ՀԱՅԱՍՏԱՆԻ ՀԱՆՐԱՊԵՏՈՒԹՅԱՆ ՀԱՐԿԱՅԻՆ ՏԵՍՉՈՒԹՅՈՒՆ
Հ Ր Ա Մ Ա Ն
10 սեպտեմբերի 1996թ թիվ 631
ՏՆՏԵՍԱԿԱՆ ԳՈՐԾՈՒՆԵՈՒԹՅԱՆ ԱՌԱՆՁԻՆ ՏԵՍԱԿՆԵՐԻ ՀԱՄԱՐ ՀԱՍՏԱՏԱԳՐՎԱԾ ՎՃԱՐՈՒՄՆԵՐԻ ՀԱՇՎԱՐԿՄԱՆ ԵՎ ԲՅՈՒՋԵ ՎՃԱՐՄԱՆ ԿԱՐԳԻ ՄԱՍԻՆ ՀՐԱՀԱՆԳԸ ՀԱՍՏԱՏԵԼՈՒ ՄԱՍԻՆ
Համաձայն ՀՀ կառավարության 15.01.96թ. «Գերատեսչական նորմատիվ ակտերի պետական գրանցման կարգի մասին» թիվ 13 որոշմամբ հաստատված կարգի, հաստատել հետևյալ նորմատիվային ակտերը` «Պաշտոնեական օգտագործման» համար.
1. Տնտեսական գործունեության առանձին տեսակների համար հաստատագրված վճարումների հաշվարկման և բյուջե վճարման կարգի մասին» հրահանգը:
2. «Ավելացված արժեքի հարկի մասին» ՀՀ օրենքի և «Ավելացված արժեքի հարկի հաշվարկման և վճարման կարգի մասին» 17 օգոստոսի 1993թ. հ. 02080/3-3 հրահանգի կիրարկման մի քանի հարցերի մասին հրահանգչական նամակը:
|
Հաստատված է ՀՀ հարկային |
Համաձայնեցված է ՀՀ ֆինանսների |
Հ Ր Ա Հ Ա Ն Գ
ՏՆՏԵՍԱԿԱՆ ԳՈՐԾՈՒՆԵՈՒԹՅԱՆ ԱՌԱՆՁԻՆ ՏԵՍԱԿՆԵՐԻ ՀԱՄԱՐ ՀԱՍՏԱՏԱԳՐՎԱԾ ՎՃԱՐՈՒՄՆԵՐԻ ՀԱՇՎԱՐԿՄԱՆ ԵՎ ԲՅՈՒՋԵ ՎՃԱՐՄԱՆ ԿԱՐԳԻ ՄԱՍԻՆ
I. ԸՆԴՀԱՆՈՒՐ ԴՐՈՒՅԹՆԵՐ
1. Սույն հրահանգը կազմվել է «Հայաստանի Հանրապետությունում հարկերի մասին» Հայաստանի Հանրապետության օրենքի 6 հոդվածի և Հայաստանի Հանրապետության կառավարության 15 մայիսի 1995թ. «Տնտեսական գործունեության առանձին տեսակների համար հաստատագրված վճարումներ սահմանելու մասին» թիվ 257 որոշման 3 կետի համապատասխան և կարգավորում է տնտեսական գործունեության առանձին տեսակների համար հաստատագրված վճարումների հաշվարկման և բյուջե վճարման ընդհանուր հարցերը:
2. Եկամտահարկի, շահութահարկի և ավելացված արժեքի հարկի գծով սահմանված միասնական հաստատագրված վճարումները (այսուհետև` հաստատագրված վճարումներ) եկամտահարկի, շահութահարկի և ավելացված արժեքի հարկի համարժեք պետական բյուջե գանձվող պարտադիր վճարներ են:
3. Հաստատագրված վճարումներ կատարվում են տնտեսական գործունեության հետևյալ տեսակների համար.
- խաղատների (կազինոների) գործունեության կազմակերպում
- դրամական շահումով խաղային ավտոմատների շահագործում
- համակարգչային խաղերի կազմակերպում
- տեսամագնիտոֆոնների եվ տեսաժապավենների վարձույթ:
II. ՀԱՍՏԱՏԱԳՐՎԱԾ ՎՃԱՐՈՒՄՆԵՐ ԿԱՏԱՐՈՂՆԵՐԸ (ՎՃԱՐՈՂՆԵՐԸ)
4. Հաստատագրված վճարումներ կատարող (վճարող) են հանդիսանում սույն հրահանգի 3-րդ կետում նշված տնտեսական գործունեության առանձին տեսակներով Հայաստանի Հանրապետության տարածքում զբաղվող ձեռնարկությունները, հիմնարկները, կազմակերպությունները (այսուհետև` ձեռնարկություններ), անհատ ձեռներեցներ:
III. ՀԱՐԿՎՈՂ ՇՐՋԱՆԱՌՈՒԹՅՈՒՆԸ
5. Հաստատագրված վճարումներով հարկվող շրջանառությունը որոշվում է որպես սպասվելիք հասույթի հնարավոր մեծության և բեռնվածության գործակցի արտադրյալ:
6. Տնտեսական գործունեության յուրաքանչյուր տեսակի գծով սպասվելիք հասույթի հնարավոր մեծությունը որոշելիս հիմք են ընդունվում տվյալ գործունեության տեսակի համար հաշվարկվող եկամտաբեր միավորների քանակը և յուրաքանչյուր միավորից սպասվելիք հասույթի մեծությունը, ինչպես նաև գործունեության այդ տեսակի գծով մեկ օրվա համար ընդունված հաստատուն մեծությունը` ելնելով հրահանգի թիվ 1 հավելվածում նշված ելակետային տվյալների սահմանումներից:
Խաղատների (կազինոների) գործունեության գծով մեկ խաղասեղանի համար խաղադրամների (խաղանիշերի) ընդհանուր քանակի մեծությունը ընդունվում է 20 (խաղադրամների ընդհանուր քանակից` որպես մեկ խաղասեղանին մնացած խաղադրամների քանակի մեծությունը):
7. «Դրամական շահումով խաղային ավտոմատների» գործունեության գծով ժետոնային, էլեկտրոնային-մեխանիկական պտտվող թմբկագլաններով խաղային ավտոմատների համար հաշվի առնելով դրանց տեխնիկական հնարավորություններն ու առանձնահատկությունները, խաղարկվող խաղադրամների 1 օրվա մեծությունն ընդունվում է հրահանգի հավելված 1-ում նշված մեծության 1/2 չափով:
8. Հաշվետու ամսվա համար հասույթի հնարավոր մեծությունը «խաղատների (կազինոների)» գործունեության գծով հաշվարկվում է ելնելով օրացույցային ամսվա 10-օրյա հաշվարկից, իսկ գործունեության մյուս տեսակների գծով` 20-օրյա հաշվարկից:
9. Բեռնվածության գործակիցը բնութագրում է եկամտաբեր միավորների զբաղվածության (օգտագործման) աստիճանը աշխատաժամանակի ընդհանուր ֆոնդում: Այն սահմանվում է ըստ Հայաստանի Հանրապետության տարածքային գոտիների և ըստ մասնաժամանակի (սեզոնի). (տես հրահանգի հավելված 2.):
10. Բեռնվածության գործակիցները կարող են փոփոխվել Հայաստանի Հանրապետության էկոնոմիկայի նախարարության կողմից` Հայաստանի Հանրապետության ֆինանսների նախարարության և Հայաստանի Հանրապետության Հարկային պետական տեսչության հետ համաձայնեցնելով:
IV. ՀԱՍՏԱՏԱԳՐՎԱԾ ՎՃԱՐՈՒՄՆԵՐԻ ԴՐՈՒՅՔԱՉԱՓԵՐԸ
11. Տնտեսական գործունեության առանձին տեսակների հաստատագրված վճարումների դրույքաչափերն են.
- խաղատների (կազինոների) գործունեության կազմակերպում` 50 տոկոս
- դրամական շահումով խաղային ավտոմատների շահագործում` 50 տոկոս
- համակարգչային խաղերի կազմակերպում` 40 տոկոս
- տեսաժապավենների և տեսամագնիտոֆոնների վարձույթ` 40 տոկոս:
V. ՀԱՍՏԱՏԱԳՐՎԱԾ ՎՃԱՐՈՒՄՆԵՐԻ ՀԱՇՎԱՐԿՄԱՆ ԿԱՐԳԸ
12. Հաստատագրված վճարումների գումարը հաշվարկվում է սույն հրահանգի 5. կետի համաձայն որոշված հարկվող շրջանառության նկատմամբ կիրառելով սահմանված դրույքաչափը:
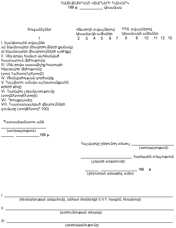
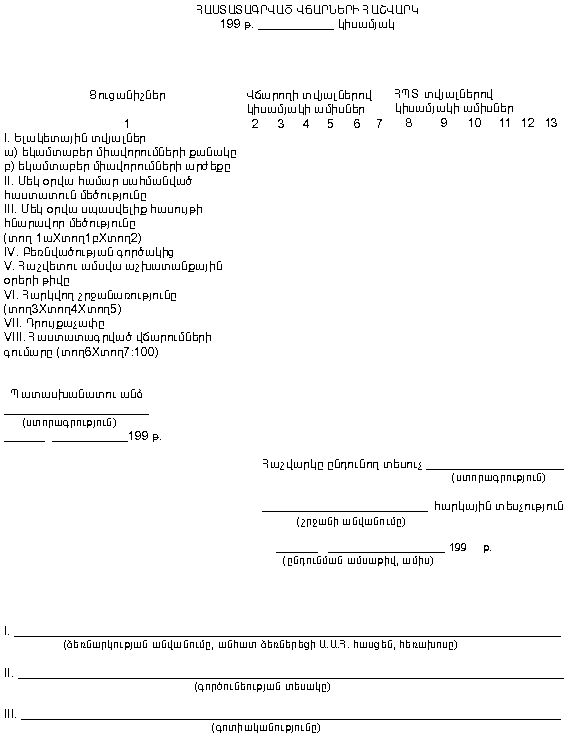
13. Հաստատագրված վճարումների հաշվարկման համար հիմք ընդունվող բազային (մեկնարկային) մեծությունը հաշվարկվում են հարկային տեսչության մարմինների` վճարողի կողմից ներկայացված հաստատագրված վճարումների հաշվարկի (տես հրահանգի հավելված 3.) հիման վրա` սույն հրահանգով սահմանված կարգով:
Հաստատագրված վճարումների հետագա հաշվարկումն ու բյուջե վճարումն իրականացվում է վճարողների կողմից ինքնուրույն:
14. Հաստատագրված վճարումների հաշվարկը վճարողները պարտավոր են ներկայացնել հարկային տեսչության մարմիններին տարեկան երկու անգամ` մինչև ընթացիկ տարվա հունվար և հուլիս ամիսները: Հետագա ժամանակաշրջանում հաշվարկում ելակետային տվյալների փոփոխության դեպքում վճարողները ներկայացնում են նոր հաշվարկ: Եթե ելակետային տվյալների փոփոխությունները կատարվում են մինչև հաշվետու ամսվա 15-ը ներառյալ, ապա տվյալ ամսվա հաստատագրված վճարի գումարը ենթակա է վերահաշվարկման, իսկ ելակետային տվյալների փոփոխությունները կատարվում են հաշվետու ամսվա 15-ից հետո, ապա վերահաշվարկը իրականացվում է հաշվետու ամսվա հաջորդ ամսից:
15. Հաստատագրված վճարումների պարտադիր ներկայացվող հաշվարկների և փոփոխված հաշվարկների հիման վրա հարկային տեսչության մարմինները յուրաքանչյուր ամսվա համար մինչև հաջորդ ամսվա 25-ը կատարում են հաշվետու ամսվա հաստատագրված վճարի գումարների գրանցումներ անձնական հաշվի քարտերում:
16. Հաշվետու ամսվա հաջորդ ամսում չաշխատելու դեպքում վճարողները պարտավոր են ներկայացնել հայտարարություն մինչև հաշվետու ամսվա վերջին օրը:
Հաշվետու ժամանակաշրջանում հաստատագրված վճարումներով հարկման ենթակա տնտեսական գործունեություն չիրականացնելու դեպքում հաստատագրված վճարումներ չեն հաշվարկվում:
17. Հայաստանի Հանրապետության տարածքային տարբեր գոտիներում հարկման ենթակա տնտեսական գործունեության առանձին տեսակներով զբաղվելու դեպքում` հաստատագրված վճարումների գումարի հաշվարկման ժամանակ կիրառվում է յուրաքանչյուր գոտու համար առանձին սահմանված բեռնվածության գործակիցը:
18. Հայաստանի Հանրապետության տարածքային նույն գոտում հաստատագրված վճարումով հարկման ենթակա տնտեսական գործունեության մի քանի տեսակներով զբաղվելու դեպքում` հաստատագրված վճարումների գումարը հաշվարկվում է գործունեության յուրաքանչյուր տեսակի համար առանձին` սույն հրահանգով սահմանված կարգով:
19. Սույն հրահանգին համապատասխան հաստատագրված վճարումներ կատարող ձեռնարկություններն ու անհատ ձեռներեցները վարում են գործունեության այդ տեսակների գծով առանձնացված հաշվապահական հաշվառում, որի հիման վրա հաշվետու ժամանակաշրջանի համար Հայաստանի Հանրապետության օրենսդրությամբ սահմանված կարգով հաշվարկված եկամտի, շահույթի ընդհանուր գումարը նվազեցվում է նույն ժամանակաշրջանում հաստատագրված վճարումներով հարկվող տնտեսական գործունեության իրականացումից ստացված եկամտի, շահույթի գումարի չափով: Նշված ձեռնարկություններն ու անհատ ձեռներեցները գործունեության մյուս տեսակների համար հաշվարկվում և վճարվում են հարկեր ու այլ պարտադիր վճարներ Հայաստանի Հանրապետության հարկային օրենսդրությամբ սահմանված կարգով:
20. Հաստատագրված վճարումներ կատարողները տնտեսական գործունեության այդ տեսակների գծով արտադրության և շրջանառության ծախքերին վերագրվող նյութական ռեսուրսների, վառելիքի, աշխատանքների ու ծառայությունների դիմաց մատակարարներին սահմանված կարգով վճարած ավելացված արժեքի հարկի գումարները միացնում են արտադրության ու շրջանառության ծախքերին, եթե Հայաստանի Հանրապետության օրենսդրությամբ այլ կարգ չի նախատեսված:
21. Հաստատագրված վճարումներ կատարողների համար տնտեսական գործունեության այդ մասով կասեցվում են շահութահարկի, եկամտահարկի և ավելացված արժեքի հարկի գծով սահմանված արտոնությունները:
VI. ՀԱՍՏԱՏԱԳՐՎԱԾ ՎՃԱՐՈՒՄՆԵՐԻ ՎՃԱՐՄԱՆ ԺԱՄԿԵՏՆԵՐՆ ՈՒ ՀԱՇՎԱՌՄԱՆ ԿԱՐԳԸ
22. Հաստատագրված վճարումների գումարի վճարումը բյուջե կատարվում է յուրաքանչյուր ամսվա համար` մինչև հաջորդ ամսվա 25-ը:
23. Բանկային հաշիվներ չունեցող վճարողների հաստատագրված վճարումների գումարի մուծումը կատարում են Հայաստանի Հանրապետության Կենտրոնական բանկի կողմից ընդունված համապատասխան վճարման անդորրագրերով:
24. Հաստատագրված վճարումների հաշվարկման կարգի և վճարման ժամկետների խախտման, ինչպես նաև առանց պետական գրանցման կամ առանց թույլտվության (լիցենզիայի) լիցենզավորման ենթակա գործունեության իրականացման դեպքում կիրառվում են Հայաստանի Հանրապետության օրենսդրությամբ սահմանված նյութական, վարչական կամ քրեական պատասխանատվության միջոցները:
25. Սահմանված ժամկետներում չվճարված հաստատագրված վճարումների գումարները, կիրառված տուգանքները, ինչպես նաև ժամկետանց օրերի համար հաշվարկված տույժը իրավաբանական անձի կարգավիճակ ունեցող ձեռնարկություններից գանձվում է հարկային տեսչության մարմինների կարգադրությամբ` անվիճելի կարգով, իսկ ֆիզիկական անձանցից` Հայաստանի Հանրապետության օրենսդրությամբ սահմանված կարգով:
26. Սահմանված ժամկետներում չվճարված հաստատագրված վճարումների գումարներից տույժը հաշվարկվում է 0,25 տոկոսի չափով յուրաքանչյուր ժամկետանց օրվա համար (ներառյալ վճարման օրը):
27. Հարկվող օբյեկտը թաքցնելու կամ այն պակաս ցույց տալու համար վճարողներից գանձվում է թաքցված կամ պակաս ցույց տրված օբյեկտի համար նախատեսված հարկի ամբողջ գումարը, ինչպես նաև տուգանք այդ գումարի չափով, իսկ մեկ տարվա ընթացքում մեկից ավելի խախտումների դեպքում` տուգանք այդ գումարի կրկնակի չափով, եթե Հայաստանի Հանրապետության օրենսդրությամբ այլ բան չի սահմանված:
28. Հաստատագրված վճարումների կատարման վերահսկողությունը Հայաստանի Հանրապետության օրենսդրությանը համապատասխան իրականացնում են Հայաստանի Հանրապետության հարկային տեսչության մարմինները:
|
ԳՐԱՆՑՎԱԾ Է |
|
Հավելված 1 |
Ըստ տնտեսական գործունեության տեսակների վճարողի ելակետային տվյալների սահմաններում
|
Գործունեության |
ԵԼԱԿԵՏԱՅԻՆ Եկամտաբեր միավորների քանակի սահմանումը |
ՏՎՅԱԼՆԵՐ Եկամտաբեր միավորների արժեքի սահմանումը |
| 1. Խաղատների (կազինոների) կազմակերպում | պտուտակային (թղթախաղի) խաղասեղանների ընդհանուր քանակը* | մեկ խաղադրամի (խաղանիշի) արժեքի և խաղադրամների (խաղանիշերի) ընդհանուր քանակի արտադրյալ |
| 2. Դրամական շահումով խաղային ավտոմատների շահագործում | տեղակայված խաղային ավտոմատների ընդհանուր քանակը** | մեկ խաղադրամի (համարանիշի) գինը |
| 3. Համակարգչային խաղերի կազմակերպում | տեղակայված մոնիտորներ ընդհանուր քանակը*** | մեկ մոնիտորի վրա խաղի մեկ րոպեի համար սահմանված գինը |
| 4. Տեսաժապավենների և տեսամագնիտոֆոնների վարձույթ | տեսաժապավենների (տեսամագնիտոֆոնների) ընդհանուր քանակը **** | տեսաժապավենների (տեսամագնիտոֆոնների) մեկ օրվա վարձավճարը |
Մեկ օրվա համար ընդունվում են`
* խաղադրամի ֆոնդի կատարած շրջապտույտների քանակը` 7
** խաղարկվող խաղադրամների մեծությունը` 700
*** աշխատանքային րոպեներ` 400
**** օրվա ընթացքում վարույթի կետում գտնվող տեսաժապավենների (տեսամագնիտոֆոնների) քանակի 50%-ը:
|
Հավելված 2 |
Բեռնվածության գործակիցներն ըստ ՀՀ տարածքային գոտիների եվ մասնաժամանակի (սեզոնի)
I. գոտի (Երևան քաղաքի կենտրոն)*
| Գործունեության տեսակների անվանումը | ձմռան ամիսներ |
գարնան ամիսներ |
ամռան ամիսներ |
աշնան ամիսներ |
| 1. Խաղատների (կազինոների) կազմակերպում |
1 |
1 |
1 |
1 |
|
2. Դրամական շահումով խաղային ավտոմատների շահագործում |
1 |
1 |
1 |
1 |
| 3. Համակարգչային խաղերի կազմակերպում |
0,5 |
0,5 |
0,5 |
0,5 |
| 4. Տեսաժապավենների և տեսամագնիտոֆոնների վարձույթ |
0,5 |
0,5 |
0,35 |
0,5 |
* Երևան քաղաքի կենտրոնի սահմանները տրված են Երևանի քաղխորհրդի գործկոմի 1991թ. մայիսի 24-ի հ. 855 որոշմամբ
Բեռնվածության գործակից 0,7 0,7 0,7 0,7 2. Դրամական շահումով խաղային ավտոմատների շահագործում 0,7 0,7 0,7 0,7 0,35 0,35 0,35 0,35 0,35 0,5 0,25 0,5
II. գոտի (Երևան քաղաքի մնացած տարածքը, հանրապետական ենթակայության քաղաքներ)*
Գործունեության տեսակների անվանումը
ձմռան
ամիսներգարնան
ամիսներամռան
ամիսներաշնան
ամիսներ
1. Խաղատների (կազինոների) կազմակերպում
3. Համակարգչային խաղերի կազմակերպում
4. Տեսաժապավենների և տեսամագնիտոֆոնների վարձույթ
* բացառությամբ Գյումրի, Վանաձոր, Սպիտակ, Ստեփանավան, Գորիս, Կապան քաղաքների, որոնք ընդգրկվում են չորրորդ գոտու մեջ:
III. Գոտի (հանրապետության շրջանները իրենց շրջկենտրոններով)*
| Գործունեության տեսակների անվանումը | ձմռան ամիսներ |
գարնան ամիսներ |
ամռան ամիսներ |
աշնան ամիսներ |
| 1. Խաղատների (կազինոների) կազմակերպում |
0,35 |
0,35 |
0,5 |
0,5 |
|
2. Դրամական շահումով խաղային ավտոմատների շահագործում |
0,35 |
0,57 |
0,5 |
0,5 |
| 3. Համակարգչային խաղերի կազմակերպում |
0,175 |
0,25 |
0,25 |
0,25 |
| 4. Տեսաժապավենների և տեսամագնիտոֆոնների վարձույթ |
0,35 |
0,25 |
0,15 |
0,25 |
* բոլոր այն բնակավայրերը, որոնք ընդգրկված չեն երկրորդ և չորրորդ գոտիների մեջ:
IV. գոտի (աղետի գոտին, հեռավոր և սահմանամերձ բնակավայրերը)*
| Գործունեության տեսակների անվանումը | ձմռան ամիսներ |
գարնան ամիսներ |
ամռան ամիսներ |
աշնան ամիսներ |
| 1. Խաղատների (կազինոների) կազմակերպում |
0,15 |
0,21 |
0,21 |
0,21 |
|
2. Դրամական շահումով խաղային ավտոմատների շահագործում |
0,15 |
0,21 |
0,21 |
0,21 |
| 3. Համակարգչային խաղերի կազմակերպում |
0,075 |
0,105 |
0,105 |
0,105 |
| 4. Տեսաժապավենների և տեսամագնիտոֆոնների վարձույթ |
0,35 |
0,25 |
0,15 |
0,25 |
* այդ թվում Գյումրի, Վանաձոր, Սպիտակ, Ստեփանավան, Գորիս, Կապան քաղաքները:
Աղետի գոտու, հեռավոր և սահմանամերձ բնակավայրերի որոշման համար հիմք են ընդունվում ՀՀ կառավարության 1992թ. դեկտեմբերի 25-ի «Աղետի գոտու շրջաններում և բնակավայրերում գործունեություն իրականացնող շինարարական ձեռնարկությունների վրա շինարարական աշխատանքների գծով շահութահարկի արտոնությունները տարածելու մասին» թիվ 636 և 1993թ. հունիսի 16-ի «ՀՀ հեռավոր և սահմանամերձ այն բնակավայրերի ժամանակավոր ցանկը հաստատելու մասին, որոնց վրա տարածվում են ՀՀ Նախագահի 1993թ. ապրիլի 18-ի հրամանագրի 1-ին կետի պահանջները» թիվ 306 որոշումներով հաստատված ցանկերը, եթե ՀՀ օրենսդրությամբ այլ բան չի սահմանվի:
|
Հավելված 3 |