«Վավերացնում եմ»
Հայաստանի Հանրապետության
Նախագահ Ռ. Քոչարյան
12 նոյեմբերի 2005թ.
ՀԱՅԱՍՏԱՆԻ ՀԱՆՐԱՊԵՏՈՒԹՅԱՆ ԿԱՌԱՎԱՐՈՒԹՅՈՒՆ
Ո Ր Ո Շ ՈՒ Մ
22 սեպտեմբերի 2005 թվականի N 1824-Ն
ՀԱՅԱՍՏԱՆԻ ՀԱՆՐԱՊԵՏՈՒԹՅԱՆ ՇԻՐԱԿԻ ՄԱՐԶԻ ԱԽՈՒՐԻԿԻ ԳՅՈՒՂԱԿԱՆ ՀԱՄԱՅՆՔԻ ՎԱՐՉԱԿԱՆ ՍԱՀՄԱՆՆԵՐԻ ՆԿԱՐԱԳԻՐԸ ՀԱՍՏԱՏԵԼՈՒ ԵՎ ԱԽՈՒՐԻԿԻ ԳՅՈՒՂԱԿԱՆ ՀԱՄԱՅՆՔԻ ՎԱՐՉԱԿԱՆ ՍԱՀՄԱՆՆԵՐՈՒՄ ԳՏՆՎՈՂ` ՊԵՏԱԿԱՆ ՍԵՓԱԿԱՆՈՒԹՅՈՒՆ ՀԱՆԴԻՍԱՑՈՂ ՀՈՂԱՄԱՍԵՐՆ ԱՆՀԱՏՈՒՅՑ ՍԵՓԱԿԱՆՈՒԹՅԱՆ ԻՐԱՎՈՒՆՔՈՎ ՀԱՄԱՅՆՔԻՆ ՓՈԽԱՆՑԵԼՈՒ ՄԱՍԻՆ
Հայաստանի Հանրապետության հողային օրենսգրքի 34-րդ ու 56-րդ, «Տեղական ինքնակառավարման մասին» Հայաստանի Հանրապետության օրենքի 6-րդ, 47-րդ ու 84-րդ և «Հայաստանի Հանրապետության վարչատարածքային բաժանման մասին» Հայաստանի Հանրապետության օրենքի 6-րդ հոդվածների պահանջներին համապատասխան` Հայաստանի Հանրապետության կառավարությունը որոշում է.
1. Հաստատել Հայաստանի Հանրապետության Շիրակի մարզի Ախուրիկի գյուղական համայնքի վարչական սահմանների նկարագիրը` համաձայն NN 1 և 2 հավելվածների:
2. Հայաստանի Հանրապետության Շիրակի մարզի Ախուրիկի գյուղական համայնքի վարչական սահմաններում գտնվող՝ պետական սեփականություն հանդիսացող 307.61 հեկտար հողամասերից 251.96 հեկտարը, որից՝ գյուղատնտեսական նշանակության 210.43 հեկտար, բնակավայրերի հողերի՝ 27.23 հեկտար, արդյունաբերության, ընդերքօգտագործման և այլ արտադրական նշանակության օբյեկտների՝ 5.94 հեկտար, էներգետիկայի, տրանսպորտի, կապի և կոմունալ ենթակառուցվածքների օբյեկտների՝ 0.07 հեկտար, հատուկ պահպանվող տարածքների՝ 3.17 հեկտար, ջրային հողերի` 5.12 հեկտար անհատույց սեփականության իրավունքով փոխանցել Ախուրիկի գյուղական համայնքին՝ համաձայն NN 3, 4, 5 և 6 հավելվածների:
3. Սահմանել, որ Հայաստանի Հանրապետության հողային օրենսգրքի 60-րդ հոդվածի պահանջներին համապատասխան`
ա) Հայաստանի Հանրապետության Շիրակի մարզի Ախուրիկի գյուղական համայնքին անհատույց սեփականության իրավունքով փոխանցվող 251.96 հեկտար հողերից 49.45 հեկտարը մասնավորեցման ենթակա չէ.
բ) Հայաստանի Հանրապետության Շիրակի մարզի Ախուրիկի գյուղական համայնքի վարչական սահմաններում գտնվող հողերից 55.65 հեկտարը համարվում է պետական սեփականություն` համաձայն N 7 հավելվածի:
4. Ընդունել ի գիտություն Հայաստանի Հանրապետության Շիրակի մարզի Ախուրիկի գյուղական համայնքի հողային ֆոնդի առկայության և բաշխման մասին հաշվետվությունը` 2005 թվականի հունվարի 1-ի դրությամբ` համաձայն NN 8 և 9 հավելվածների:
5. Հայաստանի Հանրապետության կառավարությանն առընթեր անշարժ գույքի կադաստրի պետական կոմիտեի նախագահին` սահմանված կարգով ապահովել սկզբնական հաշվառման նյութերի տրամադրումը Հայաստանի Հանրապետության Շիրակի մարզի Ախուրիկի գյուղական համայնքի ղեկավարին` հողերի ընթացիկ հաշվառումն անցկացնելու և համայնքի հողային հաշվեկշիռը կազմելու համար:
6. Թույլատրել Հայաստանի Հանրապետության կառավարությանն առընթեր անշարժ գույքի կադաստրի պետական կոմիտեի նախագահին Հայաստանի Հանրապետության պետական գեոդեզիական ցանցի հավասարակշռման արդյունքների հիման վրա Հայաստանի Հանրապետության վարչատարածքային միավորների սահմանանիշերի կոորդինատների ժողովածուի հրատարակումից հետո հողային ֆոնդի ընթացիկ հաշվառման ժամանակ Հայաստանի Հանրապետության Շիրակի մարզի Ախուրիկի գյուղական համայնքի հողային հաշվեկշռում սահմանված կարգով կատարել համապատասխան փոփոխություններ:
7. Հայաստանի Հանրապետության Շիրակի մարզպետին` Հայաստանի Հանրապետության կառավարության 2000 թվականի հոկտեմբերի 23-ի N 656 որոշմամբ սահմանված կարգով` սկզբնական հաշվառման տվյալների հիման վրա ապահովել մարզի տարածքում ընթացիկ հաշվառման աշխատանքների իրականացումը:
8. Սույն որոշումն ուժի մեջ է մտնում պաշտոնական հրապարակմանը հաջորդող օրվանից։
|
|
Ա. Մարգարյան |
|
|
|
|
|
ՀԱՅԱՍՏԱՆԻ ՀԱՆՐԱՊԵՏՈՒԹՅԱՆ ՇԻՐԱԿԻ ՄԱՐԶԻ ԱԽՈՒՐԻԿԻ ԳՅՈՒՂԱԿԱՆ ՀԱՄԱՅՆՔԻ ՎԱՐՉԱԿԱՆ ՍԱՀՄԱՆՆԵՐԻ ՀԱՏԱԿԱԳԻԾԸ
Հայաստանի Հանրապետության կառավարության աշխատակազմի ղեկավար-նախարար |
Մ. Թոփուզյան |
|
|
|
ՀՀ ՇԻՐԱԿԻ ՄԱՐԶԻ ԱԽՈՒՐԻԿԻ ԳՅՈՒՂԱԿԱՆ ՀԱՄԱՅՆՔԻ ՎԱՐՉԱԿԱՆ ՍԱՀՄԱՆՆԵՐԻ ՆԿԱՐԱԳՐՈՒԹՅՈՒՆԸ
Ախուրիկ գյուղական համայնքը գտնվում է մարզի արևմտյան մասում։
Հեռավորությունը մարզկենտրոն ք. Գյումրիից մոտ 8 կմ է։
Համայնքը հյուսիսից և հյուսիս-արևելքից «Ա»-«Բ» հատվածով սահմանակից է Ոսկեհասկ գյուղական համայնքին, արևելքից «Բ»-«Գ» հատվածով` Ղարիբջանյան գյուղական համայնքին, «Գ»-«Դ» հատվածով` Գետք գյուղական համայնքին, հարավից «Դ»-«Ե» հատվածով՝ Երազգավորս գյուղական համայնքին, «Ե»-«Ա» հատվածով՝ պետական սահմանին։
ԱԽՈՒՐԻԿ-ՈՍԿԵՀԱՍԿ ՍԱՀՄԱՆԱԳԻԾԸ՝ «Ա»-«Բ»
Ջամշլու գետի ափին գտնվող՝ Ախուրիկ, Ոսկեհասկ գյուղական համայնքների և պետական սահմանի տարածքների բաժանման «Ա» հանգուցային սահմանակետից սահմանագիծը թեքվում է դեպի արևելք, անցնում 217.5 մ, հասնում թիվ 1 սահմանակետին, հատելով սահմանային ինժեներական կառույցը, անցնելով 1018.6 մ, հասնում թիվ 2 սահմանակետին, ապա նույն ուղղությամբ, կրկին հատելով սահմանային ինժեներական կառույցը, Ոսկեհասկ-Ախուրիկ միջհամայնքային ճանապարհը, Ողջի գետը, թիվ 3 սահմանակետով, անցնելով 2238.8 մ, հասնում թիվ 4 սահմանակետին, որտեղից թեքվելով հարավ-արևելք, հատելով Գյումրի-Ախուրիկ միջգյուղյա ճանապարհը, շարունակվելով նույն ուղղությամբ, անցնելով 819.1 մ, հասնում Ախուրյան գետի ափին գտնվող՝ Ախուրիկ, Ոսկեհասկ և Ղարիբջանյան համայնքների տարածքների բաժանման «Բ» հանգուցային սահմանակետին։
«Ա»-«Բ» սահմանագծի ընղհանուր՛ երկարությունը 4294.0 մ է։
ԱԽՈՒՐԻԿ-ՂԱՐԻԲՋԱՆՅԱՆ ՍԱՀՄԱՆԱԳԻԾԸ՝ «Բ»-«Գ»
Ախուրյան գետի ափին գտնվող՝ Ախուրիկ, Ոսկեհասկ և Ղարիբջանյան համայնքների տարածքների բաժանման «Բ» հանգուցային սահմանակետից սահմանագիծը գետով թեքվում է դեպի հարավ-արևմուտք, անցնում 1442.4 մ, հասնում գետի ափին գտնվող՝ Ախուրիկ, Ղարիբջանյան և Գետք համայնքների տարածքների բաժանման «Գ» հանգուցային սահմանակետին։
«Բ»-«Գ» սահմանագծի ընդհանուր երկարությունը 1442.4 մ է։
ԱԽՈՒՐԻԿ-ԳԵՏՔ ՍԱՀՄԱՆԱԳԻԾԸ՝ «Գ»-«Դ»
Ախուրյան գետի ափին գտնվող՝ Ախուրիկ, Ղարիբջանյան և Գետք համայնքների տարածքների բաժանման «Գ» հանգուցային սահմանակետից սահմանագիծը գետով թեքվում է դեպի հարավ, անցնում 2250.0 մ, հասնում գետի ափին գտնվող՝ Ախուրիկ, Գետք և Երազգավորս համայնքների տարածքների բաժանման «Դ» հանգուցային սահմանակետին։
«Գ»-«Դ» սահմանագծի ընդհանուր երկարությունը 2250.0 մ է։
ԱԽՈՒՐԻԿ-ԵՐԱԶԳԱՎՈՐՍ ՍԱՀՄԱՆԱԳԻԾԸ՝ «Դ»-«Ե»
Ջամշլու գետի ափին գտնվող` Ախուրիկ, Երազգավորս համայնքների և պետական սահմանի տարածքների բաժանման «Ե» հանգուցային սահմանակետից, սահմանագիծը թեքվելով դեպի հարավ-արևելք, հատելով սահմանային ինժեներական կառույցը, անցնելով 231.3 մ, հասնում թիվ 1 սահմանակետին, ապա նույն ուղղությամբ, թիվ 2, 3 սահմանակետերով անցնելով 1364.8 մ, հատելով սահմանային ինժեներական կառույցը, հասնում թիվ 4 սահմանակետին։ Թիվ 4 սահմանակետից սահմանագիծը նույն ուղղությամբ, հատելով Ախուրիկ-Երազգավորս միջհամայնքային ճանապարհը, թիվ 5-7 սահմանակետերով անցնելով 1105.1 մ, հասնում Ախուրիկ, Գետք և Երազգավորս համայնքների տարածքների բաժանման «Դ» հանգուցային սահմանակետին։
«Դ»-«Ե» սահմանագծի ընդհանուր երկարությունը 2701.2 մ է։
ԱԽՈՒՐԻԿ-ՊԵՏԱԿԱՆ ՍԱՀՄԱՆԻ ՍԱՀՄԱՆԱԳԻԾԸ` «Ե»-«Ա»
Ջամշլու գետի ափին գտնվող` Ախուրիկ, Ոսկեհասկ համայնքների և պետական սահմանի տարածքների բաժանման «Ա» հանգուցային սահմանակետից սահմանագիծը թեքվում է դեպի հարավ, Ջամշլու գետով, անցնելով 3312.69մ, հատում Գյումրի-Ղարս երկաթգիծը, այնուհետև Գյումրի-Ղարս հանրապետական նշանակություն ունեցող ճանապարհը, հասնում Ջամշլու գետի ափին գտնվող՝ Ախուրիկ, Երազգավորս համայնքների և պետական սահմանի տարածքների բաժանման «Ե» հանգուցային սահմանակետին։ ,«Ե»-«Ա» սահմանագիծը համընկնում է պետական սահմանի հետ։
«Ե»-«Ա» սահմանագծի ընղհանուր երկարությունը 3312.69 մ է։
|
|
|
ՀԱՅԱՍՏԱՆԻ ՀԱՆՐԱՊԵՏՈՒԹՅԱՆ ՇԻՐԱԿԻ ՄԱՐԶԻ ԱԽՈՒՐԻԿԻ ԳՅՈՒՂԱԿԱՆ ՀԱՄԱՅՆՔԻ ՀՈՂԱՇԻՆԱՐԱՐԱԿԱՆ ՀԱՏԱԿԱԳԻԾԸ
Հայաստանի Հանրապետության
կառավարության աշխատակազմի
ղեկավար-նախարարՄ. Թոփուզյան
|
|
|
Ա Ն Վ Ա Ն Ա Ց Ա Ն Կ
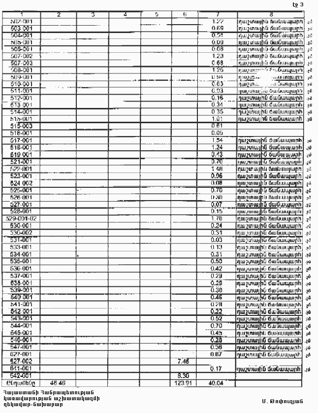
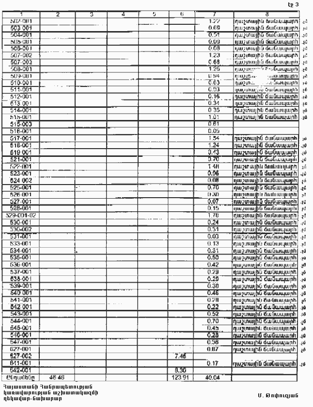
ՀԱՅԱՍՏԱՆԻ ՀԱՆՐԱՊԵՏՈՒԹՅԱՆ ՇԻՐԱԿԻ ՄԱՐԶԻ ԱԽՈՒՐԻԿԻ ԳՅՈՒՂԱԿԱՆ ՀԱՄԱՅՆՔԻ ՎԱՐՉԱԿԱՆ ՍԱՀՄԱՆՆԵՐՈՒՄ ԳՏՆՎՈՂ` ՊԵՏԱԿԱՆ ՍԵՓԱԿԱՆՈՒԹՅՈՒՆ ՀԱՆԴԻՍԱՑՈՂ ՀՈՂԵՐԻՑ ԱԽՈՒՐԻԿԻ ԳՅՈՒՂԱԿԱՆ ՀԱՄԱՅՆՔԻՆ ԱՆՀԱՏՈՒՅՑ ՓՈԽԱՆՑՎՈՂ ՀՈՂԵՐԻ
Հայաստանի Հանրապետության կառավարության աշխատակազմի ղեկավար-նախարար |
Մ. Թոփուզյան |
|
|
Ց Ա Ն Կ
ՀԱՅԱՍՏԱՆԻ ՀԱՆՐԱՊԵՏՈՒԹՅԱՆ ՇԻՐԱԿԻ ՄԱՐԶԻ ԱԽՈՒՐԻԿԻ ԳՅՈՒՂԱԿԱՆ ՀԱՄԱՅՆՔԻ ՎԱՐՉԱԿԱՆ ՍԱՀՄԱՆՆԵՐՈՒՄ ԳՏՆՎՈՂ` ՊԵՏԱԿԱՆ ՍԵՓԱԿԱՆՈՒԹՅՈՒՆ ՀԱՆԴԻՍԱՑՈՂ ՀՈՂԵՐԻՑ ԱԽՈՒՐԻԿԻ ԳՅՈՒՂԱԿԱՆ ՀԱՄԱՅՆՔԻՆ ԱՆՀԱՏՈՒՅՑ ՓՈԽԱՆՑՎՈՂ ՀՈՂԵՐԻ
Հայաստանի Հանրապետության կառավարության աշխատակազմի ղեկավար-նախարար |
Մ. Թոփուզյան |
|
|
Ց Ա Ն Կ
ՀԱՅԱՍՏԱՆԻ ՀԱՆՐԱՊԵՏՈՒԹՅԱՆ ՇԻՐԱԿԻ ՄԱՐԶԻ ԱԽՈՒՐԻԿԻ ԳՅՈՒՂԱԿԱՆ ՀԱՄԱՅՆՔԻ ՎԱՐՉԱԿԱՆ ՍԱՀՄԱՆՆԵՐՈՒՄ ԳՏՆՎՈՂ` ՊԵՏԱԿԱՆ ՍԵՓԱԿԱՆՈՒԹՅՈՒՆ ՀԱՆԴԻՍԱՑՈՂ ՀՈՂԵՐԻՑ ԱԽՈՒՐԻԿԻ ԳՅՈՒՂԱԿԱՆ ՀԱՄԱՅՆՔԻՆ ԱՆՀԱՏՈՒՅՑ ՓՈԽԱՆՑՎՈՂ ՀՈՂԵՐԻ (ԸՍՏ ՆՊԱՏԱԿԱՅԻՆ ՆՇԱՆԱԿՈՒԹՅԱՆ)
Հայաստանի Հանրապետության կառավարության աշխատակազմի ղեկավար-նախարար |
Մ. Թոփուզյան |
|
|
Ց Ա Ն Կ
ՀԱՅԱՍՏԱՆԻ ՀԱՆՐԱՊԵՏՈՒԹՅԱՆ ՇԻՐԱԿԻ ՄԱՐԶԻ ԱԽՈՒՐԻԿԻ ԳՅՈՒՂԱԿԱՆ ՀԱՄԱՅՆՔԻ ՎԱՐՉԱԿԱՆ ՍԱՀՄԱՆՆԵՐՈՒՄ ԳՏՆՎՈՂ` ՊԵՏԱԿԱՆ ՍԵՓԱԿԱՆՈՒԹՅՈՒՆ ՀԱՆԴԻՍԱՑՈՂ ՀՈՂԵՐԻ (ԸՍՏ ՆՊԱՏԱԿԱՅԻՆ ՆՇԱՆԱԿՈՒԹՅԱՆ)
Հայաստանի Հանրապետության
կառավարության աշխատակազմի
ղեկավար-նախարարՄ. Թոփուզյան
|
|
Հ Ա Շ Վ Ե Տ Վ ՈՒ Թ Յ ՈՒ Ն
ՀԱՅԱՍՏԱՆԻ ՀԱՆՐԱՊԵՏՈՒԹՅԱՆ ՇԻՐԱԿԻ ՄԱՐԶԻ ԱԽՈՒՐԻԿԻ ԳՅՈՒՂԱԿԱՆ ՀԱՄԱՅՆՔԻ ՀՈՂԱՅԻՆ ՖՈՆԴԻ ԱՌԿԱՅՈՒԹՅԱՆ ԵՎ ԲԱՇԽՄԱՆ ՄԱՍԻՆ
2005 թվականի հունվարի 1-ի դրությամբ
Հայաստանի Հանրապետության
կառավարության աշխատակազմի
ղեկավար-նախարարՄ. Թոփուզյան
|
|
Հ Ա Շ Վ Ե Տ Վ ՈՒ Թ Յ ՈՒ Ն
ՀԱՅԱՍՏԱՆԻ ՀԱՆՐԱՊԵՏՈՒԹՅԱՆ ՇԻՐԱԿԻ ՄԱՐԶԻ ԱԽՈՒՐԻԿԻ ԳՅՈՒՂԱԿԱՆ ՀԱՄԱՅՆՔԻ ՈՌՈԳՎՈՂ ՀՈՂԵՐԻ ԱՌԿԱՅՈՒԹՅԱՆ ԵՎ ԲԱՇԽՄԱՆ ՄԱՍԻՆ
Հայաստանի Հանրապետության
կառավարության աշխատակազմի
ղեկավար-նախարարՄ. Թոփուզյան