ԵՎՐԱՍԻԱԿԱՆ ՏՆՏԵՍԱԿԱՆ ՀԱՆՁՆԱԺՈՂՈՎ
ԿՈԼԵԳԻԱ
Ո Ր Ո Շ ՈՒ Մ
|
30 նոյեմբերի 2023 թվականի |
թիվ 168 |
քաղ. Մոսկվա |
ԵՎՐԱՍԻԱԿԱՆ ՏՆՏԵՍԱԿԱՆ ՄԻՈՒԹՅԱՆ ԱՆԴԱՄ ՊԵՏՈՒԹՅՈՒՆՆԵՐԻ ՏՆՏԵՍՈՒԹՅՈՒՆՆԵՐԻ ՎՐԱ ԻՆՏԵԳՐԱՑԻՈՆ ԳՈՐԾԸՆԹԱՑՆԵՐԻ ԱԶԴԵՑՈՒԹՅԱՆ ԳՆԱՀԱՏՄԱՆ ՄԵԹՈԴԻԿԱՅԻ ՄԱՍԻՆ
Եվրասիական տնտեսական բարձրագույն խորհրդի 2020 թվականի դեկտեմբերի 11-ի թիվ 12 որոշմամբ հաստատված՝ Մինչև 2025 թվականը եվրասիական տնտեսական ինտեգրումը զարգացնելու ռազմավարական ուղղությունների 6.3.8 կետին և Եվրասիական տնտեսական հանձնաժողովի խորհրդի 2021 թվականի ապրիլի 5-ի թիվ 4 կարգադրությամբ հաստատված՝ Մինչև 2025 թվականը եվրասիական տնտեսական ինտեգրումը զարգացնելու ռազմավարական ուղղությունների իրագործման միջոցառումների պլանի 6.3.8 կետին համապատասխան՝ Եվրասիական տնտեսական հանձնաժողովի կոլեգիան որոշեց.
1. Հաստատել կից ներկայացվող՝ Եվրասիական տնտեսական միության անդամ պետությունների տնտեսությունների վրա ինտեգրացիոն գործընթացների ազդեցության գնահատման մեթոդիկան։
2. Սույն որոշումն ուժի մեջ է մտնում դրա պաշտոնական հրապարակման օրվանից 30 օրացուցային օրը լրանալուց հետո։
|
Եվրասիական տնտեսական հանձնաժողովի կոլեգիայի նախագահ՝ |
Մ. Մյասնիկովիչ |
|
|
ՀԱՍՏԱՏՎԱԾ Է Եվրասիական տնտեսական հանձնաժողովի կոլեգիայի 2023 թվականի նոյեմբերի 30-ի թիվ 168 որոշմամբ |
ՄԵԹՈԴԻԿԱ
Եվրասիական տնտեսական միության անդամ պետությունների տնտեսությունների վրա ինտեգրացիոն գործընթացների ազդեցության գնահատման
1. Սույն մեթոդիկան մշակվել է Եվրասիական տնտեսական բարձրագույն խորհրդի 2020 թվականի դեկտեմբերի 11-ի թիվ 12 որոշմամբ հաստատված՝ Մինչև 2025 թվականը եվրասիական տնտեսական ինտեգրումը զարգացնելու ռազմավարական ուղղությունների 6.3.8 կետին համապատասխան։
Եվրասիական տնտեսական միության անդամ պետությունների (այսուհետ համապատասխանաբար՝ Միություն, անդամ պետություններ) տնտեսություններում ինտեգրման ներդրումը գնահատելու մեթոդաբանական հիմքը Միության «ծախսեր-թողարկում» միջերկրային աղյուսակներն են, որոնք 2019 թվականին մշակվել են Եվրասիական տնտեսական հանձնաժողովի (այսուհետ՝ Հանձնաժողով) կարիքների համար՝ «Եվրասիական տնտեսական միության «ծախսեր-թողարկում» միջերկրային աղյուսակի կառուցման մեթոդաբանության մշակում, դրա հիման վրա Միության ինտեգրացիոն ներուժի փորձարարական հաշվարկ ու գնահատում» թեմայով գիտահետազոտական աշխատանքի իրագործման շրջանակներում։
Հանձնաժողովը «Եվրասիական տնտեսական միության 2016 թվականի «ծախսեր-թողարկում» միջերկրային աղյուսակների համակարգ և դրանց կառուցման ու արդիականացման ուղեցույց» տվյալների բազայի իրավատերն է՝ Մտավոր սեփականության հարցերով դաշնային ծառայության՝ մտավոր գործունեության արդյունքի պետական գրանցման վերաբերյալ 2021 թվականի ապրիլի 28-ի թիվ 2021620900 վկայականին համապատասխան։
2. Սույն մեթոդիկան կիրառվում է հետևյալ ցուցանիշների հաշվարկման համար՝
ապրանքների փոխադարձ առևտրի ներդրումն անդամ պետության համախառն ներքին արդյունքում (ՀՆԱ).
ծառայությունների փոխադարձ առևտրի ներդրումն անդամ պետության ՀՆԱ-ում.
աշխատանքային միգրացիայի (անդամ պետություններից աշխատուժի ներմուծման ու անդամ պետություններ (անդամ պետություններից) դրամական փոխանցումների) ներդրումն անդամ պետության ՀՆԱ-ում.
ապրանքների, ծառայությունների փոխադարձ առևտրի և աշխատանքային միգրացիայի ինտեգրացիոն բաղադրիչները.
ապրանքների, ծառայությունների փոխադարձ առևտրի և աշխատանքային միգրացիայի գումարային ներդրումն անդամ պետության ՀՆԱ-ում՝ հաշվի առնելով ինտեգրացիոն բաղադրիչները։
Մեթոդաբանությունը ենթադրում է ապրանքների փոխադարձ առևտրի, ծառայությունների փոխադարձ առևտրի ու աշխատանքային միգրացիայի՝ յուրաքանչյուր անդամ պետության ՀՆԱ-ում ունեցած գումարային ինտեգրացիոն ներդրման գնահատումը։
3. Սույն մեթոդիկայում գործածվում են հասկացություններ, որոնք ունեն հետևյալ իմաստը՝
ապրանքների փոխադարձ առևտրի ներդրումն անդամ պետության ՀՆԱ-ում՝ մյուս անդամ պետություններ ապրանքների արտահանման և մյուս անդամ պետություններից ապրանքների լրացնող ներմուծման՝ անդամ պետության ՀՆԱ-ում ունեցած գումարային ներդրումը, որը հաշվարկվել է՝ հաշվի առնելով դրանց ուղղակի և անուղղակի ներդրումը.
ծառայությունների փոխադարձ առևտրի ներդրումն անդամ պետության ՀՆԱ-ում՝ մյուս անդամ պետություններ ծառայությունների արտահանման՝ անդամ պետության ՀՆԱ-ում ունեցած ներդրումը, որը հաշվարկվել է՝ հաշվի առնելով դրանց ուղղակի և անուղղակի ներդրումը.
աշխատանքային միգրացիայի ներդրումն անդամ պետության ՀՆԱ-ում՝ աշխատուժի ներմուծման և մյուս անդամ պետություններից ստացված ու մյուս անդամ պետություններ ուղարկված՝ միգրանտների դրամական փոխանցումների սալդոյի գումարային ներդրումն անդամ պետության ՀՆԱ-ում.
աշխատուժի ներմուծման ներդրումն անդամ պետության ՀՆԱ-ում՝ մյուս անդամ պետություններից աշխատավոր միգրանտների զբաղվածության տնտեսական ոլորտներում նրանց կողմից կատարված՝ արտադրանքի ու ծառայությունների թողարկումը, որը հաշվարկվել է՝ հաշվի առնելով դրա ուղղակի և անուղղակի նեդրումը ՀՆԱ-ում.
միգրանտների դրամական փոխանցումների ներդրումն անդամ պետության ՀՆԱ-ում՝ մյուս անդամ պետություններից ստացված՝ միգրանտների դրամական փոխանցումների ու մյուս անդամ պետություններ ուղարկված դրամական փոխանցումների ծավալի սալդոյի ներդրումը, որը հաշվարկվել է՝ հաշվի առնելով դրանց ուղղակի և անուղղակի ներդրումը ՀՆԱ-ում.
ապրանքների լրացնող ներմուծում՝ մյուս անդամ պետություններից այն ապրանքների ներմուծման մասնաբաժինը, որոնք չեն կարող արտադրվել տվյալ անդամ պետությունում.
ինտեգրացիոն բաղադրիչ՝ ապրանքների, ծառայությունների փոխադարձ առևտրի , աշխատանքային միգրացիայի ընդհանուր ծավալում մասնաբաժին, որը ձևավորվում է կոնկրետ ինտեգրացիոն միջոցառումների ընդունման և իրագործման հաշվին.
ինտեգրացիոն միջոցառումներ՝ ապրանքների, ծառայությունների փոխադարձ առևտրի և աշխատանքային միգրացիայի ցուցանիշների վրա ազդող՝ անդամ պետությունների համատեղ գործողություններ, որոնք ընդունվում են Միության իրավունքի կազմում ընդգրկվող ակտերով.
անդամ պետության ՀՆԱ-ում ինտեգրացիոն ներդրում՝ ապրանքների փոխադարձ առևտրի, ծառայությունների փոխադարձ առևտրի ու աշխատանքային միգրացիայի գումարային ներդրումը յուրաքանչյուր անդամ պետության ՀՆԱ-ում՝ հաշվի առնելով ընդունված ինտեգրացիոն միջոցառումները.
Միության «ծախսեր-թողարկում» միջերկրային աղյուսակ՝ ռեսուրսների (արտադրանքի և ծառայությունների) արտադրման ու ներմուծման և անդամ պետությունների տնտեսություններում դրանց օգտագործման (միջանկյալ օգտագործում, վերջնական սպառում, կուտակում և արտահանում) հավասարակշռված համաչափ աղյուսակ, որը կառուցված է անդամ պետությունների «ծախսեր-թողարկում» ազգային վիճակագրական աղյուսակների հիման վրա.
ճյուղային արտադրական բազմապատկիչ՝ տնտեսության ուսումնասիրվող ճյուղում թողարկման աճի միավորի հաշվարկով անդամ պետության ՀՆԱ-ի աճ, որը ներառում է տվյալ ճյուղում և հարակից այն ճյուղերում ավելացված արժեքի աճը, որտեղ թողարկվում են դրա միջանկյալ սպառման համար ռեսուրսներ, ինչպես նաև ավելացված արժեքի աճն այն ճյուղերում, որոնք բավարարում են բնակչության, պետության և բիզնեսի լրացուցիչ վերջնական պահանջարկը, որն ապահովված է տնտեսության տվյալ ճյուղում աշխատանքի վարձատրության, հարկերի ու շահույթի հաշվին ձևավորվող լրացուցիչ եկամուտների ծախսմամբ.
անդամ պետության ՀՆԱ-ում դրական ներդրում ունեցող ցուցանիշներ՝ փոխադարձ առևտրի ապրանքների արտահանում, ապրանքների լրացնող ներմուծում, ծառայությունների արտահանում, աշխատուժի ներմուծում, տվյալ երկիր մյուս անդամ պետություններից կատարվող դրամական փոխանցումներ.
ՀՆԱ-ում բացասական ներդրում ունեցող ցուցանիշներ՝ միգրանտների կողմից անդամ պետություններ կատարվող դրամական փոխանցումներ։
4. Անդամ պետությունների տնտեսություններում ինտեգրման ներդրումը գնահատելու համար օգտագործվում են Հանձնաժողովին տրամադրվող՝ անդամ պետությունների պաշտոնական վիճակագրության ցուցանիշները, ինչպես նաև Միության «ծախսեր-թողարկում» միջերկրային աղյուսակի հիման վրա հաշվարկվող ցուցանիշները։
5. ՀՆԱ-ի ճյուղային արտադրական բազմապատկիչների հաշվարկը կատարվում է հետևյալ բանաձևով՝
որտեղ՝
Multvvpj-ը անդամ պետության j ոլորտի համար ՀՆԱ-ի ճյուղային արտադրական բազմապատկիչն է, որը ցույց է տալիս ՀՆԱ-ի աճը՝ տվյալ անդամ պետությունում j ոլորտում թողարկման աճի միավորի հաշվարկով.
Kամբողջ.խածս.ji-ը ՝ անդամ պետության j ոլորտի՝ i ոլորտի արտադրանքի մասով ամբողջ ծախսերի գործակիցը, որը հաշվարկվում է Միության «ծախսեր-թողարկում» միջերկրային աղյուսակի հիման վրա՝ բացառությամբ միջճյուղային հոսքերում ներմուծման.
Kամբողջ.խածս.mk-ը ՝ ԵԱՏՄ անդամ պետության m ոլորտի՝ k ոլորտի արտադրանքի մասով ամբողջ ծախսերի գործակիցը, որը հաշվարկվում է Միության «ծախսեր-թողարկում» միջերկրային աղյուսակի հիման վրա՝ բացառությամբ միջճյուղային հոսքերում ներմուծման.
vai-ը՝ անդամ պետության i ոլորտի թողարկման մեջ ավելացված արժեքի մասնաբաժինը, որը հաշվարկվում է Միության «ծախսեր-թողարկում» միջերկրային աղյուսակի հիման վրա.
wi-ը՝ անդամ պետության i ոլորտի թողարկման մեջ աշխատանքի վարձատրության մասնաբաժինը, որը հաշվարկվում է Միության «ծախսեր-թողարկում» միջերկրային աղյուսակի հիման վրա.
taxi -ը՝ անդամ պետության i ոլորտի թողարկման մեջ հարկերի մասնաբաժինը, որը հաշվարկվում է Միության «ծախսեր-թողարկում» միջերկրային աղյուսակի հիման վրա.
inci -ը՝ անդամ պետության i ոլորտի թողարկման մեջ զուտ շահույթի և ամորտիզացիայի մասնաբաժինը, որը հաշվարկվում է Միության «ծախսեր-թողարկում» միջերկրային աղյուսակի հիման վրա.
hc-ը՝ տնային տնտեսությունների կողմից սպառման առաձգականությունը՝ ըստ անդամ պետության տնային տնտեսությունների եկամուտների.
gc-ը՝ պետական սպառման առաձգականությունը՝ ըստ Միության անդամ պետության բյուջեի եկամուտների.
ginv-ը՝ բյուջետային ներդրումների առաձգականությունը՝ ըստ Միության անդամ պետության բյուջեի եկամուտների.
binv-ը՝ մասնավոր ներդրումների առաձգականությունը՝ ըստ Միության անդամ պետության բիզնեսի եկամուտների.
ak -ն՝ անդամ պետության տնային տնտեսությունների կողմից սպառման մեջ k ոլորտի հայրենական արտադրանքի մասնաբաժինը, որը հաշվարկվում է Միության «ծախսեր-թողարկում» միջերկրային աղյուսակի «Տնային տնտեսությունների կողմից սպառում» սյունակի տվյալների հիման վրա.
bк -ը՝ անդամ պետության պետական սպառման մեջ k ոլորտի հայրենական արտադրանքի մասնաբաժինը, որը հաշվարկվում է Միության «ծախսեր-թողարկում» միջերկրային աղյուսակի «Պետական սպառում» սյունակի տվյալների հիման վրա.
cs -ը՝ անդամ պետության բյուջետային ներդրումներում s ոլորտի հայրենական արտադրանքի մասնաբաժինը, որը հաշվարկվում է Միության «ծախսեր-թողարկում» միջերկրային աղյուսակի «Պետական սպառում» սյունակի տվյալների հիման վրա.
tki -ն՝ ԵԱՏՄ անդամ պետության i ոլորտի կապիտալ ծախսերի ճյուղային կառուցվածքում k ոլորտի հայրենական արտադրանքի մասնաբաժինը, որը հաշվարկվում է Միության «ծախսեր-թողարկում» միջերկրային աղյուսակի «Հիմնական կապիտալի համախառն կուտակում» սյունակի տվյալների հիման վրա.
tks -ն՝ անդամ պետության s ոլորտի կապիտալ ծախսերի ճյուղային կառուցվածքում k ոլորտի հայրենական արտադրանքի մասնաբաժինը, որը հաշվարկվում է Միության «ծախսեր-թողարկում» միջերկրային աղյուսակի «Հիմնական կապիտալի համախառն կուտակում» սյունակի տվյալների հիման վրա:
6. ԵԱՏՄ անդամ պետության ՀՆԱ-ում ապրանքների փոխադարձ առևտրի ներդրումը հաշվարկվում է հետևյալ բանաձևերով՝
որտեղ՝
∆ՀՆԱապրանք._փոխ._առևտ. -ը մյուս անդամ պետությունների հետ ապրանքների փոխադարձ առևտրի գումարային ներդրումն է անդամ պետության ՀՆԱ-ում.
∆ՀՆԱապրանք._փոխ._արտ. -ը՝ մյուս անդամ պետությունների հետ ապրանքների փոխադարձ առևտրի արտահանման գումարային ներդրումն անդամ պետության ՀՆԱ-ում.
∆ՀՆԱապրանք._փոխ._լրաց._ներմ. -ը՝ մյուս անդամ պետությունների հետ ապրանքների փոխադարձ առևտրի լրացնող ներմուծման գումարային ներդրումն անդամ պետության ՀՆԱ-ում.
Expi -ը՝ i ոլորտի ապրանքների արտահանումը մյուս անդամ պետություններ.
MImpլրաց.,к-ը՝ անդամ պետության k ոլորտի թողարկումը, որը պայմանավորված է մյուս անդամ պետություններից ապրանքների լրացնող ներմուծման կիրառմամբ.
Multvvpi -ը՝ անդամ պետության i ոլորտի համար արտադրական բազմապատկիչը, որը ցույց է տալիս ՀՆԱ-ի աճը՝ տվյալ անդամ պետության i ոլորտում թողարկման աճի միավորի հաշվարկով.
i, k-ն՝ անդամ պետության տնտեսության այն ոլորտը, որտեղ արտադրվում են արտահանվող ապրանքները և սպառվում են լրացնող ներմուծման ապրանքները.
Хk -ն՝ Միության «ծախսեր-թողարկում» միջերկրային աղյուսակի տվյալների հիման վրա հաշվարկվող թողարկումն անդամ պետության k ոլորտում, որտեղ սպառվում են լրացնող ներմուծման ապրանքները.
bլրաց,imp, -ը՝ անդամ պետություններից ապրանքների լրացնող ներմուծման մասնաբաժինը k ոլորտում միջանկյալ սպառման ընդհանուր ծավալում։
Ապրանքների փոխարինող ներմուծումը (ապրանքների ընդհանուր ներմուծման և լրացնող ներմուծման միջև տարբերությունը) հաշվի չի առնվում հաշվարկում, քանի որ այդ ապրանքները ձեռք են բերվելու անդամ պետության կողմից՝ անկախ ԵԱՏՄ-ում դրա մասնակցությունից։
5. ԵԱՏՄ անդամ պետության ՀՆԱ-ում ծառայությունների փոխադարձ առևտրի ներդրումը հաշվարկվում է հետևյալ բանաձևերով՝
որտեղ՝
ՀՆԱծառ._փոխ._արևտ. -ը մյուս անդամ պետությունների հետ ծառայությունների փոխադարձ առևտրի գումարային ներդրումն է անդամ պետության ՀՆԱ-ում.
∆ՀՆԱծառ._փոխ._արտ. -ը՝ մյուս անդամ պետությունների հետ ծառայությունների փոխադարձ առևտրի արտահանման գումարային ներդրումն անդամ պետության ՀՆԱ-ում.
Expi -ը՝ i ոլորտի ծառայությունների արտահանումը մյուս անդամ պետություններ.
Multvvpi-ը՝ i ոլորտի արտադրական բազմապատկիչը, որը ցույց է տալիս ՀՆԱ-ի աճը՝ տվյալ անդամ պետության i ոլորտում թողարկման աճի միավորի հաշվարկով.
i, k-ն՝ անդամ պետության տնտեսության այն ոլորտը, որտեղ արտադրվում են արտահանվող ծառայությունները։
Ծառայությունների ներմուծումը հաշվի չի առնվում հաշվարկում, քանի որ այդ ծառայությունները ձեռք են բերվելու անդամ պետության կողմից՝ անկախ ԵԱՏՄ-ում դրա մասնակցությունից։
6. Անդամ պետության ՀՆԱ-ում աշխատանքային միգրացիայի ներդրումը հաշվարկվում է հետևյալ բանաձևով՝
որտեղ՝
∆ՀՆԱաշխ._միգրաց. -ը աշխատուժի ներմուծման և մյուս անդամ պետություններից ստացված ու մյուս անդամ պետություններ ուղարկված՝ միգրանտների դրամական փոխանցումների ներդրումն է անդամ պետության ՀՆԱ-ում.
∆ՀՆԱ աշխ._ուժի_ներմ.-ը՝ մյուս անդամ պետություններից ժամանած աշխատուժի ներմուծման ներդրումն անդամ պետության ՀՆԱ-ում.
∆ՀՆԱդրամ._փոխ.-ը ՝ մյուս անդամ պետություններից ստացված և մյուս անդամ պետություններ ուղարկված՝ միգրանտների դրամական փոխանցումների սալդոյի ներդրումն անդամ պետության ՀՆԱ-ում.
Ti-ն՝ անդամ պետությունում i ոլորտի աշխատատարությունը, որով արտացոլվում է այդ ոլորտում զբաղվածների թվի ու թողարկման հարաբերակցությունը.
Labimpi-ը՝ անդամ պետություն մյուս անդամ պետություններից մուտք գործած աշխատանքային միգրանտների բաշխման կառուցվածքում i ոլորտի մասնաբաժինը.
MOi-ը՝ i ոլորտի ապրանքի (ծառայության) ձեռքբերման համար օգտագործվող՝ միգրանտների կողմից ստացված և ուղարկված դրամական փոխանցումների սալդոն.
Multvvpi -ը՝ տնային տնտեսությունների կողմից սպառվող ապրանքներ և ծառայություններ արտադրող i ոլորտի արտադրական բազմապատկիչը.
Migr-ը՝ անդամ պետություններից մուտք գործած միգրանտների թիվը.
ω-ը՝ մուտք գործած միգրանտների ընդհանուր թվում աշխատող աշխատանքային միգրանտների մասնաբաժինն արտացոլող գործակիցը.
i, k-ն՝ անդամ պետության տնտեսության այն ոլորտը, որտեղ զբաղված են մյուս անդամ պետություններից աշխատանքային միգրանտները, ինչպես նաև տնային տնտեսությունների կողմից սպառվող ապրանքները և ծառայություններն արտադրող՝ անդամ պետության տնտեսության ոլորտները.
hc-ն՝ տնային տնտեսությունների կողմից սպառման առաձգականությունը՝ ըստ անդամ պետությունում եկամուտների.
ak-ն՝ անդամ պետության տնային տնտեսությունների կողմից սպառման մեջ k ոլորտի հայրենական արտադրանքի մասնաբաժինը, որը հաշվարկվում է Միության «ծախսեր-թողարկում» միջերկրային աղյուսակի «Տնային տնտեսությունների կողմից սպառում» սյունակի տվյալների հիման վրա:
7. Ապրանքների, ծառայությունների փոխադարձ առևտրի, աշխատանքային միգրացիայի ցուցանիշներում ինտեգրացիոն բաղադրիչների հաշվարկման համար գնահատվում է յուրաքանչյուր ինտեգրացիոն միջոցառման ներդրումը՝ միջոցառման ընդունմանը նախորդող տարվա ցուցանիշների արժեքի՝ միջոցառումը գործողության մեջ դնելու տարվա ցուցանիշների հետ համեմատման միջոցով։
Տվյալ ժամանակահատվածի համար աճը համարվում է ցուցանիշում տվյալ միջոցառման ինտեգրացիոն ներդրում։
Ինտեգրացիոն ներդրման մեջ համաշխարհային գործընթացների դինամիկան բացառելու համար այն ճշգրտվում է՝ հաշվի առնելով ԱՊՀ երկրների հետ անդամ պետությունների առևտրի աճի տեմպերը։
Հաջորդող տարիների առնչությամբ ինտեգրացիոն ներդրումների արտարկումն իրականացվում է՝ հաշվի առնելով անդամ պետություններում առկա գնաճը։
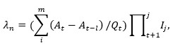
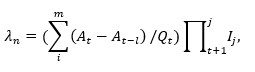
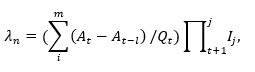
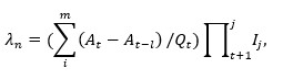
Ապրանքների, ծառայությունների փոխադարձ առևտրի և աշխատանքային միգրացիայի ցուցանիշներում ինտեգրացիոն միջոցառումների ներդրման հաշվարկն իրականացվում է հետևյալ բանաձևով՝
որտեղ՝
λn-ը ապրանքների, ծառայությունների փոխադարձ առևտրի և աշխատանքային միգրացիայի ցուցանիշներում՝ ինտեգրացիոն բաղադրիչն է (ինտեգրացիոն միջոցառումների ներդրումը).
At -ն՝ ինտեգրացիոն միջոցառումն ընդունելու t տարվա ցուցանիշի արժեքը.
At-ı -ը՝ ինտեգրացիոն միջոցառման ընդունմանը նախորդող տարվա ցուցանիշի արժեքը.
Qt -ն՝ t տարում ԱՊՀ երկրների հետ անդամ պետությունների ապրանքների առևտրի փոփոխման տեմպերը՝ նախորդ տարվա նկատմամբ %-ով.
Ij-ը՝ անդամ պետությունում առկա գնաճը՝ j հաշվարկային տարում.
i,m-ը՝ ընդունված ինտեգրացիոն միջոցառումները, որոնք ազդել են ապրանքների, ծառայությունների փոխադարձ առևտրի և աշխատանքային միգրացիայի ցուցանիշների վրա։
8. Ապրանքների, ծառայությունների փոխադարձ առևտրի և աշխատանքային միգրացիայի ցուցանիշների վրա ազդող՝ ընդունված ինտեգրացիոն միջոցառումների ցանկը ձևավորվում է Հանձնաժողովի կողմից և յուրաքանչյուր տարի թարմացվում է՝ հաշվի առնելով նոր ընդունված ինտեգրացիոն միջոցառումները։
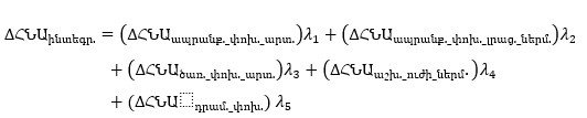
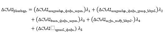
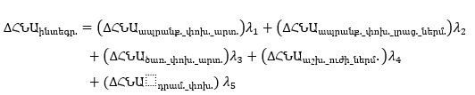
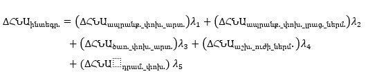
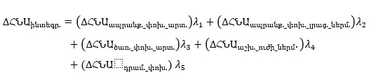
9. Հաշվի առնելով ինտեգրացիոն բաղադրիչները՝ ապրանքների, ծառայությունների փոխադարձ առևտրի և աշխատանքային միգրացիայի գումարային ներդրումն անդամ պետության ՀՆԱ-ում հաշվարկվում է հետևյալ բանաձևով՝
որտեղ՝
λ1 , λ2 -ը ապրանքների փոխադարձ առևտրում արտահանման և ներմուծման մասնաբաժիններն արտացոլող գործակիցներն են, որոնք ձևավորվում են ընդունված ինտեգրացիոն միջոցառումների հաշվին՝ ապրանքների փոխադարձ առևտրի արտահանման և ներմուծման ընդհանուր ծավալում.
λ3-ը՝ ծառայությունների փոխադարձ առևտրի արտահանման մասնաբաժինն արտացոլող գործակիցը, որը ձևավորվում է ընդունված ինտեգրացիոն միջոցառումների հաշվին՝ ծառայությունների փոխադարձ առևտրի արտահանման ընդհանուր ծավալում.
λ4, λ5-ը՝ աշխատանքային միգրացիայի և անդրսահմանային փոխանցումների մասնաբաժիններն արտացոլող գործակիցները, որոնք ձևավորվում են ընդունված ինտեգրացիոն միջոցառումների հաշվին՝ աշխատանքային միգրացիայի և անդրսահմանային փոխանցումների ընդհանուր ծավալում։
10. Հաշվի առնելով ինտեգրացիոն բաղադրիչները՝ ապրանքների, ծառայությունների փոխադարձ առևտրի և աշխատանքային միգրացիայի գումարային ներդրումն անդամ պետության ՀՆԱ-ում հաշվարկվում է ամենամյա հիմունքով։
11. Միության «ծախսեր-թողարկում» միջերկրային աղյուսակը թարմացվում է հինգ տարին մեկ՝ սկսած 2020 թվականի համար դրանց կառուցումից։ Դրանց կառուցման տարիների միջև ընկած ժամանակահատվածում օգտագործվում են տվյալ ժամանակահատվածի համար գործող՝ Միության «ծախսեր-թողարկում» միջերկրային աղյուսակի հիման վրա հաշվարկված բազմապատկիչները։
Պաշտոնական հրապարակման օրը՝ 26 հունիսի 2024 թվական: