ԵՎՐԱՍԻԱԿԱՆ ՏՆՏԵՍԱԿԱՆ ՀԱՆՁՆԱԺՈՂՈՎ
ԽՈՐՀՈՒՐԴ
Ո Ր Ո Շ ՈՒ Մ
|
14 սեպտեմբերի 2018 թվականի |
N 74 |
քաղ. Մոսկվա |
«ՏՐԱՆՍՊՈՐՏԱՅԻՆ ՓՈԽԱԴՐՄԱՆ ԵՎ (ԿԱՄ) ՕԳՏԱԳՈՐԾՄԱՆ ՀԱՄԱՐ ՆԱԽԱՊԱՏՐԱՍՏՎԱԾ ԲՆԱԿԱՆ ԱՅՐՎՈՂ ԳԱԶԻ ԱՆՎՏԱՆԳՈՒԹՅԱՆ ՄԱՍԻՆ» ԵՎՐԱՍԻԱԿԱՆ ՏՆՏԵՍԱԿԱՆ ՄԻՈՒԹՅԱՆ ՏԵԽՆԻԿԱԿԱՆ ԿԱՆՈՆԱԿԱՐԳԻ ՄԱՍԻՆ
«Եվրասիական տնտեսական միության մասին» 2014 թվականի մայիսի 29-ի պայմանագրի 52-րդ հոդվածին և Եվրասիական տնտեսական բարձրագույն խորհրդի 2014 թվականի դեկտեմբերի 23-ի N 98 որոշմամբ հաստատված՝ Եվրասիական տնտեսական հանձնաժողովի աշխատանքի կանոնակարգի N 1 հավելվածի 29-րդ կետին համապատասխան` Եվրասիական տնտեսական հանձնաժողովի խորհուրդը որոշեց.
1. Ընդունել կից ներկայացվող՝ «Տրանսպորտային փոխադրման և (կամ) օգտագործման համար նախապատրաստված բնական այրվող գազի անվտանգության մասին» Եվրասիական տնտեսական միության տեխնիկական կանոնակարգը (ԵԱՏՄ ՏԿ 046/2018)։
2. Սահմանել, որ «Տրանսպորտային փոխադրման և (կամ) օգտագործման համար նախապատրաստված բնական այրվող գազի անվտանգության մասին» Եվրասիական տնտեսական միության տեխնիկական կանոնակարգը (ԵԱՏՄ ՏԿ 046/2018) ուժի մեջ է մտնում 2022 թվականի հունվարի 1-ից։
3. Սույն որոշումն ուժի մեջ է մտնում դրա պաշտոնական հրապարակման օրվանից 30 օրացուցային օրը լրանալուց հետո։
Եվրասիական տնտեսական հանձնաժողովի խորհրդի անդամներ՝
|
Հայաստանի Հանրապետությունից` |
Բելառուսի Հանրապետությունից՝ |
Ղազախստանի Հանրապետությունից՝ |
Ղրղզստանի Հանրապետությունից` |
Ռուսաստանի Դաշնությունից՝ |
|
|
|
|
|
|
|
Մ. Գրիգորյան |
Ի. Պետրիշենկո |
Ա. Մամին |
Ժ. Ռազակով |
Ա. Սիլուանով |
|
ԸՆԴՈՒՆՎԱԾ Է Եվրասիական տնտեսական հանձնաժողովի խորհրդի 2018 թվականի սեպտեմբերի 14-ի N 74 որոշմամբ |
ՏԵԽՆԻԿԱԿԱՆ ԿԱՆՈՆԱԿԱՐԳ
«Տրանսպորտային փոխադրման և (կամ) օգտագործման համար նախապատրաստված բնական այրվող գազի անվտանգության մասին» Եվրասիական տնտեսական միության (ԵԱՏՄ ՏԿ 046/2018)
I. Կիրառման ոլորտը
1. Սույն տեխնիկական կանոնակարգը տարածվում է Եվրասիական տնտեսական միության (այսուհետ՝ Միություն) մաքսային տարածքում շրջանառության մեջ բաց թողնվող և շրջանառության մեջ գտնվող՝ մայրուղային գազատարներով տրանսպորտային փոխադրման համար նախապատրաստված բնական այրվող գազի, օգտագործման համար նախապատրաստված՝ արդյունաբերական և կոմունալ-կենցաղային նշանակության բնական այրվող գազի, սեղմված բնական այրվող գազի և հեղուկացված բնական այրվող գազի վրա (այսուհետ՝ արտադրանք):
2. Սույն տեխնիկական կանոնակարգը չի տարածվում պետական պաշտպանական պատվերով մատակարարվող և պետական նյութական պահուստի պահպանվածությունն ապահովող կազմակերպություններում պահման մեջ գտնվող արտադրանքի վրա, արտադրողի կողմից բացառապես սեփական կարիքների համար օգտագործվող արտադրանքի, Միության մաքսային տարածքի սահմաններից դուրս արտահանվող արտադրանքի, ինչպես նաև Միության մաքսային տարածքով երրորդ պետությունների սպառողներին տրանսպորտային փոխադրման ենթարկվող օտարերկրյա արտադրողների արտադրանքի վրա:
Oտարերկրյա արտադրողների` տրանսպորտային փոխադրման համար նախապատրաստված բնական այրվող գազի համար թույլատրվում է Միության մաքսային տարածքով տրանսպորտային փոխադրումը՝ պայմանով, որ տրանսպորտային փոխադրման ընթացքում Միության մաքսային տարածքում շրջանառության մեջ գտնվող արտադրանքի վրա ազդեցությունը չի հանգեցնում նշված արտադրանքի ցուցանիշների անհամապատասխանությանը սույն տեխնիկական կանոնակարգի պահանջներին։
(2-րդ կետը փոփ., լրաց. ԵՏՀԽ 23.05.25 թիվ 38)
3. Սույն տեխնիկական կանոնակարգով սահմանվում են արտադրանքի նկատմամբ պահանջներ՝ մարդու կյանքը և առողջությունը, գույքը, շրջակա միջավայրը, կենդանիների և բույսերի կյանքն ու (կամ) առողջությունը պաշտպանելու, սպառողներին (օգտագործողներին) մոլորության մեջ գցող գործողությունները կանխելու, ինչպես նաև էներգետիկ արդյունավետությունը և ռեսուրսախնայողությունն ապահովելու նպատակներով։
II. Հիմնական հասկացությունները
4. Սույն տեխնիկական կանոնակարգի կիրառման նպատակներով օգտագործվում են հասկացություններ, որոնք սահմանված են «Եվրասիական տնտեսական միության շրջանակներում տեխնիկական կանոնակարգման մասին» արձանագրությամբ («Եվրասիական տնտեսական միության մասին» 2014 թվականի մայիսի 29-ի պայմանագրի թիվ 9 հավելված), Եվրասիական տնտեսական հանձնաժողովի խորհրդի 2018 թվականի ապրիլի 18-ի թիվ 44 որոշմամբ հաստատված՝ համապատասխանության գնահատման տիպային սխեմաներով (այսուհետ՝ տիպային սխեմաներ), ինչպես նաև հասկացություններ, որոնք ունեն հետևյալ իմաստը՝
բնական այրվող գազ (ԲԱԳ)՝ գազանման խառնուրդ, որն արդյունահանվել է ածխաջրածնային հումքի բոլոր տեսակի հանքավայրերից (հանքակուտակներից), առավելապես բաղկացած է մեթանից ու պարունակում է ավելի ծանր ածխաջրածիններ, ազոտ, ածխածնի երկօքսիդ, ջրային գոլորշիներ, ծծումբ պարունակող միացություններ, իներտ գազեր, ինչպես նաև այլ բաղադրիչների հետքային քանակություններ.
սեղմված բնական այրվող գազ՝ բնական այրվող գազ, որը ենթարկվել է հատուկ մշակման՝ որպես վառելիք օգտագործվելու համար, այդ թվում՝ ներքին այրման շարժիչների համար.
տրանսպորտային փոխադրման համար նախապատրաստված բնական այրվող գազ՝ բնական այրվող գազ, որը ենթարկվել է տեխնոլոգիական գործողությունների՝ մայրուղային գազատարներով դրա անվտանգ փոխադրումն ապահովելու համար.
արդյունաբերական և կոմունալ-կենցաղային նշանակության բնական այրվող գազ՝ բնական այրվող գազ, որը մշակվել է՝ որպես հումք և (կամ) արդյունաբերական ու կոմունալ-կենցաղային նշանակության վառելիք օգտագործվելու համար.
հեղուկացված բնական այրվող գազ» (ՀԲԳ)՝ հեղուկ վիճակի բերված բնական այրվող գազ՝ տրանսպորտային փոխադրման, պահման և որպես վառելիք օգտագործման նպատակով․
արտադրանքի շրջանառությունը շուկայում՝ արտադրողից սպառողին արտադրանքի տեղաշարժի փուլերը, որոնց ենթարկվում է արտադրանքը շրջանառության մեջ դնելուց սկսած.
արտադրանքի խմբաքանակ՝ մեկ նպատակային նշանակության և մակնիշի (առկայության դեպքում) արտադրանքի քանակություն, որն ուղեկցվում է արտադրանքի որակի մեկ անձնագրով.
«արտադրանքի որակի անձնագիր»՝ փաստաթուղթ, որը պարունակում է տեղեկություններ շրջանառության մեջ բաց թողնվող և շրջանառության մեջ գտնվող արտադրանքի մասին և սահմանում է փորձարկումների (չափումների) արդյունքում ստացված արտադրանքի ցուցանիշների արժեքների համապատասխանությունը սույն տեխնիկական կանոնակարգի և այն փաստաթղթի պահանջներին, որին համապատասխան արտադրվել է արտադրանքը (առկայության դեպքում).
«չափումների միջոց հոսքային»՝ չափումների միջոց, որը համապատասխանում է չափումների միասնականության ապահովման ոլորտում Միության անդամ պետությունների օրենսդրությամբ սահմանված պահանջներին, նախատեսված է հոսքում շարժման մեջ գտնվող արտադրանքի ցուցանիշների անընդհատ չափումներ կատարելու համար ավտոմատ ռեժիմով.
սպառող՝ իրավաբանական կամ ֆիզիկական անձ, որը մտադրություն ունի ձեռք բերելու կամ ձեռք է բերում արտադրանքը բացառապես սեփական կարիքների համար։
(4-րդ կետը խմբ., փոփ., լրաց. ԵՏՀԽ 23.05.25 թիվ 38)
III. Միության շուկայում արտադրանքի շրջանառության կանոնները
5. Արտադրանքը շրջանառության մեջ է դրվում սույն տեխնիկական կանոնակարգի, ինչպես նաև Միության այնպիսի այլ տեխնիկական կանոնակարգերի պահանջներին համապատասխանելու դեպքում, որոնց գործողությունը տարածվում է դրա վրա, պայմանով, որ այն անցել է համապատասխանության գնահատում՝ համաձայն սույն տեխնիկական կանոնակարգի VI բաժնի, ինչպես նաև Միության այնպիսի այլ տեխնիկական կանոնակարգերի, որոնց գործողությունը տարածվում է դրա վրա։
51. Սույն տեխնիկական կանոնակարգի VI բաժնի համաձայն՝ Միության մաքսային տարածքի մի մասում արտադրված և համապատասխանության գնահատման ընթացակարգերն անցած՝ Միության անդամ չհանդիսացող պետությունների տարածքներով Միության մաքսային տարածքի մյուս մաս մատակարարվող արտադրանքի համար՝ նախքան այն շրջանառության մեջ բաց թողնելը, լրացուցիչ համապատասխանության գնահատում չի իրականացվում:
(5.1-ին կետը լրաց. ԵՏՀԽ 23.05.25 թիվ 38)
6. Սպառողի պահանջով արտադրողը (արտադրողի կողմից լիազորված անձը) կամ վաճառող (ներմուծողը) պարտավոր է ներկայացնել արտադրանքի համապատասխանությունը հավաստող փաստաթղթեր (արտադրանքի համապատասխանության հայտարարագրի և (կամ) արտադրանքի որակի անձնագրի պատճենները):
(6-րդ կետը լրաց., փոփ. ԵՏՀԽ 23.05.25 թիվ 38)
7. Չի թույլատրվում Միության շուկայում շրջանառության միասնական նշանով չմակնշված արտադրանքի շրջանառությունը։
(7-րդ կետը խմբ. ԵՏՀԽ 23.05.25 թիվ 38)
IV. Արտադրանքին ներկայացվող անվտանգության պահանջները
8. Տրանսպորտային փոխադրման համար նախապատրաստված՝ բնական այրվող գազը պետք է համապատասխանի 1-ին հավելվածով սահմանված պահանջներին:
9. Արդյունաբերական և կոմունալ-կենցաղային նշանակության բնական այրվող գազը պետք է համապատասխանի 2-րդ հավելվածով սահմանված պահանջներին:
10. Սեղմված բնական այրվող գազը պետք է համապատասխանի 3-րդ հավելվածով սահմանված պահանջներին:
11. Հեղուկացված բնական այրվող գազը պետք է համապատասխանի 4-րդ հավելվածով սահմանված պահանջներին:
12. Արտադրանքի յուրաքանչյուր խմբաքանակ պետք է ուղեկցվի արտադրանքի որակի անձնագրով, որը պարունակում է հետևյալ տեղեկատվությունը՝
ա) արտադրանքի անվանումը, մակնիշը (առկայության դեպքում) և պայմանական նշագիրը (առկայության դեպքում).
բ) այն կազմակերպության անվանումը, որը ձևակերպել է անձնագիրը և իրականացնում է արտադրանքի արտադրությունը, կամ տրանսպորտային փոխադրումը, կամ պահպանումը, կամ վաճառքը, գտնվելու վայրը (իրավաբանական անձի հասցեն)՝ իրավաբանական անձի համար կամ ազգանունը, անունը և հայրանունը ( առկայության դեպքում), բնակության վայրը՝ որպես անհատ ձեռնարկատեր գրանցված ֆիզիկական անձի համար.
գ) արտադրողի ապրանքային նշանը (առկայության դեպքում) (դրվում է անձնագրում).
դ) արտադրողի կողմից լիազորված անձի կամ ներմուծողի անվանումը, նրա գտնվելու վայրը (իրավաբանական անձի հասցեն)՝ իրավաբանական անձի համար, կամ ազգանունը, անունը և հայրանունը (առկայության դեպքում), բնակության վայրը՝ որպես անհատ ձեռնարկատեր գրանցված ֆիզիկական անձի համար.
ե) այն փաստաթղթի նշագիրն ու անվանումը, որին համապատասխան արտադրվել է արտադրանքը.
զ) փորձարկումների նորմատիվ արժեքները և լաբորատոր փորձարկումների (չափումների) կամ չափումների հոսքային միջոցների օգտագործմամբ ստացված չափումների արդյունքները, որոնք հավաստում են արտադրանքի համապատասխանությունը սույն տեխնիկական կանոնակարգի պահանջներին.
է) խմբաքանակի համարը (առկայության դեպքում), մատակարարման ժամանակահատվածը (ամսաթիվը).
ը) Միության շուկայում արտադրանքի շրջանառության միասնական նշանը (դրվում է անձնագրում).
թ) անձնագրի համարը և տրման ամսաթիվը.
ժ) անձնագիրը ձևակերպած անձի ստորագրությունը և ստորագրության վերծանումը:
(12-րդ կետը փոփ., լրաց. ԵՏՀԽ 23.05.25 թիվ 38)
121. Տրանսպորտային փոխադրման համար նախապատրաստված բնական այրվող գազի, արդյունաբերական և կոմունալ-կենցաղային նշանակության բնական այրվող գազի, սերիական արտադրության սեղմված բնական այրվող գազի որակի անձնագիրը ձևակերպվում է պարբերաբար կրկնվող յուրաքանչյուր խմբաքանակի համար՝ ամսական առնվազն մեկ անգամ։
Ղազախստանի Հանրապետության տարածքում սույն տեխնիկական կանոնակարգի 171-րդ կետին համապատասխան՝ շրջանառության մեջ բաց թողնվող արդյունաբերական և կոմունալ-կենցաղային նշանակության բնական այրվող գազի որակի անձնագրի ձևակերպումն իրականացվում է յուրաքանչյուր խմբաքանակի համար առնվազն 6 ամիսը մեկ անգամ։
(12.1-ին կետը լրաց. ԵՏՀԽ 23.05.25 թիվ 38)
122. Արտադրանքի խմբաքանակի ընդունման (հանձնման) ժամանակ փորձարկումների (չափումների) անցկացումը, ինչպես նաև դրանց պարբերականության սահմանումն իրականացվում են սույն տեխնիկական կանոնակարգի 15-րդ կետում նշված ստանդարտներին համապատասխան։
(12.2-րդ կետը լրաց. ԵՏՀԽ 23.05.25 թիվ 38)
123. Սեղմված բնական այրվող գազի որակի անձնագրում թույլատրվում է մուտքագրել սույն տեխնիկական կանոնակարգի պահանջներին համապատասխանող՝ սեղմման համար ստացվող բնական այրվող գազի որակի անձնագրում նշված փորձարկումների (չափումների) արդյունքները։
(12.3-րդ կետը լրաց. ԵՏՀԽ 23.05.25 թիվ 38)
124. Հեղուկացված բնական այրվող գազի ռեգազիֆիկացման ընթացքում ստացվող արդյունաբերական և կոմունալ-կենցաղային նշանակության բնական այրվող գազի որակի անձնագրում թույլատրվում են մուտքագրել սույն տեխնիկական կանոնակարգի պահանջներին համապատասխանող՝ սկզբնական հեղուկացված բնական այրվող գազի փորձարկման արդյունքները:
(12.4-րդ կետը լրաց. ԵՏՀԽ 23.05.25 թիվ 38)
13. Արտադրանքի խմբաքանակն ուղեկցող փաստաթղթերը կազմվում են ռուսերենով և Միության անդամ պետությունների (այսուհետ՝ անդամ պետություններ) օրենսդրության մեջ համապատասխան պահանջների առկայության դեպքում՝ այն անդամ պետության պետական լեզվով (պետական լեզուներով), որի տարածքում տվյալ խմբաքանակը կգտնվի շրջանառության մեջ։
(13-րդ կետը փոփ. ԵՏՀԽ 23.05.25 թիվ 38)
V. Տեխնիկական կանոնակարգի պահանջներին արտադրանքի համապատասխանության ապահովումը
14. Արտադրանքի անվտանգությունն ապահովվում է սույն տեխնիկական կանոնակարգով սահմանված պահանջների պահպանմամբ:
15. Արտադրանքի հետազոտությունների (չափումների) մեթոդները և պարբերականությունը, ընդունման (հանձնման) կանոնները, որոնք անհրաժեշտ են սույն տեխնիկական կանոնակարգի պահանջները կատարելու և արտադրանքի համապատասխանության գնահատումն իրականացնելու համար, սահմանվում են միջազգային ու տարածաշրջանային (միջպետական) ստանդարտների, իսկ դրանց բացակայության դեպքում՝ ազգային (պետական) ստանդարտների ցանկում ներառված ստանդարտներով, որոնք պարունակում են հետազոտությունների (փորձարկումների) և չափումների կանոններն ու մեթոդները, այդ թվում՝ սույն տեխնիկական կանոնակարգի պահանջների կիրառման ու կատարման և տեխնիկական կարգավորման օբյեկտների համապատասխանության գնահատումն իրականացնելու համար անհրաժեշտ նմուշառման կանոնները:
(15-րդ կետը փոփ. ԵՏՀԽ 23.05.25 թիվ 38)
VI. Տեխնիկական կանոնակարգի պահանջներին արտադրանքի համապատասխանության գնահատումը
16. Արտադրանքը շրջանառության մեջ դնելուց առաջ իրականացվում է սույն տեխնիկական կանոնակարգի պահանջներին արտադրանքի համապատասխանության գնահատում՝ համապատասխանությունը հավաստելու (համապատասխանությունը հայտարարագրելու) ձևով: Համապատասխանության հայտարարագրումն իրականացվում է հայտատուի կողմից: Հայտատու կարող է լինել անդամ պետության օրենսդրությանը համապատասխան դրա տարածքում գրանցված իրավաբանական անձը կամ որպես անհատ ձեռնարկատեր գրանցված ֆիզիկական անձը, որը հանդես է գալիս որպես արտադրող (արտադրողի կողմից լիազորված անձ) կամ վաճառող (ներմուծող)։
(16-րդ կետը փոփ. ԵՏՀԽ 23.05.25 թիվ 38)
17. Սույն տեխնիկական կանոնակարգի պահանջներին արտադրանքի համապատասխանության հայտարարագրումն իրականացվում է տիպային սխեմաներին համապատասխան՝ հաշվի առնելով սույն տեխնիկական կանոնակարգով սահմանված առանձնահատկությունները՝
ա) տրանսպորտային փոխադրման համար նախապատրաստված բնական այրվող գազի, արդյունաբերական և կոմունալ-կենցաղային նշանակության բնական այրվող գազի և սերիաներով շրջանառության մեջ բաց թողնվող սեղմված բնական այրվող գազի համար՝ 1հ, կամ Зհ, կամ 6հ սխեմայով․
բ) Միության տարածքում խմբաքանակներով շրջանառության մեջ բաց թողնվող՝ արդյունաբերական և կոմունալ-կենցաղային նշանակության բնական այրվող գազի և սեղմված բնական այրվող գազի համար՝ 4հ սխեմայով.
գ) սերիաներով թողարկվող հեղուկացված բնական այրվող գազի համար՝ Зհ կամ 6հ սխեմայով․
դ) Միության տարածքում խմբաքանակներով շրջանառության մեջ բաց թողնվող՝ տրանսպորտային փոխադրման համար նախապատրաստված բնական այրվող գազի և հեղուկացված բնական այրվող գազի համար՝ 2հ սխեմայով։
(17-րդ կետը խմբ. ԵՏՀԽ 23.05.25 թիվ 38)
171. Բնական այրվող գազից արտադրված՝ մայրուղային գազատարներով փոխադրվող արդյունաբերական և կոմունալ-կենցաղային նշանակության բնական այրվող գազի համար թույլատրվում է՝ նախքան շրջանառության մեջ բաց թողնելը, իրականացնել համապատասխանության գնահատում փորձարկումների ձևով՝ որակի անձնագրի ձևակերպմամբ:
(17.1-ին կետը լրաց. ԵՏՀԽ 23.05.25 թիվ 38)
172. Մայրուղային գազատարներով փոխադրվող բնական այրվող գազից արտադրված արդյունաբերական և կոմունալ-կենցաղային նշանակության բնական այրվող գազի համապատասխանության գնահատումն իրականացվում է անդամ պետության օրենսդրությանը համապատասխան՝ դրա տարածքում գրանցված հայտատուի (իրավաբանական անձի կամ որպես անհատ ձեռնարկատեր գրանցված ֆիզիկական անձի) կողմից, որը մայրուղային գազատարներով փոխադրվող բնական այրվող գազից արտադրված արդյունաբերական և կոմունալ-կենցաղային նշանակության բնական այրվող գազի վաճառող է։
(17.2-րդ կետը լրաց. ԵՏՀԽ 23.05.25 թիվ 38)
173. Մայրուղային գազատարներով փոխադրվող բնական այրվող գազից արտադրված արդյունաբերական և կոմունալ-կենցաղային նշանակության բնական այրվող գազի փորձարկումներն անցկացվում են սույն տեխնիկական կանոնակարգի թիվ 2 հավելվածով նախատեսված պահանջներին համապատասխանության մասով և իրենց մեջ ներառում են՝
ա) նմուշներ (փորձանմուշներ) վերցնելը.
բ) նմուշների (փորձանմուշների) փորձարկումների (չափումների) անցկացնելը սեփական փորձարկման լաբորատորիայում կամ հայտատուի կամ մայրուղային գազատարներով տրանսպորտային փոխադրում իրականացնող կազմակերպության հոսքի չափումների միջոցների օգտագործմամբ կամ Միության համապատասխանության գնահատման մարմինների միասնական ռեեստրում ընդգրկված հավատարմագրված փորձարկման լաբորատորիայում (կենտրոնում)․
գ) մայրուղային գազատարներով փոխադրվող բնական այրվող գազից արտադրված արդյունաբերական և կոմունալ-կենցաղային նշանակության բնական այրվող գազի փորձարկումների (չափումների) արդյունքները և սույն տեխնիկական կանոնակարգի պահանջներին համապատասխանության եզրակացությունը որակի անձնագրում ներառելը:
(17.3-րդ կետը լրաց. ԵՏՀԽ 23.05.25 թիվ 38)
18. Սույն տեխնիկական կանոնակարգի պահանջներին արտադրանքի համապատասխանության հավաստում անցկացնելիս հայտատուն համապատասխանության հայտարարագիրը գրանցելու համար կազմում է փաստաթղթերի և տեղեկությունների փաթեթ, որը ներառում է.
ա) Եվրասիական տնտեսական հանձնաժողովի կողմից հաստատված՝ միասնական ձևով ձևակերպված՝ սույն տեխնիկական կանոնակարգի պահանջներին արտադրանքի համապատասխանության հայտարարագիրը.
բ) սույն տեխնիկական կանոնակարգի պահանջներին արտադրանքի համապատասխանությունը հավաստող փորձարկումների (չափումների) արձանագրությունները.
գ) որակի կառավարման համակարգի սերտիֆիկատի պատճենը (6հ ընթացակարգով հայտարարագրելու դեպքում).
դ) անդամ պետության օրենսդրությանը համապատասխան՝ իրավաբանական անձի կամ որպես անհատ ձեռնարկատեր ֆիզիկական անձի պետական գրանցման ժամանակ տրվող՝ հայտատուի գրանցման կամ հաշվառման (անհատական, նույնականացման) համարի մասին տեղեկություններ.
ե) արտադրանքի խմբաքանակի մատակարարման պայմանագիրը և արտադրանքի խմբաքանակը, այդ թվում՝ չափը նույնականացնող ապրանքաուղեկից փաստաթղթերը (առկայության դեպքում) (2հ և 4հ սխեմաներով հայտարարագրելու դեպքում):
(18-րդ կետը լրաց., խմբ. ԵՏՀԽ 23.05.25 թիվ 38)
19. Համապատասխանության հայտարարագիրը ենթակա է գրանցման՝ Եվրասիական տնտեսական հանձնաժողովի կողմից հաստատվող կարգով:
Համապատասխանության հայտարարագրի գործողության ժամկետը կազմում է՝
1հ և Зհ ընթացակարգերով հայտարարագրելու դեպքում՝ 3 տարուց ոչ ավելի.
2հ և 4հ սխեմաներով հայտարարագրման դեպքում ժամկետ չի սահմանվում․
6հ ընթացակարգով հայտարարագրելու դեպքում`5 տարուց ոչ ավելի:
(19-րդ կետը խմբ. ԵՏՀԽ 23.05.25 թիվ 38)
20. Սույն տեխնիկական կանոնակարգի 18-րդ կետով նախատեսված փաստաթղթերի և տեղեկությունների լրակազմը պետք է պահվի՝
արտադրողի կամ արտադրողի կողմից լիազորված անձի մոտ՝ համապատասխանության հայտարարագրի գործողության ժամկետի ավարտի օրվանից հետո առնվազն 10 տարվա ընթացքում.
վաճառողի կամ ներմուծողի մոտ՝ արտադրանքն իրացնելու օրվանից հետո առնվազն 10 տարվա ընթացքում.
փաստաթղթերի և տեղեկությունների փաթեթը պետք է ներկայացվի անդամ պետությունների պետական հսկողության (վերահսկողության) մարմիններին՝ նրանց պահանջով.
Փաստաթղթերի և տեղեկությունների լրակազմը թույլատրվում է պահել էլեկտրոնային տեսքով՝ անդամ պետությունների օրենսդրությանը համապատասխան։
(20-րդ կետը խմբ., լրաց. ԵՏՀԽ 23.05.25 թիվ 38)
21. Շրջանառության մեջ գտնվող տրանսպորտային փոխադրման համար նախապատրաստված բնական այրվող գազը տնտեսավարող սուբյեկտների միջև հանձնման ժամանակ ենթակա է համապատասխանության գնահատման՝ փորձարկումների ձևով՝ որակի անձնագրի ձևակերպմամբ։
(21-րդ կետը խմբ. ԵՏՀԽ 23.05.25 թիվ 38)
22. Սույն տեխնիկական կանոնակարգի 21-րդ կետում նշված փորձարկումներն իրականացվում են սույն տեխնիկական կանոնակարգի թիվ 1-ին հավելվածով նախատեսված պահանջներին համապատասխանության մասով՝ մայրուղային գազատարներով արտադրանքի պահպանման և (կամ) տրանսպորտային փոխադրում իրականացնող կազմակերպությունների կողմից։
(22-րդ կետը խմբ. ԵՏՀԽ 23.05.25 թիվ 38)
23. Սույն տեխնիկական կանոնակարգի 21-րդ կետով նախատեսված փորձարկումների անցկացման կարգն իր մեջ է ներառում՝
ա) նմուշներ (փորձանմուշներ) վերցնելը.
բ) նմուշների (փորձանմուշների) փորձարկումներ (չափումներ) անցկացնելը սեփական փորձարկման լաբորատորիայում կամ պահեստավորում և (կամ) մայրուղային գազատարներով տրանսպորտային փոխադրում իրականացնող կազմակերպության չափումների հոսքայինի միջոցների օգտագործմամբ, կամ Միության համապատասխանության գնահատման մարմինների միասնական ռեեստրում ընդգրկված՝ հավատարմագրված փորձարկման լաբորատորիայում (կենտրոնում)․
գ) արտադրանքի որակի անձնագրում ներառելը՝ փորձարկումների (չափումների) արդյունքները և եզրակացությունն այն մասին, որ տրանսպորտային փոխադրման համար նախապատրաստված բնական այրվող գազը շարունակում է համապատասխանել սույն տեխնիկական կանոնակարգի պահանջներին։
(23-րդ կետը խմբ. ԵՏՀԽ 23.05.25 թիվ 38)
VII. Միության շուկայում արտադրանքի շրջանառության միասնական նշանով մակնշումը
24. Սույն տեխնիկական կանոնակարգի պահանջներին համապատասխանող և սույն տեխնիկական կանոնակարգի VI բաժնի համաձայն համապատասխանության հայտարարագրման ձևով՝ համապատասխանության գնահատման կամ փորձարկումների ձևով՝ որակի անձնագրի ձևակերպմամբ ընթացակարգերն անցած արտադրանքը պետք է ունենա Միության շուկայում արտադրանքի շրջանառության միասնական նշանով մակնշում։
(24-րդ կետը փոփ. ԵՏՀԽ 23.05.25 թիվ 38)
25. (կետն ուժը կորցրել է ԵՏՀԽ 23.05.25 թիվ 38)
26. Միության շուկայում արտադրանքի շրջանառության միասնական նշանի գրաֆիկական պատկերը զետեղվում է ուղեկցող փաստաթղթերի վրա (արտադրանքի համապատասխանության հայտարարագրում և (կամ) արտադրանքի որակի անձնագրում):
(26-րդ կետը փոփ. ԵՏՀԽ 23.05.25 թիվ 38)
VIII. Երաշխիքային վերապահում
27. Անդամ պետությունները պարտավոր են ձեռնարկել բոլոր միջոցները՝ սույն տեխնիկական կանոնակարգի պահանջներին չհամապատասխանող արտադրանքի բացթողումը շրջանառության մեջ սահմանափակելու կամ արգելելու համար:
Անդամ պետության լիազորված մարմինը, որը որոշում է ընդունել արտադրանքի բացթողումը շրջանառության մեջ սահմանափակելու կամ արգելելու մասին, պարտավոր է 1 ամսից ոչ ուշ տեղեկացնել մյուս անդամ պետությունների լիազորված մարմիններին ընդունած որոշման մասին՝ այդ միջոցները ձեռնարկելու անհրաժեշտության հիմնավորմամբ:
28. Թույլատրվում է սույն տեխնիկական կանոնակարգի պահանջներին համապատասխանող և սույն տեխնիկական կանոնակարգի VI բաժնի համաձայն՝ համապատասխանության գնահատման ընթացակարգն անցած տրանսպորտային փոխադրման համար նախապատրաստված բնական այրվող գազը տրանսպորտային փոխադրում և (կամ) պահում իրականացնող կազմակերպությունների սեփական կարիքների համար օգտագործել որպես արդյունաբերական նշանակության վառելիք:
(28-րդ կետը լրաց. ԵՏՀԽ 23.05.25 թիվ 38)
29. Թույլատրվում է տրանսպորտային փոխադրման համար նախապատրաստված, սույն տեխնիկական կանոնակարգի պահանջներին համապատասխանող և սույն տեխնիկական կանոնակարգի VI բաժնի համաձայն՝ համապատասխանության գնահատման ընթացակարգն անցած բնական այրվող գազի մատակարարումը մայրուղային գազատարից անմիջապես սպառողին՝ որպես արդյունաբերական նշանակության հումք և (կամ) վառելիք:
(29-րդ կետը լրաց. ԵՏՀԽ 23.05.25 թիվ 38)
30. Թույլատրվում է ներքին այրման շարժիչների համար սույն տեխնիկական կանոնակարգի պահանջներին համապատասխանող և սույն տեխնիկական կանոնակարգի VI բաժնի համաձայն՝ համապատասխանության գնահատման ընթացակարգն անցած վերագազիֆիկացված հեղուկացված բնական գազի (Բ մակնիշ) մանրածախ իրացումը՝ որպես սեղմված բնական այրվող գազ։
(30-րդ կետը լրաց. ԵՏՀԽ 23.05.25 թիվ 38)
31. Թույլատրվում է սույն տեխնիկական կանոնակարգի պահանջներին համապատասխանող և սույն տեխնիկական կանոնակարգի VI բաժնի համաձայն՝ համապատասխանության գնահատման ընթացակարգն անցած վերագազիֆիկացված հեղուկացված բնական գազի մատակարարումը էներգիական կայանքների համար (Վ մակնիշ)՝ որպես արդյունաբերական նշանակության հումք և (կամ) վառելիք։
(31-րդ կետը լրաց. ԵՏՀԽ 23.05.25 թիվ 38)
|
ՀԱՎԵԼՎԱԾ ԹԻՎ 1 «Տրանսպորտային փոխադրման և (կամ) օգտագործման համար նախապատրաստված բնական այրվող գազի անվտանգության մասին» Եվրասիական տնտեսական միության տեխնիկական կանոնակարգի (ԵԱՏՄ ՏԿ 046/2018) (Եվրասիական տնտեսական հանձնաժողովի խորհրդի 2025 թվականի մայիսի 23-ի թիվ 38 որոշման խմբագրությամբ) |
ՊԱՀԱՆՋՆԵՐ
մայրուղային գազատարներով տրանսպորտային փոխադրման համար նախապատրաստված բնական այրվող գազին ներկայացվող
|
Համարը՝ ը/կ |
Ցուցանիշի անվանումը |
Չափման միավորը |
Նորմը | |
|
նվազա-գույն |
առավելա-գույն | |||
|
1 |
Թթվածնի մոլային բաժինը |
% |
- |
0․020 |
|
2 |
Ածխածնի երկօքսիդի մոլային բաժինը |
% |
- |
2․5 |
|
3 |
Ծծմբաջրածնի զանգվածային կոնցենտրացիան |
գ/մ3 |
- |
0․007 |
|
4 |
Մերկապտանային ծծմբի զանգվածային կոնցենտրացիան |
գ/մ3 |
- |
0․016 |
|
5 |
Ընդհանուր ծծմբի զանգվածային կոնցենտրացիան |
գ/մ3 |
- |
0․030 |
|
6 |
Այրման ամենացածր ծավալային ջերմությունը |
ՄՋ/մ3 (կկալ/մ3) |
31,80 (7600) |
- |
|
7 |
Ցողի կետի ջերմաստիճանն ըստ ջրի՝ չափավոր կլիմայի համար՝ ձմեռային ժամանակաշրջան ամառային ժամանակաշրջան սառը կլիմայի համար՝ ձմեռային ժամանակաշրջան ամառային ժամանակաշրջան |
°C |
- |
-10․0 (-5․0) -10․0 (-3․0) -20․0 -14․0 (-10,0) |
|
8 |
Ցողի կետի ջերմաստիճանն ըստ ածխաջրածինների՝ չափավոր կլիմայի համար՝ ձմեռային ժամանակաշրջան ամառային ժամանակաշրջան սառը կլիմայի համար՝ ձմեռային ժամանակաշրջան ամառային ժամանակաշրջան |
°C |
- |
-2․0 (0․0) -2․0 (0․0) -10․0 -5․0 |
|
9 |
Մեխանիկական խառնուկների զանգվածային կոնցենտրացիան |
գ/մ3 |
- |
0․001 |
| Ծանոթագրություններ՝ |
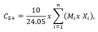
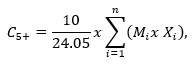
1. Ամառային ժամանակաշրջան՝ մայիսի 1-ից մինչև սեպտեմբերի 30-ը: Ձմեռային ժամանակաշրջան՝ հոկտեմբերի 1-ից մինչև ապրիլի 30-ը: Ժամանակաշրջանները կարող են ճշգրտվել՝ Եվրասիական տնտեսական միության անդամ պետությունների միջև համաձայնեցմամբ: 2. 3-6-րդ և 9-րդ ցուցանիշների նորմերը սահմանված են 101․325 կՊա ստանդարտ ճնշման և 20.0 °С ստանդարտ ջերմաստիճանի պայմաններում: Այրման ծավալային ջերմությունը հաշվարկելիս այրման ստանդարտ ջերմաստիճանը կազմում է 25.0 °С: 3. Մինչև 2030 թվականի հունվարի 1-ը Ղազախստանի Հանրապետության տարածքում թույլատրվում է շրջանառության մեջ դնել տրանսպորտային փոխադրման համար նախապատրաստված բնական այրվող գազ՝ 3-րդ և 4-րդ ցուցանիշների այն նորմերով, որոնք չեն գերազանցում հետևյալ արժեքները Ղազախստանի Հանրապետության տարածքում սահմանված պահանջներին համապատասխան՝ պայմանով, որ այն շրջանառվի բացառապես Ղազախստանի Հանրապետության տարածքում՝ ծծմբաջրածնի զանգվածային կոնցենտրացիան՝ գ/մ3, 0․020-ից ոչ ավելի․ մերկապտանային ծծմբի զանգվածային կոնցենտրացիան՝ գ/մ3, 0․036-ից ոչ ավելի։ 4. 5-րդ ցուցանիշը Ղազախստանի Հանրապետության տարածքում գործողության մեջ է դրվում 2030 թվականի հունվարի 1-ից։ 5. 6-րդ ցուցանիշը հաշվարկելիս ընդունում են 1 կալորիա, որը հավասար է 4․1868 Ջ: 6. 7-րդ ցուցանիշի նորմերը սահմանված են 3.92 ՄՊա բացարձակ ճնշման պայմաններում: 7. Ընդունող կողմի հետ համաձայնությամբ և մինուս 20 °C-ից ոչ բարձր 7-րդ ցուցանիշի պարտադիր նորմավորման պայմանով՝ թույլատրվում է մինչև 2030 թվականի հունվարի 1-ը շրջանառության մեջ դնել և Ռուսաստանի Դաշնության տարածքում շրջանառել այրվող բնական գազը՝ մինչև 3․2 % ածխածնի երկօքսիդի մոլային բաժնով։ 8. 7-րդ և 8-րդ ցուցանիշների համար փակագծերում բերված նորմերը կիրառվում են մատակարարող և ընդունող կողմերի միջև համաձայնեցմամբ՝ հանքավայրերի և ստորգետնյա պահեստարանների համար, որոնք գործողության մեջ են դրվել մինչև 2000 թվականը (Ղազախստանի Հանրապետությունում՝ մինչև 2005 թվականը) ներառյալ: Ռուսաստանի Դաշնության հանքավայրերի համար, որոնք տեղակայված են մեղմ կլիմա ունեցող շրջաններում և գործողության մեջ են դրվել մինչև 2000 թվականը, 7-րդ և 8-րդ ցուցանիշների նորմը թույլատրվում է սահմանել մատակարարող և ընդունող կողմերի համաձայնությամբ, սակայն նմուշառման կետում աշխատանքային ճնշման տակ գազի ջերմաստիճանի արժեքից ոչ բարձր՝ պայմանով, որ այն շրջանառվի բացառապես Ռուսաստանի Դաշնության տարածքում։ 9. 8-րդ ցուցանիշի նորմերը սահմանված են նմուշառման կետում աշխատանքային ճնշման պայմաններում: 10. Բնական այրվող գազի համար, որում С5 + ածխաջրածինների կոնցենտրացիան չի գերազանցում 1․0 գ/մ3-ը, 8-րդ ցուցանիշի սահմանում չի կատարվում: С5 +, գ/մ3, ածխաջրածինների զանգվածային կոնցենտրացիան հաշվարկվում է բնական այրվող գազի բաղադրիչների մոլային բաժնի չափված արժեքների հիման վրա հետևյալ բանաձևով՝ որտեղ՝ 10-ը՝ տոկոսների վերահաշվարկի գործակիցն է բաժիններով և դմ3-ով, մ3-ով, դմ3/-ով/(մ3.%) 24․05-ը ՝ բնական այրվող գազի (իդեալական համարվող) 1 մոլի ծավալն է ստանդարտ պայմաններում (20․0 °C և 101․325 կՊա), դմ3/մոլ․ Мi-ն՝ բնական այրվող գազի i-րդ բաղադրիչի մոլային զանգվածն է, գ/մոլ․ Xi-ն ՝ բնական այրվող գազի մեջ i-րդ բաղադրիչի մոլային բաժինն է, %․ i -ն՝ С5 + ածխաջրածինների զանգվածային կոնցենտրացիան հաշվարկելու համար օգտագործվող՝ բնական այրվող գազի բաղադրիչների գումարման ինդեքսն է․ n-ը՝ С5 + ածխաջրածինների զանգվածային կոնցենտրացիան հաշվարկելու համար օգտագործվող՝ բնական այրվող գազի բաղադրիչների քանակն է. Բնական այրվող գազի ածխաջրածնային բաղադրիչները՝ մինչև С6 + կեղծ բաղադրիչը չափելու դեպքում, С5 + ածխաջրածինների զանգվածային կոնցենտրացիան հաշվարկելու ժամանակ օգտագործում են պենտանների և С6 + կեղծ բաղադրիչի մոլային բաժինները։ |
(հավելվածը խմբ. ԵՏՀԽ 23.05.25 թիվ 38)
|
ՀԱՎԵԼՎԱԾ ԹԻՎ 2 «Տրանսպորտային փոխադրման և (կամ) օգտագործման համար նախապատրաստված բնական այրվող գազի անվտանգության մասին» Եվրասիական տնտեսական միության տեխնիկական կանոնակարգի (ԵԱՏՄ ՏԿ 046/2018) (Եվրասիական տնտեսական հանձնաժողովի խորհրդի 2025 թվականի մայիսի 23-ի թիվ 38 որոշման խմբագրությամբ) |
ՊԱՀԱՆՋՆԵՐ
արդյունաբերական և կոմունալ-կենցաղային նշանակության բնական այրվող գազին ներկայացվող
|
Համարը՝ ը/կ |
Ցուցանիշի անվանումը |
Չափման միավորը |
Նորմը | |
|
նվազագույն |
առավելագույն | |||
|
1 |
Թթվածնի մոլային բաժինը |
% |
- |
0․050 |
|
2 |
Ածխածնի երկօքսիդի մոլային բաժինը |
% |
- |
2․5 |
|
3 |
Ծծմբաջրածնի զանգվածային կոնցենտրացիան |
գ/մ3 |
- |
0․020 |
|
4 |
Մերկապտանային ծծմբի զանգվածային կոնցենտրացիան |
գ/մ3 |
- |
0․036 |
|
5 |
Այրման ամենացածր ծավալային ջերմությունը |
ՄՋ/մ3 (կկալ/մ3) |
31․80 (7600) |
- |
|
6 |
Վոբբեի առավելագույն թիվը |
ՄՋ/մ3 (կկալ/մ3) |
41․20 (9840) |
54․50 (13020) |
|
7 |
Ցողի կետի ջերմաստիճանն ըստ ջրի |
°C |
նմուշառման կետում գազի ջերմաստիճանից ցածր | |
|
8 |
Ցողի կետի ջերմաստիճանն ըստ ածխաջրածինների |
°C |
նմուշառման կետում գազի ջերմաստիճանից ցածր | |
|
9 |
Մեխանիկական խառնուկների զանգվածային կոնցենտրացիան |
գ/մ3 |
- |
0․001 |
|
10 |
Հոտի ինտենսիվությունը |
բալ |
3 |
- |
| Ծանոթագրություններ. |
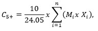
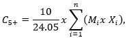
1. 3-6-րդ և 9-րդ ցուցանիշների նորմերը սահմանված են 101,325 կՊա ստանդարտ ճնշման և 20,0 °С ստանդարտ ջերմաստիճանի պայմաններում: Այրման ծավալային ջերմությունը հաշվարկելիս այրման ստանդարտ ջերմաստիճանը կազմում է 25․0 °С:»։ 2. 5-րդ և 6-րդ ցուցանիշները հաշվարկելիս ընդունում են 1 կալորիա, որը հավասար է 4.1868 Ջ: 3. 5-րդ և 6-րդ ցուցանիշները տարածվում են միայն որպես վառելիք օգտագործվող բնական այրվող գազի վրա։ 4. 7-րդ և 8-րդ ցուցանիշների նորմերը ճնշման պայմաններում սահմանված են նմուշառման կետում: 5. Բնական այրվող գազի համար, որում С5 + ածխաջրածինների կոնցենտրացիան չի գերազանցում 1.0 գ/մ3-ը, 8-րդ ցուցանիշի սահմանում չի կատարվում: С5 +, գ/մ3, ածխաջրածինների զանգվածային կոնցենտրացիան հաշվարկվում է բնական այրվող գազի բաղադրիչների մոլային բաժնի չափված արժեքների հիման վրա հետևյալ բանաձևով՝ որտեղ՝ 10-ը՝ տոկոսների վերահաշվարկի գործակիցն է բաժիններով և դմ3-ով, մ3-ով, դմ3/-ով/(մ3.%). 24․05-ը՝ բնական այրվող գազի (իդեալական համարվող) 1 մոլի ծավալն է ստանդարտ պայմաններում (20.0 °C և 101․325 կՊա), դմ3/մոլ. Mi-ն՝ բնական այրվող գազի i-րդ բաղադրիչի մոլային զանգվածն է, գ/մոլ․ Xi-ն՝ բնական այրվող գազի մեջ i-րդ բաղադրիչի մոլային բաժինն է, %․ i-ն՝ С5 + ածխաջրածինների զանգվածային կոնցենտրացիան հաշվարկելու համար օգտագործվող՝ բնական այրվող գազի բաղադրիչների գումարման ինդեքսն է. n-ը՝ С5 + ածխաջրածինների զանգվածային կոնցենտրացիան հաշվարկելու համար օգտագործվող՝ բնական այրվող գազի բաղադրիչների քանակն է: Բնական այրվող գազի ածխաջրածնային բաղադրիչները՝ մինչև С6 + կեղծ բաղադրիչը չափելու դեպքում, С5 + ածխաջրածինների զանգվածային կոնցենտրացիան հաշվարկելու ժամանակ օգտագործում են պենտանների և С6 + կեղծ բաղադրիչի մոլային բաժինները։ 6. 10-րդ ցուցանիշի նորմը սահմանված է այն գազաօդային խառնուրդի համար, որում բնական այրվող գազի ծավալային բաժինը հավասար է 1 %-ի: 10-րդ ցուցանիշը տարածվում է միայն կոմունալ-կենցաղային նշանակության բնական այրվող գազի (այդ թվում՝ ՀԲԳ-ի վերագազիֆիկացումից հետո ստացվողի) վրա։ Արդյունաբերական նշանակության բնական այրվող գազի (այդ թվում՝ ՀԲԳ-ի վերագազիֆիկացումից հետո ստացվողի) համար դրա հոտավորման և նորմավորման անհրաժեշտությունը 10 ցուցանիշով սահմանում են ընդունող կողմի հետ համաձայնությամբ։ Սպառողի հետ համաձայնեցմամբ և 7-րդ ցուցանիշի նորմավորվող արժեքի պարտադիր ապահովման պայմանով թույլատրվում է մինչև 4 % թթվածնի երկօքսիդի մոլային բաժնով բնական այրվող գազի մատուցումը բացառապես դեպի տվյալ սպառողը տանող գազատարներով: 7. ՀԲԳ-ի վերագազիֆիկացման արդյունքում ստացված արդյունաբերական և կոմունալ-կենցաղային նշանակության բնական այրվող գազի համար սահմանման ենթակա են միայն 4-րդ և 10-րդ ցուցանիշները՝ դրա հոտավորման դեպքում։ Արդյունաբերական և կոմունալ-կենցաղային նշանակության բնական այրվող գազի որակի անձնագրում թույլատրվում է գրանցել «Տրանսպորտային փոխադրման և (կամ) օգտագործման համար նախապատրաստված բնական այրվող գազի անվտանգության մասին» Եվրասիական տնտեսական միության տեխնիկական կանոնակարգի (ԵԱՏՄ ՏԿ 046/2018) թիվ 4 հավելվածի պահանջներին համապատասխանող՝ սկզբնական ՀԲԳ-ի փորձարկումների արդյունքները։ |
(հավելվածը խմբ. ԵՏՀԽ 23.05.25 թիվ 38)
|
ՀԱՎԵԼՎԱԾ ԹԻՎ 3 «Տրանսպորտային փոխադրման և (կամ) օգտագործման համար նախապատրաստված բնական այրվող գազի անվտանգության մասին» Եվրասիական տնտեսական միության տեխնիկական կանոնակարգի (ԵԱՏՄ ՏԿ 046/2018) (Եվրասիական տնտեսական հանձնաժողովի խորհրդի 2025 թվականի մայիսի 23-ի թիվ 38 որոշման խմբագրությամբ) |
ՊԱՀԱՆՋՆԵՐ
բնական սեղմված այրվող գազին ներկայացվող
|
Համարը՝ ը/կ |
Ցուցանիշի անվանումը |
Չափման միավորը |
Նորմը | |
|
նվազա-գույն |
առավելա-գույն | |||
|
1 |
Այրման ամենացածր ծավալային ջերմությունը |
ՄՋ/մ3 |
31․80 |
- |
|
2 |
Հարաբերական խտությունն օդի նկատմամբ |
- |
0․55 |
0․70 |
|
3 |
Մեթանի հաշվարկային թիվը |
- |
70 |
- |
|
4 |
Ծծմբաջրածնի զանգվածային կոնցենտրացիան |
գ/մ3 |
- |
0․02 |
|
5 |
Մերկապտանային ծծմբի զանգվածային կոնցենտրացիան |
գ/մ3 |
- |
0․036 |
|
6 |
Չայրվող բաղադրիչների մոլային (գումարային) բաժինը |
% |
- |
7․0 |
|
7 |
Թթվածնի մոլային բաժինը |
% |
- |
1․0 |
|
8 |
Ջրի գոլորշիների զանգվածային կոնցենտրացիան |
գ/մ3 |
- |
0․009 |
|
9 |
Մեխանիկական խառնուկների զանգվածային կոնցենտրացիան |
գ/մ3 |
- |
0․001 |
| Ծանոթագրություններ՝ |
1. 1-ին, 4-րդ, 5-րդ, 8-րդ և 9-րդ ցուցանիշների արժեքները սահմանված են 101․325 կՊա ստանդարտ ճնշման և 20․0 °С ստանդարտ ջերմաստիճանի պայմաններում: Այրման ծավալային ջերմությունը հաշվարկելիս այրման ստանդարտ ջերմաստիճանը կազմում է 25․0 °С: 2. Ներքին այրման շարժիչների համար ՀԲԳ-ից (Բ մակնիշ) ստացված՝ սեղմված բնական այրվող գազի համար 8-րդ և 9-րդ ցուցանիշները չեն սահմանվում։ 3. Սեղմված բնական այրվող գազի որակի անձնագրում 1-7-րդ և 9-րդ ցուցանիշների մասով թույլատրվում է գրանցել սեղմման համար ստացվող բնական այրվող գազի որակի անձնագրում նշված փորձարկումների (չափումների) արդյունքները, որոնք համապատասխանում են «Տրանսպորտային փոխադրման և (կամ) օգտագործման համար նախապատրաստված բնական այրվող գազի անվտանգության մասին» Եվրասիական տնտեսական միության տեխնիկական կանոնակարգի (ԵԱՏՄ ՏԿ 046/2018) թիվ 1 հավելվածի և թիվ 12 հավելվածի պահանջներին։ |
(հավելվածը խմբ. ԵՏՀԽ 23.05.25 թիվ 38)
|
ՀԱՎԵԼՎԱԾ ԹԻՎ 4 «Տրանսպորտային փոխադրման և (կամ) օգտագործման համար նախապատրաստված բնական այրվող գազի անվտանգության մասին» Եվրասիական տնտեսական միության տեխնիկական կանոնակարգի (ԵԱՏՄ ՏԿ 046/2018) (Եվրասիական տնտեսական հանձնաժողովի խորհրդի 2025 թվականի մայիսի 23-ի թիվ 38 որոշման խմբագրությամբ) |
ՊԱՀԱՆՋՆԵՐ
հեղուկացված բնական այրվող գազին ներկայացվող
|
Համարը՝ ը/կ |
Ցուցանիշի անվանումը |
Չափման միավորը |
Նորմը | |||||
|
ՀԲԳ՝ ավիացիոն գազատուրբինային շարժիչների համար (Ա մակնիշ) |
ՀԲԳ՝ ներքին այրման շարժիչների համար (Բ մակնիշ)* |
ՀԲԳ՝ էներգիական կայանքների համար (Գ մակնիշ)** | ||||||
|
նվազա- գույն |
առա- վելա- գույն |
նվազա-գույն |
առա-վելա-գույն |
նվազա-գույն |
առա-վելա-գույն | |||
|
1 |
Մեթանի մոլային բաժինը |
% |
99․0 |
- |
80․0 |
- |
75․0 |
- |
|
2 |
Վոբբեի առավելագույն թիվը |
ՄՋ/մ3 |
47․2 |
49․2 |
- |
41․2 |
54․5 | |
|
3 |
Այրման ամենացածր ծավալային ջերմությունը |
ՄՋ/մ3 |
- |
31․8 |
- |
31․8 |
- | |
|
4 |
Ազոտի մոլային բաժինը |
% |
- |
- |
5․0 |
- |
5․0 | |
|
5 |
Ածխածնի երկօքսիդի մոլային բաժինը |
% |
- |
0․005 |
- |
0․015 |
- |
0․030 |
|
6 |
Թթվածնի մոլային բաժինը |
% |
- |
0․020 |
- |
0․020 |
- |
0․020 |
|
7 |
Ծծմբաջրածնի զանգվածային կոնցենտրացիան |
գ/մ3 |
- |
0․020 |
- |
0․020 |
- |
0․020 |
|
8 |
Մերկապտանային ծծմբի զանգվածային կոնցենտրացիան |
գ/մ3 |
0․036 |
0․036 |
0․036 | |||
|
9 |
Մեթանի հաշվարկային թիվը |
- |
- |
70 |
- |
- | ||
* Այդ թվում ներքին այրման շարժիչների համար՝ վերագազիֆիկացումից և սեղմումից հետո որպես վառելիք օգտագործելու նպատակով։
** Այդ թվում՝ վերագազիֆիկացումից հետո որպես արդյունաբերական վառելիք և կոմունալ-կենցաղային նշանակության գազի արտադրության համար հումք օգտագործելու նպատակով։
| Ծանոթագրություն՝ |
2-րդ, 3-րդ, 7-րդ և 8-րդ ցուցանիշների նորմերը սահմանված են 101․325 կՊա ստանդարտ ճնշման և 20․0 °С ստանդարտ ջերմաստիճանի պայմաններում: Այրման ծավալային ջերմությունը հաշվարկելիս այրման ստանդարտ ջերմաստիճանը կազմում է 25․0 °С: |
(հավելվածը խմբ. ԵՏՀԽ 23.05.25 թիվ 38)
(կանոնակարգը փոփ., լրաց., խմբ. ԵՏՀԽ 23.05.25 թիվ 38)
Պաշտոնական հրապարակման օրը՝ 6 դեկտեմբերի 2021 թվական: