|
«Վավերացնում եմ» |
ՀԱՅԱՍՏԱՆԻ ՀԱՆՐԱՊԵՏՈՒԹՅԱՆ ԿԱՌԱՎԱՐՈՒԹՅՈՒՆ
Ո Ր Ո Շ ՈՒ Մ
2 փետրվարի 2006 թվականի N 160-Ն
ԲՆԱԿԱՎԱՅՐԵՐՈՒՄ ՄԹՆՈԼՈՐՏԱՅԻՆ ՕԴՆ ԱՂՏՈՏՈՂ ՆՅՈՒԹԵՐԻ ՍԱՀՄԱՆԱՅԻՆ ԹՈՒՅԼԱՏՐԵԼԻ ԽՏՈՒԹՅՈՒՆՆԵՐԻ (ԿՈՆՑԵՆՏՐԱՑԻԱՆԵՐԻ-ՍԹԿ) ԵՎ ՀԱՅԱՍՏԱՆԻ ՀԱՆՐԱՊԵՏՈՒԹՅԱՆ ՏԱՐԱԾՔՈՒՄ ՇԱՀԱԳՈՐԾՎՈՂ ԱՎՏՈՏՐԱՆՍՊՈՐՏԱՅԻՆ ՄԻՋՈՑՆԵՐԻ ԲԱՆԱԾ ԳԱԶԵՐՈՒՄ ՎՆԱՍԱԿԱՐ ՆՅՈՒԹԵՐԻ ՊԱՐՈՒՆԱԿՈՒԹՅԱՆ ՍԱՀՄԱՆԱՅԻՆ ԹՈՒՅԼԱՏՐԵԼԻ ՆՈՐՄԱՏԻՎՆԵՐԸ ՀԱՍՏԱՏԵԼՈՒ ՄԱՍԻՆ
Համաձայն «Մթնոլորտային օդի պահպանության մասին» Հայաստանի Հանրապետության օրենքի 5-րդ, 10-րդ, 11-րդ և 181-րդ հոդվածների` Հայաստանի Հանրապետության կառավարությունը որոշում է.
1. Հաստատել բնակավայրերում մթնոլորտային օդն աղտոտող նյութերի սահմանային թույլատրելի խտությունների (կոնցենտրացիաների-ՍԹԿ) նորմատիվները` համաձայն N 1 հավելվածի:
2. Հաստատել Հայաստանի Հանրապետության տարածքում շահագործվող ավտոտրանսպորտային միջոցների բանած գազերում վնասակար նյութերի պարունակության սահմանային թույլատրելի նորմերը` համաձայն N 2 հավելվածի:
3. Սահմանել, որ առողջարաններում, հատուկ պահպանվող տարածքներում և զբոսաշրջային տարածաշրջաններում և (կամ) կենտրոններում` սույն որոշման N 1 հավելվածում ընդգրկված վնասակար նյութերի սահմանային թույլատրելի խտությունների արժեքներն ընդունվում են տվյալ նյութի 0.8 սահմանային թույլատրելի խտության չափով:
4. Սույն որոշումն ուժի մեջ է մտնում պաշտոնական հրապարակման օրվան հաջորդող տասներորդ օրը:
|
Հայաստանի Հանրապետության |
Ա. Մարգարյան |
|
|
Հավելված N 1
ՀՀ կառավարության 2006 թվականի
փետրվարի 2-ի N 160-Ն որոշման
ԲՆԱԿԱՎԱՅՐԵՐՈՒՄ ՄԹՆՈԼՈՐՏԱՅԻՆ ՕԴՆ ԱՂՏՈՏՈՂ ՆՅՈՒԹԵՐԻ ՍԱՀՄԱՆԱՅԻՆ ԹՈՒՅԼԱՏՐԵԼԻ ԽՏՈՒԹՅՈՒՆՆԵՐԻ (ԿՈՆՑԵՆՏՐԱՑԻԱՆԵՐԻ-ՍԹԿ) ՆՈՐՄԱՏԻՎՆԵՐԸ
|
NN |
Վնասակար նյութի անվանումը |
ՍԹԿ ( մգ/մ3) |
Վտանգա-վորության դասը | |
|
առավելա-գույն միանվագ |
միջին օրական | |||
|
1 |
2 |
3 |
4 |
5 |
| 1. |
Ազոտական թթու (ըստ` HNO3-ի մոլեկուլի) |
0.4 |
0.15 |
2 |
| 2. |
Ազոտի երկօքսիդ |
0.085 |
0.04 |
2 |
| 3. |
Ազոտի օքսիդ |
0.4 |
0.06 |
3 |
| 4. |
Ալիլ քլորիդ |
0.07 |
0.01 |
2 |
| 5. |
Ալկիլդիմեթիլամին C17 -C20 |
0.01 |
- |
3 |
| 6. |
Ալկիլսուլֆատ նատրիումի |
0.01 |
- |
4 |
| 7. |
Ալֆա-3 (գործող մասը` դիքլորքացախային կալցիում) |
3 |
0.3 |
4 |
| 8. |
Ածխածնի տետրաքլորիդ |
4 |
0.7 |
2 |
| 9. |
Ածխածնի օքսիդ |
5 |
3 |
4 |
| 10. |
Ածխաջրածիններ՝ սահմանային |
1 |
- |
4 |
| 11. |
Ակրիլաթթու |
0.1 |
0.04 |
3 |
| 12. |
Ակրիլոնիտրիլ |
- |
0.03 |
2 |
| 13. |
Ակրոլեին |
0.03 |
0.03 |
2 |
| 14. |
Ամբուշ |
0.05 |
0.02 |
3 |
| 15. |
Ն-Ամիլացետատ |
0.1 |
0.1 |
4 |
| 15.1 | Ամոնիումի մոլիբդատ |
0.24 |
0.02 |
- |
|
15.2 |
Ամոնիումի պարամոլիբդատ |
0.24 |
0.02 |
- |
| 16. |
Ամիլ բրոմիդ (1-բրոմպենտան) |
0.03 |
0.01 |
2 |
| 17. |
Ամիլեններ (իզոմերների խառնուրդ) |
1.5 |
1.5 |
4 |
| 18. |
2-Ամինա-1,3,5-տրիմեթիլբենզոլ (մեզիդին) |
0.003 |
0.003 |
2 |
| 19. |
5(6)-Ամինա-(2-պարաամինաֆենիլ)- բենզիմիդազոլ |
- |
0.01 |
3 |
| 20. |
Ամիններ ալիֆատիկ C15 -C20 |
0.003 |
0.003 |
2 |
| 21. |
Ամոնիակ |
0.2 |
0.04 |
4 |
| 22. |
Ամոնիումի նիտրատ (ամոնիակային սելիտրա) |
- |
0.3 |
4 |
| 23. |
Ամոֆոս (մոնո- և դիամոնիումային ֆոսֆոտների խառնուրդ` ամոնիումի սուլֆատի խառնուկով) |
2 |
0.2 |
4 |
| 24. |
Անագի երկօքսիդ (վերահաշված անագի) |
- |
0.02 |
3 |
| 25. |
Անագի սուլֆատ (վերահաշված անագի) |
- |
0.02 |
3 |
| 26. |
Անագի քլորիդ (վերահաշված անագի) |
0.5 |
0.05 |
3 |
| 27. |
Անագի օքսիդ (վերահաշված անագի) |
- |
0.02 |
3 |
| 28. |
Անագաթթվային նատրիումի հիդրատ (վերահաշված անագի) |
- |
0.02 |
3 |
| 29. |
Անիլին |
0.05 |
0.03 |
2 |
| 30. |
Անհիդրիդ ծծմբային |
0.5 |
0.05 |
3 |
| 31. |
Անհիդրիդ մալեինաթթվային (գոլորշի, աերոզոլ) |
0.2 |
0.05 |
2 |
| 32. |
Անհիդրիդ վոլֆրամային |
- |
0.15 |
3 |
| 33 |
Անհիդրիդ քացախաթթվային |
0.1 |
0.03 |
3 |
| 34. |
Անհիդրիդ ֆոսֆորական |
0.15 |
0.05 |
2 |
| 35. |
Անհիդրիդ ֆտալաթթվային (գոլորշի, աերոզոլ) |
0.1 |
0.1 |
2 |
| 36. |
Ասբեստ |
- |
0.06 թելիկ/մլ օդ |
|
| 37. |
Արիլոքս-100 և արիլոքս-200 |
0.5 |
0.15 |
4 |
| 38. |
Արսենաջրածին |
- |
0.002 |
2 |
| 39. |
Արսենի անօրգանական միացություններ (վերահաշված արսենի) |
- |
0.003 |
2 |
| 40. |
Ացետալդեհիդ |
0.01 |
0.01 |
3 |
| 41. |
Ացետոն |
0.35 |
0.35 |
4 |
| 42. |
Ացետոֆենոն |
0.003 |
0.003 |
3 |
| 43. |
Բարիումի կարբոնատ (վերահաշված բարիումի) |
- |
0.004 |
1 |
| 44. |
Բենզոյական ալդեհիդ (բենզալդեհիդ) |
0.04 |
- |
3 |
| 45. |
Բենզատրիֆտորիդ |
0.3 |
- |
4 |
| 46. |
Բենզիլացետատ |
0,01 |
- |
4 |
| 47. |
Բենզին (նավթային, ծծմբասակավ, վերահաշված ածխածնի) |
5 |
1.5 |
4 |
| 48. |
Բենզին թերթաքարի (վերահաշված ածխածնի) |
0, 05 |
0,05 |
4 |
| 49. |
Բենզինի ֆրակցիա` առաջացած գորշ ածուխների բարձր արագությամբ պիրոլիզի թեթև խեժերից (վերահաշված ածխաջրածինների) |
0.25 |
- |
2 |
| 50. |
Բենզոլ |
1.5 |
0.1 |
2 |
| 51. |
Բենզ(ա)պիրեն |
- |
0.1 մկգ/ 100 մ3 |
1 |
| 52. |
Բիորեսմետրին |
0.09 |
0.04 |
3 |
| 53. |
Բիսմուտի օքսիդ |
- |
0.05 |
3 |
| 54. |
Բորաթթու |
- |
0.02 |
3 |
| 55. |
Բորատ կալցիումի |
- |
0.02 |
3 |
| 56. |
Բրոմ |
- |
0.04 |
2 |
| 57. |
օ- Բրոմանիզոլ |
1 |
- |
4 |
| 58. |
Բրոմաջրածին |
1 |
0.1 |
3 |
| 59. |
Բրոմբենզոլ |
- |
0.03 |
2 |
| 60. |
a-Բրոմկարագաթթու |
0.01 |
0.003 |
2 |
| 61. |
n- Բրոմֆենոլ |
0.13 |
0.03 |
2 |
| 62. |
օ- Բրոմֆենոլ |
0.13 |
0.03 |
2 |
| 63. |
1,3- Բութադիեն (դիվինիլ) |
3 |
1 |
4 |
| 64. |
Բութան |
200 |
- |
4 |
| 65. |
Բութիլացետատ |
0.1 |
0.1 |
4 |
| 66. |
Բութիլ բրոմիդ (1-բրոմբութան) |
0.03 |
0.01 |
2 |
| 67. |
Բութիլեն |
3 |
3 |
4 |
| 68. |
Բութիլային եթեր ակրիլաթթվի (բութիլակրիլատ) |
0.0075 |
- |
2 |
| 69. |
2-Բութիլթիոբենզթիազոլ (բութիլկապտաքս) |
0.015 |
- |
3 |
| 70. |
Բութիլ քլորիդ |
0.07 |
- |
1 |
| 71. |
Բևեկնայուղ (սկիպիդար) |
2 |
1 |
4 |
| 72. |
Գերմանիումի երկօքսիդ (վերահաշված գերմանիումի) |
- |
0.04 |
3 |
| 73. |
Դեցիլ բրոմիդ (1-բրոմդեկան) |
0.03 |
0.01 |
2 |
| 74. |
Դիամիդ ածխաթթվի (կարբամիդ, միզանյութ) |
- |
0.2 |
4 |
| 75. |
4,4-դիամինադիֆենիլսուլֆոն |
- |
0.05 |
3 |
| 76. |
Դիանհիդրիդ պիրոմելիտային թթվի |
0.02 |
0.01 |
2 |
| 77. |
2,2-դիբենզթիազոլիլդիսուլֆիդ (ալտաքս) |
0.08 |
0.03 |
3 |
| 78. |
n-Դիբրոմբենզոլ |
0.2 |
- |
2 |
| 79. |
2,4-Դիբրոմտոլուոլ |
0.4 |
0.1 |
2 |
| 80. |
1,2-Դիբրոմպրոպան |
0.04 |
0.01 |
3 |
| 81. |
1,2-Դիբրոմպրոպանոլ |
0.003 |
0.001 |
2 |
| 82. |
Դիէթիլամին |
0.05 |
0.05 |
4 |
| 83. |
N, N`-դիէթիլանիլին |
0.01 |
- |
4 |
| 84. |
b-Դիէթիլամինէթիլմերկապտան |
0.6 |
0.6 |
2 |
| 85. |
Դիէթիլային էսթեր |
1 |
0.6 |
4 |
| 86. |
0,0-դիէթիլ-0-(2-իզոպրոպիլ-4 մեթիլ-6-պիրիմիդիլ)թիոֆոսֆատ (բազուդին) |
0.01 |
0.01 |
2 |
| 87. |
0,0-դիէթիլ-S-(6-քլորբենզօքսազոլին-3մեթիլ)դիթիոֆոսֆատ (ֆոզալոն) |
0.01 |
0.01 |
2 |
| 88. |
Դիէթիլկետոն |
0.5 |
0.3 |
3 |
| 89. |
Դիէթիլսնդիկ (վերահաշված սնդիկի) |
- |
0.0003 |
1 |
| 90. |
Դիէթիլքլորթիոֆոսֆատ |
0.025 |
0.01 |
2 |
| 91. |
Դիկետեն |
0.007 |
- |
2 |
| 92. |
b -դիհիդրոհեպտաքլոր (դիլոր) |
0.01 |
0.005 |
2 |
| 93. |
1,1-դիհիդրոպերֆտորհեպտիլ էսթեր ակրիլաթթվի |
0.5 |
- |
3 |
| 94. |
Դիմեթիլամին |
0.005 |
0.005 |
2 |
| 95. |
Դիմեթիլանիլին |
0.0055 |
0.0055 |
2 |
| 96. |
N,N`-դիմեթիլացետամիդ |
0.2 |
0.006 |
2 |
| 97. |
Դիմեթիլդիսուլֆիդ |
0.7 |
- |
4 |
| 98. |
0,0-դիմեթիլ-S-(N-մեթիլN-ֆորմիլկարբամոիլմեթիլ)դիթիո |
0.01 |
0.01 |
3 |
| 99. |
0,0-դիմեթիլ-S-(N-մեթիլ-կարբամիդամեթիլ) դիթիոֆոսֆատ (ֆոսֆամիդ, ռոգոր) |
0.003 |
0.003 |
2 |
| 100. |
4,4-դիմեթիլդիօքսան-1,3 |
0.01 |
0.004 |
2 |
| 101. |
Դիմեթիլէթանոլամին |
0.25 |
0.06 |
4 |
| 102. |
0,0-Դիմեթիլ-S-էթիլմերկապտաէթիլդիթիոֆոսֆատ (M-81, էկատին) |
0.001 |
0.001 |
1 |
| 103. |
Դիմեթիլ էսթեր տերեֆտալաթթվի |
0.05 |
0.01 |
2 |
| 104. |
0,0-դիմեթիլ-S-2-(1-N-մեթիլկարբոմոիլէթիլ) |
0.01 |
0.01 |
2 |
| 105. |
0,0-դիմեթիլ-0-(4-նիտրաֆենիլ) թիոֆոսֆատ (մետաֆոս) |
0.008 |
- |
1 |
| 106. |
0,0-դիմեթիլ-S-(1,2-բիս-կարբ-էտոքսիէթիլդիթիո ֆոսֆատ), կարբոֆոս |
0.015 |
- |
2 |
| 107. |
Դիմեթիլսուլֆիդ |
0.08 |
- |
4 |
| 108. |
Դիմեթիլվինիլկարբինոլ |
1 |
- |
3 |
| 109. |
2,6-դիմեթիլֆենոլ(2,6-քսիլենոլ) |
0.02 |
0.01 |
3 |
| 110. |
0,0-դիմեթիլ-(1-օքսի-2,2,2-տրիքլորէթիլ) ֆոսֆանատ, (քլորոֆոս) |
0.04 |
0.02 |
2 |
| 111. |
Դիմեթիլֆորմամիդ |
0.03 |
0.03 |
2 |
| 112. |
Դիմորֆոլինդիսուլֆիդ (N,N`-դիթիոդիմորֆոլին, սուլֆազան P) |
0.04 |
- |
2 |
| 113. |
Դինիլ (25% դիֆենիլի և 75% դիֆենիլօքսիդի խառնուրդ) |
0.01 |
0.01 |
3 |
| 114. |
3,4-դիքլորանիլին |
0.01 |
0.01 |
2 |
| 115. |
4,4-դիքլորդիֆենիլսուլֆոն |
- |
0.1 |
3 |
| 116. |
4,4-դիքլորդիֆենիլտրիքլորմեթիլ-կարբինոլ (կելտան) |
0.2 |
0.02 |
2 |
| 117. |
Դիքլորէթան |
3 |
1 |
2 |
| 118. |
Դիցիկլոհեքսինամինի քիչ լուծվող աղ |
0.008 |
- |
2 |
| 119. |
Դիցիկլոհեքսինամինի նիտրիտ |
0.02 |
- |
2 |
| 120. |
2,3-դիքլոր-1,4-նաֆթահինոն (դիքլոն) |
0.05 |
0.05 |
2 |
| 121. |
1,2-դիքլորպրոպան |
- |
0.18 |
3 |
| 122. |
1,3-դիքլորպրոպիլեն |
0.1 |
0.01 |
2 |
| 123. |
2,3-դիքլորպրոպեն |
0.2 |
0.06 |
3 |
| 124. |
Դիքլորֆտորմեթան (ֆրեոն 21) |
100 |
10 |
4 |
| 125. |
Դիֆտորքլորմեթան (ֆրեոն-22) |
100 |
10 |
4 |
| 126. |
Երկաթի օքսիդ (վերահաշված երկաթի) |
- |
0.04 |
3 |
| 127. |
Երկաթի սուլֆատ (վերահաշված երկաթի) |
- |
0.007 |
3 |
| 128. |
Երկաթի քլորիդ (վերահաշված երկաթի) |
- |
0.004 |
2 |
| 129. |
N- Էթիլանիլին |
0.01 |
- |
4 |
| 130. |
Էթիլացետատ |
0.1 |
0.1 |
4 |
| 131. |
Էթիլբենզոլ |
0.02 |
0.02 |
3 |
| 132. |
Էթիլեն |
3 |
3 |
3 |
| 133. |
Էթիլենիմին |
0.001 |
0.001 |
1 |
| 134. |
Էթիլենի օքսիդ |
0.3 |
0.03 |
3 |
| 135. |
Էթիլենսուլֆիդ |
0.5 |
- |
1 |
| 136. |
Էթիլ էսթեր ակրիլաթթվի |
0.0007 |
- |
3 |
| 137. |
Էթիլ էսթեր վալերիանաթթվի (էթիլվալերիատ) |
0.03 |
- |
3 |
| 138. |
2-Էթիլհեկսիլակրիլատ |
0.01 |
- |
3 |
| 139. |
Էթիլ-o-տոլուիդին |
0.01 |
- |
3 |
| 140. |
Էթիլ քլորիդ |
- |
0.2 |
4 |
| 141. |
Էնանտային ալդեհիդ |
0.01 |
- |
3 |
| 142. |
Էպիքլորհիդրին |
0.2 |
0.2 |
2 |
| 143. |
Թթու ծծմբական (վերահաշված H2SO4 մոլեկուլի) |
0.3 |
0.1 |
2 |
| 144. |
1,2,3-Թիադիազոնիլ-5-N-ֆենիլ-միզանյութ (դրոպպ) |
0.5 |
0.2 |
4 |
| 145. |
Թիոֆեն (թիոֆուրան) |
0.6 |
- |
4 |
| 146. |
Իզոամիլ բրոմիդ (1-բրոմ-3-մեթիլբութան) |
0.8 |
|
2 |
| 147. |
Իզոբութենիլկարբինոլ |
0.075 |
- |
4 |
| 148. |
Իզոբութիլ բրոմիդ (1-բրոմ-2-մեթիլպրոպան) |
0.7 |
- |
2 |
| 149. |
Իզոբութիլ էսթեր քացախաթթվի, (իզոբութիլացետատ) |
0.1 |
- |
4 |
| 150. |
Իզոբութիրոնիտրիլ |
0.02 |
0.01 |
2 |
| 151. |
Իզոկարագալդեհիդ (2-մեթիլ-պրոպանալ) |
0.01 |
- |
4 |
| 152. |
Իզոպրոպիլբենզոլ (կումոլ) |
0.014 |
0.014 |
4 |
| 153. |
Իզոպրոպիլ բրոմիդ (2-բրոմպրոպան) |
0.03 |
0.01 |
2 |
| 154. |
Իզոպրոպիլ-2-(1-մեթիլ-ն-պրոպիլ-4,6-դինիտրոֆենիլկարբոնատ, (ակրեքս) |
0.02 |
0.002 |
2 |
| 155. |
Ինդիումի նիտրատ (վերահաշված ինդիումի) |
- |
0.005 |
2 |
| 156. |
Լուծիչ ացետատակաշվե (վերահաշված էթանոլի) |
0.5 |
- |
3 |
| 157. |
Լուծիչ բութիֆորմիատային (ըստ ացետատների գումարի) |
0.3 |
- |
3 |
| 158. |
Լուծիչ կահույքային |
0.09 |
0.09 |
3 |
| 159. |
Լուծիչ փայտեսպիրտային Ա մակնիշի (ացետոնաեթերային) |
0.12 |
0.12 |
4 |
| 160. |
Լուծիչ փայտեսպիրտային Է մակնիշի (ացետոնաեթերային) (վերահսկողությունը ըստ ացետոնի) |
0.07 |
0.07 |
4 |
| 161. |
Ծարիրի հնգասուլֆիդ (վերահաշված ծարիրի) |
- |
0.02 |
3 |
| 162. |
Ծարիրի եռօքսիդ (վերահաշված ծարիրի) |
- |
0.02 |
3 |
| 163. |
Ծծմբածխածին |
0.03 |
0.005 |
2 |
| 164. |
Ծծմբաջրածին |
0.008 |
- |
2 |
| 165. |
Կադմիում ազոտաթթվային (վերահաշված կադմիումի) |
- |
0.0003 |
1 |
| 166. |
Կադմիում յոդային (վերահաշված կադմիումի) |
- |
0.0003 |
1 |
| 167. |
Կադմիումի օքսիդ (վերահաշված կադմիումի) |
- |
0.0003 |
1 |
| 168. |
Կադմիում ծծմբաթթվային (վերահաշված կադմիումի) |
- |
0.0003 |
1 |
| 169. |
Կադմիում քլորային (վերահաշված կադմիումի) |
- |
0.0003 |
1 |
| 170. |
Կալիումի կարբոնատ (պոտաշ) |
0.1 |
0.05 |
4 |
| 171. |
Կալիումի քսանտոգենատ էթիլային |
0.05 |
0.01 |
2 |
| 171.1. | Կալիումի պերռենատ |
0.2 |
- |
- |
| 172. |
Կախված մասնիկներ (ըստ բաղադրության չտարբերակված փոշի. տվյալ ՍԹԿ-ն չի տարածվում այն օրգանական և ոչ օրգանական միացությունների վրա, որոնց համար սահմանված են համապատասխան ՍԹԿ-ներ) |
0.5 |
0.15 |
3 |
| 173. |
Կապարի միացություններ (վերահաշված կապարի, բացի տետրաէթիլկապարի) |
- |
0.003 |
1 |
| 174. |
Կապար ծծմբային (վերահաշված կապարի) |
- |
0.0017 |
1 |
| 175. |
Կապրիլային ալդեհիդ |
0.02 |
- |
2 |
| 176. |
Կապրինային ալդեհիդ |
0.02 |
- |
2 |
| 177. |
Կապրոլակտամ (գոլորշի, աերոզոլ) |
0.06 |
0.06 |
3 |
| 178. |
Կապրոնաթթու |
0.01 |
0.005 |
3 |
| 179. |
Կապրոնային ալդեհիդ |
0.02 |
- |
2 |
| 180. |
Կարագաթթու |
0.015 |
0.01 |
3 |
| 181. |
Կարագալդեհիդ |
0.015 |
0.015 |
3 |
| 182. |
Կարբոնատ ցիկլոհեքսիլամինի |
0.07 |
- |
3 |
| 183. |
Կոբալտ ծծմբաթթվական (վերահաշված կոբալտի) |
0.001 |
0.0004 |
2 |
| 184. |
Կոբալտ մետաղական |
- |
0.001 |
1 |
| 185. |
Կրոտոնային ալդեհիդ (b-մեթիլ-ակրոլեին, 2-բութենալ) |
0.025 |
- |
2 |
| 186. |
Հեպտեն |
0.35 |
0.065 |
3 |
| 187. |
Հեպտիլ բրոմիդ (1-բրոմհեպտան) |
0.03 |
0.01 |
2 |
| 188. |
Հեքսամեթիլենդիամին |
0.001 |
0.001 |
2 |
| 189. |
Հեքսամեթիլենիմին |
0.02 |
- |
3 |
| 190. |
Հեքսամեթիլենիմին |
0.1 |
0.02 |
2 |
| 191. |
Հեքսան |
60 |
- |
4 |
| 192. |
1,2,3,4,7,7-հեքսաքլորբիցիկլո-(2,2,1)-հեպտեն-2,5,6-բիս (օքսիմեթիլ) սուլֆիտ (թիոդան) |
0.017 |
0.0017 |
2 |
| 193. |
Հեքսաքլորցիկլոհեքսան (հեքսաքլորան) |
0.03 |
0.03 |
1 |
| 194. |
Հեքսաֆտորբենզոլ |
0.8 |
0.1 |
2 |
| 195. |
Հեքսեն |
0.4 |
0.085 |
3 |
| 196. |
Հեքսիլ բրոմիդ (1-բրոմհեքսան) |
0.03 |
0.01 |
2 |
| 197. |
Հեքսիլ էսթեր քացախաթթվի (հեքսիլացետատ) |
0.1 |
- |
4 |
| 198. |
Հիդրոպերօքսիդ իզոպրոպիլբենզոլի (կումոլի հիդրոպերօքսիդ) |
0.007 |
0.007 |
2 |
| 199. |
Մագնեզիումի քլորատ |
- |
0.3 |
4 |
| 200. |
Մագնեզիումի օքսիդ |
0.4 |
0.05 |
3 |
| 201. |
Մանգանի միացություններ (վերահաշված մանգանի երկօքսիդի մոլեկուլի) |
0.01 |
0.001 |
2 |
| 202. |
Մեթիլացետատ |
0.07 |
0.07 |
4 |
| 203. |
Մեթիլ-1-(բութիլկարբոմոյիլ)-2-բենզի-միդազոլկարբոմատ (ուզգեն) |
0.35 |
0.05 |
3 |
| 204. |
2-Մեթիլբութադիեն-1,3 (իզոպրեն) |
0.5 |
- |
3 |
| 205. |
4-Մեթիլ-5.6-դիհիդրոպիրան |
1.2 |
- |
2 |
| 206. |
Մեթիլեն բրոմիդ |
0.1 |
0.04 |
4 |
| 207. |
Մեթիլեն յոդիտ |
0.4 |
- |
4 |
| 208. |
4-մեթիլենտետրահիդրոպիրան |
1.5 |
- |
3 |
| 209. |
Մեթիլեն քլորիդ |
8.8 |
- |
4 |
| 210. |
Մեթիլ էսթեր ակրիլաթթվի (մեթիլակրիլատ) |
0.01 |
0.01 |
4 |
| 211. |
Մեթիլ էսթեր մետակրիլաթթվի (մեթիլմետակրիլատ) |
0.1 |
0.01 |
3 |
| 212. |
Մեթիլ էսթեր վալերիանաթթվի (մեթիլվալերիատ) |
0.03 |
- |
3 |
| 213. |
Մեթիլիզոբութիլկետոն |
0.1 |
- |
4 |
| 214. |
Մեթիլմերկապտան |
9x10-6 |
- |
2 |
| 215. |
Մեթիլնիտրոֆոս |
0.005 |
- |
3 |
| 216. |
a-Մեթիլստիրոլ |
0.04 |
0.04 |
3 |
| 217. |
Մելիարանտ |
0.5 |
0.05 |
4 |
| 218. |
Մեպրին մանրէական |
0.01 |
- |
2 |
| 219. |
Մետալդեհիդ (ացետալդեհիդի տետրամեր) |
0.003 |
0.003 |
2 |
| 220. |
Մետակրիլաթթու |
0.03 |
0.01 |
3 |
| 221. |
Մետիանին |
0.6 |
- |
3 |
| 222. |
N-b-Մետօքսիէթիլքլորացետատ-օտոլուիդին (տոլուին) |
0.03 |
- |
3 |
| 223. |
2-Մետօքսի-2-մեթիլպրոպան (մեթիլ-տրետ-բութիլային եթեր) |
0.5 |
- |
4 |
| 224. |
2-Մերկապտաբենզոթիազոլ (կապտաքս) |
0.12 |
- |
3 |
| 225. |
2-Մերկապտաէթանոլ (մոնոթիաէթիլենգլիկոլ) |
0.07 |
0.07 |
3 |
| 226. |
Միլբեքս (1,1-բիս-4-քլորֆենիլէտանոլի և n-քլորֆենիլ-2,4,5-տրիքլորֆենիլազոսուլֆիդի խառնուրդ) |
0.2 |
0.1 |
3 |
| 227. |
Մոխիր թերթաքարի |
0.3 |
0.1 |
1 |
| 227.1. | Մոլիբդեն |
0.24 |
0.02 |
- |
| 227.2. | Մոլիբդենի եռօքսիդ |
0.24 |
0.02 |
- |
| 227.3. | Մոլիբդենի սուլֆիդ |
0.35 |
0.035 |
- |
| 227.4. | Մոլիբդենի սիլիցիդ |
0.35 |
0.035 |
- |
| 228. |
Մոնոբենզիլտոլուոլ |
0.02 |
- |
2 |
| 229. |
Մոնոէթիլամին |
0.01 |
0.01 |
3 |
| 230. |
Մոնոիզոբութիլ էսթեր էթիլենգլիկոլի (բութիլցելլուզոլվ) |
1 |
0.3 |
3 |
| 231. |
Մոնոիզոպրոպիլ էսթեր էթիլենգլիկոլի (պրոպիլցելլուզոլվ) |
1.5 |
0.5 |
3 |
| 232. |
Մոնոմեթիլամին |
0.004 |
0.001 |
2 |
| 233. |
Մոնոմեթիլանիլին |
0.04 |
0.04 |
3 |
| 234. |
Մոնոքլորպենտաֆտորբենզոլ |
0.6 |
0.1 |
3 |
| 235. |
Մրջնաթթու |
0.2 |
- |
2 |
| 236. |
Մուր |
0.15 |
0.05 |
3 |
| 237. |
Յոդ |
- |
0.03 |
2 |
| 238. |
Նավթալին |
0.003 |
0.003 |
4 |
| 239. |
a-Նավթահինոն |
0.005 |
0.005 |
1 |
| 240. |
b-Նավթոլ |
0.006 |
0.003 |
2 |
| 241. |
Նատրիումի սուլֆատ |
0.3 |
0.1 |
3 |
| 242. |
Նատրիումի սուլֆիտ |
0.3 |
0.1 |
3 |
| 243. |
Նատրիումի սուլֆիտ-սուլֆատային աղեր |
0.3 |
0.1 |
3 |
| 244. |
1-Նաֆթիլ-N-մեթիլկարբամատ (սևին) |
- |
0.002 |
2 |
| 245. |
Նիկել, լուծվող աղեր (վերահաշված նիկելի) |
0.002 |
0.0002 |
1 |
| 246. |
Նիկել ծծմբաթթվական (վերահաշված նիկելի) |
0.002 |
0.001 |
1 |
| 247. |
Նիկել մետաղական |
- |
0.001 |
2 |
| 248. |
Նիկելի օքսիդ (վերահաշված նիկելի) |
- |
0.001 |
2 |
| 249. |
Նիտրիլներ կարբոթթուների C17 -C20 |
0.04 |
- |
3 |
| 250. |
Նիտրոբենզոլ |
0.008 |
0.008 |
2 |
| 251. |
M-Նիտրոբրոմբենզոլ |
0.12 |
0.01 |
2 |
| 252. |
M-Նիտրոքլորբենզոլ |
0.004 |
0.004 |
2 |
| 253. |
o-Նիտրոքլորբենզոլ |
0.004 |
0.004 |
2 |
| 254. |
n-Նիտրոքլորբենզոլ |
0.004 |
0.004 |
2 |
| 255. |
3-Նիտրո-4-քլորբենզոտրիֆտորիդ |
0.005 |
- |
3 |
| 256. |
Պելլարգոնային ալդեհիդ |
0.02 |
- |
2 |
| 257. |
Պենիցիլին |
0.05 |
0.0025 |
3 |
| 258. |
Պենտադիեն-1.3 (պիպերիլեն) |
0.5 |
- |
3 |
| 259. |
Պենտան |
100 |
25 |
4 |
| 260. |
Պենտաֆտորբենզոլ |
1.2 |
0.1 |
3 |
| 261. |
Պենտաֆտորհեպտան |
90 |
- |
4 |
| 262. |
Պենտաֆտորֆենոլ |
0.8 |
- |
4 |
| 263. |
Պերմետրինային թթվի մեթիլ էսթեր |
0.08 |
- |
4 |
| 264. |
Պարամոլիբդատ ամոնիումի (վերահաշված մոլիբդենի) |
- |
0.1 |
3 |
| 265. |
Պերֆտորվալերիանաթթու |
0.1 |
- |
3 |
| 266. |
Պերֆտորօկտան |
90 |
- |
4 |
| 267. |
Պիրիդին |
0.08 |
0.08 |
2 |
| 268. |
Պղնձի օքսիդ (վերահաշված պղնձի) |
- |
0.002 |
2 |
| 269. |
Պղնձի տրիքլորֆենոլատ) |
0.006 |
0.003 |
2 |
| 270. |
Պղինձ քլորային (վերահաշված պղնձի) |
- |
0.002 |
2 |
| 271. |
Պղինձ ծծմբային (վերահաշված պղնձի) |
0.003 |
0.001 |
2 |
| 272. |
Պղինձ ծծմբաթթվային (վերահաշված պղնձի) |
0.003 |
0.001 |
2 |
| 273. |
Պղնձի քլորական (վերահաշված պղնձի) |
0.003 |
0.001 |
2 |
| 274. |
Պոլի-2,6-դիմեթիլ-1,4-ֆենիլենօքսիդ (պոլիֆենիլենօքսիդ) |
0.5 |
0.15 |
4 |
| 275. |
Պոլիքլորպինեն (քլորացված բիցիկլիկ միացությունների խառնուրդ) |
0.005 |
0.005 |
2 |
| 276. |
Պրոպիլային էսթեր վալերիանաթթվի (պրոպիլվալերիատ) |
0.03 |
- |
3 |
| 277. |
Պրոպիլային էսթեր քացախաթթվի (պրոպիլացետատ) |
0.1 |
- |
4 |
| 278. |
Պրոպիլ բրոմիդ (1-բրոմպրոպան) |
0.03 |
0.01 |
2 |
| 279. |
Պրոպիլեն |
3 |
3 |
3 |
| 280. |
Պրոպիլենի օքսիդ |
0.08 |
- |
1 |
| 281. |
Պրոպիոնաթթու |
0.015 |
- |
3 |
| 282. |
Պրոպիոնային ալդեհիդ (պրոպանալ) |
0.01 |
- |
3 |
| 283. |
Սեբացինաթթու |
0.15 |
0.08 |
3 |
| 284. |
Սնդիկ ազոտաթթվային ենթօքսիդային ջրային (վերահաշված սնդիկի) |
- |
0.0003 |
1 |
| 285. |
Սնդիկ ազոտաթթվական օքսիդային ջրային (վերահաշված սնդիկի) |
- |
0.0003 |
1 |
| 286. |
Սնդիկ ամիդոքլորային (վերահաշված սնդիկի) |
- |
0.0003 |
1 |
| 287. |
Սնդիկ դիյոդիտ (վերահաշված սնդիկի) |
- |
0.0003 |
1 |
| 288. |
Սնդիկի դեղին օքսիդ (վերահաշված սնդիկի)) |
- |
0.0003 |
1 |
| 289. |
Սնդիկի կարմիր օքսիդ (վերահաշված սնդիկի) |
- |
0.0003 |
1 |
| 290. |
Սնդիկ մետաղական |
- |
0.0003 |
1 |
| 291. |
Սնդիկ քացախաթթվական (վերահաշված սնդիկի) |
- |
0.0003 |
1 |
| 292. |
Սնդիկի (I) քլորիդ (կալոմել) (վերահաշված սնդիկի) |
- |
0.0003 |
1 |
| 293. |
Սնդիկի (II) քլորիդ (սուլեյմա) (վերահաշված սնդիկի) |
- |
0.0003 |
1 |
| 294. |
Սպիտակուցավիտամինային խտանյութի փոշի |
- |
0.001 |
2 |
| 295. |
Սպիրտ ամիլային |
0.01 |
0.01 |
3 |
| 296. |
Սպիրտ բենզիլային |
0.16 |
- |
4 |
| 297. |
Սպիրտ բութիլային |
0.1 |
0.1 |
3 |
| 298. |
Սպիրտ 1,1-դիհիդրոպերֆտորամինային |
0.3 |
- |
3 |
| 299. |
Սպիրտ 1,1-դիհիդրոպերֆտորհեպտիլային |
0.1 |
- |
3 |
| 300. |
Սպիրտ էթիլային |
5 |
5 |
4 |
| 301. |
Սպիրտ իզոբութիլային |
0.1 |
0.1 |
4 |
| 302. |
Սպիրտ իզոպրոպիլային |
0.6 |
0.6 |
3 |
| 303. |
Սպիրտ իզոօկտիլային (2-էթիլհեքսանոլ) |
0.15 |
0.15 |
4 |
| 304. |
Սպիրտ հեքսիլային |
0.8 |
0.2 |
3 |
| 305. |
Սպիրտ պրոպիլային |
0.3 |
0.3 |
3 |
| 306. |
Սպիրտ օկտիլային |
0.6 |
0.2 |
3 |
| 307. |
Ստիրոլ |
0.04 |
0.002 |
2 |
| 308. |
Վալերիանային ալդեհիդ |
0.03 |
- |
4 |
| 309. |
Վալերիանաթթու |
0.03 |
0.01 |
3 |
| 310. |
Վանադիումի հնգօքսիդ |
- |
0.002 |
1 |
| 311. |
Վինիլացետատ |
0.15 |
0.15 |
3 |
| 312. |
Վոլֆրամատ նատրիումի (վերահաշված վոլֆրամի) |
- |
0.1 |
3 |
| 313. |
Տալլիումի կարբոնատ (վերահաշված տալլիումի) |
- |
0.0004 |
1 |
| 314. |
Տելուրի երկօքսիդ (վերահաշված տելուրի) |
- |
0.5 մկգ/մ3 |
1 |
| 315. |
Տետրաէթիլթիուրամդիսուլֆիդ (թիուրամ Ե) |
- |
0.03 |
3 |
| 316. |
Տետրահիդրոֆուրան |
0.2 |
0.2 |
4 |
| 317. |
Տետրամեթիլթիուրամդիսուլֆիդ (թիուրամ Դ) |
0.05 |
0.02 |
3 |
| 318. |
Տետրացիկլին |
0.01 |
0.006 |
2 |
| 319. |
1,1,2,2-տետրաքլորէթան |
0.06 |
- |
4 |
| 320. |
Տետրաքլորէթիլեն (պերքլորէթիլեն) |
0.5 |
0.06 |
2 |
| 321. |
Տետրաքլորոպրեն |
0.07 |
0.04 |
2 |
| 322. |
Տետրաֆտորէթիլեն |
6 |
0.5 |
4 |
| 323. |
3-տետրաֆտորէտօքսիֆենիլ |
0.6 |
0.06 |
3 |
| 324. |
Տերեֆտալաթթու |
0.01 |
0.001 |
1 |
| 325. |
Տոլուիլենդիիզոցիանատ |
0.05 |
0.02 |
1 |
| 326. |
Տոլուոլ |
0.6 |
0.6 |
3 |
| 327. |
Տրիբրոմմեթան (բրոմոֆորմ) |
- |
0.05 |
3 |
| 328. |
1,1,3-տրիբրոմպրոպան (պրոպիլենտրիբրոմիդ) |
0.015 |
0.005 |
2 |
| 329. |
S,S,S-տրիբութիլտրիթիոֆոսֆատ (բութիֆոս) |
0.01 |
0.01 |
2 |
| 330. |
Տրիէթիլամին |
0.14 |
0.14 |
3 |
| 331. |
1,1,5-տրիհիդրոօկտաֆտորպենտանոլ |
1 |
0.05 |
4 |
| 332. |
1,1,3-տրիհիդրոտետրաֆտորպրոպանոլ |
1 |
0.05 |
4 |
| 333. |
Տրիկրեզոլ (օրտո-, մետա- և պարա- իզոմերների խառնուրդ) |
0.005 |
0.005 |
2 |
| 334. |
Տրիմեթիլամին |
0.15 |
- |
4 |
| 335. |
Տրիքլորացետալդեհիդ |
0.03 |
- |
3 |
| 336. |
1,1,1-Տրիքլորէթան (մեթիլքլորոֆորմ) |
2 |
0.2 |
4 |
| 337. |
Տրիքլորէթիլեն |
4 |
1.0 |
3 |
| 338. |
Տրիքլորմեթան (քլորոֆորմ) |
- |
0.03 |
2 |
| 339. |
1,2,3-տրիքլորպրոպան |
- |
0.05 |
3 |
| 340. |
Տրիքլորֆտորմեթան (ֆրեոն-11) |
100 |
10 |
4 |
| 341. |
Ցիանաջրածին (կապտաթթու) (վերահաշված HCN-ի մոլեկուլի) |
- |
0.01 |
2 |
| 342. |
Ցիկլոհեքսան |
1.4 |
1.4 |
4 |
| 343. |
Ցիկլոհեքսանոլ |
0.06 |
0.06 |
3 |
| 344. |
Ցիկլոհեքսանոն |
0.04 |
- |
3 |
| 345. |
Ցիկլոհեքսանոնօքսիմ |
0.1 |
- |
3 |
| 346. |
N-Ցիկլոհեքսիլբենզթիոզոլսուլ -ֆենամիդ-2 (սուլֆենամիդ Ց) |
0.07 |
0.03 |
3 |
| 347. |
N- Ցիկլոհեքսիլթիոֆտալամիդ |
0.3 |
- |
4 |
| 348. |
Ցինկի սուլֆատ (վերահաշված ցինկի) |
- |
0.008 |
2 |
| 349. |
Ցինկի օքսիդ (վերահաշված ցինկի) |
- |
0.05 |
3 |
| 350. |
Փոշի անօրգանական, սիլիցիումի երկօքսիդի հետևյալ պարունակությամբ, % |
0.15 |
0.05 |
3 |
| 351. |
Փոշի բամբակի |
0.5 |
0.05 |
3 |
| 352. |
Փոշի ցեմենտի արտադրության (կալցիումի օքսիդի 60% -ից ավելի պարունակությամբ և սիլիցիումի երկօքսիդ 20%-ից ավելի պարունակությամբ) |
- |
0.02 |
3 |
| 353. |
Քացախաթթվի ալիլէսթեր (ալիլացետատ) |
0.4 |
- |
3 |
| 354. |
Քացախաթթու |
0.2 |
0.06 |
3 |
| 355. |
Քլոր |
0.1 |
0.03 |
2 |
| 356. |
M -Քլորանիլին |
0.01 |
0.01 |
1 |
| 357. |
n- Քլորանիլին |
0.04 |
0.01 |
2 |
| 358. |
Քլորաջրածին (աղաթթու, վերահաշված HCl-ի մոլեկուլի) |
0.2 |
0.2 |
2 |
| 359. |
a-Քլորացետաֆենոն |
0.01 |
- |
3 |
| 360. |
Քլորբենզոլ |
0.1 |
0.1 |
3 |
| 361. |
n-Քլորբենզոտրիֆտորիդ |
0.1 |
- |
3 |
| 362. |
Քլորոպրեն |
0.02 |
0.002 |
2 |
| 363. |
Քլորտետրացիկլին (կերային) |
0.05 |
0.05 |
2 |
| 364. |
2-Քլորցիկլոհեքսիլթիո-N-ֆտալամիդ |
3.5 |
0.35 |
4 |
| 365. |
M-Քլորֆենիլիզոցիանատ |
0.005 |
0.005 |
2 |
| 366. |
n-Քլորֆենիլիզոցիանատ |
0.0015 |
0.0015 |
2 |
| 367. |
Քսիլոլ |
0.2 |
0.2 |
3 |
| 368. |
Քրոմ (VI) (վերահաշված քրոմի եռօքսիդի) |
0.0015 |
0.0015 |
1 |
| 369. |
Օզոն |
0.16 |
0.03 |
1 |
| 370. |
Օքսիտետրացիկլին |
0.01 |
- |
2 |
| 371. |
Օքսիտետրացիկլինի քլորհիդրատ |
0.01 |
- |
2 |
| 372. |
Օքտաֆտորտոլուոլ |
1.3 |
- |
4 |
| 373. |
Ֆենոլ |
0.01 |
0.003 |
2 |
| 374. |
Ֆենոլներ թերթաքարային |
0.007 |
- |
3 |
| 375. |
b-ֆենօքսի- a-ցիանաջրածնային էսթեր a-իզոպրոպիլ-4-քլորֆենիլքացախաթթվի (սումիցիդին, ֆենիլվալերիատ) |
0.02 |
0.01 |
3 |
| 376. |
Ֆերրիտ բարիումի (վերահաշված բարիումի) |
- |
0.004 |
3 |
| 376.1 | Ֆերոմոլիբդեն |
0.35 |
0.035 |
- |
| 377. |
Ֆերրիտ մագնեզիում - մանգանային (վերահաշված մանգանի) |
- |
0.002 |
2 |
| 378. |
Ֆերրիտ մանգան-ցինկային (վերահաշված մանգանի) |
- |
0.002 |
2 |
| 379. |
Ֆերրիտ նիկել-պղնձային (վերահաշված նիկելի) |
- |
0.004 |
2 |
| 380. |
Ֆերրիտ նիկել- ցինկային (վերահաշված ցինկի) |
- |
0.003 |
2 |
| 381. |
Ֆերրիցիանիդ կալիումի (կարմիր արյան աղ) |
- |
0.04 |
4 |
| 382. |
Ֆերրոցիանիդ կալիումի (դեղին արյան աղ) |
- |
0.04 |
4 |
| 383. |
Ֆոսֆորաջրածին |
0.01 |
0.001 |
2 |
| 384. |
Ֆորմալդեհիդ |
0.035 |
0.003 |
2 |
| 385. |
Ֆորմամիդ |
- |
0.03 |
3 |
| 386. |
Ֆտորի միացություններ (գազային` ֆտորաջրածին, քառաֆտորային սիլիցիում) |
0.02 |
0.005 |
2 |
| 387. |
Ֆտորի միացություններ` լավ լուծվող անօրգանական ֆտորիդներ (նատրիումի ֆտորիդ, նատրիումի հեքսաֆտորսիլիկատ) |
0.03 |
0.01 |
2 |
| 388. |
Ֆտորի միացություններ` վատ լուծվող անօրգանական ֆտորիդներ (ալյումինիումի ֆտորիդ, կալցիումի ֆտորիդ, նատրիումի հեքսաֆտորալյումինատ) |
0.2 |
0.03 |
2 |
| 389. |
Ֆուրֆուրոլ |
0.05 |
0.05 |
3 |
(Հավելվածը լրաց. 07.12.06 N 1779-Ն)
| Հայաստանի Հանրապետության կառավարության աշխատակազմի ղեկավար-նախարար |
Մ. Թոփուզյան |
|
Հավելված N 2 |
ՀԱՅԱՍՏԱՆԻ ՀԱՆՐԱՊԵՏՈՒԹՅԱՆ ՏԱՐԱԾՔՈՒՄ ՇԱՀԱԳՈՐԾՎՈՂ ԱՎՏՈՏՐԱՆՍՊՈՐՏԱՅԻՆ ՄԻՋՈՑՆԵՐԻ ԲԱՆԱԾ ԳԱԶԵՐՈՒՄ ՎՆԱՍԱԿԱՐ ՆՅՈՒԹԵՐԻ ՊԱՐՈՒՆԱԿՈՒԹՅԱՆ ՍԱՀՄԱՆԱՅԻՆ ԹՈՒՅԼԱՏՐԵԼԻ ՆՈՐՄԵՐԸ
1. Բենզինային շարժիչներով ավտոտրանսպորտային միջոցների բանած գազերում ածխածնի օքսիդի և ածխաջրածինների պարունակությունների սահմանային թույլատրելի նորմերը սահմանված են աղյուսակ 1-ում
Աղյուսակ 1
|
Շարժիչի ծնկաձև լիսեռի |
Ածխածնի օքսիդի |
Ածխաջրածինների |
|
nնվազ |
3,5 |
2500 |
|
n բարձ |
2,0 |
1000 |
2. Գազաբալոնային շարժիչներով ավտոտրանսպորտային միջոցների բանած գազերում ածխածնի օքսիդի և ածխաջրածինների պարունակության սահմանային թույլատրելի նորմերը` ըստ վառելիքի տեսակի և շարժիչի աշխատանքային ծավալի սահմանված են աղյուսակ 2-ում
Աղյուսակ 2
|
Շարժիչի ծնկաձև լիսեռի պտտման հաճախականությունը |
Ածխածնի օքսիդի |
Ածխաջրածինների | ||||
|
ՀՆԳ |
ՍԲԳ |
շարժիչի աշխատանքային ծավալը (դմ3) | ||||
|
մինչև 3-ը |
3-ից բարձր | |||||
|
ՀԱԳ |
ՍԲԳ |
ՀԱԳ |
ՍԲԳ | |||
|
nնվազ |
3.0 |
3.0 |
1000 |
800 |
2200 |
2000 |
|
nբարձ |
2.0 |
2.0 |
600 |
500 |
900 |
850 |
որտեղ՝
ՀՆԳ - հեղուկացված նավթային գազն է,
ՍԲԳ - սեղմված բնական գազն է
Ծնկաձև լիսեռի պտտման հաճախականությունը պարապ ընթացքի դեպքում` nնվազ և nբարձ պետք է սահմանված լինեն մեքենայի շահագործման հրահանգում:
Եթե դրանք սահմանված չեն, ապա ստուգումների ժամանակ ընդունվում է`
nնվազ = (800 ± 50) րոպ-1,
nբարձ = (3000 ± 10) րոպ-1:
3. Դիզելային շարժիչներով ավտոտրանսպորտային միջոցների բանած գազերի ծխայնության սահմանային թույլատրելի նորմերը սահմանված են աղյուսակ 3-ում
Աղյուսակ 3
|
Բանած գազերի պայմանական ծախսը, |
Ծխայնության սահմանային թույլատրելի նորմը (լույսի կլանման գործակիցը), ոչ ավելի, մ -1 |
|
42 և դրանից պակաս |
2,260 |
|
50 |
2,080 |
|
100 |
1,495 |
|
150 |
1,225 |
|
200 և ավելի |
1,065 |
Դիզելային շարժիչներով ավտոտրանսպորտային միջոցների բանած գազերի ծխայնության նորմերը սահմանված են ազատ արագացման ռեժիմում` կախված բանած գազերի պայմանական ծախսից:
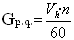
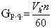
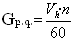
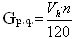
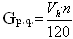
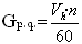
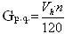
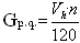
Բանած գազերի պայմանական ծախսը` Gբ.գ., հաշվարկվում է 1 և 2 բանաձևերով.
|
|
|
|
|
, չորստակտանի դիզելների համար, (2) |
որտեղ`
Vh-ն դիզելի գլանների աշխատանքային ծավալն է, դմ3
n-ն ծնկաձև լիսեռի պտտման հաճախականությունն է, րոպ-1
| Հայաստանի Հանրապետության կառավարության աշխատակազմի ղեկավար-նախարար |
Մ. Թոփուզյան |