբիլիզացիայի գնահատման նպատակներով հետազոտվող սպեղանին, համեմատման սպեղանին և պլացեբո-սպեղանին զետեղում են միաժամանակ 48 ժամով՝ երկու խմբերի սուբյեկտների մաշկի այն հատվածներին, որոնց վրա նախկինում սպեղանի չէր զետեղվել: Այդ հատվածների վրա մաշկի ռեակցիան գնահատվում է սպեղանին հեռացնելուց հետո 0.5, 24, 48 և 72 ժամ անց:
13. Մաշկային ռեակցիաները ստուգում և դասակարգում են՝ օգտագործելով 1-ին աղյուսակում (մաշկի պատասխանի գնահատման սանդղակ) և 2-րդ աղյուսակում (սենսիբիլիզացիայի և ալերգիկ ռեակցիաների գնահատման սանդղակ) բերված բալերի գնահատման սանդղակները: Թույլատրվում է որպես գնահատման հնարավոր այլընտրանքային տարբերակներ օգտագործել գնահատման այլ սանդղակներ, որոնք նկարագրված են գիտա-բժշկական գրականության մեջ, ընդ որում՝ պահանջվում է հիմնավորել գնահատման այդպիսի սանդղակի ընտրությունը կլինիկական հետազոտության ծրագրում:
14. Զետեղելու յուրաքանչյուր տեղ ստանում է առանձին բալ՝ ըստ մաշկի պատասխանի գնահատման և սենսիբիլիզացիայի ու ալերգիկ ռեակցիաների գնահատման սանդղակների, որոնք գումարվում են մաշկի ռեակցիայի համակցված գնահատման բալերում: Մաշկի ռեակցիայի յուրաքանչյուր տեսակի բալի գնահատման համար անհրաժեշտ է, որ մաշկի այն հատվածի մակերեսի առնվազն 25 %-ի վրա, որի վրա զետեղվել է սպեղանին, նկատվի մաշկի ռեակցիա: Պրովոկացիայի փուլի ընթացքում (կոնտակտային գերզգայունացման գնահատում) դրական պատասխան է համարվում միայն մաշկի ռեակցիայի համակցված գնահատման բալը, որը գերազանցում է 2-ը:
Աղյուսակ 1
Բալերը՝ ըստ մաշկի պատասխանի գնահատման սանղակի
|
Բալ |
Սահմանումը |
|
0 |
Ռեակցիա չկա (գրգռվածության հատկանիշները բացակայում են) |
|
1 |
Նվազագույն (հազիվ տեսանելի) էրիթեմա |
|
2 |
Թեթև (թեթև տեսանելի) էրիթեմա՝ առանց այտուցի և (կամ) պապուլաների |
|
3 |
Չափավոր էրիթեմա՝ առանց այտուցի և (կամ) պապուլաների կամ թեթև (թեթև տեսանելի) էրիթեմա՝ այտուցով և (կամ) պապուլաներով |
|
4 |
Ծանր էրիթեմա՝ առանց այտուցի (կամ) պապուլաների կամ չափավոր էրիթեմա՝ այտուցով և (կամ) պապուլաներով |
|
5 |
Ծանր էրիթեմա՝ այտուցով և (կամ) պապուլաներով կամ ցանկացած վեզիկուլյար ռեակցիա |
|
6 |
Բուլեզային ռեակցիա կամ ցանկացած ռեակցիա, որը համապատասխանում է 3-5 բալերին, սակայն տարածվում է սպեղանու սահմաններից դուրս |
Աղյուսակ 2
Բալեր՝ ըստ սենսիբիլիզացիայի և ալերգիկ ռեակցիաների գնահատման սանդղակի
|
Բալ |
Սահմանումը |
|
0 |
Ռեակցիա չկա |
|
0,5 |
Էրիթեմա առանց ինֆիլտրացիայի |
|
1 |
Էրիթեմա ինֆիլտրացիայով, առանձին պապուլաներով |
|
2 |
Էրիթեմա ինֆիլտրացիայով, պապուլաներով, վեզիկուլաներով |
|
3 |
Էրիթեմա ինֆիլտրացիայով, պապուլաներով, միախառնված վեզիկուլաներով |
15. Հետազոտվող պատրաստուկի նկատմամբ «արտահայտված» ռեակցիա է համարվում ըստ մաշկի պատասխանի գնահատման սանդղակի այն բալը, որը հավասար է 3-6-ի, կամ մաշկի պատասխանի գնահատման սանդղակով ցանկացած բալի և սենսիբիլիզացիայի ու ալերգիկ ռեակցիաների գնահատման սանդղակով բալի գումարը, որը հավասար է 3-ի կամ դրանից ավելի է:
Աղյուսակ 3
Հետազոտվող վերմաշկային դեղապատրաստուկի, ռեֆերենտ վերմաշկային դեղապատրաստուկի և պլացեբո-պատրաստուկի համակցված գնահատումը՝ ըստ մաշկի պատասխանի գնահատման սանդղակի բալերի և սենսիբիլիզացիայի ու ալերգիկ ռեակցիաների գնահատման սանդղակի բալերի
|
Խումբը |
Փուլը |
Հետազոտողի կողմից կատարվող գնահատման տեսակը |
Գնահատվող ցուցանիշները |
|
Խումբ 1 |
գրգռվածության ինդուկցիայի (կուտակման) փուլ |
Մաշկի պատասխանի բալերը |
գրգռվածության միջին բալը (հավասար է խմբում մաշկի պատասխանի միջին բալին). |
|
Խմբերը 1+2 |
պրովոկացիայի (կոնտակտային սենսիբիլիզացիայի) փուլը |
Մաշկի պատասխանի բալերը |
մաշկի համակցված պատասխանի բալը՝ 2:2 |
| Խումբը |
փուլը |
Հետազոտողի կողմից կատարվող գնահատման տեսակը |
գնահատվող ցուցանիշներ |
| ռեակցիաների գնահատման համար բալերը |
16. Հիմնական անալիզն անցկացնելիս համեմատում են հետազոտվող պատրաստուկի և ռեֆերենտ պատրաստուկի գրգռվածության միջին բալը (մաշկի պատասխանի՝ բոլոր ուսումնասիրությունների միջին բալը) և ընդհանուր կուտակված գրգռվածությունը՝ բալերով (բոլոր ուսումնասիրություններում մաշկի պատասխանի բալերի գումարը): Այդպիսի պատրաստուկի «օգուտ-ռիսկ» հարաբերակցության դրական պատասխան ստանալու համար անցկացնում են նախօրոք պլանավորված վիճակագրական անալիզ, որը հիմնված է ոչ պակաս էֆեկտիվության վիճակագրական հիպոթեզի ստուգման վրա: Պատրաստուկների միջև գրգռվածության բալերի համեմատման համար օգտագործվում է 2 միակողմանի t-թեստերի մեթոդը: Յուրաքանչյուր պարամետրի համար նվազագույն միջին քառակուսային շեղումը յուրաքանչյուր պատրաստուկի մասով ստանում են դիսպերսիոն անալիզի մոդելից, որում սուբյեկտը և հետազոտվող պատրաստուկը հանդես են գալիս որպես ֆիքսված փոփոխականներ: Անհրաժեշտ է հաշվարկել հետազոտվող պատրաստուկի նվազագույն միջին քառակուսային շեղման հարաբերությունը ռեֆերենտ պատրաստուկին՝ 90 % վստահելի միջակայքի հետ միասին: Եթե 90 % վստահելի միջակայքն ամբողջությամբ տեղավորվում է 0,80000-1,2500 միջակայքի մեջ, ապա եզրահանգում են 2 պատրաստուկների համարժեքության մասին:
17. Կոնտակտային սենսիբիլիզացիայի գնահատումն անցկացվում է պրովոկացիայի փուլում՝ մաշկի պատասխանի՝ 2-ին հավասար կամ դրանից ավելի բալի դեպքում: Այդ տվյալները չի պահանջվում ենթարկել վիճակագրական վերլուծության:
18. Սույն հավելվածում բերված հետազոտության դիզայնն օգտագործվում է վերարտադրված վերմաշկային դեղապատրաստուկների համարժեքության առանձին հարցերի ուսումնասիրման համար (օրինակ, արդյունաբերական բաղադրագրի ու արտադրական պրոցեսի որոշակի բնութագրերի համարժեքության գնահատում, ռեֆերենտ դեղապատրաստուկների համեմատ՝ վերարտադրված վերմաշկային դեղապատրաստուկների բաղադրության մեջ տարբերություններ, վերմաշկային դեղապատրաստուկների դոզավորման պլանավորվող միջակայքերի համարժեքության գնահատում):
Սենսիբիլիզացիայի գնահատման համար անցկացվող հետազոտությունները, որոնցով նախատեսվում է մարդու վրա՝ որպես հետազոտության սուբյեկտի, սպեղանու բազմակի զետեղումը, անհրաժեշտ է անցկացնել միայն բացառիկ դեպքերում, քանի որ հետազոտության սուբյեկտները կարող են ենթարկվել ավելորդ սենսիբիլիզացիայի, իսկ ընտրանքի չափում կարող են չներառվել զգայուն սուբյեկտները (այսինքն մարդկանց, որոնց օրգանիզմը ունակ է ապահովելու պատշաճ ռեակցիա):
|
ՀԱՎԵԼՎԱԾ ԹԻՎ 2 |
ՑՈՒՑՈՒՄՆԵՐ՝
in vivo մաշկային ադհեզիայի գնահատման վերաբերյալ
I. Վերմաշկային դեղապատրաստուկներ, որոնք պարունակում են նոր կամ հայտնի ազդող նյութ
1. in vivo ադհեզիվ ֆունկցիոնալ բնութագրերի ուսումնասիրությունը, որպես կանոն, դեղապատրաստուկի էֆեկտիվության հետազոտությունների մաս է: Ռիսկերի, դեղապատրաստուկի ընդհանուր բնութագրի և կոնկրետ դեղապատրաստուկների ներդիր-թերթիկների վերլուծության հիման վրա անհրաժեշտ է գնահատել դեղպատրաստուկի կայունությունը՝ առօրյա ֆիզիկական ակտիվության և վարքագծի նկատմամբ (օրինակ՝ խոնավության նկատմամբ կայունությունը՝ լվացվելիս, լոգանք ընդունելիս, շոգեբաղնիք այցելելիս, խոնավացուցիչներ օգտագործելիս, ինքնաբերաբար պոկվելու ռիսկը՝ ֆիզիկական մարզանք կատարելիս և (կամ) քնի մեջ, այլ մարդկանց մաշկի վրա (սեռական զուգընկերների կամ ընտանիքի անդամների) հնարավոր փոխանցումը): Անհրաժեշտ է կանխարգելել սպեղանու պատահաբար փոխանցումը այլ մարդու մաշկի վրա, որը այն չի կրում, և նվազեցնել այլ ռիսկեր, որոնք պայմանավորված են վատ ադհեզիայով՝ սպեղանու բավարար ադհեզիոն ֆունկցիոնալ բնութագրերի ապահովման միջոցով:
II. Վերմաշկային դեղապատրաստուկ, որը գրանցված վերմաշկային դեղապատրաստուկի անալոգ է
2. in vivo ադհեզիվ ֆունկցիոնալ բնութագրերի ուսումնասիրությունը կարելի է ներառել կլինիկական դեղակինետիկայի հետազոտության մեջ (ինչպես մեկանգամյա դոզավորմամբ, այնպես էլ բազմակի դոզավորմամբ), կամ այն կարող է լինել անկախ հետազոտություն՝ կամ պացիենտների, կամ կամավորների մասնակցությամբ: Քանի որ ադհեզիվ ֆունկցիոնալ բնութագրերի հետազոտություններով պետք է սահմանվեն սպեղանու բավարար ադհեզիոն հատկությունները՝ նպատակային պոպուլյացիայի համար կիրառման դեպքում, ապա ադհեզիայի ուսումնասիրության և դեղակինետիկայի համար կարող են պահանջվել հետազոտությունների տարբեր տեսակներ:
3. Մի քանի դոզավորումներով ներկայացված՝ վերմաշկային սպեղանիների մասով այլ հիմնավորման բացակայության դեպքում in vivo փորձարկումներն անցկացվում են ամենամեծ չափի սպեղանու կիրառմամբ:
1. Ադհեզիայի հետազոտության անցկացումը
4. Չի թույլատրվում սպեղանու կրկնակի ֆիքսումը, օրինակ, դրա վրա ուժեղ սեղմելու միջոցով: Սակայն եթե անհրաժեշտ է պատրաստուկն օգտագործել դեղապատրաստուկի ընդհանուր բնութագրին համապատասխան՝ բավարար ադհեզիան ապահովելու համար նախատեսված ֆիքսող կապով, ապա ադհեզիայի հետազոտություններն անհրաժեշտ է անցկացնել այդ ֆիքսող կապի օգտագործմամբ:
5. Անհրաժեշտ է նշել և հիմնավորել ադհեզիայի գնահատման հաճախականությունը՝ նշելով վերմաշկային սպեղանիները զետեղելու և հեռացնելու ժամանակային կետերը: Ադհեզիայի գնահատման հաճախականությունը պետք է կախված լինի սպեղանին կրելու ժամանակից: Բավարար և ոչ բավարար ֆունկցիոնալ բնութագրերը նաև կարելի է գրանցել լուսանկարման միջոցով:
6. Եթե ադհեզիան ուսումնասիրվում է բազմակի դոզավորմամբ դեղակինետիկ հետազոտության ժամանակ, ապա ընտրանքի չափը հաշվարկելիս անհրաժեշտ է հաշվի առնել ոչ միայն դեղակինետիկ սահմանային կետերի արժեքները, այլ նաև բավարար ադհեզիայի մասին հիպոթեզի ստուգման ժամանակ ընդունելիության չափանիշների արժեքները:
7. Գրանցման դոսյեում պետք է ներկայացնել հետազոտության արդյունքների կրճատ ամփոփում յուրաքանչյուր հետազոտվող վերմաշկային դեղապատրաստուկի համար՝ աղյուսակային ու գրաֆիկական ձևաչափերով՝ պարզաբանումներով:
8. Գրանցման դոսյեում անհրաժեշտ է բերել ադհեզիայի մասնաբաժնի անհատական արժեքները՝ կախված զետեղելու ժամանակից՝ աղյուսակային ձևաչափով դրանց համապատասխանող նկարագրական վիճակագրություններով: Հետազոտության միջին արդյունքների ամփոփումը ներկայացնում են 1-ին աղյուսակին համապատասխան աղյուսակային ձևով:
Աղյուսակ 1
Մաշկային ադհեզիայի հետազոտության արդյունքների ամփոփումը
|
Ամրացում |
Գնահատման ժամանակային կետը, ժամերը | |||||||
|
... ժ |
... ժ |
... ժ |
... ժ | |||||
|
Ռեֆերենտ (R) № (%) |
Հետազոտ վող (T) № (%) |
(R) № (%) |
(T) № (%) |
(R) № (%) |
(T) № (%) |
(R) № (%) |
(T) № (%) | |
|
Մեծ կամ հավասար 90 % |
||||||||
|
Մեծ կամ հավասար 80 % |
||||||||
|
Մեծ կամ հավասար 70 % |
||||||||
|
Մեծ կամ հավասար 60 % |
||||||||
|
Մեծ կամ հավասար 50 % |
||||||||
|
0-ից մինչև 50 %-ից քիչ |
||||||||
9. Զետեղելու ժամանակից կախված՝ որպես ադհեզիայի անհատական և միջին մասնաբաժիններով աղյուսակային տվյալների լրացում՝ գրանցման դոսյեում անհրաժեշտ է ներկայացնել ադհեզիվության հիստագիրը 2 հետազոտվող խմբերում:
2. Ադհեզիայի գնահատման չափանիշները
10. Ադհեզիան քանակապես արտահայտում են մաշկի այն մակերեսի մասնաբաժնի (տոկոսի) միջոցով, որի վրա դոզավորման միջակայքի վերջում սպեղանին մնում է փակցված վիճակում:
11. Ադհեզիայի գնահատման հիմնական չափանիշները՝
ա) ադհեզիան համարվում է ընդունելի, եթե մաշկի այն հատվածի միջին մակերեսի 90-տոկոսանոց վստահելի միջակայքը, որի վրա դոզավորման միջակայքի վերջում հետազոտվող սպեղանին մնում է փակցված վիճակում, գերազանցում է սպեղանին ամրացնելու սկզբնական մակերեսի մեծության 90 %-ը: Տվյալ պահանջը չպահպանելու ցանկացած դեպք պետք է հիմնավորել՝ ուշադրություն դարձնելով բոլոր հնարավոր ռիսկերին, որոնք պայմանավորված են սպեղանին ոչ ամբողջությամբ ամրացնելով.
բ) եթե ենթադրվում է, որ սույն կետի «բ» ենթակետի պահանջի կատարումը քիչ հավանական է, կարելի է սահմանել հետազոտվող վերմաշկային դեղապատրաստուկի ոչ պակաս էֆեկտիվությունը՝ ռեֆերենտ վերմաշկային դեղապատրաստուկի համեմատ: Դա հնարավոր է, եթե ռեֆերենտ վերմաշկային դեղապատրաստուկը ինքնին թույլ է ամրացվում (90 %-ից պակաս): Ըստ ադհեզիայի մասնաբաժնի՝ որպես անընդհատ փոփոխականի, հաշվարկված (հետազոտվող դեղապատրաստուկ՝ հանած ռեֆերենտ դեղապատրաստուկ)՝ ադհեզիվության տարբերության 90-տոկոսանոց վստահելի միջակայքի ստորին սահմանը չպետք է լինի 10 %-ից պակաս:
12. Բացի այդ, պետք է գնահատել և համեմատել՝
ադհեզիայի մասնաբաժինը բոլոր ժամանակային կետերում, որպեսզի գնահատվի հետազոտության ընթացքում ադհեզիայի փոփոխության դինամիկան.
սուբյեկտների մասնաբաժինը, որոնք յուրաքանչյուր գնահատվող ժամանակային կետում պահպանում են ավելի քան 90-տոկոսանոց ամրացում.
բոլոր ժամանակային կետերում պոկվածության էական աստիճան (մաշկից հեռացումը կամ սպեղանու կեսից ավելի պոկումը) ունեցող՝ յուրաքանչյուր հետազոտվող դեղապատրաստուկի սուբյեկտների մասնաբաժինր.
յուրաքանչյուր ժամանակային կետում ամբողջությամբ պոկված սպեղանիների թիվը:
Անհրաժեշտ է նաև վերլուծել սպեղանիների՝ ամբողջությամբ պոկվելու և թույլ ամրացվելու դեպքերը՝ սահմանելով հնարավոր պատճառները և ռիսկի գործոնները:
13. Ադհեզիայի որակական գնահատման դեպքում անհրաժեշտ է հաշվի առնել հետևյալ գործոնները՝
ձերբազատող շերտը և վերմաշկային սպեղանին հեռացնելիս ազդող նյութի մնացորդների առկայությունը.
սպեղանու տակից ադհեզիվ նյութի արտահոսքը, որը կարող է հանգեցնել, օրինակ, վերմաշկային սպեղանու շուրջ մուգ օղակի առաջացման, սպեղանու շարժունության կամ պոկվելու, ծալքերի առաջացման:
Հետազոտության արդյունքները պետք է ներառել դեղապատրաստուկի ընդհանուր բնութագրի մեջ:
|
ՀԱՎԵԼՎԱԾ ԹԻՎ 3 |
ՑՈՒՑՈՒՄՆԵՐ
in vitro և in vivo ստացված տվյալների համահարաբերությունը որոշելու վերաբերյալ
I. Ընդհանուր դրույթներ
1. In vitro և in vivo ստացված տվյալների համահարաբերությունը (IVIVC) մաթեմատիկական մոդել է, որը բնութագրում է դեղաձևի՝ in vitro սահմանված հատկության (գլխավորապես ազդող նյութի լուծման կամ ձերբազատման) և in vivo-ի համապատասխան պատասխանի (գլխավորապես ազդող նյութի պլազմային կոնցենտրացիայի և դրա աբսորբված քանակի) միջև կախվածությունը։ Նման կախվածությունն առաջանում է, եթե միայն ազդող նյութի՝ դեղապատրաստուկից ձերբազատումը թույլ է տալիս վերահսկել պլազմայում ազդող նյութի ի հայտ գալու արագությունը։
2. Մոդիֆիկացված ձերբազատմամբ դեղապատրաստուկը մշակելիս առաջարկվում է ուսումնասիրել IVIVC-ն՝
ա) ազդող նյութի՝ դեղապատրաստուկից in vivo ձերբազատումը և ազդող նյութի աբսորբման վրա դեղաձևի ազդեցությունը որոշելու համար.
բ) լուծման փորձարկումների in vitro ստացված արդյունքների՝ նշանակալիությունն in vivo որոշելու և լուծման մասնագրերում համապատասխան ցուցանիշների ընտրության համար.
գ) դեղապատրաստուկի կլինիկական մշակման վերջին փուլերում կամ դեղաձևի բաղադրությունը փոխելիս հետգրանցումային փուլում բիովեյվերի անցկացումը հիմնավորելու համար։
3. Առանձնացնում են IVIVC-ի մի քանի մակարդակներ՝ A, B և C։ IVIVC-ի A մակարդակը՝ ի տարբերություն B և C մակարդակների, թույլ է տալիս հաստատել կետային կախվածությունը պատրաստուկի in vitro լուծման կորագծի և «կոնցենտրացիա-ժամանակ» in vivo պրոֆիլի միջև ու մոդիֆիկացված ձերբազատմամբ դեղապատրաստուկների համար ցանկալի մակարդակ է։ Եթե IVIVC-ն օգտագործվում է բիովեյվերի անցկացման նպատակով, ապա A մակարդակի համահարաբերությանը հասնելը պարտադիր պայման է։
4. IVIVC-ի պիտանիությունը պայմանավորված է նրանով, թե որքան ճիշտ է այն կանխատեսում ձեռք բերվող պլազմային կոնցենտրացիան՝ in vitro ստացված տվյալների ցանկացած բազմությունից։ Դա իր հերթին գլխավորապես պայմանավորված է IVIVC-ն սահմանելու և վալիդացնելու համար կիրառված՝ in vitro և in vivo հետազոտությունների դիզայնով։
II. Հետազոտության դիզայնը
5. Խաչաձև հետազոտությունում առողջ կամավորներին տալիս են լուծման պրոֆիլներով տարբերվող նույն ձերբազատման մեխանիզմով 2 կամ ավելի դեղապատրաստուկ և ռեֆերենտ դեղապատրաստուկի համապատասխան դեղաձև (դեկոնվոլյուցիայի նպատակով)՝ ազդող նյութի արագ ձերբազատմամբ (օրինակ՝ ներքին ընդունման լուծույթ կամ սովորական ձերբազատմամբ դեղապատրաստուկ)։ Նաև կարող են նախատեսվել հետազոտությունների այլընտրանքային դիզայններ (օրինակ՝ զուգահեռ, ռանդոմացված՝ կամ մասնակի, կամ ամբողջությամբ), որոնց ընտրությունն իրականացվում է կախված մոդիֆիկացված ձերբազատմամբ դեղապատրաստուկի հատկություններից, ազդող նյութի դեղակինետիկ ցուցանիշների փոփոխականությունից, այդ ազդող նյութի տանելիությունից և այլն։ Մոդիֆիկացված ձերբազատմամբ դեղապատրաստուկի IVIVC հետազոտությունն անցկացնում են անոթի, նույնիսկ եթե այդ պատրաստուկը խորհուրդ է տրվում ընդունել սննդի հետ։ Պլազմայի կամ արյան մեջ ազդող նյութի (ելանյութի կամ այլ համապատասխան անալիտի) պարունակությունը որոշվում է Եվրասիական տնտեսական հանձնաժողովի խորհրդի 2016 թվականի նոյեմբերի 3-ի թիվ 85 որոշմամբ հաստատված՝ Եվրասիական տնտեսական միության շրջանակներում դեղապատրաստուկների կենսահամարժեքության հետազոտությունների անցկացման կանոններին համապատասխան։
6. IVIVC-ի ստեղծման և վալիդացման համար օգտագործված պատրաստուկների համար ուսումնասիրված ընդգրկույթից դուրս արտարկում թույլ չի տրվում՝ այդ դեղապատրաստուկների գրանցման և շրջանառության նկատմամբ վերահսկողություն իրականացնելու նպատակներով (օրինակ՝ դրանց համար մասնագրեր կազմելիս կամ բիովեյվերի գրանցման ժամանակ անցկացնելիս)։ Այսպիսով, գնահատման համար դեղապատրաստուկների ընտրությունը պահանջում է հանգամանորեն վերլուծություն՝ հաշվի առնելով այնպիսի գործոնները, ինչպիսիք են ազդող նյութի ձերբազատման մեխանիզմը, դեղապատրաստուկների միջև բավարար տարբերությունների ապահովման եղանակը և այլն՝ Ներքին ընդունման մոդիֆիկացված ձերբազատմամբ դեղաձևով դեղապատրաստուկների որակի վերաբերյալ ձեռնարկին համապատասխան (Եվրասիական տնտեսական հանձնաժողովի կոլեգիայի 2018 թվականի հունվարի 16-ի թիվ 2 հանձնարարականի հավելված)։ Քանի որ ցանկացած ազդող նյութի «կոնցենտրացիա-ժամանակ» պրոֆիլի զգայունությունը պայմանավորված է դրա սեփական դեղակինետիկ հատկություններով, ապա պատրաստուկների ընտրությունը պետք է հիմնված լինի «պլազմային կոնցենտրացիա-ժամանակ» ակնկալվող պրոֆիլի վրա (IVIVC-ի թեորետիկ կախվածության կամ հնարավոր կախվածությունների բազմության և ազդող նյութի հայտնի դեղակինետիկ հատկությունների օգտագործման նմանակում)։
7. Միևնույն դեղապատրաստուկի տարբեր դոզավորումները, որպես կանոն, չեն դիտարկվում որպես ձերբազատման տարբեր արագություններ ներկայացնող, չնայած այն բանին, որ IVIVC-ի սահմանման կամ արտաքին կանխատեսելիության գնահատման համար թույլատրվում է տարբեր դոզավորումների օգտագործումը։ Այդ իսկ պատճառով տարբեր պատրաստուկների լուծման պրոֆիլների տարբերության գնահատումը, որպես կանոն, հիմնվում է ազդող նյութի անվանական (կամ փաստացի) պարունակությունից տոկոսի վրա:
1. Ռեֆերենտ դեղապատրաստուկի համապատասխան դեղաձևի ընտրությունը դեկոնվոլյուցիայի համար
8. Դեկոնվոլյուցիայի համար ռեֆերենտ դեղապատրաստուկի դեղաձևն արագ ձերբազատմամբ պատրաստուկ է, որը ներառված է IVIVC հետազոտություններում՝ մոդիֆիկացված ձերբազատմամբ յուրաքանչյուր հետազոտվող դեղապատրաստուկից ազդող նյութի in vivo ձերբազատումը՝ որպես ժամանակից ֆունկցիա գնահատելու նպատակով։ Ներքին ընդունման մոդիֆիկացված ձերբազատմամբ դեղապատրաստուկների «in vivo ձերբազատում-ժամանակ» պրոֆիլը, որպես կանոն, ստանում են դեկոնվոլյուցիայի միջոցով։ Դա արտացոլում է in vivo ազդող նյութի իրական ձերբազատումը՝ եթե միայն ռեֆերենտ դեղապատրաստուկի դեղաձևը ներքին ընդունման լուծույթ է (ստամոքսում կամ աղեստամոքսային տրակտում այդ լուծույթը նստվածք չի առաջացնում)։ Եթե սովորական ձերբազատմամբ պատրաստուկի լուծման արագությունը գերազանցում է դրա աբսորբումը (ինչը, որպես կանոն, պահպանվում է մոդիֆիկացված ձերբազատմամբ դեղապատրաստուկի մշակման համար ընտրված ազդող նյութերի համար), ապա հետազոտություններում՝ որպես ռեֆերենտ դեղապատրաստուկի դեղաձև, թույլատրվում է օգտագործել սովորական ձերբազատմամբ դեղապատրաստուկներ, որոնցից ազդող նյութի ձերբազատումը մոտ է մոդիֆիկացված ձերբազատմամբ դեղապատրաստուկներից՝ in vivo ազդող նյութի ձերբազատմանը։ Որոշ դեպքերում՝ որպես ռեֆերենտ դեղապատրաստուկի դեղաձև, IVIVC-ի համար օգտագործվում է ներերակային ներմուծման դեղապատրաստուկ, որը նաև թույլ է տալիս հասնել in vivo ազդող նյութի ձերբազատման՝ մոդիֆիկացված ձերբազատմամբ դեղապատրաստուկի համեմատ՝ մոտ ցուցանիշների, եթե ներերակային ներմուծման դեղապատրաստուկի աբսորբումը բավականին արագ է (օրինակ՝ բարձր ներթափանցման ունակությամբ ազդող նյութերի մոտ)։ Եթե ազդող նյութի ներթափանցման ունակությունը՝ ի լրումն դեղապատրաստուկից դրա ձերբազատմանը, ազդում է ազդող նյութի՝ մոդիֆիկացված ձերբազատմամբ դեղապատրաստուկներից աբսորբման արագության վրա, ապա ռեֆերենտ դեղապատրաստուկի օպտիմալ դեղաձևը ներքին ընդունման լուծույթն է (նախընտրելի է, քան ներերակային ներմուծման դեղապատրաստուկը և սովորական ձերբազատմամբ դեղապատրաստուկը)։ Ցածր լուծելիությամբ և (կամ) ներթափանցման ունակությամբ ազդող նյութերի նկատմամբ, հատկապես եթե ներթափանցման ունակությունը փոխվում է աղեստամոքսային տրակտի երկայնքով, կարող են արժեք ներկայացնել ֆիզիոլոգիապես հիմնավորված դեղակինետիկ մոդելի (այսուհետ՝ ՖՀԴԿ-մոդել) վրա հիմնված՝ IVIVC-ի նկատմամբ մոտեցումները։
9. Միջմկանային (ենթամաշկային) դեպո պատրաստուկների IVIVC-ն գնահատելիս ռեֆերենտ դեղապատրաստուկի համապատասխան դեղաձևը այնպիսի ջրային լուծույթ է, որը ներմուծվում է (նախընտրելի է) միջմկանային (ենթամաշկային) դեպո պատրաստուկի ներմուծման միևնույն եղանակով, կամ ներերակային ներմուծման դեղապատրաստուկ է։ Վերմաշկային առաքման համակարգերի համար ռեֆերենտ դեղապատրաստուկի պատշաճ դեղաձևը ներերակային ներմուծման պատրաստուկն է։
10. Ռեֆերենտ դեղապատրաստուկի ընտրված դեղաձևն անհրաժեշտ է ներառել յուրաքանչյուր հետազոտության մեջ, որի տվյալներն օգտագործվելու են IVIVC-ն սահմանելու, ինչպես նաև ազդող նյութի կոնցենտրացիայի փոփոխման ներքին կամ արտաքին կանխատեսելիությունը գնահատելու համար։ IVIVC հետազոտություններում ռեֆերենտ դեղապատրաստուկի ընտրված դեղաձևի ներառման առավելությունը՝ IVIVC-ի հաջող սահմանման և վալիդացման հավանականությունը բարձրացնելն է, հատկապես ազդող նյութի կոնցենտրացիայի կանխատեսելիության արտաքին գնահատման նպատակների համար։ Ռեֆերենտ դեղապատրաստուկի՝ պատշաճորեն ընտրված դեղաձևը հաջող IVIVC-ի դիզայնի ամենակարևոր տարրերից մեկն է, քանի որ այն թույլ է տալիս անհատական կարգով նորմալացնել տարբերություններն ազդող նյութի դեղակինետիկայում։ Ռեֆերենտ դեղապատրաստուկի դեղաձևը ներառվում է տվյալների վերլուծության յուրաքանչյուր մեթոդի մեջ՝ ինչպես ներքին, այնպես էլ արտաքին վալիդացման ժամանակ և հատկապես կարևոր է, եթե միջանհատական փոփոխականությունը չափավոր կամ բարձր է, իսկ հետազոտության սուբյեկտների քանակը դա չի համակշռում։ Եթե փոփոխականությունը ցածր է և (կամ) սուբյեկտների թիվը բավականին մեծ է, ապա IVIVC-ն հնարավոր է սահմանել և հաջողությամբ վալիդացնել՝ առանց ռեֆերենտ դեղապատրաստուկի ընտրված դեղաձևն օգտագործելու (օրինակ՝ գիտական գրականության կամ պոպուլյացիոն դեղակինետիկայի նախկինում ստեղծված մոդելի տվյալների օգտագործման միջոցով)։ Տեղեկացված որոշում կայացնելու նպատակով այն օպտիմալ է սահմանել նմանակման (սիմուլյացիոն) մոդելավորման օգնությամբ՝ օգտագործելով դեղակինետիկ ցուցանիշների հայտնի փոփոխականությունը և հետազոտության առաջարկվող դիզայնը։ Մոդիֆիկացված ձերբազատմամբ վերարտադրված պատրաստուկների համար կարելի է օգտագործել մոդիֆիկացված ձերբազատմամբ ռեֆերենտ դեղապատրաստուկի դեղաձևը հետազոտության տարբեր սուբյեկտների մոտ՝ դեղապատրաստուկների ազդող նյութերի քլիրենսում տարբերությունները նորմալացնելու նպատակով, սակայն այդ եղանակը քիչ հուսալի է։ Տվյալ ռազմավարությունը կարելի է նաև գնահատել նմանակման միջոցով՝ հաշվի առնելով ռեֆերենտ դեղապատրաստուկի և մոդիֆիկացված ձերբազատմամբ մյուս ռեֆերենտ պատրաստուկների ընտրված դեղաձևի փոփոխականությունը։
2. Նմուշառման ժամանակը
11. In vitro նմուշառման ժամանակային կետերի ընտրության հարցերը քննարկվում են Ներքին ընդունման մոդիֆիկացված ձերբազատմամբ դեղապատրաստուկների որակի վերաբերյալ ձեռնարկում։ Լուծման in vitro հետազոտություններում և արյան (պլազմայի) նմուշների in vivo հետազոտությունում նմուշառման ժամանակային կետերի ընտրության ժամանակ անհրաժեշտ է հաշվի առնել այն, որ IVIVC-ի վերլուծությունում տվյալները միավորվելու են։ Այդ պատճառով IVIVC-ի հետազոտությունը (ներառյալ in vitro լուծման փորձարկումը) պլանավորելիս առաջարկվում է հետևել ամբողջական մոտեցմանը։
12. Արյան (պլազմայի) նմուշառման ժամանակային կետերի ընտրությունն ավելի լավ է կատարել IVIVC-ի հետազոտության նպատակների համար արտադրված կլինիկական սերիաների in vitro ձերբազատման փաստացի (կամ մոդելավորված) տվյալների օգտագործմամբ՝ մոդելավորման հիման վրա։ Եթե in vitro լուծման վրա ազդում են pH-ի ցուցանիշը կամ թիակային խառնիչի (զամբյուղի) պտտման արագությունը, ընկղմումների քանակը մեկ րոպեում (dpm) կամ հոսքի արագությունը (պայմանավորված ապարատի տեսակով), ապա նպատակահարմար է իրականացնել մոդելավորում՝ օգտագործելով in vitro լուծման պրոֆիլների բազմությունը՝ in vivo պայմաններում վարքագծի հնարավոր տարբերակների բազմությունն ընդգրկելու համար նմուշառման ռեժիմ կազմելու նպատակով։ Բացի այդ՝ IVIVC-ի հավանական կախվածության որոշակի նախնական ընկալման առկայության դեպքում լավ կլինի այն ներառել սկզբնական մոդելավորման մեջ։ Օրինակ՝ ներարկման եղանակով ներմուծվող՝ հսկվող ձերբազատմամբ պատրաստուկների նկատմամբ լուծման in vitro փորձարկումը ստանդարտ մեթոդիկայի դեպքում անցկացնում են 24-48 ժամվա ընթացքում, մինչդեռ in vivo դեղապատրաստուկի ազդող նյութի ներթափանցման ենթադրյալ տևողությունը կազմում է 1-2 ամիս։ Այսպիսով, in vivo օրգանիզմի մեջ ազդող նյութի ակնկալվող ներթափանցման ավելի իրական պատկերը ստեղծելու և հետազոտվող պատրաստուկների նմուշառման պատշաճ ժամանակային կետերի ավելի լավ ընտրության համար ժամանակային գործոնը (կամ, in vivo ակնկալվող ձերբազատման անորոշությունը հաշվի առնելու նպատակով, մի քանի գործոնները) կարելի է նախապես որոշել և ներառել մոդելում։
3. Հետազոտության սուբյեկտների քանակը
13. IVIVC-ի հետազոտության մեջ ընդգրկվելու ենթակա՝ սուբյեկտների քանակը պայմանավորված է դեղապատրաստուկի ազդող նյութի աբսորբման միջանհատական փոփոխականությամբ և ներանհատական փոփոխականությամբ ու դեղակինետիկայով։ Չնայած հստակ հանձնարարականներ տալու անհնարինությանը, պրագմատիկ մոտեցումը՝ IVIVC-ի խաչաձև հետազոտության մեջ առնվազն 12 սուբյեկտ ներառելն է։
III. IVIVC-ի սահմանումը և վալիդացումը
1. Ընդհանուր դրույթներ
14. IVIVC-ն սահմանելու վերջնական նպատակը՝ մոդիֆիկացված ձերբազատմամբ պատրաստուկի պլազմային կոնցենտրացիայի՝ ժամանակի ընթացքում փոփոխության դինամիկայի հուսալի կանխատեսումն է՝ in vitro ձերբազատման տվյալների հիման վրա։ Ընդհանուր առմամբ, այդ նպատակների համար թույլատրելի է օգտագործել ցանկացած՝ գիտականորեն հիմնավորված հետազոտության մեթոդ։ Քանի որ հետազոտության մեթոդները շարունակում են զարգանալ, ապա ընդունելի մեթոդների ցանկը չի քննարկվում որպես սպառիչ։ Քանի որ IVIVC-ի սահմանման նպատակը in vitro ձերբազատման տարբեր տվյալների օգնությամբ կանխատեսումն է՝ առանց մոդիֆիկացված ձերբազատմամբ պատրաստուկի կիրառումից հետո ձեռք բերվող՝ in vivo պլազմային կոնցենտրացիայի մասին տվյալներ ստանալու, ապա պարտադիր պայման է IVIVC-ի մեկ կախվածության կիրառելիությունը բոլոր այն պատրաստուկների նկատմամբ, որոնք օգտագործվել են դրա ստեղծման և վալիդացման ժամանակ։
2. Տվյալների վերլուծության թույլատրելի մեթոդները
15. IVIVC-ի մոդելավորմանը մաթեմատիկական մոտեցումների երկու հիմնական կատեգորիաները միա- և երկփուլ մեթոդներն են։ Երկփուլ մեթոդը հիմնված է դեկոնվոլյուցիայի վրա։ Միափուլ մեթոդներին են դասվում կոնվոլյուցիայի վրա հիմնված մեթոդը և դիֆերենցիալ հավասարումների ու ՖՀԴԿ-մոդելների օգտագործման վրա հիմնված մեթոդը։
16. Դեկոնվոլյուցիայի վրա հիմնված մեթոդները ներառում են տվյալների վերլուծության 2 փուլեր և կարող են օգտագործվել որպես IVIVC-ի վերլուծության հիմնական մեթոդ կամ որոնողական վերլուծության նպատակով՝ կանխելով միափուլ մեթոդը (մեթոդները)։ Առաջին փուլում իրականացվում է դեկոնվոլյուցիա՝ in vivo աբսորբման դինամիկան գնահատելու նպատակով։ Կամերային մոդելների փոխարեն նախընտրելի է օգտագործել այնպիսի ոչ կամերային մոդելներ, ինչպիսիք են Վագների-Նելսոնի կամ Լու-Ռիգելմանի մոդելը։ Դեկոնվոլյուցիայի կատարման մեթոդիկաները ներառված են՝ դեղակինետիկ անալիզի կատարման համար ծրագրային ապահովման կազմում։ Որպես կանոն, դրանք ներառում են յուրաքանչյուր սուբյեկտի համար եզակի ազդակի պատասխանի (CԲ)՝ ռեֆերենտ դեղապատրաստուկի դեղաձևի տվյալներին ֆունկցիայի համար կորի հարմարեցում՝ առանձին սուբյեկտի մոտ մոդիֆիկացված ձերբազատմամբ յուրաքանչյուր դեղապատրաստուկի համար ստացված տվյալների հետագա դեկոնվոլյուցիայով, հետևյալ ֆունկցիոնալ կախվածության համաձայն, in vivo ներթափանցման (աբսորբման) արագությունը (r(t)) ստանալու նպատակով՝
որտեղ՝
C-ն՝ պլազմային կոնցենտրացիան է.
Cδ-ն՝ եզակի ազդակին պատասխանն է (այսինքն ազդող նյութի եզակի դեղաչափի ակնթարթային աբսորբումից հետո ձևավորվող պլազմային կոնցենտրացիայի պրոֆիլն է).
*՝ կոնվոլյուցիայի օպերատորն է։
17. Երկրորդ փուլում սահմանում են՝ in vivo կուտակված աբսորբման և in vitro ազդող նյութի ձերբազատման միջև կախվածությունը։ Մաթեմատիկական մոդելավորման մեջ ընդունված ցուցումներին համապատասխան՝ անհրաժեշտ է ձգտել խնայողությանը և տվյալների նկարագրության համար օգտագործել պարզագույն մոդել։ Սովորաբար օգտագործում են աճող բարդությամբ մոդելներ, սկսած գծային կախվածություններից և այնուհետև, անհրաժեշտության դեպքում, դրանք բարդացնելով՝ հաշվի առնելով կենսաբանական ճշմարտանմանությունը։ Չնայած՝ in vivo աբսորբման և in vitro ձերբազատման միջև գծային կախվածություն ստանալու ձգտմանը, այն պարտադիր չէ։ Դրանից բացի առկա է ֆիզիոլոգիական և ֆիզիկաքիմիական գործոնների բազմություն, որոնք այն դարձնում են քիչ հավանական։ Դեղապատրաստուկի բաղադրությունը, ազդող նյութի in vitro և in vivo ձերբազատումը հսկող՝ ֆիզիկաքիմիական, դեղակինետիկ և ֆիզիոլոգիական գործոնները հաշվի առնելու վրա հիմնված հիմնավորման առկայության դեպքում թույլատրվում է բոլոր դեղապատրաստուկների համար IVIVC-ի նկարագրության նպատակով օգտագործել կախվածության ցանկացած տեսակ՝ ներառյալ սիգմանման կախվածությունն ըստ Հիլի մոդելի, ինչպես նաև օգտագործել աբսորբման ոչ լրիվությունը հաշվի առնող՝ ժամանակի և ժամանակային տեղաշարժերի մասշտաբավորման պարամետրերն ու դրանց նկատմամբ մոտեցումները (օրինակ՝ ներքին ընդունման դեղապատրաստուկների համար սահմանել աբսորբման ընդհատման ժամանակը)։ Յուրաքանչյուր պատրաստուկի համար ժամանակի տարբեր ընդգրկույթները մատնանշում են պատրաստուկների համար IVIVC-ի միասնական կախվածության բացակայությունը։ Դեկոնվոլյուցիայի վրա հիմնված մեթոդները հատկապես օգտակար են մոդելի կառուցման ընթացքում տվյալների որոնողական վերլուծության ժամանակ, քանի որ դրանք տալիս են գրաֆիկական պատկեր (in vivo աբսորբված կուտակված քանակը՝ in vitro ձերբազատված կուտակված քանակի համեմատ, և Լևիի գրաֆիկները՝ in vivo դեղաչափի որոշակի մասի աբսորբման ժամանակը՝ in vitro դեղաչափի որոշակի մասի ձերբազատման ժամանակի համեմատ)։ Այդ պատկերը կարելի է օգտագործել IVIVC-ի կախվածության համար համապատասխան մոդելների հայտնաբերման և մոդելավորման միափուլ մեթոդների համար անհրաժեշտ՝ պարամետրերի անհրաժեշտ սկզբնական գնահատականներն ստանալու համար։
18. Դիֆերենցիալ հավասարման, կոնվոլյուցիայի, ինչպես նաև ՖՀԴԿ-մոդելների վրա հիմնված մեթոդները դիտարկվում են որպես միափուլ, քանի որ մոդելավորումը ներառում է ստացված տվյալների ուղղակիորեն՝ առանց փոխակերպումների (այսինքն առանց դեկոնվոլյուցիայի) օգտագործումը։ Միափուլ մոտեցումները դեկոնվոլյուցիայի վրա հիմնված մեթոդների համեմատ մի շարք առավելություններ են տալիս, քանի որ մոդելն ուղղակիորեն կանխատեսում է «պլազմային կոնցենտրացիա-ժամանակ» պրոֆիլը. մոդելավորումը կենտրոնացված է չափելի քանակը, այլ ոչ թե անուղղակիորեն հաշվարկված քանակը, օրինակ՝ աբսորբված կուտակված քանակը կանխատեսելու ունակության վրա։ Բացի այդ, այդ արդյունքները հեշտությամբ են մեկնաբանվում՝ կենսահամարժեքության ստանդարտ պարամետրերի վրա in vitro ձերբազատման ազդեցության տեսանկյունից։ Կամերային մոտեցումը թույլ է տալիս ոչ գծային (օրինակ՝ Միքայելիս-Մենտենի մոդելով նկարագրվող) դեղակինետիկա, մինչդեռ կոնվոլյուցիայի վրա հիմնված մեթոդը ենթադրում է միայն գծային կինետիկա։ Չնայած նրան, որ կոնվոլյուցիայի և դիֆերենցիալ հավասարման վրա հիմնված մեթոդները միափուլ են, դրանք տարբերվում են ազդող նյութի in vitro ձերբազատման և պլազմային կոնցենտրացիայի միջև կախվածության ձևով։ Կոնվոլյուցիայի վրա հիմնված մոտեցման դեպքում օգտագործվում է սույն ցուցումների 16-րդ կետում բերված՝ մոդիֆիկացված ձերբազատմամբ պատրաստուկի կոնցենտրացիայի (C(t)), in vivo ներթափանցման (աբսորբման) տրված արագության (r(t)) և եզակի ազդակի պատասխանի (Cδ) միջև կախվածության ինտեգրալ փոխակերպումը։
Դիֆերենցիալ հավասարումների օգտագործման վրա հիմնված մոտեցումը կիրառելիս օգտագործվում է ազդող նյութի դեղակինետիկայի նկարագրության ավանդական կամերային մոդելը, որը նաև իր մեջ ներառում է օրգանիզմ դրա ներթափանցումը նկարագրող ֆունկցիան։
Երկու դեպքերում IVIVC-ի հավասարումը որոշում է in vitro ազդող նյութի (rdis(t)) ձերբազատման և in vivo դրա աբսորբման (r(t)) միջև կախվածությունը։ Կախվածության ամենապարզ դեպքում ազդող նյութի լուծվելու պրոցեսն ամբողջությամբ բնութագրում է դրա աբսորբման արագությունը՝
r(t) = rdis(t)
IVIVC-ն նկարագրելիս թույլատրվում է օգտագործել տարբեր ավելի բարդ ֆունկցիաներ, որոնք հաշվի են առնում աբսորբման գաղտնի շրջանները, in vivo լուծման և in vivo աբսորբման ժամկետներում տարբերությունը, ինչպես նաև աղեստամոքսային տրակտի տարբեր հատվածներում ներթափանցման ունակության փոփոխությունը։ Օրինակ, հետևյալ հավասարումն այնպիսի փոփոխականներ է ներառում, ինչպիսիք են գաղտնի շրջանը (t0), մասշտաբավորման գործոնը (s1), ոչ լրիվ աբսորբումը և in vitro լուծումն ու in vivo աբսորբումը նկարագրելու համար տարբեր միավորների օգտագործումը հաշվի առնող մասշտաբավորման գործոնը (sr)՝
r(t) = sr ● rdis (t0 + s1 ● t)
Դիֆերենցիալ հավասարման կիրառման վրա հիմնված մոտեցման դեպքում օգտագործվում է ազդող նյութի դեղակինետիկայի ավանդական կամերային մոդելը, որում նաև ներառվում է ներթափանցման ֆունկցիան։ Որպես այլընտրանք կարելի է օգտագործել ՖՀԴԿ-մոդելը։ Այս մոդելով պետք է նկարագրվի ազդող նյութի ազդեցության մեխանիզմը և առկա լինեն փորձարարական տվյալներ՝ հետազոտվող ազդող նյութի աբսորբման, մետաբոլիզմի, բաշխման և էլիմինացման փուլերը պատշաճ նկարագրելու համար։ Դիֆերենցիալ հավասարման օգտագործման վրա հիմնված կոնվոլյուցիայի մեթոդի նման՝ ՖՀԴԿ-մոդելի օգտագործման դեպքում որպես ներթափանցում օգտագործվում է in vitro ձերբազատման պրոֆիլը, որը թույլ է տալիս ստանալ պլազմային պրոֆիլ, որն արտացոլում է in vivo պատրաստուկի ֆունկցիոնալ բնութագրերը՝ հետևյալ բանաձևի համաձայն.
r(t) = φabs(t)srrdis(t0 + s1t)
Երկփուլ մոտեցումն օգտագործելիս աբսորբման միջին պրոֆիլն ստանում են առանձին սուբյեկտների՝ աբսորբման պրոֆիլները միջինացնելուց հետո (այսինքն ըստ անհատական դեկոնվոլյուցիայի արդյունքների), այլ ոչ թէ «կոնցենտրացիա-ժամանակ» միջինացված պրոֆիլի դեկոնվոլյուցիայից հետո։ Եթե միայն in vitro լուծման տվյալներն ակնհայտ փոփոխական չեն, ապա միջին լուծման օգտագործումը նորմայում տվյալների վերլուծության արդյունքի վրա քիչ ազդեցություն է ունենում և դիտարկվում է որպես ընդունելի գործելակերպ։
IVIVC-ն նկարագրող մոդելի որակավորումը (ատեստավորումը) և կանխատեսող ունակության գնահատումը
19. IVIVC-ն նկարագրող մոդելի ընտրությունը պետք է հիմնված լինի ազդող նյութի ֆիզիկաքիմիական հատկությունների, դրա աբսորբման բնութագրերի, լուծման թեստի բնութագրերի և կանխատեսման համաձայնության աստիճանի ցուցանիշի գնահատման համար ընտրված չափանիշների վրա (օրինակ՝ կանխատեսման ստուգում՝ արդեն իսկ առկա տվյալների հիման վրա)։ IVIVC-ն նկարագրող մոդելի կիրառման նպատակը՝ մոդիֆիկացված պատրաստուկի in vitro լուծման տվյալների հիման վրա «պլազմային կոնցենտրացիա-ժամանակ» ակնկալվող պրոֆիլի բավականին ճիշտ կանխատեսման հնարավորությունն է։ Դա հաստատվում է կանխատեսվող և փաստացի կոնցենտրացիաների գրաֆիկական համեմատման ու ընդհանրացված պարամետրերի՝ ներառյալ առնվազն Cmax, AUC0–t և մասնակիAUC, կանխատեսման համար սխալների հաշվարկման միջոցով։
20. IVIVC-ի նկարագրության համար ՖՀԴԿ-մոդելն օգտագործելիս անհրաժեշտ է հաստատել, որ մոդելի հիման վրա հնարավոր է համեմատման պատրաստուկի համար տվյալների, ինչպես նաև մոդիֆիկացված ձերբազատմամբ հետազոտվող դեղապատրաստուկի տվյալների կանխատեսումը։ Մոդելի ֆունկցիոնալությունը հիմնավորելու համար անհրաժեշտ է ներկայացնել տվյալների բավարար ծավալ։
21. Մեծ մասամբ՝ IVIVC-ն նկարագրող մոդելներն in vivo «կոնցենտրացիա-ժամանակ» միջինացված պրոֆիլը կանխատեսելու նպատակով օգտագործում են in vitro միջինացված լուծումը։ Տվյալ մոտեցումն ունակ չէ պատշաճորեն հաշվի առնելու ազդող նյութի դեղակինետիկ պարամետրերի պատահական վարիացիաները՝ ոչ միայն in vitro, այլ նաև in vivo։ Այդ տեսանկյունից միափուլ մոտեցումները առավելություն ունեն, քանի որ դրանց կիրառմամբ կարելի է իրականացնել ոչ գծային խառը էֆեկտների վերլուծություն, որը թույլ է տալիս մոդելում ներառել անհատական փոփոխականությունը, ինչը պոտենցիալ կերպով բարելավում է մոդելի հուսալիությունը՝ նոր պատրաստուկների կենսահամարժեքության ցուցանիշները կանխատեսելիս։
22. Ընդհանուր առմամբ, IVIVC-ն նկարագրող մոդելը բավականաչափ ճշգրիտ է համարվում, եթե վիզուալ ստուգման հիման վրա հաջողվում է լավ կանխատեսել ամբողջ «կոնցենտրացիա-ժամանակ» պրոֆիլը, իսկ կանխատեսման սխալներն ընդունելի սահմաններում են գտնվում։ Ներքին կանխատեսելիությունը գնահատում են IVIVC-ի մոդելի «կոնցենտրացիա-ժամանակ» պրոֆիլի օգնությամբ՝ յուրաքանչյուր պատրաստուկի լուծման մասին համապատասխան տվյալների հիման վրա։ Ընդհանրացված պարամետրերը (Cmax և այլն) հաշվարկում են՝ ելնելով «կոնցենտրացիա – ժամանակ» կանխատեսվող պրոֆիլից և համեմատում են փաստացի տվյալների համապատասխան ընդհանրացված պարամետրերի հետ։ Բոլոր ընդհանրացնող պարամետրերի համար կանխատեսման սխալի բացարձակ արժեքը չպետք է գերազանցի 15 %-ը յուրաքանչյուր պատրաստուկի համար, իսկ կանխատեսման միջինացված սխալը՝ IVIVC-ի մշակման ժամանակ օգտագործված բոլոր պատրաստուկների համար չպետք է գերազանցի 10 %-ը՝ յուրաքանչյուր ընդհանրացնող պարամետրի համար։ Եթե առանձին պատրաստուկը ոչ ճշգրիտ է կանխատեսվում IVIVC-ի օգնությամբ, ապա թույլատրելի է վերամոդելավորել IVIVC-ը՝ բացառելով այդ պատրաստուկը, ինչը կհանգեցնի լուծման տվյալների ավելի նեղ ընդգրկույթի ներառմանը IVIVC-ի մեջ։ Հետագայում լուծման տվյալների հենց այդ ավելի նեղ ընդգրկույթով է որոշվելու այն ընդգրկույթը, որի սահմաններում IVIVC-ն ընդունվում է որպես կանխատեսվող, և դրանով իսկ ազդելու մասնագրերի ու բիովեյվերների հիմնավորման հնարավորության վրա։ Դեղապատրաստուկը մոդելավորումից բացառելիս պետք է պահպանվեն լուծման մասին տվյալները՝ առնվազն 2 պատրաստուկների համար, իսկ բացառումն անհրաժեշտ է հիմնավորել շեղումների հնարավոր պատճառների վերլուծությամբ (օրինակ՝ ձերբազատման մեխանիզմի, արտադրության գործընթացի հետևանքով)։
23. Ի լրումն՝ IVIVC-ի ձևական հետազոտության մեջ ներառված սերիաների օգտագործմամբ ներքին կանխատեսելիության գնահատմանն առաջարկվում է շարունակել հաստատել IVIVC-ի կիրառելիությունը՝ լրացուցիչ փորձնական սերիաներով (օրինակ՝ առանցքային հետազոտություններում օգտագործված, լայնամասշտաբ սերիաներով, in vivo ուսումնասիրված լրացուցիչ դեղաչափերով, բաղադրության հետագա փոփոխություններով և այլն)։ Լավագույն դեպքում in vitro ձերբազատման տարբերվող պրոֆիլներով պատրաստուկների դեղակինետիկ հետազոտություններ անցկացնելիս այդ տվյալներն անհրաժեշտ է օգտագործել in vitro լուծման՝ in vivo փորձարկման օգտին տվյալներն ստանալու կամ ամրապնդելու համար։ Դրան կարելի է հասնել՝ փոքրամասշտաբ սերիաների օգտագործմամբ IVIVC-ը և լայնամասշտաբ սերիաների օգտագործմամբ՝ արտաքին վալիդացումը խաչաձև որոշելու միջոցով։ Ցանկացած դեպքում՝ IVIVC-ի ցանկացած մշակման ժամանակ անհրաժեշտ է հաստատել, որ կախվածությունը ճիշտ է այն սերիաների համար, որոնք արտացոլում են շուկա դուրս բերվող պատրաստուկի հատկությունները։
24. Արտաքին կանխատեսելիության վերլուծության ընթացակարգը համընկնում է նախկինում մշակված IVIVC-ի օգտագործմամբ՝ վերևում նկարագրված ընթացակարգի հետ։ «Կոնցենտրացիա-ժամանակ» պրոֆիլը կանխատեսվում է՝ արտաքին վալիդացման նպատակով հետազոտության մեջ ընդգրկված արագ ձերբազատմամբ պատրաստուկի (այսինքն ռեֆերենտ դեղապատրաստուկի ընտրված դեղաձևի) դեղակինետիկայի և արտաքին վալիդացման համար օգտագործված որոշակի սերիայի in vitro լուծման տվյալների հիման վրա։ Կանխատեսման սխալի բացարձակ արժեքը բոլոր ընդհանրացված պարամետրերի համար չպետք է գերազանցի 10 %-ը՝ արտաքին վալիդացման համար օգտագործված յուրաքանչյուր պատրաստուկի համար։
In vitro և in vivo տվյալների համահարաբերության հետազոտությունների արդյունքների հիման վրա հաշվետվությունը
25. IVIVC-ն սահմանելու մասին հաշվետվությունը պետք է ներառի մոդիֆիկացված ձերբազատմամբ պատրաստուկով անցկացված in vivo բոլոր հետազոտությունների ցանկը, ինչպես նաև IVIVC-ի վերլուծության համար տվյալների ընտրության հիմնավորումը։ Տվյալների ցանկը պետք է ներառի in vitro լուծման անհատական տվյալները և ընդհանրացված վիճակագրական տվյալները, «պլազմային կոնցենտրացիա-ժամանակ» պրոֆիլի տվյալները, ստացված դեղակինետիկ պարամետրերը և ազդող նյութի կուտակված աբսորբված քանակը (ստացված դեկոնվոլյուցիայի եղանակով, նույնիսկ եթե մոդելի օգտագործման նպատակով կիրառվել է միափուլ մեթոդը)՝ բոլոր սերիաների համար։
26. IVIVC-ի գրաֆիկական արտացոլումը պետք է ներառի IVIVC-ի վերլուծության մեջ ներառված բոլոր պատրաստուկների ժամանակի ընթացքում in vitro լուծման տվյալները (նշելով կլինիկորեն նշանակալի սերիաները, օրինակ՝ իրացման համար նախատեսված պատրաստուկի սերիաները և այլն), ժամանակի միջակայքով պայմանավորված՝ ազդող նյութի կուտակված աբսորբված քանակը, ժամանակով պայմանավորված՝ աբսորբման արագության փոփոխությունը, ազդող նյութի լուծման և աբսորբման դինամիկայի համադրումը (in vitro և in vivo տվյալների միջև ժամանակի ընդգրկույթները, գաղտնի ժամանակահատվածները գնահատելու նպատակով), ժամանակի միևնույն պահին in vivo կուտակված աբսորբված քանակը (համեմատման պատրաստուկի նկատմամբ տոկոսներով)՝ in vitro ձերբազատված քանակի համեմատ (դեղաչափից տոկոսներով) (1:1 հարաբերակցության գերազանցումով, ռեգրեսիայի գծերով՝ անհրաժեշտության դեպքում)։ In vitro ձերբազատման և in vivo աբսորբման ժամանակահատվածների միջև ակնհայտ ժամանակային տարբերությունների առկայության դեպքում (այսինքն 1:1 հարաբերակցությունից շեղվելու դեպքում) օգտակար գրաֆիկական արտապատկերում է Լևիի գրաֆիկը (in vivo որոշակի մասի ձերբազատման ժամանակը՝ in vitro նույն մասի համար ձերբազատման ժամանակի համեմատ)։
27. Անհրաժեշտ է նկարագրել լուծման թեստի մեթոդը և հիմնավորել դրա պիտանիությունը՝ հաշվի առնելով ազդող նյութի ֆիզիկաքիմիական հատկությունները և այլն։
28. Անհրաժեշտ է ներկայացնել մոդելավորման և կիրառված ծրագրային ապահովման մեթոդաբանության լրիվ նկարագրությունը, ինչպես նաև որոշումներ կայացնելու հիմքերը, հիմնավորելով դրանք բաղադրության, in vitro և in vivo ազդող նյութի ձերբազատումը հսկող ֆիզիկաքիմիական, դեղակինետիկ և ֆիզիոլոգիական գործոնների վերլուծությամբ։ Դեկոնվոլյուցիայի կամերային մեթոդը (օրինակ՝ Վագների-Նելսոնի կամ Լու-Ռիգելմանի մոդելը) օգտագործելիս անհրաժեշտ է վերլուծել մոտեցման պիտանիությունը։
29. Անհրաժեշտ է ներկայացնել համապատասխանության աստիճանը բնութագրող գրաֆիկները, որոնք համապատասխանում են մոդելավորման օգտագործված մեթոդաբանությանը, ինչպես նաև պարամետրերի ամփոփիչ գնահատականները բոլոր մոդելավորված տվյալների համար (օրինակ՝ in vitro լուծում և in vivo աբսորբցիա՝ եթե մոդելում օգտագործվում է ինտերպոլյացիա, ինչպես նաև հենց IVIVC-ի մոդելի համար)։
30. Հաշվետվության ամփոփիչ աղյուսակում անհրաժեշտ է ներառել IVIVC-ի վերջնական մոդելի օգնությամբ կանխատեսված՝ «պլազմային կոնցենտրացիա-ժամանակ» պրոֆիլի տվյալները, ստացված պարամետրերը և դրանց հետ կապված կանխատեսման սխալը։ Անհրաժեշտ է ներկայացնել «կոնցենտրացիա-ժամանակ» կանխատեսումային և փաստացի պրոֆիլների գրաֆիկական համեմատությունը։
|
ՀԱՎԵԼՎԱԾ ԹԻՎ 4 |
ՑՈՒՑՈՒՄՆԵՐ
դեղապատրաստուկի պարզեցված գրանցման ժամանակ հետազոտությունների անցկացման վերաբերյալ
Աղյուսակ 1
Մեկ միավորից պատրաստուկ՝ երկարաձգված ձերբազատմամբ (համաձայն դեղապատրաստուկի ընդհանուր բնութագրի՝ պատրաստուկն ընդունում են անոթի կամ սնունդ ընդունելուց հետո)
|
Դոզավորումը |
Մեկանգամյա դոզավորմամբ հետազոտություն՝ անոթի ** |
Մեկանգամյա դոզավորմամբ հետազոտություն՝ սնունդ ընդունելուց հետո** |
Բազմակի դոզավորմամբ հետազոտություն՝ անոթի * |
|
բարձր |
այո |
այո |
այո |
|
միջին |
այո |
բիովեյվեր՝ ձևի նմանության դեպքում*** |
բիովեյվեր*** |
|
ցածր |
այո |
բիովեյվեր՝ ձևի նմանության դեպքում*** |
բիովեյվեր*** |
________________________
* Հետազոտության անցկացման անհրաժեշտության չափանիշները բերված են «Մոդիֆիկացված ձերբազատմամբ դեղապատրաստուկների կենսահամարժեքության դեղակինետիկ և կլինիկական ուսումնասիրություն անցկացնելուն ներկայացվող պահանջների» VI բաժնի 2-րդ ենթաբաժնում՝ Եվրասիական տնտեսական հանձնաժողովի խորհրդի 2016 թվականի նոյեմբերի 3-ի թիվ 85 որոշմամբ հաստատված՝ «Եվրասիական տնտեսական միության շրջանակներում դեղապատրաստուկների կենսահամարժեքության հետազոտությունների անցկացման կանոնների» թիվ 10 հավելված (այսուհետ՝ Պահանջներ):
** Պահանջների VI բաժնի 7-րդ ենթաբաժնում բերված՝ հետազոտության անցկացման չափանիշները կատարելիս հնարավոր է սահմանային տարբերակների ընտրությունը:
*** Եթե կատարվում են Պահանջների VI բաժնում բերված՝ հետազոտությունների անցկացման չափանիշները, ապա հնարավոր է որոշ դոզավորումների բիովեյվերը կամ սահմանային տարբերակների ընտրությունը:
Աղյուսակ 2
Մեկ միավորից պատրաստուկ՝ երկարաձգված ձերբազատմամբ (համաձայն դեղապատրաստուկի ընդհանուր բնութագրի՝ պատրաստուկն ընդունում են սնունդ ընդունելուց հետո)
|
Դոզավորումը |
Մեկանգամյա դոզավորմամբ հետազոտություն՝ անոթի ** |
Մեկանգամյա դոզավորմամբ հետազոտություն՝ սնունդ ընդունելուց հետո** |
Բազմակի դոզավորմամբ հետազոտություն՝ անոթի * |
|
բարձդ |
այո |
այո |
այո |
|
միջին |
բիովեյվեր՝ ձևի նմանության դեպքում*** |
այո |
բիովեյվեր*** |
|
ցածր |
բիովեյվեր՝ ձևի նմանության դեպքում*** |
այո |
բիովեյվեր*** |
Աղյուսակ 3
Բազմամիավոր պատրաստուկ՝ երկարաձգված ձերբազատմամբ (համաձայն դեղապատրաստուկի ընդհանուր բնութագրի՝ պատրաստուկն ընդունում են անոթի, կամ անոթի կամ սնունդ ընդունելուց հետո)
|
Դոզավորումը |
Մեկանգամյա դոզավորմամբ հետազոտություն՝ անոթի |
Մեկանգամյա դոզավորմամբ հետազոտություն՝ սնունդ ընդունելուց հետո |
Բազմակի դոզավորմամբ հետազոտություն՝ անոթի * |
|
բարձր |
այո |
այո |
այո |
|
միջին |
բիովեյվեր** |
բիովեյվեր** |
բիովեյվեր** |
|
ցածր |
բիովեյվեր** |
բիովեյվեր** |
բիովեյվեր** |
________________________
* Հետազոտության անցկացման անհրաժեշտության չափանիշները բերված են Պահանջների VI բաժնի 2-րդ բաժնի ենթաբաժնում:
** Պահանջների VI բաժնի 7-րդ ենթաբաժնում բերված՝ հետազոտությունների անցկացման չափանիշները կատարելիս հնարավոր է սահմանային տարբերակների ընտրությունը:
*** Եթե կատարվում են Պահանջների VI բաժնում բերված՝ հետազոտությունների անցկացման չափանիշները, ապա հնարավոր է որոշ դոզավորումների բիովեյվերը կամ սահմանային տարբերակների ընտրությունը:
* Հետազոտության անցկացման անհրաժեշտության չափանիշները բերված են Պահանջների VI բաժնի 2-րդ բաժնի ենթաբաժնում:
** Եթե կատարվում են Պահանջների VI բաժնում բերված՝ հետազոտության անցկացման չափանիշները, ապա հնարավոր է որոշ դոզավորումների բիովեյվերը կամ սահմանային տարբերակների ընտրությունը:
Աղյուսակ 4
Բազմամիավոր պատրաստուկ՝ երկարաձգված ձերբազատմամբ (համաձայն դեղապատրաստուկի ընդհանուր բնութագրի՝ պատրաստուկն ընդունում են սնունդ ընդունելուց հետո)
|
Դոզավորումը |
Մեկանգամյա դոզավորմամբ հետազոտություն՝ անոթի |
Մեկանգամյա դոզավորմամբ հետազոտություն՝ սնունդ ընդունելուց հետո |
Բազմակի դոզավորմամբ հետազոտություն՝ անոթի * |
|
բարձր |
այո |
այո |
այո |
|
միջին |
բիովեյվեր** |
բիովեյվեր** |
բիովեյվեր** |
|
ցածր |
բիովեյվեր** |
բիովեյվեր** |
բիովեյվեր** |
Աղյուսակ 5
Մեկ միավորից պատրաստուկ՝ հետաձգված ձերբազատմամբ (համաձայն դեղապատրաստուկի ընդհանուր բնութագրի՝ պատրաստուկն ընդունում են անոթի, կամ անոթի կամ սնունդ ընդունելուց հետո)
|
Դոզավորումը |
Մեկանգամյա դոզավորմամբ հետազոտություն՝ անոթի * |
Մեկանգամյա դոզավորմամբ հետազոտություն՝ սնունդ ընդունելուց հետո* |
|
բարձր |
այո |
այո |
|
միջին |
այո |
բիովեյվեր՝ ձևի նմանության դեպքում** |
|
ցածր |
այո |
բիովեյվեր՝ ձևի նմանության դեպքում** |
_______________________
* Հետազոտության անցկացման անհրաժեշտության չափանիշները բերված են Պահանջների VI բաժնի 2-րդ բաժնի ենթաբաժնում:
** Եթե կատարվում են Պահանջների VI բաժնում բերված՝ հետազոտության անցկացման չափանիշները, ապա հնարավոր է որոշ դոզավորումների բիովեյվերը կամ սահմանային տարբերակների ընտրությունը:
* Եթե կատարվում են Պահանջների VI բաժնի 7-րդ ենթաբաժնում բերված՝ հետազոտության անցկացման չափանիշները, ապա հնարավոր է սահմանային տարբերակների ընտրությունը:
** Եթե կատարվում են Պահանջների VI բաժնում բերված՝ հետազոտության անցկացման չափանիշները, ապա հնարավոր է որոշ դոզավորումների բիովեյվերը կամ սահմանային տարբերակների ընտրությունը:
Աղյուսակ 6
Մեկ միավորից պատրաստուկ՝ հետաձգված ձերբազատմամբ (համաձայն դեղապատրաստուկի ընդհանուր բնութագրի՝ պատրաստուկն ընդունում են սնունդ ընդունելուց հետո)
|
Դոզավորումը |
Մեկանգամյա դոզավորմամբ հետազոտություն՝ անոթի ** |
Մեկանգամյա դոզավորմամբ հետազոտություն՝ սնունդ ընդունելուց հետո** |
|
բարձր |
այո |
այո |
|
միջին |
բիովեյվեր՝ ձևի նմանության դեպքում** |
այո |
|
ցածր |
բիովեյվեր՝ ձևի նմանության դեպքում** |
այո |
Աղյուսակ 7
Բազմամիավոր պատրաստուկ՝ հետաձգված ձերբազատմամբ (համաձայն դեղապատրաստուկի ընդհանուր բնութագրի՝ պատրաստուկն ընդունում են անոթի, կամ անոթի կամ սնունդ ընդունելուց հետո)
|
Դոզավորումը |
Մեկանգամյա դոզավորմամբ հետազոտություն՝ անոթի |
Մեկանգամյա դոզավորմամբ հետազոտություն՝ սնունդ ընդունելուց հետո |
|
բարձր |
այո |
այո |
|
միջին |
բիովեյվեր* |
բիովեյվեր* |
|
ցածր |
բիովեյվեր* |
բիովեյվեր* |
_______________________________
* Եթե կատարվում են Պահանջների VI բաժնի 7-րդ ենթաբաժնում բերված՝ հետազոտության անցկացման չափանիշները, ապա հնարավոր է սահմանային տարբերակների ընտրությունը:
** Եթե կատարվում են Պահանջների VI բաժնում բերված՝ հետազոտության անցկացման չափանիշները, ապա հնարավոր է որոշ դոզավորումների բիովեյվերը կամ սահմանային տարբերակների ընտրությունը:
* Եթե կատարվում են Պահանջների VI բաժնում բերված՝ հետազոտության անցկացման չափանիշները, ապա հնարավոր է որոշ դոզավորումների բիովեյվերը կամ սահմանային տարբերակների ընտրությունը:
Աղյուսակ 8
Բազմամիավոր պատրաստուկ՝ հետաձգված ձերբազատմամբ (համաձայն դեղապատրաստուկի ընդհանուր բնութագրի՝ պատրաստուկն ընդունում են սնունդ ընդունելուց հետո)
|
Դոզավորումը |
Մեկանգամյա դոզավորմամբ հետազոտություն՝ անոթի |
Մեկանգամյա դոզավորմամբ հետազոտություն՝ սնունդ ընդունելուց հետո |
|
բարձր |
այո |
այո |
|
միջին |
բիովեյվեր* |
բիովեյվեր* |
|
ցածր |
բիովեյվեր* |
բիովեյվեր* |
_____________________________
* Եթե կատարվում են Պահանջների VI բաժնում բերված՝ հետազոտության անցկացման չափանիշները, ապա հնարավոր է որոշ դոզավորումների բիովեյվերը կամ սահմանային տարբերակների ընտրությունը:»:
Պաշտոնական հրապարակման օրը՝ 6 մայիսի 2022 թվական: