|
ՀԱՅԱՍՏԱՆԻ ՀԱՆՐԱՊԵՏՈՒԹՅԱՆ
ԿԵՆՏՐՈՆԱԿԱՆ ԲԱՆԿԻ ԽՈՐՀՈՒՐԴ
15 դեկտեմբերի 2020 թվականի թիվ 204-Ն |
ՀԱՅԱՍՏԱՆԻ ՀԱՆՐԱՊԵՏՈՒԹՅԱՆ
ՖԻՆԱՆՍՆԵՐԻ ՆԱԽԱՐԱՐ
11 փետրվարի 2021 թվականի թիվ 1-Ն |
Հ Ա Մ Ա Տ Ե Ղ Ո Ր Ո Շ ՈՒ Մ
««ԱՊԱՀՈՎԱԳՐԱԿԱՆ ԸՆԿԵՐՈՒԹՅՈՒՆՆԵՐԻ ԱԿՏԻՎՆԵՐԻ ԴԱՍԱԿԱՐԳՄԱՆ ԵՎ ՀՆԱՐԱՎՈՐ ԿՈՐՈՒՍՏՆԵՐԻ ՊԱՀՈՒՍՏՆԵՐԻ ՁԵՎԱՎՈՐՄԱՆ ԵՎ ՕԳՏԱԳՈՐԾՄԱՆ ԿԱՐԳԸ» ԿԱՆՈՆԱԿԱՐԳ 3/09» ՀԱՍՏԱՏԵԼՈՒ ԵՎ Հայաստանի Հանրապետության կենտրոնական բանկի խորհրդի 2008 թվականի մարտի 25-ի թիվ 73-Ն որոշումը ՈՒԺԸ ԿՈՐՑՐԱԾ ՃԱՆԱՉԵԼՈՒ ՄԱՍԻՆ
Հիմք ընդունելով «Ապահովագրության և ապահովագրական գործունեության մասին» օրենքի 68-րդ հոդվածը, Հարկային օրենսգրքի 109-րդ հոդվածի 4-րդ մասի 12-րդ կետը, 123-րդ հոդվածի 1-ին մասի 3-րդ կետը, 124-րդ հոդվածի 1-ին մասը,
ղեկավարվելով «Հայաստանի Հանրապետության կենտրոնական բանկի մասին» օրենքի 2-րդ հոդվածի 3-րդ մասով, 20-րդ հոդվածի «ե» կետով, «Նորմատիվ իրավական ակտերի մասին» օրենքի 34-րդ հոդվածով և 37-րդ հոդվածի 1-ին մասով, Հայաստանի Հանրապետության վարչապետի 2018 թվականի հունիսի 11-ի թիվ 743-Լ որոշմամբ հաստատված Հայաստանի Հանրապետության ֆինանսների նախարարության կանոնադրության 18-րդ կետի 20-րդ ենթակետով՝ Հայաստանի Հանրապետության կենտրոնական բանկի խորհուրդը և Հայաստանի Հանրապետության ֆինանսների նախարարը Որոշում են.
1. Հաստատել «Ապահովագրական ընկերությունների ակտիվների դասակարգման և հնարավոր կորուստների պահուստների ձևավորման և օգտագործման կարգը» Կանոնակարգ 3/09-ը՝ համաձայն սույն որոշման Հավելված 1-ի:
2. Սույն որոշումն ուժի մեջ է մտնում պաշտոնական հրապարակման օրվան հաջորդող տասներորդ օրը:
3. Սույն որոշումն ուժի մեջ մտնելու պահից ուժը կորցրած ճանաչել Հայաստանի Հանրապետության կենտրոնական բանկի խորհրդի 2008 թվականի մարտի 25-ի ««Ապահովագրական ընկերությունների ակտիվների դասակարգման և հնարավոր կորուստների պահուստների ձևավորման և օգտագործման կարգը» Կանոնակարգ 3/09 հաստատելու մասին» թիվ 73-Ն որոշումը:
4. Սույն որոշումն ուժի մեջ մտնելու պահից մեկամսյա ժամկետում գործող ապահովագրական ընկերությունները պետք է ապահովեն սույն որոշման Հավելված 1-ով սահմանված Կանոնակարգի 89-րդ կետով նախատեսված ակտիվների դասակարգման և հնարավոր կորուստների պահուստների ձևավորման ներքին կանոնակարգերի համապատասխանեցումը Կանոնակարգի պահանջներին։
|
Հայաստանի Հանրապետության կենտրոնական բանկի նախագահ |
Մ. Գալստյան |
|
2020 թ. դեկտեմբերի 22 Երևան |
|
Հայաստանի Հանրապետության |
Ա. Ջանջուղազյան |
|
2021 թ. փետրվարի 11 Երևան |
|
|
ՀԱՎԵԼՎԱԾ 1 Հայաստանի Հանրապետությանկենտրոնական բանկի խորհրդի 2020 թվականի դեկտեմբերի 15-ի թիվ 204-Ն և Հայաստանի Հանրապետության ֆինանսների նախարարի 2021 թվականի փետրվարի 11-ի թիվ 1-Ն համատեղ որոշման |
ԱՊԱՀՈՎԱԳՐԱԿԱՆ ԸՆԿԵՐՈՒԹՅՈՒՆՆԵՐԻ ԱԿՏԻՎՆԵՐԻ ԴԱՍԱԿԱՐԳՄԱՆ ԵՎ ՀՆԱՐԱՎՈՐ ԿՈՐՈՒՍՏՆԵՐԻ ՊԱՀՈՒՍՏՆԵՐԻ ՁԵՎԱՎՈՐՄԱՆ ԵՎ ՕԳՏԱԳՈՐԾՄԱՆ ԿԱՐԳԸ ԿԱՆՈՆԱԿԱՐԳ 3/09
ԳԼՈՒԽ 1. ԸՆԴՀԱՆՈՒՐ ԴՐՈՒՅԹՆԵՐ
1. Սույն Կանոնակարգը սահմանում է ապահովագրական ընկերությունների ակտիվների դասակարգման, հնարավոր կորուստների պահուստի ձևավորման, օգտագործման՝ այդ թվում անհուսալի ճանաչված ակտիվների դուրսգրման կարգը:
2. Սույն Կանոնակարգի նպատակներն են․
1) սահմանել ապահովագրական ընկերությունների շահութահարկով հարկման բազայի որոշման նպատակով համախառն եկամտից նվազեցումները՝ ակտիվների հնարավոր կորուստների պահուստներին ուղղված գումարների չափով,
2) սահմանել ապահովագրական ընկերությունների շահութահարկով հարկման բազայի որոշման նպատակով համախառն եկամուտները՝ սույն Կանոնակարգով սահմանված պահուստների վերաձևակերպումների (հակադարձումների) չափով,
3) ապահովագրական գործունեությունը կարգավորող հիմնական տնտեսական նորմատիվների հաշվարկման համար օգտագործվող ապահովագրական ընկերության ընդհանուր կապիտալի և ակտիվների մեծության վերաբերյալ արժանահավատ տեղեկատվության ստացումը:
3. Ակտիվների դասակարգման և հնարավոր կորուստների պահուստավորման պատասխանատվությունը կրում են ապահովագրական ընկերությունները:
4. Սույն Կանոնակարգի նպատակներից ելնելով՝
1) ապահովագրական ընկերությունները ձևավորում են հնարավոր կորուստների պահուստ, որը (բացառությամբ ինվեստիցիոն արժեթղթերի գծով հնարավոր կորուստների պահուստի) կազմված է ընդհանուր պահուստից` ստանդարտ ակտիվների գծով և հատուկ պահուստից` խնդրահարույց (հսկվող, ոչ ստանդարտ, կասկածելի, անհուսալի) ակտիվների գծով,
2) ակտիվների հնարավոր կորուստների համար պահուստավորումն իրականացվում է ըստ ակտիվների դասակարգման չափանիշների,
3) սահմանվում են ակտիվների դասակարգման օբյեկտիվ և սուբյեկտիվ չափանիշներ:
5. Հայաստանի Հանրապետության կենտրոնական բանկի (այսուհետև` Կենտրոնական բանկ) վերահսկողության համար պատասխանատու ստորաբաժանումը վերահսկողության արդյունքում կարող է պարտավորեցնել ապահովագրական ընկերությանը սույն Կանոնակարգի համաձայն ճշգրտել ակտիվների դասակարգումը և պահուստավորումը: Սույն կետում նշված փոփոխությունները չեն ներառվում տվյալ պահի դրությամբ ստուգում անցած հարկային հաշվետվություններում: Համալիր հարկային ստուգումների ընթացքում՝ սույն Կանոնակարգի դրույթների խախտում հայտնաբերելու դեպքում ստուգում իրականացնող պաշտոնատար անձը պահանջում է ճշգրտել հարկային հաշվետվությունը, եթե ճշգրտման արդյունքում առաջանում են պետական բյուջե լրացուցիչ վճարման ենթակա հարկերի գումարներ:
ԳԼՈՒԽ 2. ՀԻՄՆԱԿԱՆ ՀԱՍԿԱՑՈՒԹՅՈՒՆՆԵՐ
6. Սույն Կանոնակարգի իմաստով ակտիվներ են համարվում.
1) ապահովադիրներից և ապահովագրական միջնորդներից ստացվելիք ապահովագրավճարները, համաապահովագրողներից ստացվելիք ապահովագրավճարները, վերաապահովագրության ընդունած ռիսկերի գծով ստացվելիք վերաապահովագրավճարները, վերաապահովագրողներից ստացվելիք պարգևավճարները, տեխնիկական պահուստներում վերաապահովագրողի մասնաբաժինը (բացառությամբ չվաստակած ապահովագրավճարների պահուստում վերաապահովագրողի մասնաբաժնի), հատուցումների գծով պահանջները վերաապահովագրողների, համաապահովագրողների և այլ անձանց նկատմամբ (այդ թվում` սուբրոգացիայի գծով պահանջները), ապահովագրական պայմանագրերի գծով ստացվելիք այլ գումարները, ապահովագրական ընկերության ավանդային, բանկային և այլ հաշիվները բանկերում (այդ թվում` ակրեդիտիվները), մուրհակները, ապահովագրական ընկերության կողմից տրամադրված փոխառությունները, աշխատակիցներին տրված առհաշիվ գումարները, գերավճարները, կանխավճարները (բացառությամբ՝ շահութահարկի գծով տրված կանխավճարները), նախավճարները, դեբիտորական պարտավորություններ, այլ անձանց պարտավորությունների կատարումն ապահովող միջոցները (մասնավորապես` այլ անձանց պարտավորությունների կատարման համար գրավադրված ակտիվներ, տրամադրված երաշխավորություններ), ինչպես նաև վարկային ռիսկ պարունակող այլ արտահաշվեկշռային հոդվածներ (ընդ որում այդպիսիք չեն համարվում սույն Կանոնակարգի համաձայն անհուսալի դասակարգված և արտահաշվեկշռում արտացոլված հոդվածները),
2) ապահովագրական ընկերության ինվեստիցիոն արժեթղթերը:
7. Վարկային ռիսկն այն ներկա կամ ապագա հավանականությունն է, որ գործարքի մյուս կողմը կխախտի ապահովագրական ընկերության հետ կնքած պայմանագրի պայմանները կամ չի գործի այդ պայմանագրի պայմաններին համապատասխան, ինչը բացասաբար կազդի ապահովագրական ընկերության շահույթի և (կամ) կապիտալի վրա` անկախ այն հանգամանքից գործարքներն արտացոլվում են ապահովագրական ընկերության հաշվեկշռում, թե հանդես են գալիս որպես արտահաշվեկշռային հոդված:
8. Ակտիվի համախառն հաշվեկշռային արժեք է համարվում տվյալ ակտիվի գծով հաշվեկշռում գրանցված գումարը` ներառյալ նրանց գծով հաշվեգրած տոկոսները, տույժերը և տուգանքները, առանց նվազեցնելու տվյալ ակտիվի գծով ձևավորած հնարավոր կորուստների պահուստները:
9. Ինվեստիցիոն արժեթղթեր (այսուհետ՝ արժեթղթեր) են համարվում բաժնետոմսերը, ոչ պետական պարտատոմսերը, այլ անձանց կանոնադրական կապիտալներում կատարված ներդրումները:
10. Ինվեստիցիոն արժեթղթերն ըստ առանձին հատկանիշների ստորադասվում են հետևյալ խմբերի և ենթախմբերի.
1) Ըստ ժամկետայնության.
ա. ժամկետային արժեթղթեր՝ մարման ամրագրված ժամկետներ ունեցող արժեթղթերը,
բ. անժամկետ արժեթղթեր՝ մարման ամրագրված ժամկետներ չունեցող արժեթղթերը:
2) Ըստ նպատակայնության.
ա. շահույթով կամ վնասով վերաչափվող իրական արժեքով հաշվառվող արժեթղթեր՝ ժամկետային և անժամկետ այն բոլոր արժեթղթերը, որոնք ձեռք են բերվել վերավաճառքի նպատակով և արագ կարող են վերածվել բարձր իրացվելի ակտիվների,
բ. վաճառքի համար մատչելի արժեթղթեր՝ այն արժեթղթերը, որոնք ձեռք բերողը մտադիր չէ վաճառել մոտակա (կարճատև) ժամանակահատվածում, սակայն դրանք կարող են վաճառվել և սովորաբար չեն պահվում մինչև մարման ժամկետի ավարտը (ժամկետային արժեթղթեր) կամ պահվում են մեկ տարուց պակաս ժամկետով (անժամկետ արժեթղթեր),
գ. մինչև մարման ժամկետի ավարտը պահվող արժեթղթեր և անժամկետ արժեթղթեր՝ այն ժամկետային արժեթղթերը, որոնք ձեռք բերողը մտադիր է պահել մինչև մարման ժամկետի ավարտը, ինչպես նաև այն անժամկետ արժեթղթերը, որոնք պահվում են երկարատև ժամանակահատվածում (լրացուցիչ շահույթ ստանալու, արժեթուղթ թողարկողի վրա ներազդելու և(կամ) նրան վերահսկելու նպատակով):
3) Ըստ գնահատման եղանակի (միայն բաժնետոմսերի համար).
ա. գնանշվող բաժնետոմսեր՝ Հայաստանի Հանրապետության տարածքում գործող ֆոնդային բորսաներում, ֆոնդային ստորաբաժանում ունեցող այլ բորսաներում, ինչպես նաև արժեթղթերի շուկայի կարգավորում և վերահսկողություն իրականացնող պետական լիազորված մարմնի կողմից սահմանված ցանկում ընդգրկված օտարերկրյա ֆոնդային բորսաներում և բորսայական գործառնություններ իրականացնող այլ հաստատություններում (համակարգերում) պարբերաբար գնանշվող բաժնետոմսերը: Գնանշվող բաժնետոմսերը պետք է բավարարեն հետևյալ չափանիշներին միաժամանակ․
ա1. բաժնետոմսերի ցուցակման մեջ ներառումը ոչ պակաս, քան մեկ ֆոնդային բորսայում, ֆոնդային ստորաբաժանում ունեցող այլ բորսայում կամ բորսայական գործառնություններ իրականացնող հաստատությունում (համակարգում),
ա2. նախորդ եռամսյակի տվյալներով բորսայում տվյալ բաժնետոմսի միջին ամսական նվազագույն շրջանառությունը կազմում է մեկ միլիոն դրամ,
ա3. բաժնետոմսերի գնանշման հրապարակումը:
բ. չգնանշվող բաժնետոմսեր՝ սույն ենթակետի «ա» պարբերության չափանիշներից որևէ մեկին չբավարարող բաժնետոմսերը:
11. Ապահովագրական ընկերությունը հաշվապահական հաշվեկշռի ամսաթվի դրությամբ (առնվազն 30 օրը մեկ անգամ) պետք է միաժամանակ դասակարգի իր բոլոր ակտիվները՝ սույն Կանոնակարգի 89-րդ կետի համաձայն՝ ապահովագրական ընկերության կողմից սահմանված ներքին կանոնակարգին համապատասխան, ընդ որում, դասակարգման օր պետք է լինի նաև հաշվետու ժամանակաշրջանի վերջին օրը:
12. Յուրաքանչյուր ակտիվ պետք է դասակարգվի սույն Կանոնակարգի 18-րդ և 52-րդ կետերով սահմանված դասերից որևէ մեկում:
13. Ակտիվների դասակարգումը հիմնված է սույն Կանոնակարգի 27-րդ և 62-րդ կետերի աղյուսակով սահմանված օբյեկտիվ և սուբյեկտիվ չափանիշների վրա:
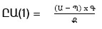
14. Այն դեպքում, երբ օբյեկտիվ և սուբյեկտիվ չափանիշներով ակտիվների դասակարգման ընթացքում առկա են տարբերություններ, ապա ապահովագրական ընկերությունը պետք է առաջնորդվի առավել խիստ չափանիշով:
15. Օբյեկտիվ չափանիշները հիմնված են սույն Կանոնակարգի 29-րդ և 60-րդ կետերով նախատեսված պայմանների վրա:
16. Սուբյեկտիվ չափանիշները հիմնված են ապահովագրական ընկերության և Կենտրոնական բանկի վերահսկողության համար պատասխանատու ստորաբաժանման դատողությունների և մասնագիտական կարծիքի վրա:
17. Միևնույն անձի նկատմամբ պահանջները պետք է դասակարգվեն միասնական ամենախիստ դասով:
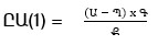
ԳԼՈՒԽ 3. ԱԿՏԻՎՆԵՐԻ (ԲԱՑԱՌՈՒԹՅԱՄԲ ԻՆՎԵՍՏԻՑԻՈՆ ԱՐԺԵԹՂԹԵՐԻ) ԴԱՍԱԿԱՐԳՈՒՄԸ
18. Ակտիվների (բացառությամբ ինվեստիցիոն արժեթղթերի) դասակարգումը ակտիվների խմբավորումն է հետևյալ 5 դասերի` համաձայն սույն Կանոնակարգի 27-րդ կետի.
1) ստանդարտ,
2) հսկվող,
3) ոչ ստանդարտ,
4) կասկածելի,
5) անհուսալի:
19. Ստանդարտ են դասակարգվում այն ակտիվները, որոնք սպասարկվում են պայմանագրի համաձայն և խնդրահարույց չեն: Ստանդարտ ակտիվներին բնորոշ են հետևյալ հայտանիշները.
1) պարտապանի (փոխառուի), ապահովադրի ֆինանսական վիճակը կայուն է,
2) առկա է ակտիվը մարելու (սպասարկելու) պարտապանի (փոխառուի), ապահովադրի բավարար ունակությունը։
Ստանդարտ ակտիվներն ունեն բավարար ապահովվածություն, ինչպես հիմնական գումարի, այնպես էլ տոկոսային պարտքի գծով: Ստանդարտ ակտիվների գծով ձևավորվում է միայն ընդհանուր պահուստ:
20. Հսկվող են դասակարգվում այն ակտիվները, որոնք չնայած սպասարկվում են սկզբնական պայմանագրի համաձայն, սակայն տեղի է ունեցել պարտապանի (փոխառուի) ֆինանսական վիճակի վատթարացում կամ ի հայտ են եկել այնպիսի պայմաններ, որոնց պարագայում հնարավոր է պարտապանի (փոխառուի) ֆինանսական վիճակի վատթարացում, որի արդյունքում կարող է վտանգվել ակտիվը մարելու (սպասարկելու) պարտապանի (փոխառուի) բավարար ունակությունը:
21. Ոչ ստանդարտ են դասակարգվում այն ակտիվները, որոնց գծով պայմանագրային պարտավորությունները չեն կատարվում՝ կախված պարտապանի (փոխառուի), ապահովադրի ֆինանսական վիճակից կամ նրա՝ պարտքը մարելու ունակությունից: Ոչ ստանդարտ ակտիվների մեջ ներառվում են.
1) ժամկետային ակտիվները, որոնց մարումը ժամկետում հնարավոր չէ պարտապանի (փոխառուի), ապահովադրի դրամական միջոցների անբավարար հոսքի պատճառով,
2) այն ակտիվները, որոնք պարտապանը (փոխառուն), ապահովադիրը չի կարող մարել նախնական պայմանավորվածության համաձայն, և որոնք պարտապանի (փոխառուի), ապահովադրի ֆինանսական ոչ բարվոք վիճակի հետևանքով վերանայումների ու դրանց շուրջ տարվող բանակցությունների առարկա են: Այսինքն` ակտիվի մարման առաջնային աղբյուրները բավարար չեն, և ապահովագրական ընկերությունը պետք է դիմի դրա մարելու երկրորդային աղբյուրներին, ինչպիսիք են՝ գրավի առարկայի, գույքի վաճառքը, պայմանների վերանայումը (վերաֆինանսավորումը) կամ կապիտալի նոր աղբյուրների հայթայթումը և այլն:
22. Ոչ ստանդարտ ակտիվներն ունեն ակնհայտ թերություններ, որոնք վտանգում են պարտքի ամբողջական մարումը:
23. Ոչ ստանդարտ ակտիվների շարքին կարող են դասվել նաև այն ակտիվները, որոնց հետ կապված է սովորականից ավելի մեծ ռիսկ՝ կապված պարտապանի (փոխառուի), ապահովադրի ընթացիկ ֆինանսական տեղեկատվության կամ գրավի վերաբերյալ համարժեք փաստաթղթերի բացակայության հետ:
24. Ոչ ստանդարտ ակտիվի համապատասխան դասակարգումը պարզելու համար պետք է հաշվի առնել նաև հետևյալ գործոնները․
1) ակտիվի սպասարկման պայմանների շարունակական վերանայումները (վերաձևակերպումները) առանց դրա զգալի մարման,
2) պարտապանի (փոխառուի), ապահովադրի կողմից ավելի նպաստավոր պայմաններով ակտիվի մարման վերաբերյալ առաջարկով հանդես գալը՝ կապված նրա ֆինանսական վիճակի հետ,
3) ոչ համարժեք գրավի առկայությունը:
25. Կասկածելի ակտիվներն ունեն ոչ ստանդարտ ակտիվների բոլոր հատկանիշները, սակայն առավել խնդրահարույց են, ինչի արդյունքում դրանց հավաքագրումը տվյալ պահին դառնում է չափազանց դժվար կամ անհնար: Կասկածելի ակտիվների դեպքում զգալի կորուստների հավանականությունը բարձր է, բայց կորուստների չափերը պարզ չեն, ինչը հիմնականում պայմանավորված է մի շարք կարևոր և հատուկ գործոններով, որոնք կարող են բարելավել այս ակտիվի վիճակը: Կասկածելի ակտիվի դասակարգումը որպես անհուսալի հետաձգվում է մինչև դրա հետ կապված հանգամանքների հստակեցումը:
26. Անհուսալի ակտիվներն անհավաքագրելի և ամբողջությամբ արժեզրկված ակտիվներն են, որոնց հաշվառումը հաշվեկշռում որպես ակտիվներ այլևս նպատակահարմար չէ: Այս դասակարգումը չի նշանակում, որ ակտիվը հնարավոր չէ վերականգնել ապագայում, բայց դրա հաշվապահական ճանաչումը տվյալ պահին պետք է լինի որպես արժեզրկված ակտիվ:
27. Ակտիվների դասակարգման չափանիշներն ամփոփվում են սույն կետով սահմանված Աղյուսակ 1-ում.
Աղյուսակ 1
|
Ակտիվի դասը |
Օբյեկտիվ չափանիշ |
Սուբյեկտիվ չափանիշ |
|
Ստանդարտ |
Ակտիվն աշխատող է և գտնվում է սպասարկման ընթացքում համաձայն պայմանագրի: Սույն Կանոնակարգի իմաստով պայմանագիր համարվում է սկզբնական պայմանագիրը (ներառյալ գրավի պայմանագիրը) |
Համապատասխանում է սույն Կանոնակարգի 19-րդ կետում տրված ստանդարտ ակտիվի սահմանմանը |
|
Հսկվող |
Չաշխատող է մինչև 90 օր |
Համապատասխանում է սույն Կանոնակարգի 20-րդ կետում տրված հսկվող ակտիվի սահմանմանը |
|
Ոչ ստանդարտ |
Չաշխատող է 91-ից 180 օր |
Համապատասխանում է սույն Կանոնակարգի 21-րդ կետում տրված ոչ ստանդարտ ակտիվի սահմանմանը |
|
Կասկածելի |
Չաշխատող է 181-ից 270 օր |
Համապատասխանում է սույն Կանոնակարգի 25-րդ կետում տրված կասկածելի ակտիվի սահմանմանը |
|
Անհուսալի |
Չաշխատող է 271 և ավելի օր |
Համապատասխանում է սույն Կանոնակարգի 26-րդ կետում տրված անհուսալի ակտիվի սահմանմանը |
Սույն Կանոնակարգի 29-րդ կետում նշված չաշխատող օրերի հաշվարկը սկսվում է սույն Կանոնակարգի 27-րդ կետի համաձայն: Եթե ակտիվի գծով վճարման ենթակա գումարից (հիմնական գումար, տոկոս և (կամ) տույժ) պայմանագրով սահմանված ժամկետում չի վճարվել 1000 Հայաստանի Հանրապետությանը դրամը կամ դրան համարժեք արտարժույթը չգերազանցող գումար, ապա նշված չափով չվճարումը հիմք չի հանդիսանում ակտիվը չաշխատող համարելու և (կամ) ակտիվի դասը խստացնելու համար:
28. Սույն գլխի կանոնները չեն տարածվում ապահովվածություն չունեցող (բլանկային) ակտիվների վրա, որոնք տրման պահին դասակարգվում են անհուսալի:
29. Չաշխատող են այն ակտիվները, որոնց.
1) հիմնական գումարի (կամ դրա մի մասի) մարումը կամ տոկոսների վճարումն ուշացել է պայմանագրում նշված ժամկետից, և
2) տոկոսային վճարները կապիտալացվել են (գումարվել են չմարված փոխատվության գումարին) կամ
3) վճարման պայմանները վերանայվել (վերաֆինանսավորվել) կամ ակտիվները փոխանցվել են նոր ֆինանսական ներդրման կամ դեբիտորական պարտքի գումարին:
Այն ակտիվները (բացառությամբ բանկային և այլ հաշիվների), որոնց համար նախատեսված չեն մարման ժամկետներ (պայմաններ), համարվում են չաշխատող, եթե ակտիվի ձևավորման օրվանից սկսած եռամսյա, վեցամսյա, իննամսյա և տասներկուամսյա ժամկետներում համապատասխանաբար չեն մարվել ակտիվի սկզբնական գումարի առնվազն 25%-ը, 50%-ը, 75%-ը, 100%-ը, իսկ բանկային և այլ հաշիվները համարվում են չաշխատող ապահովագրական ընկերության կողմից դրանց գծով ներկայացված առաջին պահանջը չբավարարելու պահից:
30.Ապահովվածություն չունեցող (բլանկային) են դասվում այն ակտիվները (կամ դրանց մասերը), որոնք բավարարում են սույն կետում նշված բոլոր պայմաններին միաժամանակ.
1) ապահովված չեն գրավով, առնվազն նախորդ հաշվետու և ընթացիկ ժամանակաշրջանում շահույթով աշխատած իրավաբանական անձի երաշխավորությամբ կամ երաշխիքով, բյուջետային երաշխիքով,
2) ապահովված չեն պարտապանի (փոխառուի), ապահովադրի ֆինանսական վիճակը (այդ թվում՝ ֆինանսական հոսքերը) բնութագրող բավարար տեղեկատվությամբ,
3) ապահովված չեն պարտքի (փոխառության) վերադարձելիությունը հիմնավորող տեղեկատվությամբ (պայմանագրեր և այլն), ինչպես նաև գումարի ստացումը հավաստող և հիմնավորող փաստաթղթերով,
4) չեն հանդիսանում ապրանքների, աշխատանքների, ծառայությունների ձեռք բերման համար կատարված կանխավճար կամ առհաշիվ տրված գումար:
Սույն կետի դրույթները չեն տարածվում Կենտրոնական Բանկի և Հայաստանի Հանրապետության կառավարության նկատմամբ պահանջների վրա:
31. Եթե ընկերությունը սույն Կանոնակարգի 30-րդ կետի համաձայն չի դասել ակտիվը ապահովվածություն չունեցող (բլանկային), Կենտրոնական բանկի վերահսկողության համար պատասխանատու ստորաբաժանումը իր հիմնավոր կարծիքով կարող է այդ ակտիվը դասել (համարել) ապահովվածություն չունեցող (բլանկային)՝ սույն Կանոնակարգի 30-րդ կետի համապատասխան:
32. Վերանայված պայմաններով ակտիվներն այն ակտիվներն են, որոնց մարման ժամկետները կամ այլ պայմանները վերանայվել (վերաձևակերպվել) են, գումարները փոխանցվել են ակտիվային նոր գործիքներին, կամ էլ պայմանները վերանայվել են այլ կերպ՝ պարտապանի (փոխառուի), ապահովադրի համար առավել նպաստավոր ուղղությամբ, որը պայմանավորված է նրա վատ ֆինանսական դրությամբ և (կամ) նրա՝ պարտքը մարելու կարողությամբ:
33. Վերաֆինանսավորված ակտիվներն այն ակտիվներն են, որոնց մարումն իրականացվել է նոր ստանձնած պարտավորությունների աղբյուրների հաշվին:
ԳԼՈՒԽ 4. ԱԿՏԻՎՆԵՐԻ (ԲԱՑԱՌՈՒԹՅԱՄԲ ԻՆՎԵՍՏԻՑԻՈՆ ԱՐԺԵԹՂԹԵՐԻ) ՀՆԱՐԱՎՈՐ ԿՈՐՈՒՍՏՆԵՐԻ ԸՆԴՀԱՆՈՒՐ ԵՎ ՀԱՏՈՒԿ ՊԱՀՈՒՍՏԱՎՈՐՈՒՄ
34. Ապահովագրական ընկերություններն ակտիվների հնարավոր կորուստները ծածկելու նպատակով վարում են հնարավոր կորուստների պահուստների հաշիվներ, որտեղ արտացոլվում է ընդհանուր և հատուկ պահուստների հանրագումարը: Հնարավոր կորուստների պահուստների դրույքաչափերը կիրառվում են ակտիվների համախառն հաշվեկշռային արժեքների նկատմամբ: Ընդ որում, արտարժույթով արտահայտված ակտիվի համախառն հաշվեկշռային արժեքի (այդ թվում` Հայաստանի Հանրապետության դրամով ստացման ենթակա տոկոսների, տույժերի և այլ գումարների) նկատմամբ կիրառվում է արտարժույթով արտահայտված ակտիվի համար սույն Կանոնակարգով սահմանված միևնույն պահուստավորման դրույքաչափը:
35. Ընդհանուր պահուստը ձևավորվում է ստանդարտ ակտիվների գծով` հնարավոր կորուստների պահուստին կատարվող հատկացումների (մասհանումների) հաշվին: Դրանք ճանաչվում (գրանցվում) են որպես ծախս ապահովագրական ընկերության «Եկամուտների և ծախսերի վերաբերյալ» հաշվետվությունում՝ ելնելով ակտիվների գծով ապագա, բայց դեռևս չպարզաբանված (չբացահայտված) կորուստների առաջացման հավանականությունից:
36.Հատուկ պահուստը ձևավորվում է հսկվող, ոչ ստանդարտ, կասկածելի և անհուսալի դասակարգված ակտիվների գծով` հնարավոր կորուստների պահուստին կատարվող հատկացումների (մասհանումների) հաշվին: Դրանք ճանաչվում (գրանցվում) են որպես ծախս ապահովագրական ընկերության «Եկամուտների և ծախսերի վերաբերյալ» հաշվետվությունում՝ ելնելով վերոհիշյալ ակտիվների գծով պարզաբանված (բացահայտված) կորուստների առաջացման հավանականությունից:
37. Ապահովագրական ընկերությունը ձևավորում է հատուկ պահուստ՝ Հայաստանի Հանրապետության դրամով արտահայտված ակտիվների դեպքում յուրաքանչյուր հսկվող ակտիվի 10%-ի, ոչ ստանդարտ ակտիվի 20%-ի, կասկածելի ակտիվի 50%-ի և անհուսալի ակտիվի 100%-ի չափով:
38.Ապահովագրական ընկերությունը ձևավորում է հատուկ պահուստ` արտարժույթով արտահայտված ակտիվների դեպքում յուրաքանչյուր հսկվող ակտիվի 12%-ի, ոչ ստանդարտ ակտիվի 24%-ի, կասկածելի ակտիվի 60%-ի և անհուսալի ակտիվի 100%-ի չափով:
39.Ապահովագրական ընկերությունը ձևավորում է ընդհանուր պահուստ՝ ստանդարտ ակտիվների գումարի 1%-ի չափով:
40.Ապահովագրական ընկերությունը սույն Կանոնակարգի 89-րդ կետի համաձայն՝ ապահովագրական ընկերության կողմից սահմանված ներքին կանոնակարգին համապատասխան, կարող է ավելացնել հատկացումներն ընդհանուր պահուստին՝ ստանդարտ ակտիվների համար՝ մինչև 2%-ը, իսկ հատուկ պահուստին՝ հետևյալ չափերով.
1) Հայաստանի Հանրապետության դրամով արտահայտված ակտիվների դեպքում.
ա. հսկվող ակտիվի համար՝ մինչև 15 %-ը,
բ. ոչ ստանդարտ ակտիվի համար՝ մինչև 25 %-ը,
գ. կասկածելի ակտիվի համար՝ մինչև 70 %-ը:
2) Արտարժույթով արտահայտված ակտիվների դեպքում.
ա.հսկվող ակտիվի համար` մինչև 18%-ը,
բ. ոչ ստանդարտ ակտիվի համար` մինչև 30%-ը,
գ. կասկածելի ակտիվի համար` մինչև 80%-ը:
41. Ակտիվն անհուսալի ճանաչվելու դեպքում, այն նույն օրվա ընթացքում պետք է դուրս գրվի ապահովագրական ընկերության հաշվեկշռից` հնարավոր կորուստների պահուստի հաշվին, և ապահովագրական ընկերությունը շարունակում է հաշվառել այն արտահաշվեկշռային համապատասխան հաշիվներում: Ընդ որում, արտահաշվեկշռում ակտիվները շարունակվում են արտացոլվել այն արժեքով, որով կարտացոլվեին հաշվեկշռում հաշվառվելու դեպքում` առանց թղթակցելու համապարփակ եկամտի հաշիվների հետ:
42. Կենտրոնական բանկի վերահսկողության արդյունքում պարտավորեցված, սուբյեկտիվ չափանիշի հիման վրա դասակարգված ակտիվների դիմաց պահուստների ճշգրտումը Կենտրոնական բանկի վերահսկողության համար պատասխանատու ստորաբաժանման պահանջով կարող է իրականացվել վերջինիս կողմից նշված օրը։
43. Սուբրոգացիայի հետևանքով առաջացած պահանջները ձևավորման պահից դասակարգվում են որպես կասկածելի ակտիվներ, իսկ 91 և ավելի օր չաշխատող լինելու պարագայում դասակարգվում են որպես անհուսալի ակտիվներ:
ԳԼՈՒԽ 5. ԱՐՏԱՀԱՇՎԵԿՇՌԱՅԻՆ ՀԱՇԻՎՆԵՐՈՒՄ ՀԱՇՎԱՌՎՈՂ ԱԿՏԻՎՆԵՐԻ (ԲԱՑԱՌՈՒԹՅԱՄԲ ԻՆՎԵՍՏԻՑԻՈՆ ԱՐԺԵԹՂԹԵՐԻ) ԴՈՒՐՍԳՐՈՒՄԸ
44. Արտահաշվեկշռային հաշիվներում հաշվառվող ակտիվների դիմաց վճարումը (փոխհատուցում) ստանալիս.
1) հաշվեկշռում վերականգնվում է դուրս գրված ակտիվը կամ դրա մի մասը ակտիվի կամ դրա մի մասի` դուրսգրման պահի համախառն հաշվեկշռային արժեքի չափով թղթակցելով տվյալ ակտիվի հնարավոր կորուստների հատուկ պահուստի հաշվի հետ, իսկ ակտիվի գծով արտահաշվեկշռում արտացոլված գումարի և դուրս գրման պահի համախառն հաշվեկշռային արժեքի տարբերության չափով թղթակցելով տոկոսների և(կամ) տույժերի և տուգանքների տեսքով ստացվող եկամուտների արտացոլման համար նախատեսված համապատասխան հաշիվների հետ: Միևնույն ժամանակ, եթե արտարժութային ակտիվի կամ դրա մի մասի գծով դուրսգրման և վերականգնման պահերին առկա է վերագնահատումից տարբերություն, ապա վերջինս ուղղվում է արտարժույթի փոխարժեքային տարբերություններից ծախսերի կամ եկամուտների հաշիվներին,
2) վերականգնված ակտիվը կամ դրա մի մասը մարվում է` թղթակցելով դրամական միջոցների կամ համապատասխան այլ ակտիվի հաշվի հետ, իսկ պահուստը ճշգրտվում է` թղթակցելով վերականգնումից եկամուտների համապատասխան հաշիվների հետ,
3) ակտիվի գծով մասնակի վճարում կամ փոխհատուցում ստանալու դեպքում, ակտիվը հաշվեկշռում վերականգնվում է պարտապանի հետ կնքված հիմնական պայմանագրով սահմանված վճարման առաջնահերթությանը համապատասխան: Նման երկկողմանի համաձայնության բացակայության դեպքում՝ հաշվեկշռում վերականգնումը կատարվում է Հայաստանի Հանրապետության օրենսդրությամբ սահմանված առաջնահերթությանը համապատասխան:
45. Արտահաշվեկշռում հաշվառվող ակտիվները (կամ դրանց մի մասը) դուրս են գրվում արտահաշվեկշռային հաշիվներից.
1) Ընկերության կողմից ակտիվը (կամ դրա մի մասը) զիջելու (կամ ներելու) դեպքում,
2) ակտիվի (կամ դրա մի մասի) նկատմամբ պահանջի իրավունքի` Հայաստանի Հանրապետության օրենսդրությամբ սահմանված վաղեմության ժամկետը լրանալու դեպքում,
3) փոխառուի (պարտապանի)` Հայաստանի Հանրապետության օրենսդրությամբ սահմանված կարգով լուծարվելու դեպքում,
4) ֆիզիկական անձ փոխառուների (պարտապանների) մահանալու դեպքում, եթե անձի մահից հետո 5 տարվա ընթացքում ժառանգության կարգով անձի պարտավորությունները չեն փոխանցվում այլ անձանց,
5) ֆիզիկական անձ փոխառուների (պարտապանների)` օրենսդրությամբ սահմանված կարգով սնանկ ճանաչվելու դեպքում այն պարտավորությունների մասով, որոնցով ֆիզիկական անձի սնանկության գործն ավարտվել է պարտավորությունների կատարումից ազատելու մաuին դատարանի oրինական ուժի մեջ մտած վճռով:
46. Եթե ակտիվի (կամ դրա մի մասի) նկատմամբ պահանջի իրավունքի Հայաստանի Հանրապետության օրենսդրությամբ սահմանված վաղեմության ժամկետն ավելի ուշ է, քան պարտապանի` Հայաստանի Հանրապետության օրենսդրությամբ սահմանված կարգով սնանկ ճանաչման ժամկետն է, ապա արտահաշվեկշռային հաշիվներից ակտիվը (կամ դրանց մի մասը) դուրս են գրվում պարտապանի՝ Հայաստանի Հանրապետության օրենսդրությամբ սահմանված կարգով սնանկ ճանաչվելու պահից:
47. Նախորդ հաշվետու տարիներին (նախորդ հաշվետու տարիների հաշվարկը սկսվում է 2008 թվականից) համախառն եկամտից նվազեցրած ակտիվների (կամ դրանց մի մասի) գումարով, որոնց պահանջի իրավունքի վաղեմության ժամկետը լրացել է և որոնց համախառն հաշվեկշռային արժեքը յուրաքանչյուր պարտապանի գծով չի գերազանցում 1 միլիոն Հայաստանի Հանրապետության դրամը, համախառն եկամուտը չի ավելացվում, իսկ այն գումարների գծով, որոնց պահանջի իրավունքի վաղեմության ժամկետը լրացել է և որոնց համախառն հաշվեկշռային արժեքը յուրաքանչյուր պարտապանի գծով գերազանցում է 1 միլիոն Հայաստանի Հանրապետության դրամը, համախառն եկամուտը չի ավելացվում միայն այն դեպքում, երբ սույն կետում նշված գումարների պահանջի իրավունքի վաղեմության ժամկետը լրանալու պահին կամ մինչ այդ ապահովագրական ընկերությունը հայց է ներկայացրել դատարան պարտքի վերադարձման պահանջի վերաբերյալ և հայցը դատարանի կողմից ընդունվել է վարույթ:
48. Եթե ապահովագրական ընկերության հաշվեկշռում հաշվառվող ակտիվները (կամ դրանց մի մասը) ապահովագրական ընկերության կողմից անհատույց զիջվել են այլ անձի՝ մինչև դրանց անհուսալի ճանաչվելը կամ հաշվեկշռից դուրս գրվելը, ապա ապահովագրական ընկերության համար այդ ակտիվները համարվում են մարված և ներված (կամ անհատույց փոխանցված կամ անհատույց զիջված) և այդ գումարների չափով ավելացվում է ապահովագրական ընկերությունների հաշվետու տարվա համախառն եկամուտը:
49. Ապահովագրական ընկերությունների արտահաշվեկշռային հաշիվներում հաշվառվող ակտիվների (կամ դրանց մի մասի) ներման (կամ այլ ձևով պարտքը չպահանջելու վերաբերյալ պարտատիրոջ որոշման և (կամ) համաձայնության) կամ պահանջի իրավունքի զիջման (փոխանցման, այդ թվում՝ անհատույց) դեպքում ապահովագրական ընկերության համար ակտիվը համարվում է մարված և ներված (կամ անհատույց փոխանցված կամ անհատույց զիջված) և այդ գումարների չափով ավելացվում է ապահովագրական ընկերությունների հաշվետու տարվա համախառն եկամուտը:
50. Սույն Կանոնակարգի 47-րդ և 49-րդ կետերի համաձայն՝ շահութահարկով հարկման բազայի որոշման նպատակով ապահովագրական ընկերության հաշվետու ժամանակաշրջանի հարկվող եկամուտն ավելանում է արտահաշվեկշռում հաշվառվող ակտիվի այն գումարի չափով, որով ակտիվը (ներառյալ՝ տոկոսները, տույժերը և տուգանքները) դուրս է գրվել հաշվեկշռից:
51. Այն դեպքում, երբ ապահովագրական ընկերությունը սույն գլխով սահմանված դեպքերում դուրս է գրում ակտիվը, ապա ապահովագրական ընկերությունը մինչև դուրս գրելը պետք է ունենա այդ իրավաբանական անձի կամ անհատ ձեռնարկատիրոջ համաձայնությունը իրավաբանական անձի կամ անհատ ձեռնարկատիրոջ և ակտիվի վերաբերյալ տեղեկատվությունը Հայաստանի Հանրապետության պետական եկամուտների կոմիտե ներկայացնելու համար: Սույն ենթակետով սահմանված տեղեկատվությունը Հայաստանի Հանրապետության պետական եկամուտների կոմիտե ներկայացվում է տարեկան պարբերականությամբ՝ մինչև տվյալ տարվան հաջորդող տարվա փետրվարի 20-ը ներառյալ՝ սույն Կանոնակարգի Հավելված 1-ով սահմանված ձևաչափով՝ հաշվետու տարվա ընթացքում դուրս գրված ակտիվների մասով: Սույն Կանոնակարգը ուժի մեջ մտնելու օրվան հաջորդող երկրորդ ամսվա վերջին օրվա դրությամբ կնքված պայմանագրերի գծով սույն կետի պահանջը չի գործում, եթե անհնար է եղել ստանալ իրավաբանական անձի կամ անհատ ձեռնարկատիրոջ համաձայնություն։
ԳԼՈՒԽ 6. ԻՆՎԵՍՏԻՑԻՈՆ ԱՐԺԵԹՂԹԵՐԻ ԴԱՍԱԿԱՐԳՈՒՄԸ ԵՎ ՀՆԱՐԱՎՈՐ ԿՈՐՈՒՍՏՆԵՐԻ ՊԱՀՈՒՍՏԻ ՁԵՎԱՎՈՐՈՒՄԸ
52. Ինվեստիցիոն արժեթղթերի դասակարգումը ինվեստիցիոն արժեթղթերի խմբավորումն է հետևյալ 5 դասերի` համաձայն սույն Կանոնակարգի 62-րդ կետի.
1) Ոչ ռիսկային
2) Ռիսկային
3) Միջին ռիսկային
4) Բարձր ռիսկային
5) Անհուսալի:
53. Հնարավոր կորուստների պահուստ ձևավորվում է սույն Կանոնակարգի համաձայն չաշխատող դարձած ինվեստիցիոն արժեթղթերի համար:
54. Հնարավոր կորուստների պահուստ ձևավորվում է սույն Կանոնակարգի 9-րդ կետում նշված և 10-րդ կետի 2-րդ ենթակետի «գ» պարբերության պահանջներին բավարարող ժամկետային ու անժամկետ արժեթղթերի գծով և բոլոր այն ինվեստիցիոն արժեթղթերի գծով, որոնք չեն հաշվառվում իրական արժեքով:
55. Հնարավոր կորուստների պահուստ չի ձևավորվում սույն Կանոնակարգի 10-րդ կետի 2-րդ ենթակետի «ա» և «բ» պարբերություններում նշված շահույթ կամ վնասով վերաչափվող իրական արժեքով հաշվառվող ձեռք բերված կամ վաճառքի համար մատչելի՝ ինչպես ժամկետային, այնպես էլ անժամկետ արժեթղթերի գծով:
56. Հնարավոր կորուստների պահուստ չի ձևավորվում նաև սույն Կանոնակարգի 54-րդ կետում նշված ժամկետային ու անժամկետ արժեթղթերի գծով ստացվելիք գումարների (զեղչատոկոս, հավելավճար, շահաբաժիններ) համար: Ապահովագրական ընկերությունների եկամուտներին հաշվեգրված այդ գումարների դուրսգրումը կատարվում է սույն Կանոնակարգի 82-րդ կետին համապատասխան:
57. Մինչև մարման ժամկետը պահվող արժեթղթերի (ժամկետային) չաշխատող համարվելը, սույն Կանոնակարգով սահմանված չափով ձևավորվում է հնարավոր կորուստների պահուստ՝ հիմք ընդունելով համապատասխան արժեթղթի հաշվեկշռային արժեքը (անվանական արժեք հանած պահուստավորման օրվա դրությամբ զեղչատոկոսի մնացորդը):
58. Այլ անձանց կանոնադրական կապիտալներում կատարված ներդրումների չաշխատող դառնալուն պես, սույն Կանոնակարգով սահմանված չափով ձևավորվում է հնարավոր կորուստների պահուստ՝ հիմք ընդունելով համապատասխան արժեթղթի հաշվեկշռային արժեքը:
59. Մինչև մարման ժամկետը պահվող արժեթղթերը (ժամկետային) համարվում են չաշխատող, եթե լրացել է արժեթղթերի մարման ժամկետը և մարում տեղի չի ունեցել:
60. Անժամկետ արժեթղթերը համարվում են չաշխատող, եթե ապահովագրական ընկերությանը հայտնի է դարձել տեղեկատվություն սույն կետի 1-4-րդ ենթակետերով սահմանված դեպքերից որևէ մեկի վերաբերյալ.
1) Արժեթուղթը թողարկողը (այսուհետ թողարկող) գտնվում է նշանակալից ֆինանսական դժվարությունների մեջ,
2) Բարձր է թողարկողի ֆինանսական վերակազմակերպման հավանականությունը,
3) Ֆինանսական դժվարությունների հետևանքով այդ արժեթղթի կամ արժեթղթերի խմբի համար գործող շուկայի վերանալը,
4) Նախկին փորձի վերլուծությունը, որը ցույց է տալիս, որ ապահովագրական ընկերության կողմից տվյալ արժեթղթի ամբողջ անվանական արժեքը չի հավաքագրվելու:
61. Կենտրոնական բանկի վերահսկողության համար պատասխանատու ստորաբաժանման աշխատակիցները փաստերի վրա հիմնավորված կարծիքով արժեթղթերում ներդրումը կարող են որակել որպես չաշխատող, եթե․
1) տվյալ ներդրման գծով ապահովագրական ընկերությունը չի ստացել, կամ ստացել է շատ քիչ եկամուտ,
2) առկա են սույն Կանոնակարգի 60-րդ կետով չնախատեսված այլ դեպքեր, որի հետևանքով թողարկողի արժեթղթերը կարող են արժեզրկված լինել:
62. Ապահովագրական ընկերությունների կողմից ձեռք բերված, սույն Կանոնակարգի 54-րդ կետում նշված արժեթղթերի հնարավոր կորուստների պահուստին մասհանումները կատարվում են սույն կետով սահմանված Աղյուսակ 2-ում նշված դրույքաչափերը կիրառելով արժեթղթերի համախառն հաշվեկշռային արժեքների նկատմամբ:
Աղյուսակ 2
|
Արժեթղթերի դասակարգումն ըստ դրանց չաշխատող դառնալուց հետո անցած օրերի |
Արժեթղթի դասը և դրան համապատասխան պահուստին կատարվող մասհանումների չափ (%) |
|
1. Արժեթղթի ձեռքբերման պահին |
Ոչ ռիսկային 2 |
|
2. Արժեթղթի մարման ժամկետը լրանալու պահից մինչև 60-րդ օրը ներառյալ |
Ռիսկային 20 |
|
3. Արժեթղթի մարման ժամկետը լրանալու 61-րդ օրվանից մինչև 90-րդ օրը ներառյալ |
Միջին ռիսկային 50 |
|
4. Արժեթղթի մարման ժամկետը լրանալու 91-րդ օրվանից մինչև 180-րդ օրը ներառյալ |
Բարձր ռիսկային 70 |
|
5. Արժեթղթի մարման ժամկետը լրանալու 181-րդ օրվանից |
Անհուսալի 100 |
63. Գնանշվող բաժնետոմսերի հնարավոր կորուստների պահուստին մասհանումները կատարվում են թողարկողի բաժնետոմսերի ամբողջ պորտֆելի գծով՝ դրա շուկայական միջին արժեքը հաշվեկշռային (ձեռքբերման) միջին արժեքի համեմատությամբ նվազելու (այսինքն`չաշխատող դառնալու) դեպքում: Տվյալ թողարկողի բաժնետոմսի հաշվեկշռային միջին արժեքը որոշվում է որպես դրանց ձեռքբերման փաստացի արժեքների միջին կշռված մեծություն:
64. Սույն Կանոնակարգի նպատակներով տվյալ թողարկողի գնանշվող բաժնետոմսի միջին շուկայական արժեքը որոշվում է որպես ձեռքբերման օրը ներառող ամսվան նախորդող 3 ամիսների ընթացքում բորսայում տվյալ բաժնետոմսի շրջանառության ծավալներով կշռված առք ու վաճառքի միջին գին: Եթե բաժնետոմսի գնանշման ժամկետը 3 ամսից փոքր է, ապա բաժնետոմսի միջին շուկայական արժեքը որոշվում է որպես ձեռքբերման օրվան նախորդող օրերի ընթացքում բորսայում տվյալ բաժնետոմսի շրջանառության ծավալներով կշռված առք ու վաճառքի միջին գին:
65. Գնանշվող բաժնետոմսերի համար պահուստին կատարվող մասհանումների գումարը որոշվում է հետևյալ բանաձևով.
Մ(1) = (ՀԱ - ՇԱ) x Ք - ՆՊ,
Որտեղ՝
Մ(1) - պահուստին կատարվող մասհանումների գումարն է,
ՀԱ - բաժնետոմսերի հաշվեկշռային միջին արժեքն է,
ՇԱ - բաժնետոմսի միջին շուկայական արժեքն է,
Ք - տվյալ թողարկողի արժեթղթերի քանակն է,
ՆՊ - տվյալ բաժնետոմսի պորտֆելի գծով նախկինում ձևավորված պահուստի մեծությունն է:
66. Եթե գնանշվող բաժնետոմսերը ապահովագրական ընկերության կողմից դասակարգվել են որպես շահույթ կամ վնասով վերաչափվող իրական արժեքով հաշվառվող ձեռք բերված կամ վաճառքի համար մատչելի, սակայն չեն օտարվել մեկ տարվա ընթացքում, ապա դրանց գծով ձևավորվում է հնարավոր կորուստների պահուստ՝ սույն Կանոնակարգի 65-րդ կետում նշված կարգով: Ընդ որում, եթե այդ ընթացքում նշված բաժնետոմսի շուկայական նվազեցումներն արտացոլվել են դրանց շուկայական արժեքի ճշտման հաշիվներում, ապա դրանց կրեդիտային մնացորդների չափով կատարվում է ճշտում (ծախսերի կամ կապիտալի բաժնի համապատասխան հաշիվների հետ թղթակցությամբ)՝ այդ գումարը ձևակերպելով որպես բաժնետոմսերի գծով ձևավորվող պահուստի սկզբնական մեծություն:
67. Եթե ապահովագրական ընկերությունը մտադրվում է սույն Կանոնակարգի 10-րդ կետի 2-րդ ենթակետի «գ» պարբերությունում դասակարգված արժեթղթերը վաճառել և դրանք հաշվառման է վերցնում «Վաճառքի համար մատչելի արժեթղթեր» հաշվում, ապա կատարվում է դրանց գծով նախկինում պահուստավորված գումարի ճշտում (համապատասխան չափով պակասեցնելով ծախսերը)՝ միաժամանակ նույն գումարն արտացոլելով այդ արժեթղթերի շուկայական արժեքի ճշտման հաշվով՝ կապիտալի բաժնի համապատասխան հաշվի հետ թղթակցությամբ:
68. Չգնանշվող բաժնետոմսերի (ներդրումների) պահուստին մասհանումներ կատարվում են յուրաքանչյուր թողարկողի բաժնետոմսերի և (կամ) ներդրման ամբողջ գումարի գծով՝ դրանց ընթացիկ արժեքը հաշվեկշռային (ձեռքբերման) միջին արժեքի համեմատությամբ նվազելու (չաշխատող դառնալու) դեպքում: Բացասական մեծության դեպքում այդ գումարի չափով նվազեցվում է նախկինում ձևավորված պահուստը:
69. Չգնանշվող բաժնետոմսերի հաշվեկշռային միջին արժեքը որոշվում է որպես նախորդող ամիսների ընթացքում դրանց ձեռքբերման արժեքների միջին կշռված մեծություն: Յուրաքանչյուր թողարկողի չգնանշվող բաժնետոմսի ընթացիկ արժեքը որոշվում է հետևյալ բանաձևով.
Որտեղ՝
ԸԱ(1) - տվյալ թողարկողի մեկ բաժնետոմսի ընթացիկ արժեքն է,
Ա - թողարկողի ակտիվների հանրագումարն է,
Պ - թողարկողի պարտավորություններն են,
Ք - տեղաբաշխված բաժնետոմսերի ընդհանուր քանակն է,
Գ - արժեքի ճշտման գործակից, որը բնութագրում է թողարկողի ֆինանսական կայունությունը:
70. Թողարկողի ֆինանսական կայունությունը բնութագրող Գ գործակցի մեծությունը սահմանվում է՝ կախված թողարկողի ընթացիկ ակտիվների (Աշ) և ընդհանուր ակտիվների (Աը) հարաբերակցությունից հետևյալ միջակայքերում.
| 1) Գ-=1, | եթե Աշ/ Աը > 0.5 |
| 2) Գ= 0.7, | եթե 0.5>Աշ/Աը> 0.3 |
| 3) Գ= 0.5, | եթե Աշ/Աը < 0.3: |
71. Ներդրումների ընթացիկ արժեքը որոշվում է հետևյալ բանաձևով.
ԸԱ(2) = (Ա - Պ) x Ն (%) x Գ,
Որտեղ՝
Ն (%) - կանոնադրական կապիտալում ներդրումն է (բաժնեմասը) տոկոսային արտահայտությամբ,
Ա, Պ, Գ - 69-րդ կետում նշված տարրերն են:
72. Պահուստին կատարվող մասհանումների գումարը որոշվում է հետևյալ բանաձևերի միջոցով.
1) չգնանշվող բաժնետոմսի համար՝
Մ(2) = (ՀԱ - ԸԱ(1)) x Ք - ՆՊ,
Որտեղ՝
Մ(2) - պահուստին կատարվող մասհանումների գումարն է,
ՀԱ - բաժնետոմսի հաշվեկշռային միջին արժեքն է,
ԸԱ(1) - տվյալ թողարկողի մեկ բաժնետոմսի ընթացիկ արժեքն է,
Ք - տվյալ թողարկողի բաժնետոմսերի քանակն է,
ՆՊ - տվյալ բաժնետոմսի գծով նախկինում ձևավորված պահուստի մեծությունն է.
2) ներդրումների համար՝
Մ(3) = ՀՆ - ԸԱ(2) - ՆՊ,
Որտեղ՝
ՀՆ - ներդրումների հաշվեկշռային արժեքն է,
ԸԱ(2) - ներդրումների ընթացիկ արժեքն է,
ՆՊ - տվյալ ներդրման գծով նախկինում ձևավորված պահուստի մեծությունն է:
73. Ապահովագրական ընկերությունների կողմից չգնանշվող բաժնետոմսերի վերադասակարգման դեպքերում (սույն Կանոնակարգի 10-րդ կետի 2-րդ ենթակետի «ա» և «բ» պարբերություններից «գ» պարբերությանը կամ հակառակը) պահուստի մեծության ճշտումները կատարվում են սույն Կանոնակարգի 66-րդ և 67-րդ կետերում նախատեսված կարգով:
74. Չգնանշվող բաժնետոմսերի և (կամ) ներդրումների գնահատումն ու պահուստի մեծության ճշտումը ապահովագրական ընկերություններն իրականացնում են ինքնուրույն, իրենց կողմից ընտրված պարբերականությամբ, սակայն ոչ պակաս, քան հաշվետու տարին մեկ անգամ (թողարկողի ֆինանսական հաշվետվությունների արդյունքներով):
ԳԼՈՒԽ 7. ԻՆՎԵՍՏԻՑԻՈՆ ԱՐԺԵԹՂԹԵՐԻ ԱՆՀՈՒՍԱԼԻ ՃԱՆԱՉՈՒՄԸ
75. Մինչև մարման ժամկետը պահվող (ժամկետային) արժեթղթերն անհուսալի են ճանաչվում չաշխատող դառնալու 181-րդ օրը, ինչպես նաև այն դեպքում, երբ թողարկողն օրենսդրությամբ սահմանված կարգով սնանկ է ճանաչվել, լուծարվել է առանց իրավահաջորդության կամ վավերացվել է վերջինիս կողմից պարտքի մարման անհնարինությունը՝ անկախ արժեթղթերի մարման ժամկետը լրանալուց և նպատակայնությունից:
76. Անժամկետ արժեթղթերն անհուսալի են ճանաչվում չաշխատող դառնալու 181-րդ օրը, ինչպես նաև այն դեպքում, երբ թողարկողն օրենսդրությամբ սահմանված կարգով սնանկ է ճանաչվել կամ լուծարվել է առանց իրավահաջորդության:
77. Ժամկետային և անժամկետ արժեթղթերի գծով հաշվեկշռում ճանաչված հավելավճարների մնացորդները մինչև արժեթղթերի անհուսալի ճանաչվելը շարունակում են ամորտիզացվել (ծախսագրվել) սահմանված ժամկետում, իսկ նշված արժեթղթերը անհուսալի ճանաչելու և հաշվեկշռից դուրս գրելուն պես, միանգամից ծախսագրվում են ամբողջ գումարի չափով և շարունակում են հաշվառվել արտահաշվեկշռային համապատասխան հաշիվներում: Ընդ որում, արտահաշվեկշռում արժեթղթերը շարունակվում են արտացոլվել այն արժեքով, որով կարտացոլվեին հաշվեկշռում հաշվառվելու դեպքում` առանց թղթակցելու համապարփակ եկամտի հաշիվների հետ:
ԳԼՈՒԽ 8. ԻՆՎԵՍՏԻՑԻՈՆ ԱՐԺԵԹՂԹԵՐՈՎ ՆԵՐԴՐՈՒՄՆԵՐԻ ՀՆԱՐԱՎՈՐ ԿՈՐՈՒՍՏՆԵՐԻ ՊԱՀՈՒՍՏԻ ՕԳՏԱԳՈՐԾՄԱՆ ԿԱՐԳԸ
78. Պահուստի միջոցներն օգտագործվում են բացառապես սույն Կանոնակարգի համաձայն անհուսալի ճանաչված արժեթղթերի դուրսգրման համար: Եթե տվյալ արժեթղթի գծով ձևավորված պահուստի միջոցները չեն բավարարում դրանց արժեքի դուրսգրման համար, ապա այդ տարբերության չափով լրացուցիչ մասհանում է կատարվում պահուստին և այնուհետև անհուսալի ճանաչված արժեթղթերի արժեքը դուրս է գրվում պահուստի միջոցների հաշվին:
79. Եթե արժեթղթերը դառնում են աշխատող, այսինքն դադարում են սույն Կանոնակարգի 59-րդ և 60-րդ կետով նախատեսված դեպքերը, ապա այդ արժեթղթերի գծով ծախսերի հաշվին ձևավորված պահուստը թղթակցում է եկամուտների համապատասխան հաշվի հետ:
80. Եթե արժեթղթերը ճանաչվում են անհուսալի, դրանք նույն օրվա ընթացքում պետք է դուրս գրվեն հաշվեկշռից ինվեստիցիոն արժեթղթերի հնարավոր կորուստների պահուստի հաշվին և շարունակվեն հաշվառվել արտահաշվեկշռային համապատասխան հաշիվներում:
81. Արժեթղթերի գծով պարտավորության լրիվ կամ մասնակի մարման կամ արժեթղթերի օտարման պահին համապատասխան չափով ճշտվում է պահուստի ընդհանուր մեծությունը, կատարված մասհանումների գումարներն ուղղելով Ընկերության՝ տվյալ հաշվետու ժամանակահատվածի եկամուտներին:
82. Սույն Կանոնակարգի 56-րդ կետում նշված այն գումարները, որոնք սահմանված կարգի համաձայն հաշվեգրվել են ապահովագրական ընկերության եկամուտներին, սակայն չեն մարվել (վճարվել) նախատեսված ժամկետներում, դուրս են գրվում՝
1) դրանց ժամկետանց դառնալու օրվանից հաշված 90-րդ օրը,
2) սույն Կանոնակարգին համապատասխան անհուսալի ճանաչված արժեթղթերի դուրսգրման օրը:
ԳԼՈՒԽ 9. ԱՐՏԱՀԱՇՎԵԿՇՌԱՅԻՆ ՀԱՇԻՎՆԵՐՈՒՄ ՀԱՇՎԱՌՎՈՂ ԱՐԺԵԹՂԹԵՐԻ ԴՈՒՐՍԳՐՈՒՄԸ
83. Արտահաշվեկշռային հաշիվներում հաշվառվող արժեթղթերի դիմաց վճարում (փոխհատուցում) ստանալիս, կամ դրանք օտարելիս.
1) հաշվեկշռում վերականգնվում է դուրս գրված արժեթուղթը կամ դրա մի մասը՝ արժեթղթի կամ դրա մի մասի` դուրսգրման պահի համախառն հաշվեկշռային արժեքի չափով թղթակցելով տվյալ արժեթղթի հնարավոր կորուստների պահուստի հաշվի հետ, իսկ արժեթղթի գծով արտահաշվեկշռում արտացոլված գումարի և դուրս գրման պահի համախառն հաշվեկշռային արժեքի տարբերության չափով թղթակցելով տոկոսների և (կամ) տույժերի և տուգանքների գծով եկամուտների արտացոլման համար նախատեսված համապատասխան հաշիվների հետ: Միևնույն ժամանակ, եթե արտարժութային արժեթղթի կամ դրա մի մասի գծով դուրսգրման և վերականգնման պահերին առկա է վերագնահատումից տարբերություն, ապա վերջինս ուղղվում է արտարժույթի փոխարժեքային տարբերություններից ծախսերի կամ եկամուտների հաշիվներին,
2) վերականգնված ակտիվը մարվում է՝ թղթակցելով դրամական միջոցների կամ համապատասխան այլ ակտիվի հաշվի հետ,
3) վերականգնված պահուստի գումարներն ամբողջությամբ հաշվեգրվում են Ընկերության տվյալ հաշվետու ժամանակահատվածի եկամուտներին:
84. Արտահաշվեկշռում հաշվառվող արժեթղթերը (կամ դրանց մի մասը) դուրս են գրվում արտահաշվեկշռային հաշիվներից.
1) Ապահովագրական ընկերության կողմից արժեթուղթը (կամ դրա մի մասը) զիջելու (կամ ներելու) դեպքում,
2) արժեթղթերի (կամ դրանց մի մասի) նկատմամբ պահանջի իրավունքի` Հայաստանի Հանրապետության օրենսդրությամբ սահմանված վաղեմության ժամկետը լրանալու դեպքում,
3) փոխառուի (պարտապանի)` Հայաստանի Հանրապետության օրենսդրությամբ սահմանված կարգով լուծարվելու դեպքում,
4) ֆիզիկական անձ փոխառուների (պարտապանների) մահանալու դեպքում, եթե ժառանգության կարգով անձի պարտավորությունները չեն փոխանցվում այլ անձանց,
5) ֆիզիկական անձ փոխառուների (պարտապանների)` օրենսդրությամբ սահմանված կարգով սնանկ ճանաչվելու դեպքում այն պարտավորությունների մասով, որոնցով ֆիզիկական անձի սնանկության գործն ավարտվել է պարտավորությունների կատարումից ազատելու մաuին դատարանի oրինական ուժի մեջ մտած վճռով:
85. Եթե ընկերության հաշվեկշռում հաշվառվող արժեթղթերը (կամ դրանց մի մասը) ապահովագրական ընկերության կողմից այլ անձի անհատույց զիջվել են (կամ ներվել) մինչև դրանց անհուսալի ճանաչվելը և (կամ) հաշվեկշռից դուրս գրվելը, դրանք չեն հանդիսանում շահութահարկով հարկման բազայի որոշման նպատակով համախառն եկամտի նվազեցումներ:
86. Ապահովագրական ընկերության արտահաշվեկշռային հաշիվներում հաշվառվող և արդեն իսկ դուրս գրված արժեթղթերի և (կամ) զեղչատոկոսի (կամ դրանց մի մասի) ներման (անհատույց զիջման) դեպքում այդ գումարները համարվում են մարված կամ ներված (կամ անհատույց փոխանցված կամ անհատույց զիջված) և այդ գումարների չափով ավելացվում է ապահովագրական ընկերությունների համախառն եկամուտը:
87. Արտահաշվեկշռում հաշվառվող արժեթղթերի (կամ դրանց մի մասի) նկատմամբ պահանջի իրավունքի Հայաստանի Հանրապետության օրենսդրությամբ սահմանված վաղեմության ժամկետը լրանալու հիմքով արտահաշվեկշռային հաշիվներից արժեթղթերը (կամ դրանց մի մասը) դուրս գրելու դեպքում, այդ գումարների չափով ավելացվում է ապահովագրական ընկերությունների համախառն եկամուտը:
88. Նախորդ հաշվետու տարիներին, (նախորդ հաշվետու տարիների հաշվարկը սկսվում է 2008 թվականից) համախառն եկամտից նվազեցրած արժեթղթերի (կամ դրանց մի մասի) գումարով, որոնց պահանջի իրավունքի վաղեմության ժամկետը լրացել է և որոնց գումարը յուրաքանչյուր թողարկողի գծով չի գերազանցում մեկ միլիոն Հայաստանի Հանրապետության դրամը, համախառն եկամուտը չի ավելացվում: Այն գումարների գծով, որոնց պահանջի իրավունքի վաղեմության ժամկետը լրացել է և որոնց գումարը յուրաքանչյուր թողարկողի գծով մեկ միլիոն է կամ գերազանցում է մեկ միլիոն Հայաստանի Հանրապետության դրամը համախառն եկամուտը չի ավելացվում միայն այն դեպքում, երբ այդ գումարների պահանջի իրավունքի վաղեմության ժամկետը լրանալու պահին կամ մինչ այդ ապահովագրական ընկերությունը հայց է ներկայացրել դատարան պարտքի վերադարձման պահանջի վերաբերյալ:
ԳԼՈՒԽ 10. ԱՅԼ ԴՐՈՒՅԹՆԵՐ
89. Ապահովագրական ընկերությունները, ելնելով իրենց բնականոն գործունեության ապահովման անհրաժեշտությունից, պետք է ունենան ակտիվների դասակարգման և հնարավոր կորուստների պահուստների ձևավորման ներքին կանոնակարգ` սույն Կանոնակարգի դրույթներին համապատասխան:
90. Սույն Կանոնակարգի ուժի մեջ մտնելու պահից դասակարգվում են ոչ միայն հաշվեկշռում, այլև արտահաշվեկշռային հաշիվներում հաշվառվող ակտիվները:
91. Սույն Կանոնակարգը սահմանված է բացառապես ապահովագրական ընկերությունների գործունեության կարգավորման և ապահովագրական ընկերությունների հարկային հաշվառման կարգավորման նպատակով և դատարանի, պետական կառավարման մարմինների, ապահովագրական ընկերության կամ ապահովադիրների կամ որևէ այլ անձի կողմից Կանոնակարգի որևէ դրույթ կամ հասկացություն չի կարող մեկնաբանվել, վկայակոչվել կամ կիրառվել որպես ապահովագրական ընկերության և ապահովադիրների կամ երրորդ անձանց միջև իրավահարաբերությունները կարգավորող կամ այդ հարաբերությունները սահմանափակող դրույթ:
92. Սույն Կանոնակարգը չի տարածվում այն արժեթղթերի (բացառությամբ սույն Կանոնակարգի 55-րդ կետում նշված արժեթղթերի) վրա, որոնք գնանշվում են Հայաստանի Հանրապետության կենտրոնական բանկի խորհրդի 2007 թվականի հունիսի 12-ի թիվ 174Ն որոշմամբ հաստատված «Արժեթղթավորման հիմնադրամների գրանցումը և գործունեության նկատմամբ պահանջները» Կանոնակարգ 6/01-ով սահմանված ֆոնդային բորսաներում:
93. Ստանդարտ և հսկվող դասակարգված սուբրոգացիայի հետևանքով առաջացած պահանջները սույն Կանոնակարգի ուժի մեջ մտնելու պահից դասակարգվում են որպես կասկածելի ակտիվներ, իսկ ոչ ստանդարտ և կասկածելի դասակարգված սուբրոգացիայի հետևանքով առաջացած պահանջները սույն Կանոնակարգի ուժի մեջ մտնելու պահից դասակարգվում են որպես անհուսալի ակտիվներ:
Հավելված 1
Հաշվետվություն
Իրավաբանական անձանց և անհատ ձեռնարկատերերի օգտին դուրսգրված ակտիվների վերաբերյալ
Հաշվետու ժամանակահատված՝ օր.ամիս.տարի մինչև օր.ամիս.տարի (XX.XX.XXXX)
|
(հազ. ՀՀ դրամ) |
|
Իրավա-բանական անձի անվանումը, անհատ ձեռնարկա-տիրոջ անունը, ազգանունը |
Իրավա-բանական անձանց/ անհատ ձեռնարկա-տիրոջ ՀՎՀՀ |
Ակտիվը դուրս գրելու որոշման |
Դուրսգրված ակտիվի ընդհանուր գումարը, այդ թվում՝ |
Դուրսգրված ակտիվի մայր գումարը |
Դուրսգրված տոկոսա-գումարը |
Հաշվեկշռում հաշվեգրված դուրսգրված տույժեր և տուգանքներ |
Արտահաշ-վեկշռում հաշվեգրված դուրսգրված տոկոսներ, տույժեր և տուգանքներ | |
|
համարը, |
ամսաթիվը | |||||||
Պաշտոնական հրապարակման օրը՝ 25 փետրվարի 2021 թվական: