«Վավերացնում եմ»
Հայաստանի Հանրապետության
Նախագահ Ռ. Քոչարյան
19 նոյեմբերի 2005 թ.
ՀԱՅԱՍՏԱՆԻ ՀԱՆՐԱՊԵՏՈՒԹՅԱՆ ԿԱՌԱՎԱՐՈՒԹՅՈՒՆ
Ո Ր Ո Շ ՈՒ Մ
6 հոկտեմբերի 2005 թվականի N 1910-Ն
ՀԱՅԱՍՏԱՆԻ ՀԱՆՐԱՊԵՏՈՒԹՅԱՆ ՍՅՈՒՆԻՔԻ ՄԱՐԶԻ ԼԾԵՆԻ ԳՅՈՒՂԱԿԱՆ ՀԱՄԱՅՆՔԻ ՎԱՐՉԱԿԱՆ ՍԱՀՄԱՆՆԵՐԻ ՆԿԱՐԱԳԻՐԸ ՀԱՍՏԱՏԵԼՈՒ ԵՎ ԼԾԵՆԻ ԳՅՈՒՂԱԿԱՆ ՀԱՄԱՅՆՔԻ ՎԱՐՉԱԿԱՆ ՍԱՀՄԱՆՆԵՐՈՒՄ ԳՏՆՎՈՂ` ՊԵՏԱԿԱՆ ՍԵՓԱԿԱՆՈՒԹՅՈՒՆ ՀԱՆԴԻՍԱՑՈՂ ՀՈՂԱՄԱՍԵՐՆ ԱՆՀԱՏՈՒՅՑ ՍԵՓԱԿԱՆՈՒԹՅԱՆ ԻՐԱՎՈՒՆՔՈՎ ՀԱՄԱՅՆՔԻՆ ՓՈԽԱՆՑԵԼՈՒ ՄԱՍԻՆ
Հայաստանի Հանրապետության հողային օրենսգրքի 34-րդ ու 56-րդ, «Տեղական ինքնակառավարման մասին» Հայաստանի Հանրապետության օրենքի 6-րդ, 47-րդ ու 84-րդ և «Հայաստանի Հանրապետության վարչատարածքային բաժանման մասին» Հայաստանի Հանրապետության օրենքի 6-րդ հոդվածների պահանջներին համապատասխան` Հայաստանի Հանրապետության կառավարությունը որոշում է.
1. Հաստատել Հայաստանի Հանրապետության Սյունիքի մարզի Լծենի գյուղական համայնքի վարչական սահմանների նկարագիրը` համաձայն NN 1 և 2 հավելվածների:
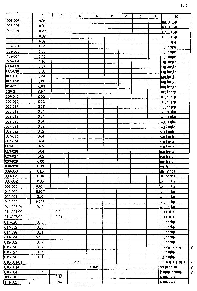
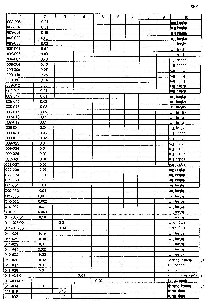
2. Հայաստանի Հանրապետության Սյունիքի մարզի Լծենի գյուղական համայնքի վարչական սահմաններում գտնվող՝ պետական սեփականություն հանդիսացող 1382.29 հեկտար հողամասերից 1166.98 հեկտարը, որից՝ գյուղատնտեսական նշանակության 1156.75 հեկտար, բնակավայրերի հողերի՝ 8.58 հեկտար, արդյունաբերության, ընդերքօգտագործման և այլ արտադրական նշանակության օբյեկտների՝ 1.37 հեկտար, էներգետիկայի, տրանսպորտի, կապի և կոմունալ ենթակառուցվածքների օբյեկտների՝ 0.02 հեկտար, հատուկ պահպանվող տարածքների՝ 0.26 հեկտար, անհատույց սեփականության իրավունքով փոխանցել Լծենի գյուղական համայնքին՝ համաձայն NN 3, 4, 5 և 6 հավելվածների:
3. Սահմանել, որ Հայաստանի Հանրապետության հողային օրենսգրքի 60-րդ հոդվածի պահանջներին համապատասխան`
ա) Հայաստանի Հանրապետության Սյունիքի մարզի Լծենի գյուղական համայնքին անհատույց սեփականության իրավունքով փոխանցվող 1166.98 հեկտար հողերից 28.74 հեկտարը մասնավորեցման ենթակա չէ.
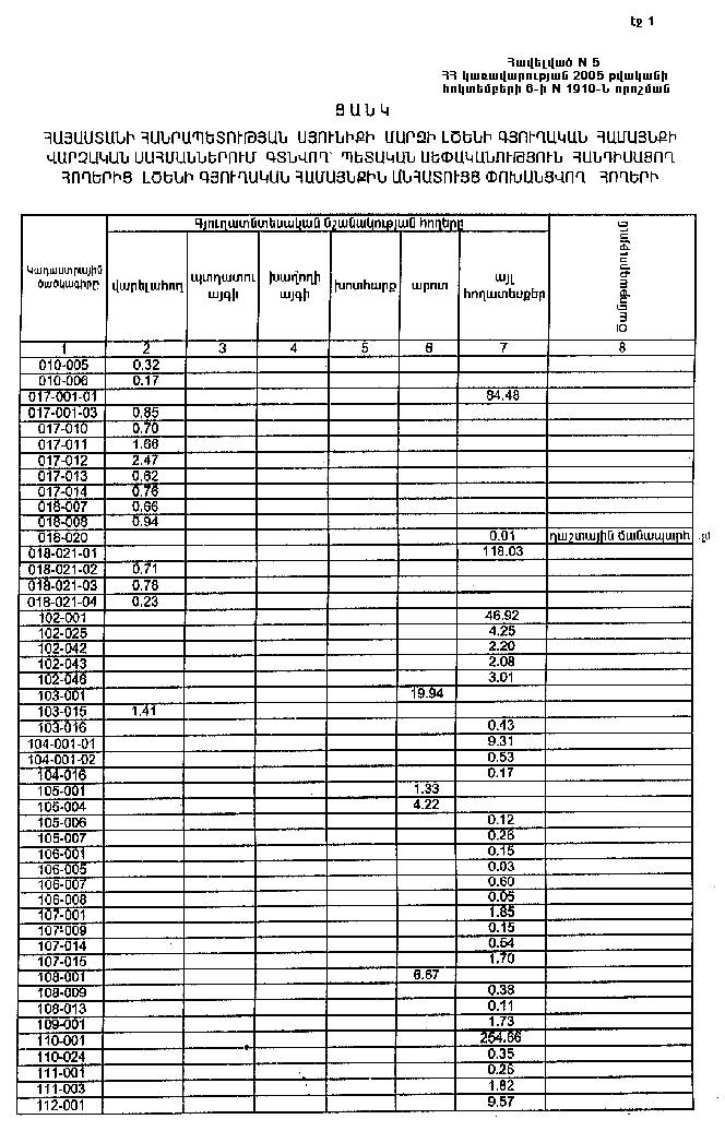
բ) Հայաստանի Հանրապետության Սյունիքի մարզի Լծենի գյուղական համայնքի վարչական սահմաններում գտնվող հողերից 215.31 հեկտարը համարվում է պետական սեփականություն` համաձայն N 7 հավելվածի:
4. Ընդունել ի գիտություն Հայաստանի Հանրապետության Սյունիքի մարզի Լծենի գյուղական համայնքի հողային ֆոնդի առկայության և բաշխման մասին հաշվետվությունը` 2005 թվականի հունվարի 1-ի դրությամբ` համաձայն NN 8 և 9 հավելվածների:
5. Հայաստանի Հանրապետության կառավարությանն առընթեր անշարժ գույքի կադաստրի պետական կոմիտեի նախագահին` սահմանված կարգով ապահովել սկզբնական հաշվառման նյութերի տրամադրումը Հայաստանի Հանրապետության Սյունիքի մարզի Լծենի գյուղական համայնքի ղեկավարին` հողերի ընթացիկ հաշվառումն անցկացնելու և համայնքի հողային հաշվեկշիռը կազմելու համար:
6. Թույլատրել Հայաստանի Հանրապետության կառավարությանն առընթեր անշարժ գույքի կադաստրի պետական կոմիտեի նախագահին Հայաստանի Հանրապետության պետական գեոդեզիական ցանցի հավասարակշռման արդյունքների հիման վրա Հայաստանի Հանրապետության վարչատարածքային միավորների սահմանանիշերի կոորդինատների ժողովածուի հրատարակումից հետո հողային ֆոնդի ընթացիկ հաշվառման ժամանակ Հայաստանի Հանրապետության Սյունիքի մարզի Լծենի գյուղական համայնքի հողային հաշվեկշռում սահմանված կարգով կատարել համապատասխան փոփոխություններ:
7. Հայաստանի Հանրապետության Սյունիքի մարզպետին` Հայաստանի Հանրապետության կառավարության 2000 թվականի հոկտեմբերի 23-ի N 656 որոշմամբ սահմանված կարգով` սկզբնական հաշվառման տվյալների հիման վրա ապահովել մարզի տարածքում ընթացիկ հաշվառման աշխատանքների իրականացումը:
8. Սույն որոշումն ուժի մեջ է մտնում պաշտոնական հրապարակմանը հաջորդող օրվանից։
|
Հայաստանի Հանրապետության |
Ա. Մարգարյան |
|
|
|
Հավելված N 1 | |
|
| |
Հայաստանի Հանրապետության կառավարության աշխատակազմի ղեկավար-նախարար |
Մ. Թոփուզյան |
|
| |
|
Լծեն գյուղական համայնքը գտնվում է մարգի հյուսիսային մասում։ Հեռավորությունը մարզկենտրոն ք. Կապանից 136 կմ է։ Համայնքն «Ա»-«Բ» հատվածով սահմանակից է մարզի համայնքների վարչական սահմաններից դուրս գտնվող հողերին, «Բ»-«Գ» հատվածով` Հարժիս գյուղական համայնքին, «Գ»-«Դ» հատվածով` մարզի համայնքների վարչական սահմաններից դուրս գտնվող անտառային հողերին, «Դ»-«Ե» հատվածով` մարզի համայնքների վարչական սահմաններից դուրս գտնվող հողերին, «Ե»-«Զ» հատվածով` Լոր գյուղական համայնքին, «Զ»-«է» հատվածով` Գետաթաղ գյուղական համայնքին, «Է»-«Ա» հատվածով` Դարբաս գյուղական համայնքին։ ԼԾԵՆ-ՄԱՐԶԻ ՀԱՄԱՅՆՔՆԵՐԻ ՎԱՐՉԱԿԱՆ ՍԱՀՄԱՆՆԵՐԻՑ ԴՈՒՐՍ ԳՏՆՎՈՂ ՀՈՂԵՐ ՍԱՀՄԱՆԱԳԻԾԸ` «Ա»-«Բ» Լծեն, Դարբաս համայնքների տարածքների, մարզի համայնքների վարչական սահմաններից դուրս գտնվող հողերի բաժանման «Ա» հանգուցային սահմանակետից, որը գտնվում է Գորիս տանող մայրուղու եզրին, սահմանագիծը թեքվում է դեպի հարավ-արևելք, թիվ 1, 2 սահմանակետերով անցնում 616.9 մ, հասնում է թիվ 3 սահմանակետը, ապա թեքվում է հարավ-արևելք, անցնում 59.0 մ, հասնում է Լծեն, Հարժիս համայնքների տարածքների, մարզի համայնքների վարչական սահմաններից դուրս գտնվող հոդերի բաժանման «Բ» հանգուցային սահմանակետը։ «Ա»-«Բ» սահմանագծերի ընդհանուր երկարությունը 676.0 մ է։ ԼԾԵՆ-ՀԱՐԺԻՍ ՍԱՀՄԱՆԱԳԻԾԸ` «Բ»-«Գ» Լծեն, Հարժիս համայնքների տարածքների, մարզի համայնքների վարչական սահմաններից դուրս գտնվող հողերի բաժանման «Բ» հանգուցային սահմանակետից սահմանագիծը թեքվում է հարավ, լանջով և թիվ 1 սահմանակետով անցնելով 975.6 մ` հասնում է թիվ 2 սահմանակետը, ապա թեքվում է դեպի հարավ-արևմուտք, լեռնալանջով, թիվ 3-10 սահմանակետերով անցնելով 3031.4 մ` հասնում է Շիշթափա լեռան գագաթին գտնվող թիվ 11 սահմանակետը։ Թիվ 11 սահմանակետից սահմանագիծը դարձյալ թեքվում է դեպի հարավ-արևմուտք, անցնում 299.8 մ, հասնում է ժայռի վրա գտնվող թիվ 12 սահմանակետը։ Թիվ 12 սահմանակետից սահմանագիծը թեքվում է դեպի հարավ, անցնում 803.5 մ, հասնում է առվի հետ հատման թիվ 13 սահմանակետը, այստեղից թեքվում է դեպի հարավ-արևմուտ, անցնում 793.5 մ, հասնում է Որոտան գետի հետ հատման թիվ 14 սահմանակետը։ Թիվ 14 սահմանակետից սահմանագիծը Որոտան գետով` հոսանքի ուղղությամբ թեքվում է դեպի հարավ-արևելք, անցնում 2566.4 մ, հասնում է Լծեն, Հարժիս համայնքների տարածքների, մարզի համայնքների վարչական սահմաններից դուրս գտնվող անտառային հողերի բաժանման «Գ» հանգուցային սահմանակետը։ «Բ»-«Գ» սահմանագծի ընդհանուր երկարությունը 8470.2 մ է։ ԼԾԵՆ-ՄԱՐԶԻ ՀԱՄԱՅՆՔՆԵՐԻ ՎԱՐՉԱԿԱՆ ԱԱՀՄԱՆՆԵՐԻՑ ԴՈՒՐՍ ԳՏՆՎՈՂ ԱՆՏԱՌԱՅԻՆ ՀՈՂԵՐ ՍԱՀՄԱՆԱԳԻԾԸ` «Գ»-«Դ» Լծեն, Հարժիս համայնքների տարածքների, մարզի համայնքների վարչական սահմաններից դուրս գտնվող անտառային հողերի բաժանման «Գ» հանգուցային սահմանակետից սահմանագիծը թեքվում է դեպի հարավ-արևմուտք, անցնում 296.4 մ և հատելով անտառը, գետը, հասնում է թիվ 1 սահմանակետը, ապա թեքվում է հարավ-արևմուտք, գետով, թիվ 2-4 սահմանակետերով անցնում 1037.7 մ, հասնում է թիվ 5 սահմանակետը։ Թիվ 5 սահմանակետից սահմանագիծը թեքվում է հարավ-արևմուտք, գետով, թիվ 6, 7 սահմանակետերով անցնում 626.0 մ, հասնում է թիվ 8 սահմանակետը: Թիվ 8 սահմանակետից սահմանագիծը կրկին թեքվում է հարավ-արևմուտք, անցնում 394,7 մ հասնում է թիվ 9 սահմանակետը, այնուհետև թեքվում է հյուսիս-արևմուտք, անցնում 483,4 մ, հասնում Լծեն համայնքի տարածքի, մարզի համայնքների վարչական սահմաններից դուրս գտնվող հողերի և մարզի համայնքների վարչական սահմաններից դուրս գտնվող անտառային հողերի բաժանման «Դ» հանգուցային սահմանակետը։ «Գ»-«Դ» սահմանագծի ընդհանուր երկարությունը 2838.3 մ է։ ԼԾԵՆ-ՄԱՐԶԻ ՀԱՄԱՅՆՔՆԵՐԻ ՎԱՐՉԱԿԱՆ ՍԱՀՄԱՆՆԵՐԻՑ ԴՈՒՐՍ ԳՏՆՎՈՂ ՀՈՂԵՐ ՍԱՀՄԱՆԱԳԻԾԸ` «Դ»-«Ե» Լծեն համայնքի տարածքի, մարզի համայնքների վարչական սահմաններից դուրս գտնվող հողերի և մարզի համայնքների վարչական սահմաններից դուրս գտնվող անտառային հոդերի բաժանման «Դ» հանգուցային սահմանակետից սահմանագիծը թեքվում է հյուսիս-արևմուտք, անցնում 378.5 մ, հասնում է թիվ 1 սահմանակետը, թեքվում է դեպի հյուսիս-արևմուտք, անցնում 385.4 մ, հասնում է թիվ 2 սահմանակետը, ապա թեքվում է հյուսիս-արևմուտք, անցնում 399.5 մ, հասնում է Լծեն, Լոր համայնքների տարածքների, մարզի համայնքների վարչական սահմաններից դուրս գտնվող հողերի բաժանման «Ե» հանգուցային սահմանակետը։ «Դ»-«Ե» սահմանագծի ընդհանուր երկարությունը 1163.4 մ է։ ԼԾԵՆ-ԼՈՐ ՍԱՀՄԱՆԱԳԻԾԸ` «Ե»-«Զ» Լծեն, Լոր, Գետաթաղ համայնքների տարածքների բաժանման «Զ» հանգուցային սահմանակետից սահմանագիծը թեքվում է հարավ-արևելք, անցնում 524.6 մ, ջրբաժանային սահմանով հասնում է Լծեն, Լոր համայնքների տարածքների, մարզի համայնքների վարչական սահմաններից դուրս գտնվող հողերի բաժանման «Ե» հանգուցային սահմանակետը։ «Ե»-«Զ» սահմանագծի ընդհանուր երկարությունը 524.6 մ Է։ ԼԾԵՆ-ԳԵՏԱԹԱՂ ՍԱՀՄԱՆԱԳԻԾԸ` «Զ»-«է» Լծեն, Լոր, Գետաթաղ համայնքների տարածքների բաժանման «Զ» հանգուցային սահմանակետից սահմանագիծը թեքվում Է դեպի հարավ-արևելք, հատում ձորը, անցնում 520.6 մ, հասնում թիվ 1 սահմանակետը, ապա թեքվում Է դեպի հարավ-արևելք, հատում ջրբաժանը, անցնում 471.3 մ, հասնում Է Լծեն, Դարբաս, Գետաթաղ համայնքների տարածքների բաժանման «Է» հանգուցային սահմանակետը։ «Զ»-«Է» սահմանագծի ընդհանուր երկարությունը 991.80 մ է։ ԼԾԵՆ-ԴԱՐԲԱՍ ՍԱՀՄԱՆԱԳԻԾԸ` «Է»-«Ա» Լծեն, Դարբաս համայնքների տարածքների, մարզի համայնքների վարչական սահմաններից դուրս գտնվող հողերի բաժանման «Ա» հանգուցային սահմանակետից սահմանագիծը թեքվում է հարավ-արևմուտք, թիվ 1 սահմանակետով անցնում 802.6 մ և հատելով ձորը` հասնում է թիվ 2 սահմանակետը, ապա թեքվում է հարավ, անցնում 296.1 մ, հասնում թիվ 3 սահմանակետը։ Թիվ 3 սահմանակետից սահմանագիծը թեքվում է հարավ-արևմուտք, թիվ 4, 5 սահմանակետերով անցնում 1628,6 մ, հասնում է թիվ 6 սահմանակետը, որտեղից թեքվում Է հարավ-արևմուտք, ռելիեֆային տեղանքով հատում ճանապարհը և անցնելով 364.3 մ` հասնում Է թիվ 7 սահմանակետը։ Թիվ 7 սահմանակետից սահմանագիծը թեքվում Է հարավ-արևելք, թիվ 8 սահմանակետով անցնում 415.6 մ, հասնում Է թիվ 9 սահմանակետը, որտեղից հատելով ճանապարհը` թեքվում Է հարավ-արևմուտք, անցնում 64,8 մ, հասնում թիվ 10 սահմանակետը, որը գտնվում Է ձորի եզրին։ Թիվ 10 սահմանակետից սահմանագիծը կրկին թեքվում Է հարավ-արևմուտք, թիվ 11, 12 սահմանակետերով անցնում 3011.5 մ, հասնում Է թիվ 14 սահմանակետը, ապա կրկին թեքվելով հարավ-արևմուտք` թիվ 15, 16 սահմանակետերով անցնում է 556.6 մ, հասնում թիվ 17 սահմանակետը, որը գտնվում է Շենատակ գետի ափին։ Թիվ 17 սահմանակետից սահմանագիծը գետով` հոսանքի հակառակ ուղղությամբ, թեքվում է դեպի հարավ-արևմուտք, թիվ 18-20 սահմանակետերով անցնում 640.5 մ, հասնում է թիվ 21 սահմանակետը, ապա թեքվում է հարավ-արևելք, անցնում 760.6 մ, հասնում է թիվ 22 սահմանակետը։ Թիվ 22 սահմանակետից սահմանագիծը թեքվում է հարավ-արևմուտք և հատելով ձորը, անցնում է 821.2 մ, հասնում թիվ 23 սահմանակետը, ապա թեքվում է հարավ-արևելք, անցնում 504.2 մ և անտառի եզրով հասնում է Լծեն, Դարբաս, Գետաթաղ համայնքների տարածքների բաժանման «է» հանգուցային սահմանակետը։ «է»-«Ա» սահմանագծի ընդհանուր երկարությունը 9866.3 մ է։ | |
Հայաստանի Հանրապետության կառավարության աշխատակազմի ղեկավար-նախարար |
Մ. Թոփուզյան |
|
| |
|
| |
Հայաստանի Հանրապետության կառավարության աշխատակազմի ղեկավար-նախարար |
Մ. Թոփուզյան |
|
| |
|
ՀԱՅԱՍՏԱՆԻ ՀԱՆՐԱՊԵՏՈՒԹՅԱՆ ՍՅՈՒՆԻՔԻ ՄԱՐԶԻ ԼԾԵՆԻ ԳՅՈՒՂԱԿԱՆ ՀԱՄԱՅՆՔԻ ՎԱՐՉԱԿԱՆ ՍԱՀՄԱՆՆԵՐՈՒՄ ԳՏՆՎՈՂ` ՊԵՏԱԿԱՆ ՍԵՓԱԿԱՆՈՒԹՅՈՒՆ ՀԱՆԴԻՍԱՑՈՂ ՀՈՂԵՐԻՑ ԼԾԵՆԻ ԳՅՈՒՂԱԿԱՆ ՀԱՄԱՅՆՔԻՆ ԱՆՀԱՏՈՒՅՑ ՓՈԽԱՆՑՎՈՂ ՀՈՂԵՐԻ | |
|
Հայաստանի Հանրապետության |
Մ. Թոփուզյան |
|
| |
|
ՀԱՅԱՍՏԱՆԻ ՀԱՆՐԱՊԵՏՈՒԹՅԱՆ ՍՅՈՒՆԻՔԻ ՄԱՐԶԻ ԼԾԵՆԻ ԳՅՈՒՂԱԿԱՆ ՀԱՄԱՅՆՔԻ ՎԱՐՉԱԿԱՆ ՍԱՀՄԱՆՆԵՐՈՒՄ ԳՏՆՎՈՂ` ՊԵՏԱԿԱՆ ՍԵՓԱԿԱՆՈՒԹՅՈՒՆ ՀԱՆԴԻՍԱՑՈՂ ՀՈՂԵՐԻՑ ԼԾԵՆԻ ԳՅՈՒՂԱԿԱՆ ՀԱՄԱՅՆՔԻՆ ԱՆՀԱՏՈՒՅՑ ՓՈԽԱՆՑՎՈՂ ՀՈՂԵՐԻ | |
Հայաստանի Հանրապետության կառավարության աշխատակազմի ղեկավար-նախարար |
Մ. Թոփուզյան |
|
| |
|
ՀԱՅԱՍՏԱՆԻ ՀԱՆՐԱՊԵՏՈՒԹՅԱՆ ՍՅՈՒՆԻՔԻ ՄԱՐԶԻ ԼԾԵՆԻ ԳՅՈՒՂԱԿԱՆ ՀԱՄԱՅՆՔԻ ՎԱՐՉԱԿԱՆ ՍԱՀՄԱՆՆԵՐՈՒՄ ԳՏՆՎՈՂ` ՊԵՏԱԿԱՆ ՍԵՓԱԿԱՆՈՒԹՅՈՒՆ ՀԱՆԴԻՍԱՑՈՂ ՀՈՂԵՐԻՑ ԼԾԵՆԻ ԳՅՈՒՂԱԿԱՆ ՀԱՄԱՅՆՔԻՆ ԱՆՀԱՏՈՒՅՑ ՓՈԽԱՆՑՎՈՂ ՀՈՂԵՐԻ (ԸՍՏ ՆՊԱՏԱԿԱՅԻՆ ՆՇԱՆԱԿՈՒԹՅԱՆ) | |
Հայաստանի Հանրապետության կառավարության աշխատակազմի ղեկավար-նախարար |
Մ. Թոփուզյան |
|
| |
|
ՀԱՅԱՍՏԱՆԻ ՀԱՆՐԱՊԵՏՈՒԹՅԱՆ ՍՅՈՒՆԻՔԻ ՄԱՐԶԻ ԼԾԵՆԻ ԳՅՈՒՂԱԿԱՆ ՀԱՄԱՅՆՔԻ ՎԱՐՉԱԿԱՆ ՍԱՀՄԱՆՆԵՐՈՒՄ ԳՏՆՎՈՂ` ՊԵՏԱԿԱՆ ՍԵՓԱԿԱՆՈՒԹՅՈՒՆ ՀԱՆԴԻՍԱՑՈՂ ՀՈՂԵՐԻ (ԸՍՏ ՆՊԱՏԱԿԱՅԻՆ ՆՇԱՆԱԿՈՒԹՅԱՆ) | |
Հայաստանի Հանրապետության կառավարության աշխատակազմի ղեկավար-նախարար |
Մ. Թոփուզյան |
|
| |
|
| |
Հայաստանի Հանրապետության կառավարության աշխատակազմի ղեկավար-նախարար |
Մ. Թոփուզյան |
|
| |
|
| |
|
|
Մ. Թոփուզյան |