ՀԱՅԱՍՏԱՆԻ ՀԱՆՐԱՊԵՏՈՒԹՅԱՆ ԿԱՌԱՎԱՐՈՒԹՅՈՒՆ
Ո Ր Ո Շ ՈՒ Մ
13 ապրիլի 2017 թվականի N 381-Ն
ՀԱՅԱՍՏԱՆԻ ՀԱՆՐԱՊԵՏՈՒԹՅԱՆ ՊԵՏԱԿԱՆ ԳԱՆՁԱՊԵՏԱԿԱՆ ԿԱՐՃԱԺԱՄԿԵՏ ՊԱՐՏԱՏՈՄՍԵՐԻ, ՄԻՋՆԱԺԱՄԿԵՏ ԵՎ ԵՐԿԱՐԱԺԱՄԿԵՏ ԱՐԺԵԿՏՐՈՆԱՅԻՆ ՊԱՐՏԱՏՈՄՍԵՐԻ ԹՈՂԱՐԿՄԱՆ, ՏԵՂԱԲԱՇԽՄԱՆ, ՀԵՏԳՆՄԱՆ, ՇՐՋԱՆԱՌՈՒԹՅԱՆ ԵՎ ՄԱՐՄԱՆ ԿԱՐԳԸ, ՀԱՅԱՍՏԱՆԻ ՀԱՆՐԱՊԵՏՈՒԹՅԱՆ ՊԵՏԱԿԱՆ ԳԱՆՁԱՊԵՏԱԿԱՆ ԽՆԱՅՈՂԱԿԱՆ ԱՐԺԵԿՏՐՈՆԱՅԻՆ ՊԱՐՏԱՏՈՄՍԵՐԻ ԹՈՂԱՐԿՄԱՆ, ՏԵՂԱԲԱՇԽՄԱՆ, ՀԵՏԳՆՄԱՆ ԵՎ ՄԱՐՄԱՆ ԿԱՐԳԸ, ԳԱՆՁԱՊԵՏԱԿԱՆ ՊԱՀԱՌՈՒԻ ԳՈՐԾՈՒՆԵՈՒԹՅԱՆ ԿԱՐԳԸ ՀԱՍՏԱՏԵԼՈՒ ԵՎ ՀԱՅԱՍՏԱՆԻ ՀԱՆՐԱՊԵՏՈՒԹՅԱՆ ԿԱՌԱՎԱՐՈՒԹՅԱՆ 2007 ԹՎԱԿԱՆԻ ԴԵԿՏԵՄԲԵՐԻ 27-Ի N 1580-Ն, ՀԱՅԱՍՏԱՆԻ ՀԱՆՐԱՊԵՏՈՒԹՅԱՆ ԿԱՌԱՎԱՐՈՒԹՅԱՆ 2006 ԹՎԱԿԱՆԻ ՀՈԿՏԵՄԲԵՐԻ 19-Ի N 1606-Ն ՈՐՈՇՈՒՄՆԵՐՆ ՈՒԺԸ ԿՈՐՑՐԱԾ ՃԱՆԱՉԵԼՈՒ ՄԱՍԻՆ
Ղեկավարվելով «Պետական պարտքի մասին» Հայաստանի Հանրապետության օրենքի 17-րդ հոդվածի 2-րդ մասով, ինչպես նաև «Իրավական ակտերի մասին» Հայաստանի Հանրապետության օրենքի 14-րդ հոդվածի 3-րդ մասով՝ Հայաստանի Հանրապետության կառավարությունը որոշում է.
1. Հաստատել՝
1) Հայաստանի Հանրապետության պետական գանձապետական կարճաժամկետ պարտատոմսերի, միջնաժամկետ և երկարաժամկետ արժեկտրոնային պարտատոմսերի թողարկման, տեղաբաշխման, հետգնման, փոխանակման, շրջանառության և մարման կարգը՝ համաձայն N 1 հավելվածի.
2) Հայաստանի Հանրապետության պետական գանձապետական խնայողական արժեկտրոնային պարտատոմսերի թողարկման, տեղաբաշխման, հետգնման և մարման կարգը՝ համաձայն N 2 հավելվածի.
3) գանձապետական պահառուի գործունեության կարգը՝ համաձայն N 3 հավելվածի.
4) Հայաստանի Հանրապետության պետական գանձապետական գնաճին կցված արժեկտրոնային պարտատոմսերի թողարկման, տեղաբաշխման, շրջանառության և մարման կարգը՝ համաձայն N 4 հավելվածի:
(1-ին կետը լրաց., փոփ. 25.04.24 N 607-Ն)
2. Սույն որոշումն ուժի մեջ մտնելու պահից ուժը կորցրած ճանաչել`
1) Հայաստանի Հանրապետության կառավարության 2007 թվականի դեկտեմբերի 27-ի «Հայաստանի Հանրապետության պետական (գանձապետական) պարտատոմսերի թողարկման պայմանները, Հայաստանի Հանրապետության պետական (գանձապետական) պարտատոմսերի տեղաբաշխման, շրջանառության, հետգնման և մարման սպասարկման կարգերը հաստատելու և Հայաստանի Հանրապետության կառավարության 2004 թվականի հունիսի 3-ի N 1103-Ն որոշումն ուժը կորցրած ճանաչելու մասին» N 1580-Ն որոշումը.
2) Հայաստանի Հանրապետության կառավարության 2006 թվականի հոկտեմբերի 19-ի «Հայաստանի Հանրապետության պետական (գանձապետական) խնայողական արժեկտրոնային պարտատոմսերի թողարկման պայմանները, Հայաստանի Հանրապետության պետական (գանձապետական) խնայողական արժեկտրոնային պարտատոմսերի տեղաբաշխման և մարման սպասարկման կարգը հաստատելու մասին» N 1606-Ն որոշումը:
3. Հայաստանի Հանրապետության ֆինանսների նախարարին՝
1) առաջարկել Հայաստանի Հանրապետության կենտրոնական բանկի նախագահին`
ա. մինչև 2017 թվականի ապրիլի 25-ը Հայաստանի Հանրապետության ֆինանսների նախարարության հետ կնքել սույն որոշման NN 1 և 2 հավելվածներով նախատեսված կենտրոնական պահառության, վերջնահաշվարկի, մարման սպասարկման իրականացման պայմանագիր,
բ. Հայաստանի Հանրապետության կենտրոնական բանկի խորհրդի կողմից ընդունվող պետական պարտատոմսերի կարգավորման վերաբերյալ բոլոր իրավական ակտերը, դրանց մեջ լրացումները և փոփոխությունները կատարել՝ համաձայնեցնելով Հայաստանի Հանրապետության ֆինանսների նախարարության հետ,
գ. սույն որոշումն ուժի մեջ մտնելու օրվանից տասնհինգօրյա ժամկետում Հայաստանի Հանրապետության ֆինանսների նախարարությանը վերադարձնել սույն որոշումն ուժի մտնելու պահին շրջանառության մեջ գտնվող պետական գանձապետական կարճաժամկետ պարտատոմսերի, միջնաժամկետ և երկարաժամկետ արժեկտրոնային պարտատոմսերի, խնայողական արժեկտրոնային պարտատոմսերի գլոբալ հավաստագրերը՝ շարունակելով դրանց հաշվառումն էլեկտրոնային գրանցամատյանում.
2) առաջարկել «Նասդաք ՕԷՄԷՔՍ Արմենիա» բաց բաժնետիրական ընկերության գործադիր տնօրենին` մինչև 2017 թվականի ապրիլի 25-ը Հայաստանի Հանրապետության ֆինանսների նախարարության հետ կնքել սույն որոշման N 1 հավելվածով նախատեսված աճուրդի համակարգի օպերատորի գործառույթների իրականացման պայմանագիր.
3) ապահովել սույն որոշումն ուժի մեջ մտնելու պահին շրջանառության մեջ գտնվող պետական գանձապետական խնայողական արժեկտրոնային պարտատոմսերի յուրաքանչյուր թողարկմանը ISՕ 6166 ստանդարտին համապատասխան արժեթղթերի միջազգային տարբերակիչ ծածկագրի շնորհումը.
4) մինչև սույն որոշումն ուժի մեջ մտնելու օրը թողարկված և շրջանառության մեջ գտնվող պետական գանձապետական կարճաժամկետ պարտատոմսերի, միջնաժամկետ և երկարաժամկետ արժեկտրոնային պարտատոմսերի տեղաբաշխումն իրականացնել՝ համաձայն սույն որոշման N 1 հավելվածի.
5) մինչև սույն որոշումն ուժի մեջ մտնելու օրը թողարկված պետական գանձապետական խնայողական արժեկտրոնային պարտատոմսերի ազատ վաճառքն իրականացնել՝ համաձայն սույն որոշման N 2 հավելվածի:
4. Սույն որոշումն ուժի մեջ է մտնում 2017 թվականի ապրիլի 25-ից:
|
Հայաստանի Հանրապետության |
Կ. Կարապետյան |
|
2017 թ. ապրիլի 18 Երևան |
|
Հավելված N 1 |
Կ Ա Ր Գ
ՀԱՅԱՍՏԱՆԻ ՀԱՆՐԱՊԵՏՈՒԹՅԱՆ ՊԵՏԱԿԱՆ ԳԱՆՁԱՊԵՏԱԿԱՆ ԿԱՐՃԱԺԱՄԿԵՏ ՊԱՐՏԱՏՈՄՍԵՐԻ, ՄԻՋՆԱԺԱՄԿԵՏ ԵՎ ԵՐԿԱՐԱԺԱՄԿԵՏ ԱՐԺԵԿՏՐՈՆԱՅԻՆ ՊԱՐՏԱՏՈՄՍԵՐԻ ԹՈՂԱՐԿՄԱՆ, ՏԵՂԱԲԱՇԽՄԱՆ, ՀԵՏԳՆՄԱՆ, ՓՈԽԱՆԱԿՄԱՆ, ՇՐՋԱՆԱՌՈՒԹՅԱՆ ԵՎ ՄԱՐՄԱՆ
(վերնագիրը լրաց. 25.04.24 N 607-Ն)
I. ԸՆԴՀԱՆՈՒՐ ԴՐՈՒՅԹՆԵՐ
1. Սույն կարգով կարգավորվում են Հայաստանի Հանրապետության պետական գանձապետական կարճաժամկետ, միջնաժամկետ արժեկտրոնային և երկարաժամկետ արժեկտրոնային պարտատոմսերի թողարկման, տեղաբաշխման, հետգնման, փոխանակման, շրջանառության և մարման կանոնների սահմանման հետ կապված հարաբերությունները:
(1-ին կետը լրաց. 25.04.24 N 607-Ն)
II. ՀԱՍԿԱՑՈՒԹՅՈՒՆՆԵՐ
2. Սույն կարգում օգտագործվող հիմնական հասկացություններն են`
1) թողարկող` Հայաստանի Հանրապետության ֆինանսների նախարարություն.
2) պարտատոմս՝ թողարկողի կողմից սույն կարգին և Հայաստանի Հանրապետության օրենսդրությանը համապատասխան թողարկված պետական գանձապետական կարճաժամկետ պարտատոմս, միջնաժամկետ և երկարաժամկետ արժեկտրոնային պարտատոմս.
3) թողարկում՝ պարտատոմսի հիմնական չափանիշների որոշման, հանրային հրապարակման, պետական արժեթղթերի հաշվառման և հաշվարկների իրականացման համակարգում ամրագրման գործողությունների ամբողջություն.
4) կարճաժամկետ պարտատոմս՝ պարտատոմս, որը թողարկվում է մինչև 1 տարին ներառյալ մարման ժամկետով, վաճառվում է զեղչատոկոսով, առանց արժեկտրոնի վճարման և մարվում անվանական արժեքով.
5) արժեկտրոնային պարտատոմս՝ պարտատոմս, որը թողարկվում է 1 տարվանից ավելի մարման ժամկետով, վաճառվում է անվանական արժեքով, զեղչատոկոսով կամ հավելավճարով, կիսամյակային արժեկտրոնների վճարումներով և մարվում անվանական արժեքով.
6) միջնաժամկետ պարտատոմս՝ արժեկտրոնային պարտատոմս, որի մարման ժամկետը կազմում է 1 տարվանից մինչև 5 տարին ներառյալ.
7) երկարաժամկետ պարտատոմս՝ արժեկտրոնային պարտատոմս, որի մարման ժամկետը կազմում է 5-ից ավելի տարի.
8) կենտրոնական բանկ` Հայաստանի Հանրապետության կենտրոնական բանկ.
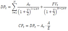
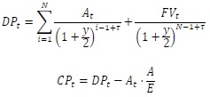
9) վերջնահաշվարկ իրականացնող՝ թողարկողի հետ աճուրդի վերջնահաշվարկի իրականացման պայմանագիր կնքած իրավաբանական անձ.
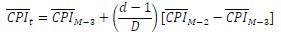
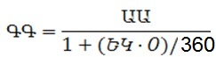
10) մարման սպասարկում իրականացնող՝ թողարկողի հետ պարտատոմսի մարման, արժեկտրոնների վճարման իրականացման պայմանագիր կնքած իրավաբանական անձ.
11) աճուրդի համակարգի օպերատոր՝ աճուրդի համակարգն ապահովող իրավաբանական անձ, ով թողարկողի հետ կնքել է համապատասխան պայմանագիր.
12) աճուրդի կառավարիչ՝ թողարկողի հետ աճուրդի իրականացման պայմանագիր կնքած իրավաբանական անձ, եթե այն թողարկողը չի հանդիսանում.
13) գործակալ` Հայաստանի Հանրապետության օրենսդրությամբ սահմանված ներդրումային ծառայություններ մատուցող անձ, ով թողարկողի հետ կնքել է պարտատոմսերի շուկայում գործակալի գործառույթների կատարման մասին պայմանագիր.
14) ներդրող` յուրաքանչյուր անձ (այդ թվում՝ պայմանագրային ներդրումային ֆոնդ), որը, համաձայն սույն կարգի և գործող օրենսդրության, սեփականության իրավունքով ձեռք է բերում պարտատոմսեր և գործակալ չէ.
15) անվանատեր՝ անձ, որի անունով, առանց սեփականության իրավունքի փոխանցման, հաշվառվում են այլ անձանց պատկանող պարտատոմսերը.
16) գանձապետական պահառու` թողարկողի կողմից պարտատոմսերի ուղղակի վաճառքի, ներդրողներին պատկանող պարտատոմսերի սահմանված ընթացակարգով հաշվառումն ու սպասարկումն ապահովող ենթակառուցվածք, որի գործառույթներն իրականացնում է թողարկողը.
17) օպերատոր՝ անձը (անձինք), ով (ովքեր) կազմակերպում է (կազմակերպում են) պարտատոմսերի կարգավորվող շուկայի գործունեությունը.
18) պետական արժեթղթերի հաշվառման և հաշվարկների իրականացման համակարգ (այսուհետև՝ համակարգ)` կենտրոնական պահառուի մոտ վարվող դեպո հաշիվներում պարտատոմսերի հաշվառումը և դեպո հաշիվներով հաշվարկների իրականացումն ապահովող համակարգ.
19) կենտրոնական պահառու` թողարկողի առջև պարտատոմսերի պաշտոնական ամրագրման, շրջանառության պարտավորությունները կրող պահառուական գործունեություն իրականացնող անձ, որը թողարկողի հետ ունի կնքած պահառության պայմանագիր.
20) ենթապահառու` պահառուական գործունեություն իրականացնող անձ, որի մոտ հաշվառվում են սեփական, անվանատիրոջ, կամ ըստ առանձին ներդրողների՝ վերջիններիս սեփականության իրավունքով պատկանող պարտատոմսերը.
21) անվանական արժեք (կամ ծավալ)` դրամական միավոր, որը թողարկողը պարտավոր է վճարել պարտատոմսի սեփականատիրոջը կամ անվանատիրոջը մարման վճարման ամսաթվին.
22) զեղչատոկոս` պարտատոմսի անվանական արժեքի և գնման գնի տարբերություն, եթե այն դրական է.
22.1) հավելավճար` պարտատոմսի անվանական արժեքի և գնման գնի տարբերություն, եթե այն բացասական է.
23) գնման գին՝ դրամական միավոր, որը պարտատոմսի գնորդը վերջնահաշվարկի ամսաթվին պարտավոր է վճարել պարտատոմս վաճառողին պարտատոմսի սահմանված անվանական արժեքի համար տասը Հայաստանի Հանրապետության լումայի ճշտությամբ` համաձայն թվաբանական կլորացման կանոնների.
23.1) գին՝ գնման գնի և անվանական արժեքի հարաբերություն, որը հաշվարկվում է յուրաքանչյուր հարյուր միավոր անվանական արժեքի համար, զրո ամբողջ մեկ տասը հազարերորդական թվի ճշտությամբ` համաձայն թվաբանական կլորացման կանոնների.
24) եկամտաբերություն (կամ մինչև մարում տարեկան եկամտաբերություն)՝ տոկոսադրույք (զրո ամբողջ տասը հազարերորդական նիշի ճշտությամբ՝ թվաբանական կլորացման կանոնի ներքո), որով հաշվարկվում է գինը՝ համաձայն սույն կարգի VI գլխի.
25) արժեկտրոնի տարեկան եկամտաբերություն՝ յուրաքանչյուր արժեկտրոնային պարտատոմսի համար թողարկողի կողմից սահմանված ֆիքսված տոկոսադրույք (զրո ամբողջ մեկ հարյուրերորդական նիշի ճշտությամբ).
26) արժեկտրոն` թողարկողի կողմից պարտատոմսի սեփականատիրոջը կամ անվանատիրոջը մինչև մարման ամսաթիվը ներառյալ, թողարկման ամսաթվից հաշվարկված, կիսամյակային պարբերականությամբ և արժեկտրոնի տարեկան եկամտաբերությամբ պարտատոմսի անվանական արժեքի դիմաց վճարվող տոկոսագումարն է՝ համաձայն սույն կարգի VI գլխի.
27) արժեկտրոնի վճարման ամսաթիվ՝ թողարկողի կողմից սահմանված օրացուցային օր, երբ թողարկողը պարտավոր է վճարել տվյալ պարտատոմսի արժեկտրոնը.
28) արժեկտրոնի առաջին վճարման ամսաթիվ՝ թողարկողի կողմից սահմանված օրացուցային օր, երբ առաջին անգամ թողարկողը պարտավոր է վճարել տվյալ պարտատոմսի արժեկտրոնը.
29) առաջնային շուկա` շուկա, որտեղ իրականացվում է պարտատոմսերի տեղաբաշխումը.
30) երկրորդային շուկա` առաջնային շուկայից դուրս պարտատոմսերի շրջանառությունն ապահովող գործարքների (առուվաճառք (այդ թվում` նաև ռեպո, հակադարձ ռեպո և իրավական ակտերով սահմանված այլ գործարքներ), ազատ առաքում) իրականացման համար կազմակերպված կամ չկազմակերպված շուկա.
31) թողարկման ծավալ՝ յուրաքանչյուր պարտատոմսի համար թողարկողի կողմից որոշվող և հրապարակվող տվյալ թողարկման պարտատոմսի բոլոր տեղաբաշխումների առավելագույն գումարային անվանական արժեքը.
32) տեղաբաշխման (հետգնման կամ փոխանակման) ենթակա ծավալ՝ թողարկողի կողմից նախապես որոշված և հրապարակված՝ յուրաքանչյուր աճուրդին պարտատոմսի համար սահմանված առավելագույն անվանական արժեք կամ միջակայք, որի չափով կարող է իրականացվել տեղաբաշխում (հետգնում կամ փոխանակում).
33) տեղաբաշխված ծավալ՝ յուրաքանչյուր տեղաբաշխման աճուրդի (այդ թվում՝ տեղաբաշխման լրացուցիչ աճուրդի), փոխանակման աճուրդի և ուղղակի վաճառքի ժամանակ գործարքների կնքման արդյունքում թողարկողի կողմից վաճառված պարտատոմսերի անվանական արժեքների հանրագումար.
34) հետ գնված ծավալ՝ յուրաքանչյուր հետգնման կամ փոխանակման աճուրդի ժամանակ կամ կենտրոնական բանկից հետգնման գործարքների կնքման արդյունքում թողարկողի կողմից գնված պարտատոմսերի անվանական արժեքների հանրագումար.
35) տեղաբաշխում` թողարկողի կողմից պարտատոմսի առաջին վաճառք կամ թողարկման վերաբացման միջոցով պարտատոմսի վաճառք.
36) հետգնում՝ թողարկողի կողմից մինչև մարման ամսաթիվը երկրորդային շուկայից ազատ կարգավիճակով պարտատոմսերի առք.
36.1) փոխանակում՝ թողարկողի կողմից մեկ արժեթղթերի միջազգային տարբերակիչ ծածկագրով պարտատոմսի տեղաբաշխում՝ միայն մեկ այլ արժեթղթերի միջազգային տարբերակիչ ծածկագրով, ազատ կարգավիճակով պարտատոմսի հետգնման պայմանով.
37) գործարք՝ պարտատոմսի առք, վաճառք կամ փոխանակում.
38) տեղաբաշխման աճուրդ` պարտատոմսի տեղաբաշխման նպատակով կազմակերպվող փակ մրցութային գործընթաց, որի ժամանակ պարտատոմս ձեռք բերելու նպատակով հավանական գնորդները ներկայացնում են հայտեր, որոնք աճուրդի համակարգում գրանցվում, դասակարգվում, համադրվում են և կարող են բավարարվել թողարկողի կողմից.
39) տեղաբաշխման լրացուցիչ աճուրդ` տեղաբաշխման աճուրդից հետո հաջորդ աշխատանքային օրը, նույն վերջնահաշվարկի ամսաթվով, նույն արժեթղթերի միջազգային տարբերակիչ ծածկագրով, ֆիքսված գնային մեթոդով պարտատոմսի տեղաբաշխման աճուրդ, որն իրականացվում է տեղաբաշխման աճուրդի միջին կշռված եկամտաբերությամբ (գնով).
40) ուղղակի վաճառք՝ տեղաբաշխման աճուրդից հետո նույն վերջնահաշվարկի ամսաթվով, նույն արժեթղթերի միջազգային տարբերակիչ ծածկագրով, ֆիքսված գնային մեթոդով, տեղաբաշխման աճուրդի միջին կշռված եկամտաբերությամբ (գնով) պարտատոմսի տեղաբաշխում գանձապետական պահառուի միջոցով.
41) հետգնման աճուրդ` շրջանառության մեջ գտնվող պարտատոմսի հետգնման նպատակով կազմակերպվող փակ մրցութային գործընթաց, որի ժամանակ պարտատոմս վաճառելու նպատակով հավանական վաճառողները ներկայացնում են հայտեր, որոնք աճուրդի համակարգում գրանցվում, դասակարգվում, համադրվում են և կարող են բավարարվել թողարկողի կողմից.
41.1) փոխանակման աճուրդ` բազմակի գնային մեթոդով տեղաբաշխման և հետգնման աճուրդների միաժամանակյա իրականացում.
42) աճուրդ` տեղաբաշխման աճուրդ (այդ թվում՝ տեղաբաշխման լրացուցիչ աճուրդ), հետգնման աճուրդ կամ փոխանակման աճուրդ.
43) աճուրդի համակարգ` էլեկտրոնային եղանակով աճուրդների կազմակերպման համար օգտագործվող ավտոմատացված ծրագրային ամբողջություն, որը նախատեսված է աճուրդի համակարգի օպերատորի մոտ աճուրդների կազմակերպման, անցկացման և դրա հետ կապված տեղեկատվության մշակման և պահպանման համար.
44) աճուրդի համակարգի մասնակից` գործակալները և կենտրոնական բանկը.
45) բազմակի գնային մեթոդ` աճուրդի իրականացման մեթոդ, երբ յուրաքանչյուր հաղթած հայտ բավարարվում (մասնակի բավարարվում) է հայտում նշված գնով (եկամտաբերությամբ).
46) ֆիքսված գնային մեթոդ` տեղաբաշխման կամ հետգնման իրականացման մեթոդ, երբ ցանկացած ներկայացված հայտ լրիվ չափով (ամբողջովին) բավարարվում է նախապես հայտարարված գնով (եկամտաբերությամբ).
47) վերաբացում` յուրաքանչյուր թողարկման պարտատոմսի հերթական մասնաբաժնի տեղաբաշխման մասին որոշման ընդունում.
48) միջակայք` վերաբացման նվազագույն և առավելագույն ծավալների ուղղորդիչ մեծություն.
49) հայտ` աճուրդի համակարգի մասնակցի կողմից ներկայացված և թողարկողին ուղղված անվանական արժեքի և եկամտաբերության (կամ գնի) համախմբությամբ գործարք կնքելու առաջարկ.
50) հայտարարության ամսաթիվ՝ պարտատոմսի թողարկման կամ աճուրդի անցկացման վերաբերյալ հայտարարության հրապարակման օր.
51) թողարկման ամսաթիվ՝ թողարկողի կողմից սահմանված օրացուցային օր, որից հաշվարկվում է առաջին արժեկտրոնը.
52) աճուրդի ամսաթիվ` օրացուցային օր, երբ պետք է կազմակերպվի աճուրդը.
53) մարման ամսաթիվ՝ թողարկողի կողմից սահմանված օրացուցային օր, երբվանից սկսած արգելվում է այդ պարտատոմսի շրջանառությունը երկրորդային շուկայում և դրանցով ցանկացած գործառնության իրականացումը` բացառությամբ պարտատոմսի մարման.
54) մինչև մարում մնացած օրերի թիվ՝ մարման ամսաթվի և վերջնահաշվարկի ամսաթվի միջև օրացուցային օրերի քանակ.
55) մարման ժամկետ՝ թողարկման ամսաթվից մինչև մարման ամսաթիվն ընկած ժամանակահատված.
56) մարման վճարման ամսաթիվ՝ թողարկողի կողմից սահմանված օրացուցային օր, երբ թողարկողը պարտավոր է փաստացի վճարել պարտատոմսի անվանական արժեքը, իսկ արժեկտրոնային պարտատոմսերի դեպքում՝ նաև վերջին արժեկտրոնը.
57) հայտի բավարարում (մասնակի բավարարում), գործարքի կնքում` սույն կարգով, աճուրդի համակարգի օպերատորի կանոններով և համապատասխան պայմանագրերով սահմանված ձևով պարտատոմսի առուվաճառքի էական պայմանների և պարտատոմսի առուվաճառքի արդյունքում ծագող իրավունքների ու պարտավորությունների վերաբերյալ պարտատոմսի գնորդի և պարտատոմս վաճառողի միջև համաձայնության կայացում.
58) միջին կշռված եկամտաբերություն՝ կնքված գործարքների միջին կշռված եկամտաբերություն, որտեղ կշիռները ներկայացնում են կնքված գործարքների ծավալները զրո ամբողջ մեկ տասը հազարերորդական թվի ճշտությամբ` համաձայն թվաբանական կլորացման կանոնների.
58.1) միջին կշռված գին՝ կնքված գործարքների միջին կշռված գին, որտեղ կշիռները ներկայացնում են կնքված գործարքների ծավալները զրո ամբողջ մեկ տասը հազարերորդական թվի ճշտությամբ` համաձայն թվաբանական կլորացման կանոնների.
59) պարտատոմսի քայլ՝ պարտատոմսի անվանական արժեքի չափ, որին բազմապատիկ պետք է լինեն պարտատոմսով իրականացվող բոլոր գործառնությունները.
60) վերջնահաշվարկ՝ գործողությունների ամբողջություն, որի արդյունքում մարվում են դրամական միջոցների և պարտատոմսերի փոխանցման հետ կապված աճուրդի համակարգի մասնակիցների և թողարկողի միջև գործարքների կնքման արդյունքում ծագած պարտավորությունները.
61) վերջնահաշվարկի ամսաթիվ՝ թողարկողի կողմից սահմանված օրացուցային օր, երբ պետք է իրականացվի կնքված գործարքին համապատասխան դրամական միջոցների և պարտատոմսերի փոխանցման հետ կապված պարտավորությունների մարումը.
62) դեպո հաշիվ՝ պարտատոմսերի հաշվառման համար նախատեսված կենտրոնական պահառուի կամ ենթապահառուի գրառումների բազմություն, որը միավորված է ընդհանուր հատկանիշներով.
63) ուղենշային պարտատոմս՝ թողարկողի կողմից սահմանվող և գործակալների կողմից պարտադիր գնանշման ենթակա պարտատոմսեր.
64) թվաբանական կլորացման կանոն՝ կլորացման այն մեթոդը, որի դեպքում կլորացման ենթակա միավորը չի փոխվում, եթե կլորացման ենթակա միավորին հաջորդող թիվը հավասար է 0-4-ի, և փոխվում է` մեծանալով մեկ միավորով, եթե կլորացման ենթակա միավորին հաջորդող թիվը հավասար է 5-9-ի:
(2-րդ կետը փոփ., լրաց. 25.04.24 N 607-Ն)
III. ՊԱՐՏԱՏՈՄՍԵՐԻ ԹՈՂԱՐԿՈՒՄԸ ԵՎ ԱՃՈՒՐԴՆԵՐԻ ՀԱՅՏԱՐԱՐՈՒՄԸ
3. Պարտատոմսերը թողարկվում են թողարկողի կողմից` Հայաստանի Հանրապետության անունից, Հայաստանի Հանրապետության ազգային արժույթով, անվանական, ոչ փաստաթղթային ձևով և ապահովված են պետության` սեփականության իրավունքով իրեն պատկանող գույքով:
4. Սույն կարգի համաձայն թողարկված և շրջանառության մեջ գտնվող պարտատոմսերի թողարկման պայմաններում փոփոխություններ չեն կարող կատարվել: Թողարկողն իրավունք ունի թողարկելու պարտատոմսեր միայն սույն կարգի համաձայն:
5. Պարտատոմսերի թողարկման չափանիշներն սահմանվում են Հայաստանի Հանրապետության ֆինանսների նախարարի հրամանով (այսուհետ՝ հրաման): Թողարկողը պարտատոմսերի թողարկման չափանիշները սահմանող հրամանում առնվազն ամրագրում է պարտատոմսերի թողարկման ամսաթիվը, թողարկման ծավալը, մարման ամսաթիվը, մարման վճարման ամսաթիվը, արժեկտրոնային պարտատոմսի դեպքում՝ արժեկտրոնի առաջին վճարման ամսաթիվը և արժեկտրոնի տարեկան եկամտաբերությունը:
(5-րդ կետը փոփ., լրաց. 25.04.24 N 607-Ն)
6. Պարտատոմսը համարվում է թողարկված կենտրոնական պահառուի համակարգում տվյալ պարտատոմսի վերաբերյալ համապատասխան գրառումներ կատարելուց հետո՝ հրամանով սահմանված թողարկման ամսաթվին:
(6-րդ կետը լրաց. 25.04.24 N 607-Ն)
7. Պարտատոմսերի յուրաքանչյուր թողարկմանը շնորհվում է ԱյԷսՕ (ISՕ) 10962 ստանդարտի համաձայն ֆինանսական գործիքների առանձնահատկություններ սահմանող ՍիԷֆԱյ (CFI) ծածկագիր, ինչպես նաև ԱյԷսՕ (ISO) 6166 ստանդարտի արժեթղթերի միջազգային տարբերակիչ ծածկագիր՝ Համարակալման ազգային գործակալությունների ասոցիացիայի կողմից արժեթղթերի միջազգային տարբերակիչ ծածկագրերի շնորհման ուղեցույցին համապատասխան:
8. Թողարկողն ապահովում է իր կողմից թողարկված պարտատոմսերի մարումը և արժեկտրոնների վճարումը:
9. Մարման ամսաթվին պարտատոմսով ցանկացած տիպի գործառնությունը, բացի մարումից, արգելվում է:
(9-րդ կետը փոփ. 25.04.24 N 607-Ն)
10. Պարտատոմսի քայլը մեկ հազար Հայաստանի Հանրապետության դրամ է:
11. Պարտատոմսերով հավաստված իրավունքների պաշտոնական ամրագրումն իրականացվում է դեպո հաշիվներում համապատասխան գրառումներ կատարելու միջոցով:
12. Թողարկողն իրավունք ունի որևէ թողարկման պարտատոմսերը համարելու ուղենշային, եթե շրջանառության մեջ գտնվող տվյալ թողարկման պարտատոմսերի անվանական արժեքը նվազագույնը տասը միլիարդ դրամ է: Թողարկողն իր պաշտոնական ինտերնետային կայքում եռամսյակային պարբերականությամբ, յուրաքանչյուր եռամսյակից առնվազն տասն աշխատանքային օր առաջ, հրապարակում է այդ եռամսյակի ընթացքում ուղենշային համարվող պարտատոմսերի ցանկը:
13. Թողարկողը պարտատոմսերի թողարկման ամսաթվից ոչ ուշ, քան հինգ աշխատանքային օր առաջ (երկու աշխատանքային օր առաջ, եթե կարճաժամկետ պարտատոմս է, որի մարման ժամկետը մինչև 13 շաբաթ է)` մինչև ժամը 11.00-ն, էլեկտրոնային եղանակով կենտրոնական պահառուին է փոխանցում պարտատոմսի՝ սույն կարգի 5-րդ կետով նշված չափանիշները և 7-րդ կետով նշված արժեթղթերի միջազգային տարբերակիչ ծածկագիրը՝ համակարգում գրանցելու նպատակով:
(13-րդ կետը լրաց. 25.04.24 N 607-Ն)
14. Կենտրոնական պահառուն սույն կարգի 13-րդ կետով սահմանված տեղեկատվության հիման վրա պարտատոմսը համակարգում գրանցելուց հետո նույն օրը մինչև ժամը 15:00-ն էլեկտրոնային եղանակով տեղեկացնում է թողարկողին և աճուրդի համակարգի օպերատորին պարտատոմսի գրանցման հավաստման վերաբերյալ:
15. Թողարկողը պարտատոմսերի տեղաբաշխման, փոխանակման, կամ հետգնման աճուրդի ամսաթվից առնվազն երկու աշխատանքային օր առաջ (մեկ աշխատանքային օր առաջ, եթե կարճաժամկետ պարտատոմս է, որի մարման ժամկետը մինչև 13 շաբաթ է)` մինչև ժամը 11.00-ն, էլեկտրոնային եղանակով աճուրդի համակարգի օպերատորին է փոխանցում աճուրդի կազմակերպման մասին հայտարարությունը: Թողարկողը պարտատոմսերի տեղաբաշխման լրացուցիչ աճուրդի ամսաթվի նախորդ աշխատանքային օրը` մինչև ժամը 15.00-ն, էլեկտրոնային եղանակով աճուրդի համակարգի օպերատորին է փոխանցում տեղաբաշխման լրացուցիչ աճուրդի կազմակերպման մասին հայտարարությունը:
(15-րդ կետը լրաց., փոփ. 25.04.24 N 607-Ն)
16. Աճուրդի կազմակերպման մասին հայտարարության տեղեկատվությունն առնվազն պետք է ներառի հետևյալ տվյալները՝ հայտարարության ամսաթիվը, աճուրդի առարկա հանդիսացող պարտատոմսին շնորհված արժեթղթերի միջազգային տարբերակիչ ծածկագիրը, թողարկման ամսաթիվը, թողարկման ծավալը, մարման ամսաթիվը, մարման վճարման ամսաթիվը, արժեկտրոնի առաջին վճարման ամսաթիվը (առկայության դեպքում), արժեկտրոնի տարեկան եկամտաբերությունը (առկայության դեպքում), աճուրդի ամսաթիվը, գինը կամ եկամտաբերությունը (միայն ֆիքսված գնային մեթոդի դեպքում), տեղաբաշխման, հետգնման կամ փոխանակման ենթակա ծավալը, վերջնահաշվարկի ամսաթիվը:
(16-րդ կետը փոփ. 25.04.24 N 607-Ն)
17. Թողարկողն իրավունք ունի չեղյալ համարելու հայտարարված կամ հրապարակված աճուրդը: Աճուրդի չեղյալ համարելու մասին որոշումը թողարկողն աճուրդի համակարգի օպերատորին է փոխանցում աճուրդի ամսաթվից առնվազն մեկ աշխատանքային օր առաջ՝ մինչև ժամը 14.00-ն:
(17-րդ կետը փոփ. 25.04.24 N 607-Ն)
18. Աճուրդի համակարգի օպերատորը պարտավոր է իր պաշտոնական ինտերնետային կայքում տեղադրել (հայտարարություն անել)՝
1) պարտատոմսի՝ սույն կարգի 5-րդ կետով նշված չափանիշները և 7-րդ կետով նշված արժեթղթերի միջազգային տարբերակիչ ծածկագիրը թողարկման ամսաթվից առնվազն հինգ աշխատանքային օր առաջ (երկու աշխատանքային օր առաջ, եթե կարճաժամկետ պարտատոմս է, որի մարման ժամկետը մինչև 13 շաբաթ է)՝ մինչև ժամը 16.00-ն.
2) տեղաբաշխման, հետգնման կամ փոխանակման աճուրդի կազմակերպման մասին տեղեկատվությունն աճուրդի ամսաթվից առնվազն երկու աշխատանքային օր առաջ (մեկ աշխատանքային օր առաջ, եթե կարճաժամկետ պարտատոմս է, որի մարման ժամկետը մինչև 13 շաբաթ է)՝ մինչև ժամը 16.00-ն.
3) տեղաբաշխման լրացուցիչ աճուրդի կազմակերպման մասին տեղեկատվությունը տեղաբաշխման լրացուցիչ աճուրդի նախորդ աշխատանքային օրը՝ մինչև ժամը 16.00-ն.
