ԵՎՐԱՍԻԱԿԱՆ ՏՆՏԵՍԱԿԱՆ ՀԱՆՁՆԱԺՈՂՈՎ
ԿՈԼԵԳԻԱ
Ո Ր Ո Շ ՈՒ Մ
|
19 մարտի 2019 թվականի |
թիվ 35 |
քաղ. Մոսկվա |
ԵՎՐԱՍԻԱԿԱՆ ՏՆՏԵՍԱԿԱՆ ՄԻՈՒԹՅԱՆ ՊԱՇՏՈՆԱԿԱՆ ՎԻՃԱԿԱԳՐԱԿԱՆ ՏԵՂԵԿԱՏՎՈՒԹՅԱՆ ՁԵՎԱՎՈՐՄԱՆ ՄԵԹՈԴԱԲԱՆՈՒԹՅՈՒՆԸ ՀԱՍՏԱՏԵԼՈՒ ՄԱՍԻՆ
Եվրասիական տնտեսական միության «Պաշտոնական վիճակագրական տեղեկատվության ձևավորման և տարածման կարգի մասին» արձանագրության 11-րդ կետի իրականացման նպատակով («Եվրասիական տնտեսական միության մասին» 2014 թվականի մայիսի 29-ի պայմանագրի թիվ 4 հավելված)՝ Եվրասիական տնտեսական հանձնաժողովի կոլեգիան որոշեց.
1. Հաստատել կից ներկայացվող «Եվրասիական տնտեսական միության պաշտոնական վիճակագրական տեղեկատվության ձևավորման մեթոդաբանությունը»:
2. Սույն որոշումն ուժի մեջ է մտնում դրա պաշտոնական հրապարակման օրվանից 30 օրացուցային օրը լրանալուց հետո։
|
Եվրասիական տնտեսական հանձնաժողովի կոլեգիայի նախագահ՝ |
Տ. Սարգսյան |
|
ՀԱՍՏԱՏՎԱԾ Է Եվրասիական տնտեսական հանձնաժողովի կոլեգիայի 2019 թվականի մարտի 19-ի թիվ 35 որոշմամբ |
ՄԵԹՈԴԱԲԱՆՈՒԹՅՈՒՆ
Եվրասիական տնտեսական միության պաշտոնական վիճակագրական տեղեկատվության ձևավորման
I. Ընդհանուր դրույթներ
1. Սույն մեթոդաբանությունը մշակված է Եվրասիական տնտեսական միության (այսուհետ՝ Միություն) արդյունավետ գործունեությունն ու զարգացումն ապահովելու համար, ինչպես նաև Միության պաշտոնական վիճակագրական տեղեկատվությունն ապահովելու նպատակով՝ «Եվրասիական տնտեսական միության մասին» 2014 թվականի մայիսի 29-ի պայմանագրի 24-րդ հոդվածի 1-ին և 2-րդ կետերի համաձայն և Եվրասիական տնտեսական միության «Պաշտոնական վիճակագրական տեղեկատվության ձևավորման և տարածման կարգի մասին» արձանագրության (նշված Պայմանագրի թիվ 4 հավելված) 11-րդ կետին համապատասխան, և պարունակում է Միության պաշտոնական վիճակագրական տեղեկատվության ձևավորման աղբյուրների նկարագրությունը, Միության պաշտոնական վիճակագրական տեղեկատվության ձևավորման և դրա խմբավորման ընդհանուր եղանակների ու կանոնների շարադրումը:
2. Սույն մեթոդաբանությունում օգտագործվում են հասկացություններ, որոնք ունեն հետևյալ իմաստը՝
ցուցանիշի կշիռ՝ Միության յուրաքանչյուր անդամ պետության մասով վիճակագրական ցուցանիշի թվային արժեքի կշիռը, որն օգտագործվում է Միության պաշտոնական վիճակագրական տեղեկատվությունն ստանալիս,
Միության հիմնական վիճակագրական ցուցանիշներ՝ Եվրասիական տնտեսական հանձնաժողովի կողմից հաստատվող՝ Եվրասիական տնտեսական հանձնաժողովին Միության անդամ պետությունների լիազորված մարմինների կողմից տրամադրվող պաշտոնական վիճակագրական տեղեկատվության վիճակագրական ցուցանիշների ցանկում ընդգրկված վիճակագրական ցուցանիշներ, որոնց մասով ամփոփ արդյունքները կարող են ընդհանրացվել Միության մակարդակով և գնահատվել միջազգային համադրումների ապահովման շրջանակներում՝ միջազգային ստանդարտներին համապատասխան,
վիճակագրական ցուցանիշ՝ հասարակական երևույթի քանակական-որակական բնութագիր, որը դիտարկվում է ամբողջության միավորների խմբի կամ ընդհանուր առմամբ ամբողջության նկատմամբ և չափվում է թվային արտահայտությամբ:
II. Միության պաշտոնական վիճակագրական տեղեկատվության ձևավորման աղբյուրները
3. Միության պաշտոնական վիճակագրական տեղեկատվության ձևավորման համար ելակետային տվյալների աղբյուր է Միության անդամ պետությունների լիազորված մարմինների կողմից (այսուհետ համապատասխանաբար՝ անդամ պետություններ, լիազորված մարմիններ) Եվրասիական տնտեսական հանձնաժողովին (այսուհետ՝ Հանձնաժողով) տրամադրվող պաշտոնական վիճակագրական տեղեկատվությունը՝ լիազորված մարմինների կողմից Հանձնաժողովին տրամադրվող պաշտոնական վիճակագրական տեղեկատվության վիճակագրական ցուցանիշների ցանկին (այսուհետ՝ ցանկ) համապատասխան, ինչպես նաև Հանձնաժողովի հարցման հիման վրա լիազորված մարմինների կողմից տրամադրվող՝ անդամ պետությունների՝ ցանկում չընդգրկված այլ պաշտոնական վիճակագրական տեղեկատվություն:
4. Հանձնաժողովը Միության պաշտոնական վիճակագրական տեղեկատվությունը ձևավորելիս կարող է օգտագործել միջազգային կազմակերպությունների պաշտոնական վիճակագրական տեղեկատվությունը և անդամ պետությունների օրենսդրությամբ չարգելված աղբյուրներից ստացված այլ տեղեկատվություն:
5. Միության պաշտոնական վիճակագրական տեղեկատվությունը ձևավորելիս անդամ պետություններից որևիցե մեկում պաշտոնական վիճակագրական դիտարկումների առանձին ցուցանիշի բացակայության դեպքում կարող են կիրառվել միջազգային պրակտիկայում օգտագործվող մեթոդները:
III. Միության պաշտոնական վիճակագրական տեղեկատվության ձևավորման և դրա խմբավորման ընդհանուր եղանակներն ու կանոնները
6. Վիճակագրական ցուցանիշների եզրույթները և սահմանումները, պաշտոնական վիճակագրական տեղեկատվության՝ ըստ առանձին, ցանկում ընդգրկված վիճակագրական ցուցանիշների հավաքագրման և մշակման մեթոդները Հանձնաժողովը ներկայացնում է իր կողմից ձևավորվող տեղեկատուի մեջ, որը տեղադրվում է Միության պաշտոնական կայքում:
7. Միության պաշտոնական վիճակագրական տեղեկատվությունը ձևավորելիս Հանձնաժողովն անցկացնում է Միության վիճակագրական տվյալների որակի բարձրացմանն ուղղված միջոցառումներ՝ միջազգային պրակտիկայում օգտագործվող գնահատման մեթոդների հիման վրա:
8. Միության պաշտոնական վիճակագրական տեղեկատվության ձևավորման ալգորիթմի հիմքում դրված է անդամ պետությունների պաշտոնական վիճակագրական տեղեկատվության՝ ըստ հիմնական վիճակագրական ցուցանիշների մշակման և ամփոփման միջոցով ստացվող վիճակագրական տվյալների հաշվարկումը:
9. Միության պաշտոնական վիճակագրական տեղեկատվության ձևավորումը կտրվածքներով և խմբավորումներում իրականացվում է՝ միջազգային ստանդարտների (դասակարգման) կամ միջազգային ստանդարտների (դասակարգման) հետ ներդաշնակեցված (նույնական) ազգային ստանդարտների (դասակարգման) պահանջներին և նշված ստանդարտների (դասակարգման) հետ ներդաշնակեցված տեղեկատուներին համապատասխան:
10. Ընդհանուր առմամբ, Միության ամբողջ տարածքով պաշտոնական վիճակագրական տվյալների հաշվարկումը տարբերվում է՝ կախված հիմնական վիճակագրական ցուցանիշների ձևից՝ բացարձակ կամ հարաբերական:
11. Բացարձակ վիճակագրական ցուցանիշներն արտացոլում են սոցիալ-տնտեսական գործընթացների և երևույթների ֆիզիկական հատկությունները, ինչպես նաև ժամանակային և արժեքային բնութագրերը: Կախված հետազոտվող երևույթների էությունից, դրանց ֆիզիկական հատկություններից՝ բացարձակ վիճակագրական ցուցանիշներն արտահայտվում են բնական (տոննա, կիլոգրամ, մետր, քառակուսի մետր, խորանարդ մետր, կիլոմետր, լիտր, հատ և այլն) կամ արժեքային չափման միավորներով:
12. Միության պաշտոնական վիճակագրական տեղեկատվությունը՝ բացարձակ վիճակագրական ցուցանիշներին վերաբերող մասով (արժեքային ցուցանիշներից բացի) որոշվում է բոլոր անդամ պետությունների՝ յուրաքանչյուր վիճակագրական ցուցանիշն ուղղակի հաշվելու (գումարելու կամ տարբերության) միջոցով:
13. Բացարձակ վիճակագրական ցուցանիշների (արժեքային ցուցանիշներից բացի) հաշվարկման մեթոդաբանությունն Միության ամբողջ տարածքում ներկայացված է հետևյալ բանաձևով՝
որտեղ՝
ԲՎՑՄիություն՝ համապատասխան հաշվետու ժամանակահատվածում Միության ամբողջ տարածքում բացարձակ վիճակագրական ցուցանիշ՝ արտահայտված բնական չափման միավորներով (արժեքային ցուցանիշներից բացի),
ԲՎՑi՝ համապատասխան հաշվետու ժամանակահատվածում i-րդ անդամ պետության բացարձակ վիճակագրական ցուցանիշ՝ արտահայտված բնական չափման միավորներով (արժեքային ցուցանիշներից բացի),
n՝ անդամ պետությունների քանակն է:
14. Արժեքային չափման միավորներով արտահայտված վիճակագրական ցուցանիշները բնութագրում են սոցիալ-տնտեսական երևույթների և գործընթացների (համախառն ներքին արդյունքի, արդյունաբերական և գյուղատնտեսական արտադրությունում ներդրումների, շինարարության, մանրածախ ապրանքաշրջանառության և այլնի ծավալներ) դրամական գնահատականը և չափվում են անդամ պետությունների ազգային արժույթով:
Միության ամբողջ տարածքում նշված ցուցանիշներն արժեքային արտահայտությամբ արտացոլելու նպատակով՝ դրանք ենթակա են վերահաշվարկման միասնական հաշվարկային միավորի՝ յուրաքանչյուր անդամ պետության մասով: Որպես այդպիսի հաշվարկային միավոր կարող է ընդունվել ԱՄՆ դոլարը: Անդամ պետությունների՝ արժեքային չափման միավորներով արտահայտված վիճակագրական ցուցանիշների վերահաշվարկն ԱՄՆ դոլարի (կամ այլ արժույթի) Հանձնաժողովի կողմից իրականացվում է՝ անդամ պետությունների ազգային (կենտրոնական) բանկերի՝ հաշվետու ժամանակահատվածի համար սահմանվող (հրապարակվող) արժույթների միջին (միջին կշռված) փոխարժեքներով:
15. Արժեքային չափման միավորներով արտահայտված (վերահաշվարկած ԱՄՆ դոլարի) բացարձակ վիճակագրական ցուցանիշները Միության ամբողջ տարածքում հաշվարկելու մեթոդաբանությունը ներկայացված է հետևյալ բանաձևով՝
որտեղ՝
ԲՎՑաՄիություն՝ համապատասխան հաշվետու ժամանակահատվածում Միության ամբողջ տարածքում բացարձակ վիճակագրական ցուցանիշ՝ արտահայտված արժեքային չափման միավորով (վերահաշվարկած ԱՄՆ դոլարի),
ԲՎՑաi՝ համապատասխան հաշվետու ժամանակահատվածում i-րդ անդամ պետության բացարձակ վիճակագրական ցուցանիշ՝ արտահայտված արժեքային չափման միավորով՝ i-րդ անդամ պետության ազգային արժույթով,
ԱՓi՝ i-րդ անդամ պետության ազգային արժույթի փոխարժեք՝ ԱՄՆ դոլարի նկատմամբ (որոշվում է i-րդ անդամ պետության ազգային (կենտրոնական) բանկի՝ համապատասխան հաշվետու ժամանակահատվածի համար սահմանվող (հրապարակվող) արժույթի միջին (միջին կշռված) փոխարժեքով),
n՝ անդամ պետությունների քանակն է:
16. Հարաբերական վիճակագրական ցուցանիշները վիճակագրական ցուցանիշներ են՝ արտահայտված համեմատական մեծության ձևով (աճի տեմպ, հավելաճի տեմպ, գործակից, ինդեքս՝ ըստ ճյուղերի, գործունեության տեսակների և այլն), որն ստացվել է որպես մի բացարձակ ցուցանիշի հարաբերությունը մյուսի նկատմամբ, և արտացոլում են սոցիալ-տնտեսական գործընթացների ու երևույթների քանակական բնութագրերի միջև հարաբերակցությունը: Հարաբերական վիճակագրական ցուցանիշները նույնպես կարող են հաշվարկվել որպես երկու հարաբերական ցուցանիշների՝ միմյանց նկատմամբ հարաբերակցություն: Հարաբերական վիճակագրական ցուցանիշները կարող են արտահայտվել մասնաբաժիններով, տոկոսներով, պրոմիլեներով և չափման այլ միավորներով: Առանձին հարաբերական վիճակագրական ցուցանիշների հաշվարկն ուղեկցվում է դրանց կշիռների որոշմամբ, որոնց հիման վրա ձևավորվում են հարաբերական վիճակագրական ցուցանիշները՝ Միության մասով:
17. Հարաբերական մեծության (գործակցի) ձևով արտահայտված հարաբերական վիճակագրական ցուցանիշները Միության ամբողջ տարածքում հաշվարկելու մեթոդաբանությունը ներկայացված է հետևյալ բանաձևով՝
որտեղ՝
ՀՎՑՄիություն՝ համապատասխան հաշվետու ժամանակահատվածում Միության ամբողջ տարածքում հարաբերական վիճակագրական ցուցանիշ՝ արտահայտված որպես երկու բացարձակ վիճակագրական ցուցանիշների հարաբերակցություն (ինչպես բնական, այնպես էլ արժեքային չափման միավորներով),
ԲՎՑj i՝ համապատասխան հաշվետու ժամանակահատվածում i-րդ անդամ պետության բացարձակ վիճակագրական ցուցանիշ՝ արտահայտված ինչպես բնական, այնպես էլ արժեքային j-x չափման միավորներով,
ԲՎՑf i՝ համապատասխան հաշվետու ժամանակահատվածում i-րդ անդամ պետության բացարձակ վիճակագրական ցուցանիշ՝ արտահայտված ինչպես բնական, այնպես էլ արժեքային f-x չափման միավորներով,
n՝ անդամ պետությունների քանակն է:
j, f՝ չափման միավորներ, որոնք բնութագրում են սոցիալ-տնտեսական գործընթացների և երևույթների ֆիզիկական հատկությունները (այդ թվում՝ բնակչության թվաքանակը և կազմը), ժամանակային կամ արժեքային բնութագրերը:
18. Հարաբերական մեծության (ինդեքսի) տեսքով արտահայտված հարաբերական վիճակագրական ցուցանիշները Միության ամբողջ տարածքում հաշվարկելու մեթոդաբանությամբ նախատեսվում է մի քանի փուլ:
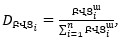
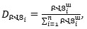
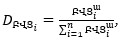
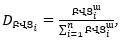
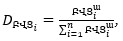
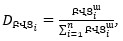
Առաջին փուլում՝ ցուցանիշների (գործակիցների) կշիռների որոշման համար հաշվարկվում է համապատասխան բազիսային ժամանակահատվածում յուրաքանչյուր անդամ պետության՝ արժեքային չափման միավորով արտահայտված, ԱՄՆ դոլարի վերահաշվարկված բացարձակ վիճակագրական ցուցանիշների մասնաբաժինը բոլոր անդամ պետությունների մասով՝ արժեքային ցուցանիշների ընդհանուր գումարում:
Միջազգային վիճակագրական ստանդարտներին համապատասխան՝ բազիսային ժամանակահատվածի վերանայումը՝ ցուցանիշի (գործակցի) կշիռի համապատասխան փոփոխությամբ, նպատակահարմար է իրականացնել առնվազն 5 տարին 1 անգամ: Հաշվարկն իրականացվում է հետևյալ բանաձևով՝
որտեղ՝
DԲՎՑi`i-րդ անդամ պետության բացարձակ վիճակագրական ցուցանիշի մասնաբաժին՝ արտահայտված որպես i-րդ անդամ պետության բացարձակ վիճակագրական ցուցանիշի (արժեքային չափման միավորով՝ վերահաշվարկված ԱՄՆ դոլարի՝ i-րդ անդամ պետության ազգային (կենտրոնական) բանկի՝ համապատասխան բազիսային ժամանակահատվածի համար սահմանվող (հրապարակվող) արժույթի միջին (միջին կշռված) փոխարժեքով)) և բոլոր անդամ պետությունների բացարձակ վիճակագրական ցուցանիշների գումարի (արժեքային չափման միավորով՝ վերահաշվարկված ԱՄՆ դոլարի՝ i-րդ անդամ պետության ազգային (կենտրոնական) բանկի՝ համապատասխան բազիսային ժամանակահատվածի համար սահմանվող (հրապարակվող) արժույթի միջին (միջին կշռված) փոխարժեքով)) միջև հարաբերություն,
ԲՎՑաi`i-րդ անդամ պետության բացարձակ վիճակագրական ցուցանիշ՝ արտահայտված արժեքային չափման միավորով (վերահաշվարկված ԱՄՆ դոլարի՝ i-րդ անդամ պետության ազգային (կենտրոնական) բանկի՝ համապատասխան բազիսային ժամանակահատվածի համար սահմանվող (հրապարակվող) արժույթի միջին (միջին կշռված) փոխարժեքով)),
∑ni=1 ԲՎՑաi՝ բացարձակ վիճակագրական ցուցանիշ, որը որոշվում է որպես բոլոր անդամ պետությունների բացարձակ վիճակագրական ցուցանիշների գումար (արժեքային չափման միավորով՝ վերահաշվարկված ԱՄՆ դոլարի՝ i-րդ անդամ պետության ազգային (կենտրոնական) բանկի՝ համապատասխան բազիսային ժամանակահատվածի համար սահմանվող (հրապարակվող) արժույթի միջին (միջին կշռված) փոխարժեքով)),
n՝ անդամ պետությունների քանակն է:
Երկրորդ փուլում իրականացվում է ինդեքսի տեսքով հարաբերական վիճակագրական ցուցանիշի հաշվարկը՝ օգտագործելով սույն կետում նշված բանաձևով հաշվարկված i-րդ անդամ պետության բացարձակ վիճակագրական ցուցանիշի մասնաբաժինը:
Ընդհանուր տեսքով հաշվարկը՝ Միության ամբողջ տարածքում, ինդեքսի ձևով ներկայացված է հետևյալ բանաձևով՝
որտեղ՝
IՄիություն՝ համապատասխան հաշվետու ժամանակահատվածում Միության ամբողջ տարածքում հարաբերական վիճակագրական ցուցանիշ՝ արտահայտված ինդեքսի ձևով,
Ii՝ համապատասխան հաշվետու ժամանակահատվածում i-րդ անդամ պետության հարաբերական վիճակագրական ցուցանիշ՝ արտահայտված ինդեքսի ձևով,
DԲՎՑi`i-րդ անդամ պետության բացարձակ վիճակագրական ցուցանիշի մասնաբաժին՝ արտահայտված որպես i-րդ անդամ պետության բացարձակ վիճակագրական ցուցանիշի (արժեքային չափման միավորով՝ վերահաշվարկված ԱՄՆ դոլարի՝ i-րդ անդամ պետության ազգային (կենտրոնական) բանկի՝ համապատասխան բազիսային ժամանակահատվածի համար սահմանվող (հրապարակվող) արժույթի միջին (միջին կշռված) փոխարժեքով)) և բոլոր անդամ պետությունների բացարձակ վիճակագրական ցուցանիշների գումարի (արժեքային չափման միավորով՝ վերահաշվարկված ԱՄՆ դոլարի՝ i-րդ անդամ պետության ազգային (կենտրոնական) բանկի՝ համապատասխան բազիսային ժամանակահատվածի համար սահմանվող (հրապարակվող) արժույթի միջին (միջին կշռված) փոխարժեքով)) միջև հարաբերություն,
n՝ անդամ պետությունների քանակն է:
Միության ամբողջ տարածքում բացարձակ և հարաբերական վիճակագրական ցուցանիշների ճշգրտումը կատարվում է անդամ պետություններում համապատասխան բացարձակ և հարաբերական վիճակագրական ցուցանիշների ճշտում կատարելու դեպքում:
19. Հատուկ և անհատական առանձնահատկություններ ունեցող բացարձակ և հարաբերական վիճակագրական ցուցանիշների հաշվարկները Միության ամբողջ տարածքում ներկայացվում են ցանկում ընդգրկված յուրաքանչյուր որոշակի ցուցանիշի համար առանձին մեթոդիկաներում՝ ելնելով անդամ պետությունների պաշտոնական վիճակագրական տեղեկատվության տրամադրման ժամկետներից և ձևաչափերից ու համապատասխան կտրվածքներից և խմբավորումներից: Նշված մեթոդիկաները տեղադրվում են Միության պաշտոնական կայքում:
Պաշտոնական հրապարակման օրը՝ 22 հունիսի 2022 թվական: