«Վավերացնում եմ»
Հայաստանի Հանրապետության
Նախագահ Ռ. Քոչարյան
6 հուլիսի 2005 թ.
ՀԱՅԱՍՏԱՆԻ ՀԱՆՐԱՊԵՏՈՒԹՅԱՆ ԿԱՌԱՎԱՐՈՒԹՅՈՒՆ
Ո Ր Ո Շ ՈՒ Մ
9 հունիսի 2005 թվականի N 875-Ն
ՀԱՅԱՍՏԱՆԻ ՀԱՆՐԱՊԵՏՈՒԹՅԱՆ ԱՐԱԳԱԾՈՏՆԻ ՄԱՐԶԻ ԼԵՌՆԱՐՈՏԻ ԳՅՈՒՂԱԿԱՆ ՀԱՄԱՅՆՔԻ ՎԱՐՉԱԿԱՆ ՍԱՀՄԱՆՆԵՐԻ ՆԿԱՐԱԳԻՐԸ ՀԱՍՏԱՏԵԼՈՒ ԵՎ ԼԵՌՆԱՐՈՏԻ ԳՅՈՒՂԱԿԱՆ ՀԱՄԱՅՆՔԻ ՎԱՐՉԱԿԱՆ ՍԱՀՄԱՆՆԵՐՈՒՄ ԳՏՆՎՈՂ` ՊԵՏԱԿԱՆ ՍԵՓԱԿԱՆՈՒԹՅՈՒՆ ՀԱՆԴԻՍԱՑՈՂ ՀՈՂԱՄԱՍԵՐՆ ԱՆՀԱՏՈՒՅՑ ՍԵՓԱԿԱՆՈՒԹՅԱՆ ԻՐԱՎՈՒՆՔՈՎ ՀԱՄԱՅՆՔԻՆ ՓՈԽԱՆՑԵԼՈՒ ՄԱՍԻՆ
Հայաստանի Հանրապետության հողային օրենսգրքի 34-րդ ու 56-րդ, «Տեղական ինքնակառավարման մասին» Հայաստանի Հանրապետության օրենքի 6-րդ, 47-րդ ու 84-րդ և «Հայաստանի Հանրապետության վարչատարածքային բաժանման մասին» Հայաստանի Հանրապետության օրենքի 6-րդ հոդվածների պահանջներին համապատասխան` Հայաստանի Հանրապետության կառավարությունը որոշում է.
1. Հաստատել Հայաստանի Հանրապետության Արագածոտնի մարզի Լեռնարոտի գյուղական համայնքի վարչական սահմանների նկարագիրը` համաձայն NN 1 և 2 հավելվածների:
2. Հայաստանի Հանրապետության Արագածոտնի մարզի Լեռնարոտի գյուղական համայնքի վարչական սահմաններում գտնվող՝ պետական սեփականություն հանդիսացող 1278.89 հեկտար հողամասերից 1220.64 հեկտարը, որից՝ գյուղատնտեսական նշանակության՝ 1186.88 հեկտար, բնակավայրերի հողերի՝ 30.24 հեկտար, արդյունաբերության, ընդերքօգտագործման և այլ արտադրական նշանակության օբյեկտների՝ 2.77 հեկտար, էներգետիկայի, տրանսպորտի, կապի և կոմունալ ենթակառուցվածքների օբյեկտների՝ 0.02 հեկտար, հատուկ պահպանվող տարածքների՝ 0.36 հեկտար, ջրային հողերի՝ 0.37 հեկտար, անհատույց սեփականության իրավունքով փոխանցել Լեռնարոտի գյուղական համայնքին՝ համաձայն NN 3, 4, 5 և 6 հավելվածների:
3. Սահմանել, որ Հայաստանի Հանրապետության հողային օրենսգրքի 60-րդ հոդվածի պահանջներին համապատասխան՝
ա) Հայաստանի Հանրապետության Արագածոտնի մարզի Լեռնարոտի գյուղական համայնքին անհատույց սեփականության իրավունքով փոխանցվող 1220.64 հեկտար հողերից 12.37 հեկտարը մասնավորեցման ենթակա չէ.
բ) Հայաստանի Հանրապետության Արագածոտնի մարզի Լեռնարոտի գյուղական համայնքի վարչական սահմաններում գտնվող հողերից 58.25 հեկտարը համարվում է պետական սեփականություն՝ համաձայն N 7 հավելվածի:
4. Ընդունել ի գիտություն Հայաստանի Հանրապետության Արագածոտնի մարզի Լեռնարոտի գյուղական համայնքի հողային ֆոնդի առկայության և բաշխման մասին հաշվետվությունը՝ 2005 թվականի հունվարի 1-ի դրությամբ՝ համաձայն NN 8 և 9 հավելվածների:
5. Հայաստանի Հանրապետության կառավարությանն առընթեր անշարժ գույքի կադաստրի պետական կոմիտեի նախագահին` սահմանված կարգով ապահովել սկզբնական հաշվառման նյութերի տրամադրումը Հայաստանի Հանրապետության Արագածոտնի մարզի Լեռնարոտի գյուղական համայնքի ղեկավարին՝ հողերի ընթացիկ հաշվառումն անցկացնելու և համայնքի հողային հաշվեկշիռը կազմելու համար:
6. Թույլատրել Հայաստանի Հանրապետության կառավարությանն առընթեր անշարժ գույքի կադաստրի պետական կոմիտեի նախագահին` Հայաստանի Հանրապետության պետական գեոդեզիական ցանցի հավասարակշռման արդյունքների հիման վրա Հայաստանի Հանրապետության վարչատարածքային միավորների սահմանանիշերի կոորդինատների ժողովածուի հրատարակումից հետո հողային ֆոնդի ընթացիկ հաշվառման ժամանակ հաստատել Հայաստանի Հանրապետության Արագածոտնի մարզի Լեռնարոտի գյուղական համայնքի հողային հաշվեկշռում սահմանված կարգով կատարել համապատասխան փոփոխություններ:
7. Հայաստանի Հանրապետության Արագածոտնի մարզպետին՝ Հայաստանի Հանրապետության կառավարության 2000 թվականի հոկտեմբերի 23-ի N 656 որոշմամբ սահմանված կարգով՝ սկզբնական հաշվառման տվյալների հիման վրա ապահովել մարզի տարածքում ընթացիկ հաշվառման աշխատանքների իրականացումը:
8. Սույն որոշումն ուժի մեջ է մտնում պաշտոնական հրապարակմանը հաջորդող օրվանից։
|
|
Ա. Մարգարյան |
|
|
|
|
ՀԱՅԱՍՏԱՆԻ ՀԱՆՐԱՊԵՏՈՒԹՅԱՆ ԱՐԱԳԱԾՈՏՆԻ ՄԱՐԶԻ ԼԵՌՆԱՐՈՏԻ ԳՅՈՒՂԱԿԱՆ ՀԱՄԱՅՆՔԻ ՎԱՐՉԱԿԱՆ ՍԱՀՄԱՆՆԵՐԻ ՀԱՏԱԿԱԳԻԾԸ
Հայաստանի Հանրապետության կառավարության աշխատակազմի ղեկավար-նախարար |
Մ. Թոփուզյան |
|
|
ՀՀ ԱՐԱԳԱԾՈՏՆԻ ՄԱՐԶԻ ԼԵՌՆԱՐՈՏԻ ԳՅՈՒՂԱԿԱՆ ՀԱՄԱՅՆՔԻ ՎԱՐՉԱԿԱՆ ՍԱՀՄԱՆՆԵՐԻ ՆԿԱՐԱԳՐՈՒԹՅՈՒՆԸ
Լեռնարոտ համայնքը գտնվում է մարզի հարավային մասում:
Հեռավորությունը մարզկենտրոն ք. Աշտարակից` 30 կմ է:
Համայնքը հյուսիս-արևելքից` «Ա»-«Բ» հատվածով սահմանակից է Արագածոտնի մարզի համայնքների վարչական սահմաններից դուրս գտնվող հողերին, հարավ-արևելքից` «Բ»-«Գ» հատվածով` Վ. Սասունիկ համայնքին, հարավից` «Գ»-«Դ» հատվածով` Շամիրամ համայնքին, հարավ-արևմուտքից` «Դ»-«Ե» հատվածով` Թալինի շրջանի Ագարակ համայնքին, հյուսիս-արևմուտքից` «Ե»-«Ա» հատվածով` Դիան համայնքին:
ԼԵՌՆԱՐՈՏ-ԱՐԱԳԱԾՈՏՆԻ ՄԱՐԶԻ ՀԱՄԱՅՆՔՆԵՐԻ ՎԱՐՉԱԿԱՆ ՍԱՀՄԱՆՆԵՐԻՑ ԴՈՒՐՍ ԳՏՆՎՈՂ ՀՈՂԵՐԻ ՍԱՀՄԱՆԱԳԻԾԸ` «Ա»-«Բ»
Լեռնարոտ, Դիան համայնքների, Արագածոտնի մարզի համայնքների վարչական սահմաններից դուրս գտնվող հողերի տարածքների բաժանման «Ա» հանգուցային կետից սահմանագիծը ձորով անցնում է հարավ-արևելք` 177.35 մ, հասնում թիվ 1 կետին, որից հետո թեքվում է արևելք, լանջով անցնելով թիվ 2-3 կետերով` 1619.9 մ, հասնում թիվ 4 կետին: Թիվ 4 կետից սահմանագիծը կտրուկ թեքվում է հարավ-արևելք, լանջով հասնում է ջրային սահմանի թիվ 5 կետին, այնուհետև սահմանագիծը գետակով անցնում է հարավ-արևմուտք, ապա արևելք, հասնում Լեռնարոտ, Վ. Սասունիկ համայնքների և Արագածոտնի մարզի վարչական սահմաններից դուրս գտնվող հողերի բաժանման «Բ» հանգուցային կետին:
«Ա»-«Բ» սահմանագծի ընդհանուր երկարությունը` 5016.4 մ է:
ԼԵՌՆԱՐՈՏ-Վ. ՍԱՍՈՒՆԻԿ ՍԱՀՄԱՆԱԳԻԾԸ` «Բ»-«Գ»
Լեռնարոտ, Վ. Սասունիկ համայնքների և Արագածոտնի մարզի համայնքների վարչական սահմաններից դուրս գտնվող հողերի բաժանման «Բ» հանգուցային կետից սահմանագիծն անցնում է հարավ-արևմուտք` թիվ 1-5 կետերով` 2051.5 մ, հատելով Վ. Սասունիկ-Լեռնարոտ մարզային ճանապարհը, հասնում է թիվ 6 կետին: Թիվ 6 կետից նույն ուղղությամբ անցնելով թիվ 7 կետով` 898.6 մ, հասնում է թիվ 8 կետը, որից թեքվում է դեպի հարավ, անցնում թիվ 9-11 կետերով` 588.7 մ, հասնում միանում թիվ 12 կետին: Թիվ 12 կետից սահմանագիծը թեքվում է հարավ-արևմուտք, անցնում թիվ 13-15 կետերով` 1032.4 մ, հասնում թիվ 16 կետին, որտեղից թեքվելով հարավ-արևելք և անցնելով 257.0 մ, հասնում Շամիրամ, Լեռնարոտ և Վ. Սասունիկ համայնքների տարածքների բաժանման «Գ» հանգուցային կետին:
«Բ»-«Գ» սահմանագծի ընդհանուր երկարությունը` 4828.2 մ է:
ԼԵՌՆԱՐՈՏ-ՇԱՄԻՐԱՄ ՍԱՀՄԱՆԱԳԻԾԸ` «Գ»-«Դ»
Լեռնարոտ, Շամիրամ և Ագարակ համայնքների տարածքների բաժանման «Դ» հանգուցային կետից սահմանագիծը լանջով անցնում է հյուսիս-արևելք` 289.1 մ և հասնում Շամիրամ, Լեռնարոտ և Վ. Սասունիկ համայնքների տարածքների բաժանման «Գ» հանգուցային կետին:
«Գ»-«Դ» սահմանագծի ընդհանուր երկարությունը` 289.1 մ է:
ԼԵՌՆԱՐՈՏ-ԱԳԱՐԱԿ ՍԱՀՄԱՆԱԳԻԾԸ` «Դ»-«Ե»
Լեռնարոտ, Դիան և Ագարակ համայնքների տարածքների բաժանման «Ե» հանգուցային կետից սահմանագիծը ձորով իջնում է հարավ, հասնում թիվ 1 կետին, որտեղից կտրուկ թեքվում հարավ-արևելք, անցնելով թիվ 2-6 կետերով, հատելով ձորակներ և ջրբաժաններ, հասնում է Լեռնարոտ, Շամիրամ և Ագարակ համայնքների տարածքների բաժանման «Դ» հանգուցային կետին:
«Դ»-«Ե» սահմանագծի ընդհանուր երկարությունը` 3584.3 մ է:
ԼԵՌՆԱՐՈՏ-ԴԻԱՆ ՍԱՀՄԱՆԱԳԻԾԸ` «Ե»-«Ա»
Լեռնարոտ, Դիան համայնքների և մարզի համայնքների վարչական սահմաններից դուրս գտնվող հողերի տարածքների բաժանման «Ա» հանգուցային կետից սահմանագիծը, անցնելով հարավ, ձորով հասնում է Լեռնարոտ, Դիան և Ագարակ համայնքների տարածքների բաժանման «Ե» հանգուցային կետին:
«Ե»-«Ա» սահմանագծի ընդհանուր երկարությունը` 4441.4 մ է:
Հայաստանի Հանրապետության կառավարության աշխատակազմի ղեկավար-նախարար |
Մ. Թոփուզյան |
|
|
ՀԱՅԱՍՏԱՆԻ ՀԱՆՐԱՊԵՏՈՒԹՅԱՆ ԱՐԱԳԱԾՈՏՆԻ ՄԱՐԶԻ ԼԵՌՆԱՐՈՏԻ ԳՅՈՒՂԱԿԱՆ ՀԱՄԱՅՆՔԻ ՀՈՂԱՇԻՆԱՐԱՐԱԿԱՆ ՀԱՏԱԿԱԳԻԾԸ
Մ. Թոփուզյան
Հայաստանի Հանրապետության
կառավարության աշխատակազմի
ղեկավար-նախարար
|
|
Ա Ն Վ Ա Ն Ա Ց Ա Ն Կ
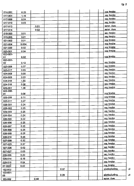
ՀԱՅԱՍՏԱՆԻ ՀԱՆՐԱՊԵՏՈՒԹՅԱՆ ԱՐԱԳԱԾՈՏՆԻ ՄԱՐԶԻ ԼԵՌՆԱՐՈՏԻ ԳՅՈՒՂԱԿԱՆ ՀԱՄԱՅՆՔԻ ՎԱՐՉԱԿԱՆ ՍԱՀՄԱՆՆԵՐՈՒՄ ԳՏՆՎՈՂ` ՊԵՏԱԿԱՆ ՍԵՓԱԿԱՆՈՒԹՅՈՒՆ ՀԱՆԴԻՍԱՑՈՂ ՀՈՂԵՐԻՑ ԼԵՌՆԱՐՈՏԻ ԳՅՈՒՂԱԿԱՆ ՀԱՄԱՅՆՔԻՆ ԱՆՀԱՏՈՒՅՑ ՓՈԽԱՆՑՎՈՂ ՀՈՂԵՐԻ
Հայաստանի Հանրապետության կառավարության աշխատակազմի ղեկավար-նախարար |
Մ. Թոփուզյան |
|
|
Ց Ա ՆԿ
ՀԱՅԱՍՏԱՆԻ ՀԱՆՐԱՊԵՏՈՒԹՅԱՆ ԱՐԱԳԱԾՈՏՆԻ ՄԱՐԶԻ ԼԵՌՆԱՐՈՏԻ ԳՅՈՒՂԱԿԱՆ ՀԱՄԱՅՆՔԻ ՎԱՐՉԱԿԱՆ ՍԱՀՄԱՆՆԵՐՈՒՄ ԳՏՆՎՈՂ` ՊԵՏԱԿԱՆ ՍԵՓԱԿԱՆՈՒԹՅՈՒՆ ՀԱՆԴԻՍԱՑՈՂ ՀՈՂԵՐԻՑ ԼԵՌՆԱՐՈՏԻ ԳՅՈՒՂԱԿԱՆ ՀԱՄԱՅՆՔԻՆ ԱՆՀԱՏՈՒՅՑ ՓՈԽԱՆՑՎՈՂ ՀՈՂԵՐԻ
Հայաստանի Հանրապետության կառավարության աշխատակազմի ղեկավար-նախարար |
Մ. Թոփուզյան |
|
|
Ց Ա Ն Կ
ՀԱՅԱՍՏԱՆԻ ՀԱՆՐԱՊԵՏՈՒԹՅԱՆ ԱՐԱԳԱԾՈՏՆԻ ՄԱՐԶԻ ԼԵՌՆԱՐՈՏԻ ԳՅՈՒՂԱԿԱՆ ՀԱՄԱՅՆՔԻ ՎԱՐՉԱԿԱՆ ՍԱՀՄԱՆՆԵՐՈՒՄ ԳՏՆՎՈՂ` ՊԵՏԱԿԱՆ ՍԵՓԱԿԱՆՈՒԹՅՈՒՆ ՀԱՆԴԻՍԱՑՈՂ ՀՈՂԵՐԻՑ ԼԵՌՆԱՐՈՏԻ ԳՅՈՒՂԱԿԱՆ ՀԱՄԱՅՆՔԻՆ ԱՆՀԱՏՈՒՅՑ ՓՈԽԱՆՑՎՈՂ ՀՈՂԵՐԻ (ԸՍՏ ՆՊԱՏԱԿԱՅԻՆ ՆՇԱՆԱԿՈՒԹՅԱՆ)
Հայաստանի Հանրապետության կառավարության աշխատակազմի ղեկավար-նախարար |
Մ. Թոփուզյան |
Հավելված N 7 ՀՀ կառավարության 2005 թվականի հունիսի 9-ի N 875-Ն որոշման |
Ց Ա Ն Կ
ՀԱՅԱՍՏԱՆԻ ՀԱՆՐԱՊԵՏՈՒԹՅԱՆ ԱՐԱԳԱԾՈՏՆԻ ՄԱՐԶԻ ԼԵՌՆԱՐՈՏԻ ԳՅՈՒՂԱԿԱՆ ՀԱՄԱՅՆՔԻ ՎԱՐՉԱԿԱՆ ՍԱՀՄԱՆՆԵՐՈՒՄ ԳՏՆՎՈՂ` ՊԵՏԱԿԱՆ ՍԵՓԱԿԱՆՈՒԹՅՈՒՆ ՀԱՆԴԻՍԱՑՈՂ ՀՈՂԵՐԻ
(ԸՍՏ ՆՊԱՏԱԿԱՅԻՆ ՆՇԱՆԱԿՈՒԹՅԱՆ)
Հայաստանի Հանրապետության կառավարության աշխատակազմի ղեկավար-նախարար |
Մ. Թոփուզյան |
|
|
Հ Ա Շ Վ Ե Տ Վ Ու Թ Յ Ու Ն
ՀԱՅԱՍՏԱՆԻ ՀԱՆՐԱՊԵՏՈՒԹՅԱՆ ԱՐԱԳԱԾՈՏՆԻ ՄԱՐԶԻ ԼԵՌՆԱՐՈՏԻ ԳՅՈՒՂԱԿԱՆ ՀԱՄԱՅՆՔԻ ՀՈՂԱՅԻՆ ՖՈՆԴԻ ԱՌԿԱՅՈՒԹՅԱՆ ԵՎ ԲԱՇԽՄԱՆ ՄԱՍԻՆ
2005 թվականի հունվարի 1-ի դրությամբ
Հայաստանի Հանրապետության կառավարության աշխատակազմի ղեկավար-նախարար |
Մ. Թոփուզյան |
|
|
Հ Ա Շ Վ Ե Տ Վ Ու Թ Յ Ու Ն
ՀԱՅԱՍՏԱՆԻ ՀԱՆՐԱՊԵՏՈՒԹՅԱՆ ԱՐԱԳԱԾՈՏՆԻ ՄԱՐԶԻ ԼԵՌՆԱՐՈՏԻ ԳՅՈՒՂԱԿԱՆ ՀԱՄԱՅՆՔԻ ՈՌՈԳՎՈՂ ՀՈՂԵՐԻ ԱՌԿԱՅՈՒԹՅԱՆ ԵՎ ԲԱՇԽՄԱՆ ՄԱՍԻՆ
Հայաստանի Հանրապետության կառավարության աշխատակազմի ղեկավար-նախարար |
Մ. Թոփուզյան |