600.0032.01.02.23
ՀԱՅԱՍՏԱՆԻ ՀԱՆՐԱՊԵՏՈՒԹՅԱՆ
ՀԱՆՐԱՅԻՆ ԾԱՌԱՅՈՒԹՅՈՒՆՆԵՐԸ ԿԱՐԳԱՎՈՐՈՂ ՀԱՆՁՆԱԺՈՂՈՎ
|
1 փետրվարի 2023 թվականի |
N 32-Ն |
Ո Ր Ո Շ ՈՒ Մ
ԳԱԶԱՄԱՏԱԿԱՐԱՐՄԱՆ ՀԱՄԱԿԱՐԳՈՒՄ ԿԱՐԳԱՎՈՐՎՈՂ ՍԱԿԱԳՆԵՐԻ ՀԱՇՎԱՐԿՄԱՆ ՄԵԹՈԴԻԿԱՆ ՀԱՍՏԱՏԵԼՈՒ ՄԱՍԻՆ
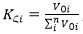
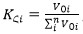
Հիմք ընդունելով «Էներգետիկայի մասին» օրենքի 22-րդ հոդվածի 8-րդ մասը` Հայաստանի Հանրապետության հանրային ծառայությունները կարգավորող հանձնաժողովը որոշում է.
1. Հաստատել գազամատակարարման համակարգում կարգավորվող սակագների հաշվարկման մեթոդիկան՝ համաձայն հավելվածի:
2. Սույն որոշումն ուժի մեջ է մտնում 2023 թվականի փետրվարի 10-ից։
|
Հայաստանի Հանրապետության հանրային ծառայությունները կարգավորող հանձնաժողովի նախագահ՝ |
Գ. ԲԱՂՐԱՄՅԱՆ |
|
1 փետրվարի 2023 թ. ք. Երևան |
|
Հավելված Հաստատված է Հայաստանի Հանրապետության հանրային ծառայությունները կարգավորող հանձնաժողովի 2023 թվականի փետրվարի 1-ի N 32-Ն որոշմամբ |
ՄԵԹՈԴԻԿԱ
ԳԱԶԱՄԱՏԱԿԱՐԱՐՄԱՆ ՀԱՄԱԿԱՐԳՈՒՄ ԿԱՐԳԱՎՈՐՎՈՂ ՍԱԿԱԳՆԵՐԻ ՀԱՇՎԱՐԿՄԱՆ
1. ԸՆԴՀԱՆՈՒՐ ԴՐՈՒՅԹՆԵՐ
1. Սույն մեթոդիկան սահմանում է «Գազպրոմ Արմենիա» փակ բաժնետիրական ընկերության (այսուհետ՝ Գազպրոմ) կողմից սպառողներին վաճառվող բնական գազի սակագների, բնական գազի բաշխման, գազամատակարարման համակարգի օպերատորի ծառայությունների մատուցման և Գազպրոմի «Տրանսգազ» սահմանափակ պատասխանատվությամբ ընկերության (այսուհետ՝ Տրանսգազ) կողմից բնական գազի փոխադրման ծառայության մատուցման սակագների հաշվարկման կարգը:
2. Սույն մեթոդիկայում օգտագործված հիմնական հասկացություններն են.
1) Առաջին հնգամյա ժամանակահատված՝ խթանիչ սակագնային քաղաքականության նպատակով կիրառվող՝ 2025 թվականի օգոստոսի 1-ին ավարտվող հնգամյա ժամանակահատված.
2) Բաշխման ծառայություն՝ Գազպրոմի կողմից այլ անձանց բնական գազը Բաշխման ցանցով բաշխելու ծառայություն.
3) Բաշխման ցանց՝ Գազպրոմի կողմից կառավարվող և շահագործվող բնական գազի բաշխման խողովակաշարերի, գազակարգավորիչ հանգույցների և այլ սարքավորումների միասնական համակարգ, որի միջոցով բնական գազը մատակարարվում (բաշխվում) է սպառողներին.
4) Գազպրոմի փոխհատուցման գումար՝ Գազպրոմի անհրաժեշտ հասույթի և գնված բնական գազի արժեքի տարբերության՝ հաշվարկային և փաստացի մեծությունների շեղման արդյունքում ձևավորված և սույն մեթոդիկայի համաձայն որոշված փոխհատուցման ենթակա գումար.
5) Երկրորդ հնգամյա ժամանակահատված՝ խթանիչ սակագնային քաղաքականության նպատակով կիրառվող՝ 2030 թվականի օգոստոսի 1-ին ավարտվող հնգամյա ժամանակահատված.
6) Թույլատրելի կորուստ՝ Փոխադրման ցանցում և Բաշխման ցանցում առաջացող և սույն մեթոդիկայի համաձայն որոշված բնական գազի անխուսափելի կորուստներ.
7) Հանձնաժողով՝ Հայաստանի Հանրապետության հանրային ծառայությունները կարգավորող հանձնաժողով.
8) Ներդրում՝ Հանձնաժողովի հետ համաձայնեցված ներդրումներ, որոնք ուղղված են լիցենզավորված գործունեության համար օգտակար և օգտագործվող ակտիվների ավելացմանը, փոխարինմանը և անհրաժեշտ ներդրումային ծախսերի իրականացմանը.
9) Տրանսգազի փոխհատուցման գումար՝ Տրանսգազի անհրաժեշտ հասույթի՝ հաշվարկային և փաստացի մեծությունների շեղման արդյունքում ձևավորված և սույն մեթոդիկայի համաձայն որոշված փոխհատուցման ենթակա գումար.
10) Փոխադրման ծառայություն՝ Տրանսգազի կողմից բնական գազը Փոխադրման ցանցով փոխադրելու (ներառյալ` պահեստավորելու) և տարանցելու ծառայություն.
11) Փոխադրման ցանց՝ Տրանսգազի կողմից կառավարվող և շահագործվող բնական գազի փոխադրման խողովակաշարերի, գազակարգավորիչ հանգույցների, ստորգետնյա պահեստ-կայանի և այլ սարքավորումների միասնական համակարգ, որի միջոցով բնական գազը փոխադրվում է Բաշխման ցանց, սպառողներին, արտահանվում (ներկրվում) կամ տարանցվում է երրորդ երկիր.
