«Վավերացնում եմ»
Հայաստանի Հանրապետոության
Նախագահ Լ. Տեր-Պետրոսյան
24 մարտի 1996 թ.
ՀԱՅԱՍՏԱՆԻ ՀԱՆՐԱՊԵՏՈՒԹՅԱՆ ԿԱՌԱՎԱՐՈՒԹՅՈՒՆ
Ո Ր Ո Շ ՈՒ Մ
24 մարտի 1996 թվականի N 85 ա
քաղ. Երևան
ՀԱՅԱՍՏԱՆԻ ՀԱՆՐԱՊԵՏՈՒԹՅՈՒՆՈՒՄ ՊԵՏԱԿԱՆ ՀՈՂԱՅԻՆ ԿԱԴԱՍՏՐԻ ՃՇՏՎԱԾ ՏՎՅԱԼՆԵՐԸ ՀԱՍՏԱՏԵԼՈՒ ՄԱՍԻՆ
Հայաստանի Հանրապետության կառավարությունը որոշում է.
1. Հաստատել Հայաստանի Հանրապետության գյուղատնտեսության և պարենի նախարարության ներկայացրած Հայաստանի Հանրապետության 1995 թվականի պետական հողային կադաստրի տվյալները:
2. Հաստատել Հայաստանի Հանրապետության 1996 թվականի պետական հողային կադաստրի ճշտված հաշվարկային տվյալները`
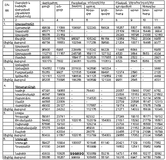
ա) Հայաստանի Հանրապետությունում գյուղատնտեսական հողատեսքերի միջին արժեքը` ըստ մարզերի տարածքների, համաձայն N 1 հավելվածի.
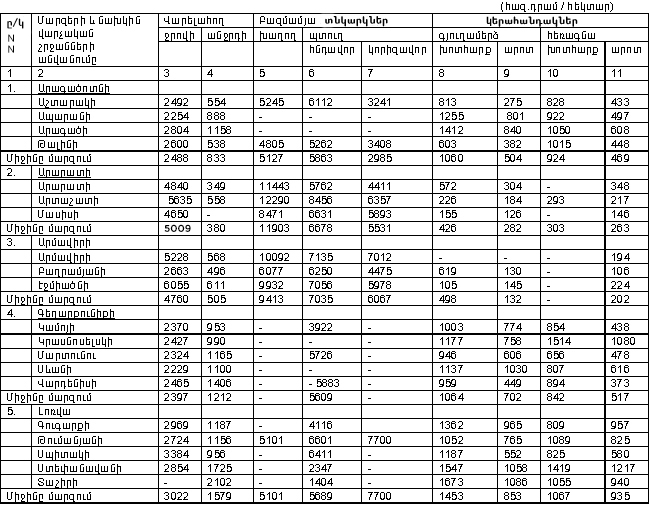
բ) Հայաստանի Հանրապետությունում անօգտագործելի հողերի կադաստրային արժեքը` ըստ հողակադաստրային գնահատման շրջանների և մարզերի, համաձայն N 2 հավելվածի.
գ) Հայաստանի Հանրապետության գյուղատնտեսական հողատեսքերի միջին զուտ եկամուտը` ըստ մարզերի տարածքների և հողի գնահատման խմբերի, համաձայն N 3 հավելվածի:
3. Հայաստանի Հանրապետության գյուղատնտեսության և պարենի նախարարությանը`
ա) սույն որոշման 2-րդ կետով հաստատված հողային կադաստրի հաշվարկային տվյալների և 1996 թվականի հողային կադաստրի համար Հայաստանի Հանրապետության կառավարության կողմից հաստատված ինդեքսավորման գործակցի հիման վրա մեկամսյա ժամկետում վերահաշվարկել 1996 թվականի հողային կադաստրը և այն տրամադրել Հայաստանի Հանրապետության համապատասխան նախարարություններին, գերատեսչություններին, պետական կառավարման տարածքային և տեղական ինքնակառավարման մարմիններին.
բ) հաշվի առնելով վերջին երկու տարում Արարատյան հարթավայրի հողերի որակական և քանակական փոփոխությունները` կապված խորքային ջրերի մակարդակի բարձրացման և երկրորդային աղակալման հետ, նշված գոտում կազմակերպել համապատասխան հետազոտություններ, ինչպես նաև այլ շրջաններում ավարտված հետազոտությունների արդյունքների հիման վրա մինչև 1996 թվականի մայիսի 15-ը Հայաստանի Հանրապետության կառավարության քննարկմանը ներկայացնել այդ շրջանների պետական հողային կադաստրի ճշտված տվյալները:
4. Սույն որոշումն ուժի մեջ է մտնում 1996 թվականի մարտի 24-ից:
|
Հայաստանի Հանրապետության վարչապետ |
Հ. ԲԱԳՐԱՏյան |
|
Հավելված N 1 մարտի 24-ի N 85 ա որոշման |
ՀԱՅԱՍՏԱՆԻ ՀԱՆՐԱՊԵՏՈՒԹՅՈՒՆՈՒՄ ԳՅՈՒՂԱՏՆՏԵՍԱԿԱՆ ՀՈՂԱՏԵՍՔԵՐԻ ՄԻՋԻՆ ԱՐԺԵՔԸ` ԸՍՏ ՀՈՂԱՅԻՆ ԿԱԴԱՍՏՐԻ (1996 Թ. ՀԱՄԱՐ) ԵՎ ԸՍՏ ՄԱՐԶԵՐԻ ՏԱՐԱԾՔՆԵՐԻ
|
Հայաստանի Հանրապետության կառավարության |
Ս. ՄԱՆԱՍԱՐՅԱՆ |
|
Հավելված N 2 մարտի 24-ի N 85 ա որոշման |
ՀԱՅԱՍՏԱՆԻ ՀԱՆՐԱՊԵՏՈՒԹՅՈՒՆՈՒՄ ԱՆՕԳՏԱԳՈՐԾԵԼԻ ՀՈՂԵՐԻ ԿԱԴԱՍՏՐԱՅԻՆ ԱՐԺԵՔԸ` ԸՍՏ ՀՈՂԱԿԱԴԱՍՏՐԱՅԻՆ ԳՆԱՀԱՏՄԱՆ ՇՐՋԱՆՆԵՐԻ ԵՎ ՄԱՐԶԵՐԻ (1996 Թ. ՀԱՄԱՐ)
Ծանոթագրություն : Հողակադաստրային գնահատման շրջանների մեջ մարզերը կրկնվում են, քանի որ մարզերում գտնվող համայնքների հողատարածություններն ընդգրկված են տարբեր հողագնահատման շրջաններում:
|
Հայաստանի Հանրապետության կառավարության |
Ս. ՄԱՆԱՍԱՐՅԱՆ |
|
Հավելված N 3 մարտի 24-ի N 85 ա որոշման |
ՀԱՅԱՍՏԱՆԻ ՀԱՆՐԱՊԵՏՈՒԹՅՈՒՆՈՒՄ ԳՅՈՒՂԱՏՆՏԵՍԱԿԱՆ ՀՈՂԱՏԵՍՔԵՐԻ ՄԻՋԻՆ ԶՈՒՏ ԵԿԱՄՈՒՏԸ` ԸՍՏ ՄԱՐԶԵՐԻ ՏԱՐԱԾՔՆԵՐԻ ԵՎ ՀՈՂԻ ԳՆԱՀԱՏՄԱՆ ԽՄԲԵՐԻ (1996 Թ. ՀԱՄԱՐ)
|
(հազ.դրամ/հեկտար) |
|
Հայաստանի Հանրապետության կառավարության |
Ս. ՄԱՆԱՍԱՐՅԱՆ |