ՀԱՅԱՍՏԱՆԻ ՀԱՆՐԱՊԵՏՈՒԹՅԱՆ ԳԵՐԱԳՈՒՅՆ ԽՈՐՀՐԴԻ ՆԱԽԱԳԱՀՈՒԹՅԱՆ
Ո Ր Ո Շ ՈՒ Մ Ը
«ՊԵՏԱԿԱՆ ՁԵՌՆԱՐԿՈՒԹՅՈՒՆՆԵՐԻ ԳՈՒՅՔԻ ՄԱՍՆԱԿԻ ԱՆՀԱՏՈՒՅՑ ՍԵՓԱԿԱՆԱՇՆՈՐՀՄԱՆ ԵՎ ԱՅԴ ՁԵՌՆԱՐԿՈՒԹՅՈՒՆՆԵՐՆ ԸՆԿԵՐՈՒԹՅՈՒՆՆԵՐԻ ՎԵՐԱԿԱԶՄԱՎՈՐԵԼՈՒ ԿԱՐԳԻ» ԵՎ «ՄԱՍՆԱԿԻ ԱՆՀԱՏՈՒՅՑ ՍԵՓԱԿԱՆԱՇՆՈՐՀՄԱՆ ՀԻՄԱՆ ՎՐԱ ՎԵՐԱԿԱԶՄԱՎՈՐՎԱԾ ԲԱԺՆԵՏԻՐԱԿԱՆ ԸՆԿԵՐՈՒԹՅՈՒՆՆԵՐՈՒՄ ՇԱՀՈՒՅԹԻՑ ԻՆՎԵՍՏԻՑԻՈՆ ՍԵՓԱԿԱՆԱՇՆՈՐՀՄԱՆ ՖՈՆԴԵՐԻՆ ԿԱՏԱՐՎՈՂ ՄԱՍՀԱՆՈՒՄՆԵՐԻ, ԱՅԴ ՄԻՋՈՑՆԵՐԻՑ ՀԻՄՆԱԿԱՆ ՖՈՆԴԵՐԻ ՁԵՌՔԲԵՐՄԱՆ ԵՎ ԿԱՆՈՆԱԴՐԱԿԱՆ ՀԻՄՆԱԴՐԱՄԻ ՓՈՓՈԽՄԱՆ ԿԱՐԳԻ» ՀԱՍՏԱՏՄԱՆ ՄԱՍԻՆ
Ի կատարումն Հայաստանի Հանրապետության Գերագույն խորհրդի 1993 թվականի նոյեմբերի 1-ի «Պետական ձեռնարկությունների և անավարտ շինարարության օբյեկտների սեփականաշնորհման և ապապետականացման մասին» Հայաստանի Հանրապետության օրենքում փոփոխություններ և լրացումներ կատարելու մասին» Հայաստանի Հանրապետության օրենքի կիրարկման կարգի մասին» որոշման 1-ին կետի «բ» և «գ» ենթակետերի և պետական ձեռնարկությունների մասնակի անհատույց սեփականաշնորհման և ընկերությունների վերակազմավորման գործընթացի իրականացման մեթոդական ապահովման և կազմակերպման նպատակով, Հայաստանի Հանրապետության Գերագույն խորհրդի նախագահությունը որոշում է.
1. Հաստատել «Պետական ձեռնարկությունների մասնակի անհատույց սեփականաշնորհման և ընկերությունների վերակազմավորման կարգը» (հավելված 1):
2. (կետն ուժը կորցրել է 26.03.96 ՀՕ-45)
3. Սահմանել, որ մասնակի անհատույց սեփականաշնորհման ենթակա պետական ձեռնարկությունները վերակազմավորվում են բաժնետիրական ընկերությունների, մինչև դրանց սեփականաշնորհումը:
4. Սահմանել, որ մասնակի անհատույց սեփականաշնորհման ենթակա պետական ձեռնարկությունների վերակազմավորման գործընթացն սկսվում է մասնակի անհատույց սեփականաշնորհման ոչ ենթակա պետական ձեռնարկությունների ցանկը Հայաստանի Հանրապետության Գերագույն խորհրդի նախագահության կողմից հաստատվելուց հետո տասնօրյա ժամկետում և ավարտվում այդ օրվանից հետո վեցամսյա ժամկետում:
5. Սահմանել, որ պետական ձեռնարկությունների մասնակի անհատույց սեփականաշնորհման իրավունք ունեցող աշխատողներին տրվում է մասնակի անհատույց սեփականաշնորհման սերտիֆիկատ, որի ձևը հաստատում է Հայաստանի Հանրապետության կառավարությունը:
6. Սահմանել, որ մասնակի անհատույց սեփականաշնորհման սերտիֆիկատները ենթակա են օտարման Հայաստանի Հանրապետության օրենսդրությամբ սահմանված կարգով պետական ձեռնարկությունների և անավարտ շինարարության օբյեկտների սեփականաշնորհման և ապապետականացման 1994 թվականի ծրագրի համաձայն տվյալ ձեռնարկության սեփականաշնորհման պայմանագրի գրանցման պահից: Սեփականաշնորհման պայմանագրի բացակայության դեպքում սերտիֆիկատների օտարումն արգելվում է մինչև 1995 թվականի հունիսի 1-ը:
7. Սահմանել, որ վերակազմավորվող բաժնետիրական ընկերությունների պետական բաժնեմասի հիմնադիր է հանդիսանում Հայաստանի Հանրապետության կառավարությունը` ի դեմս համապատասխան նախարարությունների, պետական վարչությունների, գերատեսչությունների, պետական կառավարման տեղական մարմինների, իսկ դուստր ձեռնարկությունների համար` հիմնադիր ձեռնարկությունները:
|
Հայաստանի Հանրապետության ԳԵՐԱԳՈՒՅՆ ԽՈՐՀՐԴԻ ՆախագահԻ ԱՌԱՋԻՆ ՏԵՂԱԿԱԼ |
ա. ՍԱՀԱԿյան |
|
|
|
Հավելված 1 ՀԱՍՏԱՏՎԱԾ Է ՀՀ ԳԽ ՆԱԽԱԳԱՀՈՒԹՅԱՆ 1994 ԹՎԱԿԱՆԻ |
ՊԵՏԱԿԱՆ ՁԵՌՆԱՐԿՈՒԹՅՈՒՆՆԵՐԻ ԳՈՒՅՔԻ ՄԱՍՆԱԿԻ ԱՆՀԱՏՈՒՅՑ ՍԵՓԱԿԱՆԱՇՆՈՐՀՄԱՆ ԵՎ ԱՅԴ ՁԵՌՆԱՐԿՈՒԹՅՈՒՆՆԵՐՆ ԸՆԿԵՐՈՒԹՅՈՒՆՆԵՐԻ ՎԵՐԱԿԱԶՄԱՎՈՐԵԼՈՒ ԿԱՐԳԸ
1. ԸՆԴՀԱՆՈՒՐ ԴՐՈՒՅԹՆԵՐ
1.1. Սույն կարգը սահմանում է Հայաստանի Հանրապետության Գերագույն խորհրդի 1993 թվականի նոյեմբերի 1-ի «Պետական ձեռնարկությունների և անավարտ շինարարության օբյեկտների սեփականաշնորհման և ապապետականացման մասին» Հայաստանի Հանրապետության օրենքում փոփոխություններ և լրացում կատարելու մասին» ՀՀ օրենքի կիրարկման կարգի մասին որոշմանը համապատասխան պետական ձեռնարկությունների գույքի մասնակի անհատույց սեփականաշնորհման և այդ ձեռնարկությունները բաժնետիրական ընկերությունների վերակազմավորելու կարգը, ինչպես նաև բաժնետիրական ընկերությունների մասնակի անհատույց սեփականաշնորհման սերտիֆիկատների բաշխման կարգը և պայմանները:
1.2. Սույն կարգին համապատասխան մասնակի անհատույց սեփականաշնորհման սերտիֆիկատների բաշխումը վերջիններիս հատկացումն է դրանց իրավունքն ունեցող աշխատողներին:
1.3. Մասնակի անհատույց սեփականաշնորհման սերտիֆիկատների բաշխումն իրականացվում է բաժնետիրական ընկերության խորհրդի հսկողությամբ:
1.4. Պետական ձեռնարկության գույքի մասնակի անհատույց սեփականաշնորհման սերտիֆիկատներ ստանալու իրավունք ունեն ձեռնարկության այն աշխատողները, որոնք սույն կարգով սահմանված ձևով պետական ձեռնարկության գույքի մասնակի անհատույց սեփականաշնորհման մասին որոշման ընդունման պահին տվյալ ձեռնարկությունում ունեն առնվազն մեկ տարվա անընդհատ աշխատանքային ստաժ և իրենց ցանկությունն են հայտնել մասնակցելու մասնակի անհատույց սեփականաշնորհմանը:
1.5. Վարձակալական ձեռնարկություններին վարձակալության պայմանագրերով տրված պետական ձեռնարկության գույքը ենթակա չէ մասնակի անհատույց սեփականաշնորհման:
1.6. Դուստր ձեռնարկությունները ենթակա են անհատույց սեփականաշնորհման սույն կարգով սահմանված ձևով` որպես ինքնուրույն ձեռնարկություն իրենց ամրացված գույքով: Դուստր ձեռնարկության գույք է համարվում հիմնադրի կողմից համապատասխան փաստաթղթով (հրաման, պայմանագիր, կանոնադրություն) ձեռնարկության տնօրինմանը հատկացված գույքը: Դուստր ձեռնարկության գույքի պետական բաժնեմասի հիմնադիր է հանդիսանում նրա հիմնադիր ձեռնարկությունը:
2. ՀԱՅԱՍՏԱՆԻ ՀԱՆՐԱՊԵՏՈՒԹՅՈՒՆՈՒՄ ՄԱՍՆԱԿԻ ԱՆՀԱՏՈՒՅՑ ՍԵՓԱԿԱՆԱՇՆՈՐՀՄԱՆ ԳՈՐԾԸՆԹԱՑԸ ԿԱՐԳԱՎՈՐՈՂ ՀԱՆՁՆԱԺՈՂՈՎՆԵՐԸ
2.1. Հայաստանի Հանրապետությունում պետական ձեռնարկությունների գույքի մասնակի անհատույց սեփականաշնորհման գործընթացը կազմակերպվում և իրականացվում է «Պետական ձեռնարկությունների և անավարտ շինարարության օբյեկտների սեփականաշնորհման և ապապետականացման մասին» Հայաստանի Հանրապետության օրենքին և սույն կարգին համապատասխան:
Հայաստանի Հանրապետության նախարարություններում, պետական վարչություններում, գերատեսչություններում և իշխանության տեղական մարմիններում, որոնք իրենց համակարգում ունեն մասնակի անհատույց սեփականաշնորհման ենթակա ձեռնարկություններ, ստեղծվում են ճյուղային հանձնաժողովներ:
Ձեռնարկություններում ստեղծվում են աշխատանքային հանձնաժողովներ:
2.2. Մասնակի անհատույց սեփականաշնորհման ճյուղային հանձնաժողովի կազմը հաստատում է Հայաստանի Հանրապետության կառավարությունը համապատասխան նախարարության, պետական վարչության, գերատեսչության կամ իշխանության տեղական մարմնի գործադիր կոմիտեի ներկայացմամբ:
Մասնակի անհատույց սեփականաշնորհման ճյուղային հանձնաժողովներում ընդգրկվում են Հայաստանի Հանրապետության սեփականաշնորհման և ապապետականացման պետական հանձնաժողովի (այսուհետև` Պետական հանձնաժողով) լիազոր ներկայացուցիչները ճյուղային հանձնաժողովի նախագահի տեղակալի կարգավիճակով:
Մասնակի անհատույց սեփականաշնորհման ճյուղային և աշխատանքային հանձնաժողովների կազմում ընդգրկվում են պետական ունեցվածքի հաշվառման և ապապետականացման վարչության աշխատակիցները:
2.3. Մասնակի անհատույց սեփականաշնորհման աշխատանքային հանձնաժողովի կազմը հաստատվում է ձեռնարկության աշխատավորական կոլեկտիվի ընդհանուր ժողովում` տնօրենի ներկայացմամբ: Հանձնաժողովի կազմում պետք է ընդգրկվեն պետական ձեռնարկության ղեկավարը (հանձնաժողովի նախագահը), գլխավոր հաշվապահը (հաշվապահը), կադրերի բաժնի պետը, պլանային-արտադրական բաժնի պետը, աշխատավորական կոլեկտիվի ներկայացուցիչները ձեռնարկության վարչության (խորհրդի) կամ ղեկավարի ներկայացմամբ:
Հանձնաժողովի կազմը պետք է բաղկացած լինի առնվազն 7 անդամից:
2.4. Աշխատանքային հանձնաժողովի նախնական կազմը ներկայացվում է ճյուղային հանձնաժողովին` վերջինից ծանուցում ստանալուց հետո 5-օրյա ժամկետում:
2.5. Աշխատանքային հանձնաժողովի նախագահը ղեկավարում է հանձնաժողովի գործունեությունը, կազմակերպում է նրա աշխատանքը և պատասխանատվություն է կրում այդ աշխատանքի համար:
2.6. Հանձնաժողովի նիստն իրավազոր է հանձնաժողովի անդամների ընդհանուր թվի 2/3-ի մասնակցության դեպքում:
Հանձնաժողովի անդամներից յուրաքանչյուրն ունի մեկ ձայն:
Նիստի օրակարգը հաստատվում է ներկա գտնվող անդամների ձայների պարզ մեծամասնությամբ:
Հանձնաժողովի նիստի քննարկմանը դրվող հարցերը հայտարարվում են դրանց ներկայացման հերթականության կարգով: Հանձնաժողովի որոշումներն ընդունվում են հանձնաժողովի նիստին մասնակից անդամների ձայների պարզ մեծամասնությամբ:
Հանձնաժողովի որոշումները նիստին մասնակից անդամների ձայների 1/3-ի առաջարկությամբ կարող են ընդունվել գաղտնի քվեարկությամբ:
Հանձնաժողովի նիստի արձանագրությունները ձևակերպվում են նիստն ավարտելուց հետո 3 օրվա ընթացքում և ստորագրվում են հանձնաժողովի նախագահի ու նիստի քարտուղարի կողմից:
Հանձնաժողովի որոշման վերաբերյալ հանձնաժողովի անդամի գրավոր հատուկ կարծիքը կցվում է որոշմանը և ներկայացվում ճյուղային հանձնաժողովին:
Պետական ձեռնարկության գույքի մասնակի անհատույց սեփականաշնորհման մասին ճյուղային հանձնաժողովի կողմից որոշում ընդունվելուց հետո աշխատանքային հանձնաժողովը պարտավոր է մեկամսյա ժամկետում կազմակերպել և անցկացնել մասնակի անհատույց սեփականաշնորհման ենթակա ձեռնարկության աշխատանքային կոլեկտիվի ընդհանուր ժողով (լիազորների ժողով կամ կոնֆերանս) (այսուհետև` աշխատակիցների ժողով)` մասնակի անհատույց սեփականաշնորհման ենթարկվելու և ընկերության վերակազմավորելու մասին ցանկություն հայտնելու և դրա վերաբերյալ որոշում ընդունելու նպատակով:
2.7. Մասնակի անհատույց սեփականաշնորհման ճյուղային և աշխատանքային հանձնաժողովների անդամներն իրենց պարտականությունները կատարում են հասարակական հիմունքներով:
2.8. Հանձնաժողովների իրավասությունները և պարտականությունները.
2.8.1. Պետական հանձնաժողովը «Պետական ձեռնարկությունների և անավարտ շինարարության օբյեկտների սեփականաշնորհման և ապապետականացման մասին» Հայաստանի Հանրապետության օրենքով իրեն վերապահված իրավասության շրջանակներում և մասնակի անհատույց սեփականաշնորհումն իրականացնելու նպատակով`
ա) ճյուղային հանձնաժողովի ներկայացմամբ 10-օրյա ժամկետում որոշում է կայացնում պետական ձեռնարկության գույքի մասնակի անհատույց սեփականաշնորհման մասին և ներկայացնում Հայաստանի Հանրապետության կառավարության հաստատմանը,
բ) վերահսկողություն է իրականացնում ճյուղային և աշխատանքային հանձնաժողովների գործունեության նկատմամբ,
գ) մեթոդական ցուցումներ է տալիս ճյուղային և աշխատանքային հանձնաժողովներին, հաստատում է ճյուղային հանձնաժողովի լիազոր ներկայացուցչին,
դ) վերահսկում է մասնակի անհատույց սեփականաշնորհման գործընթացը, այդ թվում` մասնակի անհատույց սեփականաշնորհման սերտիֆիկատների բաշխման գործընթացը,
ե) իրավասու է ճյուղային հանձնաժողովներից պահանջել հաշվետվություն մասնակի անհատույց սեփականաշնորհման գործընթացի վերաբերյալ,
զ) ընդունում և Հայաստանի Հանրապետության կառավարության հաստատմանն է ներկայացնում ճյուղային հանձնաժողովի ամփոփ հաշվետվությունը մասնակի անհատույց սեփականաշնորհման գործընթացի վերաբերյալ,
է) Պետական հանձնաժողովի անդամները կարող են մասնակցել աշխատանքային և ճյուղային հանձնաժողովների նիստերին, ինչպես նաև սույն կարգով ձեռնարկությունները բաժնետիրական ընկերությունների վերակազմավորելու հարցով հրավիրված ժողովներին (լիազորների ժողովներին կամ կոնֆերանսներին):
2.8.2. Մասնակի անհատույց սեփականաշնորհման ճյուղային հանձնաժողովը (այսուհետև` ճյուղային հանձնաժողով) իրավասու և պարտավոր է`
ա) Պետական հանձնաժողովին ներկայացնել պետական ձեռնարկության գույքի մասնակի անհատույց սեփականաշնորհման մասին որոշման նախագիծը,
բ) վերահսկել մասնակի անհատույց սեփականաշնորհման գործընթացը, այդ թվում` մասնակի անհատույց սեփականաշնորհման սերտիֆիկատների բաշխման գործընթացը տվյալ ճյուղում (ոլորտում),
գ) մեթոդական աջակցություն ցույց տալ աշխատանքային հանձնաժողովին,
դ) քննարկել տվյալ ճյուղում (ոլորտում) մասնակի անհատույց սեփականաշնորհման ընթացքում ստացված առաջարկությունները, դիմումներն ու գանգատները և դրանց վերաբերյալ առաջարկություններ ներկայացնել Պետական հանձնաժողովին,
ե) ամփոփել համակարգում մասնակի անհատույց սեփականաշնորհվող ձեռնարկություններից ստացված տեղեկագրերը և պատրաստել ամփոփ տեղեկագրեր,
զ) համակարգի ձեռնարկությունների աշխատանքային հանձնաժողովների արձանագրությունների հիման վրա կազմել մասնակի անհատույց սեփականաշնորհման մասնակիցների գրանցամատյան,
է) հաստատել աշխատանքային հանձնաժողովների հաշվետվությունները տվյալ ձեռնարկություններում գույքի մասնակի անհատույց սեփականաշնորհման գործընթացի ավարտի վերաբերյալ,
ը) համակարգի ձեռնարկություններում գույքի մասնակի անհատույց սեփականաշնորհման գործընթացը, ինչպես նաև մասնակի անհատույց սեփականաշնորհման սերտիֆիկատների բաշխումն ավարտելուց հետո 7 օրվա ընթացքում հաշվետվություն ներկայացնել համապատասխան նախարարությանը, պետական վարչությանը, գերատեսչությանը, իշխանության տեղական մարմնին, Պետական հանձնաժողովին:
2.8.3. Ձեռնարկության մասնակի անհատույց սեփականաշնորհման աշխատանքային հանձնաժողովը (այսուհետև` աշխատանքային հանձնաժողով) իրավասու և պարտավոր է`
ա) պատրաստել պետական ձեռնարկության այն աշխատողների ցանկը, որոնք իրավունք ունեն և ցանկություն են հայտնել մասնակցելու ձեռնարկության գույքի մասնակի անհատույց սեփականաշնորհմանը,
բ) հսկել ձեռնարկության գույքի մասնակի անհատույց սեփականաշնորհման մասնակիցների մասնաբաժինների հաշվարկը համաձայն սույն կարգի,
գ) ծանուցել, կազմակերպել և անցկացնել պետական ձեռնարկությունը բաժնետիրական ընկերության վերակազմավորելու նպատակով ժողովներ (լիազորների ժողովներ կամ կոնֆերանսներ), ապահովելով բաժնետիրական ընկերության հիմնադիր ժողովին հիմնադիր ներկայացուցիչների ներկայությունը,
դ) քննարկել տվյալ ձեռնարկության մասնակի անհատույց սեփականաշնորհման ընթացքում ստացված առաջարկությունները, դիմումներն ու գանգատները և ընդունել համապատասխան որոշումներ,
ե) նախապատրաստել մասնակի անհատույց սեփականաշնորհվող պետական ձեռնարկության հիման վրա ստեղծվող բաժնետիրական ընկերության հիմնադիր փաստաթղթի (կանոնադրության) նախագիծը,
զ) ձեռնարկության մասնակի անհատույց սեփականաշնորհման վերաբերյալ աշխատակիցների ժողովի որոշումն ընդունվելուց հետո կազմել և առձեռն կամ պատվիրափոստով երեք օրվա ընթացքում ճյուղային հանձնաժողովին ներկայացնել տեղեկագիր ձեռնարկության մասնակի անհատույց սեփականաշնորհման վերաբերյալ:
2.9. Ճյուղային և աշխատանքային հանձնաժողովների իրավասությունը դադարում է Հայաստանի Հանրապետության Պետական հանձնաժողովի ներկայացմամբ` Հայաստանի Հանրապետության կառավարության համապատասխան որոշման ընդունման պահից:
3. ՊԵՏԱԿԱՆ ՁԵՌՆԱՐԿՈՒԹՅՈՒՆՆԵՐԸ ԲԱԺՆԵՏԻՐԱԿԱՆ ԸՆԿԵՐՈՒԹՅՈՒՆՆԵՐԻ ՎԵՐԱԿԱԶՄԱՎՈՐԵԼՈՒ ԸՆԹԱՑՔԸ
3.1. Հայաստանի Հանրապետության Գերագույն խորհրդի նախագահության կողմից «1994 թվականի ընթացքում մասնակի անհատույց սեփականաշնորհման ոչ ենթակա պետական ձեռնարկությունների ցանկը» հաստատվելուց հետո 15-օրյա ժամկետում մասնակի անհատույց սեփականաշնորհման ճյուղային հանձնաժողովները ծանուցում են համապատասխան ձեռնարկություններին` հրավիրելու աշխատակիցների ժողով նվիրված պետական ձեռնարկության գույքի մասնակի անհատույց սեփականաշնորհման և բաժնետիրական ընկերության վերակազմավորվելու հարցի ծանոթացմանը և քննարկմանը:
Աշխատակիցների ժողովը հրավիրվում է ճյուղային հանձնաժողովից ծանուցումն ստանալուց հետո մեկամսյա ժամկետում:
Աշխատակիցների ժողովի օրինակելի օրակարգն է`
- պետական ձեռնարկությունը բաժնետիրական ընկերության վերակազմավորելու և դրա նպատակի պարզաբանումը,
- ծանոթացումը մասնակի անհատույց սեփականաշնորհման սերտիֆիկատներ ստանալու իրավունքին և դրանց բաշխման ձևին,
- պետական ձեռնարկության գույքի մասնակի անհատույց սեփականաշնորհումից հետո ձեռնարկության շահույթի պետական սեփականություն հանդիսացող մասի հաշվին ձեռք բերված ֆոնդերի (ինվեստիցիոն սեփականաշնորհում) ձևավորման սկզբունքները և դրանից բխող իրավունքներն ու արտոնությունները,
- ստեղծվող ընկերության կառավարման մարմիններում պետական բաժնեմասի ներկայացուցիչների հայտարարումը,
- այլ հարցեր:
Աշխատակիցների ժողովում ընդունվում է որոշում`
- մասնակի անհատույց սեփականաշնորհման ձեռնարկության աշխատավորական կոլեկտիվի անդամների մասնակցության ցանկության մասին,
- մասնակի անհատույց սեփականաշնորհման մասնակիցների ցանկը հաստատելու մասին,
- ձեռնարկության տնօրենի ներկայացմամբ աշխատանքային հանձնաժողովի կազմը հաստատելու մասին,
- աշխատանքային հանձնաժողովի կողմից բաժնետիրական ընկերության հիմնադիր ժողովի անցկացման համար անհրաժեշտ բոլոր փաստաթղթերի նախագծերը նախապատրաստելու վերաբերյալ, ինչպես նաև ընկերության հիմնադիր ժողովի (լիազորների ժողովի, կոնֆերանսի) մասնակիցների ձայները բաշխելու` մասնակի անհատույց սեփականաշնորհման սերտիֆիկատների արժեքին համամասնորեն պարտականության վերաբերյալ,
- այլ հարցերի վերաբերյալ:
3.2. Աշխատավորական կոլեկտիվի ընդհանուր ժողով է անցկացվում այն պետական ձեռնարկություններում, որոնք փաստացի ունեն մինչև 200 աշխատող, իսկ նշված թվաքանակից ավելի աշխատող ունեցող պետական ձեռնարկություններում կարող են հրավիրվել նաև լիազորների ժողով կամ կոնֆերանս: Լիազորների ժողովին կամ կոնֆերանսին որպես ներկայացուցիչ պետք է ընտրվեն ձեռնարկության բոլոր ստորաբաժանումների աշխատակիցներից` 10 աշխատողից մեկ ներկայացուցիչ նորմայով: Լիազորների ժողովի կամ կոնֆերանսի ներկայացուցիչներն ունեն այնքան ձայների իրավունք, որքան աշխատակիցներն են ներկայացնում:
Աշխատակիցների ժողովը իրավազոր է, եթե դրան ներկա են ձեռնարկության հաստիքային աշխատողների առնվազն 2/3-ը կամ համապատասխան ձայների քանակի իրավունք ունեցող ներկայացուցիչները:
Որոշումներն ընդունվում են փակ, գաղտնի քվեարկությամբ, ձայների պարզ մեծամասնությամբ:
3.3. Մասնակի անհատույց սեփականաշնորհմանը մասնակցելու իր ցանկությունը պետական ձեռնարկության աշխատողը հայտնում է դիմումով: Դիմումը ներկայացվում է պետական ձեռնարկության մասնակի անհատույց սեփականաշնորհման աշխատանքային հանձնաժողովին: Աշխատանքային հանձնաժողովը կադրերի հաշվառման փաստաթղթերի ստուգմամբ պարզում է դիմողի մասնակի անհատույց սեփականաշնորհմանը մասնակցելու իրավունքը:
3.4. Աշխատակիցների ժողովից հետո ոչ ուշ, քան մեկամսյա ժամկետում հրավիրվում է բաժնետիրական ընկերության հիմնադիր ժողով (լիազորների ժողով կամ կոնֆերանս) (այսուհետև` հիմնադիր ժողով):
3.5. Աշխատանքային հանձնաժողովը հիմնադիր ժողով հրավիրելու մասին ծանուցում է հրավիրման օրվանից ոչ ուշ, քան 7 օր առաջ:
3.6. Հիմնադիր ժողովը իրավազոր է ճանաչվում, եթե դրան մասնակցում են մասնակի անհատույց սեփականաշնորհման ցանկություն հայտնած աշխատողների կամ նրանց լիազորների ընդհանուր ձայների 2/3-ը ներկայացնողները: Եթե քվորում չլինելու պատճառով հիմնադիր ժողովը չի կայանում, ապա 7 օր հետո կրկին հրավիրվում է հիմնադիր ժողով:
Եթե երկրորդ հիմնադիր ժողովը չի կայանում, ապա այդ ձեռնարկությունը զրկվում է մասնակի անհատույց սեփականաշնորհմանը մասնակցելու իրավունքից:
3.7. Հիմնադիր ժողովը`
- հաստատում է մասնակի անհատույց սեփականաշնորհման աշխատանքային հանձնաժողովի հաշվետվությունը,
- որոշում է ընդունում պետական ձեռնարկությունը բաժնետիրական ընկերության վերակազմավորելու մասին,
- հաստատում է բաժնետիրական ընկերության հիմնադիր փաստաթուղթը` կանոնադրությունը,
- հաստատում է բաժնետիրական ընկերության կանոնադրական հիմնադրամի չափը, որը պետական ձեռնարկության գույքի հաշվեկշռային արժեքն է` ձեռնարկության աշխատավորական կոլեկտիվի ժողովում (1-ին ժողովում) մասնակի անհատույց սեփականաշնորհման մասին որոշում ընդունելու պահին,
- հաստատում է մասնակի անհատույց սեփականաշնորհման ենթակա գույքի մեծությունը` պետական ձեռնարկության գույքի հաշվեկշռային արժեքի 20 տոկոսը,
- ընտրում է բաժնետիրական ընկերության կառավարման մարմիններ և այլն:
3.8. Հիմնադիր ժողովում ընտրվում է բաժնետիրական ընկերության խորհրդի անդամների թվի 40 տոկոսը: Խորհրդի մյուս անդամները նշանակվում են պետական կառավարման համապատասխան մարմնի կողմից: Բաժնետիրական ընկերության խորհրդի անդամները չեն կարող լինել վերահսկիչ հանձնաժողովի անդամներ:
Այն պետական ձեռնարկություններում, որոնք ունեն մինչև 100 աշխատող, խորհուրդը պետք է բաղկացած լինի առնվազն 5 հոգուց, 101-ից մինչև 1000 աշխատող ունեցող ձեռնարկություններում` առնվազն 10 հոգուց, 100-ից ավելի դեպքում` առնվազն 15 հոգուց:
3.9. Բաժնետիրական ընկերության խորհրդի նախագահն ընտրվում է խորհրդի անդամներից վերջիններիս ձայների պարզ մեծամասնությամբ, փակ, գաղտնի քվեարկությամբ:
Քվեարկությունը համարվում է կայացած, եթե դրան մասնակցել է խորհրդի անդամների թվի առնվազն 3/4-ը:
Բաժնետիրական ընկերության խորհուրդը նշանակում է ընկերության գործադիր տնօրենին:
3.10. Բաժնետիրական ընկերության վերահսկիչ հանձնաժողովը (հսկիչը) 100-ից ավելի աշխատող ունեցող ձեռնարկություններում պետք է բաղկացած լինի առնվազն 3 հոգուց:
Վերահսկիչ հանձնաժողովի նախագահն ընտրվում է այդ հանձնաժողովի կողմից փակ, գաղտնի քվեարկությամբ, ձայների պարզ մեծամասնությամբ:
3.11. Պետական ձեռնարկությունը բաժնետիրական ընկերության վերակազմավորելու, բաժնետիրական ընկերության կանոնադրությունը հաստատելու, կանոնադրական հիմնադրամի չափը և բաշխման ենթակա մասնակի անհատույց սեփականաշնորհվող գույքի մեծությունը հաստատելու մասին, բաժնետիրական ընկերության խորհրդի, վերահսկիչ հանձնաժողովի անդամներ ընտրելու մասին որոշումներն ընդունվում են հիմնադիր ժողովին մասնակցող ձայների 3/4-ով, իսկ մնացած հարցերի վերաբերյալ որոշումները` ձայների պարզ մեծամասնությամբ:
3.12. Հիմնադիր ժողովի արդյունքների վերաբերյալ կազմվում է արձանագրություն, որը ստորագրվում է հիմնադիր ժողովի նախագահի և քարտուղարի կողմից: Հիմնադիր ժողովի ավարտից հետո եռօրյա ժամկետում կազմված արձանագրությունը փակցվում է տեսանելի տեղում, որպեսզի դրա հետ կարողանան ծանոթանալ բաժնետիրական ընկերության անդամները: Կազմված արձանագրության մեկ օրինակը հիմնադիր ժողովի ավարտից հետո եռօրյա ժամկետում ուղարկվում է համապատասխան ճյուղային հանձնաժողովին:
3.13. Հիմնադիր ժողովի որոշումը ընդունման պահից 10-օրյա ժամկետում համապատասխան ճյուղային հանձնաժողովի կողմից կարող է վերացվել, եթե պետական ձեռնարկության վերակազմավորումը բաժնետիրական ընկերության կատարվել է սույն կարգի պահանջների խախտումով:
7 օրվա ժամկետում ճյուղային հանձնաժողովը պարտավոր է որոշում ընդունել համապատասխան բողոքագրի կապակցությամբ: Ճյուղային հանձնաժողովի կողմից համապատասխան ստուգումներ կատարելուց հետո արձանագրված խախտումները ճշտվում են, իսկ եթե խախտումները ազդել են ընտրության արդյունքների վրա, ապա որոշում է ընդունվում նոր հիմնադիր ժողով հրավիրելու մասին:
3.14. Սույն կարգի 3.11 և 3.12 կետերով նախատեսված որոշումների մասին ճյուղային հանձնաժողովը եռօրյա ժամկետում իրազեկ է պահում Պետական հանձնաժողովին:
4. ՊԵՏԱԿԱՆ ՁԵՌՆԱՐԿՈՒԹՅՈՒՆՆԵՐԻ ՄԱՍՆԱԿԻ ԱՆՀԱՏՈՒՅՑ ՍԵՓԱԿԱՆԱՇՆՈՐՀՄԱՆԸ ՄԱՍՆԱԿՑԵԼՈՒ ԻՐԱՎՈՒՆՔ ՈՒՆԵՑՈՂ ԱՇԽԱՏՈՂՆԵՐԻ ՄԱՍՆԱԲԱԺԻՆՆԵՐԻ ՀԱՇՎԱՐԿՄԱՆ ԿԱՐԳԸ
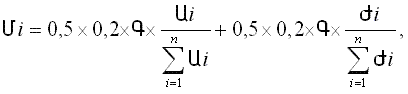
Մասնակի անհատույց սեփականաշնորհման յուրաքանչյուր մասնակցող աշխատողի (այսուհետև` բաժնետեր) մասնաբաժնի (սերտիֆիկատի արժեքի) հաշվարկը հիմնվում է այդ աշխատողի կողմից վերջին մեկ տարվա ընթացքում վաստակած նվազագույն աշխատավարձերի քանակի հաշվարկման աշխատավարձի, ընդհանուր աշխատանքային ստաժի և մնացած բաժնետեր դարձող աշխատողների նույնատիպ ցուցանիշների հետ համեմատման սկզբունքի վրա և որոշվում է հետևյալ բանաձևով`
|
|
որտեղ (1) |
Մi - պետական ձեռնարկության i-րդ բաժնետերին տրվող մասնաբաժնի (սերտիֆիկատի) արժեքն է (հազար դրամ),
i - ձեռնարկության բաժնետիրոջ համարն է (i=1,2,...,n),
n - մասնակի անհատույց սեփականաշնորհմանը մասնակցելու իրավունք ունեցող և այդ իրավունքից օգտվելու ցանկություն հայտնած աշխատողների (բաժնետերերի) քանակն է,
0,5- աշխատանքային ստաժի և աշխատավարձի գործոնների հավասարազորությունն արտահայտող գործակիցն է,
0,2- գործակից է, որն արտահայտում է մասնակի անհատույց սեփականաշնորհման ենթակա պետական ձեռնարկության գույքի 20 տոկոսի չափի սահմանման հանգամանքը,
Գ - մասնակի անհատույց սեփականաշնորհման ենթակա պետական ձեռնարկության ամբողջ գույքի հաշվեկշռային արժեքն է (հազար դրամ),
Աi - տվյալ ձեռնարկությունում մասնակի անհատույց սեփականաշնորհման մասին որոշման ընդունման պահին i-րդ բաժնետիրոջ նախորդ տարվա տարեկան աշխատավարձի գործակիցն է նվազագույն աշխատավարձի նկատմամբ: Տարեկան աշխատավարձի մեջ հաշվի են առնվում բոլոր տեսակի վճարումները, բացառությամբ նյութական օգնության, ընդ որում, եթե որևէ ամսվա փաստացի աշխատավարձը ցածր է լինում տվյալ ամսվա համար Հայաստանի Հանրապետության օրենսդրությամբ սահմանված նվազագույն աշխատավարձից, ապա հաշվարկում այդ ամսվա համար վերցվում է տվյալ ամսվա նվազագույն աշխատավարձի չափը,
Ժi - ձեռնարկության i-րդ բաժնետիրոջ ընդհանուր աշխատանքային ստաժն է մինչև մասնակի անհատույց սեփականաշնորհման մասին որոշման ընդունման պահը:
Աi -ն որոշվում է հետևյալ բանաձևով`
|
|
որտեղ` (2) |
m - նախորդ տարվա ընթացքում Հայաստանի Հանրապետությունում աշխատավարձի ինդեքսավորումների քանակն է,
j - անցկացված ինդեքսավորումների համարակալումն է (j = 1, 2, ..., m),
Աij - ձեռնարկության i -րդ բաժնետիրոջ j-րդ ինդեքսավորման ժամանակահատվածում գումարային աշխատավարձն է:
Ajmin - j-րդ ինդեքսավորման ժամանակահատվածում սահմանված նվազագույն աշխատավարձի չափն է:
Մասնաբաժնի գումարը ենթակա է կլորացման հետևյալ կարգով, եթե հաշվարկված Մi - ում ստորակետին հաջորդող նիշը 5-ից մինչև 9-ը, ապա ամբողջական թվին գումարվում է մեկ, իսկ ստորակետին հաջորդող նիշի 1-ից մինչև 4-ի դեպքում Մi-ի ամբողջական մասը չի փոխվում:
Հաշվարկի օրինակը.
ընդունենք, որ
ա) ունենք երեք մասնակից ( n = 3 ),
բ) գույքի հաշվեկշռային արժեքը - Գ 20, 000 հազ.դրամ,
գ) մասնակի անհատույց սեփականաշնորհման մասին որոշումն ընդունվում է 1994 թվականի ապրիլին,
դ) աշխատավարձի, ստաժի և նվազագույն աշխատավարձերի տվյալներն ըստ աղյուսակի ( m = 5 ):
Այդ դեպքում`
|
1) |
|
|
2) |
|
|
3) |
|
|
4) |
|
5) |
|
6) |
|
7) |
|
8) |
9) Ստուգենք ստացված արդյունքը. բոլոր բաժնետերերի սերտիֆիկատների արժեքի ընդհանուր գումարը պետք է կազմի գույքի հաշվեկշռային արժեքի 20 տոկոսը`
10) Առաջին, երկրորդ և երրորդ բաժնետերերն ընդհանուր ժողովում ունեն համապատասխանորեն հետևյալ ձայների քանակը (տոկոսներով)
:
Ա Ղ Յ Ո Ւ Ս Ա Կ
| Ամիսները | Աշխատող աշխատա- վարձ |
հ.1 ստաժ, ամիս |
Աշխատող աշխատա- վարձ |
հ.2 ստաժ, ամիս |
Աշխատող աշխատա- վարձ |
հ.3 ստաժ, ամիս |
Նվազագույն աշխատավարձ |
| 1993 թ. Մայիս |
4200 ռուբ. | - | 3200 ռուբ. | - | 21000 | - | 3000 |
| Հունիս | 5000 ռուբ. | 4100 ռուբ | 22500 | ||||
| Հուլիս | 7000 ռուբ. | 6120 | 23000 | ||||
| Օգոստոս | 6100 ռուբ. | - | 7800 | - | 32000 | - | 4200 |
| Սեպտեմբեր | 6000 ռուբ. | 7000 | 28500 | ||||
| Հոկտեմբեր | 7350 ռուբ. | 8000 | 33000 | ||||
| Նոյեմբեր | 8050 ռուբ. | - | 8200 | - | 20000 | - | 7350 |
| Դեկտեմբեր | 8120 ռուբ. | 10200 | 27250 | ||||
| 1994 թ. Հունվար |
120 դր. | 220 | 650 | ||||
| Փետրվար | 300 դր. | - | 350 | - | 640 | - | 110 |
| Մարտ | 210 դր. | 300 | 700 | ||||
| Ապրիլ | 250 դր. | 85 | 176 | 132 | 725 | 13 | 176 |
5. ՄԱՍՆԱԿԻ ԱՆՀԱՏՈՒՅՑ ՍԵՓԱԿԱՆԱՇՆՈՐՀՄԱՆ ՍԵՐՏԻՖԻԿԱՏՆԵՐԻ ԲԱՇԽՈՒՄԸ
5.1. Մասնակի անհատույց սեփականաշնորհվող ձեռնարկության յուրաքանչյուր բաժնետիրոջը հասանելիք անհատույց սեփականաշնորհվող գույքի մասնաբաժնի գումարը հաշվարկվում է ձեռնարկության հաշվապահության կողմից և ավարտվում է ոչ ուշ, քան հիմնադիր ժողովից 7 օր առաջ: Այդ մասին իրազեկ է պահվում բաժնետիրոջը, որը վավերացվում է նրա ստորագրությամբ: Յուրաքանչյուր բաժնետիրոջ համար հաշվապահությունում բացվում է անձնական հաշիվ (այսուհետև` հաշիվ):
5.2. Բաժնետիրոջ և հաշվապահության միջև սեփականաշնորհվող գույքի մասնաբաժնի հաշվարկների կապակցությամբ ծագած վեճերը լուծվում են աշխատանքային հանձնաժողովի կողմից:
5.3. Բաժնետիրոջ հաշվին սկզբնական գրառումը կատարվում է միայն հաշվարկի հետ տվյալ բաժնետիրոջը ծանոթացնելուց հետո, իսկ վեճերի դեպքում` աշխատանքային հանձնաժողովի համապատասխան որոշում ընդունելուց հետո: Անհամաձայնության դեպքում բաժնետերն իրավունք ունի հարցի լուծումը տեղափոխել հիմնադիր ժողովի քննարկմանը:
5.4. Հաշիվները բացվում են ձեռնարկության հաշվապահության կողմից, հիմնադիր ժողովի ավարտից հետո 5-օրյա ժամկետում:
5.5. Բաժնետիրոջ հաշվին մուտքագրված միջոցները համարվում են նրա սեփականությունը, և այդ գումարի չափի նշումով բաժնետիրոջը տրվում է մասնակի անհատույց սեփականաշնորհման սերտիֆիկատ: Մասնակի անհատույց սեփականաշնորհման սերտիֆիկատը յուրաքանչյուր բաժնետիրոջ տրվում է Հայաստանի Հանրապետության օրենսդրությամբ սահմանված կարգով բաժնետիրական ընկերության պետական գրանցումից հետո ոչ ուշ, քան 2-ամսյա ժամկետում:
5.6. Մասնակի անհատույց սեփականաշնորհման սերտիֆիկատները տնօրինվում են, տիրապետվում և օգտագործվում Հայաստանի Հանրապետության օրենսդրությամբ և բաժնետիրական ընկերության կանոնադրությամբ նախատեսված կարգով:
|
Հավելված 2 ՀԱՍՏԱՏՎԱԾ Է ՀՀ ԳԽ ՆԱԽԱԳԱՀՈՒԹՅԱՆ 1994 ԹՎԱԿԱՆԻ |
ՄԱՍՆԱԿԻ ԱՆՀԱՏՈՒՅՑ ՍԵՓԱԿԱՆԱՇՆՈՐՀՄԱՆ ՀԻՄԱՆ ՎՐԱ ՎԵՐԱԿԱԶՄԱՎՈՐՎԱԾ ԲԱԺՆԵՏԻՐԱԿԱՆ ԸՆԿԵՐՈՒԹՅՈՒՆՆԵՐՈՒՄ ՇԱՀՈՒՅԹԻՑ ԻՆՎԵՍՏԻՑԻՈՆ ՍԵՓԱԿԱՆԱՇՆՈՐՀՄԱՆ ՖՈՆԴԵՐԻՆ ԿԱՏԱՐՎՈՂ ՄԱՍՀԱՆՈՒՄՆԵՐԻ, ԱՅԴ ՄԻՋՈՑՆԵՐԻՑ ՀԻՄՆԱԿԱՆ ՖՈՆԴԵՐԻ ՁԵՌՔԲԵՐՄԱՆ ԵՎ ԿԱՆՈՆԱԴՐԱԿԱՆ ՀԻՄՆԱԴՐԱՄԻ ՓՈՓՈԽՄԱՆ ԿԱՐԳԸ
(հավելվածն ուժը կորցրել է 26.03.96 ՀՕ-45)