4) հայտարարված աճուրդը չեղյալ համարելու մասին թողարկողի որոշումն աճուրդի ամսաթվից առնվազն մեկ աշխատանքային օր առաջ՝ մինչև ժամը 16.00-ն:
(18-րդ կետը լրաց., փոփ. 25.04.24 N 607-Ն)
IV. ՊԱՐՏԱՏՈՄՍԵՐԻ ՏԵՂԱԲԱՇԽՄԱՆ, ՓՈԽԱՆԱԿՄԱՆ ԵՎ ՀԵՏԳՆՄԱՆ ԿԱԶՄԱԿԵՐՊՈՒՄԸ
(վերնագիրը լրաց. 25.04.24 N 607-Ն)
19. Աճուրդներն իրականացվում են աճուրդի համակարգում, աճուրդի ամսաթվին, աճուրդի կառավարչի կողմից:
20. Աճուրդների կազմակերպման կանոնները հաստատվում են աճուրդի համակարգի օպերատորի կողմից՝ համաձայնեցնելով թողարկողի հետ:
21. Պարտատոմսերի տեղաբաշխումն իրականացվում է վաճառքի տեսքով աճուրդի կազմակերպման և ուղղակի վաճառքի միջոցով:
22. Աճուրդները կազմակերպում է աճուրդի համակարգի օպերատորը:
23. Աճուրդի ամսաթիվը կարող է տարբեր լինել վերջնահաշվարկի ամսաթվից, սակայն վերջնահաշվարկի ամսաթվի և աճուրդի ամսաթվի տարբերությունն առավելագույնը երկու աշխատանքային օր է: Վերջնահաշվարկի ամսաթիվը սահմանվում է թողարկողի կողմից յուրաքանչյուր աճուրդի համար առանձին:
24. Թողարկողը կարող է թողարկված պարտատոմսերը տեղաբաշխել ամբողջությամբ կամ մաս-մաս` վերաբացման միջոցով:
25. Ցանկացած տեղաբաշխման աճուրդի ժամանակ պարտատոմսի տեղաբաշխման ենթակա ծավալի առավելագույն չափը հանդիսանում է թողարկման ծավալի և մինչև աճուրդի ամսաթիվը տեղաբաշխված ընդհանուր ծավալի տարբերությունը:
26. Տեղաբաշխման աճուրդներն իրականացվում են բազմակի գնային մեթոդով: Տեղաբաշխման աճուրդին կարող են մասնակցել միայն գործակալները, ինչպես նաև կենտրոնական բանկը՝ «Հայաստանի Հանրապետության կենտրոնական բանկի մասին» օրենքով սահմանված դեպքում:
(26-րդ կետը փոփ. 25.04.24 N 607-Ն)
27. Թողարկողն իրավունք ունի պարտատոմսերի տեղաբաշխման աճուրդի հաջորդ աշխատանքային օրը, տեղաբաշխված ծավալի մինչև քսան տոկոսի չափով, հայտարարելու նույն թողարկման պարտատոմսերի տեղաբաշխման լրացուցիչ աճուրդ:
28. Տեղաբաշխման լրացուցիչ աճուրդին հայտ կարող են ներկայացնել աճուրդի համակարգի այն մասնակիցները, ովքեր տեղաբաշխման աճուրդով ձեռք են բերել պարտատոմս:
29. Տեղաբաշխման լրացուցիչ աճուրդին գործակալի կողմից ներկայացվող հայտերի առավելագույն անվանական արժեքը չի կարող գերազանցել տեղաբաշխման աճուրդին իր կողմից ձեռք բերված պարտատոմսի անվանական արժեքի այն մասը, որը հավասար է տեղաբաշխման լրացուցիչ աճուրդի հայտարարված ծավալի և տեղաբաշխված ծավալի հարաբերությանը:
(29-րդ կետը փոփ. 25.04.24 N 607-Ն)
30. Ուղղակի վաճառքի ձևով յուրաքանչյուր տեղաբաշխման առավելագույն ծավալը չի կարող գերազանցել տեղաբաշխման ենթակա ծավալի կամ միջակայքի առավելագույն ծավալի տասը տոկոսը:
31. Ուղղակի վաճառքն իրականացվում է միայն ֆիզիկական անձանց:
32. Թողարկողն իրավունք ունի մինչև մարման ամսաթիվը հետ գնելու իր կողմից թողարկված և շրջանառությունում առկա պարտատոմսերը:
33. Հետգնումը կարող է իրականացվել հետգնման աճուրդով՝ բազմակի գնային մեթոդով կամ ֆիքսված գնային մեթոդով:
34. Հետգնմանը կարող են մասնակցել միայն գործակալները:
35. Թողարկողն իրավունք ունի հետ գնելու կենտրոնական բանկի կողմից երկրորդային շուկայից ձեռք բերված պարտատոմսերը` թողարկողի և կենտրոնական բանկի միջև փոխհամաձայնեցված գնով (եկամտաբերությամբ):
36. Թողարկողի կողմից հետ գնված (այդ թվում՝ նաև փոխանակման արդյունքում) պարտատոմսերը հաշվառվում են թողարկողի համապատասխան դեպո հաշվում և տեղաբաշխման ենթակա չեն:
(36-րդ կետը լրաց. 25.04.24 N 607-Ն)
36.1. Թողարկողն իրավունք ունի իր կողմից թողարկված պարտատոմսը մինչև մարման ամսաթիվը փոխանակելու շրջանառությունում առկա այլ թողարկման պարտատոմսով:
(36.1-ին կետը լրաց. 25.04.24 N 607-Ն)
36.2. Փոխանակման աճուրդին կարող են մասնակցել միայն գործակալները:
(36.2-րդ կետը լրաց. 25.04.24 N 607-Ն)
V. ԳՈՐԾԱԿԱԼՆԵՐԸ
37. Գործակալը թողարկողի գործընկերն է պարտատոմսերի առաջնային և երկրորդային շուկաներում:
38. Թողարկողը գործակալների ընտրությունն իրականացնում է՝ համաձայն իր կողմից սահմանված գործակալների վարքագծի գնահատման և ընտրության կարգի:
(38-րդ կետը փոփ. 25.04.24 N 607-Ն)
39. Գործակալին համապատասխան կարգավիճակ շնորհվում է թողարկողի հետ կնքված պայմանագրով: Գործակալների հետ կնքվող պայմանագրի օրինակելի ձևը սահմանում է թողարկողը:
40. Գործակալը պետք է հանդիսանա ենթապահառու:
41. Գործակալն աճուրդին իրավունք ունի հայտեր ներկայացնելու ինչպես իր անունից` իր հաշվին, այնպես էլ իր անունից, ներդրողի կամ անվանատիրոջ հանձնարարությամբ` ներդրողի կամ անվանատիրոջ հաշվին:
(41-րդ կետը փոփ. 25.04.24 N 607-Ն)
42. Գործակալն իրավունք ունի մասնակցելու պարտատոմսերի աճուրդներին՝ համաձայն աճուրդի համակարգի օպերատորի կողմից սահմանված պարտատոմսերի աճուրդների կազմակերպման կանոնների:
(42-րդ կետը փոփ. 25.04.24 N 607-Ն)
43. Գործակալը պարտավոր է մշտապես կատարել ուղենշային պարտատոմսերի գնանշում` համաձայն օպերատորի կողմից սահմանված գնանշման կանոնների, որոնք համաձայնեցվում են թողարկողի հետ: Գնանշված պարտատոմսերով գործարքներից անհիմն ձևով հրաժարվելու դեպքում գործակալի նկատմամբ կիրառվում են պատասխանատվության միջոցներ` համաձայն պայմանագրի:
44. Գործակալն իր կարգավիճակից կարող է զրկվել թողարկողի որոշմամբ` համաձայն պայմանագրի: Կարգավիճակից զրկելու վերաբերյալ որոշման մասին գործակալը, կենտրոնական պահառուն, աճուրդի համակարգի օպերատորը, վերջնահաշվարկ իրականացնողը և օպերատորը տեղեկացվում են որոշման ընդունման պահից մեկ աշխատանքային օրվա ընթացքում: Գործակալի կարգավիճակից զրկելու վերաբերյալ որոշումն ուժի մեջ է մտնում սույն կետում նախատեսված տեղեկացման օրվան հաջորդող օրվանից:
(44-րդ կետը խմբ. 25.04.24 N 607-Ն)
45. Եթե պարտատոմսերով կնքված գործարքների հետ կապված վերջնահաշվարկի ամսաթվի դրությամբ գործակալը գործարքներ կատարելու համար պարտավորությունները չի իրականացնում, ապա գործակալն անմիջապես զրկվում է իր կարգավիճակից՝ թողարկողի որոշմամբ:
46. Թողարկողը պարբերաբար կազմակերպում է հանդիպումներ գործակալների հետ` պարտատոմսերի շուկայում առաջիկա ծրագրերը քննարկելու նպատակով:
VI. ՊԱՐՏԱՏՈՄՍԵՐԻ ԳՆՄԱՆ ԳՆԵՐԻ ԵՎ ԱՐԺԵԿՏՐՈՆՆԵՐԻ ՀԱՇՎԱՐԿՆԵՐԻ ԻՐԱԿԱՆԱՑՈՒՄԸ
(վերնագիրը լրաց. 25.04.24 N 607-Ն)
47. Կարճաժամկետ պարտատոմսերի գնման գինը հաշվարկվում է համաձայն հետևյալ բանաձևի՝
որտեղ`
ԱԱ - պարտատոմսի անվանական արժեքն է,
ԳԳ - պարտատոմսի գնման գինն է,
ԵԿ - եկամտաբերությունը (%),
Օ - մինչև մարում մնացած օրերի թիվը,
360 - տարվա օրերի թիվը՝ ընդունված պայմանականորեն:
(47-րդ կետը լրաց., փոփ. 25.04.24 N 607-Ն)
48. Միջնաժամկետ և երկարաժամկետ արժեկտրոնային պարտատոմսերի գնման գինը հաշվարկվում է՝ համաձայն հետևյալ բանաձևի՝
որտեղ`
FV-ն պարտատոմսի անվանական արժեքն է,
DP-ն պարտատոմսի ամբողջ գնման գինն է (ներառված կուտակված տոկոսագումարը),
CP-ն պարտատոմսի մաքուր գնման գինն է (առանց կուտակված տոկոսագումարի),
C-ն արժեկտրոնի տարեկան եկամտաբերությունն է (%),
Y-ը եկամտաբերությունն է (%),
DSC-ն գործարքի վերջնահաշվարկի ամսաթվից մինչև առաջիկա արժեկտրոնի վճարումը մնացած փաստացի օրերի թիվն է,
E-ն նախորդ արժեկտրոնի վճարման ամսաթվից (իսկ առաջին արժեկտրոնի դեպքում՝ թողարկման ամսաթվից) մինչև հաջորդ արժեկտրոնի վճարման ամսաթիվը (իսկ վերջին արժեկտրոնի դեպքում՝ մարման ամսաթիվը) մնացած փաստացի օրերի թիվն է համապատասխան պայմանականության դեպքում,
A-ն նախորդ արժեկտրոնի վճարման օրվանից մինչև վերջնահաշվարկի ամսաթիվը փաստացի օրերի թիվն է, իսկ առաջին արժեկտրոնի փուլում գտնվելու դեպքում՝ թողարկման ամսաթվից մինչև գործարքի վերջնահաշվարկի ամսաթիվը փաստացի օրերի թիվը,
N-ն այդ պահին մնացած արժեկտրոնների վճարումների թիվն է:
(48-րդ կետը լրաց. 25.04.24 N 607-Ն)
49. Պարտատոմսերի արժեկտրոնի հաշվարկն իրականացվում է պարզ մեթոդով, որի դեպքում հավասարվում են փաստացի և հայտարարվող արժեկտրոնների չափերը՝ համաձայն հետևյալ կանոնի`
որտեղ`
A-ն արժեկտրոնի վճարվելիք գումարն է տասը Հայաստանի Հանրապետության լումայի ճշտությամբ` համաձայն թվաբանական կլորացման կանոնների,
FV-ը պարտատոմսի անվանական արժեքն է,
C-ն արժեկտրոնի տարեկան եկամտաբերությունն է:
VII. ԱՃՈՒՐԴԻ ՀԱՄԱԿԱՐԳԻ ՕՊԵՐԱՏՈՐԻ ԿՈՂՄԻՑ ԳՈՐԾԱՌՆՈՒԹՅՈՒՆՆԵՐԻ ԻՐԱԿԱՆԱՑՄԱՆ ԿԱՐԳԸ
50. Գործարքների կնքման, աճուրդների կազմակերպման կանոնները սահմանվում են աճուրդի համակարգի օպերատորի կողմից` համաձայնեցնելով թողարկողի հետ և չեն կարող հակասել սույն կարգին: Այդ կանոններով սահմանվում են աճուրդի համակարգի մասնակիցների կողմից հայտերի կազմման, ներկայացման, ընդունման, ստուգման, բավարարման պայմանները, աճուրդի արդյունքների ամփոփման և հրապարակման կարգը, աճուրդի համակարգի օպերատորի և թողարկողի միջև ներկայացվող տվյալները, արտակարգ իրավիճակներում աճուրդի ընդհատման, վերսկսման, աճուրդը չեղյալ հայտարարելու դեպքերը և կարգը, աճուրդի հետ կապված այլ դրույթներ:
VIII. ԵՐԿՐՈՐԴԱՅԻՆ ՇՈՒԿԱՅՈՒՄ ՊԱՐՏԱՏՈՄՍԵՐԻ ՇՐՋԱՆԱՌՈՒԹՅՈՒՆԸ, ՊԱՐՏԱՏՈՄՍԵՐԻ ԳՐԱՎԱԴՐՈՒՄԸ, ՊԱՐՏԱՏՈՄՍԵՐԻ ՎԵՐՋՆԱՀԱՇՎԱՐԿԸ, ՊԱՀԱՌՈՒԹՅԱՆ ԳՈՐԾՈՒՆԵՈՒԹՅՈՒՆԸ, ՊԱՐՏԱՏՈՄՍԵՐԻ ՀԱՇՎԱՌՄԱՆ ԵՎ ՀԱՇՎԱՐԿՆԵՐԻ ԻՐԱԿԱՆԱՑՄԱՆ ՀԱՄԱԿԱՐԳԸ
51. Պարտատոմսերի աճուրդների վերջնահաշվարկն իրականացվում է հայտարարությունում նշված վերջնահաշվարկի ամսաթվին վերջնահաշվարկ իրականացնողի կողմից:
52. Պարտատոմսերի պահառուի գործունեությունը, պարտատոմսերի հաշվառման և հաշվարկների իրականացման համակարգի գործառույթները կատարում է կենտրոնական պահառուն:
53. Երկրորդային շուկայում պարտատոմսերի շրջանառության, պարտատոմսերի գրավադրման, վերջնահաշվարկի իրականացման, պահառության գործունեության պայմանների, համակարգում մասնակցության չափանիշների, պարտատոմսերով գործառնությունների իրականացման համար հիմք հանդիսացող փաստաթղթերը (առքի ու վաճառքի, ազատ առաքման, գրավադրման մասին հանձնարարականները և այլն) ներկայացնելու, հաշվարկների կանոնների հետ կապված հարաբերությունները կարգավորվում են «Հայաստանի Հանրապետության կենտրոնական բանկի մասին» օրենքի 20-րդ հոդվածի «իգ1» ենթակետի համաձայն հաստատված կարգերով:
(53-րդ կետը փոփ. 25.04.24 N 607-Ն)
IX. ՊԱՐՏԱՏՈՄՍԵՐԻ ՄԱՐՄԱՆ, ԱՐԺԵԿՏՐՈՆՆԵՐԻ ՎՃԱՐՄԱՆ ԿԱՐԳԸ
54. Մարման սպասարկում իրականացնողը թողարկողի անունից, թողարկողի հանձնարարականի հիման վրա, պարտատոմսերի մարման վճարման կամ արժեկտրոնի վճարման ամսաթվին՝ մինչև ժամը 12:00-ն, ապահովում է պարտատոմսի մարումն ու արժեկտրոնի վճարումը:
(54-րդ կետը փոփ. 25.04.24 N 607-Ն)
55. Շրջանառությունում գտնվող պարտատոմսերը համարվում են մարված, եթե վճարվել են բոլոր արժեկտրոնները և պարտատոմսերի անվանական արժեքը։
56. Կենտրոնական պահառուի մոտ հաշվառվող թողարկողի տեղաբաշխման ենթակա պարտատոմսեր և հետ գնված պարտատոմսեր ենթահաշիվներին առկա պարտատոմսերի դիմաց արժեկտրոնի վճարում չի իրականացվում: Այդ պարտատոմսերը համարվում են մարված՝ թողարկման հրամանով սահմանված մարման ամսաթվին:
57. Պարտատոմսերի արժեկտրոնի վճարումն իրականացվում է տվյալ պարտատոմսերի թողարկման ամսաթվին հաջորդող յուրաքանչյուր վեցերորդ ամսվա համապատասխան օրը՝ մինչև պարտատոմսի մարման ժամկետի լրանալը:
58. Եթե պարտատոմսերի մարման կամ արժեկտրոնի վճարման ամսաթիվը լրանում է այն ամսին, որը չունի համապատասխան ամսաթիվ, ապա ժամկետը լրանում է այդ ամսվա վերջին օրացուցային օրը:
(58-րդ կետը փոփ. 25.04.24 N 607-Ն)
59. Եթե պարտատոմսերի մարման կամ արժեկտրոնի վճարման ամսաթիվը Հայաստանի Հանրապետության օրենսդրության համաձայն ոչ աշխատանքային օր է, ապա պարտատոմսերի մարումը կամ արժեկտրոնի վճարումն իրականացվում են հաջորդ աշխատանքային օրը:
(59-րդ կետը փոփ. 25.04.24 N 607-Ն)
60. Պարտատոմսը մարվում է կամ արժեկտրոնը վճարվում է պարտատոմսի մարման կամ արժեկտրոնի վճարման ամսաթվին նախորդող օրացուցային օրվա ժամը 24:00-ի դրությամբ կենտրոնական պահառուի մոտ հաշվառվող պարտատոմսի սեփականատիրոջը կամ անվանատիրոջը: Անվանատերն ապահովում է պարտատոմսերի մարումն ու արժեկտրոնի վճարումն իր մոտ հաշվառվող սեփականատիրոջը:
(60-րդ կետը փոփ. 25.04.24 N 607-Ն)
61. Պարտատոմսերի առաջին արժեկտրոնի վճարման հաշվարկն իրականացվում է թողարկման ամսաթվից սկսած:
(հավելվածը լրաց., փոփ., խմբ. 25.04.24 N 607-Ն)
|
Հայաստանի Հանրապետության |
Դ. Հարությունյան |
|
Հավելված N 2 |
Կ Ա Ր Գ
ՀԱՅԱՍՏԱՆԻ ՀԱՆՐԱՊԵՏՈՒԹՅԱՆ ՊԵՏԱԿԱՆ ԳԱՆՁԱՊԵՏԱԿԱՆ ԽՆԱՅՈՂԱԿԱՆ ԱՐԺԵԿՏՐՈՆԱՅԻՆ ՊԱՐՏԱՏՈՄՍԵՐԻ ԹՈՂԱՐԿՄԱՆ, ՏԵՂԱԲԱՇԽՄԱՆ, ՀԵՏԳՆՄԱՆ ԵՎ ՄԱՐՄԱՆ
I. ԸՆԴՀԱՆՈՒՐ ԴՐՈՒՅԹՆԵՐ
1. Սույն կարգով կարգավորվում են Հայաստանի Հանրապետության պետական գանձապետական խնայողական արժեկտրոնային պարտատոմսերի թողարկման, տեղաբաշխման, հետգնման և մարման կանոնների սահմանման հետ կապված հարաբերությունները:
II. ՀԱՍԿԱՑՈՒԹՅՈՒՆՆԵՐ
2. Սույն կարգում օգտագործվող հիմնական հասկացություններն են`
1) թողարկող` Հայաստանի Հանրապետության ֆինանսների նախարարություն.
2) պետական գանձապետական խնայողական արժեկտրոնային պարտատոմս (այսուհետ՝ պարտատոմս)՝ թողարկողի կողմից սույն կարգին և Հայաստանի Հանրապետության օրենսդրությանը համապատասխան 3 ամսվանից մինչև 25 տարի մարման ժամկետով թողարկված արժեկտրոնների վճարումներով պարտատոմս, որը վաճառվում է գնման գնով և մարվում է անվանական արժեքով.
3) թողարկում՝ պարտատոմսի հիմնական չափանիշների որոշման, հանրային հրապարակման, պետական արժեթղթերի հաշվառման և հաշվարկների իրականացման համակարգում ամրագրման գործողությունների ամբողջություն.
4) թողարկման ամսաթիվ՝ թողարկողի կողմից սահմանված օրացուցային օր, որից հաշվարկվում է առաջին արժեկտրոնը.
5) թողարկման ծավալ՝ թողարկողի կողմից որոշվող և հրապարակվող տվյալ թողարկման պարտատոմսի ազատ վաճառքի առավելագույն գումարային անվանական արժեքը.
6) տեղաբաշխում` թողարկողի կողմից պարտատոմսի առաջին վաճառք.
7) ազատ վաճառք՝ թողարկողի կողմից թողարկման հրամանով սահմանված ժամկետում պարտատոմսերի տեղաբաշխում գանձապետական պահառուի միջոցով.
8) հետգնում՝ թողարկողի կողմից մինչև մարման ամսաթիվն ազատ կարգավիճակով պարտատոմսերի առք.
9) գանձապետական պահառու` թողարկողի կողմից պարտատոմսերի ազատ վաճառքի, ներդրողներին պատկանող պարտատոմսերի հաշվառումն ու սպասարկումն ապահովող ենթակառուցվածք, որի գործառույթներն իրականացնում է թողարկողը.
10) ներդրող՝ յուրաքանչյուր ֆիզիկական անձ, ով համաձայն սույն կարգի և գործող օրենսդրության, սեփականության իրավունքով ձեռք է բերում պարտատոմսեր.
11) անվանական արժեք՝ այն դրամական գումարն է, որը թողարկողը պարտավոր է վճարել պարտատոմսի սեփականատիրոջը մարման ամսաթվին.
12) գնման գին՝ այն դրամական գումարն է, որը ներդրողը պարտավոր է վճարել թողարկողին պարտատոմսի սահմանված անվանական արժեքի համար տասը Հայաստանի Հանրապետության լումայի ճշտությամբ` համաձայն թվաբանական կլորացման կանոնների.
13) արժեկտրոն` թողարկողի կողմից պարտատոմսի սեփականատիրոջը մինչև մարման ամսաթիվը ներառյալ, թողարկման ամսաթվից հաշվարկված, թողարկման հրամանով նախապես սահմանված որոշակի պարբերականությամբ և արժեկտրոնի տարեկան եկամտաբերությամբ պարտատոմսի անվանական արժեքի դիմաց վճարվող տոկոսագումարն է.
14) արժեկտրոնի տարեկան եկամտաբերություն՝ յուրաքանչյուր պարտատոմսի համար թողարկողի կողմից մեկ տարվա համար սահմանված ֆիքսված եկամտաբերություն (զրո ամբողջ մեկ հարյուրերորդական նիշի ճշտությամբ).
15) արժեկտրոնի վճարման ամսաթիվ՝ թողարկողի կողմից սահմանված օրացուցային օր, երբ թողարկողը պարտավոր է վճարել տվյալ պարտատոմսի արժեկտրոնը.
16) մարման ամսաթիվ՝ թողարկողի կողմից սահմանված օրացուցային օր, երբ թողարկողը պարտավոր է փաստացի վճարել պարտատոմսի անվանական արժեքը և վերջին արժեկտրոնը.
17) պարտատոմսի քայլ՝ պարտատոմսի անվանական արժեքի չափ, որին բազմապատիկ պետք է լինեն պարտատոմսով իրականացվող բոլոր գործառնությունները.
18) կենտրոնական պահառու` թողարկողի առջև պարտատոմսերի պաշտոնական ամրագրման, շրջանառության պարտավորությունները կրող պահառուական գործունեություն իրականացնող անձ, որը թողարկողի հետ ունի կնքած պահառության պայմանագիր.
19) ենթապահառու` պահառուական գործունեություն իրականացնող անձ, որի մոտ հաշվառվում են ըստ առանձին ներդրողների՝ վերջիններիս սեփականության իրավունքով պատկանող պարտատոմսերը.
20) մարման սպասարկում իրականացնող՝ թողարկողի հետ պարտատոմսի մարման, արժեկտրոնների վճարման իրականացման պայմանագիր կնքած իրավաբանական անձ.
21) դեպո հաշիվ՝ պարտատոմսերի հաշվառման համար նախատեսված կենտրոնական պահառուի կամ ենթապահառուի գրառումների բազմություն, որը միավորված է ընդհանուր հատկանիշներով.
22) թողարկողի դրամական հաշիվ` թողարկողի գանձապետական միասնական հաշիվն է Հայաստանի Հանրապետության կենտրոնական բանկում.
23) թվաբանական կլորացման կանոն՝ կլորացման այն մեթոդը, որի դեպքում կլորացման ենթակա միավորը չի փոխվում, եթե կլորացման ենթակա միավորին հաջորդող թիվը հավասար է 0-4-ի, և փոխվում է` մեծանալով մեկ միավորով, եթե կլորացման ենթակա միավորին հաջորդող թիվը հավասար է 5-9-ի:
III. ՊԱՐՏԱՏՈՄՍԵՐԻ ԹՈՂԱՐԿՈՒՄԸ
3. Պարտատոմսերը թողարկվում են թողարկողի կողմից` Հայաստանի Հանրապետության անունից, Հայաստանի Հանրապետության ազգային արժույթով, անվանական, ոչ փաստաթղթային ձևով և ապահովված են պետության` սեփականության իրավունքով իրեն պատկանող գույքով:
4. Սույն կարգի համաձայն թողարկված և շրջանառության մեջ գտնվող պարտատոմսերի թողարկման պայմաններում փոփոխություններ չեն կարող կատարվել: Թողարկողն իրավունք ունի թողարկելու պարտատոմսեր միայն սույն կարգի համաձայն:
5. Պարտատոմսերի թողարկման չափանիշներն ամրագրվում են Հայաստանի Հանրապետության ֆինանսների նախարարի հրամանով: Թողարկողը պարտատոմսերի թողարկման չափանիշները սահմանող հրամանում առնվազն ամրագրում է պարտատոմսերի թողարկման ամսաթիվը, թողարկման ծավալը, մարման ամսաթիվը, հետգնման ամսաթիվը (ամսաթվերը), ազատ վաճառքի ժամկետը, արժեկտրոնների վճարման պարբերականությունը և ամսաթվերը, արժեկտրոնի տարեկան եկամտաբերությունը, մեկ ներդրողի կողմից պարտատոմսերի ձեռքբերման առավելագույն ծավալը:
6. Եթե պարտատոմսերի արժեկտրոնի վճարման ամսաթիվը, հետգնման ամսաթիվը կամ մարման ամսաթիվը լրանում է այն ամսին, որը չունի համապատասխան ամսաթիվ, ապա պարտատոմսերի արժեկտրոնի վճարման ամսաթիվը, հետգնման ամսաթիվը կամ մարման ամսաթիվը նախատեսվում է այդ ամսվա վերջին օրացուցային օրը:
7. Պարտատոմսը համարվում է թողարկված կենտրոնական պահառուի համակարգում տվյալ պարտատոմսի վերաբերյալ համապատասխան գրառումներ կատարելուց հետո թողարկման ամսաթվին:
8. Պարտատոմսերի յուրաքանչյուր թողարկմանը շնորհվում է ԱյԷսՕ (ISO) 10962 ստանդարտի համաձայն ֆինանսական գործիքների առանձնահատկություններ սահմանող ՍիԷֆԱյ (CFI) ծածկագիր, ինչպես նաև ԱյԷսՕ (ISO) 6166 ստանդարտի արժեթղթերի միջազգային տարբերակիչ ծածկագիր՝ Համարակալման ազգային գործակալությունների ասոցիացիայի կողմից արժեթղթերի միջազգային տարբերակիչ ծածկագրերի շնորհման ուղեցույցին համապատասխան:
9. Թողարկողը պարտատոմսերի թողարկման ամսաթվից ոչ ուշ, քան մեկ աշխատանքային օր առաջ` մինչև ժամը 11.00-ն, համակարգում գրանցելու նպատակով, էլեկտրոնային եղանակով կենտրոնական պահառուին է փոխանցում պարտատոմսի հետևյալ չափանիշները՝ թողարկման ամսաթիվը, թողարկման ծավալը, մարման ամսաթիվը, արժեկտրոնների վճարման պարբերականությունը և ամսաթվերը, արժեկտրոնի տարեկան եկամտաբերությունը, արժեթղթերի միջազգային տարբերակիչ ծածկագիրը:
10. Կենտրոնական պահառուն սույն կարգի 9-րդ կետով սահմանված տեղեկատվության հիման վրա պարտատոմսը համակարգում գրանցելուց հետո նույն օրը մինչև ժամը 15:00-ն էլեկտրոնային եղանակով տեղեկացնում է թողարկողին պարտատոմսի գրանցման հավաստման վերաբերյալ:
11. Թողարկողն ապահովում է իր կողմից թողարկված պարտատոմսերի հետգնումը, մարումն ու արժեկտրոնների վճարումը:
12. Պարտատոմսերը վաճառվում են ռեզիդենտ և ոչ ռեզիդենտ ֆիզիկական անձանց:
13. Պարտատոմսի քայլը մեկ հազար Հայաստանի Հանրապետության դրամ է:
14. Պարտատոմսերի արժեկտրոնների վճարումը կարող է սահմանվել եռամսյակային, կիսամյակային կամ տարեկան պարբերականությամբ:
15. Պարտատոմսերը գրավադրման, նվիրատվության և առուվաճառքի ենթակա չեն:
16. Պարտատոմսերով հավաստված իրավունքների պաշտոնական ամրագրումն իրականացվում է դեպո հաշիվներում համապատասխան գրառումներ կատարելու միջոցով:
17. Թողարկողը պարտավոր է իր պաշտոնական ինտերնետային կայքում տեղադրել (հայտարարություն անել) պարտատոմսի՝ սույն կարգի 5-րդ կետով նշված չափանիշները և արժեթղթերի միջազգային տարբերակիչ ծածկագիրը թողարկման ամսաթվից առնվազն մեկ աշխատանքային օր առաջ:
IV. ՊԱՐՏԱՏՈՄՍԵՐԻ ՏԵՂԱԲԱՇԽՄԱՆ ԿԱՐԳԸ
18. Պարտատոմսերը տեղաբաշխվում են ազատ վաճառքի ձևով, որը կազմակերպում է թողարկողը` գանձապետական պահառուի միջոցով:
19. Գանձապետական պահառուն պարտատոմսերի ազատ վաճառքն իրականացնում է գանձապետական պահառուի սպասարկման կետերի և առցանց սպասարկման կետի միջոցով՝ ներդրողի հայտի հիման վրա:
20. Ազատ վաճառքի առաջին օրը պարտատոմսերի գնման գինը հավասար է անվանական արժեքին, իսկ սկսած երկրորդ օրվանից` անվանական արժեքին ավելանում է ազատ վաճառքի առաջին օրվանից մինչև ձեռքբերման օրը կուտակված արժեկտրոնի գումարը: Գնման գինը հաշվարկվում է սույն կարգի 29-րդ կետի համաձայն:
V. ՊԱՐՏԱՏՈՄՍԵՐԻ ՀԵՏԳՆՄԱՆ ԿԱՐԳԸ
21. Թողարկողը կարող է հետ գնել իր կողմից թողարկված պարտատոմսերը:
22. Պարտատոմսերի հետգնման ամսաթիվն (ամսաթվերն) ամրագրվում են պարտատոմսերի թողարկման մասին հրամանում:
23. Պարտատոմսերի հետգնման ամսաթիվը (ամսաթվերը) սահմանվում է (սահմանվում են) արժեկտրոնների վճարման ամսաթվերին: Հետգնումը կատարվում է արժեկտրոնի վճարումից հետո:
24. Հետգնումն իրականացվում է գանձապետական պահառուի սպասարկման կետերի և առցանց սպասարկման կետի միջոցով՝ ներդրողի հայտի հիման վրա:
25. Թողարկողը պարտատոմսերը հետ է գնում անվանական արժեքով: Հետգնման առարկա կարող են լինել միայն առանց որևէ սահմանափակումների (ազատ) պարտատոմսերը:
26. Թողարկողը պարտավոր է հետգնել ներդրողների հետգնման հայտերով ներկայացրած պարտատոմսերի ամբողջ ծավալը: Թողարկողը պարտատոմսերի հետգնման ամսաթվին պետք է թողարկողի դրամային հաշվին ունենա ներդրողների կողմից ներկայացված հետգնման հայտերի ծավալին համարժեք դրամական միջոցներ:
27. Եթե պարտատոմսերի հետգնման ամսաթիվը Հայաստանի Հանրապետության օրենսդրության համաձայն ոչ աշխատանքային օր է, ապա պարտատոմսերի հետգնումն իրականացվում է հաջորդ աշխատանքային օրը:
28. Թողարկողի կողմից հետ գնված պարտատոմսերը հաշվառվում են թողարկողի համապատասխան դեպո հաշվում և տեղաբաշխման ենթակա չեն:
VI. ՊԱՐՏԱՏՈՄՍԵՐԻ ԳՆՄԱՆ ԳՆԻ ԵՎ ԱՐԺԵԿՏՐՈՆԻ ՀԱՇՎԱՐԿԸ
29. Պարտատոմսերի գնման գինը հաշվարկվում է համաձայն հետևյալ բանաձևի՝
ԳԳ = ԱԱ + ԱԳ x օր / ԱՕ,
որտեղ`
ԳԳ-ն պարտատոմսի գնման գինն է,
ԱԱ-ն պարտատոմսի անվանական արժեքն է,
ԱԳ-ն պարտատոմսի արժեկտրոնի գումարն է,
օր-ը պարտատոմսի թողարկման ամսաթվից (եթե առաջին արժեկտրոնը դեռևս չի վճարվել) կամ նախորդ արժեկտրոնի վճարման ամսաթվից մինչև պարտատոմսի ձեռքբերման օրն անցած օրերի թիվն է,
ԱՕ-ն ընթացիկ արժեկտրոնի օրերի թիվն է:
30. Պարտատոմսի արժեկտրոնը հաշվարկվում է համաձայն հետևյալ բանաձևի՝
ԱԳ = ԱԱ x Տ / (100 x k),
որտեղ`
ԱԳ-ն արժեկտրոնի գումարն է,
ԱԱ-ն պարտատոմսի անվանական արժեքն է,
Տ-ն արժեկտրոնի տարեկան եկամտաբերությունն է,
k-ն մեկ տարում վճարվող արժեկտրոնների թիվն է (արժեկտրոնների եռամսյակային վճարման դեպքում k=4, կիսամյակային վճարման դեպքում k=2, տարեկան վճարման դեպքում k=1):
VII. ՊԱՐՏԱՏՈՄՍԵՐԻ ԱՐԺԵԿՏՐՈՆՆԵՐԻ ՎՃԱՐՄԱՆ ԵՎ ՄԱՐՄԱՆ ԿԱՐԳԸ
31. Մարման սպասարկում իրականացնողը թողարկողի անունից, թողարկողի հանձնարարականի հիման վրա, պարտատոմսերի մարման և (կամ) արժեկտրոնի վճարման ամսաթվին՝ մինչև ժամը 12:00-ն, ապահովում է պարտատոմսի մարումն ու արժեկտրոնի վճարումը:
32. Գանձապետական պահառուն ապահովում է պարտատոմսի մարման ու արժեկտրոնի գումարների վճարումը ներդրողին:
33. Եթե պարտատոմսերի մարման և (կամ) արժեկտրոնի վճարման ամսաթիվը Հայաստանի Հանրապետության օրենսդրության համաձայն ոչ աշխատանքային օր է, ապա պարտատոմսերի մարումը և (կամ) արժեկտրոնի վճարումն իրականացվում է հաջորդ աշխատանքային օրը:
34. Պարտատոմսերը համարվում են մարված, եթե վճարվել են բոլոր արժեկտրոնները և պարտատոմսերի անվանական արժեքը:
VIII. ՊԱՐՏԱՏՈՄՍԵՐԻ ՊԱՀԱՌՈՒԹՅԱՆ ԳՈՐԾՈՒՆԵՈՒԹՅՈՒՆԸ
35. Պահառության գործունեության առարկա են պարտատոմսերը: Պարտատոմսերի պահառության գործունեությունը պարտատոմսերով հավաստվող իրավունքների գրանցման գործունեությունն է:
36. Պարտատոմսերի պահառության գործունեության պայմանների, պահառության հաշվառման ընդհանուր կանոնների, պարտատոմսերով գործառնություններում կիրառվող փաստաթղթերի նվազագույն վավերապայմանների հետ կապված հարաբերությունները կարգավորվում են «Հայաստանի Հանրապետության կենտրոնական բանկի մասին» Հայաստանի Հանրապետության օրենքի 20-րդ հոդվածի «իգ1» ենթակետի համաձայն հաստատված կարգերով:
|
Հայաստանի Հանրապետության |
Դ. Հարությունյան |
|
Հավելված N 3 |
Կ Ա Ր Գ
ԳԱՆՁԱՊԵՏԱԿԱՆ ՊԱՀԱՌՈՒԻ ԳՈՐԾՈՒՆԵՈՒԹՅԱՆ
I. ԸՆԴՀԱՆՈՒՐ ԴՐՈՒՅԹՆԵՐ
1. Սույն կարգով կարգավորվում են գանձապետական պահառուի գործունեության կանոնների սահմանման հետ կապված հարաբերությունները:
2. Հայաստանի Հանրապետության ֆինանսների նախարարությունն իրականացնում է գանձապետական պահառուի գործառույթները՝ հիմք ընդունելով նախարարության կանոնադրությունը, սույն կարգը, Հայաստանի Հանրապետության պետական գանձապետական պարտատոմսերի (այսուհետ` պարտատոմսեր) թողարկման, տեղաբաշխման, հետգնման և մարման կարգերը, ինչպես նաև իրավական այլ ակտեր:
3. Սույն կարգում օգտագործվող հիմնական հասկացություններն են`
1) ներդրող՝ ռեզիդենտ կամ ոչ ռեզիդենտ ֆիզիկական անձ, ով, համաձայն սույն կարգի, պարտատոմսերի թողարկման, տեղաբաշխման, հետգնման և մարման կարգերի և գործող օրենսդրության, գանձապետական պահառուի միջոցով սեփականության իրավունքով ձեռք է բերում պարտատոմսեր.
2) գանձապետական պահառուի կենտրոնական գրասենյակ՝ սույն կարգի համաձայն գանձապետական պահառուի աշխատանքները կազմակերպող և սպասարկման կետերի գործունեությունը համակարգող միավոր.
3) գանձապետական պահառուի սպասարկման կետ՝ սույն կարգի համաձայն ներդրողների սպասարկումն ապահովող միավոր.
4) սպասարկման կետի պատասխանատու` Հայաստանի Հանրապետության ֆինանսների նախարարության աշխատող, որի քաղաքացիական ծառայության պաշտոնի անձնագրով նախատեսված է իրականացնել գանձապետական պահառուի ներդրողների սպասարկման հետ կապված աշխատանքներ.
5) առցանց սպասարկման կետ՝ պարտատոմսերի առցանց վաճառքի և հետգնման էլեկտրոնային համակարգ.
6) անվանական արժեք՝ այն դրամական գումարն է, որը թողարկողը պարտավոր է վճարել պարտատոմսի սեփականատիրոջը մարման ամսաթվին.
7) գնման գին՝ պարտատոմսի ձեռքբերման համար փաստացի վճարված գումար.
8) ավելցուկային գումար՝ պետական կարճաժամկետ պարտատոմսերի ձեռքբերման համար վճարված անվանական արժեքի և գնման գնի տարբերությունն է, որը ենթակա է վերադարձման ներդրողին՝ տեղաբաշխման աճուրդից հետո.
9) արժեկտրոն՝ թողարկողի կողմից պարտատոմսի սեփականատիրոջը, մինչև մարման օրը ներառյալ, թողարկման ամսաթվից հաշվարկված, նախապես սահմանված որոշակի պարբերականությամբ և արժեկտրոնի տարեկան եկամտաբերությամբ պարտատոմսի անվանական արժեքի դիմաց վճարվող տոկոսագումարն է.
10) հետգնում՝ թողարկողի կողմից մինչև մարման ամսաթիվն ազատ կարգավիճակով պետական գանձապետական խնայողական արժեկտրոնային պարտատոմսերի առք.
11) ընթացիկ վճարումներ՝ ավելցուկային գումարի, արժեկտրոնի, աճուրդը չկայանալու կամ չեղյալ հայտարարելու դեպքում վճարված գումարների, նմանատիպ այլ գումարների վճարում ներդրողներին.
12) վերաֆինանսավորում՝ նոր պարտատոմսերի ձեռքբերում ընթացիկ վճարումների, հետգնման և մարման գումարների հաշվին.
13) դեպո հաշիվ՝ պարտատոմսերի հաշվառման համար նախատեսված կենտրոնական պահառուի կամ ենթապահառուի գրառումների բազմություն, որը միավորված է ընդհանուր հատկանիշներով:
Սույն կարգում օգտագործվող մյուս հասկացությունները համապատասխանում են պարտատոմսերի թողարկման, տեղաբաշխման, շրջանառության, հետգնման և մարման կարգերը սահմանող իրավական ակտերում կիրառվող հիմնական հասկացություններին:
4. Գանձապետական պահառուի գործառույթներն են՝ պարտատոմսերի մանրածախ վաճառքի և հետգնումների կազմակերպումը, վերաֆինանսավորման իրականացումը, պարտատոմսերի ազատ առաքումը: Գանձապետական պահառուն ապահովում է նաև ներդրողներին ընթացիկ վճարումների իրականացումը, ինչպես նաև մարված և հետ գնված պարտատոմսերի գումարների վճարումը:
5. Գանձապետական պահառուն իր հաշվին պարտատոմսեր ձեռք չի բերում:
6. Գանձապետական պահառուի միջոցով ներդրողը կարող է մասնակցել միայն պետական գանձապետական խնայողական արժեկտրոնային պարտատոմսերի հետգնմանը:
7. Գանձապետական պահառուն ներդրողների համար չի իրականացնում գրավադրման, նվիրատվության, առուվաճառքի, երկրորդային շուկայում այլ գործառնություններ, ինչպես նաև պետական գանձապետական կարճաժամկետ, միջնաժամկետ արժեկտրոնային և երկարաժամկետ արժեկտրոնային պարտատոմսերի հետգնում: Այդպիսի գործառնություններ իրականացնելու համար ներդրողը պետք է պարտատոմսերը փոխանցի գանձապետական պահառուից դուրս իր անունով բացված դեպո հաշվին:
8. Ներդրողը չի կարող գանձապետական պահառուից դուրս հաշվառվող դեպո հաշվից պարտատոմսեր փոխանցել գանձապետական պահառու:
9. Գանձապետական պահառուն մեկ ներդրողի համար բացում է մեկ դեպո հաշիվ:
10. Հայաստանի Հանրապետության առևտրային բանկերում գանձապետական պահառուի սպասարկման կետերի համար բացված դրամային հաշիվներին առկա ներդրողների դրամական միջոցների նկատմամբ տոկոսային եկամուտ չի հաշվարկվում և չի վճարվում:
11. Գանձապետական պահառուն ներդրողների սպասարկումն իրականացնում է առանց միջնորդավճարների:
12. Ներդրողի սպասարկումը գանձապետական պահառուի սպասարկման կետերում իրականացվում է աշխատանքային օրերին ժամը 9.30-ից մինչև 17.00-ն, իսկ առցանց սպասարկման կետի միջոցով` շուրջօրյա:
13. Գանձապետական պահառուի միջոցով պարտատոմսերի տեղաբաշխման չափանիշները սահմանվում են յուրաքանչյուր տեսակի պարտատոմսի թողարկման, տեղաբաշխման, հետգնման և մարման կարգով:
14. Գանձապետական պահառուն, թողարկվող յուրաքանչյուր տեսակի պարտատոմսերի առանձնահատկություններից ելնելով, մշակում է ներքին աշխատակարգեր՝ նկարագրելով սահմանված գործառնությունների իրականացման ընթացակարգերը:
15. Գանձապետական պահառուն Հայաստանի Հանրապետության օրենսդրությանը համապատասխան ապահովում է տնօրինվող տեղեկատվության գաղտնիությունը:
16. Գանձապետական պահառուի կառուցվածքը երկմակարդակ է՝ գանձապետական պահառուի կենտրոնական գրասենյակ և գանձապետական պահառուի սպասարկման կետեր (այդ թվում՝ առցանց սպասարկման կետ):
II. ԳԱՆՁԱՊԵՏԱԿԱՆ ՊԱՀԱՌՈՒԻ ՍՊԱՍԱՐԿՄԱՆ ԿԵՏԵՐԻ ԲԱՑՈՒՄԸ ԵՎ ԳՈՐԾՈՒՆԵՈՒԹՅԱՆ ԴԱԴԱՐԵՑՈՒՄԸ
17. Գանձապետական պահառուի սպասարկման կետերը բացվում են կամ դրանց գործունեությունը դադարեցվում է Հայաստանի Հանրապետության ֆինանսների նախարարության աշխատակազմի ղեկավարի հրամանով:
18. Գանձապետական պահառուի յուրաքանչյուր սպասարկման կետին տրվում է հերթական համար:
19. Գանձապետական պահառուի յուրաքանչյուր սպասարկման կետ ունի իր անվանումով կլոր կնիք:
20. Գանձապետական պահառուի սպասարկման կետերի ցանկը և գտնվելու վայրի հասցեները հրապարակվում են Հայաստանի Հանրապետության ֆինանսների նախարարության պաշտոնական կայքում:
21. Գանձապետական պահառուի սպասարկման կետի գործունեությունը դադարեցվելու դեպքում ներդրողները տեղեկացվում են առնվազն տասն օր առաջ:
III. ԳԱՆՁԱՊԵՏԱԿԱՆ ՊԱՀԱՌՈՒԻ ԿՈՂՄԻՑ ԻՐԱԿԱՆԱՑՎՈՂ ԳՈՐԾԱՌՆՈՒԹՅՈՒՆՆԵՐԸ
22. Գանձապետական պահառուի գործառույթներն իրականացնում է Հայաստանի Հանրապետության ֆինանսների նախարարության աշխատակազմի պետական պարտքի կառավարման վարչության գանձապետական պահառուի աշխատանքների կազմակերպման բաժինը:
23. Գանձապետական պահառուի կողմից իրականացվող գործառնություններն են՝
1) ներդրողների հետ պարտատոմսերով գործառնությունների սպասարկման պայմանագրերի կնքում և (կամ) պահառության ծառայությունների միջնորդավորում՝ կենտրոնական պահառուի կամ այլ ենթապահառուի հետ կնքված պայմանագրին համապատասխան.
2) ներդրողներից պարտատոմսերի ձեռքբերման հայտերի և դրամական միջոցների ընդունում.
3) պարտատոմսերով սեփականության իրավունքի գրանցման ապահովում.
4) խնայողական արժեկտրոնային պարտատոմսերի հետգնման հայտերի ընդունում.
5) ներդրողների կողմից ձեռք բերված, հետ գնված, փոխանցված և մարված պարտատոմսերի հաշվառման ապահովում.
6) ընթացիկ վճարումների, մարված և հետ գնված պարտատոմսերի գումարների վճարման ապահովում.
7) ներդրողների հանձնարարությամբ սեփականության իրավունքով իրենց պատկանող պարտատոմսերի փոխանցում.
8) ներդրողների հանձնարարությամբ վերաֆինանսավորման իրականացում:
24. Գանձապետական պահառուի կենտրոնական գրասենյակը՝
1) հաստատում է սպասարկման կետերի կողմից ընդունված ձեռքբերման հայտերը և ապահովում է պարտատոմսերի ուղղակի վաճառքը.
2) ապահովում է ըստ ներդրողների և (կամ) սպասարկման կետերի վերադարձվելիք գումարների (ընթացիկ վճարումներ, մարված և հետ գնված պարտատոմսերի գումարներ) փոխանցումը ներդրողների և (կամ) սպասարկման կետերի համապատասխան դրամային հաշիվներին.
3) գանձապետական պահառուի սպասարկման կետերից ստացված պարտատոմսերի փոխանցման հայտի հիման վրա ապահովում է պարտատոմսերի փոխանցումը.
4) հաստատում է սպասարկման կետերի կողմից ընդունված հետգնման հայտերը և ապահովում է պարտատոմսերի հետգնումը.
5) կազմում է գանձապետական պահառուի գործունեության հաշվետվություններ.
6) վերահսկում է գանձապետական պահառուի սպասարկման կետերի գործունեությունը.
7) կազմակերպում է պարտատոմսերի առցանց վաճառքը, հետգնումն ու սպասարկումը.
8) ապահովում է պարտատոմսերի ամփոփ հաշվառումը.
9) մշակում է իրավական և կանոնակարգիչ փաստաթղթերը:
25. Գանձապետական պահառուի սպասարկման կետը՝
1) ներդրողների հետ կնքում է պարտատոմսերով գործառնությունների սպասարկման պայմանագրեր.
2) սպասարկում է ներդրողների դեպո հաշիվները, որոնցում հաշվառվում են ներդրողների պարտատոմսերը, տրամադրում է այդ հաշիվներից քաղվածքներ և տեղեկանքներ.
3) ներդրողներից ընդունում է պարտատոմսերի ձեռքբերման և հետգնման հայտեր.
4) ապահովում է պարտատոմսերի ձեռքբերման համար ներդրողներից գանձված անհրաժեշտ դրամական միջոցների փոխանցումը թողարկողի դրամային հաշվին.
5) հաշվառում է ըստ ներդրողների վերադարձվելիք գումարները և ապահովում է դրանց վճարումը ներդրողներին (կանխիկ կամ անկանխիկ եղանակով).
6) հաշվառում է վերաֆինանսավորման ենթակա գումարները.
7) ներդրողներից ընդունում է պարտատոմսերի փոխանցման հայտեր:
IV. ՆԵՐԴՐՈՂՆԵՐԻ ՀԵՏ ՊԱՐՏԱՏՈՄՍԵՐՈՎ ԳՈՐԾԱՌՆՈՒԹՅՈՒՆՆԵՐԻ ՍՊԱՍԱՐԿՄԱՆ ՊԱՅՄԱՆԱԳՐԻ ԿՆՔՈՒՄԸ
26. Ներդրողը գանձապետական պահառուի սպասարկման կետում կնքում է պարտատոմսերով գործառնությունների սպասարկման պայմանագիր` երկու օրինակից: Ներդրողը ստորագրում է պայմանագրի երկու օրինակները, սպասարկման կետի պատասխանատուն ևս ստորագրում է պայմանագրի երկու օրինակները և կնքում գանձապետական պահառուի սպասարկման կետի կնիքով: Կողմերից յուրաքանչյուրի մոտ գտնվում է պայմանագրի մեկական օրինակ:
27. Պայմանագրի համաձայն գանձապետական պահառուն ներդրողի համար բացում է դեպո հաշիվ, որտեղ հաշվառվում են ձեռք բերված պարտատոմսերը:
28. Ներդրողի պարտատոմսերի նկատմամբ դատարանի որոշմամբ (դատավճռով) արգելանք (կալանք) դրվելու դեպքում ներդրողի համար բացվում է «արգելադրված (կալանված)» պարտատոմսերի դեպո հաշիվ, որտեղ հաշվառվում են «արգելադրված (կալանված)» պարտատոմսերը կամ ներդրողի դեպո հաշվում սառեցվում են արգելադրված (կալանված) պարտատոմսերը:
29. Պարտատոմսերով գործառնությունների սպասարկման պայմանագրի համարը ութանիշ է, որը ձևավորվում է հետևյալ սկզբունքով՝ առաջին երկու նիշերը գանձապետական պահառուի սպասարկման կետի համարն են, հաջորդ նիշը ցույց է տալիս ներդրողի ռեզիդենտությունը (1-ռեզիդենտ, 2-ոչ ռեզիդենտ), վերջին հինգ նիշերը հերթական համարն են:
30. Պայմանագրում նշվում են պայմանագրի համարը, կնքման ամսաթիվը, հատկացված դեպո հաշվի համարը, ներդրողի և գանձապետական պահառուի իրավունքներն ու պարտականությունները, կողմերի պատասխանատվությունը և վեճերի լուծման կարգը, պայմանագրի ժամկետներն ու դադարման հիմքերը, կողմերի տվյալները` գանձապետական պահառուի սպասարկման կետի համարը, գտնվելու վայրը, հեռախոսահամարը, սպասարկող՝ Հայաստանի Հանրապետության առևտրային բանկը և բանկային հաշիվը, ներդրողի ռեկվիզիտները՝ անունը, ազգանունը, անձնագրի կամ նույնականացման քարտի տվյալները (սերիան, համարը կամ նույնականացման քարտի համարը, վավերականության ժամկետի ավարտը, ծննդյան ամսաթիվը), հանրային ծառայությունների համարանիշը, հաշվառման հասցեն, հեռախոսահամարը, էլեկտրոնային փոստը, սպասարկող՝ Հայաստանի Հանրապետության առևտրային բանկը և բանկային հաշիվը: Եթե ներդրողը լիազորում է այլ անձի իր փոխարեն կատարել գործարքներ, ապա պետք է ներկայացվի Հայաստանի Հանրապետության օրենսդրությամբ սահմանված նոտարական վավերացմամբ լիազորագիր: Ներկայացված լիազորագիրը պահվում է սպասարկման կետում՝ տվյալ ներդրողի պայմանագրի հետ միասին: Լիազորագրի գործողության ժամկետը երեք տարվանից ավելի չի կարող լինել:
31. Ներդրողի ռեկվիզիտների փոփոխման դեպքում վերջինս պարտավոր է գանձապետական պահառուի սպասարկման կետ ներկայացնել դիմում` նշելով փոփոխված տվյալները: Դիմումի հիման վրա գանձապետական պահառուի սպասարկման կետի պատասխանատուն փոփոխություններ է կատարում տվյալ ներդրողի տվյալներում: Առցանց սպասարկման կետ մուտք գործելու իրավասություն ունեցող ներդրողը կարող է ինքնուրույն փոփոխել միայն հետևյալ ռեկվիզիտները՝ հաշվառման հասցեն, հեռախոսահամարը, էլեկտրոնային փոստը, իսկ մնացած ռեկվիզիտների փոփոխությունն իրականացվում է գանձապետական պահառուի սպասարկման կետ ներկայացված դիմումի հիման վրա:
V. ՁԵՌՔԲԵՐՄԱՆ ՀԱՅՏԵՐԻ ԵՎ ԴՐԱՄԱԿԱՆ ՄԻՋՈՑՆԵՐԻ ԸՆԴՈՒՆՈՒՄԸ
32. Կնքված պայմանագրերի հիման վրա ներդրողները կարող են գանձապետական պահառուի միջոցով պարտատոմսեր ձեռք բերել՝ ներկայացնելով պարտատոմսերի ձեռքբերման հայտեր՝ համաձայն N 1 ձևի:
33. Ձեռքբերման հայտերի ընդունման ժամկետներն են՝
1) խնայողական արժեկտրոնային պարտատոմսերի համար՝ յուրաքանչյուր օրվա մինչև ժամը 15:00-ն ներկայացված հայտը համարվում է ընդունված նույն օրը, իսկ ժամը 15:00-ից հետո ներկայացված հայտը՝ հաջորդ աշխատանքային օրը.
2) պետական կարճաժամկետ պարտատոմսերի համար՝ տեղաբաշխման աճուրդի կազմակերպման հայտարարության հրապարակման պահից մինչև վերջնահաշվարկի օրվա ժամը 15:00-ն, եթե պարտատոմսերի ձեռքբերման հայտը ներկայացվել է սպասարկման կետ, և տեղաբաշխման աճուրդի արդյունքների հրապարակման պահից մինչև վերջնահաշվարկի օրվա ժամը 15:00-ն, եթե ձեռքբերման հայտը ներկայացվել է առցանց սպասարկման կետի միջոցով.
3) միջնաժամկետ և երկարաժամկետ արժեկտրոնային պարտատոմսերի համար՝ տեղաբաշխման աճուրդի արդյունքների հրապարակման պահից մինչև վերջնահաշվարկի օրվա ժամը 15:00-ն:
34. Ներդրողների ձեռքբերման հայտերն ընդունվում են, եթե ապահովված է համապատասխան դրամական միջոցների վճարումը: Պարտատոմսերի տվյալ թողարկման գանձապետական պահառուի համար սահմանված ծավալը լրանալուց հետո հայտեր չեն ընդունվում: Ընդունված ձեռքբերման հայտերը մերժվում են պարտատոմսերի տեղաբաշխումը չկայանալու կամ չեղյալ հայտարարվելու դեպքերում:
35. Պարտատոմսեր ձեռք բերելու համար ներդրողը կարող է վճարել կանխիկ, անկանխիկ եղանակներով, ինչպես նաև ներդրողին դեռևս չվճարված ընթացիկ վճարումների, մարված ու հետգնված պարտատոմսերի գումարների հաշվին:
36. Կանխիկ եղանակով վճարման դեպքում ներդրողը ձեռքբերման հայտի հետ միաժամանակ սպասարկման կետ է ներկայացնում վճարման անդորրագիրը:
37. Անկանխիկ եղանակով վճարման դեպքում ներդրողը ձեռքբերման հայտի հետ միաժամանակ սպասարկման կետ է ներկայացնում վճարման հանձնարարականի կրկնօրինակը՝ վավերացված փոխանցումն իրականացրած բանկի կնիքով: Սպասարկման կետի պատասխանատուն ընդունում է ձեռքբերման հայտը՝ գանձապետական պահառուի սպասարկման կետի համապատասխան դրամային հաշվի վրա տվյալ ներդրողի անունից անհրաժեշտ դրամական միջոցները փաստացի մուտքագրված լինելու դեպքում:
38. Ներդրողը վերաֆինանսավորում կատարելու համար գանձապետական պահառուի սպասարկման կետ է ներկայացնում ձեռքբերման հայտ՝ համաձայն N 1 ձևի: Հայտում պարտադիր նշվում են ներդրողին պատկանող վերաֆինանսավորման գումարի աղբյուր հանդիսացող պարտատոմսերի արժեթղթերի միջազգային տարբերակիչ ծածկագիրը և ծավալները:
39. Վերաֆինանսավորման նպատակով պարտատոմսերի ձեռքբերման հայտ ընդունելիս սպասարկման կետի պատասխանատուն ստուգում է մարվող կամ հետ գնվող պարտատոմսերի գումարների համապատասխանությունը հայտում նշված վերաֆինանսավորման գումարների հետ, ինչպես նաև վերաֆինանսավորման աղբյուր հանդիսացող այլ միջոցների առկայությունը: Մինչև ներդրման օրը ներառյալ հետ գնվող և մարվող պարտատոմսերի հաշվին ձեռքբերման հայտ ընդունելիս սպասարկման կետի պատասխանատուն ստուգում է համապատասխան պարտատոմսերի առկայությունը:
40. Պարտատոմսերի ձեռքբերման համար վճարված դրամական միջոցները փոխանցվում են թողարկողի համապատասխան դրամային հաշվին:
VI. ՊԱՐՏԱՏՈՄՍԵՐՈՎ ՍԵՓԱԿԱՆՈՒԹՅԱՆ ԻՐԱՎՈՒՆՔԻ ԳՐԱՆՑՈՒՄԸ
41. Գանձապետական պահառուն, կենտրոնական պահառուին ուղղված թողարկողի հանձնարարականի հիման վրա, ապահովում է պարտատոմսերի գրանցումը ներդրողների դեպո հաշիվներին:
42. Պարտատոմսերով հավաստող սեփականության իրավունքը գրանցվում է՝
1) խնայողական արժեկտրոնային պարտատոմսերի համար՝ ձեռքբերման օրը մինչև ժամը 15:00-ը ներկայացված հայտերի դեպքում՝ նույն օրը, իսկ ժամը 15:00-ից հետո ներկայացված հայտի դեպքում՝ հաջորդ աշխատանքային օրը.
2) պետական կարճաժամկետ, միջնաժամկետ արժեկտրոնային և երկարաժամկետ արժեկտրոնային պարտատոմսերի համար՝ վերջնահաշվարկի օրը:
43. Գանձապետական պահառուն դեպո հաշվի յուրաքանչյուր շարժից հետո, գործառնության կատարման օրը, ներդրողի պահանջով, վերջինիս տրամադրում է քաղվածք ներդրողի դեպո հաշվից:
44. Գանձապետական պահառուն ներդրողի պահանջով` պահանջի ներկայացման օրը, ներդրողին տրամադրվում է դեպո հաշվում հաշվառվող պարտատոմսերի վերաբերյալ տեղեկանք: Դեպո հաշվում հաշվառվող պարտատոմսերի վերաբերյալ տեղեկանքը հանդիսանում է պարտատոմսերով սահմանված սեփականության իրավունքը հավաստող փաստաթուղթ:
45. Սույն կարգի 43-րդ և 44-րդ կետերով նախատեսված դեպո հաշվից քաղվածքը և պարտատոմսերի վերաբերյալ տեղեկանքը կազմվում են կենտրոնական պահառուի կողմից հաստատված պետական պարտատոմսերով գործառնություններում կիրառվող փաստաթղթերի նվազագույն վավերապայմաններին ներկայացվող պահանջներին համապատասխան:
VII. ԽՆԱՅՈՂԱԿԱՆ ԱՐԺԵԿՏՐՈՆԱՅԻՆ ՊԱՐՏԱՏՈՄՍԵՐԻ ՀԵՏԳՆՄԱՆ ՀԱՅՏԵՐԻ ԸՆԴՈՒՆՈՒՄԸ
46. Ներդրողները կարող են գանձապետական պահառուի սպասարկման կետերի միջոցով ներկայացնել պարտատոմսերի հետգնման հայտեր՝ համաձայն N 2 ձևի:
47. Հետգնման հայտն ընդունվում է հետգնման օրվա մինչև ժամը 15:00-ն:
48. Ներդրողի հետգնման հայտն ընդունվում է, եթե նրա դեպո հաշվին առկա է հետգնման հայտում նշված ծավալին համարժեք նույն արժեթղթերի միջազգային տարբերակիչ ծածկագրով պարտատոմս:
VIII. ՆԵՐԴՐՈՂՆԵՐԻՆ ԸՆԹԱՑԻԿ ՎՃԱՐՈՒՄՆԵՐԻ, ՄԱՐՎԱԾ ԵՎ ՀԵՏ ԳՆՎԱԾ ՊԱՐՏԱՏՈՄՍԵՐԻ ԳՈՒՄԱՐՆԵՐԻ ՎՃԱՐՈՒՄԸ
49. Գանձապետական պահառուի կենտրոնական գրասենյակն ապահովում է ընթացիկ վճարումների, մարված ու հետ գնված պարտատոմսերի գումարների փոխանցումը Հայաստանի Հանրապետության առևտրային բանկերում սպասարկման կետերի համապատասխան դրամային հաշիվներին:
50. Գանձապետական պահառուի սպասարկման կետերն ընթացիկ վճարումները, պարտատոմսերի մարման և հետգնման գումարները (բացառությամբ վերաֆինանսավորվող գումարների) ստանալու պահից իրականացնում են դրանց վճարումը ներդրողներին:
51. Վճարումը ներդրողներին կարող է իրականացվել երկու եղանակով՝ կանխիկ և անկանխիկ: Կանխիկով վճարումն իրականացվում է սպասարկման կետում՝ ներդրողի անունով չեկ դուրս գրելու միջոցով: Անկանխիկ վճարման դեպքում սպասարկման կետն իրականացնում է միջոցների փոխանցում պայմանագրում նշված ներդրողի դրամային հաշվին:
52. Ընթացիկ վճարումները, մարված և հետ գնված պարտատոմսերի գումարները, ինչպես նաև պարտատոմսերի տեղաբաշխման չկայացման (անվավեր ճանաչվելու) կամ չեղյալ հայտարարվելու դեպքերում վճարված գումարները ոչ ուշ, քան հաջորդ աշխատանքային օրը ներդրողի կողմից նշված եղանակով փոխանցվում են ներդրողին: Առցանց սպասարկման կետի միջոցով սպասարկվող ներդրողի գումարները փոխանցվում են պայմանագրում նշված ներդրողի դրամային հաշվին:
IX. ՊԱՐՏԱՏՈՄՍԵՐԻ ՓՈԽԱՆՑՈՒՄԸ
53. Պարտատոմսերի փոխանցման դեպքում գանձապետական պահառուի սպասարկման կետի պատասխանատուն ընդունում է ներդրողի ներկայացրած պարտատոմսերի փոխանցման հայտը՝ համաձայն N 3 ձևի և ներկայացնում է կենտրոնական գրասենյակ:
54. Կենտրոնական գրասենյակն ապահովում է պարտատոմսերի ազատ առաքումը փոխանցման հայտում ներդրողի կողմից նշված դեպո հաշվին:
55. Պարտատոմսերի փոխանցման հայտերն ընդունվում են աշխատանքային օրերին մինչև ժամը 15:00-ն: Եթե պարտատոմսերի փոխանցման հայտը ներկայացվել է ժամը 15:00-ից հետո, ապա այն համարվում է ներկայացված հաջորդ աշխատանքային օրը: Պարտատոմսերի փոխանցումն իրականացվում է պարտատոմսերի փոխանցման հայտում նշված կատարման օրը, իսկ կատարման օր նշված չլինելու դեպքում` ներկայացման օրը:
X. ԱՌՑԱՆՑ ՍՊԱՍԱՐԿՄԱՆ ԿԵՏԻ ՄԻՋՈՑՈՎ ՊԱՐՏԱՏՈՄՍԵՐԻ ՁԵՌՔԲԵՐՄԱՆ ԵՎ ՀԵՏԳՆՄԱՆ ԿԱԶՄԱԿԵՐՊՄԱՆ ԱՌԱՆՁՆԱՀԱՏԿՈՒԹՅՈՒՆՆԵՐԸ
56. Ներդրողներին առցանց սպասարկման կետի ծառայությունները հասանելի են www.gp.minfin.am ինտերնետային կայքի (այսուհետ` կայք) միջոցով:
57. Կայքը ներառում է տեղեկատվական, գործարքների իրականացման և ադմինիստրավորման բաժիններ: Տեղեկատվական բաժինը ներառում է տվյալներ գանձապետական պահառուի, վաճառքի և հետգնման ենթակա պարտատոմսերի, օրենսդրական իրավական ակտերի և ներդրողներին տրամադրվող այլ անհրաժեշտ տեղեկատվություն: Գործարքների իրականացման բաժնի միջոցով ներդրողները կատարում են պարտատոմսերի վաճառքի և (կամ) հետգնման գործառնություններ: Գանձապետական պահառուի կենտրոնական գրասենյակը ադմինիստրավորման բաժնի միջոցով մուտքագրում է պարտատոմսերի հետ կապված տվյալներ և անհրաժեշտ այլ տեղեկատվություն:
58. Կայքում տեղադրվում են վաճառքի և (կամ) հետգնման ենթակա պարտատոմսերի վերաբերյալ առնվազն հետևյալ տեղեկությունները՝
1) վաճառքի ենթակա յուրաքանչյուր թողարկման պարտատոմսերի դեպքում`
ա. արժեթղթերի միջազգային տարբերակիչ ծածկագիրը,
բ. վաճառքի ենթակա ծավալը,
գ. վաճառքի համար առկա ծավալը,
դ. մեկ ներդրողի կողմից տվյալ թողարկման պարտատոմսերի ձեռքբերման առավելագույն ծավալը,
ե. պետական գանձապետական կարճաժամկետ, միջնաժամկետ արժեկտրոնային և երկարաժամկետ արժեկտրոնային պարտատոմսերի վաճառքի միջին կշռված եկամտաբերությունը,
զ. արժեկտրոնի տարեկան եկամտաբերությունը,
է. արժեկտրոնների վճարման ամսաթվերը,
ը. հետգնման ամսաթվերը,
թ. մարման ամսաթիվը.
2) հետգնման ենթակա խնայողական արժեկտրոնային պարտատոմսերի դեպքում`
ա. հետգնման ենթակա խնայողական արժեկտրոնային պարտատոմսերի արժեթղթերի միջազգային տարբերակիչ ծածկագիրը,
բ. հետգնման ամսաթվերը:
59. Ներդրողն առցանց սպասարկման կետի միջոցով պարտատոմսերով գործարքներ կատարելու համար պետք է ունենա վճարային համակարգի կողմից սպասարկվող քարտ` համապատասխան դրամական միջոցների հասանելի մնացորդով:
60. «Նույնականացման քարտերի մասին» Հայաստանի Հանրապետության օրենքով նախատեսված նույնականացման քարտ ունենալու դեպքում ներդրողն առցանց սպասարկման կետի միջոցով կարող է կնքել պարտատոմսերով գործառնությունների սպասարկման պայմանագիրը՝ տալով իր համաձայնությունը համապատասխան կոճակը սեղմելու միջոցով: Առցանց սպասարկման կետի միջոցով պայմանագիր կնքելուց անմիջապես հետո ներդրողի էլեկտրոնային փոստին ուղարկվում է համապատասխան նույնականացման բանալի և գաղտնաբառ:
61. «Նույնականացման քարտերի մասին» Հայաստանի Հանրապետության օրենքով նախատեսված նույնականացման քարտ չունենալու դեպքում, առցանց սպասարկման կետի միջոցով գործարքներ իրականացնելու համար, ներդրողը սույն կարգի 26-ից 31-րդ կետերի համաձայն գանձապետական պահառուի սպասարկման կետում կնքում է պարտատոմսերով գործառնությունների սպասարկման պայմանագիր և ներկայացնում է համապատասխան դիմում, որի հիման վրա ներդրողի էլեկտրոնային փոստին ուղարկվում է նույնականացման բանալի և գաղտնաբառ: Նույնականացման բանալին ու գաղտնաբառը օգտագործվում են առցանց սպասարկման կետ մուտք գործելու և պարտատոմսերով գործարքներ իրականացնելու համար:
62. Ներդրողն առցանց սպասարկման կետի միջոցով կարող է դիտարկել իր դեպո հաշիվը:
63. Առցանց սպասարկման կետի միջոցով պարտատոմսերի վաճառքն ու հետգնումն իրականացվում է հետևյալ գործողությունների միջոցով՝
1) կնքված պայմանագրի հիման վրա ներդրողը առցանց սպասարկման կետի միջոցով լրացնում է պարտատոմսերի ձեռքբերման, հետգնման և փոխանցման հայտեր: Պարտատոմսերի ձեռքբերման և (կամ) հետգնման հայտ ձևավորելու համար ներդրողը Կայքի համապատասխան դաշտում ընտրում է տվյալ օրը վաճառքի և (կամ) հետգնման համար առկա պարտատոմսի արժեթղթերի միջազգային տարբերակիչ ծածկագիրը` նշելով ձեռք բերվող և (կամ) հետ գնվող պարտատոմսի ծավալը և համապատասխան հրահանգով մուտքագրում է հայտը.
2) ձեռք բերվող պարտատոմսի ծավալը չի կարող մեծ լինել տվյալ պարտատոմսի` մեկ ներդրողի կողմից պարտատոմսերի ձեռքբերման առավելագույն ծավալից, իսկ վաճառքի համար առկա ծավալը մեկ ներդրողի կողմից պարտատոմսերի ձեռքբերման առավելագույն ծավալից փոքր լինելու դեպքում՝ վաճառքի համար առկա ծավալից.
3) ձեռքբերման հայտը մուտքագրելուց և վճարային քարտի տեսակը նշելուց հետո բացվում է համապատասխան վճարային համակարգի պատուհան, որտեղ ներդրողը մուտքագրում է քարտային տվյալները և հաստատում իր կողմից պարտատոմսերի ձեռքբերման համար վճարում կատարելու ցանկությունը: Վճարումն առցանց սպասարկման կետում սահմանված ժամկետում չիրականացվելու դեպքում հայտը չի ընդունվում: Ներդրողի դրամային հաշվում բավարար միջոցների առկայության դեպքում հայտն ընդունվում է, հակառակ դեպքում՝ մերժվում.
4) խնայողական արժեկտրոնային պարտատոմսերի հետգնման հայտի դեպքում՝ ավտոմատ ստուգվում է ներդրողի կողմից ներկայացված հետգնման հայտում նշված պարտատոմսերի ծավալին համապատասխան պարտատոմսերի առկայության փաստը ներդրողի դեպո հաշվին: Ներդրողի դեպո հաշվում հետգնման հայտում նշված ծավալի առկայության դեպքում հայտն ընդունվում է, հակառակ դեպքում՝ մերժվում:
64. Գնման հայտերի բավարարումն իրականացվում է դրանց առցանց սպասարկման կետ մուտքագրման ժամանակային առաջնահերթության սկզբունքով:
65. Ներդրողի ձեռքբերման հայտի բավարարման դեպքում իրական ժամանակի ռեժիմում ավտոմատ կերպով իրականացվում են հետևյալ գործողությունները՝
1) ձեռք բերված պարտատոմսերի ծավալի չափով նվազեցվում է տվյալ պարտատոմսերի վաճառքի համար առկա ծավալը.
2) համապատասխան դրամական միջոցները տվյալ ներդրողի դրամային հաշվից փոխանցվում են թողարկողի համապատասխան դրամային հաշվին:
66. Ներդրողի կողմից համապատասխան ծավալով ձեռք բերված պարտատոմսերը վերջնահաշվարկի օրը թողարկողի դեպո հաշվից փոխանցվում են տվյալ ներդրողի դեպո հաշվին:
67. Ներդրողի հետգնման հայտի բավարարման դեպքում համապատասխան ծավալով հետ գնված պարտատոմսերը տվյալ ներդրողի դեպո հաշվից փոխանցվում են թողարկողի համապատասխան դեպո հաշվին:
68. Առցանց սպասարկման կետը համապատասխան հաղորդագրությամբ տեղեկացնում է ներդրողին հայտի բավարարման կամ մերժման մասին:
69. Ներդրողի քարտային հաշվից միջոցների դուրսգրումը կատարվում է թողարկող բանկի և վճարային համակարգի կանոնակարգերի համաձայն:
|
Հայաստանի Հանրապետության |
Դ. Հարությունյան |
Ձև N 1
Գանձապետական պահառուի գործունեության կարգի
Հայտ N ______
Գանձապետական պահառուի միջոցով պարտատոմսերի ձեռքբերման
Հայտնում եմ, որ ես_______________________________________________________________
|
(անուն, ազգանուն) |
դեպո հաշիվ_________________, համաձայն ___ _________20 թ. կնքված թիվ_______________
պարտատոմսերով գործառնությունների սպասարկման պայմանագրի, պատրաստակամություն եմ հայտնում
|
____________________ (օր/ամիս/տարի) |
տեղաբաշխման ժամանակ |
իմ հաշվին գնել_________________________________թողարկման
|
(արժեթղթերի միջազգային տարբերակիչ ծածկագիրը) |
__________________________________________դրամ անվանական արժեքով պարտատոմսեր:
(գումարը՝ թվերով և բառերով)
Պարտատոմսերի ձեռքբերման համար անհրաժեշտ
__________________________________________դրամ միջոցները գոյացել են՝
(գումարը՝ թվերով և բառերով)
1)____________________________դրամ գումար վճարվել է համաձայն՝
|
թիվ______________անդորրագրի |
___ ___________ 20 թ. |
|
(կանխիկի դեպքում) |
2)____________________________դրամ գումար վճարվել է համաձայն՝
|
թիվ______________վճարման հանձնարարականի |
___ ___________ 20 թ. | |
|
(անկանխիկի դեպքում) |
||
3)____________________________թողարկման (թողարկումների) ընթացիկ վճարումների
միջոցներից________________________________________________________դրամ
4)____________________________թողարկման (թողարկումների) մարման, հետգնման
միջոցներից________________________________________________________դրամ
Խնդրում եմ ինձ պատկանող դրամական միջոցները վերադարձնել՝
|
□ |
Կանխիկ եղանակով | ||||
|
□ |
Անկանխիկ եղանակով | ||||
|
___________________________________ |
_______________ | ||||
|
Ներդրողի (լիազորված անձի) Ա.Ա., անձնագրի/ |
ստորագրություն | ||||
|
____ ___________20 թ. |
|||||
|
Գանձապետական պահառուի թիվ_________սպասարկման կետ Հայտն ընդունել է՝ |
____________________ |
____________________ | |
|
պատասխանատու անձի Ա.Ա. |
ստորագրություն | ||
|
«___»______________20 թ. |
Կ. Տ. | ||
Ձև N 2
Գանձապետական պահառուի գործունեության կարգի
Հայտ ___________
Գանձապետական պահառուի միջոցով ձեռք բերված պետական գանձապետական խնայողական արժեկտրոնային պարտատոմսերի հետգնման
Սույնով հայտնում եմ, որ ես_______________________________________________________________
|
(անունը, ազգանունը) |
|
դեպո հաշիվ____________, պատրաստակամություն եմ հայտնում |
_________________ (օրը/ամիսը/տարեթիվը) |
պարտատոմսերի հետգնման ժամանակ հետ վաճառել _________________________________ թողարկման
|
(արժեթղթերի միջազգային տարբերակիչ ծածկագիրը) |
__________________________________________դրամ անվանական արժեքով պարտատոմսեր։
(գումարը՝ թվերով և բառերով)
_________________________________________________________________________
|
Խնդրում եմ ինձ պատկանող դրամական միջոցները վերադարձնել՝ | |||||
|
□ |
Կանխիկ եղանակով | ||||
|
□ |
Անկանխիկ եղանակով | ||||
|
___________________________________ |
_______________ | ||||
|
Ներդրողի (լիազորված անձի) Ա.Ա., անձնագրի/ |
ստորագրություն | ||||
|
«____» ___________20 թ. |
|||||
| ________________________________________________________________________ | |||||
|
Գանձապետական պահառուի թիվ_________սպասարկման կետ Հանձնարարականն ընդունել է՝ |
________________________________ |
____________________ | |
|
սպասարկման կետի պատասխանատու Ա.Ա. |
ստորագրություն | ||
|
« » 20 թ. |
Կ. Տ. | ||
Ձև N 3
Գանձապետական պահառուի գործունեության կարգի
ՊԱՐՏԱՏՈՄՍԵՐԻ ՓՈԽԱՆՑՄԱՆ ՀԱՅՏ N
|
«___» _________ 20 թ. Ներկայացման ամսաթիվը |
|
| ||||||||||||||||||
|
35B։ |
Արժեթղթերի միջազգային տարբերակիչ ծածկագիր |
| ||||||||||||||||
|
35C։ |
Արժեթղթերի ծավալ |
թվերով |
| |||||||||||||||
|
բառերով |
_____________________________ | |||||||||||||||||
| _____________________________ | ||||||||||||||||||
| _____________________________ | ||||||||||||||||||
| _____________________________ | ||||||||||||||||||
|
83։ |
Արժեթղթեր առաքող |
| ||||||||||||||||
|
առաքողի ենթապահառու |
_____________________________ | |||||||||||||||||
|
առաքողի անունը, ազգանունը |
_____________________________ | |||||||||||||||||
|
87։ |
Արժեթղթեր ստացող |
| ||||||||||||||||
|
ստացողի ենթապահառու |
_____________________________ | |||||||||||||||||
|
ստացողի անունը, ազգանունը |
_____________________________ | |||||||||||||||||
| _____________________________ | ||||||||||||||||||
| _____________________________ | ||||||||||||||||||
|
72։ |
Վճարման նպատակը/գործարքի կատարման հիմքը |
---------------------------------------------- Պարտատոմսերի փոխանցում ---------------------------------------------- | ||||||||||||||||
|
Կատարման ամսաթիվ |
| |||||||||||||||||
|
| ||
| Ներդրողի ստորագրությունը |
/__________________ / ստորագրությունը |
|
|
| ||
Գանձապետական պահառուի թիվ __ սպասարկման կետի նշումները հայտի ընդունման վերաբերյալ
|
Հայտն ընդունել է |
_______________________________________________________________ սպասարկման կետի պատասխանատուի անունը, ազգանունը |
________________________ ստորագրությունը |
|
|
Հավելված N 4 ՀՀ կառավարության 2017 թվականի ապրիլի 13-ի N 381-Ն որոշման |
Կ Ա Ր Գ
ՀԱՅԱՍՏԱՆԻ ՀԱՆՐԱՊԵՏՈՒԹՅԱՆ ՊԵՏԱԿԱՆ ԳԱՆՁԱՊԵՏԱԿԱՆ ԳՆԱՃԻՆ ԿՑՎԱԾ ԱՐԺԵԿՏՐՈՆԱՅԻՆ ՊԱՐՏԱՏՈՄՍԵՐԻ ԹՈՂԱՐԿՄԱՆ, ՏԵՂԱԲԱՇԽՄԱՆ, ՇՐՋԱՆԱՌՈՒԹՅԱՆ ԵՎ ՄԱՐՄԱՆ
ԳԼՈՒԽ 1
ԸՆԴՀԱՆՈՒՐ ԴՐՈՒՅԹՆԵՐ
1. Սույն կարգով կարգավորվում են Հայաստանի Հանրապետության պետական գանձապետական գնաճին կցված արժեկտրոնային պարտատոմսերի թողարկման, տեղաբաշխման, շրջանառության և մարման կանոնների սահմանման հետ կապված հարաբերությունները:
ԳԼՈՒԽ 2
ՀԱՍԿԱՑՈՒԹՅՈՒՆՆԵՐ
2. Սույն կարգում օգտագործվող հիմնական հասկացություններն են`
1) թողարկող` Հայաստանի Հանրապետության ֆինանսների նախարարություն.
2) պարտատոմս՝ թողարկողի կողմից սույն կարգին և Հայաստանի Հանրապետության օրենսդրությանը համապատասխան թողարկված պետական գանձապետական գնաճին կցված արժեկտրոնային պարտատոմս, որը թողարկվում է 1 տարվանից ավելի մարման ժամկետով, վաճառվում է անվանական արժեքով, զեղչատոկոսով կամ հավելավճարով, կիսամյակային արժեկտրոնների վճարումներով և մարվում մայր գումարով, ընդ որում՝ 1 տարվանից 5 տարի ժամկետով պարտատոմսը համարվում է միջնաժամկետ, իսկ 5-ից ավելին՝ երկարաժամկետ.
3) թողարկում՝ պարտատոմսի հիմնական չափանիշների որոշման, հանրային հրապարակման, պետական արժեթղթերի հաշվառման և հաշվարկների իրականացման համակարգում ամրագրման գործողությունների ամբողջություն.
4) կենտրոնական բանկ` Հայաստանի Հանրապետության կենտրոնական բանկ.
5) վերջնահաշվարկ իրականացնող՝ թողարկողի հետ աճուրդի վերջնահաշվարկի իրականացման պայմանագիր կնքած իրավաբանական անձ.
6) մարման սպասարկում իրականացնող՝ թողարկողի հետ պարտատոմսի մարման, արժեկտրոնների վճարման իրականացման պայմանագիր կնքած իրավաբանական անձ.
7) աճուրդի համակարգի օպերատոր՝ աճուրդի համակարգն ապահովող իրավաբանական անձ, որը թողարկողի հետ կնքել է համապատասխան պայմանագիր.
8) աճուրդի կառավարիչ՝ թողարկողի հետ աճուրդի իրականացման պայմանագիր կնքած իրավաբանական անձ, եթե այն թողարկողը չէ.
9) գործակալ` Հայաստանի Հանրապետության օրենսդրությամբ սահմանված ներդրումային ծառայություններ մատուցող անձ, որը թողարկողի հետ կնքել է պարտատոմսերի շուկայում գործակալի գործառույթների կատարման մասին պայմանագիր.
10) ներդրող` յուրաքանչյուր անձ (այդ թվում՝ պայմանագրային ներդրումային ֆոնդ), որը համաձայն սույն կարգի և գործող օրենսդրության՝ սեփականության իրավունքով ձեռք է բերում պարտատոմսեր և գործակալ չէ.
11) անվանատեր՝ անձ, որի անունով, առանց սեփականության իրավունքի փոխանցման, հաշվառվում են այլ անձանց պատկանող պարտատոմսերը.
12) օպերատոր՝ անձը (անձինք), որը (որոնք) կազմակերպում է (են) պարտատոմսերի կարգավորվող շուկայի գործունեությունը.
13) պետական արժեթղթերի հաշվառման և հաշվարկների իրականացման համակարգ (այսուհետև՝ համակարգ)` կենտրոնական պահառուի մոտ վարվող դեպո հաշիվներում պարտատոմսերի հաշվառումը և դեպո հաշիվներով հաշվարկների իրականացումն ապահովող համակարգ.
14) կենտրոնական պահառու` թողարկողի առջև պարտատոմսերի պաշտոնական ամրագրման, շրջանառության պարտավորությունները կրող պահառուական գործունեություն իրականացնող անձ, որը թողարկողի հետ ունի կնքած պահառության պայմանագիր.
15) ենթապահառու` պահառուական գործունեություն իրականացնող անձ, որի մոտ հաշվառվում են սեփական, անվանատիրոջ կամ ըստ առանձին ներդրողների՝ վերջիններիս սեփականության իրավունքով պատկանող պարտատոմսերը.
16) անվանական արժեք (կամ ծավալ)` դրամական միավոր, տեղաբաշխման աճուրդի արդյունքում թողարկողի կողմից վաճառված պարտատոմսերի ծավալ:
17) մայր գումար՝ գնաճով ճշգրտված դրամական միավոր, որը թողարկողը պարտավոր է վճարել պարտատոմսի սեփականատիրոջը կամ անվանատիրոջը մարման վճարման ամսաթվին, համաձայն սույն կարգի 6-րդ գլխի, այն չի կարող պակաս լինել քան անվանական արժեքը.
18) զեղչատոկոս` պարտատոմսի անվանական արժեքի և գնման գնի տարբերություն, եթե այն դրական է.
19) հավելավճար` պարտատոմսի անվանական արժեքի և գնման գնի տարբերություն, եթե այն բացասական է.
20) գնման գին՝ դրամական միավոր, որը պարտատոմսի գնորդը վերջնահաշվարկի ամսաթվին պարտավոր է վճարել պարտատոմս վաճառողին պարտատոմսի սահմանված անվանական արժեքի համար տասը Հայաստանի Հանրապետության լումայի ճշտությամբ` համաձայն թվաբանական կլորացման կանոնների.
21) գին՝ գնման գնի և անվանական արժեքի հարաբերություն, որը հաշվարկվում է յուրաքանչյուր հարյուր միավոր անվանական արժեքի համար, զրո ամբողջ մեկ տասը հազարերորդական թվի ճշտությամբ` համաձայն թվաբանական կլորացման կանոնների.
22) եկամտաբերություն (կամ մինչև մարում տարեկան եկամտաբերություն)՝ տոկոսադրույք (զրո ամբողջ տասը հազարերորդական նիշի ճշտությամբ՝ թվաբանական կլորացման կանոնի ներքո), որով հաշվարկվում է գինը՝ համաձայն սույն կարգի 6-րդ գլխի.
23) արժեկտրոնի տարեկան եկամտաբերություն՝ պարտատոմսի համար թողարկողի կողմից սահմանված ֆիքսված տոկոսադրույք (զրո ամբողջ մեկ հարյուրերորդական նիշի ճշտությամբ).
24) արժեկտրոն` թողարկողի կողմից պարտատոմսի սեփականատիրոջը կամ անվանատիրոջը մինչև մարման ամսաթիվը ներառյալ, թողարկման ամսաթվից հաշվարկված, կիսամյակային պարբերականությամբ և արժեկտրոնի տարեկան եկամտաբերությամբ պարտատոմսի գնաճով ճշգրտված անվանական արժեքի դիմաց վճարվող տոկոսագումարն է՝ համաձայն սույն կարգի 6-րդ գլխի.
25) արժեկտրոնի վճարման ամսաթիվ՝ թողարկողի կողմից սահմանված օրացուցային օր, երբ թողարկողը պարտավոր է վճարել տվյալ պարտատոմսի արժեկտրոնը.
26) արժեկտրոնի առաջին վճարման ամսաթիվ՝ թողարկողի կողմից սահմանված օրացուցային օր, երբ առաջին անգամ թողարկողը պարտավոր է վճարել տվյալ պարտատոմսի արժեկտրոնը.
27) առաջնային շուկա` շուկա, որտեղ իրականացվում է պարտատոմսերի տեղաբաշխումը.
28) երկրորդային շուկա` առաջնային շուկայից դուրս պարտատոմսերի շրջանառությունն ապահովող գործարքների (առուվաճառք (այդ թվում` նաև ռեպո, հակադարձ ռեպո և իրավական ակտերով սահմանված այլ գործարքներ), ազատ առաքում) իրականացման համար կազմակերպված կամ չկազմակերպված շուկա.
29) թողարկման ծավալ՝ յուրաքանչյուր պարտատոմսի համար թողարկողի կողմից որոշվող և հրապարակվող տվյալ թողարկման պարտատոմսի բոլոր տեղաբաշխումների առավելագույն գումարային անվանական արժեքը.
30) տեղաբաշխման ենթակա ծավալ՝ թողարկողի կողմից նախապես որոշված և հրապարակված՝ յուրաքանչյուր աճուրդին պարտատոմսի համար սահմանված առավելագույն անվանական արժեք, որի չափով կարող է իրականացվել տեղաբաշխում .
31) տեղաբաշխված ծավալ՝ յուրաքանչյուր տեղաբաշխման աճուրդի արդյունքում թողարկողի կողմից վաճառված պարտատոմսերի անվանական արժեքների հանրագումար.
32) տեղաբաշխում` թողարկողի կողմից պարտատոմսի առաջին վաճառք կամ թողարկման վերաբացման միջոցով պարտատոմսի վաճառք.
33) գործարք՝ պարտատոմսի վաճառք.
34) աճուրդ՝ տեղաբաշխման աճուրդ` պարտատոմսի տեղաբաշխման նպատակով կազմակերպվող փակ մրցութային գործընթաց, որի ժամանակ պարտատոմս ձեռք բերելու նպատակով հավանական գնորդները ներկայացնում են հայտեր, որոնք աճուրդի համակարգում գրանցվում, դասակարգվում, համադրվում են և կարող են բավարարվել թողարկողի կողմից.
35) աճուրդի համակարգ` էլեկտրոնային եղանակով աճուրդների կազմակերպման համար օգտագործվող ավտոմատացված ծրագրային ամբողջություն, որը նախատեսված է աճուրդի համակարգի օպերատորի մոտ աճուրդների կազմակերպման, անցկացման և դրա հետ կապված տեղեկատվության մշակման և պահպանման համար.
36) աճուրդի համակարգի մասնակից` գործակալները և կենտրոնական բանկը.
37) բազմակի գնային մեթոդ` աճուրդի իրականացման մեթոդ, երբ յուրաքանչյուր հաղթած հայտ բավարարվում (մասնակի բավարարվում) է հայտում նշված գնով (եկամտաբերությամբ).
38) վերաբացում` յուրաքանչյուր թողարկման պարտատոմսի հերթական մասնաբաժնի տեղաբաշխման մասին որոշման ընդունում.
39) հայտ` աճուրդի համակարգի մասնակցի կողմից ներկայացված և թողարկողին ուղղված անվանական արժեքի և եկամտաբերության (կամ գնի) համախմբությամբ գործարք կնքելու առաջարկ.
40) հայտարարության ամսաթիվ՝ պարտատոմսի թողարկման կամ աճուրդի անցկացման վերաբերյալ հայտարարության հրապարակման օր.
41) թողարկման ամսաթիվ՝ թողարկողի կողմից սահմանված օրացուցային օր, որից հաշվարկվում է առաջին արժեկտրոնը.
42) աճուրդի ամսաթիվ` օրացուցային օր, երբ պետք է կազմակերպվի աճուրդը.
43) մարման ամսաթիվ՝ թողարկողի կողմից սահմանված օրացուցային օր, որ պահից սկսած արգելվում է այդ պարտատոմսի շրջանառությունը երկրորդային շուկայում և դրանցով ցանկացած գործառնության իրականացումը` բացառությամբ պարտատոմսի մարման.
44) մինչև մարում մնացած օրերի թիվ՝ մարման ամսաթվի և վերջնահաշվարկի ամսաթվի միջև օրացուցային օրերի քանակ.
45) մարման ժամկետ՝ թողարկման ամսաթվից մինչև մարման ամսաթիվն ընկած ժամանակահատված.
46) մարման վճարման ամսաթիվ՝ թողարկողի կողմից սահմանված օրացուցային օր, երբ թողարկողը պարտավոր է փաստացի վճարել գնաճին կցված արժեկտրոնային պարտատոմսի վճարման ենթակա մայր գումարը և վերջին արժեկտրոնը.
47) հայտի բավարարում (մասնակի բավարարում), գործարքի կնքում` սույն կարգով, աճուրդի համակարգի օպերատորի կանոններով և համապատասխան պայմանագրերով սահմանված ձևով պարտատոմսի առուվաճառքի էական պայմանների և պարտատոմսի առուվաճառքի արդյունքում ծագող իրավունքների ու պարտավորությունների վերաբերյալ պարտատոմսի գնորդի և պարտատոմս վաճառողի միջև համաձայնության կայացում.
48) միջին կշռված եկամտաբերություն՝ կնքված գործարքների միջին կշռված եկամտաբերություն, որտեղ կշիռները ներկայացնում են կնքված գործարքների ծավալները զրո ամբողջ մեկ տասը հազարերորդական թվի ճշտությամբ` համաձայն թվաբանական կլորացման կանոնների.
49) միջին կշռված գին՝ կնքված գործարքների միջին կշռված գին, որտեղ կշիռները ներկայացնում են կնքված գործարքների ծավալները զրո ամբողջ մեկ տասը հազարերորդական թվի ճշտությամբ` համաձայն թվաբանական կլորացման կանոնների.
50) պարտատոմսի քայլ՝ պարտատոմսի անվանական արժեքի չափ, որին բազմապատիկ պետք է լինեն պարտատոմսով իրականացվող բոլոր գործառնությունները.
51) վերջնահաշվարկ՝ գործողությունների ամբողջություն, որի արդյունքում մարվում են դրամական միջոցների և պարտատոմսերի փոխանցման հետ կապված աճուրդի համակարգի մասնակիցների և թողարկողի միջև գործարքների կնքման արդյունքում ծագած պարտավորությունները.
52) վերջնահաշվարկի ամսաթիվ՝ թողարկողի կողմից սահմանված օրացուցային օր, երբ պետք է իրականացվի կնքված գործարքին համապատասխան դրամական միջոցների և պարտատոմսերի փոխանցման հետ կապված պարտավորությունների մարումը.
53) դեպո հաշիվ՝ պարտատոմսերի հաշվառման համար նախատեսված կենտրոնական պահառուի կամ ենթապահառուի գրառումների բազմություն, որը միավորված է ընդհանուր հատկանիշներով.
54) թվաբանական կլորացման կանոն՝ կլորացման այն մեթոդը, որի դեպքում կլորացման ենթակա միավորը չի փոխվում, եթե կլորացման ենթակա միավորին հաջորդող թիվը հավասար է 0-4-ի, և փոխվում է` մեծանալով մեկ միավորով, եթե կլորացման ենթակա միավորին հաջորդող թիվը հավասար է 5-9-ի:
55) գնաճի ինդեքսավորման գործակից՝ արժեկտրոնի վճարման (մարման) և պարտատոմսի թողարկման ամսաթվերի դրությամբ Հայաստանի Հանրապետության վիճակագրական կոմիտեի կողմից հրապարակված սպառողական գների ինդեքսի ցուցանիշների հարաբերակցությունն է, ընդ որում՝ ցանկացած պահի դրությամբ սպառողական գների ինդեքսը հաշվարկվում է տվյալ ամսվա առաջին օրացուցային օրվան նախորդող հրապարակային ցուցանիշների հիման վրա էքստրապոլացիայի միջոցով՝ համաձայն սույն կարգի 6-րդ գլխի։
ԳԼՈՒԽ 3
ՊԱՐՏԱՏՈՄՍԵՐԻ ԹՈՂԱՐԿՈՒՄԸ ԵՎ ԱՃՈՒՐԴՆԵՐԻ ՀԱՅՏԱՐԱՐՈՒՄԸ
3. Պարտատոմսերը թողարկվում են թողարկողի կողմից` Հայաստանի Հանրապետության անունից, Հայաստանի Հանրապետության ազգային արժույթով, անվանական, ոչ փաստաթղթային ձևով և ապահովված են պետության` սեփականության իրավունքով իրեն պատկանող գույքով:
4. Սույն կարգի համաձայն թողարկված և շրջանառության մեջ գտնվող պարտատոմսերի թողարկման պայմաններում փոփոխություններ չեն կարող կատարվել: Թողարկողն իրավունք ունի թողարկելու պարտատոմսեր միայն սույն կարգի համաձայն:
5. Պարտատոմսերի թողարկման չափանիշները սահմանվում են Հայաստանի Հանրապետության ֆինանսների նախարարի հրամանով (այսուհետ՝ հրաման): Թողարկողը պարտատոմսերի թողարկման չափանիշները սահմանող հրամանում առնվազն ամրագրում է պարտատոմսերի թողարկման ամսաթիվը, թողարկման ծավալը, մարման ամսաթիվը, մարման վճարման ամսաթիվը, արժեկտրոնի առաջին վճարման ամսաթիվը և արժեկտրոնի տարեկան եկամտաբերությունը:
6. Պարտատոմսը համարվում է թողարկված կենտրոնական պահառուի համակարգում տվյալ պարտատոմսի վերաբերյալ համապատասխան գրառումներ կատարելուց հետո՝ հրամանով սահմանված թողարկման ամսաթվին:
7. Պարտատոմսերի յուրաքանչյուր թողարկմանը շնորհվում է ԱյԷսՕ (ISO) 10962 ստանդարտի համաձայն ֆինանսական գործիքների առանձնահատկություններ սահմանող ՍիԷֆԱյ (CFI) ծածկագիր, ինչպես նաև ԱյԷսՕ (ISO) 6166 ստանդարտի արժեթղթերի միջազգային տարբերակիչ ծածկագիր՝ Համարակալման ազգային գործակալությունների ասոցիացիայի կողմից արժեթղթերի միջազգային տարբերակիչ ծածկագրերի շնորհման ուղեցույցին համապատասխան:
8. Թողարկողն ապահովում է իր կողմից թողարկված պարտատոմսերի մարումը և արժեկտրոնների վճարումը:
9. Մարման ամսաթվին պարտատոմսով ցանկացած տիպի գործառնությունը, բացի մարումից, արգելվում է:
10. Պարտատոմսի քայլը մեկ հազար Հայաստանի Հանրապետության դրամ է:
11. Պարտատոմսերով հավաստված իրավունքների պաշտոնական ամրագրումն իրականացվում է դեպո հաշիվներում համապատասխան գրառումներ կատարելու միջոցով:
12. Թողարկողը պարտատոմսերի թողարկման ամսաթվից ոչ ուշ, քան հինգ աշխատանքային օր առաջ` մինչև ժամը 11.00-ն, էլեկտրոնային եղանակով կենտրոնական պահառուին է փոխանցում պարտատոմսի՝ սույն կարգի 5-րդ կետով նշված չափանիշները և 7-րդ կետով նշված արժեթղթերի միջազգային տարբերակիչ ծածկագիրը՝ համակարգում գրանցելու նպատակով:
13. Կենտրոնական պահառուն սույն կարգի 12-րդ կետով սահմանված տեղեկատվության հիման վրա պարտատոմսը համակարգում գրանցելուց հետո նույն օրը մինչև ժամը 15:00-ն էլեկտրոնային եղանակով տեղեկացնում է թողարկողին և աճուրդի համակարգի օպերատորին պարտատոմսի գրանցման հավաստման վերաբերյալ:
14. Թողարկողը պարտատոմսերի տեղաբաշխման աճուրդի ամսաթվից առնվազն երկու աշխատանքային օր առաջ` մինչև ժամը 11.00-ն, էլեկտրոնային եղանակով աճուրդի համակարգի օպերատորին է փոխանցում աճուրդի կազմակերպման մասին հայտարարությունը:
15. Աճուրդի կազմակերպման մասին հայտարարության տեղեկատվությունն առնվազն պետք է ներառի հետևյալ տվյալները՝ հայտարարության ամսաթիվը, աճուրդի առարկա հանդիսացող պարտատոմսին շնորհված արժեթղթերի միջազգային տարբերակիչ ծածկագիրը, թողարկման ամսաթիվը, թողարկման ծավալը, մարման ամսաթիվը, մարման վճարման ամսաթիվը, արժեկտրոնի առաջին վճարման ամսաթիվը, արժեկտրոնի տարեկան եկամտաբերությունը, աճուրդի ամսաթիվը, տեղաբաշխման ենթակա ծավալը, վերջնահաշվարկի ամսաթիվը:
16. Թողարկողն իրավունք ունի չեղյալ համարելու հայտարարված կամ հրապարակված աճուրդը: Աճուրդի չեղյալ համարելու մասին որոշումը թողարկողն աճուրդի համակարգի օպերատորին է փոխանցում աճուրդի ամսաթվից առնվազն մեկ աշխատանքային օր առաջ՝ մինչև ժամը 14.00-ն:
17. Աճուրդի համակարգի օպերատորը պարտավոր է իր պաշտոնական ինտերնետային կայքում տեղադրել (հայտարարություն անել)՝
1) պարտատոմսի՝ սույն կարգի 5-րդ կետով նշված չափանիշները և 7-րդ կետով նշված արժեթղթերի միջազգային տարբերակիչ ծածկագիրը թողարկման ամսաթվից առնվազն հինգ աշխատանքային օր առաջ՝ մինչև ժամը 16.00-ն.
2) տեղաբաշխման աճուրդի կազմակերպման մասին տեղեկատվությունն աճուրդի ամսաթվից առնվազն երկու աշխատանքային օր առաջ ՝ մինչև ժամը 16.00-ն.
3) հայտարարված աճուրդը չեղյալ համարելու մասին թողարկողի որոշումն աճուրդի ամսաթվից առնվազն մեկ աշխատանքային օր առաջ՝ մինչև ժամը 16.00-ն:
ԳԼՈՒԽ 4
ՊԱՐՏԱՏՈՄՍԵՐԻ ՏԵՂԱԲԱՇԽՄԱՆ ԿԱԶՄԱԿԵՐՊՈՒՄԸ
18. Աճուրդներն իրականացվում են աճուրդի համակարգում, աճուրդի ամսաթվին, աճուրդի կառավարչի կողմից:
19. Աճուրդների կազմակերպման կանոնները հաստատվում են աճուրդի համակարգի օպերատորի կողմից՝ համաձայնեցնելով թողարկողի հետ:
20. Պարտատոմսերի տեղաբաշխումն իրականացվում է վաճառքի տեսքով աճուրդի կազմակերպման միջոցով:
21. Աճուրդները կազմակերպում է աճուրդի համակարգի օպերատորը:
22. Աճուրդի ամսաթիվը կարող է տարբեր լինել վերջնահաշվարկի ամսաթվից, սակայն վերջնահաշվարկի ամսաթվի և աճուրդի ամսաթվի տարբերությունն առավելագույնը երկու աշխատանքային օր է: Վերջնահաշվարկի ամսաթիվը սահմանվում է թողարկողի կողմից յուրաքանչյուր աճուրդի համար առանձին:
23. Թողարկողը կարող է թողարկված պարտատոմսերը տեղաբաշխել ամբողջությամբ կամ մաս-մաս` վերաբացման միջոցով:
24. Ցանկացած տեղաբաշխման աճուրդի ժամանակ պարտատոմսի տեղաբաշխման ենթակա ծավալի առավելագույն չափը թողարկման ծավալի և մինչև աճուրդի ամսաթիվը տեղաբաշխված ընդհանուր ծավալի տարբերությունն է:
25. Տեղաբաշխման աճուրդներն իրականացվում են բազմակի գնային մեթոդով: Տեղաբաշխման աճուրդին կարող են մասնակցել միայն գործակալները, ինչպես նաև կենտրոնական բանկը՝ «Հայաստանի Հանրապետության կենտրոնական բանկի մասին» օրենքով սահմանված դեպքում:
ԳԼՈՒԽ 5
ԳՈՐԾԱԿԱԼՆԵՐԸ
26. Գործակալը թողարկողի գործընկերն է պարտատոմսերի առաջնային և երկրորդային շուկաներում:
27. Թողարկողը գործակալների ընտրությունն իրականացնում է՝ համաձայն իր կողմից սահմանված գործակալների վարքագծի գնահատման և ընտրության կարգի:
28. Գործակալին համապատասխան կարգավիճակ շնորհվում է թողարկողի հետ կնքված պայմանագրով: Գործակալների հետ կնքվող պայմանագրի օրինակելի ձևը սահմանում է թողարկողը:
29. Գործակալը պետք է հանդիսանա ենթապահառու:
30. Գործակալն աճուրդին իրավունք ունի հայտեր ներկայացնելու ինչպես իր անունից` իր հաշվին, այնպես էլ իր անունից, ներդրողի կամ անվանատիրոջ հանձնարարությամբ` ներդրողի կամ անվանատիրոջ հաշվին:
31. Գործակալն իրավունք ունի մասնակցելու պարտատոմսերի տեղաբաշխման աճուրդներին՝ համաձայն աճուրդի համակարգի օպերատորի կողմից սահմանված պարտատոմսերի տեղաբաշխման աճուրդների կազմակերպման կանոնների:
32. Գործակալն իր կարգավիճակից կարող է զրկվել թողարկողի որոշմամբ` համաձայն պայմանագրի: Կարգավիճակից զրկելու վերաբերյալ որոշման մասին գործակալը, կենտրոնական պահառուն, աճուրդի համակարգի օպերատորը, վերջնահաշվարկ իրականացնողը և օպերատորը տեղեկացվում են որոշման ընդունման պահից մեկ աշխատանքային օրվա ընթացքում: Գործակալի կարգավիճակից զրկելու վերաբերյալ որոշումն ուժի մեջ է մտնում սույն կետում նախատեսված տեղեկացման օրվան հաջորդող օրվանից:
33. Եթե պարտատոմսերով կնքված գործարքների հետ կապված վերջնահաշվարկի ամսաթվի դրությամբ գործակալը գործարքներ կատարելու համար պարտավորությունները չի իրականացնում, ապա գործակալն անմիջապես զրկվում է իր կարգավիճակից՝ թողարկողի որոշմամբ:
34. Թողարկողը պարբերաբար կազմակերպում է հանդիպումներ գործակալների հետ` պարտատոմսերի շուկայում առաջիկա ծրագրերը քննարկելու նպատակով:
ԳԼՈՒԽ 6
ՊԱՐՏԱՏՈՄՍԵՐԻ ՄԱՅՐ ԳՈՒՄԱՐԻ, ԳՆՄԱՆ ԳՆԻ ԵՎ ԱՐԺԵԿՏՐՈՆԻ ՀԱՇՎԱՐԿՆԵՐԻ ԻՐԱԿԱՆԱՑՈՒՄԸ
35. Պարտատոմսերի մայր գումարը t պահի դրությամբ հաշվարկվում է համաձայն հետևյալ բանաձևի՝
𝐹𝑉t = 𝑚𝑎𝑥{𝐼𝐶t ⋅ 𝐹𝑉0 , 𝐹𝑉0 }
որտեղ՝
t-ն ընթացիկ օրվա ամսաթիվն է,
𝐹𝑉0 -ն պարտատոմսի տեղաբաշխման պահին անվանական արժեքն է,
𝐼𝐶tն - ինդեքսավորման գործակիցն է, որը հաշվարկվում է համաձայն հետևյալ բանաձևի՝
|
|
ստորակետից հետո չորս նիշի ճշտությամբ՝ համաձայն թվաբանական կլորացման կանոնների: |
Յուրաքանչյուր ամսվա առաջին օրացուցային օրվա 𝐶𝑃𝐼 -ը 3 ամիս առաջվա սպառողական գների ինդեքսն է, իսկ ամսվա t ընթացիկ օրվա համար 𝐶𝑃𝐼t-ն հաշվարկվում է ստորակետից հետո չորս նիշի ճշտությամբ՝ համաձայն թվաբանական կլորացման կանոնների՝ հետևյալ բանաձևով՝
որտեղ՝
d-ն t ընթացիկ օրը պարունակող ամսվա հերթական օրն է,
𝐷-ն t ընթացիկ օրը պարունակող ամսվա օրացուցային օրերի ընդհանուր քանակն է,
𝐶𝑃𝐼M -ը t ընթացիկ օրը պարունակող ամսվա սպառողական գների ինդեքսն է,
M-ը t ընթացիկ օրը պարունակող տարվա հերթական ամիսն է,
𝐶𝑃𝐼M-3-ը t ընթացիկ օրը պարունակող ամսվան նախորդող՝ 3 ամիս առաջվա հրապարակային սպառողական գների ինդեքսն է։
𝐶𝑃𝐼M-2-ը t ընթացիկ օրը պարունակող ընթացիկ ամսվան նախորդող՝ 2 ամիս առաջվա հրապարակային սպառողական գների ինդեքսն է:
𝐶𝑃𝐼0 - թողարկման օրվա դրությամբ սպառողական գների ինդեքսն է, ընդ որում՝ թողարկման օրը 𝐶𝑃𝐼0 = 𝐶𝑃𝐼t:
36. Պարտատոմսերի արժեկտրոնի հաշվարկն իրականացվում է համաձայն հետևյալ կանոնի`
որտեղ`
𝐴t -ն արժեկտրոնի վճարվելիք գումարն է տասը Հայաստանի Հանրապետության լումայի ճշտությամբ` համաձայն թվաբանական կլորացման կանոնների,
C-ն արժեկտրոնի տարեկան եկամտաբերությունն է:
37. Պարտատոմսերի գնման գինը հաշվարկվում է համաձայն հետևյալ բանաձևի՝
որտեղ`
𝐷𝑃t-ն պարտատոմսի գնման գինն է (ներառված կուտակված տոկոսագումարը),
𝐶𝑃t -ն պարտատոմսի մաքուր գնման գինն է (առանց կուտակված տոկոսագումարի),
y-ը եկամտաբերությունն է (%),
DSC-ն գործարքի վերջնահաշվարկի ամսաթվից մինչև առաջիկա արժեկտրոնի վճարումը մնացած փաստացի օրերի թիվն է,
E-ն նախորդ արժեկտրոնի վճարման ամսաթվից (իսկ առաջին արժեկտրոնի դեպքում՝ թողարկման ամսաթվից) մինչև հաջորդ արժեկտրոնի վճարման ամսաթիվը (իսկ վերջին արժեկտրոնի դեպքում՝ մարման ամսաթիվը) մնացած փաստացի օրերի թիվն է համապատասխան պայմանականության դեպքում,
A-ն նախորդ արժեկտրոնի վճարման օրվանից մինչև վերջնահաշվարկի ամսաթիվը փաստացի օրերի թիվն է, իսկ առաջին արժեկտրոնի փուլում գտնվելու դեպքում՝ թողարկման ամսաթվից մինչև գործարքի վերջնահաշվարկի ամսաթիվը փաստացի օրերի թիվը,
N-ն այդ պահին մնացած արժեկտրոնների վճարումների թիվն է:
ԳԼՈՒԽ 7
ԱՃՈՒՐԴԻ ՀԱՄԱԿԱՐԳԻ ՕՊԵՐԱՏՈՐԻ ԿՈՂՄԻՑ ԳՈՐԾԱՌՆՈՒԹՅՈՒՆՆԵՐԻ ԻՐԱԿԱՆԱՑՄԱՆ ԿԱՐԳԸ
38. Գործարքների կնքման, աճուրդների կազմակերպման կանոնները սահմանվում են աճուրդի համակարգի օպերատորի կողմից` համաձայնեցնելով թողարկողի հետ և չեն կարող հակասել սույն կարգին: Այդ կանոններով սահմանվում են աճուրդի համակարգի մասնակիցների կողմից հայտերի կազմման, ներկայացման, ընդունման, ստուգման, բավարարման պայմանները, աճուրդի արդյունքների ամփոփման և հրապարակման կարգը, աճուրդի համակարգի օպերատորի և թողարկողի միջև ներկայացվող տվյալները, արտակարգ իրավիճակներում աճուրդի ընդհատման, վերսկսման, աճուրդը չեղյալ հայտարարելու դեպքերը և կարգը, աճուրդի հետ կապված այլ դրույթներ:
ԳԼՈՒԽ 8
ԵՐԿՐՈՐԴԱՅԻՆ ՇՈՒԿԱՅՈՒՄ ՊԱՐՏԱՏՈՄՍԵՐԻ ՇՐՋԱՆԱՌՈՒԹՅՈՒՆԸ, ՊԱՐՏԱՏՈՄՍԵՐԻ ԳՐԱՎԱԴՐՈՒՄԸ, ՊԱՐՏԱՏՈՄՍԵՐԻ ՎԵՐՋՆԱՀԱՇՎԱՐԿԸ, ՊԱՀԱՌՈՒԹՅԱՆ ԳՈՐԾՈՒՆԵՈՒԹՅՈՒՆԸ, ՊԱՐՏԱՏՈՄՍԵՐԻ ՀԱՇՎԱՌՄԱՆ ԵՎ ՀԱՇՎԱՐԿՆԵՐԻ ԻՐԱԿԱՆԱՑՄԱՆ ՀԱՄԱԿԱՐԳԸ
39. Պարտատոմսերի աճուրդների վերջնահաշվարկն իրականացվում Է հայտարարությունում նշված վերջնահաշվարկի ամսաթվին վերջնահաշվարկ իրականացնողի կողմից:
40. Պարտատոմսերի պահառուի գործունեությունը, պարտատոմսերի հաշվառման և հաշվարկների իրականացման համակարգի գործառույթները կատարում է կենտրոնական պահառուն:
41. Երկրորդային շուկայում պարտատոմսերի շրջանառության, պարտատոմսերի գրավադրման, վերջնահաշվարկի իրականացման, պահառության գործունեության պայմանների, համակարգում մասնակցության չափանիշների, պարտատոմսերով գործառնությունների իրականացման համար հիմք հանդիսացող փաստաթղթերը (առքի ու վաճառքի, ազատ առաքման, գրավադրման մասին հանձնարարականները և այլն) ներկայացնելու, հաշվարկների կանոնների հետ կապված հարաբերությունները կարգավորվում են «Հայաստանի Հանրապետության կենտրոնական բանկի մասին» օրենքի 20-րդ հոդվածի «իգ1» ենթակետի համաձայն հաստատված կարգերով:
ԳԼՈՒԽ 9
ՊԱՐՏԱՏՈՄՍԵՐԻ ՄԱՐՄԱՆ, ԱՐԺԵԿՏՐՈՆՆԵՐԻ ՎՃԱՐՄԱՆ ԿԱՐԳԸ
42. Մարման սպասարկում իրականացնողը թողարկողի անունից, թողարկողի հանձնարարականի հիման վրա, պարտատոմսերի մարման վճարման կամ արժեկտրոնի վճարման ամսաթվին՝ մինչև ժամը 12:00-ն, ապահովում է պարտատոմսի մարումն ու արժեկտրոնի վճարումը:
43. Շրջանառությունում գտնվող պարտատոմսերը համարվում են մարված, եթե վճարվել են բոլոր արժեկտրոնները և պարտատոմսերի մայր գումարը։
44. Կենտրոնական պահառուի մոտ հաշվառվող թողարկողի տեղաբաշխման ենթակա պարտատոմսեր ենթահաշիվներին առկա պարտատոմսերի դիմաց արժեկտրոնի վճարում չի իրականացվում: Այդ պարտատոմսերը համարվում են մարված՝ թողարկման հրամանով սահմանված մարման ամսաթվին:
45. Պարտատոմսերի արժեկտրոնի վճարումն իրականացվում է տվյալ պարտատոմսերի թողարկման ամսաթվին հաջորդող յուրաքանչյուր վեցերորդ ամսվա համապատասխան օրը՝ մինչև պարտատոմսի մարման ժամկետի լրանալը:
46. Եթե պարտատոմսերի մարման կամ արժեկտրոնի վճարման ամսաթիվը լրանում է այն ամսին, որը չունի համապատասխան ամսաթիվ, ապա ժամկետը լրանում է այդ ամսվա վերջին օրացուցային օրը:
47. Եթե պարտատոմսերի մարման կամ արժեկտրոնի վճարման ամսաթիվը Հայաստանի Հանրապետության օրենսդրության համաձայն ոչ աշխատանքային օր է, ապա պարտատոմսերի մարումը կամ արժեկտրոնի վճարումն իրականացվում են հաջորդ աշխատանքային օրը:
48. Պարտատոմսը մարվում է կամ արժեկտրոնը վճարվում է պարտատոմսի մարման կամ արժեկտրոնի վճարման ամսաթվին նախորդող օրացուցային օրվա ժամը 24:00-ի դրությամբ կենտրոնական պահառուի մոտ հաշվառվող պարտատոմսի սեփականատիրոջը կամ անվանատիրոջը: Անվանատերն ապահովում է պարտատոմսերի մարումն ու արժեկտրոնի վճարումն իր մոտ հաշվառվող սեփականատիրոջը:
49. Պարտատոմսերի առաջին արժեկտրոնի վճարման հաշվարկն իրականացվում է թողարկման ամսաթվից սկսած:
(հավելվածը լրաց. 25.04.24 N 607-Ն)