12) Օպերատորի ծառայություն՝ բնական գազի ներկրման, փոխադրման (ներառյալ` պահեստավորման) և տարանցման օպերատիվ տեխնոլոգիական կարգավարման ծառայություն։
3. Գազամատակարարման համակարգում կարգավորման են ենթակա Տրանսգազի կողմից Փոխադրման ծառայության մատուցման և Գազպրոմի կողմից Բաշխման ծառայության, Օպերատորի ծառայության մատուցման ու սպառողներին բնական գազի վաճառքի սակագները։
4. Գազամատակարարման համակարգի սակագների հաշվարկման փուլերն են՝
1) անհրաժեշտ հասույթի որոշում,
2) ծախսերի դասակարգում,
3) սպառողական խմբերի ձևավորում,
4) սպառողական խմբերի միջև դասակարգված ծախսերի բաշխում, եթե Հայաստանի Հանրապետության կառավարության առաջարկությամբ չեն սահմանվում արտոնյալ սակագնից օգտվող սպառողական խմբեր և (կամ) չի կիրառվում սույն մեթոդիկայի 44-րդ կետը,
5) գազամատակարարման համակարգի կարգավորվող սակագների հաշվարկ։
2. ԱՆՀՐԱԺԵՇՏ ՀԱՍՈՒՅԹԻ ՈՐՈՇՈՒՄ
5. Գազպրոմի տարեկան անհրաժեշտ հասույթը՝
1) սպառողներին բնական գազի վաճառքի (բաշխման) մասով (ԱՀԲ) հաշվարկվում է հետևյալ բանաձևով. ԱՀԲ = ԳԳԱ + ԳՓՕԱ + ՇՊԾ + Մ + ԱԴՊ + ԹՇ + ՓԳԳ, որտեղ՝
ա. ԳԳԱ-ն Գազպրոմի կողմից վաճառողներից գնվող բնական գազի արժեքն է (դրամ),
բ. ԳՓՕԱ-ն բնական գազի փոխադրման և օպերատիվ տեխնոլոգիական կարգավարման արժեքն է (դրամ),
գ. ՇՊԾ-ն լիցենզավորված գործունեության իրականացման համար անհրաժեշտ շահագործման և պահպանման ծախսերն են (դրամ),
դ. Մ–ն լիցենզավորված գործունեության իրականացման համար ներգրավված հիմնական միջոցների, ոչ նյութական ակտիվների և Ներդրումների արժեքի նկատմամբ հաշվարկվող մաշվածությունն (ամորտիզացիան) է (դրամ),
ե. ԱԴՊ-ն անհուսալի դեբիտորական պարտքերի մեծությունն է (դրամ),
զ. ԹՇ-ն լիցենզավորված գործունեության իրականացման համար թույլատրելի շահույթի մեծությունն է (դրամ),
է. ՓԳԳ-ն Գազպրոմի փոխհատուցման գումարն է (դրամ)։
2) Օպերատորի ծառայության մատուցման մասով (ԱՀՕ) հաշվարկվում է հետևյալ բանաձևով. ԱՀՕ = ՇՊԾ + Մ + ԹՇ։
6. Տրանսգազի տարեկան անհրաժեշտ հասույթը (ԱՀՏ) հաշվարկվում է հետևյալ բանաձևով. ԱՀՏ= ՇՊԾ + Մ + ԹՇ + ՓԳՏ, որտեղ ՓԳՏ-ն Տրանսգազի փոխհատուցման գումարն է (դրամ)։
7. Անհրաժեշտ հասույթը և սակագները հաշվարկվում են ֆինանսական և տեխնիկատնտեսական հաշվետվություններով ներկայացված փաստացի ծախսերի (ցուցանիշների) վերլուծության հիման վրա՝ հաշվի առնելով դրանց որոշման պահին հայտնի ու կանխատեսվող ողջամիտ փոփոխությունները և իրավական ակտերով սահմանված պահանջների կատարումը։
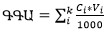
8. Գազպրոմի կողմից վաճառողներից գնվող բնական գազի արժեքը (ԳԳԱ) որոշվում է հետևյալ բանաձևով.
,
որտեղ՝
1) k-ն Գազպրոմին բնական գազ վաճառողներն են,
2) Ci –ն i-րդ վաճառողից Գազպրոմի կողմից գնվող բնական գազի գինն է (դրամ/հազար խորանարդ մետր)՝ համաձայն կնքված և սահմանված կարգով Հանձնաժողովում գրանցված պայմանագրի,
3) Vi-ն i-րդ վաճառողից Գազպրոմի կողմից գնվող բնական գազի քանակն է (խորանարդ մետր)։
9. Գազպրոմի կողմից գնվող (ներկրվող) բնական գազի ընդհանուր քանակը (VԳ) որոշվում է հետևյալ բանաձևով.
VԳ = Vս + ∆VԳ ,
որտեղ՝
1) Vս-ն տարվա ընթացքում սպառողներին առաքվող բնական գազի քանակն է (խորանարդ մետր),
2) ∆VԳ-ն Գազպրոմի կողմից ներկրվող բնական գազի մասով առաջացող Թույլատրելի կորուստների և Փոխադրման ցանցում ու Բաշխման ցանցում սեփական կարիքների համար օգտագործվող բնական գազի քանակն է (խորանարդ մետր)։
10. Բնական գազի փոխադրման և օպերատիվ տեխնոլոգիական կարգավարման արժեքը (ԳՓՕԱ) որոշվում է հետևյալ բանաձևով.
,
որտեղ՝
1) ∆VԳՓ-ն Գազպրոմի կողմից ներկրվող բնական գազի մասով Փոխադրման ցանցում առաջացող Թույլատրելի կորուստի և Փոխադրման ցանցում սեփական կարիքների համար օգտագործվող բնական գազի քանակն է (խորանարդ մետր),
2) ՍՏ-ն Փոխադրման ծառայության սակագինն է (դրամ/հազար խորանարդ մետր),
3) ՍՕ-ն Օպերատորի ծառայության սակագինն է (դրամ/հազար խորանարդ մետր)։
11. Շահագործման և պահպանման ծախսերում (ՇՊԾ) ներառվում են Հանձնաժողովի կողմից թույլատրված հաշվարկային տարվա ընթացքում կատարվող ընթացիկ ծախսերը, որոնք հիմնավորված և անհրաժեշտ են լիցենզավորված գործունեության բնականոն ընթացքն ապահովելու համար, այդ թվում՝
1) աշխատանքի վճարման ծախսերը,
2) նյութական ծախսերը,
3) նորոգման ծախսերը,
4) Հայաստանի Հանրապետության օրենսդրությամբ սահմանված հարկերը (բացի շահութահարկից և ավելացված արժեքի հարկից), տուրքերն ու պարտադիր այլ վճարները,
5) վարչական, կառավարման, իրացման և ընդհանուր բնույթի այլ ծախսերը։
12. Շահագործման և պահպանման ծախսերում (ՇՊԾ) չեն ներառվում այն ծախսերը, որոնք կապված չեն լիցենզավորված գործունեության հետ։ Այդ ծախսերի համար Գազպրոմում և Տրանսգազում պետք է իրականացվեն առանձնացված հաշվառում։
13. Մինչև 2030 թվականի օգոստոսի 1-ը ներառյալ ժամանակահատվածի համար սակագների վերանայումների ժամանակ՝
1) Առաջին հնգամյա ժամանակահատվածի յուրաքանչյուր հաշվարկային տարվա սակագների վերանայման ժամանակ շահագործման և պահպանման ծախսերի տարեկան մեծությունը կընդունվի Առաջին հնգամյա ժամանակահատվածի սկզբում գործող սակագների հաշվարկներում նախատեսված մեծությանը հավասար (ամբողջ գազամատակարարման համակարգի համար՝ 24317.24 միլիոն դրամ, այդ թվում՝ նորոգման և նյութական ծախսերը՝ 7017.52 միլիոն դրամ)՝ միաժամանակ երկրորդ, երրորդ, չորրորդ և հինգերորդ հաշվարկային տարիների համար կատարելով նորոգման և նյութական ծախսերի ճշգրտում, որը հաշվի կառնի Հանձնաժողովի նիստին սակագների սահմանման վերաբերյալ որոշման նախագծի ներկայացման ամսվան նախորդող (եթե հնարավոր չէ, ապա դրան նախորդող) ամսվա սպառողական գների ինդեքսը՝ նախորդ տարվա նույն ամսվա նկատմամբ՝ հրապարակված Հայաստանի Հանրապետության պաշտոնական վիճակագրությունն իրականացնող իրավասու մարմնի կողմից.
2) Երկրորդ հնգամյա ժամանակահատվածի՝
ա. առաջին հաշվարկային տարվա սակագների վերանայման ժամանակ շահագործման և պահպանման ծախսերը կորոշվեն համաձայն սույն մեթոդիկայի 7-րդ, 11-րդ և 12-րդ կետերի, ընդ որում, աշխատանքի վճարման ծախսերը որոշելիս աշխատողների թվաքանակը սակագների հաշվարկում կներառվի փաստացի թվաքանակով, բայց Գազպրոմի դեպքում 4308-ից (ճշգրտված՝ սույն մեթոդիկայի 14.1-ին կետին համապատասխան հաշվարկված գործակցով) և Տրանսգազի դեպքում 775-ից ոչ ավելի, իսկ նորոգման և նյութական ծախսերը՝ Առաջին հնգամյա ժամանակահատվածի հինգերորդ հաշվարկային տարվա սակագների հաշվարկներում ընդունված ծախսերի (այդ թվում՝ արագամաշ առարկաների գծով ծախսի)՝ սույն կետի 1-ին ենթակետով նշված սպառողական գների ինդեքսով ճշգրտված մեծության 90 տոկոսից ոչ ավելի չափով և մնացած ծախսերը (այդ թվում՝ գումարների հավաքագրման ծախսը ճշգրտված՝ սույն մեթոդիկայի 14.3-րդ կետին համապատասխան հաշվարկված գործակցով)՝ Առաջին հնգամյա ժամանակահատվածի հինգերորդ հաշվարկային տարվա սակագների հաշվարկներում ընդունված մեծության 90 տոկոսից ոչ ավելի չափով.
բ. երկրորդ, երրորդ, չորրորդ և հինգերորդ հաշվարկային տարիների սակագների վերանայումների ժամանակ շահագործման և պահպանման ծախսերի մեծությունը կընդունվի սույն ենթակետի «ա» պարբերության համաձայն որոշված մեծության չափով՝ կատարելով նորոգման և նյութական ծախսերի ճշգրտում, որը հաշվի կառնի Հանձնաժողովի նիստին սակագների սահմանման վերաբերյալ որոշման նախագծի ներկայացման ամսվան նախորդող (եթե հնարավոր չէ, ապա դրան նախորդող) ամսվա սպառողական գների ինդեքսը՝ նախորդ տարվա նույն ամսվա նկատմամբ՝ հրապարակված Հայաստանի Հանրապետության պաշտոնական վիճակագրությունն իրականացնող իրավասու մարմնի կողմից.
3) Հայաստանի Հանրապետության օրենսդրության փոփոխության արդյունքում Գազպրոմի և Տրանսգազի համար շահագործման և պահպանման ծախսերի ավելացման կամ նվազեցման անհրաժեշտություն առաջանալու դեպքում, եթե ավելացումը կամ նվազեցումը կգերազանցի որևէ տարում 100 մլն դրամը կամ երկու և ավելի տարիների համար աճողական 200 մլն դրամը (առանց հաշվի առնելու նախկինում փոխհատուցված տարեկան մեծությունը), այն կավելացվի շահագործման և պահպանման ծախսերին կամ կնվազեցվի այդ ծախսերից.
4) սակագների հաշվարկների շահագործման և պահպանման ծախսերում ներառված՝ «Նորոգման և նյութական ծախսեր» ծախսային հոդվածով նախատեսված ծախսերը Առաջին հնգամյա ժամանակահատվածի համար ենթակա են պարտադիր կատարման առնվազն 81 տոկոսի չափով, իսկ Երկրորդ հնգամյա ժամանակահատվածի համար՝ առնվազն 90 տոկոսի չափով։ Նշված հոդվածով նախատեսված ծախսերի փաստացի կատարողականի գնահատումը իրականացվում է միասնական, բացառությամբ Առաջին հնգամյա ժամանակահատվածի համար «Ազդանշանային սարքերի սպասարկում» ծախսային ենթահոդվածով նախատեսված ծախսի, որի փաստացի կատարողականի գնահատումը Առաջին հնգամյա ժամանակահատվածի համար իրականացվում է առանձնացված։ Նշված ծախսերի փաստացի կատարողականի գնահատման ժամանակ հաշվի է առնվում նաև կապալառու կազմակերպությունների և քաղաքացիաիրավական հիմունքներով լրացուցիչ մասնագետների ներգրավման միջոցով իրականացված նորոգման աշխատանքները՝ բացառելով այլ ծախսային հոդվածների հետ կրկնությունը։ «Նորոգման և նյութական ծախսեր» ծախսային հոդվածով նախատեսված ծախսերը սույն ենթակետով նախատեսված պարտադիր կատարման ենթակա նվազագույն շեմից պակաս կատարված լինելու դեպքում պարտադիր կատարման ենթակա նվազագույն մեծության և փաստացի մեծության տարբերությունը դիտարկվում է որպես ներդրումային ծախսերի իրականացման ֆինանսավորման աղբյուր և նվազեցվում է մաշվածության (ամորտիզացիայի) և թույլատրելի շահույթի հաշվարկման բազաներից, ինչը կարող է հետաձգվել նշված ծախսերի պակաս կատարված մասը հաջորդ սակագնային տարում իրականացնելու (լրացնելու) վերաբերյալ բավարար հիմնավորումներ ներկայացվելու դեպքում։
(13-րդ կետը փոփ. 18.12.24 N 412-Ն, լրաց. 01.07.25 N 234-Ն)
14. Երկրորդ հնգամյա ժամանակահատվածի ավարտից հետո սակագների վերանայումների ժամանակ շահագործման և պահպանման ծախսերը կորոշվեն համաձայն սույն մեթոդիկայի 7-րդ, 11-րդ և 12-րդ կետերի, ընդ որում, աշխատանքի վճարման ծախսերը որոշելիս աշխատողների թվաքանակը սակագների հաշվարկում կներառվի փաստացի թվաքանակով, բայց Գազպրոմի դեպքում 4113-ից (ճշգրտված` սույն մեթոդիկայի 14.2-րդ կետին համապատասխան հաշվարկված գործակցով) և Տրանսգազի դեպքում 770-ից ոչ ավելի, իսկ նորոգման և նյութական ծախսերը՝ Երկրորդ հնգամյա ժամանակահատվածի հինգերորդ հաշվարկային տարվա սակագների հաշվարկներում ընդունված ծախսերի (այդ թվում՝ արագամաշ առարկաների գծով ծախսի)՝ սույն մեթոդիկայի 13-րդ կետի 2-րդ ենթակետի «բ» պարբերությամբ նշված սպառողական գների ինդեքսով ճշգրտված մեծության 90 տոկոսից ոչ ավելի չափով և մնացած ծախսերը (այդ թվում՝ գումարների հավաքագրման ծախսը ճշգրտված՝ սույն մեթոդիկայի 14.4-րդ կետին համապատասխան հաշվարկված գործակցով)՝ Երկրորդ հնգամյա ժամանակահատվածի հինգերորդ հաշվարկային տարվա սակագների հաշվարկներում ընդունված մեծության 90 տոկոսից ոչ ավելի չափով:
(14-րդ կետը լրաց. 01.07.25 N 234-Ն)
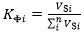
14.1. Սույն մեթոդիկայի 13-րդ կետի 2-րդ ենթակետի «ա» պարբերությունում ամրագրված Գազպրոմի աշխատողների թվաքանակի առավելագույն մեծությունը ճշգրտվում է հետևյալ բանաձևով որոշվող գործակցով.
|
|
որտեղ՝ |
1) KԲՑ2025 -ը 2025 թվականի օգոստոսի 1-ից սկսվող հաշվարկային տարվա համար Բաշխման ցանցի երկարության՝ նախատեսվածի համեմատ ավել աճով կամ նվազմամբ պայմանավորված Գազպրոմի աշխատողների թվաքանակի փոփոխությունը հաշվի առնող գործակիցն է,
2) ԲՑ2025-ը 2025 թվականի հունվարի 1-ի դրությամբ շահագործման մեջ գտնվող Բաշխման ցանցի փաստացի երկարությունն է,
3) ԲՑ2020-ը 2020 թվականի հունվարի 1-ի դրությամբ շահագործման մեջ գտնվող Բաշխման ցանցի փաստացի երկարությունն է,
4) ԲՑմիջ-ը 2011-2020 թվականների ընթացքում շահագործման մեջ գտնվող Բաշխիչ ցանցի երկարության միջին տարեկան փաստացի փոփոխությունն է,
5) α-ն աշխատողների թվաքանակի՝ Բաշխիչ ցանցի երկարության փոփոխությունից կախված փոփոխական մասը հաշվի առնող գործակիցն է, որը ընդունվում է 0.6։
(14.1-ին կետը լրաց. 01.07.25 N 234-Ն)
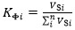
14.2. Սույն մեթոդիկայի 14-րդ կետում ամրագրված Գազպրոմի աշխատողների թվաքանակի մեծությունը ճշգրտվում է հետևյալ բանաձևով որոշվող գործակցով.
|
|
որտեղ՝ |
1) KԲՑ2030-ը 2030 թվականի օգոստոսի 1-ից սկսվող հաշվարկային տարիների համար Բաշխման ցանցի երկարության՝ նախատեսվածի համեմատ ավել աճով կամ նվազմամբ պայմանավորված Գազպրոմի աշխատողների թվաքանակի փոփոխությունը հաշվի առնող գործակիցն է,
2) ԲՑ2030-ը 2030 թվականի հունվարի 1-ի դրությամբ շահագործման մեջ գտնվող Բաշխման ցանցի փաստացի երկարությունն է։
(14.2-րդ կետը լրաց. 01.07.25 N 234-Ն)
14.3. Սույն մեթոդիկայի 13-րդ կետի 2-րդ ենթակետի «ա» պարբերությունում նշված մնացած ծախսերի առավելագույն մեծության որոշման նպատակով սակագնի հաշվարկներով նախատեսված գումարների հավաքագրման ծախսը ճշգրտվում է հետևյալ բանաձևով որոշվող գործակցով.
|
|
որտեղ՝ |
1) KԳՀ2025-ը 2025 թվականի օգոստոսի 1-ից սկսվող հաշվարկային տարվա համար բնակչության սպառման ծավալի և վերջինիս վաճառվող բնական գազի սակագնի աճով կամ նվազմամբ պայմանավորված գումարների հավաքագրման ծախսի փոփոխությունը հաշվի առնող գործակիցն է,
2) ՍՊբն2024-ը 2024 թվականին բնակչության կողմից բնական գազի փաստացի սպառման ծավալն է,
3) ՍՊբն2020-ը Առաջին հնգամյա ժամանակահատվածի առաջին հաշվարկային տարվա սակագնի հաշվարկներում ներառված՝ գումարների հավաքագրման ծախսի որոշման համար հիմք հանդիսացած բնակչության կողմից բնական գազի սպառման ծավալն է,
4) Սբն2024-ը 2024 թվականի փաստացի արդյունքներով բնակչությանը վաճառված բնական գազի սակագնի միջին կշռված մեծությունն է,
5) Սբն2020-ը Առաջին հնգամյա ժամանակահատվածի առաջին հաշվարկային տարվա սակագնի հաշվարկներում ներառված՝ գումարների հավաքագրման ծախսի որոշման համար հիմք հանդիսացած բնակչությանը վաճառվող բնական գազի սակագնի միջին կշռված մեծությունն է։
(14.3-րդ կետը լրաց. 01.07.25 N 234-Ն)
14.4. Սույն մեթոդիկայի 14-րդ կետում նշված մնացած ծախսերի առավելագույն մեծության որոշման նպատակով սակագնի հաշվարկներով նախատեսված գումարների հավաքագրման ծախսը ճշգրտվում է հետևյալ բանաձևով որոշվող գործակցով.
|
|
որտեղ՝ |
1) KԳՀ2030-ը 2030 թվականի օգոստոսի 1-ից սկսվող հաշվարկային տարվա համար բնակչության սպառման ծավալի և վերջինիս վաճառվող բնական գազի սակագնի աճով կամ նվազմամբ պայմանավորված գումարների հավաքագրման ծախսի փոփոխությունը հաշվի առնող գործակիցն է,
2) ՍՊբն2029-ը 2029 թվականին բնակչության կողմից բնական գազի փաստացի սպառման ծավալն է,
3) Սբն2029-ը 2029 թվականի փաստացի արդյունքներով բնակչությանը վաճառված բնական գազի սակագնի միջին կշռված մեծությունն է։
(14.4-րդ կետը լրաց. 01.07.25 N 234-Ն)
15. Առաջին հնգամյա ժամանակահատվածի և Երկրորդ հնգամյա ժամանակահատվածի ընթացքում գազամատակարարման համակարգում իրականացվող Ներդրումների ծավալը կկազմի աճողական մինչև 195 միլիարդ դրամ (բացառությամբ Հայաստանի Հանրապետության կառավարության որոշմամբ նախատեսված ռազմավարական նշանակություն ունեցող Ներդրումների, մասնավորապես՝ գազի ստորգետնյա պահեստ-կայանի հետ կապված Ներդրումների)։ Ընդ որում, Ներդրումային ծրագրերը սահմանված կարգով ենթակա են համաձայնեցման Հանձնաժողովի հետ։
(15-րդ կետը փոփ. 18.12.24 N 412-Ն)
16. Հիմնական միջոցների, ոչ նյութական ակտիվների և Ներդրումների արժեքի նկատմամբ մաշվածությունը (ամորտիզացիան) հաշվարկվում է գծային եղանակով` ելնելով դրանց սկզբնական (ձեռքբերման) արժեքից (հաշվի առած նաև սույն մեթոդիկայի 13-րդ կետի 4-րդ ենթակետը) և օգտակար կյանքի տևողությունից։ Առաջին հնգամյա ժամանակահատվածի և Երկրորդ հնգամյա ժամանակահատվածի համար հիմնական միջոցների, ոչ նյութական ակտիվների և Ներդրումների արժեքի նկատմամբ կիրառվում է 4 տոկոս մաշվածության նորմա։ Ներդրումների իրականացման համար ներգրավված փոխառու միջոցների վերադարձի ժամկետում Գազպրոմի և Տրանսգազի վճարունակության ապահովման նպատակով կարող է կիրառվել ավելի բարձր մաշվածության նորմա, սակայն ոչ ավելի, քան տարեկան 8 տոկոսը:
17. Անհուսալի դեբիտորական պարտքերը (ԱԴՊ) ներառվում են անհրաժեշտ հասույթի կազմում հետևյալ չափերով՝
1) Առաջին հնգամյա ժամանակահատվածի ընթացքում՝ առաքվող բնական գազի արժեքի 0.23 տոկոսի չափով,
2) Երկրորդ հնգամյա ժամանակահատվածի ընթացքում՝ առաքվող բնական գազի արժեքի 0.20 տոկոսի չափով,
3) Երկրորդ հնգամյա ժամանակահատվածից հետո՝ առաքվող բնական գազի արժեքի 0.15 տոկոսի չափով։
18. Թույլատրելի շահույթը (ԹՇ) հաշվարկվում է որպես շահույթի հաշվարկման բազայի (ՇԲ) և թույլատրելի շահույթի նորմայի (ՇՆ) արտադրյալ՝ ԹՇ = ՇԲ * ՇՆ։
19. Շահույթի հաշվարկման բազան հաշվարկվում է հետևյալ բանաձևով.
ՇԲ = ՕՕԱ - ՍՎԱ - ԿՄ + ՇԿ , որտեղ՝
1) ՕՕԱ-ն Հանձնաժողովի կողմից լիցենզավորված գործունեություն իրականացնելու համար օգտակար և օգտագործվող ճանաչված հիմնական միջոցների, ոչ նյութական ակտիվների և Ներդրումների արժեքն է՝ հաշվի առած նաև սույն մեթոդիկայի 13-րդ կետի 4-րդ ենթակետը (դրամ),
2) ՍՎԱ-ն սպառողների կողմից վճարված և չփոխհատուցված ակտիվների արժեքն է, օրինակ՝ հաշվիչների կամ շինարարության արժեքը (դրամ),
3) ԿՄ–ն կուտակված մաշվածությունն է (դրամ),
4) ՇԿ–ն Հանձնաժողովի կողմից թույլատրված շրջանառու կապիտալի մեծությունն է (դրամ)։
20. Շրջանառու կապիտալի մեծությունը որոշվում է հետևյալ բանաձևով. ՇԿ = ՇՊԾ / 12:
21. Շահույթի հաշվարկման բազան 2020 թվականի հուլիսի 19-ից (ջերմային էլեկտրակայանների համար 2020 թվականի օգոստոսի 1-ից) գործող գազամատակարարման համակարգի կարգավորվող սակագների հաշվարկներում ամբողջ գազամատակարարման համակարգի համար կազմում է 130857.13 միլիոն դրամ, որը ժամանակ առ ժամանակ (բայց ոչ հաճախ, քան տարին մեկ անգամ) վերահաշվարկվում է` հաշվի առնելով՝
1) Հանձնաժողովի հետ համաձայնեցված և ընդունված փաստացի Ներդրումները (այդ թվում՝ նախնական տվյալներով ներառված Ներդրումների վերլուծության արդյունքներով ճշգրտումը)՝ նվազեցնելով այլ անձանց միջոցներով իրականացված ներդրումները,
2) կուտակված մաշվածությունը (ամորտիզացիան),
3) շրջանառու կապիտալի թույլատրված մեծության փոփոխությունը։
22. Շահույթի թույլատրելի նորման սահմանվում է՝ ելնելով Հայաստանի Հանրապետությունում ռիսկի նույն մակարդակով գործող ընկերությունների շահութաբերության վերլուծությունից։ Առաջին հնգամյա ժամանակահատվածի և Երկրորդ հնգամյա ժամանակահատվածի համար շահույթի թույլատրելի նորման ընդունվում է 12.5 տոկոս (մինչև հարկումը)։
23. Սույն մեթոդիկայի 16-րդ, 18-22-րդ կետերի համաձայն հաշվարկվող և յուրաքանչյուր հաշվարկային տարվա սակագների հաշվարկում ներառվող մաշվածության (ամորտիզացիայի)` հաշվարկված սույն մեթոդիկայի 16-րդ կետով սահմանված 4 տոկոս նորմայով, և թույլատրելի շահույթի գումարային տարեկան մեծությունը (բացառությամբ Հայաստանի Հանրապետության կառավարության որոշմամբ նախատեսված ռազմավարական նշանակություն ունեցող Ներդրումների, մասնավորապես՝ գազի ստորգետնյա պահեստ-կայանի հետ կապված Ներդրումների, նկատմամբ հաշվարկվող մեծության) ամբողջ գազամատակարարման համակարգի համար չպետք է գերազանցի 60 միլիոն ԱՄՆ դոլարին համարժեք Հայաստանի Հանրապետության դրամով արտահայտված մեծությունը, որը չի կարող պակաս լինել 28800 միլիոն Հայաստանի Հանրապետության դրամից։ Միևնույն ժամանակ՝
1) սույն կետում նշված 60 միլիոն ԱՄՆ դոլարին համարժեք Հայաստանի Հանրապետության դրամով արտահայտված մեծությունը (նվազագույնը՝ 28800 միլիոն Հայաստանի Հանրապետության դրամ) սակագների՝
ա. 2022 թվականից սկսած վերանայումների ժամանակ ավելացվում է Տրանսգազի կողմից մատուցվող Փոխադրման ծառայության (բացառությամբ ներքին սպառման մասով Գազպրոմին մատուցվող Փոխադրման ծառայության) հաշվարկային արժեքի՝ տվյալ տարվա սակագների հաշվարկներով ձևավորվող և 2021 թվականի սակագների հաշվարկներով ձևավորվող մեծությունների տարբերության չափով, եթե տեղի է ունեցել նշված Փոխադրման ծառայության արժեքի աճ` 2021 թվականի սակագների հաշվարկներով ձևավորվող մեծության նկատմամբ,
բ. 2025 թվականի վերանայման ժամանակ ավելացվում է 2024 և 2025 թվականների սակագների վերանայումների ժամանակ հաշվարկներում ներառվող աշխատողների թվաքանակների տարբերության և 2025 թվականի սակագնային մարժայի հաշվարկներում ներառվող միջին տարեկան աշխատավարձի արտադրյալի, 2024 և 2025 թվականների սակագների վերանայումների ժամանակ հաշվարկներում ներառվող նորոգման և նյութական ծախսերի (սպառողական գների ինդեքսով ճշգրտված), մնացած ծախսերի և Թույլատրելի կորուստների արժեքների (հաշվարկված 2025 թվականի սակագների հաշվարկներում ներառվող բնական գազի գնման գնով) տարբերությունների հանրագումարի չափով.
գ. 2030 թվականի վերանայման ժամանակ ավելացվում է 2029 և 2030 թվականների սակագնային մարժաների վերանայումների ժամանակ հաշվարկներում ներառվող աշխատողների թվաքանակների տարբերության և 2030 թվականի սակագների հաշվարկներում ներառվող միջին տարեկան աշխատավարձի արտադրյալի, 2029 և 2030 թվականների սակագնային մարժաների վերանայումների ժամանակ հաշվարկներում ներառվող նորոգման և նյութական ծախսերի (սպառողական գների ինդեքսով ճշգրտված), մնացած ծախսերի և Թույլատրելի կորուստների արժեքների (հաշվարկված 2030 թվականի սակագների հաշվարկներում ներառվող բնական գազի գնման գնով) տարբերությունների հանրագումարի չափով.
2) որևէ հաշվարկային տարում սակագների հաշվարկում ներառվող մաշվածության (ամորտիզացիայի)` հաշվարկված սույն մեթոդիկայի 16-րդ կետով սահմանված 4 տոկոս նորմայով, և թույլատրելի շահույթի գումարային տարեկան մեծությունը սույն կետում նշված 60 միլիոն ԱՄՆ դոլարին համարժեք Հայաստանի Հանրապետության դրամով արտահայտված (նվազագույնը՝ 28800 միլիոն Հայաստանի Հանրապետության դրամ) մեծությունը (վերանայված՝ 2022 թվականից սկսած) գերազանցելու դեպքում Հանձնաժողովի կողմից ընդունված Ներդրումների ծավալը նվազեցվում է համապատասխան չափով, որն այնուհետև հաշվի է առնվում սակագների հաջորդ տարիների վերանայումների ժամանակ՝ պահպանելով սույն կետում ամրագրված պայմանները։
(23-րդ կետը լրաց. 01.07.25 N 234-Ն)
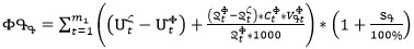
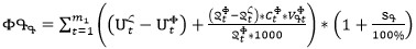
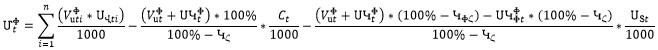
24. Գազպրոմի փոխհատուցման գումարը (ՓԳԳ) որոշվում է հետևյալ բանաձևով.
,
որտեղ՝
1) m1-ը Հանձնաժողովի նիստին սակագների վերանայման վերաբերյալ որոշման նախագծի ներկայացման ամսվան նախորդող այն ժամանակահատվածի ամիսներն են (բացառությամբ նշված նախագծի ներկայացման ամսվան նախորդող ամսվա), որոնք սկսվում են 2020 թվականի օգոստոս ամսից և որոնց համար սույն կետի համաձայն չի հաշվարկվել և սակագներում չի ներառվել Գազպրոմի փոխհատուցման գումար,
2) ՄՀt-ն t-րդ ամսում Գազպրոմի հաշվարկային անհրաժեշտ հասույթի և գնվող բնական գազի արժեքի տարբերությունն է, որը որոշվում է սույն մեթոդիկայի 25-րդ կետի համաձայն (դրամ),
3) ՄՓt-ն t-րդ ամսում Գազպրոմի փաստացի անհրաժեշտ հասույթի և գնված բնական գազի արժեքի տարբերությունն է, որը որոշվում է սույն մեթոդիկայի 26-րդ կետի համաձայն (դրամ),
4) ՋՓt-ն t-րդ ամսում Գազպրոմի կողմից ներկրված բնական գազի այրման ստորին ջերմության փաստացի միջին կշռված մեծությունն է (կկալ/խմ), որը Գազպրոմի կողմից բնական գազի գնման պայմանագրում բնական գազի այրման ստորին ջերմության փաստացի արժեքից կախված բնական գազի գնի ճշգրտում նախատեսված չլինելու դեպքում ընդունվում է հավասար ՋՀt մեծությանը,
5) ՋՀt-ն t-րդ ամսում Գազպրոմի կողմից ներկրվող բնական գազի այրման ստորին ջերմության արժեքի՝ սակագնի հաշվարկում ներառված մեծությունն է (կկալ/խմ),
6) CՓt-ն t-րդ ամսում Գազպրոմի կողմից ներկրվող բնական գազի գնման փաստացի գինն է (դրամ/հազար խորանարդ մետր)՝ հաշվարկված ֆինանսական հաշվառման նպատակով ձևակերպված և Հանձնաժողով ներկայացված հաշվետվություններում արտացոլված փոխարժեքով,
7) VՓԳt-ն t-րդ ամսում Գազպրոմի կողմից ներկրված բնական գազի ընդհանուր փաստացի քանակն է (խորանարդ մետր),
8) ՏԳ-ն Գազպրոմի փոխհատուցման ենթակա գումարի վրա կիրառվող տոկոսադրույքն է, որն ընդունվում է հավասար 10 տոկոս։
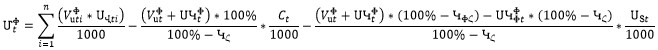
25. ՄՀt մեծությունը հաշվարկվում է հետևյալ բանաձևով`
,
որտեղ՝
1) n-ը սպառողական խմբերն են,
2) VՀսti-ն t-րդ ամսում i-րդ սպառողական խմբի կողմից սպառվող բնական գազի (առանց Փոխադրման ցանցում և Բաշխման ցանում սեփական և տնտեսական կարիքների) հաշվարկային քանակն է (խորանարդ մետր),
3) ՍՎti-ն t-րդ ամսում Գազպրոմի կողմից i-րդ սպառողական խմբին վաճառվող բնական գազի սակագինն է (դրամ/հազար խորանարդ մետր), ընդ որում, բնական գազի սակագինը արտարժույթից կախված բանաձևի տեսքով սահմանված լինելու դեպքում սակագնի դրամական արտահայտությամբ որոշման նպատակով սույն կետով նախատեսված հաշվարկների համար վերցվում է տվյալ ամսվա գործող սակագնի հաշվարկներում ներառված տվյալ արտարժույթի նկատմամբ հայկական դրամի փոխարժեքի մեծությունը, իսկ սույն մեթոդիկայի 26-րդ կետով նախատեսված հաշվարկների համար՝ տվյալ ամսվա սակագնի սահմանման որոշմամբ նշված տվյալ արտարժույթի նկատմամբ հայկական դրամի փոխարժեքի մեծությունը,
4) ԳԳԱՀt-ն t-րդ ամսում գնվող բնական գազի հաշվարկային արժեքն է (դրամ),
5) VՀԳt-ն t-րդ ամսում Գազպրոմի կողմից ներկրվող բնական գազի ընդհանուր հաշվարկային քանակն է (խորանարդ մետր),
6) ∆VՀԳՓt-ն t-րդ ամսում Գազպրոմի կողմից ներկրվող բնական գազի մասով Փոխադրման ցանցում առաջացող Թույլատրելի կորուստի և Փոխադրման ցանցում սեփական կարիքների համար օգտագործվող բնական գազի հաշվարկային քանակն է (խորանարդ մետր),
7) ՍՏt-ն t-րդ ամսում գործող Փոխադրման ծառայության սակագինն է (դրամ/հազար խորանարդ մետր)։
26. ՄՓt մեծությունը հաշվարկվում է հետևյալ բանաձևով՝
,
որտեղ՝
1) VՓսti-ն t-րդ ամսում i-րդ սպառողական խմբի կողմից սպառված բնական գազի (առանց Փոխադրման ցանցում և Բաշխման ցանում սեփական և տնտեսական կարիքների) փաստացի քանակն է (խորանարդ մետր), ընդ որում Գազպրոմի շոգեգազային ցիկլով էլեկտրական էներգիա արտադրող «Հրազդան-5» կայանի ներքին շուկայի մասով փաստացի սպառումը որոշվում է վերջինիս կողմից փաստացի ծախսված բնական գազի ընդամենը քանակի և ներքին շուկա առաքված էլեկտրական էներգիայի ու ընդամենը առաքված էլեկտրական էներգիայի քանակների հարաբերության արտադրյալով, իսկ տվյալ ամսում էլեկտրական էներգիայի առաքում չունենալու դեպքում՝ փաստացի ծախսված բնական գազի ընդամենը քանակի չափով,
2) VՓսt-ն t-րդ ամսում բոլոր սպառողական խմբերի կողմից սպառված բնական գազի (առանց Փոխադրման ցանցում և Բաշխման ցանում սեփական և տնտեսական կարիքների) փաստացի քանակն է (խորանարդ մետր),
3) ՍԿՓt-ն t-րդ ամսում Փոխադրման ցանցում և Բաշխման ցանում սեփական և տնտեսական կարիքների համար օգտագործված բնական գազի փաստացի քանակն է (խորանարդ մետր),
4) ԿՀ-ն Գազպրոմի կողմից ներկրվող բնական գազի նկատմամբ Փոխադրման ցանցում և Բաշխման ցանցում առաջացող Թույլատրելի կորուստի հաշվարկային տոկոսային մեծությունն է (տոկոս),
5) Ct-ն t-րդ ամսում Գազպրոմի կողմից ներքին շուկայի սպառման համար ներկրվող բնական գազի գնման գինն է` համաձայն բնական գազի գնման պայմանագրի (դրամ/հազար խորանարդ մետր)՝ հաշվարկված ֆինանսական հաշվառման նպատակով ձևակերպված և Հանձնաժողով ներկայացված հաշվետվություններում արտացոլված փոխարժեքով (Գազպրոմի կողմից բնական գազի գնման պայմանագրում բնական գազի այրման ստորին ջերմության փաստացի արժեքից կախված բնական գազի գնման գնի ճշգրտում նախատեսված լինելու դեպքում Ct մեծությունը համապատասխանեցվում է սակագների հաշվարկում ներառված բնական գազի այրման ստորին ջերմության արժեքին),
6) ԿՓՀ-ն Փոխադրման ցանցում առաջացող Թույլատրելի կորուստի հաշվարկային տոկոսային մեծությունն է (տոկոս),
7) ՍԿՓՓt-ն t-րդ ամսում Փոխադրման ցանում սեփական և տնտեսական կարիքների համար օգտագործված բնական գազի փաստացի քանակն է (խորանարդ մետր):
27. Տրանսգազի փոխհատուցման գումարը (ՓԳՏ) որոշվում է հետևյալ բանաձևով.
,
որտեղ՝
1) m2-ը Հանձնաժողովի նիստին սակագների վերանայման վերաբերյալ որոշման նախագծի ներկայացման ամսվան նախորդող այն ժամանակահատվածի ամիսներն են (բացառությամբ նշված նախագծի ներկայացման ամսվան նախորդող ամսվա), որոնք սկսվում են 2020 թվականի օգոստոս ամսից և որոնց համար սույն կետի համաձայն չի հաշվարկվել և սակագներում չի ներառվել Տրանսգազի փոխհատուցման գումար,
2) ՓՀt-ն t-րդ ամսում Տրանսգազի կողմից փոխադրվող բնական գազի հաշվարկային քանակն է (խորանարդ մետր),
3) ՓՓt-ն t-րդ ամսում Տրանսգազի կողմից փոխադրված բնական գազի փաստացի քանակն է (խորանարդ մետր),
4) ՏՏ-ն Տրանսգազի փոխհատուցման ենթակա գումարի վրա կիրառվող տոկոսադրույքն է, որն ընդունվում է հավասար 10 տոկոս։
28. Գազամատակարարման համակարգի սակագների հաշվարկում ներառվող Թույլատրելի կորուստների մեծությունը ներկրվող բնական գազի ծավալի նկատմամբ՝
1) Առաջին հնգամյա ժամանակահատվածի համար կընդունվի 5.07 տոկոս, այդ թվում՝ Փոխադրման ցանցի մասով՝ 3.54 տոկոս և Բաշխման ցանցի մասով՝ 1.53 տոկոս.
2) 2025 թվականին սակագների վերանայման ժամանակ կորոշվի փաստացի տվյալների վերլուծության հիման վրա և Երկրորդ հնգամյա ժամանակահատվածի համար կմնա անփոփոխ, որը սակայն չպետք է գերազանցի 3.9 տոկոսը, այդ թվում՝ Փոխադրման ցանցի մասով՝ 2.4 տոկոսը և Բաշխման ցանցի մասով՝ 1.5 տոկոսը.
3) 2030 թվականին սակագների վերանայման ժամանակ և հետագա տարիներին կորոշվի փաստացի տվյալների վերլուծության հիման վրա, որը սակայն չպետք է գերազանցի՝
ա. Փոխադրման ցանցի մասով՝ Տրանսգազի կողմից փոխադրվող մինչև 3 միլիարդ խորանարդ մետր բնական գազի հաշվարկային քանակի համար՝ 2 տոկոսը և 3 միլիարդ խորանարդ մետրը գերազանցող քանակի համար՝ 1.5 տոկոսը,
բ. Բաշխման ցանցի մասով՝ 1.4 տոկոսը։
3. ԾԱԽՍԵՐԻ ԴԱՍԱԿԱՐԳՈՒՄ
29. Ծախսերի վերլուծության և դրանք սպառողական խմբերի միջև բաշխման նպատակով բոլոր ծախսերը դասակարգվում են երեք խմբի՝ հաստատուն ծախսեր, փոփոխական ծախսեր և սպառողների սպասարկման ծախսեր։
30. Հաստատուն ծախսերն այն ծախսերն են, որոնք կատարվում են անկախ մատակարարված գազի ծավալից և սպառողների քանակից։ Այդ ծախսերն ընդգրկում են շահագործման և պահպանման ծախսերը (բացառությամբ սույն մեթոդիկայի 31-րդ և 32-րդ կետերում նշված ծախսերի), հիմնական միջոցների, ոչ նյութական ակտիվների և Ներդրումների արժեքի նկատմամբ հաշվարկվող մաշվածությունը (ամորտիզացիան), Գազպրոմի փոխհատուցման գումարը, Տրանսգազի փոխհատուցման գումարը, որոնք պետք է հատուցվեն` անկախ մատակարարված գազի քանակից։ Հիմնական միջոցների, ոչ նյութական ակտիվների և Ներդրումների զուտ արժեքի նկատմամբ հաշվարկվող թույլատրելի շահույթը դիտարկվում է որպես ծախս և ներառվում է հաստատուն ծախսերի մեջ։
31. Փոփոխական ծախսերն այն ծախսերն են, որոնք փոփոխվում են կախված մատակարարված գազի քանակից։ Այդ ծախսերն ընդգրկում են Գազպրոմի կողմից վաճառողներից գնվող բնական գազի արժեքը, բնական գազի փոխադրման և օպերատիվ տեխնոլոգիական կարգավարման արժեքը, անհուսալի դեբիտորական պարտքերի մեծությունը և բնական գազի ծավալի հետ կապված շահագործման և պահպանման ծախսերը։
32. Սպառողների սպասարկման ծախսերն այն ծախսերն են, որոնք անմիջականորեն կապված են սպառողների սպասարկման հետ։ Դրանք ընդգրկում են առևտրային հաշվիչների ցուցմունքները վերցնելու, հաշիվների ներկայացման, վճարների հավաքագրման, հաշվառման և սպառողների սպասարկմանն առնչվող այլ ծախսերը, ինչպես նաև հաշվիչների շահագործման հետ կապված ծախսերը։
4. ՍՊԱՌՈՂԱԿԱՆ ԽՄԲԵՐԻ ՁԵՎԱՎՈՐՈՒՄ
33. Սակագների տարբերակումը կարող է իրականացվել ըստ սպառման ծավալի, պատվիրված հզորության, տարվա եղանակի, օրվա ժամերի, միացման պայմանների, ծառայությունների տեսակների, ինչպես նաև խոցելի սպառողներ լինելու հանգամանքի։ Սակագների տարբերակումն իրականացվում է սպառողներին ըստ խմբերի դասակարգմամբ։
34. Սպառողների դասակարգումը և սպառողական խմբերի կազմի ընտրությունն իրականացվում է Գազպրոմի կամ Հանձնաժողովի նախաձեռնությամբ և (կամ) Հայաստանի Հանրապետության կառավարության առաջարկությամբ և հաստատվում է Հանձնաժողովի կողմից։
5. ՍՊԱՌՈՂԱԿԱՆ ԽՄԲԵՐԻ ՄԻՋԵՎ ԴԱՍԱԿԱՐԳՎԱԾ ԾԱԽՍԵՐԻ ԲԱՇԽՈՒՄ
35. Դասակարգված ծախսերի բաշխումը սպառողական խմբերի միջև իրականացվում է բաշխման գործակիցների միջոցով, որոնք պետք է որոշվեն այնպես, որ հնարավորինս ճշգրիտ արտահայտեն սպառողական խմբերի կողմից ծախսերի առաջացման պատճառները։
36. Հաստատուն ծախսերի բաշխումն իրականացվում է առանձին սպառողական խմբերի սեփական գագաթնային սպառման մեծությանը համամասնաբար, անկախ նրանից, թե երբ է տեղի ունենում այդպիսի սպառումը։ Բաշխման այս եղանակն անվանում են չհամընկնող գագաթնային սպառման վրա հիմնված, ի տարբերություն համընկնող գագաթնային սպառման վրա հիմնված եղանակի, երբ բաշխումն իրականացվում է համակարգի առավելագույն սպառման պահին առանձին սպառողական խմբերի սպառմանը համամասնաբար։ Բաշխման գործակիցները որոշվում են հետևյալ բանաձևով.
,
որտեղ՝
1) KՀi-ն հաստատուն ծախսերի i-րդ սպառողական խմբի բաշխման գործակիցն է,
2) VՕi-ն i-րդ սպառողական խմբի առավելագույն օրական սպառումն է (խորանարդ մետր)։
37. Փոփոխական ծախսերի բաշխումն իրականացվում է սպառողական խմբերի տարեկան սպառման մեծությանը համամասնաբար։ Բաշխման գործակիցները որոշվում են հետևյալ բանաձևով.
,
որտեղ՝
1) KՓi-ն փոփոխական ծախսերի i-րդ սպառողական խմբի բաշխման գործակիցն է,
2) VՏi-ն i-րդ սպառողական խմբի տարեկան սպառումն է (խորանարդ մետր)։
38. Սպառողների սպասարկման ծախսերի բաշխումն իրականացվում է սպառողական խմբերում «բերված» սպառողների քանակին համամասնաբար։ Նկատի ունենալով, որ տարբեր սպառողական խմբերում ընդգրկված սպառողների սպասարկումն առաջացնում է տարբեր ծախսեր և, որպես միավոր ընդունելով մեկ բնակիչ սպառողը, մնացած խմբերի սպառողների համար կիրառվում են «բերման» գործակիցներ, որոնք այս կամ այն ճշտությամբ արտացոլում են այդ տարբերությունները։ Սպառողների սպասարկման ծախսերի բաշխման գործակիցները որոշվում են հետևյալ բանաձևով.
,
որտեղ՝
1) KՍi-ն սպառողների սպասարկման ծախսերի i-րդ սպառողական խմբի բաշխման գործակիցն է,
2) αi-ն i-րդ սպառողական խմբի մեկ բաժանորդի բնակիչ բաժանորդին բերման գործակիցն է, որը ցույց է տալիս, թե տվյալ խմբի մեկ բաժանորդի միջինացված սպասարկման ծախսերը մոտավորապես քանի բնակիչ բաժանորդի սպասարկման ծախսերին են համարժեք,
3) ԲՔi-ն i-րդ սպառողական խմբի բաժանորդների քանակն է:
39. Դասակարգված ծախսերի բաշխումը կատարվում է սույն մեթոդիկայի 36-38-րդ կետերի համաձայն որոշված բաշխման գործակիցների հիման վրա հետևյալ բանաձևերով՝
1) ԾՀi = KՀi * ԾՀ ,
2) ԾՓi = KՓi * ԾՓ ,
3) ԾՍi = KՍi * ԾՍ ,
4) սույն կետի 1-3-րդ կետերում նշված՝
ա. ԾՀ-ն, ԾՓ-ն և ԾՍ-ն համապատասխանաբար գազամատակարարման համակարգի հաստատուն, փոփոխական և սպառողների սպասարկման ծախսերն են (դրամ),
բ. ԾՀi-ն, ԾՓi-ն և ԾՍi-ն i-րդ սպառողական խմբի կողմից հատուցվող համապատասխանաբար հաստատուն, փոփոխական և սպառողների սպասարկման ծախսերի մասնաբաժինն է (դրամ)։
6. ԳԱԶԱՄԱՏԱԿԱՐԱՐՄԱՆ ՀԱՄԱԿԱՐԳԻ ԿԱՐԳԱՎՈՐՎՈՂ ՍԱԿԱԳՆԵՐԻ ՀԱՇՎԱՐԿ
40. Փոխադրման ծառայության սակագինը (ՍՏ) յուրաքանչյուր հազար խորանարդ մետր փոխադրված բնական գազի համար որոշվում է հետևյալ բանաձևով.
,
որտեղ՝
1) V-ն հանրապետություն ներկրվող բնական գազի քանակն է (խորանարդ մետր),
2) ∆VՓ-ն հանրապետություն ներկրվող բնական գազի՝ Փոխադրման ցանցում առաջացող Թույլատրելի կորուստի և Փոխադրման ցանցում սեփական կարիքների համար օգտագործվող բնական գազի քանակն է (խորանարդ մետր)։
41. Բաշխման ծառայության սակագինը (ՍԲ) յուրաքանչյուր հազար խորանարդ մետր բաշխված բնական գազի համար որոշվում է հետևյալ բանաձևով.
,
որտեղ ԾԳՍ-ն սպառողների սպասարկման այն ծախսերն են, որոնք առաջանում են միայն Գազպրոմի կողմից իր բաժանորդներին բնական գազ վաճառելու և այդ նպատակով բնական գազ գնելու արդյունքում, մասնավորապես՝ գումարների հավաքագրման ծախսը, արժույթի փոխարկման ծախսը (դրամ)։ Այս ծախսում չեն ընդգրկվում հաշվիչների շահագործման, ցուցմունքներ վերցնելու, հաշիվների ներկայացման և հաշվառման հետ կապված ծախսերը։
42. Օպերատորի ծառայության սակագինը (ՍՕ) յուրաքանչյուր հազար խորանարդ մետր բաշխված բնական գազի համար որոշվում է հետևյալ բանաձևով.
:
43. Գազպրոմի կողմից սպառողներին վաճառվող բնական գազի սակագների հաշվարկներն իրականացվում են միադրույք սակագնային համակարգում, որը սակայն չի սահմանափակում Հանձնաժողովի իրավունքը՝ սեփական նախաձեռնությամբ, Հայաստանի Հանրապետության կառավարության առաջարկությամբ կամ Գազպրոմի առաջարկությամբ բնական գազի վաճառքի սակագների վերանայման ժամանակ քննարկելու և օրենսդրությամբ նախատեսված դեպքերում կիրառելու երկդրույք սակագնային համակարգ։ Միադրույք սակագնային համակարգում Գազպրոմի կողմից i-րդ սպառողական խմբին վաճառվող յուրաքանչյուր հազար խորանարդ մետր բնական գազի սակագինը (ՍՎi) որոշվում է հետևյալ բանաձևով.
,
որտեղ Vսi-ն Գազպրոմի կողմից i-րդ սպառողական խմբին առաքվող (վաճառվող) բնական գազի քանակն է (խորանարդ մետր)։
44. Սույն մեթոդիկայի 43-րդ կետը չի սահմանափակում Հանձնաժողովի իրավունքը՝ սեփական նախաձեռնությամբ, Հայաստանի Հանրապետության կառավարության առաջարկությամբ կամ Գազպրոմի առաջարկությամբ բնական գազի վաճառքի սակագների վերանայման ժամանակ քննարկելու և նշված սակագները բոլոր սպառողական խմբերի համար վերանայելու հավասարաչափ՝ միջին կշռված սակագնի փոփոխության չափով, կամ քննարկումների արդյունքում կիրառելու այլ մոտեցումներ, որի դեպքում սպառողների համար սահմանվող բնական գազի վաճառքի սակագները պետք է բավարարեն հետևյալ բանաձևով ներկայացված պայմանին.
:
45. Գազպրոմն ու Տրանսգազը սույն մեթոդիկային համապատասխան իրականացնում և Հանձնաժողով են ներկայացնում Առաջին հնգամյա ժամանակահատվածի և Երկրորդ հնգամյա ժամանակահատվածի յուրաքանչյուր հաշվարկային տարվա սակագների հաշվարկներում ներառված ցուցանիշների ճշգրտումներն ու հաշվարկները։
46. Եթե Գազպրոմի կողմից սպառողներին վաճառվող բնական գազի միջին կշռութային սակագնի՝ սույն մեթոդիկայի համաձայն որևէ հաշվարկային տարվա համար հաշվարկված և սպառողներին վաճառվող բնական գազի գործող սակագներով ու տվյալ հաշվարկային տարվա համար կանխատեսված սպառման ծավալներով ձևավորված մեծությունների տարբերությունը չի գերազանցում 0.5 տոկոսը, ապա տվյալ հաշվարկային տարվա համար սպառողներին վաճառվող բնական գազի սակագների փոփոխություն չի իրականացվում, ինչպես նաև սույն կետում նշված տարբերությունը հաշվի չի առնվում հաջորդ հաշվարկային տարիներին սպառողներին վաճառվող բնական գազի սակագների վերանայումների ժամանակ:
(հավելվածը փոփ. 18.12.24 N 412-Ն, լրաց. 01.07.25 N 234-Ն)
Պաշտոնական հրապարակման օրը՝ 3 փետրվարի 2023 թվական: