ԵՎՐԱՍԻԱԿԱՆ ՏՆՏԵՍԱԿԱՆ ՀԱՆՁՆԱԺՈՂՈՎ
ԿՈԼԵԳԻԱ
Ո Ր Ո Շ ՈՒ Մ
|
2 հունիսի 2016 թվականի |
թիվ 55 |
քաղ. Մոսկվա |
«ԵՎՐԱՍԻԱԿԱՆ ՏՆՏԵՍԱԿԱՆ ՄԻՈՒԹՅԱՆ ԱՆԴԱՄ ՊԵՏՈՒԹՅՈՒՆՆԵՐԻ ՄԱՔՍԱՅԻՆ ՄԱՐՄԻՆՆԵՐԻ ՄԻՋԵՎ ՏԵՂԵԿՈՒԹՅՈՒՆՆԵՐԻ ՓՈԽԱՆԱԿՄԱՆ ԱՊԱՀՈՎՈՒՄ ԵՎՐԱՍԻԱԿԱՆ ՏՆՏԵՍԱԿԱՆ ՄԻՈՒԹՅԱՆ ՄԱՔՍԱՅԻՆ ՏԱՐԱԾՔԻ ՍԱՀՄԱՆՆԵՐԻՑ ԴՈՒՐՍ ԱՊՐԱՆՔՆԵՐԻ ՓԱՍՏԱՑԻ ԱՐՏԱՀԱՆՄԱՆ ՀՍԿՈՂՈՒԹՅԱՆ ԵՎ ՀԱՍՏԱՏՄԱՆ ԳՈՐԾԸՆԹԱՑՈՒՄ» ԸՆԴՀԱՆՈՒՐ ԳՈՐԾԸՆԹԱՑՆ ԱՐՏԱՔԻՆ ԵՎ ՓՈԽԱԴԱՐՁ ԱՌԵՎՏՐԻ ԻՆՏԵԳՐՎԱԾ ՏԵՂԵԿԱՏՎԱԿԱՆ ՀԱՄԱԿԱՐԳԻ ՄԻՋՈՑՆԵՐՈՎ ԻՐԱԳՈՐԾԵԼԻՍ ՏԵՂԵԿԱՏՎԱԿԱՆ ՓՈԽԳՈՐԾԱԿՑՈՒԹՅՈՒՆԸ ԿԱՆՈՆԱԿԱՐԳՈՂ ՏԵԽՆՈԼՈԳԻԱԿԱՆ ՓԱՍՏԱԹՂԹԵՐԻ ՄԱՍԻՆ
Եվրասիական տնտեսական միության շրջանակներում «Տեղեկատվական հաղորդակցական տեխնոլոգիաների և տեղեկատվական փոխգործակցության մասին» արձանագրության («Եվրասիական տնտեսական միության մասին» 2014 թվականի մայիսի 29-ի պայմանագրի թիվ 3 հավելված) 30-րդ կետին համապատասխան և ղեկավարվելով Եվրասիական տնտեսական հանձնաժողովի կոլեգիայի 2014 թվականի նոյեմբերի 6-ի թիվ 200 որոշմամբ՝ Եվրասիական տնտեսական հանձնաժողովի կոլեգիան որոշեց.
1. Հաստատել կից ներկայացվող՝
«Եվրասիական տնտեսական միության անդամ պետությունների մաքսային մարմինների միջև տեղեկությունների փոխանակման ապահովում Եվրասիական տնտեսական միության մաքսային տարածքի սահմաններից դուրս ապրանքների փաստացի արտահանման հսկողության և հաստատման գործընթացում» ընդհանուր գործընթացն արտաքին և փոխադարձ առևտրի ինտեգրված տեղեկատվական համակարգի միջոցներով իրագործելիս տեղեկատվական փոխգործակցության կանոնները.
«Եվրասիական տնտեսական միության անդամ պետությունների մաքսային մարմինների միջև տեղեկությունների փոխանակման ապահովում Եվրասիական տնտեսական միության մաքսային տարածքի սահմաններից դուրս ապրանքների փաստացի արտահանման հսկողության և հաստատման գործընթացում» ընդհանուր գործընթացն արտաքին և փոխադարձ առևտրի ինտեգրված տեղեկատվական համակարգի միջոցներով իրագործելիս Եվրասիական տնտեսական միության անդամ պետությունների լիազորված մարմինների միջև տեղեկատվական փոխգործակցության կանոնակարգը.
«Եվրասիական տնտեսական միության անդամ պետությունների մաքսային մարմինների միջև տեղեկությունների փոխանակման ապահովում Եվրասիական տնտեսական միության մաքսային տարածքի սահմաններից դուրս ապրանքների փաստացի արտահանման հսկողության և հաստատման գործընթացում» ընդհանուր գործընթացն արտաքին և փոխադարձ առևտրի ինտեգրված տեղեկատվական համակարգի միջոցներով իրագործելու համար օգտագործվող էլեկտրոնային փաստաթղթերի և տեղեկությունների ձևաչափերի ու կառուցվածքների նկարագրությունը.
«Եվրասիական տնտեսական միության անդամ պետությունների մաքսային մարմինների միջև տեղեկությունների փոխանակման ապահովում Եվրասիական տնտեսական միության մաքսային տարածքի սահմաններից դուրս ապրանքների փաստացի արտահանման հսկողության և հաստատման գործընթացում» ընդհանուր գործընթացին միանալու կարգը:
2. Սահմանել, որ՝
ա) սույն Որոշմամբ հաստատված նկարագրությամբ նախատեսված էլեկտրոնային փաստաթղթերի և տեղեկությունների կառուցվածքների տեխնիկական սխեմաների մշակումն ու արտաքին և փոխադարձ առևտրի ինտեգրված տեղեկատվական համակարգում տեղեկատվական փոխգործակցությունն իրագործելիս օգտագործվող էլեկտրոնային փաստաթղթերի և տեղեկությունների կառուցվածքների ռեեստրում դրանց զետեղման ապահովումն իրականացվում են Եվրասիական տնտեսական հանձնաժողովի այն դեպարտամենտի կողմից, որի իրավասության մեջ է մտնում Եվրասիական տնտեսական միության ինտեգրված տեղեկատվական համակարգի ստեղծմանն ու զարգացմանն ուղղված աշխատանքների համակարգումը,
բ) սույն Որոշմամբ հաստատված կարգի 6-8-րդ կետերին համապատասխան միանալու ընթացակարգի իրականացման ժամկետը կազմում է 1 տարի՝ սույն Որոշումն ուժի մեջ մտնելու օրվանից:
3. Սույն Որոշումն ուժի մեջ է մտնում դրա պաշտոնական հրապարակման օրվանից 80 օրացուցային օրը լրանալուց հետո։
|
Եվրասիական տնտեսական հանձնաժողովի կոլեգիայի նախագահ` |
Տ. Սարգսյան |
|
ՀԱՍՏԱՏՎԱԾ ԵՆ Եվրասիական տնտեսական հանձնաժողովի կոլեգիայի 2016 թվականի հունիսի 2-ի թիվ 55 որոշմամբ |
ԿԱՆՈՆՆԵՐ
«Եվրասիական տնտեսական միության անդամ պետությունների մաքսային մարմինների միջև տեղեկությունների փոխանակման ապահովում Եվրասիական տնտեսական միության մաքսային տարածքի սահմաններից դուրս ապրանքների փաստացի արտահանման հսկողության և հաստատման գործընթացում» ընդհանուր գործընթացն արտաքին և փոխադարձ առևտրի ինտեգրված տեղեկատվական համակարգի միջոցներով իրագործելիս տեղեկատվական փոխգործակցության
I. Ընդհանուր դրույթներ
1. Սույն կանոնները մշակվել են Եվրասիական տնտեսական միության (այսուհետ՝ Միություն) իրավունքի մաս կազմող հետևյալ ակտերին համապատասխան՝
«Եվրասիական տնտեսական միության մասին» 2014 թվականի մայիսի 29-ի պայմանագիր.
Մաքսային միության հանձնաժողովի 2010 թվականի հունիսի 18-ի «Եվրասիական տնտեսական միության մաքսային տարածքից ապրանքների փաստացի արտահանումը մեկնման վայրում տեղակայված մաքսային մարմնի կողմից հաստատելու կարգի մասին» թիվ 330 որոշում.
Եվրասիական տնտեսական հանձնաժողովի կոլեգիայի 2014 թվականի նոյեմբերի 6-ի «Ընդհանուր գործընթացներն արտաքին և փոխադարձ առևտրի ինտեգրված տեղեկատվական համակարգի միջոցներով իրագործելիս տեղեկատվական փոխգործակցությունը կանոնակարգող տեխնոլոգիական փաստաթղթերի մասին» թիվ 200 որոշում.
Եվրասիական տնտեսական հանձնաժողովի կոլեգիայի 2015 թվականի հունվարի 27-ի «Արտաքին և փոխադարձ առևտրի ինտեգրված տեղեկատվական համակարգում տվյալների էլեկտրոնային փոխանակման կանոնները հաստատելու մասին» թիվ 5 որոշում.
Եվրասիական տնտեսական հանձնաժողովի կոլեգիայի 2015 թվականի ապրիլի 14-ի «Եվրասիական տնտեսական միության շրջանակներում ընդհանուր գործընթացների ցանկի և Եվրասիական տնտեսական հանձնաժողովի կոլեգիայի 2014 թվականի օգոստոսի 19-ի թիվ 132 որոշման մեջ փոփոխություն կատարելու մասին» թիվ 29 որոշում.
Եվրասիական տնտեսական հանձնաժողովի կոլեգիայի 2015 թվականի հունիսի 9-ի «Եվրասիական տնտեսական միության շրջանակներում ընդհանուր գործընթացների վերլուծության, օպտիմալացման, ներդաշնակեցման և նկարագրության մեթոդիկայի մասին» թիվ 63 որոշում.
Եվրասիական տնտեսական հանձնաժողովի կոլեգիայի 2015 թվականի սեպտեմբերի 28-ի «Եվրասիական տնտեսական միության անդամ պետությունների պետական իշխանության մարմինների միջև և Եվրասիական տնտեսական հանձնաժողովի հետ անդրսահմանային փոխգործակցության ժամանակ էլեկտրոնային փաստաթղթերի փոխանակման վերաբերյալ հիմնադրույթի հաստատման մասին» թիվ 125 որոշում։
Սույն կանոնները մշակվել են՝ հաշվի առնելով Մաքսային միության անդամ պետությունների մաքսային ծառայությունների միավորված կոլեգիայի 2015 թվականի հունիսի 4-ի թիվ 15/6 որոշմամբ հաստատված՝ Եվրասիական տնտեսական միության անդամ պետությունների մաքսային մարմինների միջև ապրանքների փաստացի արտահանման հսկողության և հաստատման համակարգերի օգտագործմամբ Եվրասիական տնտեսական միության մաքսային տարածքով ապրանքների փաստացի արտահանումը հաստատելու վերաբերյալ տեղեկատվության փոխանակման տեխնոլոգիայի դրույթները:
II. Կիրառության ոլորտը
2. Սույն կանոնները մշակվել են «Եվրասիական տնտեսական միության անդամ պետությունների մաքսային մարմինների միջև տեղեկությունների փոխանակման ապահովում Եվրասիական տնտեսական միության մաքսային տարածքի սահմաններից դուրս ապրանքների փաստացի արտահանման հսկողության և հաստատման գործընթացում» ընդհանուր գործընթացի (այսուհետ՝ ընդհանուր գործընթաց) մասնակիցների միջև տեղեկատվական փոխգործակցության կարգն ու պայմանները, այդ թվում՝ այդ ընդհանուր գործընթացի շրջանակներում կատարվող ընթացակարգերի նկարագրությունը սահմանելու նպատակով։
3. Սույն կանոնները կիրառվում են ընդհանուր գործընթացի մասնակիցների կողմից ընդհանուր գործընթացի շրջանակներում ընթացակարգերի և գործառնությունների կատարման կարգը հսկելիս, ինչպես նաև ընդհանուր գործընթացի իրագործումն ապահովող տեղեկատվական համակարգերի բաղադրիչները նախագծելիս, մշակելիս և լրամշակելիս։
III. Հիմնական հասկացությունները
4. Սույն կանոնների նպատակներով գործածվում են հասկացություններ, որոնք ունեն հետևյալ իմաստը՝
«ավտորիզացում»՝ ընդհանուր գործընթացի կոնկրետ մասնակցին որոշակի գործողությունների կատարման իրավունքների տրամադրում.
«ընդհանուր գործընթացի ընթացակարգերի խումբ»՝ ընդհանուր գործընթացի ընթացակարգեր, որոնք միավորված են ընդհանուր գործընթացի առանձնահատկությամբ պայմանավորված որոշակի հատկանիշով:
Սույն կանոններում օգտագործվող «ընդհանուր գործընթացի ընթացակարգերի խումբ», «ընդհանուր գործընթացի տեղեկատվական օբյեկտ», «կատարող», «ընդհանուր գործընթացի գործառնություն», «ընդհանուր գործընթացի ընթացակարգ» և «ընդհանուր գործընթացի մասնակից» հասկացությունները կիրառվում են Եվրասիական տնտեսական հանձնաժողովի կոլեգիայի 2015 թվականի հունիսի 9-ի թիվ 63 որոշմամբ հաստատված՝
Եվրասիական տնտեսական միության շրջանակներում ընդհանուր գործընթացների վերլուծության, օպտիմալացման, ներդաշնակեցման և նկարագրության մեթոդիկայով սահմանված իմաստներով։
IV. Ընդհանուր գործընթացի վերաբերյալ հիմնական տեղեկություններ
5. Ընդհանուր գործընթացի լրիվ անվանումը՝ «Եվրասիական տնտեսական միության անդամ պետությունների մաքսային մարմինների միջև տեղեկությունների փոխանակման ապահովում Եվրասիական տնտեսական միության մաքսային տարածքի սահմաններից դուրս ապրանքների փաստացի արտահանման հսկողության և հաստատման գործընթացում»:
6. Ընդհանուր գործընթացի ծածկագրային նշագիրը՝ Р.СР.02, տարբերակը՝ 1.0.0:
1. Ընդհանուր գործընթացի նպատակը և խնդիրները
7. Ընդհանուր գործընթացի նպատակը Միության մեկ անդամ պետությունում (այսուհետ՝ անդամ պետություն) Միության մաքսային տարածքից ապրանքների արտահանում նախատեսող մաքսային ընթացակարգին համապատասխան բաց թողնված և Միության մաքսային տարածքի սահմաններից դուրս մեկ այլ անդամ պետությունում արտահանվող ապրանքների հսկողության, ինչպես նաև այդպիսի ապրանքների տեղափոխման դիտանցման արդյունավետության բարձրացումն է անդամ պետությունների լիազորված մարմինների միջև տեղեկատվական փոխգործակցության մեխանիզմների կատարելագործման հաշվին:
8. Ընդհանուր գործընթացի նպատակին հասնելու համար անհրաժեշտ է լուծել հետևյալ խնդիրները՝
ա) ապահովել անդամ պետությունների լիազորված մարմինների միջև ապրանքների փաստացի արտահանման նկատմամբ հսկողություն իրականացնելու համար անհրաժեշտ տեղեկությունների ավտոմատացված փոխանակումը՝ օգտագործելով արտաքին և փոխադարձ առևտրի ինտեգրված տեղեկատվական համակարգ՝ Միության իրավունքի մաս կազմող միջազգային պայմանագրերին ու ակտերին համապատասխան,
բ) ապահովել արտաքին և փոխադարձ առևտրի ինտեգրված տեղեկատվական համակարգի տվյալների ընդհանուր մոդելի օգտագործման հիման վրա կառուցված էլեկտրոնային փաստաթղթերի և տեղեկությունների միասնականացված կառուցվածքների կիրառումը,
գ) ապահովել անդամ պետությունների լիազորված մարմինների միջև տեղեկատվական փոխգործակցությունը՝ ապրանքների մասին հայտարարագրի տեղեկությունների վերաբերյալ հարցում կատարելու և Միության մաքսային տարածքից ապրանքների փաստացի արտահանումը հաստատող տեղեկություններ (այսուհետ՝ ապրանքների փաստացի արտահանման մասին տեղեկություններ) ներկայացնելու նպատակով,
դ) ապահովել ապրանքների սահմանված խմբաքանակի փաստացի արտահանումը հաստատելու նկատմամբ հսկողության համար անհրաժեշտ տեղեկատվության ներկայացումն անդամ պետությունների լիազորված մարմինների հարցմամբ այն դեպքում, երբ նշված տեղեկատվությունը ներկայացնելը նախատեսված է Միության իրավունքի մաս կազմող ակտերով:
2. Ընդհանուր գործընթացի մասնակիցները
9. Ընդհանուր գործընթացի մասնակիցների ցանկը բերված է 1-ին աղյուսակում:
Աղյուսակ 1
Ընդհանուր գործընթացի մասնակիցների ցանկը
|
Ծածկագրային նշագիրը |
Անվանումը |
Նկարագրությունը |
|
1 |
2 |
3 |
|
Р.СР.02.АСТ.001 |
լիազորված մարմին, որն իրականացնում է ապրանքների բացթողումը |
մաքսային գործի բնագավառում լիազորված՝ անդամ պետության գործադիր իշխանության մարմին, որի համակարգում իրականացվում են ապրանքների բացթողում՝ Միության մաքսային տարածքից ապրանքների արտահանումը թույլատրող մաքսային ընթացակարգին համապատասխան, ինչպես նաև փաստացի արտահանված ապրանքների քանակի հաշվառում |
|
Р.СР.02.АСТ.002 |
լիազորված մարմին, որը ձևակերպում է ապրանքների մեկնման թույլտվությունը |
մաքսային գործի բնագավառում լիազորված՝ անդամ պետության գործադիր իշխանության մարմին, որի համակարգում Միության մաքսային տարածքից ապրանքներն արտահանելու դեպքում կատարվում են մաքսային գործառնություններ, և իրականացվում է մաքսային հսկողություն |
3. Ընդհանուր գործընթացի կառուցվածքը
10. Ընդհանուր գործընթացն ըստ իրենց նշանակության խմբավորված ընթացակարգերի ամբողջություն է՝
ա) Միության մաքսային տարածքից ապրանքների մեկնման գործընթացում դրանց փաստացի արտահանման նկատմամբ հսկողության տեղեկատվական ապահովման ընթացակարգեր,
բ) անդամ պետության լիազորված մարմնի հարցմամբ ապրանքների փաստացի արտահանման մասին տեղեկություններ ներկայացնելու ընթացակարգեր:
11. Միության մաքսային տարածքից ապրանքների մեկնման ընթացակարգում դրանց փաստացի արտահանման նկատմամբ հսկողության տեղեկատվական ապահովման ընթացակարգերի խմբի մեջ մտնող ընդհանուր գործընթացի ընթացակարգերը կատարելիս իրականացվում է Միության մաքսային տարածքից ապրանքների փաստացի արտահանման հսկողության և հաստատման համար անհրաժեշտ տեղեկությունների փոխանակում:
Նշված ընթացակարգերը կատարելիս իրականացվում են հետևյալ գործողությունները՝
Միության մաքսային տարածքի սահմաններից դուրս ապրանքների արտահանումը թույլատրող մաքսային ընթացակարգին համապատասխան բաց թողնված ապրանքների մասին տեղեկությունների հարցում և ներկայացում.
ապրանքների բացթողումն իրականացնող լիազորված մարմին ապրանքների փաստացի արտահանման, այդ թվում՝ ավելի վաղ ուղարկված տեղեկությունները չեղյալ համարելու մասին տեղեկությունների ներկայացում:
Անդամ պետության լիազորված մարմնի հարցմամբ ապրանքների փաստացի արտահանման մասին տեղեկություններ ներկայացնելու ընթացակարգերի խմբի մեջ մտնող ընդհանուր գործընթացի ընթացակարգերը կատարելիս իրականացվում են ապրանքների արտահանման փաստերի մասին տեղեկությունների հարցում և հարցված տեղեկությունների ներկայացում ապրանքների մեկնման թույլտվությունը ձևակերպող լիազորված մարմնի կողմից:
12. Ընդհանուր գործընթացի կառուցվածքի բերված նկարագրությունը ներկայացված է 1-ին նկարում։
Նկ. 1. Ընդհանուր գործընթացի կառուցվածքը
13. Ընդհանուր գործընթացի՝ ըստ իր նշանակության խմբավորված ընթացակարգերի կատարման կարգը, այդ թվում՝ գործառնությունների մանրամասն նկարագրությունը, բերված է սույն կանոնների VIII բաժնում։
14. Ընթացակարգերի յուրաքանչյուր խմբի համար բերվում է ընդհանուր գործընթացի ընթացակարգերի միջև առկա կապերը և դրանց կատարման կարգն արտացոլող ընդհանուր սխեման։ Ընթացակարգերի ընդհանուր սխեման կառուցված է UML գրաֆիկական նոտացիայի (մոդելավորման միասնականացված լեզու՝ Unified Modeling Language) օգտագործմամբ և ապահովված է տեքստային նկարագրությամբ։
4. Միության մաքսային տարածքից ապրանքների մեկնման գործընթացում դրանց փաստացի արտահանման նկատմամբ հսկողության տեղեկատվական ապահովման ընթացակարգերի խումբը
15. Միության մաքսային տարածքից ապրանքների մեկնման ընթացակարգում դրանց փաստացի արտահանման նկատմամբ հսկողություն իրականացնելիս ապրանքների մեկնման թույլտվությունը ձևակերպող լիազորված մարմինն ապրանքների բացթողումն իրականացնող լիազորված մարմնից հարցում է կատարում ապրանքների մասին այն հայտարարագրի տեղեկությունների վերաբերյալ, որին համապատասխան ապրանքները ձևակերպվել են Միության մաքսային տարածքի սահմաններից դուրս ապրանքների արտահանումը թույլատրող մաքսային ընթացակարգով: Ապրանքների բացթողումն իրականացնող լիազորված մարմինը ներկայացնում է տեղեկություններ ապրանքների մասին հայտարարագրից, այդ թվում՝ տեղեկություններ արտահանման ենթակա ապրանքների մնացորդների (դրանց քանակական բնութագրերի) վերաբերյալ, կամ տեղեկություններ հարցվող տեղեկատվության բացակայության վերաբերյալ: Ընդ որում, կատարվում է «Ապրանքների մասին հայտարարագրից տեղեկությունների հարցում» ընթացակարգը (P.CP.02.PRC.001):
Նշված տեղեկությունները ներկայացվում են Եվրասիական տնտեսական հանձնաժողովի կոլեգիայի 2016 թվականի հունիսի 2-ի թիվ 55 որոշմամբ հաստատված՝ «Եվրասիական տնտեսական միության անդամ պետությունների մաքսային մարմինների միջև տեղեկությունների փոխանակման ապահովում Եվրասիական տնտեսական միության մաքսային տարածքի սահմաններից դուրս ապրանքների փաստացի արտահանման հսկողության և հաստատման գործընթացում» ընդհանուր գործընթացն արտաքին և փոխադարձ առևտրի ինտեգրված տեղեկատվական համակարգի միջոցներով իրագործելիս Եվրասիական տնտեսական միության անդամ պետությունների լիազորված մարմինների միջև տեղեկատվական փոխգործակցության կանոնակարգին (այսուհետ՝ Տեղեկատվական փոխգործակցության կանոնակարգ) համապատասխան: Ներկայացվող տեղեկությունների ձևաչափն ու կառուցվածքը պետք է համապատասխանեն Եվրասիական տնտեսական հանձնաժողովի կոլեգիայի 2016 թվականի հունիսի 2-ի թիվ 55 որոշմամբ հաստատված՝ «Եվրասիական տնտեսական միության անդամ պետությունների մաքսային մարմինների միջև տեղեկությունների փոխանակման ապահովում Եվրասիական տնտեսական միության մաքսային տարածքի սահմաններից դուրս ապրանքների փաստացի արտահանման հսկողության և հաստատման գործընթացում» ընդհանուր գործընթացն արտաքին և փոխադարձ առևտրի ինտեգրված տեղեկատվական համակարգի միջոցներով իրագործելու համար օգտագործվող էլեկտրոնային փաստաթղթերի և տեղեկությունների ձևաչափերի ու կառուցվածքների նկարագրությանը (այսուհետ՝ Էլեկտրոնային փաստաթղթերի և տեղեկությունների ձևաչափերի ու կառուցվածքների նկարագրություն):
Միության մաքսային տարածքից ապրանքների մեկնման թույլտվության ձևակերպման մասին որոշում ընդունելու դեպքում ապրանքների մեկնման թույլտվությունը ձևակերպող լիազորված մարմինն ապրանքների բացթողումն իրականացնող լիազորված մարմին է ուղարկում ապրանքների փաստացի արտահանման մասին տեղեկություններ: Ընդ որում, կատարվում է «Ապրանքների փաստացի արտահանման հաստատում» ընթացակարգը (Р.СР.02.РRС.002):
Այն դեպքում, երբ ապրանքները դուրս չեն բերվել մեկնման վայրերից և ենթակա են վերադարձի Միության մաքսային տարածք, այդպիսի ապրանքների փաստացի արտահանման մասին տեղեկությունները կարող են չեղյալ համարվել: Ընդ որում, կատարվում է «Ապրանքների փաստացի արտահանման մասին տեղեկությունների չեղյալ համարում» ընթացակարգը (Р.СР.02.РRС.003):
16. Միության մաքսային տարածքից ապրանքների մեկնման գործընթացում դրանց փաստացի արտահանման նկատմամբ հսկողության տեղեկատվական ապահովման ընթացակարգերի խմբի բերված նկարագրությունը ներկայացված է 2-րդ նկարում:
Նկ. 2. Միության մաքսային տարածքից ապրանքների մեկնման գործընթացում դրանց փաստացի արտահանման նկատմամբ հսկողության տեղեկատվական ապահովման ընթացակարգերի խմբի ընդհանուր սխեման
17. Միության մաքսային տարածքից ապրանքների մեկնման գործընթացում դրանց փաստացի արտահանման նկատմամբ հսկողության տեղեկատվական ապահովման ընթացակարգերի խմբի մեջ մտնող ընդհանուր գործընթացի ընթացակարգերի ցանկը բերված է 2-րդ աղյուսակում:
Աղյուսակ 2
Միության մաքսային տարածքից ապրանքների մեկնման գործընթացում դրանց փաստացի արտահանման նկատմամբ հսկողության տեղեկատվական ապահովման ընթացակարգերի խմբի մեջ մտնող ընդհանուր գործընթացի ընթացակարգերի ցանկը
|
Ծածկագրային նշագիրը |
Անվանումը |
Նկարագրությունը |
|
1 |
2 |
3 |
|
Р.СР.02.РRС.001 |
ապրանքների մասին հայտարարագրից տեղեկությունների հարցում |
ընթացակարգը նախատեսված է ապրանքների մեկնման թույլտվությունը ձևակերպող լիազորված մարմնի հարցմամբ ապրանքների բացթողումն իրականացնող լիազորված մարմնի կողմից ապրանքների մասին հայտարարագրից տեղեկություններ ներկայացնելու համար |
|
Р.СР.02.РRС.002 |
ապրանքների փաստացի արտահանման հաստատում |
ընթացակարգը նախատեսված է ապրանքների մեկնման թույլտվությունը ձևակերպող լիազորված մարմնի կողմից ապրանքների բացթողումն իրականացնող լիազորված մարմին ապրանքների փաստացի արտահանման մասին տեղեկություններ ներկայացնելու համար |
|
Р.СР.02.РRС.003 |
ապրանքների փաստացի արտահանման մասին տեղեկությունների չեղյալ համարում |
ընթացակարգը նախատեսված է ապրանքների մեկնման թույլտվությունը ձևակերպող լիազորված մարմնի կողմից ապրանքների բացթողումն իրականացնող լիազորված մարմին ապրանքների փաստացի արտահանման մասին ավելի վաղ ուղարկված տեղեկությունները չեղյալ համարելու մասին տեղեկություններ ներկայացնելու համար |
5. Անդամ պետության լիազորված մարմնի հարցմամբ ապրանքների փաստացի արտահանման մասին տեղեկություններ ներկայացնելու ընթացակարգերի խումբը
18. Անդամ պետության լիազորված մարմնի հարցմամբ ապրանքների փաստացի արտահանման մասին տեղեկություններ ներկայացնելու ընթացակարգերի խմբի կատարումն իրականացվում է ապրանքների բացթողումն իրականացնող լիազորված մարմնում ապրանքների փաստացի արտահանման մասին տեղեկությունների բացակայության դեպքում:
Ապրանքների մեկնման թույլտվությունը ձևակերպող լիազորված մարմնի կողմից ապրանքների փաստացի արտահանման մասին տեղեկություններ ներկայացնելու և Միության մաքսային տարածքից ապրանքների փաստացի արտահանման հաստատման համար արտաքին տնտեսական գործունեության մասնակցի կողմից հիմնավորված դիմում ներկայացնելու դեպքում ապրանքների մեկնման թույլտվությունը ձևակերպող լիազորված մարմինն ուղարկում է ապրանքների փաստացի արտահանման մասին տեղեկություններ ներկայացնելու հարցում: Ապրանքների մեկնման թույլտվությունը ձևակերպող լիազորված մարմինը ներկայացնում է ապրանքների փաստացի արտահանման մասին տեղեկություններ կամ ուղարկում է հարցվող տեղեկությունների բացակայության մասին ծանուցում: Ընդ որում, կատարվում է «Ապրանքների փաստացի արտահանման մասին տեղեկությունների հարցում» ընթացակարգը (Р.СР.02.РRС.004):
19. Անդամ պետության լիազորված մարմնի հարցմամբ ապրանքների փաստացի արտահանման մասին տեղեկություններ ներկայացնելու ընթացակարգերի խմբի բերված նկարագրությունը ներկայացված է 3-րդ նկարում:
Նկ. 3. Անդամ պետության լիազորված մարմնի հարցմամբ ապրանքների փաստացի արտահանման մասին տեղեկություններ ներկայացնելու ընթացակարգերի խմբի ընդհանուր սխեման
20. Անդամ պետության լիազորված մարմնի հարցմամբ ապրանքների փաստացի արտահանման մասին տեղեկություններ ներկայացնելու ընթացակարգի խմբի մեջ մտնող ընդհանուր գործընթացի ընթացակարգերի ցանկը բերված է 3-րդ աղյուսակում:
Աղյուսակ 3
Անդամ պետության լիազորված մարմնի հարցմամբ ապրանքների փաստացի արտահանման մասին տեղեկություններ ներկայացնելու ընթացակարգի խմբի մեջ մտնող ընդհանուր գործընթացի ընթացակարգերի ցանկը
|
Ծածկագրային նշագիրը |
Անվանումը |
Նկարագրությունը |
|
1 |
2 |
3 |
|
Р.СР.02.РRС.004 |
ապրանքների փաստացի արտահանման մասին տեղեկությունների հարցում |
ընթացակարգը նախատեսված է ապրանքների մեկնման թույլտվությունը ձևակերպող լիազորված մարմնի կողմից ապրանքների բացթողումն իրականացնող լիազորված մարմին ապրանքների փաստացի արտահանման մասին տեղեկություններ ներկայացնելու համար |
V. Ընդհանուր գործընթացի տեղեկատվական օբյեկտները
21. Տեղեկատվական այն օբյեկտների ցանկը, որոնց վերաբերյալ կամ որոնցից տեղեկությունները տեղեկատվական փոխգործակցության գործընթացում փոխանցվում են ընդհանուր գործընթացի մասնակիցների միջև, բերված է 4-րդ աղյուսակում։
Աղյուսակ 4
Տեղեկատվական օբյեկտների ցանկը
|
Ծածկագրային նշագիրը |
Անվանումը |
Նկարագրությունը |
|
1 |
2 |
3 |
|
P.CP.02.BEN.001 |
ապրանքների մասին հայտարարագրից տեղեկություններ |
ապրանքների մասին հայտարարագրում պարունակվող տեղեկություններ |
|
P.CP.02.BEN.002 |
ապրանքների փաստացի արտահանման մասին տեղեկություններ |
Միության մաքսային տարածքից ապրանքների փաստացի արտահանման մասին տեղեկություններ |
VI. Ընդհանուր գործընթացի մասնակիցների պատասխանատվությունը
22. Եվրասիական տնտեսական հանձնաժողովի՝ տեղեկատվական փոխգործակցությանը մասնակցող պաշտոնատար անձինք և աշխատակիցները տեղեկությունների ժամանակին ու ամբողջական փոխանցումն ապահովելուն ուղղված պահանջները չկատարելու համար կարգապահական պատասխանատվության են ենթարկվում «Եվրասիական տնտեսական միության մասին» 2014 թվականի մայիսի 29-ի պայմանագրին, Միության իրավունքի մաս կազմող այլ միջազգային պայմանագրերի և ակտերի համապատասխան, իսկ անդամ պետությունների լիազորված մարմինների պաշտոնատար անձինք և աշխատակիցները՝ անդամ պետությունների օրենսդրությանը համապատասխան։
VII. Ընդհանուր գործընթացի տեղեկատուներն ու դասակարգիչները
23. Ընդհանուր գործընթացի տեղեկատուների և դասակարգիչների ցանկը բերված է 5-րդ աղյուսակում:
Աղյուսակ 5
Ընդհանուր գործընթացի տեղեկատուների և դասակարգիչների ցանկը
|
Ծածկագրային նշագիրը |
Անվանումը |
Տեսակը |
Նկարագրությունը |
|
1 |
2 |
3 |
4 |
|
P.CLS.001 |
աշխարհի երկրների դասակարգիչ |
դասակարգիչ |
պարունակում է երկրների անվանումների ցանկը և դրանց համապատասխան ծածկագրերը (կիրառվում է Մաքսային միության հանձնաժողովի 2010 թվականի սեպտեմբերի 20-ի թիվ 378 որոշմանը համապատասխան) |
|
P.CLS.002 |
արժույթների դասակարգիչ |
դասակարգիչ |
պարունակում է արժույթների ծածկագրերի և անվանումների ցանկը (կիրառվում է Մաքսային միության հանձնաժողովի 2010 թվականի սեպտեմբերի 20-ի թիվ 378 որոշմանը համապատասխան) |
|
P.CLS.003 |
Եվրասիական տնտեսական միության արտաքին տնտեսական գործունեության միասնական ապրանքային անվանացանկ (ԵԱՏՄ ԱՏԳ ԱԱ) |
դասակարգիչ |
պարունակում է ապրանքների ծածկագրերի և անվանումների ցանկը, որը հիմնված է Համաշխարհային մաքսային կազմակերպության՝ ապրանքների նկարագրման և ծածկագրման ներդաշնակեցված համակարգի և Անկախ պետությունների համագործակցության արտաքին տնտեսական գործունեության միասնական ապրանքային անվանացանկի վրա |
|
P.CLS.008 |
կապի տեսակների դասակարգիչ |
դասակարգիչ |
պարունակում է կապի տեսակների ծածկագրերի և անվանումների ցանկը (ներդաշնակեցված է ՄԱԿ ԱԷՊԿ-ի «Communication Channel Code» դասակարգչի հետ) |
|
Р.СLS.014 |
օգտագործվող փաստաթղթերի և տեղեկությունների տեսակների դասակարգիչ |
դասակարգիչ |
պարունակում է փաստաթղթերի ծածկագրերի և անվանումների ցանկը (կիրառվում է Մաքսային միության հանձնաժողովի 2010 թվականի սեպտեմբերի 20-ի թիվ 378 որոշմանը համապատասխան) |
|
Р.СLS.015 |
տրանսպորտի տեսակների և ապրանքների տրանսպորտային փոխադրման դասակարգիչ |
դասակարգիչ |
պարունակում է տրանսպորտային միջոցների տեսակների և ապրանքների տրասնպորտային փոխադրման ցանկը և դրանց համապատասխան ծածկագրերը (կիրառվում է Մաքսային միության հանձնաժողովի 2010 թվականի սեպտեմբերի 20-ի թիվ 378 որոշմանը համապատասխան) |
|
Р.СLS.023 |
չափման միավորների դասակարգիչ |
դասակարգիչ |
պարունակում է չափման միավորների ծածկագրերի, պայմանական նշագրերի և անվանումների ցանկը (կիրառվում է Մաքսային միության հանձնաժողովի 2010 թվականի սեպտեմբերի 20-ի թիվ 378 որոշմանը համապատասխան) |
|
Р.СLS.025 |
Եվրասիական տնտեսական միության անդամ պետությունների մաքսային մարմինների դասակարգիչ |
դասակարգիչ |
պարունակում է անդամ պետությունների մաքսային մարմինների ծածկագրերի և անվանումների ցանկը |
|
Р.СLS.026 |
Եվրասիական տնտեսական միության անդամ պետությունների լիազորված մարմինների տեղեկատու |
տեղեկատու |
պարունակում է անդամ պետությունների լիազորված մարմինների ցանկը |
(աղյուսակը փոփ. ԵՏՀԿ 16.01.18 թիվ 5)
VIII. Ընդհանուր գործընթացի ընթացակարգերը
1. Միության մաքսային տարածքից ապրանքների մեկնման գործընթացում դրանց փաստացի արտահանման նկատմամբ հսկողության տեղեկատվական ապահովման ընթացակարգեր
«Ապրանքների մասին հայտարարագրից տեղեկությունների հարցում» ընթացակարգ (RCP.02.PRC.001)
24. «Ապրանքների մասին հայտարարագրից տեղեկությունների հարցում» ընթացակարգի (Р.СР.02.РRС.001) կատարման սխեման ներկայացված է 4-րդ նկարում:
Նկ. 4. «Ապրանքների մասին հայտարարագրից տեղեկությունների հարցում» ընթացակարգի (Р.СР.02.РRС.001) կատարման սխեման
25. «Ապրանքների մասին հայտարարագրից տեղեկությունների հարցում» ընթացակարգը (Р.СР.02.РRС.001) կատարվում է մեկ անդամ պետությունում Միության մաքսային տարածքի սահմաններից դուրս ապրանքների արտահանում նախատեսող մաքսային ընթացակարգին համապատասխան բաց թողնված ապրանքները Միության մաքսային տարածքից մեկնման՝ այլ անդամ պետության տարածքում տեղակայված վայր ժամանելիս և մաքսային հայտարարագրում նշված ապրանքների մասին տեղեկությունների և տրանսպորտային (փոխադրման) փաստաթղթերում պարունակվող տեղեկությունների ստուգում իրականացնելիս:
26. Առաջինը կատարվում է «Ապրանքների մասին հայտարարագրից տեղեկությունների հարցում» գործառնությունը (Р.СР.02.0РR.001), որի կատարման արդյունքներով ապրանքների մեկնման թույլտվությունը ձևակերպող լիազորված մարմնի կողմից ձևակերպվում և ապրանքների բացթողումն իրականացնող լիազորված մարմին է փոխանցվում ապրանքների մասին հայտարարագրից տեղեկություններ ներկայացնելու հարցում:
27. Ապրանքների բացթողումն իրականացնող լիազորված մարմնի կողմից ապրանքների մասին հայտարարագրից տեղեկություններ ներկայացնելու հարցում ստանալու դեպքում կատարվում է «Ապրանքների մասին հայտարարագրից տեղեկությունների ներկայացում» գործառնությունը (Р.СР.02OРR.002), որի կատարման արդյունքներով ապրանքների մեկնման թույլտվությունը ձևակերպող լիազորված մարմին ներկայացվում են տեղեկություններ ապրանքների մասին այն հայտարարագրից, որով իրականացվել է ապրանքների բացթողումը՝ Միության մաքսային տարածքի սահմաններից դուրս ապրանքների արտահանում նախատեսող մաքսային ընթացակարգին համապատասխան: Ապրանքների մասին հայտարարագրից տեղեկությունները ներկայացվում են՝ հաշվի առնելով Միության մաքսային տարածքի սահմաններից դուրս նախկինում արտահանված ապրանքի քանակը: Այն դեպքում, երբ ապրանքների բացթողումն իրականացնող լիազորված մարմնում բացակայում են հարցման պարամետրերը բավարարող տեղեկությունները, ապրանքների մեկնման թույլտվությունը ձևակերպող լիազորված մարմին է ուղարկվում այդպիսի տեղեկությունների բացակայության մասին ծանուցում:
28. Ապրանքների մեկնման թույլտվությունը ձևակերպող լիազորված մարմնի կողմից ապրանքների մասին հայտարարագրից տեղեկություններ կամ հարցման պարամետրերը բավարարող տեղեկությունների բացակայության մասին ծանուցում ստացվելու դեպքում կատարվում է «Ապրանքների մասին հայտարարագրից տեղեկությունների ընդունում և մշակում» գործառնությունը (Р.СР.02.OРR.003):
29. «Ապրանքների մասին հայտարարագրից տեղեկությունների հարցում» ընթացակարգի (Р.СР.02.РRС.001) կատարման արդյունք են համարվում ապրանքների մեկնման թույլտվությունը ձևակերպող լիազորված մարմնի կողմից ապրանքների մասին հայտարարագրից տեղեկությունների կամ հարցման պարամետրերը բավարարող տեղեկությունների բացակայության մասին ծանուցման ընդունումն ու մշակումը։
30 «Ապրանքների մասին հայտարարագրից տեղեկությունների հարցում» ընթացակարգի (Р.СР.02.РRС.001) շրջանակներում կատարվող ընդհանուր գործընթացի գործառնությունների ցանկը բերված է 6-րդ աղյուսակում։
Աղյուսակ 6
«Ապրանքների մասին հայտարարագրից տեղեկությունների հարցում» ընթացակարգի (Р.СР.02.РRС.001) շրջանակներում կատարվող ընդհանուր գործընթացի գործառնությունների ցանկը
|
Ծածկագրային նշագիրը |
Անվանումը |
Նկարագրությունը |
|
1 |
2 |
3 |
|
Р.СР.02.OРR001 |
ապրանքների մասին հայտարարագրից տեղեկությունների հարցում |
բերված է սույն կանոնների 7-րդ աղյուսակում |
|
Р.СР.02.0РR.002 |
ապրանքների մասին հայտարարագրից տեղեկությունների ներկայացում |
բերված է սույն կանոնների 8-րդ աղյուսակում |
|
Р.СР.02.0РR.003 |
ապրանքների մասին հայտարարագրից տեղեկությունների ընդունում և մշակում |
բերված է սույն կանոնների 9-րդ աղյուսակում |
Աղյուսակ 7
«Ապրանքների մասին հայտարարագրից տեղեկությունների հարցում» գործառնության (Р.СР.02.0РR.001) նկարագրությունը
|
Թիվ ը/կ |
Տարրի նշագիրը |
Նկարագրությունը |
|
1 |
2 |
3 |
|
1 |
Ծածկագրային նշագիրը |
Р.СР.02.OРR.001 |
|
2 |
Գործառնության անվանումը |
ապրանքների մասին հայտարարագրից տեղեկությունների հարցում |
|
3 |
Կատարողը |
լիազորված մարմին, որը ձևակերպում է ապրանքների մեկնման թույլտվությունը |
|
4 |
Կատարման պայմանները |
կատարվում է մեկ անդամ պետությունում Միության մաքսային տարածքի սահմաններից դուրս ապրանքների արտահանում նախատեսող մաքսային ընթացակարգին համապատասխան բաց թողնված ապրանքները Միության մաքսային տարածքից մեկնման՝ այլ անդամ պետության տարածքում տեղակայված վայր ժամանելիս և մաքսային հայտարարագրում նշված ապրանքների մասին տեղեկությունների և տրանսպորտային (փոխադրման) փաստաթղթերում պարունակվող տեղեկությունների ստուգում իրականացնելիս |
|
5 |
Սահմանափակումները |
հարցման ձևաչափն ու կառուցվածքը պետք է համապատասխանեն Էլեկտրոնային փաստաթղթերի և տեղեկությունների ձևաչափերի ու կառուցվածքների նկարագրությանը։ Հարցումը պետք է վավերացվի էլեկտրոնային թվային ստորագրությամբ (էլեկտրոնային ստորագրությամբ) |
|
6 |
Գործառնության նկարագրությունը |
կատարողը ձևակերպում ու ապրանքների բացթողումն իրականացնող լիազորված մարմին է ուղարկում ապրանքների մասին հայտարարագրից տեղեկություններ ներկայացնելու հարցում՝ Տեղեկատվական փոխգործակցության կանոնակարգին համապատասխան |
|
7 |
Արդյունքները |
ապրանքների մասին հայտարարագրից տեղեկությունների հարցումը փոխանցվել է ապրանքների բացթողումն իրականացնող լիազորված մարմին |
Աղյուսակ 8
«Ապրանքների մասին հայտարարագրից տեղեկությունների ներկայացում» գործառնության (Р.СР.02.OРR.002) նկարագրությունը
|
Թիվ ը/կ |
Տարրի նշագիրը |
Նկարագրությունը |
|
1 |
2 |
3 |
|
1 |
Ծածկագրային նշագիրը |
Р.СР.02.0РR.002 |
|
2 |
Գործառնության անվանումը |
ապրանքների մասին հայտարարագրից տեղեկությունների ներկայացում |
|
3 |
Կատարողը |
լիազորված մարմին, որն իրականացնում է ապրանքների բացթողումը |
|
4 |
Կատարման պայմանները |
կատարվում է կատարողի կողմից ապրանքների մասին հայտարարագրից տեղեկություններ ներկայացնելու հարցում ստացվելու («Ապրանքների մասին հայտարարագրից տեղեկությունների հարցում» գործառնություն (Р.СР.02.OPR.001)) դեպքում |
|
5 |
Սահմանափակումները |
հարցման ձևաչափն ու կառուցվածքը պետք է համապատասխանեն Էլեկտրոնային փաստաթղթերի և տեղեկությունների ձևաչափերի ու կառուցվածքների նկարագրությանը։ Պահանջվում է ավտորիզացում. տեղեկությունների հարցումը կատարվում է միայն անդամ պետությունների լիազորված մարմինների կողմից |
|
6 |
Գործառնության նկարագրությունը |
կատարողն իրականացնում է հարցման մշակում՝ Տեղեկատվական փոխգործակցության կանոնակարգին համապատասխան, ձևակերպում և ապրանքների մեկնման թույլտվությունը ձևակերպող լիազորված մարմին է ներկայացնում ապրանքների մասին հայտարարագրից տեղեկություններ: Այն դեպքում, երբ ապրանքը նախկինում մասամբ արտահանվել է հարցման մեջ նշված հայտարարագրով, արտահանվող ապրանքների մնացորդների վերաբերյալ տեղեկություններում նշվում են մնացած ապրանքի քանակական արժեքները: Այն դեպքում, երբ ապրանքն ամբողջությամբ արտահանվել է հարցման մեջ նշված հայտարարագրով, արտահանվող ապրանքների մնացորդների վերաբերյալ տեղեկությունները նշվում են զրոյին հավասար: Հարցման պարամետրերը բավարարող՝ ապրանքների մասին հայտարարագրից տեղեկությունների բացակայության դեպքում ապրանքների մեկնման թույլտվությունը ձևակերպող լիազորված մարմին է ուղարկվում նշված տեղեկությունների բացակայության մասին ծանուցում |
|
7 |
Արդյունքները |
ապրանքների մեկնման թույլտվությունը ձևակերպող լիազորված մարմին են ներկայացվել ապրանքների մասին հայտարարագրից տեղեկություններ, կամ ուղարկվել է հարցման պարամետրերը բավարարող տեղեկությունների բացակայության մասին ծանուցում |
Աղյուսակ 9
«Ապրանքների մասին հայտարարագրից տեղեկությունների ընդունում և մշակում» գործառնության (Р.СР.02.ОРR.003) նկարագրությունը
|
Թիվ ը/կ |
Տարրի նշագիրը |
Նկարագրությունը |
|
1 |
2 |
3 |
|
1 |
Ծածկագրային նշագիրը |
Р.СР.02.ОРR.003 |
|
2 |
Գործառնության անվանումը |
ապրանքների մասին հայտարարագրից տեղեկությունների ընդունում և մշակում |
|
3 |
Կատարողը |
լիազորված մարմին, որը ձևակերպում է ապրանքների մեկնման թույլտվությունը |
|
4 |
Կատարման պայմանները |
կատարվում է կատարողի կողմից ապրանքների մասին հայտարարագրից տեղեկություններ կամ հարցման պարամետրերը բավարարող տեղեկությունների բացակայության մասին ծանուցում ստացվելու («Ապրանքների մասին հայտարարագրից տեղեկությունների ներկայացում» գործառնություն (Р.СР.02.OPR.002)) դեպքում |
|
5 |
Սահմանափակումները |
ներկայացվող տեղեկությունների կամ հարցման պարամետրերը բավարարող տեղեկությունների բացակայության մասին ծանուցման ձևաչափն ու կառուցվածքը պետք է համապատասխանեն Էլեկտրոնային փաստաթղթերի և տեղեկությունների ձևաչափերի ու կառուցվածքների նկարագրությանը: Էլեկտրոնային փաստաթղթի (տեղեկությունների) վավերապայմանները պետք է համապատասխանեն Տեղեկատվական փոխգործակցության կանոնակարգով նախատեսված պահանջներին |
|
6 |
Գործառնության նկարագրությունը |
կատարողն իրականացնում է ապրանքների մասին հայտարարագրից տեղեկությունների կամ հարցման պարամետրերը բավարարող տեղեկությունների բացակայության մասին ծանուցման ընդունում և մշակում |
|
7 |
Արդյունքները |
ապրանքների մասին հայտարարագրից տեղեկությունները կամ հարցման պարամետրերը բավարարող տեղեկությունների բացակայության մասին ծանուցումը մշակվել են |
«Ապրանքների փաստացի արտահանման հաստատում» ընթացակարգ (Р.СР.02.РRС.002)
31. «Ապրանքների փաստացի արտահանման հաստատում» ընթացակարգի (Р.СР.02.РRС.002) կատարման սխեման ներկայացված է 5-րդ նկարում:
Նկ. 5. «Ապրանքների փաստացի արտահանման հաստատում» ընթացակարգի (Р.СР.02.РRС.002) կատարման սխեման
32. «Ապրանքների փաստացի արտահանման հաստատում» ընթացակարգը (Р.СР.02.РRС.002) կատարվում է ապրանքների մեկնման թույլտվությունը ձևակերպող լիազորված մարմնի կողմից Միության մաքսային տարածքից ապրանքների մեկնման թույլտվության ձևակերպման մասին որոշում ընդունվելու դեպքում:
33. Առաջինը կատարվում է «Ապրանքների փաստացի արտահանման մասին տեղեկությունների ներկայացում» գործառնությունը (Р.СР.02.OРR.004), որի կատարման արդյունքներով ապրանքների մեկնման թույլտվությունը ձևակերպող լիազորված մարմնի կողմից ձևակերպվում և ապրանքների բացթողումն իրականացնող լիազորված մարմին են ներկայացվում ապրանքների փաստացի արտահանման մասին տեղեկություններ:
34. Ապրանքների բացթողումն իրականացնող լիազորված մարմնի կողմից ապրանքների փաստացի արտահանման մասին տեղեկություններ ստացվելու դեպքում կատարվում է «Ապրանքների փաստացի արտահանման մասին տեղեկությունների ընդունում և մշակում» գործառնությունը (Р.СР.02.OРR.005), որի կատարման արդյունքներով իրականացվում են նշված տեղեկությունների ընդունումն ու մշակումը: Ապրանքների մեկնման թույլտվությունը ձևակերպող լիազորված մարմին է ուղարկվում ապրանքների փաստացի արտահանման մասին տեղեկությունների մշակման մասին ծանուցում:
35. Ապրանքների մեկնման թույլտվությունը ձևակերպող լիազորված մարմնի կողմից ապրանքների փաստացի արտահանման մասին տեղեկությունների մշակման մասին ծանուցում ստացվելու դեպքում կատարվում է «Ապրանքների փաստացի արտահանման մասին տեղեկությունների մշակման մասին ծանուցման ստացում» գործառնությունը (Р.СР.02.OРR.006), որի կատարման արդյունքներով իրականացվում են նշված ծանուցման ընդունումն ու մշակումը:
36. «Ապրանքների փաստացի արտահանման հաստատում» ընթացակարգի (Р.СР.02.РRС.002) կատարման արդյունք է համարվում ապրանքների բացթողումն իրականացնող լիազորված մարմնում ապրանքների փաստացի արտահանման մասին տեղեկությունների մշակումը:
37. «Ապրանքների փաստացի արտահանման հաստատում» ընթացակարգի (Р.СР.02.РRС.002) շրջանակներում կատարվող ընդհանուր գործընթացի գործառնությունների ցանկը բերված է 10-րդ աղյուսակում։
Աղյուսակ 10
«Ապրանքների փաստացի արտահանման հաստատում» ընթացակարգի (Р.СР.02.РRС.002) շրջանակներում կատարվող ընդհանուր գործընթացի գործառնությունների ցանկը
|
Ծածկագրային նշագիրը |
Անվանումը |
Նկարագրությունը |
|
1 |
2 |
3 |
|
Р.СР.02.OPR.004 |
ապրանքների փաստացի արտահանման մասին տեղեկությունների ներկայացում |
բերված է սույն կանոնների 11-րդ աղյուսակում |
|
Р.СР.02.0РR.005 |
ապրանքների փաստացի արտահանման մասին տեղեկությունների ընդունում և մշակում |
բերված է սույն կանոնների 12-րդ աղյուսակում |
|
Р.СР.02.OPR.006 |
ապրանքների փաստացի արտահանման մասին տեղեկությունների մշակման մասին ծանուցման ստացում |
բերված է սույն կանոնների 13-րդ աղյուսակում |
Աղյուսակ 11
«Ապրանքների փաստացի արտահանման մասին տեղեկությունների ներկայացում» գործառնության (Р.СР.02.OРR.004) նկարագրությունը
|
Թիվ ը/կ |
Տարրի նշագիրը |
Նկարագրությունը |
|
1 |
2 |
3 |
|
1 |
Ծածկագրային նշագիրը |
Р.СР.02.0РR.004 |
|
2 |
Գործառնության անվանումը |
ապրանքների փաստացի արտահանման մասին տեղեկությունների ներկայացում |
|
3 |
Կատարողը |
լիազորված մարմին, որը ձևակերպում է ապրանքների մեկնման թույլտվությունը |
|
4 |
Կատարման պայմանները |
կատարվում է Միության մաքսային տարածքից ապրանքների մեկնման թույլտվությունը ձևակերպելու մասին որոշում ընդունվելու դեպքում |
|
5 |
Սահմանափակումները |
ապրանքների փաստացի արտահանման մասին տեղեկությունների ձևաչափն ու կառուցվածքը պետք է համապատասխանեն Էլեկտրոնային փաստաթղթերի և տեղեկությունների ձևաչափերի ու կառուցվածքների նկարագրությանը: Ապրանքների փաստացի արտահանման մասին ներկայացվող տեղեկությունները պետք է վավերացվեն էլեկտրոնային թվային ստորագրությամբ (էլեկտրոնային ստորագրությամբ) |
|
6 |
Գործառնության նկարագրությունը |
կատարողը ձևակերպում և ապրանքների բացթողումն իրականացնող լիազորված մարմին է ներկայացնում ապրանքների փաստացի արտահանման մասին տեղեկություններ՝ Տեղեկատվական փոխգործակցության կանոնակարգին համապատասխան |
|
7 |
Արդյունքները |
ապրանքների փաստացի արտահանման մասին տեղեկությունները ներկայացվել են ապրանքների բացթողումն իրականացնող լիազորված մարմին |
Աղյուսակ 12
«Ապրանքների փաստացի արտահանման մասին տեղեկությունների ընդունում և մշակում» գործառնության (Р.СР.02.OРR.005) նկարագրությունը
|
Թիվ ը/կ |
Տարրի նշագիրը |
Նկարագրությունը |
|
1 |
2 |
3 |
|
1 |
Ծածկագրային նշագիրը |
Р.СР.02.OРR.005 |
|
2 |
Գործառնության անվանումը |
ապրանքների փաստացի արտահանման մասին տեղեկությունների ընդունում և մշակում |
|
3 |
Կատարողը |
լիազորված մարմին, որն իրականացնում է ապրանքների բացթողումը |
|
4 |
Կատարման պայմանները |
կատարվում է կատարողի կողմից ապրանքների փաստացի արտահանման մասին տեղեկություններ ստացվելու («Ապրանքների փաստացի արտահանման մասին տեղեկությունների ներկայացում» գործառնություն (Р.СР.02.OРR.004)) դեպքում |
|
5 |
Սահմանափակումները |
ներկայացվող տեղեկությունների ձևաչափն ու կառուցվածքը պետք է համապատասխանեն Էլեկտրոնային փաստաթղթերի և տեղեկությունների ձևաչափերի ու կառուցվածքների նկարագրությանը: Էլեկտրոնային փաստաթղթի (տեղեկությունների) վավերապայմանները պետք է համապատասխանեն Տեղեկատվական փոխգործակցության կանոնակարգով նախատեսված պահանջներին |
|
6 |
Գործառնության նկարագրությունը |
կատարողն իրականացնում է ապրանքների փաստացի արտահանման մասին տեղեկությունների ընդունում և մշակում, ձևակերպում և ապրանքների մեկնման թույլտվությունը ձևակերպող լիազորված մարմին է ուղարկում տեղեկությունների մշակման մասին ծանուցում |
|
7 |
Արդյունքները |
ապրանքների փաստացի արտահանման մասին տեղեկությունները մշակվել են, տեղեկությունների մշակման մասին ծանուցումն ուղարկվել է ապրանքների մեկնման թույլտվությունը ձևակերպող լիազորված մարմին |
Աղյուսակ 13
«Ապրանքների փաստացի արտահանման մասին տեղեկությունների մշակման մասին ծանուցման ստացում» գործառնության
(Р.СР.02.OPR.006) նկարագրությունը
|
Թիվ ը/կ |
Տարրի նշագիրը |
Նկարագրությունը |
|
1 |
2 |
3 |
|
1 |
Ծածկագրային նշագիրը |
Р.СР.02.OPR.006 |
|
2 |
Գործառնության անվանումը |
ապրանքների փաստացի արտահանման մասին տեղեկությունների մշակման մասին ծանուցման ստացում |
|
3 |
Կատարողը |
լիազորված մարմին, որը ձևակերպում է ապրանքների մեկնման թույլտվությունը |
|
4 |
Կատարման պայմանները |
կատարվում է կատարողի կողմից ապրանքների փաստացի արտահանման մասին տեղեկությունների մշակման մասին ծանուցում ստացվելու («Ապրանքների փաստացի արտահանման մասին տեղեկությունների ընդունում և մշակում» գործառնություն (Р.СР.02.OPR.005)) դեպքում |
|
5 |
Սահմանափակումները |
ծանուցման ձևաչափն ու կառուցվածքը պետք է համապատասխանեն Էլեկտրոնային փաստաթղթերի և տեղեկությունների ձևաչափերի ու կառուցվածքների նկարագրությանը |
|
6 |
Գործառնության նկարագրությունը |
կատարողն իրականացնում է ծանուցման ընդունում և մշակում՝ Տեղեկատվական փոխգործակցության կանոնակարգին համապատասխան |
|
7 |
Արդյունքները |
ապրանքների փաստացի արտահանման մասին տեղեկությունների մշակման մասին ծանուցումը մշակվել է |
«Ապրանքների փաստացի արտահանման մասին տեղեկությունների չեղյալ համարում» ընթացակարգ (Р.СР.02.РRС.003)
38. «Ապրանքների փաստացի արտահանման մասին տեղեկությունների չեղյալ համարում» ընթացակարգի (Р.СР.02.РRС.003) կատարման սխեման ներկայացված է 6-րդ նկարում:
Նկ. 6. «Ապրանքների փաստացի արտահանման մասին տեղեկությունների չեղյալ համարում» ընթացակարգի (Р.СР.02.РRС.003) կատարման սխեման
39. «Ապրանքների փաստացի արտահանման մասին տեղեկությունների չեղյալ համարում» ընթացակարգը (Р.СР.02.РRС.003) կատարվում է այն դեպքում, երբ մեկնման թույլտվությունը ձևակերպելուց հետո ապրանքները դուրս չեն բերվել մեկնման վայրերից և ենթակա են վերադարձի Միության մաքսային տարածք։
40. Առաջինը կատարվում է «Ապրանքների փաստացի արտահանման հաստատումը չեղյալ համարելու մասին տեղեկությունների ներկայացում» գործառնությունը (Р.СР.02.OPR.007), որի կատարման արդյունքներով ապրանքների մեկնման թույլտվությունը ձևակերպող լիազորված մարմնում ձևակերպվում և ապրանքների բացթողումն իրականացնող լիազորված մարմին են ներկայացվում ապրանքների փաստացի արտահանման հաստատումը չեղյալ համարելու մասին տեղեկություններ:
41. Ապրանքների բացթողումն իրականացնող լիազորված մարմնի կողմից ապրանքների փաստացի արտահանման հաստատումը չեղյալ համարելու մասին տեղեկություններ ստացվելու դեպքում կատարվում է «Ապրանքների փաստացի արտահանման հաստատումը չեղյալ համարելու մասին տեղեկությունների ընդունում և մշակում» գործառնությունը (Р.СР.02.OPR.008), որի կատարման արդյունքներով իրականացվում են նշված տեղեկությունների ընդունումն ու մշակումը: Ապրանքների մեկնման թույլտվությունը ձևակերպող լիազորված մարմին է ուղարկվում ապրանքների փաստացի արտահանման հաստատումը չեղյալ համարելու մասին տեղեկությունների մշակման մասին ծանուցում:
42. Ապրանքների մեկնման թույլտվությունը ձևակերպող լիազորված մարմնի կողմից ապրանքների փաստացի արտահանման հաստատումը չեղյալ համարելու մասին տեղեկությունների մշակման մասին ծանուցում ստացվելու դեպքում կատարվում է «Ապրանքների փաստացի արտահանման հաստատումը չեղյալ համարելու մասին տեղեկությունների ընդունում և մշակում» գործառնությունը (Р.СР.02.OPR.009), որի կատարման արդյունքներով իրականացվում են նշված ծանուցման ընդունումն ու մշակումը:
43. «Ապրանքների փաստացի արտահանման մասին տեղեկությունների չեղյալ համարում» ընթացակարգի (Р.СР.02.РRС.003) կատարման արդյունք է համարվում ապրանքների բացթողումն իրականացնող լիազորված մարմնում ապրանքների փաստացի արտահանման հաստատումը չեղյալ համարելու մասին տեղեկությունների մշակումը:
44. «Ապրանքների փաստացի արտահանման մասին տեղեկությունների չեղյալ համարում» ընթացակարգի (Р.СР.02.РRС.003) շրջանակներում կատարվող ընդհանուր գործընթացի գործառնությունների ցանկը բերված է 14-րդ աղյուսակում։
Աղյուսակ 14
«Ապրանքների փաստացի արտահանման մասին տեղեկությունների չեղյալ համարում» ընթացակարգի (Р.СР.02.РRС.003) շրջանակներում կատարվող ընդհանուր գործընթացի գործառնությունների ցանկը
|
Ծածկագրային նշագիրը |
Անվանումը |
Նկարագրությունը |
|
1 |
2 |
3 |
|
Р.СР.02.OPR.007 |
ապրանքների փաստացի արտահանման հաստատումը չեղյալ համարելու մասին տեղեկությունների ներկայացում |
բերված է սույն կանոնների 15-րդ աղյուսակում |
|
Р.СР.02.OPR.008 |
ապրանքների փաստացի արտահանման հաստատումը չեղյալ համարելու մասին տեղեկությունների ընդունում և մշակում |
բերված է սույն կանոնների 16-րդ աղյուսակում |
|
Р.СР.02.0РЯ.009 |
ապրանքների փաստացի արտահանման հաստատումը չեղյալ համարելու մասին տեղեկությունների մշակման մասին ծանուցման ստացում |
բերված է սույն կանոնների 17-րդ աղյուսակում |
Աղյուսակ 15
«Ապրանքների փաստացի արտահանման հաստատումը չեղյալ համարելու մասին տեղեկությունների ներկայացում» ընթացակարգի (Р.СР.02.OPR.007) նկարագրությունը
|
Թիվ ը/կ |
Տարրի նշագիրը |
Նկարագրությունը |
|
1 |
2 |
3 |
|
1 |
Ծածկագրային նշագիրը |
Р.СР.02.OPR.007 |
|
2 |
Գործառնության անվանումը |
ապրանքների փաստացի արտահանման հաստատումը չեղյալ համարելու մասին տեղեկությունների ներկայացում |
|
3 |
Կատարողը |
լիազորված մարմին, որը ձևակերպում է ապրանքների մեկնման թույլտվությունը |
|
4 |
Կատարման պայմանները |
կատարվում է ապրանքները Միության մաքսային տարածք վերադարձնելու մասին որոշում ընդունելիս |
|
5 |
Սահմանափակումները |
ապրանքների փաստացի արտահանման հաստատումը չեղյալ համարելու մասին տեղեկությունների ձևաչափն ու կառուցվածքը պետք է համապատասխանեն Էլեկտրոնային փաստաթղթերի և տեղեկությունների ձևաչափերի ու կառուցվածքների նկարագրությանը: Ներկայացվող տեղեկությունները պետք է վավերացվեն էլեկտրոնային թվային ստորագրությամբ (էլեկտրոնային ստորագրությամբ) |
|
6 |
Գործառնության նկարագրությունը |
կատարողը ձևակերպում է ապրանքների փաստացի արտահանման հաստատումը չեղյալ համարելու մասին տեղեկությունները և դրանք ներկայացնում է ապրանքների բացթողումն իրականացնող լիազորված մարմին՝ Տեղեկատվական փոխգործակցության կանոնակարգին համապատասխան |
|
7 |
Արդյունքները |
ապրանքների փաստացի արտահանման հաստատումը չեղյալ համարելու մասին տեղեկությունները ներկայացվել են ապրանքների բացթողումն իրականացնող լիազորված մարմին |
Աղյուսակ 16
«Ապրանքների փաստացի արտահանման հաստատումը չեղյալ համարելու մասին տեղեկությունների ընդունում և մշակում» գործառնության (Р.СР.02.OPR.008) նկարագրությունը
|
Թիվ ը/կ |
Տարրի նշագիրը |
Նկարագրությունը |
|
1 |
2 |
3 |
|
1 |
Ծածկագրային նշագիրը |
Р.СР.02.OPR.008 |
|
2 |
Գործառնության անվանումը |
ապրանքների փաստացի արտահանման հաստատումը չեղյալ համարելու մասին տեղեկությունների ընդունում և մշակում |
|
3 |
Կատարողը |
լիազորված մարմին, որն իրականացնում է ապրանքների բացթողումը |
|
4 |
Կատարման պայմանները |
կատարվում է կատարողի կողմից ապրանքների փաստացի արտահանման հաստատումը չեղյալ համարելու մասին տեղեկություններ ստացվելու («Ապրանքների փաստացի արտահանման հաստատումը չեղյալ համարելու մասին տեղեկությունների ներկայացում» գործառնություն (Р.СР.02.OPR.007)) դեպքում |
|
5 |
Սահմանափակումները |
ներկայացվող տեղեկությունների ձևաչափն ու կառուցվածքը պետք է համապատասխանեն Էլեկտրոնային փաստաթղթերի և տեղեկությունների ձևաչափերի ու կառուցվածքների նկարագրությանը: Էլեկտրոնային փաստաթղթի (տեղեկությունների) վավերապայմանները պետք է համապատասխանեն Տեղեկատվական փոխգործակցության կանոնակարգով նախատեսված պահանջներին |
|
6 |
Գործառնության նկարագրությունը |
կատարողն իրականացնում է ապրանքների փաստացի արտահանման հաստատումը չեղյալ համարելու մասին տեղեկությունների ընդունում և մշակում, ձևակերպում և ապրանքների մեկնման թույլտվությունը ձևակերպող լիազորված մարմին է ուղարկում նշված տեղեկությունների մշակման մասին ծանուցումը |
|
7 |
Արդյունքները |
ապրանքների փաստացի արտահանման հաստատումը չեղյալ համարելու մասին տեղեկությունները մշակվել են, տեղեկությունների մշակման մասին ծանուցումն ուղարկվել է ապրանքների մեկնման թույլտվությունը ձևակերպող լիազորված մարմին |
Աղյուսակ 17
«Ապրանքների փաստացի արտահանման հաստատումը չեղյալ համարելու մասին տեղեկությունների ընդունում և մշակում» գործառնության (Р.СР.02.OPR.009) նկարագրությունը
|
Թիվ ը/կ |
Տարրի նշագիրը |
Նկարագրությունը |
|
1 |
2 |
3 |
|
1 |
Ծածկագրային նշագիրը |
Р.СР.02.OPR.009 |
|
2 |
Գործառնության անվանումը |
ապրանքների փաստացի արտահանման հաստատումը չեղյալ համարելու մասին տեղեկությունների մշակման մասին ծանուցման ստացում |
|
3 |
Կատարողը |
լիազորված մարմին, որը ձևակերպում է ապրանքների մեկնման թույլտվությունը |
|
4 |
Կատարման պայմանները |
կատարվում է կատարողի կողմից ապրանքների փաստացի արտահանման հաստատումը չեղյալ համարելու մասին տեղեկությունների մշակման մասին ծանուցում ստացվելու («Ապրանքների փաստացի արտահանման հաստատումը չեղյալ համարելու մասին տեղեկությունների ընդունում և մշակում» գործառնություն (Р.СР.02.OPR.008)) դեպքում |
|
5 |
Սահմանափակումները |
ծանուցման ձևաչափն ու կառուցվածքը պետք է համապատասխանեն Էլեկտրոնային փաստաթղթերի և տեղեկությունների ձևաչափերի ու կառուցվածքների նկարագրությանը |
|
6 |
Գործառնության նկարագրությունը |
կատարողն իրականացնում է ապրանքների փաստացի արտահանման հաստատումը չեղյալ համարելու մասին տեղեկությունների մշակման մասին ծանուցման ընդունում և մշակում՝ Տեղեկատվական փոխգործակցության կանոնակարգին համապատասխան |
|
7 |
Արդյունքները |
ապրանքների փաստացի արտահանման հաստատումը չեղյալ համարելու մասին տեղեկությունների մշակման մասին ծանուցումը մշակվել է |
2.Անդամ պետության լիազորված մարմնի հարցմամբ ապրանքների փաստացի արտահանման մասին տեղեկություններ ներկայացնելու ընթացակարգեր
«Ապրանքների փաստացի արտահանման մասին տեղեկությունների հարցում» ընթացակարգ (Р.СР.02.РRС.004)
45. «Ապրանքների փաստացի արտահանման մասին տեղեկությունների հարցում» ընթացակարգի (P.CP.03.PRC.007) կատարման սխեման ներկայացված է 7-րդ նկարում:
Նկ. 7. «Ապրանքների փաստացի արտահա.3նման մասին տեղեկությունների հարցում» ընթացակարգի (Р.СР.02.РRС.004) կատարման սխեման
46. «Ապրանքների փաստացի արտահանման մասին տեղեկությունների հարցում» ընթացակարգը (Р.СР.02.РRС.004) կատարվում է ապրանքների բացթողումն իրականացնող լիազորված մարմնում ապրանքների փաստացի արտահանման մասին տեղեկությունների բացակայության և արտաքին տնտեսական գործունեության մասնակցի կողմից հիմնավորված դիմում ներկայացվելու դեպքում՝ Միության մաքսային տարածքից ապրանքների փաստացի արտահանումը հաստատելու համար: Մի քանի անդամ պետությունների՝ ապրանքների մեկնման թույլտվությունը ձևակերպող լիազորված մարմիններում տեղեկություններ ստանալու անհրաժեշտության դեպքում ընթացակարգը կատարվում է յուրաքանչյուր անդամ պետության համար առանձին:
47. Առաջինը կատարվում է «Ապրանքների փաստացի արտահանման մասին տեղեկությունների հարցում» գործառնությունը (Р.СР.02.OPR.010), որի կատարման արդյունքներով ապրանքների բացթողումն իրականացնող լիազորված մարմնի կողմից ձևակերպվում և ապրանքների մեկնման թույլտվությունը ձևակերպող լիազորված մարմին է ուղարկվում ապրանքների փաստացի արտահանման մասին տեղեկություններ ներկայացնելու հարցում:
48. Ապրանքների մեկնման թույլտվությունը ձևակերպող լիազորված մարմնի կողմից ապրանքների փաստացի արտահանման մասին տեղեկություններ ներկայացնելու հարցում ստացվելու դեպքում կատարվում է «Ապրանքների փաստացի արտահանման մասին տեղեկությունների ներկայացում» գործառնությունը (Р.СР.02.ОРR.011), որի կատարման արդյունքներով ապրանքների բացթողումն իրականացնող լիազորված մարմին են ներկայացվում ապրանքների փաստացի արտահանման մասին տեղեկություններ, կամ ուղարկվում է հարցման պարամետրերը բավարարող տեղեկությունների բացակայության մասին ծանուցում:
49. Ապրանքների բացթողումն իրականացնող լիազորված մարմնի կողմից ապրանքների փաստացի արտահանման մասին տեղեկություններ կամ հարցման պարամետրերը բավարարող տեղեկությունների բացակայության մասին ծանուցում ստացվելու դեպքում կատարվում է «Ապրանքների փաստացի արտահանման մասին տեղեկությունների ընդունում և մշակում» գործառնությունը (Р.СР.02.OPR.012):
50. «Ապրանքների փաստացի արտահանման մասին տեղեկությունների հարցում» ընթացակարգի (Р.СР.02.РRС.004) կատարման արդյունք են համարվում ապրանքների բացթողումն իրականացնող լիազորված մարմնի կողմից ապրանքների փաստացի արտահանման մասին տեղեկությունների կամ հարցման պարամետրերը բավարարող տեղեկությունների բացակայության մասին ծանուցման ընդունումն ու մշակումը:
51. «Ապրանքների փաստացի արտահանման մասին տեղեկությունների հարցում» ընթացակարգի (Р.СР.02.РRС.004) շրջանակներում կատարվող ընդհանուր գործընթացի գործառնությունների ցանկը բերված է 18-րդ աղյուսակում։\
Աղյուսակ 18
«Ապրանքների փաստացի արտահանման մասին տեղեկությունների հարցում» ընթացակարգի (Р.СР.02.РRС.004) շրջանակներում կատարվող ընդհանուր գործընթացի գործառնությունների ցանկը
|
Ծածկագրային նշագիրը |
Անվանումը |
Նկարագրությունը |
|
1 |
2 |
3 |
|
Р.СР.02.OРR.010 |
ապրանքների փաստացի արտահանման մասին տեղեկությունների հարցում |
բերված է սույն կանոնների 19-րդ աղյուսակում |
|
Р.СР.02.ОРR.011 |
ապրանքների փաստացի արտահանման մասին տեղեկությունների ներկայացում |
բերված է սույն կանոնների 20-րդ աղյուսակում |
|
Р.СР.02.OРR.012 |
ապրանքների փաստացի արտահանման մասին հարցված տեղեկությունների ընդունում և մշակում |
բերված է սույն կանոնների 21-րդ աղյուսակում |
Աղյուսակ 19
«Ապրանքների փաստացի արտահանման մասին տեղեկությունների հարցում» գործառնության (Р.СР.02OРR.010) նկարագրությունը
|
Թիվ ը/կ |
Տարրի նշագիրը |
Նկարագրությունը |
|
1 |
2 |
3 |
|
1 |
Ծածկագրային նշագիրը |
Р.СР.02.OРR.010 |
|
2 |
Գործառնության անվանումը |
ապրանքների փաստացի արտահանման մասին տեղեկությունների հարցում |
|
3 |
Կատարողը |
լիազորված մարմին, որն իրականացնում է ապրանքների բացթողումը |
|
4 |
Կատարման պայմանները |
կատարվում է ապրանքների բացթողումն իրականացնող լիազորված մարմնում ապրանքների փաստացի արտահանման մասին տեղեկությունների բացակայության դեպքում |
|
5 |
Սահմանափակումները |
հարցման ձևաչափն ու կառուցվածքը պետք է համապատասխանեն Էլեկտրոնային փաստաթղթերի և տեղեկությունների ձևաչափերի ու կառուցվածքների նկարագրությանը: Հարցումը պետք է վավերացվի էլեկտրոնային թվային ստորագրությամբ (էլեկտրոնային ստորագրությամբ) |
|
6 |
Գործառնության նկարագրությունը |
կատարողը ձևակերպում ու ապրանքների մեկնման թույլտվությունը ձևակերպող լիազորված մարմին է փոխանցում ապրանքների փաստացի արտահանման մասին տեղեկություններ ներկայացնելու հարցում՝ Տեղեկատվական փոխգործակցության կանոնակարգին համապատասխան |
|
7 |
Արդյունքները |
ապրանքների փաստացի արտահանման մասին տեղեկություններ ներկայացնելու հարցումը փոխանցվել է ապրանքների մեկնման թույլտվությունը ձևակերպող մարմին |
Աղյուսակ 20
«Ապրանքների փաստացի արտահանման մասին տեղեկությունների ներկայացում» գործառնության (Р.СР.02.ОРR.011) նկարագրությունը
|
Թիվ ը/կ |
Տարրի նշագիրը |
Նկարագրությունը |
|
1 |
2 |
3 |
|
1 |
Ծածկագրային նշագիրը |
Р.СР.02.ОРR.011 |
|
2 |
Գործառնության անվանումը |
ապրանքների փաստացի արտահանման մասին տեղեկությունների ներկայացում |
|
3 |
Կատարողը |
լիազորված մարմին, որը ձևակերպում է ապրանքների մեկնման թույլտվությունը |
|
4 |
Կատարման պայմանները |
կատարվում է կատարողի կողմից ապրանքների փաստացի արտահանման մասին տեղեկություններ ներկայացնելու հարցում ստացվելու («Ապրանքների փաստացի արտահանման մասին տեղեկությունների հարցում» գործառնություն (Р.СР.02.OРR.010)) դեպքում |
|
5 |
Սահմանափակումները |
հարցման ձևաչափն ու կառուցվածքը պետք է համապատասխանեն Էլեկտրոնային փաստաթղթերի և տեղեկությունների ձևաչափերի ու կառուցվածքների նկարագրությանը: Պահանջվում է ավտորիզացում, տեղեկությունների հարցումը կատարվում է միայն անդամ պետությունների լիազորված մարմինների կողմից |
|
6 |
Գործառնության նկարագրությունը |
կատարողն իրականացնում է հարցման մշակում՝ Տեղեկատվական փոխգործակցության կանոնակարգին համապատասխան, ձևակերպում և ապրանքների բացթողումն իրականացնող լիազորված մարմին է ներկայացնում ապրանքների փաստացի արտահանման մասին տեղեկություններ: Հարցման պարամետրերը բավարարող՝ ապրանքների փաստացի արտահանման մասին տեղեկությունների բացակայության դեպքում ապրանքների բացթողումն իրականացնող լիազորված մարմին է ուղարկվում նշված տեղեկությունների բացակայության մասին ծանուցում |
|
7 |
Արդյունքները |
ապրանքների բացթողումն իրականացնող լիազորված մարմին են ներկայացվել ապրանքների փաստացի արտահանման մասին տեղեկություններ, կամ ուղարկվել է հարցման պարամետրերը բավարարող տեղեկությունների բացակայության մասին ծանուցում |
Աղյուսակ 21
«Ապրանքների փաստացի արտահանման մասին հարցված տեղեկությունների ընդունում և մշակում» գործառնության (Р.СР.02.OРR.012) նկարագրությունը
|
Թիվ ը/կ |
Տարրի նշագիրը |
Նկարագրությունը |
|
1 |
2 |
3 |
|
1 |
Ծածկագրային նշագիրը |
Р.СР.02.OРR.012 |
|
2 |
Գործառնության անվանումը |
ապրանքների փաստացի արտահանման մասին հարցված տեղեկությունների ընդունում և մշակում |
|
3 |
Կատարողը |
լիազորված մարմին, որն իրականացնում է ապրանքների բացթողումը |
|
4 |
Կատարման պայմանները |
կատարվում է կատարողի կողմից ապրանքների փաստացի արտահանման մասին տեղեկություններ կամ հարցման պարամետրերը բավարարող տեղեկությունների բացակայության մասին ծանուցում ստացվելու («Ապրանքների փաստացի արտահանման մասին տեղեկությունների ներկայացում» գործառնություն (Р.СР.02.ОРR.011)) դեպքում |
|
5 |
Սահմանափակումները |
ներկայացվող տեղեկությունների կամ հարցման պարամետրերը բավարարող տեղեկությունների բացակայության մասին ծանուցման ձևաչափն ու կառուցվածքը պետք է համապատասխանեն Էլեկտրոնային փաստաթղթերի և տեղեկությունների ձևաչափերի ու կառուցվածքների նկարագրությանը: Էլեկտրոնային փաստաթղթերի (տեղեկությունների) վավերապայմանները պետք է համապատասխանեն Տեղեկատվական փոխգործակցության կանոնակարգով նախատեսված պահանջներին |
|
6 |
Գործառնության նկարագրությունը |
կատարողն իրականացնում է ապրանքների փաստացի արտահանման մասին տեղեկությունների կամ հարցման պարամետրերը բավարարող տեղեկությունների բացակայության մասին ծանուցման ընդունումն ու մշակումը |
|
7 |
Արդյունքները |
ապրանքների փաստացի արտահանման մասին տեղեկությունները կամ հարցման պարամետրերը բավարարող տեղեկությունների բացակայության մասին ծանուցումը մշակվել են |
IX. Գործողությունների կարգն արտակարգ իրավիճակներում
52. Ընդհանուր գործընթացի ընթացակարգեր կատարելիս հնարավոր են բացառիկ իրավիճակներ, որոնց ժամանակ տվյալների մշակումը չի կարող անցկացվել սովորական ռեժիմով: Դա կարող է տեղի ունենալ տեխնիկական խափանումների, կառուցվածքային և ձևաչափատրամաբանական հսկողության սխալների առաջացման և այլ դեպքերում:
53. Կառուցվածքային և ձևաչափատրամաբանական հսկողության սխալների առաջացման դեպքում անդամ պետության լիազորված մարմինը, Տեղեկատվական փոխգործակցության կանոնակարգին համապատասխան, իրականացնում է Էլեկտրոնային փաստաթղթերի և տեղեկությունների ձևաչափերի ու կառուցվածքների նկարագրությանը և էլեկտրոնային փաստաթղթերի ու տեղեկությունների հսկողությանը ներկայացվող պահանջներին համապատասխանության մասով այն հաղորդագրության ստուգումը, որի առնչությամբ ստացվել է սխալի մասին ծանուցումը: Նշված փաստաթղթերի պահանջներին տեղեկությունների անհամապատասխանություն հայտնաբերելու դեպքում անդամ պետության լիազորված մարմինը ձեռնարկում է անհրաժեշտ միջոցներ՝ հայտնաբերված սխալը սահմանված կարգին համապատասխան վերացնելու ուղղությամբ։
54. Արտակարգ իրավիճակների կարգավորման նպատակով անդամ պետությունները միմյանց և Եվրասիական տնտեսական հանձնաժողովին տեղեկացնում են այն անդամ պետությունների լիազորված մարմինների մասին, որոնց իրավասության շրջանակներում է սույն կանոններով նախատեսված պահանջների կատարումը, ինչպես նաև տեղեկություններ են ներկայացնում ընդհանուր գործընթացն իրագործելիս տեխնիկական աջակցություն ապահովելու համար պատասխանատու անձանց մասին:
(կանոնները փոփ. ԵՏՀԿ 16.01.18 թիվ 5)
|
ՀԱՍՏԱՏՎԱԾ Է Եվրասիական տնտեսական հանձնաժողովի կոլեգիայի 2016 թվականի հունիսի 2-ի թիվ 55 որոշմամբ |
ԿԱՆՈՆԱԿԱՐԳ
«Եվրասիական տնտեսական միության մաքսային տարածքի սահմաններից դուրս ապրանքների փաստացի արտահանման հսկողության և հաստատման գործընթացում Եվրասիական տնտեսական միության անդամ պետությունների մաքսային մարմինների միջև տեղեկությունների փոխանակման ապահովում» ընդհանուր գործընթացն արտաքին և փոխադարձ առևտրի ինտեգրված տեղեկատվական համակարգի միջոցներով իրագործելիս Եվրասիական տնտեսական միության անդամ պետությունների լիազորված մարմինների միջև տեղեկատվական փոխգործակցության
I. Ընդհանուր դրույթներ
1. Սույն կանոնակարգը մշակվել է Եվրասիական տնտեսական միության (այսուհետ՝ Միություն) իրավունքի մաս կազմող հետևյալ ակտերին համապատասխան՝
«Եվրասիական տնտեսական միության մասին» 2014 թվականի մայիսի 29-ի պայմանագիր.
Մաքսային միության հանձնաժողովի 2010 թվականի հունիսի 18-ի «Եվրասիական տնտեսական միության մաքսային տարածքից ապրանքների փաստացի արտահանումը մեկնման վայրում տեղակայված մաքսային մարմնի կողմից հաստատելու կարգի մասին» թիվ 330 որոշում.
Եվրասիական տնտեսական հանձնաժողովի կոլեգիայի 2014 թվականի նոյեմբերի 6-ի «Ընդհանուր գործընթացներն արտաքին և փոխադարձ առևտրի ինտեգրված տեղեկատվական համակարգի միջոցներով իրագործելիս տեղեկատվական փոխգործակցությունը կանոնակարգող տեխնոլոգիական փաստաթղթերի մասին» թիվ 200 որոշում.
Եվրասիական տնտեսական հանձնաժողովի կոլեգիայի 2015 թվականի հունվարի 27-ի «Արտաքին և փոխադարձ առևտրի ինտեգրված տեղեկատվական համակարգում տվյալների էլեկտրոնային փոխանակման կանոնները հաստատելու մասին» թիվ 5 որոշում.
Եվրասիական տնտեսական հանձնաժողովի կոլեգիայի 2015 թվականի ապրիլի 14-ի «Եվրասիական տնտեսական միության շրջանակներում ընդհանուր գործընթացների ցանկի և Եվրասիական տնտեսական հանձնաժողովի կոլեգիայի 2014 թվականի օգոստոսի 19-ի թիվ 132 որոշման մեջ փոփոխություն կատարելու մասին» թիվ 29 որոշում.
Եվրասիական տնտեսական հանձնաժողովի կոլեգիայի 2015 թվականի հունիսի 9-ի «Եվրասիական տնտեսական միության շրջանակներում ընդհանուր գործընթացների վերլուծության, օպտիմալացման, ներդաշնակեցման և նկարագրության մեթոդիկայի մասին» թիվ 63 որոշում.
Եվրասիական տնտեսական հանձնաժողովի կոլեգիայի 2015 թվականի սեպտեմբերի 28-ի «Եվրասիական տնտեսական միության անդամ պետությունների պետական իշխանության մարմինների՝ միմյանց միջև և Եվրասիական տնտեսական հանձնաժողովի հետ անդրսահմանային փոխգործակցության ժամանակ էլեկտրոնային փաստաթղթերի փոխանակման վերաբերյալ հիմնադրույթի հաստատման մասին» թիվ 125 որոշում։
Սույն կանոնակարգը մշակվել է՝ հաշվի առնելով Մաքսային միության անդամ պետությունների մաքսային ծառայությունների միավորված կոլեգիայի 2015 թվականի հունիսի 4-ի թիվ 15/6 որոշմամբ հաստատված՝ Եվրասիական տնտեսական միության անդամ պետությունների մաքսային մարմինների միջև ապրանքների փաստացի արտահանման հսկողության և հաստատման համակարգերի օգտագործմամբ Եվրասիական տնտեսական միության մաքսային սահմանով ապրանքների փաստացի արտահանումը հաստատելու վերաբերյալ տեղեկատվության փոխանակման տեխնոլոգիայի դրույթները:
II. Կիրառության ոլորտը
2. Սույն կանոնակարգը մշակվել է ընդհանուր գործընթացի մասնակիցների կողմից «Եվրասիական տնտեսական միության մաքսային տարածքի սահմաններից դուրս ապրանքների փաստացի արտահանման հսկողության և հաստատման գործընթացում Եվրասիական տնտեսական միության անդամ պետությունների մաքսային մարմինների միջև տեղեկությունների փոխանակման ապահովում» ընդհանուր գործընթացի (այսուհետ՝ ընդհանուր գործընթաց) տրանզակցիաների կատարման կարգի և պայմանների, ինչպես նաև դրանց կատարման ժամանակ իրենց դերի միատեսակ ընկալումն ապահովելու նպատակով։
3. Սույն կանոնակարգով սահմանվում են ընդհանուր գործընթացի մասնակիցների միջև տեղեկատվական փոխգործակցության իրագործմանն անմիջականորեն ուղղված՝ ընդհանուր գործընթացի գործառնությունների կատարման կարգին և պայմաններին ներկայացվող պահանջները։
4. Սույն կանոնակարգը կիրառվում է ընդհանուր գործընթացի մասնակիցների կողմից ընդհանուր գործընթացի շրջանակներում ընթացակարգերի և գործառնությունների կատարման կարգը հսկելու ժամանակ, ինչպես նաև այդ ընդհանուր գործընթացի իրագործումն ապահովող տեղեկատվական համակարգերի բաղադրիչների նախագծման, մշակման և լրամշակման ժամանակ։
III. Հիմնական հասկացությունները
5. Սույն կանոնակարգի նպատակներով օգտագործվում են հասկացություններ, որոնք ունեն հետևյալ իմաստը՝
«իսկորոշում»՝ սուբյեկտին իր կողմից ներկայացված նույնականացուցչի պատկանելության ստուգում, դրա իսկության հաստատումը.
«ԱՀԿ»՝ մաքսային մարմինների պաշտոնատար անձի անձնական համարային այն կնիքը, որի դրոշմվածքը և պաշտոնատար անձի ստորագրությունը մաքսային փաստաթղթերում դնելով՝ հաստատվում է մաքսային գործառնության կատարումը.
«վավերապայման»՝ էլեկտրոնային փաստաթղթի (տեղեկությունների) տվյալների միավոր, որը որոշակի համատեքստում համարվում է անբաժանելի.
«ԵԱՏՄ ԱՏԳ ԱԱ»՝ Եվրասիական տնտեսական միության արտաքին տնտեսական գործունեության միասնական ապրանքային անվանացանկ։
Սույն կանոնակարգում օգտագործվող «նախաձեռնող», «նախաձեռնող գործառնություն», «ընդունող գործառնություն», «ռեսպոնդենտ», «ընդհանուր գործընթացի հաղորդագրություն» և «ընդհանուր գործընթացի տրանզակցիա» հասկացությունները կիրառվում են Եվրասիական տնտեսական հանձնաժողովի կոլեգիայի 2015 թվականի հունիսի 9–ի թիվ 63 որոշմամբ հաստատված՝ Եվրասիական տնտեսական միության շրջանակներում ընդհանուր գործընթացների վերլուծության, օպտիմալացման, ներդաշնակեցման և նկարագրության մեթոդիկայով սահմանված իմաստներով։
Սույն կանոնակարգում օգտագործվող մյուս հասկացությունները կիրառվում են Եվրասիական տնտեսական հանձնաժողովի կոլեգիայի 2016 թվականի հունիսի 2-ի թիվ 55 որոշմամբ հաստատված՝ «Եվրասիական տնտեսական միության մաքսային տարածքի սահմաններից դուրս ապրանքների փաստացի արտահանման հսկողության և հաստատման գործընթացում Եվրասիական տնտեսական միության անդամ պետությունների մաքսային մարմինների միջև տեղեկությունների փոխանակման ապահովում» ընդհանուր գործընթացն արտաքին և փոխադարձ առևտրի ինտեգրված տեղեկատվական համակարգի միջոցներով իրագործելիս Տեղեկատվական փոխգործակցության կանոնների (այսուհետ՝ Տեղեկատվական փոխգործակցության կանոններ) 4-րդ կետում սահմանված իմաստներով։
IV. Ընդհանուր գործընթացի շրջանակներում տեղեկատվական փոխգործակցության վերաբերյալ հիմնական տեղեկությունները
1. Տեղեկատվական փոխգործակցության մասնակիցները
6. Ընդհանուր գործընթացի շրջանակներում տեղեկատվական փոխգործակցության մասնակիցների դերերի ցանկը բերված է 1-ին աղյուսակում։
Աղյուսակ 1
Տեղեկատվական փոխգործակցության մասնակիցների դերերի ցանկը
|
Դերի անվանումը |
Դերի նկարագրությունը |
Դերը կատարող մասնակիցը |
|
1 |
2 |
3 |
|
Ապրանքների բացթողման ժամանակ մաքսային գործառնություններ իրականացնելու համար լիազորված մարմինը |
լիազորված մարմնի հարցմամբ ապրանքների մեկնման վայրում ներկայացնում է ապրանքների մասին հայտարարագրից տեղեկություններ, ինչպես նաև լիազորված մարմնից ապրանքների մեկնման վայրում ստանում է, այդ թվում՝ հարցմամբ, ապրանքների փաստացի արտահանման մասին տեղեկություններ |
ապրանքների բացթողում իրականացնող լիազորված մարմին (Р.СР.02.АСТ.001) |
|
Ապրանքների մեկնման ժամանակ մաքսային գործառնություններ իրականացնելու համար լիազորված մարմինը |
ապրանքների բացթողում իրականացնող լիազորված մարմնից պահանջում է ապրանքների մասին հայտարարագրից տեղեկություններ, ինչպես նաև ապրանքների բացթողում իրականացնող լիազորված մարմին է ներկայացնում, այդ թվում՝ հարցմամբ, ապրանքների փաստացի արտահանման մասին տեղեկություններ |
լիազորված մարմին ապրանքների մեկնման վայրում (Р.СР.02.АСТ.002) |
2. Տեղեկատվական փոխգործակցության կառուցվածքը
7. Միության անդամ պետությունների լիազորված մարմինների (այսուհետ՝ անդամ պետությունների լիազորված մարմիններ) միջև ընդհանուր գործընթացի շրջանակներում տեղեկատվական փոխգործակցությունը իրականացվում է ընդհանուր գործընթացի ընթացակարգերին համապատասխան՝
տեղեկատվական փոխգործակցություն Միության մաքսային տարածքից ապրանքների մեկնման գործընթացում դրանց փաստացի արտահանման նկատմամբ հսկողությունն ապահովելիս.
տեղեկատվական փոխգործակցություն անդամ պետության լիազորված մարմնի հարցմամբ ապրանքների փաստացի արտահանման մասին տեղեկություններ ներկայացնելիս։
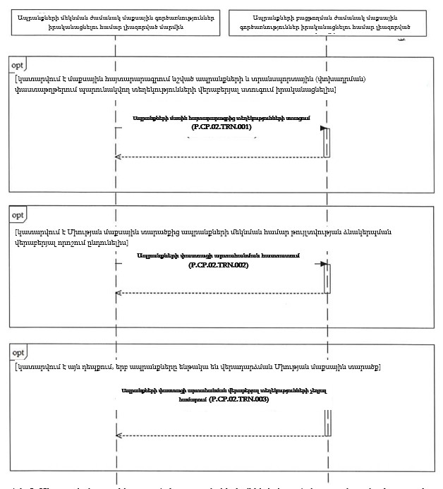
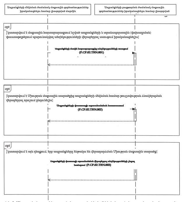
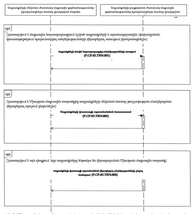
Անդամ պետությունների լիազորված մարմինների միջև տեղեկատվական փոխգործակցության կառուցվածքը ներկայացված է 1-ին նկարում։
Նկ. 1. Անդամ պետությունների լիազորված մարմինների միջև տեղեկատվական փոխգործակցության կառուցվածքը
8. Անդամ պետությունների լիազորված մարմինների միջև տեղեկատվական փոխգործակցությունն իրագործվում է ընդհանուր գործընթացի շրջանակներում: Ընդհանուր գործընթացի կառուցվածքը սահմանված է Տեղեկատվական փոխգործակցության կանոններում:
9. Տեղեկատվական փոխգործակցությամբ սահմանվում է ընդհանուր գործընթացի այն տրանզակցիաների կատարման կարգը, որոնցից յուրաքանչյուրն ընդհանուր գործընթացի մասնակիցների միջև ընդհանուր գործընթացի տեղեկատվական օբյեկտի վիճակների սինխրոնացման նպատակով հաղորդագրությունների փոխանակում է։ Յուրաքանչյուր տեղեկատվական փոխգործակցության համար սահմանված են գործառնությունների և այդ գործառնություններին համապատասխանող ընդհանուր գործընթացի տրանզակցիաների միջև փոխադարձ կապեր:
10. Ընդհանուր գործընթացի տրանզակցիա կատարելիս նախաձեռնողն իր կողմից իրականացվող գործառնության (նախաձեռնող գործառնության) շրջանակներում ռեսպոնդենտին է ուղարկում հաղորդագրություն-հարցում, որին ի պատասխան ռեսպոնդենտն իր կողմից իրականացվող գործառնության (ընդունող գործառնության) շրջանակներում կարող է ուղարկել կամ չուղարկել հաղորդագրություն-պատասխան՝ կախված ընդհանուր գործընթացի տրանզակցիայի ձևանմուշից։ Հաղորդագրության կազմում տվյալների կառուցվածքը պետք է համապատասխանի Եվրասիական տնտեսական հանձնաժողովի կոլեգիայի 2016 թվականի հունիսի 2-ի թիվ 55 որոշմամբ հաստատված՝ «Եվրասիական տնտեսական միության մաքսային տարածքի սահմաններից դուրս ապրանքների փաստացի արտահանման հսկողության և հաստատման գործընթացում Եվրասիական տնտեսական միության անդամ պետությունների մաքսային մարմինների միջև տեղեկությունների փոխանակման ապահովում» ընդհանուր գործընթացն արտաքին և փոխադարձ առևտրի ինտեգրված տեղեկատվական համակարգերի միջոցներով իրագործելու համար օգտագործվող Էլեկտրոնային փաստաթղթերի և տեղեկությունների ձևաչափերի ու կառուցվածքների նկարագրությանը (այսուհետ՝ Էլեկտրոնային փաստաթղթերի և տեղեկությունների ձևաչափերի ու կառուցվածքների նկարագրություն)։
11. Ընդհանուր գործընթացի տրանզակցիաները կատարվում են ընդհանուր գործընթացի տրանզակցիաների տրված պարամետրերին համապատասխան՝ ինչպես սահմանված է սույն կանոնակարգով։
V. Տեղեկատվական փոխգործակցությունն ընթացակարգերի խմբերի շրջանակներում
1. Տեղեկատվական փոխգործակցությունը Միության մաքսային տարածքից ապրանքների մեկնման գործընթացում դրանց փաստացի արտահանման նկատմամբ հսկողությունն ապահովելիս
12. Միության մաքսային տարածքից ապրանքների մեկնման գործընթացում դրանց փաստացի արտահանման նկատմամբ հսկողությունն ապահովելիս ընդհանուր գործընթացի տրանզակցիաների կատարման սխեման ներկայացված է 2-րդ նկարում։ Ընդհանուր գործընթացի յուրաքանչյուր ընթացակարգի համար 2-րդ աղյուսակում բերված է ընդհանուր գործընթացի գործառնությունների, տեղեկատվական օբյեկտների միջանկյալ և վերջնական վիճակների ու ընդհանուր գործընթացի տրանզակցիաների միջև կապը։
Նկ. 2. Միության մաքսային տարածքից ապրանքների մեկնման գործընթացում դրանց փաստացի արտահանման նկատմամբ հսկողությունն ապահովելիս ընդհանուր գործընթացի տրանզակցիաների կատարման սխեման
Աղյուսակ 2
Միության մաքսային տարածքից ապրանքների մեկնման գործընթացում դրանց փաստացի արտահանման նկատմամբ հսկողությունն ապահովելիս ընդհանուր գործընթացի տրանզակցիաների ցանկը
|
Թիվ ը/կ |
Նախաձեռնողի կողմից կատարվող գործառնությունը |
Ընդհանուր գործընթացի տեղեկատվական օբյեկտի միջանկյալ վիճակը |
Ռեսպոնդենտի կողմից կատարվող գործառնությունը |
Ընդհանուր գործընթացի տեղեկատվական օբյեկտի վերջնական վիճակը |
Ընդհանուր գործընթացի տրանզակցիան |
|
1 |
2 |
3 |
4 |
5 |
6 |
|
1 |
Ապրանքների մասին հայտարարագրից տեղեկությունների հարցում (Р.СР.02.РRС.001) | ||||
|
1.1 |
Ապրանքների մասին հայտարարագրից տեղեկությունների հարցում (Р.СР.02.OРR.001)։ Ապրանքների մասին հայտարարագրից տեղեկությունների ընդունում և մշակում (Р.СР.02.ОРR.003) |
ապրանքների մասին հայտարարագրից տեղեկություններ (Р.СР.02.ВЕN.001)՝ հարցված են |
ապրանքների մասին հայտարարագրից տեղեկությունների ներկայացում (Р.СР.02.OРR.002) |
ապրանքների մասին հայտարարագրից տեղեկություններ (Р.СР.02.ВЕN.001)՝ բացակայում են։ Ապրանքների մասին հայտարարագրից տեղեկություններ (Р.СР.02.ВЕN.001)՝ ներկայացվել են |
ապրանքների մասին հայտարարագրից տեղեկությունների ստացում (Р.СР.02.ТRN.001) |
|
2 |
Ապրանքների փաստացի արտահանման հաստատում (P.CP.02.PRC.002) | ||||
|
2.2 |
Ապրանքների փաստացի արտահանման մասին տեղեկությունների ներկայացում (P.CP.02.OPR.004)։ Ապրանքների փաստացի արտահանման մասին տեղեկությունների մշակման մասին ծանուցման ստացում (P.CP.02.OPR.006) |
ապրանքների փաստացի արտահանման մասին տեղեկություններ (P.CP.02.BEN.002)՝ ներկայացվել են |
ապրանքների փաստացի արտահանման մասին տեղեկությունների ընդունում և մշակում (P.CP.02.OPR.005) |
ապրանքների փաստացի արտահանման մասին տեղեկություններ (P.CP.02.BEN.002)՝ մշակվել են |
ապրանքների փաստացի արտահանման հաստատում (P.CP.02.TRN.002) |
|
3 |
Ապրանքների փաստացի արտահանման մասին տեղեկությունների չեղյալ համարում (P.CP.02.PRC.003) | ||||
|
3.1 |
Ապրանքների փաստացի արտահանման հաստատումը չեղյալ համարելու մասին տեղեկությունների ներկայացում (P.CP.02.OPR.007)։ Ապրանքների փաստացի արտահանման հաստատումը չեղյալ համարելու մասին տեղեկությունների մշակման մասին ծանուցման ստացում (P.CP.02.OPR.009) |
ապրանքների փաստացի արտահանման մասին տեղեկություններ (P.CP.02.BEN.002)՝ ներկայացվել են չեղյալ համարելու մասին տեղեկություններ |
ապրանքների փաստացի արտահանման հաստատումը չեղյալ համարելու մասին տեղեկությունների ընդունում և մշակում (P.CP.02.OPR.008) |
ապրանքների փաստացի արտահանման մասին տեղեկություններ (P.CP.02.BEN.002)՝ չեղյալ են համարվել |
ապրանքների փաստացի արտահանման մասին տեղեկությունների չեղյալ համարում (P.CP.02.TRN.003) |
2. Տեղեկատվական փոխգործակցությունն անդամ պետության լիազորված մարմնի հարցմամբ ապրանքների փաստացի արտահանման մասին տեղեկություններ ներկայացնելիս
13. Անդամ պետության լիազորված մարմնի հարցմամբ ապրանքների փաստացի արտահանման մասին տեղեկություններ ներկայացնելիս ընդհանուր գործընթացի տրանզակցիաների կատարման սխեման ներկայացված է 3-րդ նկարում: Ընդհանուր գործընթացի յուրաքանչյուր ընթացակարգի համար 3-րդ աղյուսակում բերված է ընդհանուր գործընթացի գործառնությունների, տեղեկատվական օբյեկտների միջանկյալ և վերջնական վիճակների ու ընդհանուր գործընթացի տրանզակցիաների միջև կապը։
Նկ. 3. Անդամ պետության լիազորված մարմնի հարցմամբ ապրանքների փաստացի արտահանման մասին տեղեկություններ ներկայացնելիս ընդհանուր գործընթացի տրանզակցիաների կատարման սխեման
Աղյուսակ 3
Անդամ պետության լիազորված մարմնի հարցմամբ ապրանքների փաստացի արտահանման մասին տեղեկությունները ներկայացնելիս ընդհանուր գործընթացի տրանզակցիաների ցանկը
|
թիվ ը/կ |
Նախաձեռնողի կողմից կատարվող գործառնությունը |
Ընդհանուր գործընթացի տեղեկատվական օբյեկտի միջանկյալ վիճակը |
Ռեսպոնդենտի կողմից կատարվող գործառնությունը |
Ընդհանուր գործընթացի տեղեկատվական օբյեկտի վերջնական վիճակը |
Ընդհանուր գործընթացի տրանզակցիան |
|
1 |
2 |
3 |
4 |
5 |
6 |
|
1 |
Ապրանքների փաստացի արտահանման մասին տեղեկությունների հարցում (P.CP.02.PRC.004) | ||||
|
1.1 |
Ապրանքների փաստացի արտահանման մասին տեղեկությունների հարցում (P.CP.02.OPR.010)։ Ապրանքների փաստացի արտահանման մասին հարցված տեղեկությունների ընդունում և մշակում (P.CP.02.OPR.012) |
ապրանքների փաստացի արտահանման մասին տեղեկություններ (P.CP.02.BEN.002)՝ հարցված են |
ապրանքների փաստացի արտահանման մասին տեղեկությունների ներկայացում (P.CP.02.OPR.011) |
ապրանքների փաստացի արտահանման մասին տեղեկություններ (P.CP.02.BEN.002)՝ ներկայացվել են։ Ապրանքների փաստացի արտահանման մասին տեղեկություններ (P.CP.02.BEN.002)՝ բացակայում են |
ապրանքների փաստացի արտահանման մասին տեղեկությունների հարցում (P.CP.02.TRN.004) |
VI. Ընդհանուր գործընթացի հաղորդագրությունների նկարագրությունը
14. Ընդհանուր գործընթացն իրագործելիս տեղեկատվական փոխգործակցության շրջանակներում փոխանցվող՝ ընդհանուր գործընթացի հաղորդագրությունների ցանկը բերված է 4-րդ աղյուսակում։ Հաղորդագրության կազմում տվյալների կառուցվածքը պետք է համապատասխանի Էլեկտրոնային փաստաթղթերի և տեղեկությունների ձևաչափերի ու կառուցվածքների նկարագրությանը։ Էլեկտրոնային փաստաթղթերի և տեղեկությունների ձևաչափերի ու կառուցվածքների նկարագրության մեջ համապատասխան կառուցվածքին հղումը սահմանվում է ըստ 4-րդ աղյուսակի 3-րդ սյունակի արժեքի:
Աղյուսակ 4
Ընդհանուր գործընթացի հաղորդագրությունների ցանկը
|
Ծածկագրային նշագիրը |
Անվանումը |
Էլեկտրոնային փաստաթղթի (տեղեկությունների) կառուցվածքը |
|
1 |
2 |
3 |
|
Р.СР.02.МSG.001 |
ապրանքների մասին հայտարարագրից տեղեկությունների հարցում |
արտահանվող ապրանքների մասին տեղեկությունների հարցում (R.СА.СР.02.001) |
|
Р.СР.02.МSG.002 |
ապրանքների մասին հայտարարագրից տեղեկություններ |
բաց թողնված ապրանքների մասին տեղեկություններ (R.CA.CP.02.004) |
|
Р.СР.02.МSG.003 |
ապրանքների փաստացի արտահանման հաստատում |
ապրանքների փաստացի արտահանման մասին տեղեկություններ (R.СА.СР.02.003) |
|
Р.СР.02.МSG.004 |
տեղեկությունների հաջող մշակման մասին ծանուցում |
մշակման արդյունքի մասին ծանուցում (R.006) |
|
Р.СР.02.МSG.005 |
տեղեկությունների բացակայության մասին ծանուցում |
մշակման արդյունքի մասին ծանուցում (R.006) |
|
Р.СР.02.МSG.006 |
ապրանքների փաստացի արտահանման հաստատումը չեղյալ համարելու մասին տեղեկություններ |
ապրանքների փաստացի արտահանման հաստատումը չեղյալ համարելու մասին տեղեկություններ (R.CA.CP.02.002) |
|
Р.СР.02.МSG.007 |
ապրանքների փաստացի արտահանման մասին տեղեկությունների հարցում |
ապրանքների փաստացի արտահանման մասին տեղեկությունների հարցում (R.CA.CP.02.005) |
|
Р.СР.02.МSG.008 |
ապրանքների փաստացի արտահանման մասին տեղեկություններ |
ապրանքների փաստացի արտահանման մասին տեղեկություններ (R.СА.СР.02.003) |
VII. Ընդհանուր գործընթացի տրանզակցիաների նկարագրությունը
1. «Ապրանքների մասին հայտարարագրից տեղեկությունների ստացում» (Р.СР.02.ТRN.001) ընդհանուր գործընթացի տրանզակցիան
15. «Ապրանքների մասին հայտարարագրից տեղեկությունների ստացում» (Р.СР.02.ТRN.001) ընդհանուր գործընթացի տրանզակցիան կատարվում է նախաձեռնողի կողմից ռեսպոնդենտին վերջինիս հարցմամբ համապատասխան տեղեկություններ ներկայացնելու համար։ Ընդհանուր գործընթացի նշված տրանզակցիայի կատարման սխեման ներկայացված է 4-րդ նկարում։ Ընդհանուր գործընթացի տրանզակցիայի պարամետրերը բերված են 5-րդ աղյուսակում։
Նկ. 4. «Ապրանքների մասին հայտարարագրից տեղեկությունների ստացում» (Р.СР.02.TRN.001) ընդհանուր գործընթացի տրանզակցիայի կատարման սխեման
Աղյուսակ 5
«Ապրանքների մասին հայտարարագրից տեղեկությունների ստացում» (Р.СР.02.ТRN.001) ընդհանուր գործընթացի տրանզակցիայի նկարագրությունը
|
Թիվ ը/կ |
Պարտադիր տարրը |
Նկարագրությունը |
|
1 |
2 |
3 |
|
1 |
Ծածկագրային նշագիրը |
P.CP.02.TRN.001 |
|
2 |
Ընդհանուր գործընթացի տրանզակցիայի անվանումը |
ապրանքների մասին հայտարարագրից տեղեկությունների ստացում |
|
3 |
Ընդհանուր գործընթացի տրանզակցիայի ձևանմուշը |
փոխադարձ պարտավորություններ |
|
4 |
Նախաձեռնող դերը |
նախաձեռնող |
|
5 |
Նախաձեռնող գործառնությունը |
ապրանքների մասին հայտարարագրից տեղեկությունների հարցում |
|
6 |
Արձագանքող դերը |
ռեսպոնդենտ |
|
7 |
Ընդունող գործառնությունը |
ապրանքների մասին հայտարարագրից տեղեկությունների մշակում և ներկայացում |
|
8 |
Ընդհանուր գործընթացի տրանզակցիայի կատարման արդյունքը |
ապրանքների մասին հայտարարագրից տեղեկություններ (P.CP.02.BEN.001)՝ բացակայում են |
|
ապրանքների մասին հայտարարագրից տեղեկություններ (P.CP.02.BEN.001)՝ ներկայացվել են | ||
|
9 |
Ընդհանուր գործընթացի տրանզակցիայի պարամետրերը՝ |
|
|
ստացումը հաստատելու համար ժամանակը |
1 րոպե | |
|
մշակման համար ընդունումը հաստատելու ժամանակը |
1 րոպե | |
|
պատասխանին սպասելու ժամանակը |
5 րոպե | |
|
ավտորիզացման հատկանիշը |
այո | |
|
կրկնությունների քանակը |
1 | |
|
10 |
Ընդհանուր գործընթացի տրանզակցիայի հաղորդագրությունները՝ |
|
|
նախաձեռնող հաղորդագրություն |
ապրանքների մասին հայտարարագրից տեղեկությունների հարցում (Р.СР.02.МSG.001) | |
|
պատասխան հաղորդագրություն |
ապրանքների մասին հայտարարագրից տեղեկություններ (Р.СР.02.МSG.002) տեղեկությունների բացակայության մասին ծանուցում (Р.СР.02.МSG.005) | |
|
11 |
Ընդհանուր գործընթացի տրանզակցիայի հաղորդագրությունների պարամետրերը՝ |
|
|
ԷԹՍ–ի հատկանիշը |
ոչ (բացառությամբ այն դեպքերի, երբ ընդհանուր գործընթացի շրջանակներում տեղեկատվական փոխգործակցության իրականացման ժամանակ ԷԹՍ-ի կիրառումը նախատեսված է Եվրասիական տնտեսական հանձնաժողովի (այսուհետ՝ Հանձնաժողով) կոլեգիայի համապատասխան որոշմամբ) | |
|
ոչ ճշգրիտ ԷԹՍ-ով էլեկտրոնային փաստաթղթի փոխանցում |
ոչ |
2. «Ապրանքների փաստացի արտահանման հաստատում» (Р.СР.02.ТRN.002) ընդհանուր գործընթացի տրանզակցիան
16. «Ապրանքների փաստացի արտահանման հաստատում» (Р.СР.02.ТRN.002) ընդհանուր գործընթացի տրանզակցիան կատարվում է նախաձեռնողի կողմից ռեսպոնդենտին համապատասխան տեղեկություններ փոխանցելու համար: Ընդհանուր գործընթացի նշված տրանզակցիայի կատարման սխեման ներկայացված է 5-րդ նկարում։ Ընդհանուր գործընթացի տրանզակցիայի պարամետրերը բերված են 6-րդ աղյուսակում։
Նկ. 5. «Ապրանքների փաստացի արտահանման հաստատում» (Р.СР.02.ТRN.002) ընդհանուր գործընթացի տրանզակցիայի կատարման սխեման
Աղյուսակ 6
«Ապրանքների փաստացի արտահանման հաստատում» (Р.СР.02.ТRN.002) ընդհանուր գործընթացի տրանզակցիան
|
Թիվ ը/կ |
Պարտադիր տարրը |
Նկարագրությունը |
|
1 |
2 |
3 |
|
1 |
Ծածկագրային նշագիրը |
Р.СР.02.ТRN.002 |
|
2 |
Ընդհանուր գործընթացի տրանզակցիայի անվանումը |
ապրանքների փաստացի արտահանման հաստատում |
|
3 |
Ընդհանուր գործընթացի տրանզակցիայի ձևանմուշը |
փոխադարձ պարտավորություններ |
|
4 |
Նախաձեռնող դերը |
նախաձեռնող |
|
5 |
Նախաձեռնող գործառնությունը |
ապրանքների փաստացի արտահանման մասին տեղեկությունների ներկայացում |
|
6 |
Արձագանքող դերը |
ռեսպոնդենտ |
|
7 |
Ընդունող գործառնությունը |
ապրանքների փաստացի արտահանման մասին տեղեկությունների ընդունում և մշակում |
|
8 |
Ընդհանուր գործընթացի տրանզակցիայի կատարման արդյունքը |
ապրանքների փաստացի արտահանման մասին տեղեկություններ (Р.СР.02.ВЕN.002)՝ մշակվել են |
|
9 |
Ընդհանուր գործընթացի տրանզակցիայի պարամետրերը՝ |
|
|
ստացումը հաստատելու համար ժամանակը |
3 րոպե | |
|
մշակման համար ընդունումը հաստատելու ժամանակը |
10 րոպե | |
|
պատասխանին սպասելու ժամանակը |
30 րոպե | |
|
ավտորիզացման հատկանիշը |
այո | |
|
կրկնությունների քանակը |
3 | |
|
10 |
Ընդհանուր գործընթացի տրանզակցիայի հաղորդագրությունները՝ |
|
|
նախաձեռնող հաղորդագրություն |
ապրանքների փաստացի արտահանման հաստատում (Р.СР.02.МSG.003) | |
|
պատասխան հաղորդագրություն |
տեղեկությունների հաջող մշակման մասին ծանուցում (P.CP.02.MSG.004) | |
|
11 |
Ընդհանուր գործընթացի տրանզակցիայի հաղորդագրությունների պարամետրերը՝ |
|
|
ԷԹՍ–ի հատկանիշը |
ոչ (բացառությամբ այն դեպքերի, երբ ընդհանուր գործընթացի շրջանակներում տեղեկատվական փոխգործակցության իրականացման ժամանակ ԷԹՍ-ի կիրառումը նախատեսված է Հանձնաժողովի կոլեգիայի համապատասխան որոշմամբ) | |
|
ոչ ճշգրիտ ԷԹՍ-ով էլեկտրոնային փաստաթղթի փոխանցում |
ոչ |
3. «Ապրանքների փաստացի արտահանման մասին տեղեկությունների չեղյալ համարում» (Р.СР.02.ТRN.003) ընդհանուր գործընթացի տրանզակցիան
17. «Ապրանքների փաստացի արտահանման մասին տեղեկությունների չեղյալ համարում» (Р.СР.02.ТRN.003) ընդհանուր գործընթացի տրանզակցիան կատարվում է նախաձեռնողի կողմից ռեսպոնդենտին համապատասխան տեղեկություններ ներկայացնելու համար։ Ընդհանուր գործընթացի նշված տրանզակցիայի կատարման սխեման ներկայացված է 6-րդ նկարում։ Ընդհանուր գործընթացի տրանզակցիայի պարամետրերը բերված են 7-րդ աղյուսակում։
Նկ. 6. «Ապրանքների փաստացի արտահանման մասին տեղեկությունների չեղյալ համարում» (Р.СР.02.ТRN.003) ընդհանուր գործընթացի տրանզակցիայի կատարման սխեման
Աղյուսակ 7
«Ապրանքների փաստացի արտահանման մասին տեղեկությունների չեղյալ համարում» (Р.СР.02.ТRN.003) ընդհանուր գործընթացի տրանզակցիայի նկարագրությունը
|
Թիվ ը/կ |
Պարտադիր տարրը |
Նկարագրությունը |
|
1 |
2 |
3 |
|
1 |
Ծածկագրային նշագիրը |
Р.СР.02.ТRN.003 |
|
2 |
Ընդհանուր գործընթացի տրանզակցիայի անվանումը |
ապրանքների փաստացի արտահանման մասին տեղեկությունների չեղյալ համարում |
|
3 |
Ընդհանուր գործընթացի տրանզակցիայի ձևանմուշը |
փոխադարձ պարտավորություններ |
|
4 |
Նախաձեռնող դերը |
նախաձեռնող |
|
5 |
Նախաձեռնող գործառնությունը |
ապրանքների փաստացի արտահանման հաստատումը չեղյալ համարելու մասին տեղեկությունների փոխանցում |
|
6 |
Արձագանքող դերը |
ռեսպոնդենտ |
|
7 |
Ընդունող գործառնությունը |
ապրանքների փաստացի արտահանման հաստատումը չեղյալ համարելու մասին տեղեկությունների ընդունում և մշակում |
|
8 |
Ընդհանուր գործընթացի տրանզակցիայի կատարման արդյունքը |
ապրանքների փաստացի արտահանման մասին տեղեկություններ (P.CP.02.BEN.002)՝ չեղյալ են համարվել |
|
9 |
Ընդհանուր գործընթացի տրանզակցիայի պարամետրերը՝ |
|
|
ստացումը հաստատելու համար ժամանակը |
3 րոպե | |
|
մշակման համար ընդունումը հաստատելու ժամանակը |
10 րոպե | |
|
պատասխանին սպասելու ժամանակը |
30 րոպե | |
|
ավտորիզացման հատկանիշը |
այո | |
|
կրկնությունների քանակը |
3 | |
|
10 |
Ընդհանուր գործընթացի տրանզակցիայի հաղորդագրությունները՝ |
|
|
նախաձեռնող հաղորդագրություն |
ապրանքների փաստացի արտահանման հաստատումը չեղյալ համարելու մասին տեղեկություններ (P.CP.02.MSG.006) | |
|
պատասխան հաղորդագրություն |
տեղեկությունների հաջող մշակման մասին ծանուցում (P.CP.02.MSG.004) | |
|
11 |
Ընդհանուր գործընթացի տրանզակցիայի հաղորդագրությունների պարամետրերը՝ |
|
|
ԷԹՍ–ի հատկանիշը |
ոչ (բացառությամբ այն դեպքերի, երբ ընդհանուր գործընթացի շրջանակներում տեղեկատվական փոխգործակցության իրականացման ժամանակ ԷԹՍ-ի կիրառումը նախատեսված է Հանձնաժողովի կոլեգիայի համապատասխան որոշմամբ) | |
|
ոչ ճշգրիտ ԷԹՍ-ով էլեկտրոնային փաստաթղթի փոխանցում |
ոչ |
4. «Ապրանքների փաստացի արտահանման մասին տեղեկությունների հարցում» (Р.СР.02.ТRN.004) ընդհանուր գործընթացի տրանզակցիան
18. «Ապրանքների փաստացի արտահանման մասին տեղեկությունների հարցում» (Р.СР.02.ТRN.004) ընդհանուր գործընթացի տրանզակցիան կատարվում է նախաձեռնողի կողմից ռեսպոնդենտին համապատասխան տեղեկություններ ներկայացնելու համար։ Ընդհանուր գործընթացի նշված տրանզակցիայի կատարման սխեման ներկայացված է 7-րդ նկարում։ Ընդհանուր գործընթացի տրանզակցիայի պարամետրերը բերված են 8-րդ աղյուսակում։
Նկ. 7. «Ապրանքների փաստացի արտահանման մասին տեղեկությունների հարցում» (Р.СР.02.ТRN.004) ընդհանուր գործընթացի տրանզակցիայի կատարման սխեման
Աղյուսակ 8
«Ապրանքների փաստացի արտահանման մասին տեղեկությունների հարցում» (Р.СР.02.ТRN.004) ընդհանուր գործընթացի տրանզակցիայի նկարագրությունը
|
Թիվ ը/կ |
Պարտադիր տարրը |
Նկարագրությունը |
|
1 |
2 |
3 |
|
1 |
Ծածկագրային նշագիրը |
Р.СР.02.ТRN.004 |
|
2 |
Ընդհանուր գործընթացի տրանզակցիայի անվանումը |
ապրանքների փաստացի արտահանման մասին տեղեկությունների հարցում |
|
3 |
Ընդհանուր գործընթացի տրանզակցիայի ձևանմուշը |
փոխադարձ պարտավորություններ |
|
4 |
Նախաձեռնող դերը |
նախաձեռնող |
|
5 |
Նախաձեռնող գործառնությունը |
ապրանքների փաստացի արտահանման մասին տեղեկությունների հարցում |
|
6 |
Արձագանքող դերը |
ռեսպոնդենտ |
|
7 |
Ընդունող գործառնությունը |
ապրանքների փաստացի արտահանման մասին տեղեկությունների մշակում և ներկայացում |
|
8 |
Ընդհանուր գործընթացի տրանզակցիայի կատարման արդյունքը |
ապրանքների փաստացի արտահանման մասին տեղեկություններ (P.CP.02.BEN.002)՝ ներկայացվել են ապրանքների փաստացի արտահանման մասին տեղեկություններ (P.CP.02.BEN.002)՝ բացակայում են |
|
9 |
Ընդհանուր գործընթացի տրանզակցիայի պարամետրերը՝ |
|
|
ստացումը հաստատելու համար ժամանակը |
1 րոպե | |
|
մշակման համար ընդունումը հաստատելու ժամանակը |
3 րոպե | |
|
պատասխանին սպասելու ժամանակը |
5 րոպե | |
|
ավտորիզացման հատկանիշը |
այո | |
|
կրկնությունների քանակը |
1 | |
|
10 |
Ընդհանուր գործընթացի տրանզակցիայի հաղորդագրությունները՝ |
|
|
նախաձեռնող հաղորդագրություն |
ապրանքների փաստացի արտահանման մասին տեղեկությունների հարցում (P.CP.02.MSG.007) | |
|
պատասխան հաղորդագրություն |
ապրանքների փաստացի արտահանման մասին տեղեկություններ (P.CP.02.MSG.008) տեղեկությունների բացակայության մասին ծանուցում (P.CP.02.MSG.005) | |
|
11 |
Ընդհանուր գործընթացի տրանզակցիայի հաղորդագրությունների պարամետրերը՝ |
|
|
ԷԹՍ–ի հատկանիշը |
ոչ (բացառությամբ այն դեպքերի, երբ ընդհանուր գործընթացի շրջանակներում տեղեկատվական փոխգործակցության իրականացման ժամանակ ԷԹՍ-ի կիրառումը նախատեսված է Հանձնաժողովի կոլեգիայի համապատասխան որոշմամբ) | |
|
ոչ ճշգրիտ ԷԹՍ-ով էլեկտրոնային փաստաթղթի փոխանցում |
ոչ |
VIII. Արտակարգ իրավիճակներում գործողությունների կարգը
19. Ընդհանուր գործընթացի շրջանակներում տեղեկատվական փոխգործակցության ժամանակ հնարավոր են այնպիսի արտակարգ իրավիճակներ, երբ տվյալների մշակումը չի կարող կատարվել սովորական ռեժիմով։ Արտակարգ իրավիճակներն առաջանում են տեխնիկական խափանումների, սպասման ժամանակը լրանալու և այլ դեպքերում: Ընդհանուր գործընթացի մասնակցի կողմից արտակարգ իրավիճակի առաջացման պատճառների վերաբերյալ մեկնաբանություններ և այն կարգավորելու մասին առաջարկություններ ստանալու համար նախատեսված է արտաքին և փոխադարձ առևտրի ինտեգրված տեղեկատվական համակարգի աջակցության ծառայություն համապատասխան հարցում ուղարկելու հնարավորություն։ Արտակարգ իրավիճակի կարգավորման վերաբերյալ ընդհանուր առաջարկությունները բերված են 9-րդ աղյուսակում:
20. Անդամ պետության լիազորված մարմինն անցկացնում է Էլեկտրոնային փաստաթղթերի և տեղեկությունների ձևաչափերի ու կառուցվածքների նկարագրությանը և սույն կանոնակարգի IX բաժնում նշված էլեկտրոնային փաստաթղթերի ու տեղեկությունների լրացմանը ներկայացվող պահանջներին համապատասխանության մասով այն հաղորդագրության ստուգումը, որի հետ կապված ստացվել է սխալի մասին ծանուցումը: Նշված պահանջներին անհամապատասխանություն հայտնաբերելու դեպքում անդամ պետության լիազորված մարմինը ձեռնարկում է բոլոր անհրաժեշտ միջոցները՝ հայտնաբերված սխալը վերացնելու համար։ Անհամապատասխանություն չհայտնաբերելու դեպքում անդամ պետության լիազորված մարմինն այդ արտակարգ իրավիճակի նկարագրությամբ հաղորդագրություն է ուղարկում արտաքին և փոխադարձ առևտրի ինտեգրված տեղեկատվական համակարգի աջակցության ծառայություն։
Աղյուսակ 9
Գործողություններն արտակարգ իրավիճակներում
|
Արտակարգ իրավիճակի ծածկագիրը |
Արտակարգ իրավիճակի նկարագրությունը |
Արտակարգ իրավիճակի պատճառները |
Արտակարգ իրավիճակի առաջացման դեպքում գործողությունների նկարագրությունը |
|
1 |
2 |
3 |
4 |
|
Р.ЕХС.002 |
ընդհանուր գործընթացի երկկողմ տրանզակցիայի նախաձեռնողը կրկնությունների համաձայնեցված քանակը լրանալուց հետո հաղորդագրություն-պատասխան չի ստացել |
տրանսպորտային համակարգում տեխնիկական խափանումները կամ ծրագրային ապահովման համակարգային սխալը |
անհրաժեշտ է հարցում ուղարկել ազգային հատվածի տեխնիկական աջակցության ծառայություն, որտեղ ձևավորվել է հաղորդագրությունը |
|
Р.ЕХС.004 |
ընդհանուր գործընթացի տրանզակցիայի նախաձեռնողը ծանուցում է ստացել սխալի մասին |
չեն սինխրոնացվել տեղեկատուներն ու դասակարգիչները, կամ չեն թարմացվել էլեկտրոնային փաստաթղթերի (տեղեկությունների) XML սխեմաները |
ընդհանուր գործընթացի տրանզակցիայի նախաձեռնողին անհրաժեշտ է սինխրոնացնել օգտագործվող տեղեկատուներն ու դասակարգիչները կամ թարմացնել էլեկտրոնային փաստաթղթերի (տեղեկությունների) XML սխեմաները։ Եթե տեղեկատուներն ու դասակարգիչները սինխրոնացվել են, էլեկտրոնային փաստաթղթերի (տեղեկությունների) XML սխեմաները թարմացվել են, ապա անհրաժեշտ է հարցում ուղարկել ընդունող մասնակցի աջակցության ծառայություն |
IX. Էլեկտրոնային փաստաթղթերի և տեղեկությունների լրացմանը ներկայացվող պահանջները
21. «Ապրանքների մասին հայտարարագրից տեղեկությունների հարցում» (Р.СР.02.МSG.001) հաղորդագրությամբ փոխանցվող «Արտահանվող ապրանքների մասին տեղեկությունների հարցում» (R.СА.СР.02.00) էլեկտրոնային փաստաթղթերի (տեղեկությունների) վավերապայմանների լրացմանը ներկայացվող պահանջները բերված են 10-րդ աղյուսակում:
Աղյուսակ 10
«Ապրանքների մասին հայտարարագրից տեղեկությունների հարցում» (Р.СР.02.МSG.001) հաղորդագրությամբ փոխանցվող
«Արտահանվող ապրանքների մասին տեղեկությունների հարցում» (R.СА.СР.02.001) էլեկտրոնային փաստաթղթերի (տեղեկությունների) վավերապայմանների լրացմանը ներկայացվող պահանջները
|
Պահանջի ծածկագիրը |
Պահանջի ձևակերպումը |
|
1 |
«Ապրանքի հերթական համարը» (саsdо:СоnsignmentItemordinal) վավերապայմանը պետք է պարունակի ապրանքի հերթական համարը, որով կատարվում է տեղեկությունների հարցումը |
|
2 |
հայտարարագրի բոլոր ապրանքների մասին տեղեկությունների հարցման դեպքում «Ապրանքի հերթական համարը» (саsdо:СоnsignmentItemOrdinal) վավերապայմանի արժեքը պետք է հավասար լինի «0»-ի |
|
3 |
«Մաքսային մարմին» (сасdо:UnifiedOfficeDetails) վավերապայմանը պետք է լրացված լինի |
|
4 |
«Մաքսային մարմնի պաշտոնատար անձ» (саcdo:CustomsPersonDetails) բարդ վավերապայմանի կազմում «Մաքսային մարմնի պաշտոնատար անձի ԱՀԿ–ի համարը» (саsdo:LNPIdentifier) վավերապայմանը պետք է լրացված լինի |
22. «Ապրանքների մասին հայտարարագրից տեղեկություններ» (Р.СР.02.МSG.002) հաղորդագրությամբ փոխանցվող «Բաց թողնված ապրանքների մասին տեղեկություններ» (R.CA.CP.02.004) էլեկտրոնային փաստաթղթերի (տեղեկությունների) վավերապայմանների լրացմանը ներկայացվող պահանջները բերված են 11-րդ աղյուսակում:
Աղյուսակ 11
«Ապրանքների մասին հայտարարագրից տեղեկություններ» (Р.СР.02.МSG.002) հաղորդագրությամբ փոխանցվող «Բաց թողնված ապրանքների մասին տեղեկություններ» (R.CA.CP.02.004) էլեկտրոնային փաստաթղթերի (տեղեկությունների) վավերապայմանների լրացմանը ներկայացվող պահանջները
|
Պահանջի ծածկագիրը |
Պահանջի ձևակերպումը |
|
1 |
«Երկրի ծածկագիրը» (csdo:UnifiedCountryCode) վավերապայմանը պետք է պարունակի այն անդամ պետության ծածկագիրը, որի լիազորված մարմինը ներկայացրել է բաց թողնված ապրանքների մասին տեղեկություններ |
|
2 |
«Մաքսային մարմին» (cacdo:UnifiedCustomsOfficeDetails) բարդ վավերապայմանի կազմում «Մաքսային մարմնի անվանումը» (casdo:CustomsOfficeName) վավերապայմանը պետք է լրացված լինի |
|
3 |
«Ապրանքներ ուղարկողը և նրա առանձնացված ստորաբաժանումը» (cacdo:ConsignorOrganizationDetails) բարդ վավերապայմանի կազմում «Երկրի ծածկագիրը» (csdo:UnifiedCountryCode) վավերապայմանը պետք է լրացված լինի |
|
4 |
«Ապրանքներ ուղարկողը և նրա առանձնացված ստորաբաժանումը» (cacdo:ConsignorOrganizationDetails) բարդ վավերապայմանի կազմում «Տնտեսավարող սուբյեկտի անվանումը» (csdo:BusinessEntityName) վավերապայմանը պետք է լրացված լինի |
|
5 |
«Ապրանքներ ուղարկողը և նրա առանձնացված ստորաբաժանումը» (cacdo:ConsignorOrganizationDetails) վավերապայմանը պետք է պարունակի առնվազն մեկ «Հասցե» (ccdo:SubjectAddressDetails) վավերապայման |
|
6 |
«Ապրանքների փաստացի արտահանում։ Ապրանքի մասին տեղեկություններ» (cacdo:FEGoodsInfoDetails) բարդ վավերապայմանի կազմում «Ապրանքի հերթական համարը» (casdo:ConsignmentItemOrdinal) վավերապայմանը պետք է լրացված լինի, և այն պետք է պարունակի ապրանքների մասին հայտարարագրում առկա ապրանքի հերթական համարը |
|
7 |
«Ապրանքների փաստացի արտահանում։ Ապրանքի մասին տեղեկություններ» (cacdo:FEGoodsInfoDetails) բարդ վավերապայմանի կազմում «Ապրանքի ծածկագիրն ըստ ԵԱՏՄ ԱՏԳ ԱԱ-ի» (csdo:CommodityCode) վավերապայմանը պետք է լրացված լինի |
|
8 |
«Ապրանքների փաստացի արտահանում։ Ապրանքի մասին տեղեկություններ» բարդ վավերապայմանի (cacdo:FEGoodsInfoDetails) կազմում «Համաքաշը» վավերապայմանը (csdo:UnifiedGrossMassMeasure) պետք է լրացված լինի |
|
9 |
«Փաստաթղթի մասին տեղեկություններ» (cacdo:CADocDetails) բարդ վավերապայմանը լրացնելիս դրա կազմում «Փաստաթղթի տեսակի ծածկագիրը» (csdo:DocKindCode) վավերապայմանը պետք է լրացված լինի |
|
10 |
«Փաստաթղթի մասին տեղեկություններ» (cacdo:CADocDetails) բարդ վավերապայմանը լրացնելիս դրա կազմում «Փաստաթղթի համարը» (csdo:Doeld) վավերապայմանը պետք է լրացված լինի |
|
11 |
«Ապրանքներ փոխադրողի վավերապայմանները» (cacdo:CarrierOrganizationDetails) բարդ վավերապայմանը լրացնելիս դրա կազմում «Երկրի ծածկագիրը» (csdo:UnifiedCountryCode) վավերապայմանը պետք է լրացված լինի |
|
12 |
«Ապրանքներ փոխադրողի վավերապայմանները» (cacdo:CarrierOrganizationDetails) բարդ վավերապայմանը լրացնելիս դրա կազմում «Տնտեսավարող սուբյեկտի անվանումը» (csdo:BusinessEntityName) վավերապայմանը պետք է լրացված լինի |
23. «Ապրանքների փաստացի արտահանման հաստատում» (P.CP.02.MSG.003) հաղորդագրությամբ փոխանցվող «Ապրանքների փաստացի արտահանման մասին տեղեկություններ» (R.CA.CP.02.003) էլեկտրոնային փաստաթղթերի (տեղեկությունների) վավերապայմանների լրացմանը ներկայացվող պահանջները բերված են 12-րդ աղյուսակում:
Աղյուսակ 12
«Ապրանքների փաստացի արտահանման հաստատում» (P.CP.02.MSG.003) հաղորդագրությամբ փոխանցվող «Ապրանքների փաստացի արտահանման մասին տեղեկություններ» (R.CA.CP.02.003) էլեկտրոնային փաստաթղթերի (տեղեկությունների) վավերապայմանների լրացմանը ներկայացվող պահանջները
|
Պահանջի ծածկագիրը |
Պահանջի ձևակերպումը |
|
1 |
Էլեկտրոնային փաստաթուղթը (տեղեկությունները) պետք է պարունակի միայն 1 «Ապրանքների փաստացի արտահանում։ Ապրանքների արտահանման մասին տեղեկություններ» (cacdo:FEFactDetails) վավերապայմանը |
|
2 |
«Երկրի ծածկագիրը» (csdo:UnifiedCountryCode) վավերապայմանը պետք է պարունակի այն անդամ պետության ծածկագիրը, որի լիազորված մարմինը ներկայացրել է ապրանքների արտահանման մասին տեղեկություններ |
|
3 |
«Մաքսային մարմնի պաշտոնատար անձ» (саcdo:CustomsPersonDetails) բարդ վավերապայմանի կազմում «Մաքսային մարմնի պաշտոնատար անձի ԱՀԿ–ի համարը» (саsdo:LNPIdentifier) վավերապայմանը պետք է լրացված լինի |
|
4 |
«Սահմանին գտնվող տրանսպորտային միջոցը» (cacdo:BorderTransportDetails) բարդ վավերապայմանի կազմում «Տրանսպորտային միջոցի վերաբերյալ տեղեկատվություն» (cacdo:CATransportIdDetails) վավերապայմանը պետք է լրացված լինի |
|
5 |
«Ապրանքների փաստացի արտահանում։ Ապրանքի մասին տեղեկություններ» (cacdo:FEGoodsInfoDetails) բարդ վավերապայմանի կազմում «Ապրանքի հերթական համարը» (casdo:ConsignmentItemOrdinal) վավերապայմանը պետք է լրացված լինի, և այն պետք է պարունակի ապրանքների մասին հայտարարագրում առկա ապրանքի հերթական համարը |
|
6 |
«Ապրանքների փաստացի արտահանում։ Ապրանքի մասին տեղեկություններ» (cacdo:FEGoodsInfoDetails) բարդ վավերապայմանի կազմում «Ապրանքի ծածկագիրն ըստ ԵԱՏՄ ԱՏԳ ԱԱ-ի» (csdoiCommodityCode) վավերապայմանը պետք է լրացված լինի |
|
7 |
«Ապրանքների փաստացի արտահանում։ Ապրանքի մասին տեղեկություններ» (cacdoiFEGoodsInfoDetails) բարդ վավերապայմանի կազմում «Համաքաշը» (csdo:UnifiedGrossMassMeasure) վավերապայմանը պետք է լրացված լինի |
|
8 |
«Ապրանքների փաստացի արտահանում։ Ապրանքի մասին տեղեկություններ» (cacdo:FEGoodsInfoDetails) բարդ վավերապայմանի կազմում «Ապրանքների մնացորդը։ Լրացուցիչ չափման միավոր» (cacdo:RemainGoodsMeasureDetails) վավերապայմանը չի լրացվում |
|
9 |
«Ապրանքների փաստացի արտահանում։ Ապրանքի մասին տեղեկություններ» (cacdo:FEGoodsInfoDetails) բարդ վավերապայմանի կազմում «Ապրանքի մնացորդը» (casdo:RemainGrossWeightMeasure) վավերապայմանը չի լրացվում |
|
10 |
«Ապրանքների փաստացի արտահանում։ Ապրանքի մասին տեղեկատվություն արտահանման ժամանակ» (cacdo:FEGoodsDetails) բարդ վավերապայմանի կազմում «Փաստաթղթի մասին տեղեկություններ» (cacdo:CADocDetails) վավերապայմանը պետք է լրացված լինի, և այն պետք է պարունակի տրանսպորտային (փոխադրման) փաստաթղթի մասին տեղեկություններ |
|
11 |
«Փաստաթղթի մասին տեղեկություններ» (cacdo։CADocDetails) բարդ վավերապայմանի կազմում «Փաստաթղթի տեսակի ծածկագիրը» (csdo:DocKindCode) վավերապայմանը պետք է լրացված լինի |
|
12 |
«Փաստաթղթի մասին տեղեկություններ» (cacdo:CADocDetails) բարդ վավերապայմանի կազմում «Փաստաթղթի համարը» (csdo:DocId) վավերապայմանը պետք է լրացված լինի |
24. «Տեղեկությունների հաջող մշակման մասին ծանուցում» (P.CP.02.MSG.004) հաղորդագրությամբ փոխանցվող «Մշակման արդյունքի մասին ծանուցում» (R.006) էլեկտրոնային փաստաթղթերի (տեղեկությունների) վավերապայմանների լրացմանը ներկայացվող պահանջները բերված են 13-րդ աղյուսակում:
Աղյուսակ 13
«Տեղեկությունների հաջող մշակման մասին ծանուցում» (P.CP.02.MSG.004) հաղորդագրությամբ փոխանցվող «Մշակման արդյունքի մասին ծանուցում» (R.006) էլեկտրոնային փաստաթղթերի (տեղեկությունների) վավերապայմանների լրացմանը ներկայացվող պահանջները
|
Պահանջի ծածկագիրը |
Պահանջի ձևակերպումը |
|
1 |
«Մշակման արդյունքի ծածկագիրը» (csdo:ProcessingResultV2Code) վավերապայմանը պետք է պարունակի «2» արժեքը |
25. «Տեղեկությունների բացակայության մասին ծանուցում» (P.CP.02.MSG.005) հաղորդագրությամբ փոխանցվող «Մշակման արդյունքի մասին ծանուցում» (R.006) էլեկտրոնային փաստաթղթերի (տեղեկությունների) վավերապայմանների լրացմանը ներկայացվող պահանջները բերված են 14-րդ աղյուսակում:
Աղյուսակ 14
«Տեղեկությունների բացակայության մասին ծանուցում» (P.CP.02.MSG.005) հաղորդագրությամբ փոխանցվող «Մշակման արդյունքի մասին ծանուցում» (R.006) էլեկտրոնային փաստաթղթերի (տեղեկությունների) վավերապայմանների լրացմանը ներկայացվող պահանջները
|
Պահանջի ծածկագիրը |
Պահանջի ձևակերպումը |
|
1 |
«Մշակման արդյունքի ծածկագիրը» (csdo:ProcessingResultV2Code) վավերապայմանը պետք է պարունակի «1» արժեքը |
26. «Ապրանքների փաստացի արտահանման հաստատումը չեղյալ համարելու մասին տեղեկություններ» (P.CP.02.MSG.006) հաղորդագրությամբ փոխանցվող «Ապրանքների փաստացի արտահանման հաստատումը չեղյալ համարելու մասին տեղեկություններ» (R.CA.CP.02.002) էլեկտրոնային փաստաթղթերի (տեղեկությունների) վավերապայմանների լրացմանը ներկայացվող պահանջները բերված են 15-րդ աղյուսակում:
Աղյուսակ 15
«Ապրանքների փաստացի արտահանման հաստատումը չեղյալ համարելու մասին տեղեկություններ» (P.CP.02.MSG.006) հաղորդագրությամբ փոխանցվող «Ապրանքների փաստացի արտահանման հաստատումը չեղյալ համարելու մասին տեղեկություններ» (R.CA.CP.02.002) էլեկտրոնային փաստաթղթերի (տեղեկությունների) վավերապայմանների լրացմանը
ներկայացվող պահանջները
|
Պահանջի ծածկագիրը |
Պահանջի ձևակերպումը |
|
1 |
«Մաքսային մարմնի պաշտոնատար անձ» (саcdo:CustomsPersonDetails) բարդ վավերապայմանի կազմում «Մաքսային մարմնի պաշտոնատար անձի ԱՀԿ–ի համարը» (саsdo:LNPIdentifier) վավերապայմանը պետք է լրացված լինի |
|
2 |
«Մաքսային հայտարարագրի գրանցման համարը» (cacdo:CustomsDeclarationIdDetails) վավերապայմանում նշված գրանցման համար ունեցող՝ ապրանքների մասին հայտարարագրի համար ապրանքների մեկնման մասով լիազորված մարմնի տվյալների տեղեկատվական բազան պետք է պարունակի ապրանքների արտահանման մասին տեղեկություններ համաձայն այն թույլտվության, որի համարը նշված է «Փաստաթղթի գրանցման համարն ըստ գրանցամատյանի, որում արձանագրված է փաստացի արտահանումը» (cacdo:FERegistrationIdDetails) վավերապայմանում |
27. «Ապրանքների փաստացի արտահանման մասին տեղեկությունների հարցում» (P.CP.02.MSG.007) հաղորդագրությամբ փոխանցվող «Ապրանքների փաստացի արտահանման մասին տեղեկությունների հարցում» (R.CA.CP.02.005) էլեկտրոնային փաստաթղթերի (տեղեկությունների) վավերապայմանների լրացմանը ներկայացվող պահանջները բերված են 16-րդ աղյուսակում:
Աղյուսակ 16
«Ապրանքների փաստացի արտահանման մասին տեղեկությունների հարցում» (P.CP.02.MSG.007) հաղորդագրությամբ փոխանցվող «Ապրանքների փաստացի արտահանման մասին տեղեկությունների հարցում» (R.CA.CP.02.005) էլեկտրոնային փաստաթղթերի (տեղեկությունների) վավերապայմանների լրացմանը ներկայացվող պահանջները
|
Պահանջի ծածկագիրը |
Պահանջի ձևակերպումը |
|
1 |
«Գործողության ժամանակահատվածը» (cacdo:PeriodDetails) վավերապայմանը լրացվում է որոշակի ժամանակահատվածի համար տեղեկությունների հարցման դեպքում |
|
2 |
«Ապրանքների փաստացի արտահանման ամսաթիվը և ժամը» (casdo: ExportDateTime) վավերապայմանը լրացվում է որոշակի ամսաթվի և ժամի համար տեղեկությունների հարցման դեպքում |
|
3 |
«Գործողության ժամանակահատվածը» (cacdo:PeriodDetails) բարդ վավերապայմանի կազմում (եթե վավերապայմանը լրացված է) «Մեկնարկի ամսաթիվը և ժամը» (csdo:StartDateTime) վավերապայմանի արժեքը պետք է «Մաքսային հայտարարագրի գրանցման համարը» (cacdo:CustomsDeclarationIdDetails) բարդ վավերապայմանի կազմում «Փաստաթղթի ամսաթիվը» (csdo:DocCreationDate) վավերապայմանի արժեքից մեծ լինի կամ դրան հավասար |
|
4 |
«Ապրանքների փաստացի արտահանման ամսաթիվը և ժամը» (casdo: ExportDateTime) վավերապայմանի արժեքը (եթե վավերապայմանը լրացված է) պետք է «Մաքսային հայտարարագրի գրանցման համարը» (cacdo:CustomsDeclarationIdDetails) բարդ վավերապայմանի կազմում «Փաստաթղթի ամսաթիվը» (csdo:DocCreationDate) վավերապայմանի արժեքից մեծ լինի կամ դրան հավասար |
|
5 |
«Գործողության ժամանակահատվածը» (cacdo:PeriodDetails) և «Ապրանքների փաստացի արտահանման ամսաթիվը և ժամը» (casdo:ExportDateTime) վավերապայմանների միաժամանակյա լրացում չի թույլատրվում |
|
6 |
«Սահմանին գտնվող մաքսային մարմինը» (cacdo:BorderCustomsOfficeDetails) վավերապայմանը լրացվում է որոշակի մաքսային մարմինների միջոցով ապրանքների արտահանման մասին տեղեկությունների հարցման դեպքում |
|
7 |
«Մաքսային մարմնի պաշտոնատար անձ» (cacdo:CustomsPersonDetails) բարդ վավերապայմանի կազմում «Մաքսային մարմնի պաշտոնատար անձի ԱՀԿ-ի համարը» (casdo :LNPIdentifier) վավերապայմանը պետք է լրացված լինի |
28. «Ապրանքների փաստացի արտահանման մասին տեղեկություններ» (P.CP.02.MSG.008) հաղորդագրությամբ փոխանցվող «Ապրանքների փաստացի արտահանման մասին տեղեկություններ» (R.CA.CP.02.003) էլեկտրոնային փաստաթղթերի (տեղեկությունների) վավերապայմանների լրացմանը ներկայացվող պահանջները բերված են 17-րդ աղյուսակում:
Աղյուսակ 17
«Ապրանքների փաստացի արտահանման մասին տեղեկություններ» (P.CP.02.MSG.008) հաղորդագրությամբ փոխանցվող «Ապրանքների փաստացի արտահանման մասին տեղեկություններ» (R.CA.CP.02.003) էլեկտրոնային փաստաթղթերի (տեղեկությունների) վավերապայմանների լրացմանը ներկայացվող պահանջները
|
Պահանջի ծածկագիրը |
Պահանջի ձևակերպումը |
|
1 |
«Երկրի ծածկագիրը» (csdo:UnifiedCountryCode) վավերապայմանը պետք է պարունակի այն անդամ պետության ծածկագիրը, որի լիազորված մարմինը ներկայացրել է ապրանքների արտահանման մասին տեղեկություններ |
|
2 |
«Ապրանքների փաստացի արտահանումը։ Ապրանքների արտահանման մասին տեղեկություններ» (сасdо:FЕFасtDetails) վավերապայմանների թիվը պետք է համապատասխանի այն ապրանքների արտահանման փաստերի թվին, որոնց վերաբերյալ տեղեկատվությունն ստացվել է ապրանքների փաստացի արտահանման մասին տեղեկությունների հարցում (մշակում) կատարելու արդյունքներով |
|
3 |
«Մաքսային մարմնի պաշտոնատար անձ» (cacdo:CustomsPersonDetails) բարդ վավերապայմանի կազմում «Մաքսային մարմնի պաշտոնատար անձի ԱՀԿ–ի համարը» (саsdo:LNPIdenfier) վավերապայմանը պետք է լրացված լինի |
|
4 |
«Սահմանին գտնվող տրանսպորտային միջոցը» (cacdo:BorderTransportDetails) բարդ վավերապայմանի կազմում «Տրանսպորտային միջոցի վերաբերյալ տեղեկատվություն» (cacdo:CATrasportIdDetails) վավերապայմանը պետք է լրացված լինի |
|
5 |
«Ապրանքների փաստացի արտահանում։ Ապրանքի մասին տեղեկություններ» (cacdo:FEGoodsInfoDetails) բարդ վավերապայմանի կազմում «Փաստաթղթի հերթական համարը» (casdo:ConsignmentItemOrdinal) վավերապայմանը պետք է լրացված լինի, և այն պետք է պարունակի ապրանքների մասին հայտարարագրում առկա ապրանքի հերթական համարը |
|
6 |
«Ապրանքների փաստացի արտահանում։ Ապրանքի մասին տեղեկություններ» (саcdо:FЕGооdInfoDetails) բարդ վավերապայմանի կազմում «Ապրանքի ծածկագիրն ըստ ԵԱՏՄ ԱՏԳ ԱԱ-ի» (сsdо:СоmmoditуСоdе) վավերապայմանը պետք է լրացված լինի |
|
7 |
«Ապրանքների փաստացի արտահանում։ Ապրանքի մասին տեղեկություններ» (cacdo:FEGoodInfoDetails) բարդ վավերապայմանի կազմում «Համաքաշը» (csdo:UnifiedGrossMassMeasure) վավերապայմանը պետք է լրացված լինի |
|
8 |
«Ապրանքների փաստացի արտահանում։ Ապրանքի մասին տեղեկություններ» (cacdo:FEGoodinfoDetails) բարդ վավերապայմանի կազմում «Ապրանքների մնացորդը։ Լրացուցիչ չափման միավոր» (cacdo:RemainGoodsDetails) վավերապայմանը չի լրացվում |
|
9 |
«Ապրանքների փաստացի արտահանում։ Ապրանքի մասին տեղեկություններ» (cacdo:FEGoodinfoDetails) բարդ վավերապայմանի կազմում «Ապրանքի մնացորդը» (casdo:RemainGrossWeightMeasure) վավերապայմանը չի լրացվում |
|
10 |
«Ապրանքների փաստացի արտահանում։ Ապրանքի վերաբերյալ տեղեկատվություն արտահանման դեպքում» (cacdo:FEGoodinfoDetails) բարդ վավերապայմանի կազմում «Փաստաթղթի մասին տեղեկություններ» (саcdо:САDocDetails) վավերապայմանը պետք է լրացված լինի, և այն պետք է պարունակի տրանսպորտային (փոխադրման) փաստաթղթի մասին տեղեկություններ |
|
11 |
«Փաստաթղթի մասին տեղեկություններ» (саcdо:САDocDetails) բարդ վավերապայմանի կազմում «Փաստաթղթի տեսակի ծածկագիրը» (сsdо:DосKindCodе) վավերապայմանը պետք է լրացված լինի |
|
12 |
«Փաստաթղթի մասին տեղեկություններ» (cacdo:CADocDetails) բարդ վավերապայմանի կազմում «Փաստաթղթի համարը» (csdo:DocId) վավերապայմանը պետք է լրացված լինի |
|
ՀԱՍՏԱՏՎԱԾ Է Եվրասիական տնտեսական հանձնաժողովի կոլեգիայի 2016 թվականի հունիսի 2-ի թիվ 55 որոշմամբ |
ՆԿԱՐԱԳՐՈՒԹՅՈՒՆ
«Եվրասիական տնտեսական միության մաքսային տարածքի սահմաններից դուրս ապրանքների փաստացի արտահանման հսկողության և հաստատման գործընթացում Եվրասիական տնտեսական միության անդամ պետությունների մաքսային մարմինների միջև տեղեկությունների փոխանակման ապահովում» ընդհանուր գործընթացն արտաքին ու փոխադարձ առևտրի ինտեգրված տեղեկատվական համակարգի միջոցներով իրագործելու համար օգտագործվող Էլեկտրոնային փաստաթղթերի և տեղեկությունների ձևաչափերի ու կառուցվածքների
I. Ընդհանուր դրույթներ
1. Սույն նկարագրությունը մշակվել է Եվրասիական տնտեսական միության իրավունքի մաս կազմող հետևյալ ակտերին համապատասխան՝
«Եվրասիական տնտեսական միության մասին» 2014 թվականի մայիսի 29-ի պայմանագիր.
Մաքսային միության հանձնաժողովի 2010 թվականի հունիսի 18-ի «Եվրասիական տնտեսական միության մաքսային տարածքից ապրանքների փաստացի արտահանումը մեկնման վայրում տեղակայված մաքսային մարմնի կողմից հաստատելու կարգի մասին» թիվ 330 որոշում.
Եվրասիական տնտեսական հանձնաժողովի կոլեգիայի 2014 թվականի նոյեմբերի 6-ի «Ընդհանուր գործընթացներն արտաքին և փոխադարձ առևտրի ինտեգրված տեղեկատվական համակարգի միջոցներով իրագործելիս տեղեկատվական փոխգործակցությունը կանոնակարգող տեխնոլոգիական փաստաթղթերի մասին» թիվ 200 որոշում.
Եվրասիական տնտեսական հանձնաժողովի կոլեգիայի 2015 թվականի հունվարի 27-ի «Արտաքին և փոխադարձ առևտրի ինտեգրված տեղեկատվական համակարգում տվյալների էլեկտրոնային փոխանակման կանոնները հաստատելու մասին» թիվ 5 որոշում.
Եվրասիական տնտեսական հանձնաժողովի կոլեգիայի 2015 թվականի ապրիլի 14-ի «Եվրասիական տնտեսական միության շրջանակներում ընդհանուր գործընթացների ցանկի և Եվրասիական տնտեսական հանձնաժողովի կոլեգիայի 2014 թվականի օգոստոսի 19-ի թիվ 132 որոշման մեջ փոփոխություն կատարելու մասին» թիվ 29 որոշում.
Եվրասիական տնտեսական հանձնաժողովի կոլեգիայի 2015 թվականի հունիսի 9-ի «Եվրասիական տնտեսական միության շրջանակներում ընդհանուր գործընթացների վերլուծության, օպտիմալացման, ներդաշնակեցման և նկարագրության մեթոդիկայի մասին» թիվ 63 որոշում.
Եվրասիական տնտեսական հանձնաժողովի կոլեգիայի 2015 թվականի սեպտեմբերի 28-ի «Եվրասիական տնտեսական միության անդամ պետությունների պետական իշխանության մարմինների՝ միմյանց միջև և Եվրասիական տնտեսական հանձնաժողովի հետ անդրսահմանային փոխգործակցության ժամանակ էլեկտրոնային փաստաթղթերի փոխանակման վերաբերյալ հիմնադրույթի հաստատման մասին» թիվ 125 որոշում։
Սույն նկարագրությունը մշակվել է՝ հաշվի առնելով Մաքսային միության անդամ պետությունների մաքսային ծառայությունների միավորված կոլեգիայի 2015 թվականի հունիսի 4-ի թիվ 15/6 որոշմամբ հաստատված՝ Եվրասիական տնտեսական միության անդամ պետությունների մաքսային մարմինների միջև ապրանքների փաստացի արտահանման հսկողության և հաստատման համակարգերի օգտագործմամբ Եվրասիական տնտեսական միության մաքսային սահմանով ապրանքների փաստացի արտահանումը հաստատելու վերաբերյալ տեղեկատվության փոխանակման տեխնոլոգիայի դրույթները:
II. Կիրառության ոլորտը
2. Սույն նկարագրությամբ սահմանվում է «Եվրասիական տնտեսական միության մաքսային տարածքի սահմաններից դուրս ապրանքների փաստացի արտահանման հսկողության և հաստատման գործընթացում Եվրասիական տնտեսական միության անդամ պետությունների մաքսային մարմինների միջև տեղեկությունների փոխանակման ապահովում» ընդհանուր գործընթացի (այսուհետ՝ ընդհանուր գործընթաց) շրջանակներում տեղեկատվական փոխգործակցության ժամանակ օգտագործվող էլեկտրոնային փաստաթղթերի և տեղեկությունների ձևաչափերին ու կառուցվածքներին ներկայացվող պահանջները։
3. Սույն նկարագրությունը կիրառվում է արտաքին և փոխադարձ առևտրի ինտեգրված տեղեկատվական համակարգի (այսուհետ՝ ինտեգրված համակարգ) միջոցներով ընդհանուր գործընթացի ընթացակարգերն իրականացնելիս տեղեկատվական համակարգերի բաղադրիչների նախագծման, մշակման և լրամշակման ժամանակ:
4. Էլեկտրոնային փաստաթղթերի և տեղեկությունների ձևաչափերի ու կառուցվածքների նկարագրությունը ներկայացվում է աղյուսակի տեսքով՝ վավերապայմանների ամբողջական կազմի նշմամբ՝ հաշվի առնելով ստորակարգության մակարդակներն ընդհուպ մինչև պարզ (մասերի չբաժանվող) վավերապայմանները:
5. Աղյուսակում նկարագրվում է էլեկտրոնային փաստաթղթերի (տեղեկությունների) վավերապայմանների (այսուհետ` վավերապայմաններ) և տվյալների մոդելի տարրերի միանշանակ համապատասխանությունը:
6. Աղյուսակում կազմավորվում են հետևյալ դաշտերը (վանդակները)՝
«ստորակարգության համար»՝ վավերապայմանի հերթական համարը.
«վավերապայմանի անվանում»՝ վավերապայմանի հաստատված կամ պաշտոնական բառային նշագիրը.
«վավերապայմանի նկարագրություն»՝ վավերապայմանի իմաստը (իմաստաբանությունը) պարզաբանող տեքստ.
«նույնականացուցիչ»՝ վավերապայմանին համապատասխանող՝ տվյալների մոդելում տվյալների տարրի նույնականացուցիչը.
«արժեքների ոլորտ»՝ վավերապայմանի հնարավոր արժեքների բառային նկարագրությունը.
«բազմ.»՝ վավերապայմանների բազմաքանակություն. վավերապայմանի պարտադիր (կամընտրական) լինելը և հնարավոր կրկնությունների քանակը:
7. Վավերապայմանների բազմաքանակությունը նշելու համար օգտագործվում են հետևյալ նշագրերը.
1՝ վավերապայմանը պարտադիր է, կրկնություններ չեն թույլատրվում.
n՝ վավերապայմանը պարտադիր է, պետք է կրկնվի n անգամ (n > 1).
1..*՝ վավերապայմանը պարտադիր է, կարող է կրկնվել առանց սահմանափակումների.
n..*՝ վավերապայմանը պարտադիր է, պետք է կրկնվի ոչ պակաս, քան n անգամ (n > 1).
n..m՝ վավերապայմանը պարտադիր է, պետք է կրկնվի ոչ պակաս, քան n անգամ, և ոչ ավելի, քան m անգամ (n > 1, m > n).
0..1՝ վավերապայմանը կամընտրական է, կրկնություններ չեն թույլատրվում.
0..*՝ վավերապայմանը կամընտրական է, կարող է կրկնվել առանց սահմանափակումների.
0..m՝ վավերապայմանը կամընտրական է, կարող է կրկնվել ոչ ավելի, քան m անգամ (m > 1):
III. Հիմնական հասկացությունները
8. Սույն նկարագրության նպատակներով օգտագործվում են հասկացություններ, որոնք ունեն հետևյալ իմաստը՝
«անդամ պետություն»՝ Եվրասիական տնտեսական միության անդամ համարվող պետություն.
«ԱՀԿ»՝ մաքսային մարմինների պաշտոնատար անձի անձնական համարային այն կնիքը, որի դրոշմվածքը և պաշտոնատար անձի ստորագրությունը մաքսային փաստաթղթերում դնելով՝ հաստատվում է մաքսային գործառնության կատարումը.
«վավերապայման»՝ էլեկտրոնային փաստաթղթի (տեղեկությունների) տվյալների միավոր, որը որոշակի համատեքստում համարվում է անբաժանելի.
«ԵԱՏՄ ԱՏԳ ԱԱ»՝ Եվրասիական տնտեսական միության արտաքին տնտեսական գործունեության միասնական ապրանքային անվանացանկ։
Սույն նկարագրության մեջ օգտագործվող «տվյալների բազիսային մոդել», «տվյալների մոդել», «առարկայական ոլորտի տվյալների մոդել», «առարկայական ոլորտ» և «էլեկտրոնային փաստաթղթերի և տեղեկությունների կառուցվածքների ռեեստր» հասկացությունները գործածվում են Եվրասիական տնտեսական հանձնաժողովի կոլեգիայի 2015 թվականի հունիսի 9–ի թիվ 63 որոշմամբ հաստատված՝ Եվրասիական տնտեսական միության շրջանակներում ընդհանուր գործընթացների վերլուծության, օպտիմալացման, ներդաշնակեցման և նկարագրության մեթոդիկայով սահմանված իմաստներով։
Սույն նկարագրության մեջ օգտագործվող մյուս հասկացությունները կիրառվում են Եվրասիական տնտեսական հանձնաժողովի կոլեգիայի 2016 թվականի հունիսի 2-ի թիվ 55 որոշմամբ հաստատված՝ «Եվրասիական տնտեսական միության մաքսային տարածքի սահմաններից դուրս ապրանքների փաստացի արտահանման հսկողության և հաստատման գործընթացում Եվրասիական տնտեսական միության անդամ պետությունների մաքսային մարմինների միջև տեղեկությունների փոխանակման ապահովում» ընդհանուր գործընթացն արտաքին և փոխադարձ առևտրի ինտեգրված տեղեկատվական համակարգի միջոցներով իրագործելիս Տեղեկատվական փոխգործակցության կանոնների 4-րդ կետում սահմանված իմաստներով։
Սույն նկարագրության 4-րդ, 7-րդ, 10-րդ, 13-րդ, 16-րդ և 19-րդ աղյուսակներում Տեղեկատվական փոխգործակցության կանոնակարգ ասելով՝ հասկացվում է Եվրասիական տնտեսական հանձնաժողովի կոլեգիայի 2016 թվականի հունիսի 2-ի թիվ 55 որոշմամբ հաստատված՝ «Եվրասիական տնտեսական միության մաքսային տարածքի սահմաններից դուրս ապրանքների փաստացի արտահանման հսկողության և հաստատման գործընթացում Եվրասիական տնտեսական միության անդամ պետությունների մաքսային մարմինների միջև տեղեկությունների փոխանակման ապահովում» ընդհանուր գործընթացի արտաքին ու փոխադարձ առևտրի ինտեգրված տեղեկատվական համակարգի իրականացման ժամանակ Եվրասիական տնտեսական միության անդամ պետությունների լիազորված մարմինների միջև տեղեկատվական փոխգործակցության կանոնակարգը։
IV. Էլեկտրոնային փաստաթղթերի և տեղեկությունների կառուցվածքները
9. Էլեկտրոնային փաստաթղթերի և տեղեկությունների կառուցվածքների ցանկը բերված է 1-ին աղյուսակում:
Աղյուսակ 1
Էլեկտրոնային փաստաթղթերի և տեղեկությունների կառուցվածքների ցանկը
|
Թիվ ը/կ |
Նույնականացուցիչը |
Անվանումը |
Անվանատարածքը |
|
1 |
2 |
3 |
4 |
|
1 |
Էլեկտրոնային փաստաթղթերի և տեղեկությունների կառուցվածքները բազիսային մոդելում | ||
|
1.1 |
R.006 |
մշակման արդյունքի մասին ծանուցում |
urn:EEC:R:ProcessingResultD etails:vY.Y.Y |
|
2 |
Էլեկտրոնային փաստաթղթերի և տեղեկությունների կառուցվածքները «Մաքսային վարչարարություն» առարկայական ոլորտում | ||
|
2.1 |
R.CA.CP.02.001 |
արտահանվող ապրանքների մասին տեղեկությունների հարցում |
urn:EEC:R:CA:CP:02:ExportQ uery:vl.0.0 |
|
2.2 |
R.CA.CP.02.002 |
ապրանքների փաստացի արտահանման հաստատումը չեղյալ համարելու մասին տեղեկություններ |
urn:EEC:R:CA:CP:02:ExportC ancellation:v1.0.0 |
|
2.3 |
R.CA.CP.02.003 |
ապրանքների փաստացի արտահանման մասին տեղեկություններ |
urn:EEC:R:CA:CP:02:ExportN otification:vl.0.0 |
|
2.4 |
R.CA.CP.02.004 |
բաց թողնված ապրանքների մասին տեղեկություններ |
urn:EEC:R:CA:CP:02:ExportI nformation:v1.0.0 |
|
2.5 |
R.CA.CP.02.005 |
ապրանքների փաստացի արտահանման մասին տեղեկությունների հարցում |
urn:EEC:R:CA:CP:02:Factual ExportQuery:vl .0.0 |
Էլեկտրոնային փաստաթղթերի և տեղեկությունների կառուցվածքների անվանատարածքներում «Y.Y.Y» պայմանանշանները համապատասխանում են Եվրասիական տնտեսական հանձնաժողովի կոլեգիայի 2016 թվականի հունիսի 2-ի թիվ 55 որոշման 2-րդ կետին համապատասխան էլեկտրոնային փաստաթղթի (տեղեկությունների) կառուցվածքի տեխնիկական սխեմայի մշակման ժամանակ օգտագործված տվյալների բազիսային մոդելի տարբերակի համարին համապատասխան սահմանված էլեկտրոնային փաստաթղթի (տեղեկությունների) կառուցվածքի տարբերակի համարին:
1. Էլեկտրոնային փաստաթղթերի և տեղեկությունների կառուցվածքները բազիսային մոդելում
10. «Մշակման արդյունքի մասին ծանուցում» (R.006) էլեկտրոնային փաստաթղթի (տեղեկությունների) կառուցվածքի նկարագրությունը բերված է 2-րդ աղյուսակում:
Աղյուսակ 2
«Մշակման արդյունքի մասին ծանուցում» (R.006) էլեկտրոնային փաստաթղթի (տեղեկությունների) կառուցվածքի նկարագրությունը
|
Թիվ ը/կ |
Տարրի նշագիրը |
Նկարագրությունը |
|
1 |
2 |
3 |
|
1 |
Անվանումը |
մշակման արդյունքի մասին ծանուցում |
|
2 |
Նույնականացուցիչը |
R.006 |
|
3 |
Տարբերակը |
Y.Y.Y |
|
1 |
2 |
3 |
|
4 |
Սահմանումը |
ռեսպոնդենտի կողմից հարցումը մշակելու արդյունքի մասին տեղեկություններ |
|
5 |
Օգտագործումը |
- |
|
6 |
Անվանատարածքի նույնականացուցիչը |
urn:EEC:R:ProcessingResultDetails:vY.Y.Y |
|
7 |
XML փաստաթղթի հիմնական տարրը |
ProcessingResultDetails |
|
8 |
XML սխեմայի նիշքի (ֆայլի) անվանումը |
EEC_R_ProcessingResultDetails_vY.Y.Y.xsd |
Էլեկտրոնային փաստաթղթի և տեղեկությունների կառուցվածքի անվանատարածքներում «Y.Y.Y» պայմանանշանները համապատասխանում են Եվրասիական տնտեսական հանձնաժողովի կոլեգիայի 2016 թվականի հունիսի 2-ի թիվ 55 որոշման 2-րդ կետին համապատասխան էլեկտրոնային փաստաթղթի (տեղեկությունների) կառուցվածքի տեխնիկական սխեմայի մշակման ժամանակ օգտագործված տվյալների բազիսային մոդելի տարբերակի համարին համապատասխան սահմանված էլեկտրոնային փաստաթղթի (տեղեկությունների) կառուցվածքի տարբերակի համարին:
11. Ներմուծվող անվանատարածքները բերված են 3-րդ աղյուսակում։
Աղյուսակ 3
Ներմուծվող անվանատարածքները
|
Թիվ ը/կ |
Անվանատարածքների նույնականացուցիչը |
Նախածանցը |
|
1 |
2 |
3 |
|
1 |
urn:EEC:M:ComplexDataObjects:vX.X.X |
ccdo |
|
2 |
urn:EEC:M:SimpleDataObjects:vX.X.X |
csdo |
Ներմուծվող անվանատարածքներում «X.X.X» պայմանանշանները համապատասխանում են Եվրասիական տնտեսական հանձնաժողովի կոլեգիայի 2016 թվականի հունիսի 2-ի թիվ 55 որոշման 2-րդ կետին համապատասխան՝ էլեկտրոնային փաստաթղթի (տեղեկությունների) կառուցվածքի տեխնիկական սխեմայի մշակման և հաստատման ժամանակ օգտագործված տվյալների բազիսային մոդելի տարբերակի համարին:
12. «Մշակման արդյունքի մասին ծանուցում» (R.006) էլեկտրոնային փաստաթղթի (տեղեկությունների) կառուցվածքի վավերապայմանների կազմը բերված է 4–րդ աղյուսակում:
Աղյուսակ 4
«Մշակման արդյունքի մասին ծանուցում» (R.006) էլեկտրոնային փաստաթղթի (տեղեկությունների) կառուցվածքի վավերապայմանային կազմը
|
Վավերապայմանի անվանումը |
Վավերապայմանի նկարագրությունը |
Նույնականացուցիչը |
Տվյալների տիպը |
Բազմ. | |
|
1. Էլեկտրոնային փաստաթղթի (տեղեկությունների) վերնագիրը (ccdo:EDocHeader) |
էլեկտրոնային փաստաթղթի (տեղեկությունների) տեխնոլոգիական վավերապայմանների ամբողջությունը |
M.CDE.90001 |
ccdo:EDocHeaderType (M.CDT.90001) Սահմանվում է ներդրված տարրերի արժեքների ոլորտներով |
1 | |
|
1.1. Ընդհանուր գործընթացի հաղորդագրության ծածկագիրը (csdo:InfEnvelopeCode) |
ընդհանուր գործընթացի հաղորդագրության ծածկագրային նշագիրը |
M.SDE.90010 |
csdo:InfEnvelopeCodeTуре (M.SDT.90004)Ծածկագրի արժեքը՝ Տեղեկատվական փոխգործակցության կանոնակարգին համապատասխան: |
1 | |
|
1.2. Էլեկտրոնային փաստաթղթի (տեղեկությունների) ծածկագիրը (csdo:EDocCode) |
էլեկտրոնային փաստաթղթի (տեղեկությունների) ծածկագրային նշագիրը՝ էլեկտրոնային փաստաթղթերի և տեղեկությունների կառուցվածքների ռեեստրին համապատասխան |
M.SDE.90001 |
csdo:EDocCodeType (M.SDT.90001) Ծածկագրի արժեքը՝ էլեկտրոնային փաստաթղթերի և տեղեկությունների կառուցվածքների ռեեստրին համապատասխան: |
1 | |
|
1.3 Էլեկտրոնային փաստաթղթի (տեղեկությունների) նույնականացուցիչը (csdo:EDocId) |
էլեկտրոնային փաստաթուղթը (տեղեկությունները) միանշանակ նույնականացնող պայմանանշանների տողը |
M.SDE.90007 |
csdo:UniversallyUniqueldType (M.SDT.90003) Նույնականացուցչի արժեքը՝ ISO/IEC 9834-8-ին համապատասխան։ Ձևանմուշ՝ [0-9a-fA-F]{8}-[0-9a-fA- F] {4}-[0-9a-fA-F] {4}-[0-9a-fA-F] {4}- [0-9a-fA-F] {12} |
1 | |
|
1.4 Սկզբնական էլեկտրոնային փաստաթղթի (տեղեկությունների) նույնականացուցիչը (csdo:EDocRefld) |
էլեկտրոնային փաստաթղթի (տեղեկությունների) նույնականացուցիչը, որին ի պատասխան ձևավորվել է տվյալ էլեկտրոնային փաստաթուղթը (տեղեկությունները) |
M.SDE.90008 |
csdo:UniversallyUniqueldType (M.SDT.90003) Նույնականացուցչի արժեքը՝ ISO/IEC 9834-8-ին համապատասխան։ Ձևանմուշ՝ [0-9a-fA-F] {8}-[0-9a-fA- F] {4}-[0-9a-fA-F] {4}-[0-9a-fA-F] {4}- [0-9a-fA-F] {12} |
0..1 | |
|
1.5. Էլեկտրոնային փաստաթղթի (տեղեկությունների) ամսաթիվը և ժամը (csdo:EDocDateTime) |
էլեկտրոնային փաստաթղթի (տեղեկությունների) ստեղծման ամսաթիվը և ժամը |
M.SDE.90002 |
bdt:DateTimeType (M.BDT.00006) Ամսաթվի և ժամի նշագիրը՝ ԳՕՍՏ ԻՍՕ 8601-2001–ին համապատասխան |
1 | |
|
1.6 Լեզվի ծածկագիրը (csdo:LanguageCode) |
լեզվի ծածկագրային նշագիրը |
M.SDE.00051 |
csdo:LanguageCodeTуре (M.SDT.00051) Լեզվի երկտառ ծածկագիրը՝ ISO 639-1-ին համապատասխան: Ձևանմուշ՝ [a-z]{2} |
0..1 | |
|
2. Ամսաթիվը և ժամը (csdo:EventDateTime) |
տեղեկությունների մշակման ավարտի ամսաթիվը և ժամը |
M.SDE.00132 |
bdt:DateTimeType (M.BDT.00006) Ամսաթվի և ժամի նշագիրը՝ ԳՕՍՏ ԻՍՕ 8601-2001-ին համապատասխան |
1 | |
|
3. Մշակման արդյունքի ծածկագիրը (csdo:ProcessingResultV2Code) |
ստացված էլեկտրոնային փաստաթղթի (տեղեկությունների)՝ ընդհանուր գործընթացի մասնակցի տեղեկատվական համակարգի միջոցով մշակման արդյունքի ծածկագրային նշագիրը |
M.SDE.90014 |
csdo։ ProcessingResultCodeV2Tуре (M.SDT.90006) Ծածկագրի արժեքը՝ էլեկտրոնային փաստաթղթերի և տեղեկությունների մշակման արդյունքների դասակարգչին համապատասխան |
1 | |
|
4. Նկարագրությունը (csdo:DescriptionText) |
տեղեկությունների մշակման արդյունքի նկարագրությունն ազատ ձևով |
M.SDE.00002 |
csdo:Text4000Type (M.SDT.00088) Պայմանանշանների տողը։ Նվազ. երկարությունը՝ 1։ Առավ. երկարությունը՝ 4000 |
0..1 | |
2. Էլեկտրոնային փաստաթղթերի և տեղեկությունների կառուցվածքները «Մաքսային վարչարարություն» առարկայական ոլորտում
13. «Արտահանվող ապրանքների մասին տեղեկությունների հարցում» (R.CA.CP.02.001) Էլեկտրոնային փաստաթղթի (տեղեկությունների) կառուցվածքի նկարագրությունը բերված է 5–րդ աղյուսակում
Աղյուսակ 5
«Արտահանվող ապրանքների մասին տեղեկությունների հարցում» (R.CA.CP.02.001) Էլեկտրոնային փաստաթղթի (տեղեկությունների) կառուցվածքի նկարագրությունը
|
Թիվ ը/կ |
Տարրի նշագիրը |
Նկարագրությունը |
|
1 |
2 |
3 |
|
1 |
Անվանումը |
արտահանվող ապրանքների մասին տեղեկությունների հարցում |
|
2 |
Նույնականացուցիչը |
R.CA.CP.02.001 |
|
3 |
Տարբերակը |
1.0.0 |
|
4 |
Սահմանումը |
արտահանվող ապրանքների մասին տեղեկությունների հարցում |
|
5 |
Օգտագործումը |
- |
|
6 |
Անվանատարածքի նույնականացուցիչը |
urn:EEC:R:CA:CP:02:ExportQuery:v1.0.0 |
|
7 |
XML փաստաթղթի հիմնական տարրը |
ExportQuery |
|
8 |
XML սխեմայի նիշքի անվանումը |
EEC_R_CA CP 02 ExportQuery_vl.O.O.xsd |
14. Ներմուծվող անվանատարածքները բերված են 6–րդ աղյուսակում։
Աղյուսակ 6
Ներմուծվող անվանատարածքները
|
Թիվ ը/կ |
Անվանատարածքի նույնականացուցիչը |
Նախածանցը |
|
1 |
2 |
3 |
|
1 |
urn:EEC:M:CA:ComplexDataObjects:vX.X.X |
cacdo |
|
2 |
urn:EEC:M:CA:SimpleDataObjects:vX.X.X |
casdo |
|
3 |
urn:EEC:M:ComplexDataObjects:vX.X.X |
ccdo |
|
4 |
urn:EEC:M:SimpleDataObjects:vX.X.X |
csdo |
Ներմուծվող անվանատարածքներում «X.X.X» պայմանանշանները համապատասխանում են Եվրասիական տնտեսական հանձնաժողովի կոլեգիայի 2016 թվականի հունիսի 2–ի թիվ 55 որոշման 2–րդ կետին համապատասխան Էլեկտրոնային փաստաթղթի (տեղեկությունների) կառուցվածքի տեխնիկական սխեմայի մշակման ժամանակ օգտագործված տվյալների բազիսային մոդելի և առարկայական ոլորտի տվյալների մոդելի տարբերակի համարին։
15. «Արտահանվող ապրանքների մասին տեղեկությունների հարցում» (R.CA.CP.02.001) Էլեկտրոնային փաստաթղթի (տեղեկությունների) կառուցվածքի վավերապայմանների կազմը բերված է 7–րդ աղյուսակում։
Աղյուսակ 7
«Արտահանվող ապրանքների մասին տեղեկությունների հարցում» (R.CA.CP.02.001) Էլեկտրոնային փաստաթղթի (տեղեկությունների) կառուցվածքի վավերապայմանների կազմը
|
Վավերապայմանի անվանումը |
Վավերապայմանի նկարագրությունը |
Նույնականացուցիչը |
Տվյալների տիպը |
Բազմ. |
|
1. Էլեկտրոնային փաստաթղթի (տեղեկությունների) վերնագիրը (ccdo:EDocHeader) |
Էլեկտրոնային փաստաթղթի (տեղեկությունների) տեխնոլոգիական վավերապայմանների ամբողջությունը |
M.CDE.90001 |
ccdo:EDocHeaderType (M.CDT.90001) Որոշվում է ներդրված տարրերի արժեքների ոլորտներով |
1 |
|
1.1. Ընդհանուր գործընթացի հաղորդագրության ծածկագիրը (csdo:InfEnvelopeCode) |
ընդհանուր գործընթացի հաղորդագրության ծածկագրային նշագիրը |
M.SDE.90010 |
csdo:InfEnvelopeCodeType (M.SDT.90004) Ծածկագրի արժեքը՝ Տեղեկատվական փոխգործակցության կանոնակարգին համապատասխան: Ձևանմուշ՝ P\.[A-Z] {2}\.[0- 9]{2}\.MSG\.[0-9]{3} |
1 |
|
1.2. Էլեկտրոնային փաստաթղթի (տեղեկությունների) ծածկագիրը (csdo:EDocCode) |
Էլեկտրոնային փաստաթղթի (տեղեկությունների) ծածկագրային նշագիրը՝ էլեկտրոնային փաստաթղթերի և տեղեկությունների կառուցվածքների ռեեստրին համապատասխան |
M.SDE.90001 |
csdo:EDocCodeType (M.SDT.90001) Ծածկագրի արժեքը՝ էլեկտրոնային փաստաթղթերի և տեղեկությունների կառուցվածքների ռեեստրին համապատասխան։ Ձևանմուշ՝ R(\.[A-Z] {2}\.[A-Z] (2}\.[0- 9]{2})?\.[0-9]{3} |
1 |
|
1.3. Էլեկտրոնային փաստաթղթի (տեղեկությունների) նույնականացուցիչը (csdo:EDocId) |
էլեկտրոնային փաստաթուղթը (տեղեկությունները) միանշանակ նույնականացնող պայմանանշանների տողը |
M.SDE.90007 |
csdo:UniversallyUniqueIdType (M.SDT.90003) Նույնականացուցչի արժեքը՝ ISO/IEC 9834-8–ին համապատասխան։ Ձևանմուշ՝ [0-9a-fA-F]{8}-[0-9a-fA- F] {4}-[0-9a-fA-F] {4}-[0-9a-fA-F] {4}- [0-9a-fA-F] {12} |
1 |
|
1.4. Սկզբնական Էլեկտրոնային փաստաթղթի (տեղեկությունների) նույնականացուցիչը (csdo։ EDocRefId) |
Էլեկտրոնային փաստաթղթի (տեղեկությունների) նույնականացուցիչը, որին ի պատասխան ձևավորվել է տվյալ էլեկտրոնային փաստաթուղթը (տեղեկությունները) |
M.SDE.90008 |
csdo:UniversallyUniqueIdType (M.SDT.90003) Նույնականացուցչի արժեքը՝ ISO/IEC 9834-8–ին համապատասխան։ Ձևանմուշ՝ [0-9a-fA-F]{8}-[0-9a-fA- F] {4}-[0-9a-fA-F] {4}-[0-9a-fA-F] {4}- [0-9a-fA-F] {12} |
0..1 |
|
1.5. Էլեկտրոնային փաստաթղթի (տեղեկությունների) ամսաթիվը և ժամը (csdo:EDocDateTime) |
Էլեկտրոնային փաստաթղթի (տեղեկությունների) ստեղծման ամսաթիվը և ժամը |
M.SDE.90002 |
bdt:DateTimeType (M.BDT.00006) Ամսաթվի և ժամի նշագիրը՝ ԳՕՍՏ ԻՍՕ 8601–2001-ին համապատասխան |
1 |
|
1.6. Լեզվի ծածկագիրը (csdo:LanguageCode) |
լեզվի ծածկագրային նշագիրը |
M.SDE.00051 |
csdo:LanguageCodeType (M.SDT.00051) Լեզվի երկտառ ծածկագիրը՝ ISO 639-1-ին համապատասխան: Ձևանմուշ՝ [a-z]{2} |
0..1 |
|
2. Մաքսային հայտարարագրի գրանցման համարը (cacdo:CustomsDeclarationIdDetails) |
ապրանքների մասին հայտարարագրի գրանցման համարը |
M.CA.CDE.00291 |
cacdo:CustomsDocumentIdDetailsType (M.CA.CDT.00258) Որոշվում է ներդրված տարրերի արժեքների ոլորտներով |
1 |
|
2.1. Մաքսային մարմնի ծածկագիրը (casdo:CustomsOfficeCode) |
մաքսային մարմնի ծածկագիրը |
M.CA.SDE.00034 |
casdo:CustomsOfficeCodeTуре (M.CA.SDT.00025) Ծածկագրի արժեքը՝ Եվրասիական տնտեսական միության անդամ պետությունների մաքսային մարմինների դասակարգչին համապատասխան։ Ձևանմուշ՝ [0-9]{2}|[0-9]{5}|[0-9]{8} |
1 |
|
2.2. Փաստաթղթի ամսաթիվը (csdo:DocCreationDate) |
փաստաթղթի տրման, ստորագրման, հաստատման կամ գրանցման ամսաթիվը |
M.SDE.00045 |
bdt:DateType (M.BDT.00005) Ամսաթվի նշագիրը՝ ԳՕՍՏ ԻՍՕ 8601–2001-ին համապատասխան |
1 |
|
2.3. Մաքսային փաստաթղթի հերթական համարն ըստ գրանցման մատյանի (casdo:CustomsDocumentId) |
մաքսային փաստաթղթի հերթական համարն ըստ գրանցման մատյանի |
M.CA.SDE.00478 |
casdo:CustomsDocumentIdType (M.CA.SDT.00118) Պայմանանշանների նորմալացված տողը: Նվազ. երկարությունը՝ 5։ Առավ. երկարությունը՝ 7 |
1 |
|
3. Ապրանքի հերթական համարը (casdo:ConsignmentItemOrdinal) |
ապրանքների մասին հայտարարագրում ապրանքի համարը |
M.CA.SDE.00183 |
casdo:Ordinal3NumberType (M.CA.SDT.00140) Հաշվարկի տասնորդական համակարգում ամբողջ ոչ բացասական թիվը: Ձևանմուշ՝ /d{l,3} |
1..* |
|
4. Մաքսային մարմինը (cacdo:UnifiedCustomsOfficeDetails) |
հարցումը ձևավորած մաքսային մարմնի մասին տեղեկություններ |
M.CA.CDE.00358 |
cacdo:UnifiedCustomsOfficeDetails Type (M.CA.CDT.00315) Որոշվում է ներդրված տարրերի արժեքների ոլորտներով |
1 |
|
4.1. Մաքսային մարմնի ծածկագիրը (casdo:CustomsOfficeCode) |
մաքսային մարմնի ծածկագիրը |
M.CA.SDE.00034 |
casdo:CustomsOfficeCodeType (M.CA.SDT.00025) Ծածկագրի արժեքը՝ Եվրասիական տնտեսական միության անդամ պետությունների մաքսային մարմինների դասակարգչին համապատասխան։ Ձևանմուշ՝ [0-9]{2}|[0-9]{5}|[0-9]{8} |
1 |
|
4.2. Մաքսային մարմնի անվանումը (casdo:CustomsOfficeName) |
մաքսային մարմնի անվանումը |
M.CA.SDE.00035 |
casdo:CustomsOfficeNameType (M.CA.SDT.00026) Մաքսային մարմնի անվանումը՝ Եվրասիական տնտեսական միության անդամ պետությունների մաքսային մարմինների դասակարգչին համապատասխան։ Նվազ. երկարությունը՝ 1։ Առավ. երկարությունը՝ 50 |
0..1 |
|
4.3. Երկրի ծածկագիրը (csdo:UnifiedCountryCode) |
երկրի ծածկագրային նշագիրը |
M.SDE.00162 |
csdo:UnifiedCountryCodeType (M.SDT.00112) Երկտառ ծածկագրի արժեքը՝ աշխարհի երկրների դասակարգչին համապատասխան, որը սահմանված է «Տեղեկատուի (դասակարգչի) նույնականացուցիչ» հատկանիշով։ Ձևանմուշ՝ [A-Z] {2} |
0..1 |
|
ա) տեղեկատուի (դասակարգչի) նույնականացուցիչը (հատկանիշ codeListId) |
տեղեկատուի (դասակարգչի) նշագիրը, որին համապատասխան նշված է ծածկագիրը |
- |
csdo:ReferenceDataIdType (M.SDT.00091) Պայմանանշանների նորմալացված տող, որը չի պարունակում տողի ընդհատման (#xA) և սյունատների (տաբուլյացիաների) (#x9) պայմանանշաններ: Նվազ. երկարությունը՝ 1։ Առավ. երկարությունը՝ 20 |
1 |
|
5. Մաքսային մարմնի պաշտոնատար անձը (cacdo:CustomsPersonDetails) |
հարցումը ձևավորած մաքսային մարմնի պաշտոնատար անձի մասին տեղեկություններ |
M.CA.CDE.00096 |
cacdo:CustomsPersonDetailsTуре (M.CA.CDT.00209) Որոշվում է ներդրված տարրերի արժեքների ոլորտներով |
1 |
|
5.1. ԱԱՀ (ccdo:FullNameDetails) |
ազգանուն, անուն, հայրանուն |
M.CDE.00029 |
ccdo:FullNameDetailsType (M.CDT.00016) Որոշվում է ներդրված տարրերի արժեքների ոլորտներով |
0..1 |
|
5.1.1. Անունը (csdo:FirstName) |
ֆիզիկական անձի անունը |
M.SDE.00109 |
csdo:Name120Type (M.SDT.00055) Պայմանանշանների նորմալացված տող, որը չի պարունակում տողի ընդհատման (#xA) և սյունատների (#x9) պայմանանշաններ: Նվազ. երկարությունը՝ 1։ Առավ. երկարությունը՝ 120 |
0..1 |
|
5.1.2. Հայրանունը (csdo:MiddleName) |
ֆիզիկական անձի հայրանունը (երկրորդ կամ միջին անունը) |
M.SDE.00111 |
csdo:Name120Type (M.SDT.00055) Պայմանանշանների նորմալացված տող, որը չի պարունակում տողի ընդհատման (#xA) և սյունատների (#x9) պայմանանշաններ: Նվազ. երկարությունը՝ 1։ Առավ. երկարությունը՝ 120 |
0..1 |
|
5.1.3. Ազգանունը (csdo:LastName) |
ֆիզիկական անձի ազգանունը |
M.SDE.00110 |
csdo:Name120Type (M.SDT.00055) Պայմանանշանների նորմալացված տող, որը չի պարունակում տողի ընդհատման (#xA) և սյունատների (#x9) պայմանանշաններ: Նվազ. երկարությունը՝ 1։ Առավ. երկարությունը՝ 120 |
0..1 |
|
5.2. Պաշտոնի անվանումը (csdo:PositionName) |
աշխատակցի պաշտոնի անվանումը |
M.SDE.00127 |
csdo:Name120Type (M.SDT.00055) Պայմանանշանների նորմալացված տող, որը չի պարունակում տողի ընդհատման (#xA) և սյունատների (#x9) պայմանանշաններ: Նվազ. երկարությունը՝ 1։ Առավ. երկարությունը՝ 120 |
0..1 |
|
5.3. Մաքսային մարմնի պաշտոնատար անձի ԱՀԿ-ի համարը (casdo:LNPIdentifier) |
մաքսային մարմնի պաշտոնատար անձի ԱՀԿ-ի համարը |
M.CA.SDE.00413 |
casdo:LNPIdentifierType (M.CA.SDT.00090) Պայմանանշանների նորմալացված տող: Նվազ. երկարությունը՝ 1։ Առավ. երկարությունը՝ 4 |
0..1 |
|
5.4. Մաքսային մարմնի ծածկագիրը՝ ԱՀԿ-ի դրոշմվածքի վրա (casdo:LNPCustomsOfficeCode) |
մաքսային մարմնի՝ ԱՀԿ-ի դրոշմվածքի վրա նշված ծածկագիրը |
M.CA.SDE.00414 |
casdo:CustomsOfficeCodeType (M.CA.SDT.00025) Ծածկագրի արժեքը՝ Եվրասիական տնտեսական միության անդամ պետությունների մաքսային մարմինների դասակարգչին համապատասխան։ Ձևանմուշ՝ [0-9]{2}|[0-9]{5}|[0-9]{8} |
0..1 |
|
6. Ամսաթիվը և ժամը (csdo:EventDateTime) |
հարցումը ձևավորելու ամսաթիվը և ժամը |
M.SDE.00132 |
bdt:DateTimeType (M.BDT.00006) Ամսաթվի և ժամի նշագիրը՝ ԳՕՍՏ ԻՍՕ 8601–2001-ին համապատասխան |
1 |
16. «Ապրանքների փաստացի արտահանման հաստատումը չեղյալ համարելու մասին տեղեկություններ» (R.CA.CP.02.002) Էլեկտրոնային փաստաթղթի (տեղեկությունների) կառուցվածքի նկարագրությունը բերված է 8-րդ աղյուսակում։
Աղյուսակ 8
«Ապրանքների փաստացի արտահանման հաստատումը չեղյալ համարելու մասին տեղեկություններ» (R.CA.CP.02.002) Էլեկտրոնային փաստաթղթի (տեղեկությունների) կառուցվածքի նկարագրությունը
|
Թիվ ը/կ |
Տարրի նշագիրը |
Նկարագրությունը |
|
1 |
2 |
3 |
|
1 |
Անվանումը |
ապրանքների փաստացի արտահանման հաստատումը չեղյալ համարելու մասին տեղեկություններ |
|
2 |
Նույնականացուցիչը |
R.CA.CP.02.002 |
|
3 |
Տարբերակը |
1.0.0 |
|
4 |
Սահմանումը |
ապրանքների փաստացի արտահանումը չեղյալ համարելու մասին տեղեկություններ |
|
5 |
Օգտագործումը |
- |
|
6 |
Անվանատարածքի նույնականացուցիչը |
urn:EEC:R:СА:СР:02:ExportCancellation:v1.0.0 |
|
7 |
XML փաստաթղթի հիմնական տարրը |
ExportCancellation |
|
8 |
XML սխեմայի նիշքի անվանումը |
EEC_R_CA_CP_02_ExportCancellation_vl.O.O.xsd |
17. Ներմուծվող անվանատարածքները բերված են 9-րդ աղյուսակում։
Աղյուսակ 9
Ներմուծվող անվանատարածքները
|
Թիվ ը/կ |
Անվանատարածքի նույնականացուցիչը |
Նախածանցը |
|
1 |
2 |
3 |
|
1 |
urn:EEC:M:CA:ComplexDataObjects:vX.X.X |
cacdo |
|
2 |
urn:EEC:M:CA:SimpleDataObjects:vX.X.X |
casdo |
|
3 |
urn:EEC:M:ComplexDataObjects:vX.X.X |
ccdo |
|
4 |
urn:EEC:M:SimpleDataObjects:vX.X.X |
csdo |
Ներմուծվող անվանատարածքներում «X.X.X» պայմանանշանները համապատասխանում են Եվրասիական տնտեսական հանձնաժողովի կոլեգիայի 2016 թվականի հունիսի 2–ի թիվ 55 որոշման 2–րդ կետին համապատասխան Էլեկտրոնային փաստաթղթի (տեղեկությունների) կառուցվածքի տեխնիկական սխեմայի մշակման ժամանակ օգտագործված տվյալների բազիսային մոդելի և առարկայական ոլորտի տվյալների մոդելի տարբերակի համարին։
18. «Ապրանքների փաստացի արտահանման հաստատումը չեղյալ համարելու մասին տեղեկություններ» (R.CA.CP.02.002) Էլեկտրոնային փաստաթղթի (տեղեկությունների) կառուցվածքի վավերապայմանների կազմը բերված է 10-րդ աղյուսակում։
Աղյուսակ 10
«Ապրանքների փաստացի արտահանման հաստատումը չեղյալ համարելու մասին տեղեկություններ» (R.CA.CP.02.002) Էլեկտրոնային փաստաթղթի (տեղեկությունների) կառուցվածքի վավերապայմանների կազմը
|
Վավերապայմանի անվանումը |
Վավերապայմանի նկարագրությունը |
Նույնականացուցիչը |
Տվյալների տիպը |
Բազմ. |
|
1. Էլեկտրոնային փաստաթղթի (տեղեկությունների) վերնագիրը (ccdo:EDocHeader) |
Էլեկտրոնային փաստաթղթի (տեղեկությունների) տեխնոլոգիական վավերապայմանների ամբողջությունը |
M.CDE.90001 |
ccdo:EDocHeaderType (M.CDT.90001) Որոշվում է ներդրված տարրերի արժեքների ոլորտներով |
1 |
|
1.1. Ընդհանուր գործընթացի հաղորդագրության ծածկագիրը (csdo:InfEnvelopeCode) |
ընդհանուր գործընթացի հաղորդագրության ծածկագրային նշագիրը |
M.SDE.90010 |
csdo:InfEnvelopeCodeTуре (M.SDT.90004) Ծածկագրի արժեքը՝ Տեղեկատվական փոխգործակցության կանոնակարգին համապատասխան: Ձևանմուշ՝ P\.[A-Z] {2}\.[0- 9]{2}\.MSG\.[0-9]{3} |
1 |
|
1.2. Էլեկտրոնային փաստաթղթի (տեղեկությունների) ծածկագիրը (csdo:EDocCode) |
Էլեկտրոնային փաստաթղթի (տեղեկությունների) ծածկագրային նշագիրը՝ էլեկտրոնային փաստաթղթերի և տեղեկությունների կառուցվածքների ռեեստրին համապատասխան |
M.SDE.90001 |
csdo:EDocCodeType (M.SDT.90001) Ծածկագրի արժեքը՝ էլեկտրոնային փաստաթղթերի և տեղեկությունների կառուցվածքների ռեեստրին համապատասխան։ Ձևանմուշ՝ R(\.[A-Z] {2}\.[A-Z] {2}\.[0- 9]{2})?\.[0-9]{3} |
1 |
|
1.3. Էլեկտրոնային փաստաթղթի (տեղեկությունների) նույնականացուցիչը (csdo:EDocId) |
էլեկտրոնային փաստաթուղթը (տեղեկությունները) միանշանակ նույնականացնող պայմանանշանների տողը |
M.SDE.90007 |
csdo:UniversallyUniqueIdTуре (M.SDT.90003) Նույնականացուցչի արժեքը՝ ISO/IEC 9834-8–ին համապատասխան։ Ձևանմուշ՝ [0-9a-fA-F]{8}-[0-9a-fA- F] {4}-[0-9a-fA-F] {4}-[0-9a-fA-F] {4}- [0-9a-fA-F] {12} |
1 |
|
1.4. Սկզբնական Էլեկտրոնային փաստաթղթի (տեղեկությունների) նույնականացուցիչը (csdo:EDocRefId) |
Էլեկտրոնային փաստաթղթի (տեղեկությունների) նույնականացուցիչը, որին ի պատասխան ձևավորվել է տվյալ էլեկտրոնային փաստաթուղթը (տեղեկությունները) |
M.SDE.90008 |
csdo:UniversallyUniqueIdType (M.SDT.90003) Նույնականացուցչի արժեքը՝ ISO/IEC 9834-8–ին համապատասխան։ Ձևանմուշ՝ [0-9a-fA-F] (8}-[0-9a-fA- F] {4}-[0-9a-fA-F] {4}-[0-9a-fA-F] {4}- [0-9a-fA-F] {12} |
0..1 |
|
1.5. Էլեկտրոնային փաստաթղթի (տեղեկությունների) ամսաթիվը և ժամը (csdo:EDocDateTime) |
Էլեկտրոնային փաստաթղթի (տեղեկությունների) ստեղծման ամսաթիվը և ժամը |
M.SDE.90002 |
bdt:DateTimeType (M.BDT.00006) Ամսաթվի և ժամի նշագիրը՝ ԳՕՍՏ ԻՍՕ 8601–2001-ին համապատասխան |
1 |
|
1.6. Լեզվի ծածկագիրը (csdo:LanguageCode) |
լեզվի ծածկագրային նշագիրը |
M.SDE.00051 |
csdo:LanguageCodeType (M.SDT.00051) Լեզվի երկտառ ծածկագիրը՝ ISO 639-1-ին համապատասխան: Ձևանմուշ՝ [a-z]{2} |
0..1 |
|
2. Երկրի ծածկագիրը (csdo:UnifiedCountryCode) |
տեղեկատվություն (տեղեկություններ) ներկայացրած անդամ պետության ծածկագիրը |
M.SDE.00162 |
csdo:UnifiedCountryCodeType (M.SDT.00112) Երկտառ ծածկագրի արժեքը՝ աշխարհի երկրների դասակարգչին համապատասխան, որը սահմանված է «Տեղեկատուի (դասակարգչի) նույնականացուցիչ» հատկանիշով։ Ձևանմուշ՝ [A-Z]{2} |
1 |
|
ա) տեղեկատուի (դասակարգչի) նույնականացուցիչը (հատկանիշ codeListId) |
տեղեկատուի (դասակարգչի) նշագիրը, որին համապատասխան նշված է ծածկագիրը |
- |
csdo:ReferenceDataIdType (M.SDT.00091) Պայմանանշանների նորմալացված տող, որը չի պարունակում տողի ընդհատման (#xA) և սյունատների (#x9) պայմանանշաններ: Նվազ. երկարությունը՝ 1։ Առավ. երկարությունը՝ 20 |
1 |
|
3. Փաստացի արտահանումը չեղյալ համարելու ամսաթիվը և ժամը (casdo:ExportCancelDateTime) |
ապրանքների փաստացի արտահանումը չեղյալ համարելու ամսաթվի և ժամի մասին տեղեկություններ |
M.CA.SDE.00453 |
bdt:DateTimeType (M.BDT.00006) Ամսաթվի և ժամի նշագիրը՝ ԳՕՍՏ ԻՍՕ 8601–2001-ին համապատասխան |
1 |
|
4. Այլ տեղեկություններ (csdo:AdditionalInfoText) |
նկարագրվող օբյեկտի վերաբերյալ լրացուցիչ տեղեկատվություն |
M.SDE.00046 |
csdo:Text4000Type (M.SDT.00088) Պայմանանշանների տողը: Նվազ. երկարությունը՝ 1։ Առավ. երկարությունը՝ 4000 |
0..* |
|
5. Մաքսային մարմնի ծածկագիրը (casdo:CustomsOfficeCode) |
մաքսային մարմնի ծածկագիրը |
M.CA.SDE.00034 |
casdo:CustomsOfficeCodeType (M.CA.SDT.00025) Ծածկագրի արժեքը՝ Եվրասիական տնտեսական միության անդամ պետությունների մաքսային մարմինների դասակարգչին համապատասխան։ Ձևանմուշ՝ [0-9] {2}|[0-9] {5}|[0-9] {8} |
1 |
|
6. Մաքսային մարմնի պաշտոնատար անձը (cacdo:CustomsPersonDetails) |
լիազորված անձի մասին տեղեկություններ |
M.CA.CDE.00096 |
cacdo: CustomsPersonDetailsTуре (M.CA.CDT.00209) Որոշվում է ներդրված տարրերի արժեքների ոլորտներով |
1 |
|
6.1. ԱԱՀ (ccdo:FullNameDetails) |
ազգանուն, անուն, հայրանուն |
M.CDE.00029 |
ccdo:FullNameDetailsTуре (M.CDT.00016) Որոշվում է ներդրված տարրերի արժեքների ոլորտներով |
0..1 |
|
6.1.1. Անունը (csdo:FirstName) |
ֆիզիկական անձի անունը |
M.SDE.00109 |
csdo:Name120Type (M.SDT.00055) Պայմանանշանների նորմալացված տող, որը չի պարունակում տողի ընդհատման (#xA) և սյունատների (#x9) պայմանանշաններ: Նվազ. երկարությունը՝ 1։ Առավ. երկարությունը՝ 120 |
0..1 |
|
6.1.2. Հայրանունը (csdo:MiddleName) |
ֆիզիկական անձի հայրանունը (երկրորդ կամ միջին անունը) |
M.SDE.00111 |
csdo:Name120Type (M.SDT.00055) Պայմանանշանների նորմալացված տող, որը չի պարունակում տողի ընդհատման (#xA) և սյունատների (#x9) պայմանանշաններ: Նվազ. երկարությունը՝ 1։ Առավ. երկարությունը՝ 120 |
0..1 |
|
6.1.3. Ազգանունը (csdo:LastName) |
ֆիզիկական անձի ազգանունը |
M.SDE.00110 |
csdo:Namel20Type (M.SDT.00055) Պայմանանշանների նորմալացված տող, որը չի պարունակում տողի ընդհատման (#xA) և սյունատների (#x9) պայմանանշաններ: Նվազ. երկարությունը՝ 1։ Առավ. երկարությունը՝ 120 |
0..1 |
|
6.2. Պաշտոնի անվանումը (csdo:PositionName) |
աշխատակցի պաշտոնի անվանումը |
M.SDE.00127 |
csdo:Namel20Type (M.SDT.00055) Պայմանանշանների նորմալացված տող, որը չի պարունակում տողի ընդհատման (#xA) և սյունատների (#x9) պայմանանշաններ: Նվազ. երկարությունը՝ 1։ Առավ. երկարությունը՝ 120 |
0..1 |
|
6.3. Մաքսային մարմնի պաշտոնատար անձի ԱՀԿ-ի համարը (casdo:LNPIdentifier) |
մաքսային մարմնի պաշտոնատար անձի ԱՀԿ-ի համարը |
M.CA.SDE.00413 |
casdo:LNPIdentifierType (M.CA.SDT.00090) Պայմանանշանների նորմալացված տողը: Նվազ. երկարությունը՝ 1։ Առավ. երկարությունը՝ 4 |
0..1 |
|
6.4. Մաքսային մարմնի ծածկագիրը՝ ԱՀԿ-ի դրոշմվածքի վրա (casdo:LNPCustomsOfficeCode) |
մաքսային մարմնի՝ ԱՀԿ-ի դրոշմվածքի վրա նշված ծածկագիրը |
M.CA.SDE.00414 |
casdo:CustomsOfficeCodeTуре (M.CA.SDT.00025) Ծածկագրի արժեքը՝ Եվրասիական տնտեսական միության անդամ պետությունների մաքսային մարմինների դասակարգչին համապատասխան։ Ձևանմուշ՝ [0-9] {2}|[0-9]{5}|[0-9]{8} |
0..1 |
|
7. Ապրանքների խմբաքանակների արտահանման չեղյալ համարումը (cacdo:ConsignmentCancelDetails) |
ապրանքների այն խմբաքանակների մասին տեղեկություններ, որոնց արտահանումը չեղյալ է համարվել |
M.CA.CDE.00258 |
cacdo:ConsignmentCancelDetailsTуре (M.CA.CDT.00234) Որոշվում է ներդրված տարրերի արժեքների ոլորտներով |
1 |
|
7.1. Մաքսային հայտարարագրի գրանցման համարը (cacdo:CustomsDeclarationIdDetails) |
ապրանքների մասին հայտարարագրի գրանցման համարը |
M.CA.CDE.00291 |
cacdo:CustomsDocumentIdDetailsTуре (M.CA.CDT.00258) Որոշվում է ներդրված տարրերի արժեքների ոլորտներով |
1 |
|
7.1.1. Մաքսային մարմնի ծածկագիրը (casdo:CustomsOfficeCode) |
մաքսային մարմնի ծածկագիրը |
M.CA.SDE.00034 |
casdo:CustomsOfficeCodeType (M.CA.SDT.00025) Ծածկագրի արժեքը՝ Եվրասիական տնտեսական միության անդամ պետությունների մաքսային մարմինների դասակարգչին համապատասխան։ Ձևանմուշ՝ [0-9] {2} |[0-9] {5} |[0-9] (8} |
1 |
|
7.1.2. Փաստաթղթի ամսաթիվը (csdo:DocCreationDate) |
փաստաթղթի տրման, ստորագրման, հաստատման կամ գրանցման ամսաթիվը |
M.SDE.00045 |
bdt:DateType (M.BDT.00005) Ամսաթվի նշագիրը՝ ԳՕՍՏ ԻՍՕ 8601-2001-ին համապատասխան |
1 |
|
7.1.3. Մաքսային փաստաթղթի հերթական համարն ըստ գրանցման մատյանի (casdo:CustomsDocumentId) |
մաքսային փաստաթղթի հերթական համարն ըստ գրանցման մատյանի |
M.CA.SDE.00478 |
casdo:CustomsDocumentIdType (M.CA.SDT.00118) Պայմանանշանների նորմալացված տողը: Նվազ. երկարությունը՝ 5։ Առավ. երկարությունը՝ 7 |
1 |
|
7.2. Փաստաթղթի գրանցման համարն ըստ մատյանի, որում արձանագրված է փաստացի արտահանումը (cacdo:FERegistrationIdDetails) |
փաստաթղթի գրանցման համարն ըստ մատյանի, որում արձանագրված է փաստացի արտահանումը |
M.CA.CDE.00259 |
cacdo:FERegistrationIdDetailsType (M.CA.CDT.00235) Որոշվում է ներդրված տարրերի արժեքների ոլորտներով |
1 |
|
7.2.1. Մաքսային մարմնի ծածկագիրը (casdo:CustomsOfficeCode) |
մաքսային մարմնի ծածկագիրը |
M.CA.SDE.00034 |
casdo:CustomsOfficeCodeType (M.CA.SDT.00025) Ծածկագրի արժեքը՝ Եվրասիական տնտեսական միության անդամ պետությունների մաքսային մարմինների դասակարգչին համապատասխան։ Ձևանմուշ՝ [0-9](2}|[0-9]{5}|[0-9]{8} |
1 |
|
7.2.2. Փաստաթղթի ամսաթիվը (csdo:DocCreationDate) |
փաստաթղթի տրման, ստորագրման, հաստատման կամ գրանցման ամսաթիվը |
M.SDE.00045 |
bdt:DateType (M.BDT.00005) Ամսաթվի նշագիրը՝ ԳՕՍՏ ԻՍՕ 8601-2001-ին համապատասխան |
1 |
|
7.2.3. Մաքսային փաստաթղթի հերթական համարն ըստ գրանցման մատյանի (casdo:CustomsDocumentId) |
մաքսային փաստաթղթի հերթական համարն ըստ գրանցման մատյանի |
M.CA.SDE.00478 |
casdo:CustomsDocumentIdType (M.CA.SDT.00118) Պայմանանշանների նորմալացված տողը: Նվազ. երկարությունը՝ 5։ Առավ. երկարությունը՝ 7 |
1 |
|
7.2.4. Հերթական համարը (casdo:Ordinal3Number) |
միևնույն տրանսպորտային միջոցով (տրանսպորտային միջոցների կազմով) փոխադրվող ապրանքների վրա դրվող հերթական համարը |
M.CA.SDE.00552 |
casdo:Ordinal3NumbегТуре (M.CA.SDT.00140) Հաշվարկի տասնորդական համակարգում ամբողջ ոչ բացասական թիվը: Ձևանմուշ՝ /d{ 1,3} |
0..1 |
19. «Ապրանքների փաստացի արտահանման մասին տեղեկություններ» (R.CA.CP.02.003) Էլեկտրոնային փաստաթղթի (տեղեկությունների) կառուցվածքի նկարագրությունը բերված է 11-րդ աղյուսակում։
Աղյուսակ 11
«Ապրանքների փաստացի արտահանման մասին տեղեկություններ» (R.CA.CP.02.003) Էլեկտրոնային փաստաթղթի (տեղեկությունների) կառուցվածքի նկարագրությունը
|
Թիվ ը/կ |
Տարրի նշագիրը |
Նկարագրությունը |
|
1 |
2 |
3 |
|
1 |
Անվանումը |
ապրանքների փաստացի արտահանման մասին տեղեկություններ |
|
2 |
Նույնականացուցիչը |
R.CA.CP.02.003 |
|
3 |
Տարբերակը |
1.0.0 |
|
4 |
Սահմանումը |
ապրանքների փաստացի արտահանման մասին տեղեկություններ |
|
5 |
Օգտագործումը |
- |
|
6 |
Անվանատարածքի նույնականացուցիչը |
urn:EEC:R:CA:CP:02:ExportNotification:vl.0.0 |
|
7 |
XML փաստաթղթի հիմնական տարրը |
ExportNotification |
|
8 |
XML սխեմայի նիշքի անվանումը |
EEC_R_CA_CP_02_ExportNotification_vl.O.O.xsd |
20. Ներմուծվող անվանատարածքները բերված են 12-րդ աղյուսակում։
Աղյուսակ 12
Ներմուծվող անվանատարածքները
|
Թիվ ը/կ |
Անվանատարածքի նույնականացուցիչը |
Նախածանցը |
|
1 |
2 |
3 |
|
1 |
urn:EEC:M:CA:ComplexDataObjects:vX.X.X |
cacdo |
|
2 |
urn:EEC:M:CA:SimpleDataObjects:vX.X.X |
casdo |
|
3 |
urn:EEC:M:ComplexDataObjects:vX.X.X |
ccdo |
|
4 |
urn:EEC:M:SimpleDataObjects:vX.X.X |
csdo |
Ներմուծվող անվանատարածքներում «X.X.X» պայմանանշանները համապատասխանում են Եվրասիական տնտեսական հանձնաժողովի կոլեգիայի 2016 թվականի հունիսի 2–ի թիվ 55 որոշման 2–րդ կետին համապատասխան Էլեկտրոնային փաստաթղթի (տեղեկությունների) կառուցվածքի տեխնիկական սխեմայի մշակման ժամանակ օգտագործված տվյալների բազիսային մոդելի և առարկայական ոլորտի տվյալների մոդելի տարբերակի համարին։
21. «Ապրանքների փաստացի արտահանման մասին տեղեկություններ» (R.CA.CP.02.003) Էլեկտրոնային փաստաթղթի (տեղեկությունների) կառուցվածքի վավերապայմանների կազմը բերված է 13-րդ աղյուսակում.
Աղյուսակ 13
«Ապրանքների փաստացի արտահանման մասին տեղեկություններ» (R.CA.CP.02.003) Էլեկտրոնային փաստաթղթի (տեղեկությունների) կառուցվածքի վավերապայմանների կազմը
|
Վավերապայմանի անվանումը |
Վավերապայմանի նկարագրությունը |
Նույնականացուցիչը |
Տվյալների տիպը |
Բազմ. | |
|
1. Էլեկտրոնային փաստաթղթի (տեղեկությունների) վերնագիրը (ccdo:EDocHeader) |
Էլեկտրոնային փաստաթղթի (տեղեկությունների) տեխնոլոգիական վավերապայմանների ամբողջությունը |
M.CDE.90001 |
ccdo:EDocHeaderType (M.CDT.90001) Որոշվում է ներդրված տարրերի արժեքների ոլորտներով |
1 | |
|
1.1. Ընդհանուր գործընթացի հաղորդագրության ծածկագիրը (csdo:InfEnvelopeCode) |
ընդհանուր գործընթացի հաղորդագրության ծածկագրային նշագիրը |
M.SDE.90010 |
csdo:InfEnvelopeCodeTуре (M.SDT.90004) Ծածկագրի արժեքը՝ Տեղեկատվական փոխգործակցության կանոնակարգին համապատասխան: Ձևանմուշ՝ P\.[A-Z]{2}\.[0- 9]{2}\.MSG\.[0-9]{3} |
1 | |
|
1.2. Էլեկտրոնային փաստաթղթի (տեղեկությունների) ծածկագիրը (csdo:EDocCode) |
Էլեկտրոնային փաստաթղթի (տեղեկությունների) ծածկագրային նշագիրը՝ էլեկտրոնային փաստաթղթերի և տեղեկությունների կառուցվածքների ռեեստրին համապատասխան |
M.SDE.90001 |
csdo:EDocCodeType (M.SDT.90001) Ծածկագրի արժեքը՝ էլեկտրոնային փաստաթղթերի և տեղեկությունների կառուցվածքների ռեեստրին համապատասխան։ Ձևանմուշ՝ R(\.[A-Z] {2}\.[A-Z] {2}\.[0- 9]{2})?\.[0-9]{3} |
1 | |
|
1.3. Էլեկտրոնային փաստաթղթի (տեղեկությունների) նույնականացուցիչը (csdo:EDocId) |
էլեկտրոնային փաստաթուղթը (տեղեկությունները) միանշանակ նույնականացնող պայմանանշանների տողը |
M.SDE.90007 |
csdo:UniversallyUniqueIdType (M.SDT.90003) Նույնականացուցչի արժեքը՝ ISO/IEC 9834-8–ին համապատասխան։ Ձևանմուշ՝ [0-9a-fA-F]{8}-[0-9a-fA- F] {4}-[0-9a-fA-F] {4}-[0-9a-fA-F] {4}- [0-9a-fA-F]{12} |
1 | |
|
1.4. Սկզբնական Էլեկտրոնային փաստաթղթի (տեղեկությունների) նույնականացուցիչը (csdo:EDocRefId) |
Էլեկտրոնային փաստաթղթի (տեղեկությունների) նույնականացուցիչը, որին ի պատասխան ձևավորվել է տվյալ էլեկտրոնային փաստաթուղթը (տեղեկությունները) |
M.SDE.90008 |
csdo:UniversallyUniqueIdType (M.SDT.90003) Նույնականացուցչի արժեքը՝ ISO/IEC 9834-8–ին համապատասխան։ Ձևանմուշ՝ [0-9a-fA-F]{8}-[0-9a-fA- F] (4}-[0-9a-fA-F] {4}-[0-9a-fA-F] {4}- [0-9a-fA-F] {12} |
0..1 | |
|
1.5. Էլեկտրոնային փաստաթղթի (տեղեկությունների) ամսաթիվը և ժամը (csdo:EDocDateTime) |
Էլեկտրոնային փաստաթղթի (տեղեկությունների) ստեղծման ամսաթիվը և ժամը |
M.SDE.90002 |
bdt:DateTimeType (M.BDT.00006) Ամսաթվի և ժամի նշագիրը՝ ԳՕՍՏ ԻՍՕ 8601–2001-ին համապատասխան |
1 | |
|
1.6. Լեզվի ծածկագիրը (csdo:LanguageCode) |
լեզվի ծածկագրային նշագիրը |
M.SDE.00051 |
csdo:LanguageCodeTуре (M.SDT.00051) Լեզվի երկտառ ծածկագիրը՝ ISO 639-1-ին համապատասխան: Ձևանմուշ՝ [a-z] {2} |
0..1 | |
|
2. Երկրի ծածկագիրը (csdo:UnifiedCountryCode) |
տեղեկատվություն (տեղեկություններ) ներկայացրած անդամ պետության ծածկագիրը |
M.SDE.00162 |
csdo:UnifiedCountryCodeType (M.SDT.00112) Երկտառ ծածկագրի արժեքը՝ աշխարհի երկրների դասակարգչին համապատասխան, որը սահմանված է «Տեղեկատուի (դասակարգչի) նույնականացուցիչ» հատկանիշով։ Ձևանմուշ՝ [A-Z]{2} |
1 | |
|
ա) տեղեկատուի (դասակարգչի) նույնականացուցիչը (հատկանիշ codeListId) |
տեղեկատուի (դասակարգչի) նշագիրը, որին համապատասխան նշված է ծածկագիրը |
- |
csdo:ReferenceDataIdTуре (M.SDT.00091) Պայմանանշանների նորմալացված տող, որը չի պարունակում տողի ընդհատման (#xA) և սյունատների (#x9) պայմանանշաններ: Նվազ. երկարությունը՝ 1։ Առավ. երկարությունը՝ 20 |
1 | |
|
3. Ապրանքների փաստացի արտահանումը։ Ապրանքների արտահանման մասին տեղեկություններ (cacdo:FEFactDetails) |
ապրանքների փաստացի արտահանման մասին տեղեկություններ |
M.CA.CDE.00263 |
cacdo:FEFactDetailsType (M.CA.CDT.00238) Որոշվում է ներդրված տարրերի արժեքների ոլորտներով |
1..* | |
|
3.1. Մաքսային հայտարարագրի գրանցման համարը (cacdo:CustomsDeclarationIdDetails) |
ապրանքների մասին հայտարարագրի գրանցման համարը |
M.CA.CDE.00291 |
cacdo:CustomsDocumentIdDetailsType (M.CA.CDT.00258) Որոշվում է ներդրված տարրերի արժեքների ոլորտներով |
1 | |
|
3.1.1. Մաքսային մարմնի ծածկագիրը (casdo:CustomsOfficeCode) |
մաքսային մարմնի ծածկագիրը |
M.CA.SDE.00034 |
casdo:CustomsOfficeCodeType (M.CA.SDT.00025) Ծածկագրի արժեքը՝ Եվրասիական տնտեսական միության անդամ պետությունների մաքսային մարմինների դասակարգչին համապատասխան։ Ձևանմուշ՝ [0-9] {2}|[0-9] {5}|[0-9] {8} |
1 | |
|
3.1.2. Փաստաթղթի ամսաթիվը (csdo:DocCreationDate) |
փաստաթղթի տրման, ստորագրման, հաստատման կամ գրանցման ամսաթիվը |
M.SDE.00045 |
bdt:DateType (M.BDT.00005) Ամսաթվի նշագիրը՝ ԳՕՍՏ ԻՍՕ 8601-2001-ին համապատասխան |
1 | |
|
3.1.3. Մաքսային փաստաթղթի հերթական համարն ըստ գրանցման մատյանի (casdo:CustomsDocumentId) |
մաքսային փաստաթղթի հերթական համարն ըստ գրանցման մատյանի |
M.CA.SDE.00478 |
casdo:CustomsDocumentIdType (M.CA.SDT.00118) Պայմանանշանների նորմալացված տողը: Նվազ. երկարությունը՝ 5։ Առավ. երկարությունը՝ 7 |
1 | |
|
3.2. Փաստաթղթի գրանցման համարն ըստ մատյանի, որում արձանագրված է փաստացի արտահանումը (cacdo:FERegistrationIdDetails) |
փաստաթղթի գրանցման համարն ըստ մատյանի, որում արձանագրված է փաստացի արտահանումը |
M.CA.CDE.00259 |
cacdo:FERegistrationIdDetailsType (M.CA.CDT.00235) Որոշվում է ներդրված տարրերի արժեքների ոլորտներով |
1 | |
|
3.2.1. Մաքսային մարմնի ծածկագիրը (casdo:CustomsOfficeCode) |
մաքսային մարմնի ծածկագիրը |
M.CA.SDE.00034 |
casdo:CustomsOfficeCodeTуре (M.CA.SDT.00025) Ծածկագրի արժեքը՝ Եվրասիական տնտեսական միության անդամ պետությունների մաքսային մարմինների դասակարգչին համապատասխան։ Ձևանմուշ՝ [0-9] {2}|[0-9] {5}|[0-9] {8} |
1 | |
|
3.2.2. Փաստաթղթի ամսաթիվը (csdo:DocCreationDate) |
փաստաթղթի տրման, ստորագրման, հաստատման կամ գրանցման ամսաթիվը |
M.SDE.00045 |
bdt:DateType (M.BDT.00005) Ամսաթվի նշագիրը՝ ԳՕՍՏ ԻՍՕ 8601-2001-ին համապատասխան |
1 | |
|
3.2.3. Մաքսային փաստաթղթի հերթական համարն ըստ գրանցման մատյանի (casdo:CustomsDocumentId) |
մաքսային փաստաթղթի հերթական համարն ըստ գրանցման մատյանի |
M.CA.SDE.00478 |
casdo:CustomsDocumentIdType (M.CA.SDT.00118) Պայմանանշանների նորմալացված տողը: Նվազ. երկարությունը՝ 5։ Առավ. երկարությունը՝ 7 |
1 | |
|
3.2.4. Հերթական համարը (casdo:Ordinal3Number) |
միևնույն տրանսպորտային միջոցով (տրանսպորտային միջոցների կազմով) փոխադրվող ապրանքների վրա դրվող հերթական համարը |
M.CA.SDE.00552 |
casdo:Ordinal3NumberTуре (M.CA.SDT.00140) Հաշվարկի տասնորդական համակարգում ամբողջ ոչ բացասական թիվը: Ձևանմուշ՝ /d{ 1,3} |
0..1 | |
|
3.3. Ապրանքների փաստացի արտահանման ամսաթիվը և ժամը (casdo:ExportDateTime) |
ապրանքների փաստացի արտահանման ամսաթիվը և ժամը |
M.CA.SDE.00554 |
bdt:DateTimeType (M.BDT.00006) Ամսաթվի և ժամի նշագիրը՝ ԳՕՍՏ ԻՍՕ 8601–2001-ին համապատասխան |
1 | |
|
3.4. Մաքսային մարմնի պաշտոնատար անձը (cacdo:CustomsPersonDetails) |
լիազորված պաշտոնատար անձի մասին տեղեկություններ |
M.CA.CDE.00096 |
cacdo:CustomsPersonDetailsType (M.CA.CDT.00209) Որոշվում է ներդրված տարրերի արժեքների ոլորտներով |
1 | |
|
3.4.1. ԱԱՀ (ccdo:FullNameDetails) |
ազգանուն, անուն, հայրանուն |
M.CDE.00029 |
ccdo:FullNameDetailsType (M.CDT.00016) Որոշվում է ներդրված տարրերի արժեքների ոլորտներով |
0..1 | |
|
*.1. Անունը (csdo:FirstName) |
ֆիզիկական անձի անունը |
M.SDE.00109 |
csdo:Name120Type (M.SDT.00055) Պայմանանշանների նորմալացված տող, որը չի պարունակում տողի ընդհատման (#xA) և սյունատների (#x9) պայմանանշաններ: Նվազ. երկարությունը՝ 1։ Առավ. երկարությունը՝ 120 |
0..1 | |
|
*.2. Հայրանունը (csdo:MiddleName) |
ֆիզիկական անձի հայրանունը (երկրորդ կամ միջին անունը) |
M.SDE.00111 |
csdo:Name120Type (M.SDT.00055) Պայմանանշանների նորմալացված տող, որը չի պարունակում տողի ընդհատման (#xA) և սյունատների (#x9) պայմանանշաններ: Նվազ. երկարությունը՝ 1։ Առավ. երկարությունը՝ 120 |
0..1 | |
|
*.3. Ազգանունը (csdo:LastName) |
ֆիզիկական անձի ազգանունը |
M.SDE.00110 |
csdo:Name120Type (M.SDT.00055) Պայմանանշանների նորմալացված տող, որը չի պարունակում տողի ընդհատման (#xA) և սյունատների (#x9) պայմանանշաններ: Նվազ. երկարությունը՝ 1։ Առավ. երկարությունը՝ 120 |
0..1 | |
|
3.4.2. Պաշտոնի անվանումը (csdo:PositionName) |
աշխատակցի պաշտոնի անվանումը |
M.SDE.00127 |
csdo:Name120Туре (M.SDT.00055) Պայմանանշանների նորմալացված տող, որը չի պարունակում տողի ընդհատման (#xA) և սյունատների (#x9) պայմանանշաններ: Նվազ. երկարությունը՝ 1։ Առավ. երկարությունը՝ 120 |
0..1 | |
|
3.4.3. Մաքսային մարմնի պաշտոնատար անձի ԱՀԿ-ի համարը (casdo:LNPIdentifier) |
մաքսային մարմնի պաշտոնատար անձի ԱՀԿ-ի համարը |
M.CA.SDE.00413 |
casdo:LNPIdentifierType (M.CA.SDT.00090) Պայմանանշանների նորմալացված տողը: Նվազ. երկարությունը՝ 1։ Առավ. երկարությունը՝ 4 |
0..1 | |
|
3.4.4. Մաքսային մարմնի ծածկագիրը՝ ԱՀԿ-ի դրոշմվածքի վրա (casdo:LNPCustomsOfficeCode) |
մաքսային մարմնի՝ ԱՀԿ-ի դրոշմվածքի վրա նշված ծածկագիրը |
M.CA.SDE.00414 |
casdo:CustomsOfficeCodeTуре (M.CA.SDT.00025) Ծածկագրի արժեքը՝ Եվրասիական տնտեսական միության անդամ պետությունների մաքսային մարմինների դասակարգչին համապատասխան։ Ձևանմուշ՝ [0-9]{2}|[0-9]{5}|[0-9]{8} |
0..1 | |
|
3.5. Սահմանին գտնվող մաքսային մարմինը (cacdo:BorderCustomsOfficeDetails) |
մեկնման վայրի մաքսային մարմինը |
M.CA.CDE.00118 |
cacdo:UnifiedCustomsOfficeDetailsType (M.CA.CDT.00315) Որոշվում է ներդրված տարրերի արժեքների ոլորտներով |
1 | |
|
3.5.1. Մաքսային մարմնի ծածկագիրը (casdo:CustomsOfficeCode) |
մաքսային մարմնի ծածկագիրը |
M.CA.SDE.00034 |
casdo:CustomsOfficeCodeType (M.CA.SDT.00025) Ծածկագրի արժեքը՝ Եվրասիական տնտեսական միության անդամ պետությունների մաքսային մարմինների դասակարգչին համապատասխան։ Ձևանմուշ՝ [0-9] {2}|[0-9] {5}|[0-9] {8} |
1 | |
|
3.5.2. Մաքսային մարմնի անվանումը (casdo:CustomsOfficeName) |
մաքսային մարմնի անվանումը |
M.CA.SDE.00035 |
casdo:CustomsOfficeNameType (M.CA.SDT.00026) Մաքսային մարմնի անվանումը՝ Եվրասիական տնտեսական միության անդամ պետությունների մաքսային մարմինների դասակարգչին համապատասխան։ Նվազ. երկարությունը՝ 1։ Առավ. երկարությունը՝ 50 |
0..1 | |
|
3.5.3. Երկրի ծածկագիրը (csdo:UnifiedCountryCode) |
երկրի ծածկագրային նշագիրը |
M.SDE.00162 |
csdo:UnifiedCountryCodeType (M.SDT.00112) Երկտառ ծածկագրի արժեքը՝ աշխարհի երկրների դասակարգչին համապատասխան, որը սահմանված է «Տեղեկատուի (դասակարգչի) նույնականացուցիչ» հատկանիշով։ Ձևանմուշ՝ [A-Z]{2) |
0..1 | |
|
ա) տեղեկատուի (դասակարգչի) նույնականացուցիչը (հատկանիշ codeListId) |
տեղեկատուի (դասակարգչի) նշագիրը, որին համապատասխան նշված է ծածկագիրը |
- |
csdo:ReferenceDataIdTуре (M.SDT.00091) Պայմանանշանների նորմալացված տող, որը չի պարունակում տողի ընդհատման (#xA) և սյունատների (#x9) պայմանանշաններ: Նվազ. երկարությունը՝ 1։ Առավ. երկարությունը՝ 20 |
1 | |
|
3.6. Սահմանին գտնվող տրանսպորտային միջոցը (cacdo:BorderTransportDetails) |
սահմանին գտնվող տրանսպորտային միջոցի մասին տեղեկություններ |
M.CA.CDE.00252 |
cacdo:CATransportDetailsType (M.CA.CDT.00214) Որոշվում է ներդրված տարրերի արժեքների ոլորտներով |
1 | |
|
3.6.1. Տրանսպորտի տեսակի ծածկագիրը (csdo:UnifiedTransportModeCode) |
տրանսպորտի տեսակի ծածկագրային նշագիրը |
M.SDE.00166 |
csdo:UnifiedCode20Type (M.SDT.00140) Ծածկագրի արժեքը՝ տեղեկատուին (դասակարգչին) համապատասխան, որը սահմանված է «Տեղեկատուի (դասակարգչի) նույնականացուցիչ» հատկանիշով։ Նվազ. երկարությունը՝ 1։ Առավ. երկարությունը՝ 20 |
1 | |
|
ա) տեղեկատուի (դասակարգչի) նույնականացուցիչը (հատկանիշ codeListId) |
տեղեկատուի (դասակարգչի) նշագիրը, որին համապատասխան նշված է ծածկագիրը |
- |
csdo:ReferenceDataIdType (M.SDT.00091) Պայմանանշանների նորմալացված տող, որը չի պարունակում տողի ընդհատման (#xA) և սյունատների (#x9) պայմանանշաններ: Նվազ. երկարությունը՝ 1։ Առավ. երկարությունը՝ 20 |
1 | |
|
3.6.2. Տրանսպորտային միջոցը գրանցած երկրի ծածկագիրը (casdo:TransportCountryCode) |
այն երկրի ծածկագրային նշագիրը, որտեղ գրանցված է ակտիվ տրանսպորտային միջոցը՝ 00՝ երկիրը, որտեղ գրանցված է տրանսպորտային միջոցը, հայտնի չէ. 99՝ ապրանքները փոխադրվել են տարբեր երկրներում գրանցված մի քանի տրանսպորտային միջոցներով |
M.CA.SDE.00429 |
casdo:CATransportCountryCodeTуре (M.CA.SDT.00143) Տրանսպորտային միջոցի գրանցման երկրի որոշման արդյունքները նշագրող ծածկագրի արժեքը։ Ձևանմուշ՝ [A-Z] {2}|[0-9] {2} |
0..1 | |
|
3.6.3. Տրանսպորտային միջոցի վերաբերյալ տեղեկատվություն (cacdo:СATransportIdDetails) |
տրանսպորտային միջոցի վերաբերյալ տեղեկատվություն |
M.CA.CDE.00361 |
cacdo:CATransportIdDetailsTуре (M.CA.CDT.00321) Որոշվում է ներդրված տարրերի արժեքների ոլորտներով |
0..* | |
|
*.1. Տրանսպորտային միջոցի գրանցման համարը (csdo:TransportMeansRegId) |
տրանսպորտային միջոցի գրանցման համարը |
M.SDE.00154 |
csdo:ТransportMeansRegIdTуре (M.SDT.00101) Պայմանանշանների նորմալացված տողը: Նվազ. երկարությունը՝ 1։ Առավ. երկարությունը՝ 40 |
1 | |
|
ա) երկրի ծածկագիրը (հատկանիշ countryCode) |
այն երկրի ծածկագրային նշագիրը, որի կանոններով ձևավորվել է նշված ծածկագիրը |
- |
csdo:UnqualifiedCountryCodeType (M.SDT.00159) Տառային ծածկագրի արժեքը՝ աշխարհի երկրների դասակարգչից, որը սահմանված է «Դասակարգչի նույնականացուցիչ» հատկանիշով։ Ձևանմուշ՝ [A-Z]{2} |
0..1 | |
|
բ) դասակարգչի նույնականացուցիչը (հատկանիշ countryCodeListId) |
աշխարհի երկրների դասակարգչի նույնականացուցիչը |
- |
csdo:ReferenceDataIdTуре (M.SDT.00091) Պայմանանշանների նորմալացված տող, որը չի պարունակում տողի ընդհատման (#xA) և սյունատների (#x9) պայմանանշաններ: Նվազ. երկարությունը՝ 1։ Առավ. երկարությունը՝ 20 |
0..1 | |
|
*.2. Առաջին կցորդային տրանսպորտային միջոցի գրանցման համարը (casdo:FirstTrailerRegId) |
առաջին կցորդային տրանսպորտային միջոցի գրանցման համարը |
M.CA.SDE.00399 |
csdo:TransportMeansRegIdTуре (M.SDT.00101) Պայմանանշանների նորմալացված տողը: Նվազ. երկարությունը՝ 1։ Առավ. երկարությունը՝ 40 |
0..1 | |
|
ա) երկրի ծածկագիրը (հատկանիշ countryCode) |
այն երկրի ծածկագրային նշագիրը, որի կանոններով ձևավորվել է նշված ծածկագիրը |
- |
csdo:UnqualifiedCountryCodeType (M.SDT.00159) Տառային ծածկագրի արժեքը՝ աշխարհի երկրների դասակարգչից, որը սահմանված է «Դասակարգչի նույնականացուցիչ» հատկանիշով։ Ձևանմուշ՝ [A-Z]{2} |
0..1 | |
|
բ) դասակարգչի նույնականացուցիչը (հատկանիշ countryCodeListId) |
աշխարհի երկրների դասակարգչի նույնականացուցիչը |
- |
csdo:ReferenceDataIdTуре (M.SDT.00091) Պայմանանշանների նորմալացված տող, որը չի պարունակում տողի ընդհատման (#xA) և սյունատների (#x9) պայմանանշաններ: Նվազ. երկարությունը՝ 1։ Առավ. երկարությունը՝ 20 |
0..1 | |
|
*.3. Երկրորդ կցորդային տրանսպորտային միջոցի գրանցման համարը (casdo:SecondTrailerRegId) |
երկրորդ կցորդային տրանսպորտային միջոցի գրանցման համարը |
M.CA.SDE.00428 |
csdo:TransportMeansRegIdTуре (M.SDT.00101) Պայմանանշանների նորմալացված տողը: Նվազ. երկարությունը՝ 1։ Առավ. երկարությունը՝ 40 |
0..1 | |
|
ա) երկրի ծածկագիրը (հատկանիշ countryCode) |
այն երկրի ծածկագրային նշագիրը, որի կանոններով ձևավորվել է նշված ծածկագիրը |
- |
csdo:UnqualifiedCountryCodeTуре (M.SDT.00159) Տառային ծածկագրի արժեքը՝ աշխարհի երկրների դասակարգչից, որը սահմանված է «Դասակարգչի նույնականացուցիչ» հատկանիշով։ Ձևանմուշ՝ [A-Z]{2} |
0..1 | |
|
բ) դասակարգչի նույնականացուցիչը (հատկանիշ countryCodeListId) |
աշխարհի երկրների դասակարգչի նույնականացուցիչը |
- |
csdo:ReferenceDataIdTуре (M.SDT.00091) Պայմանանշանների նորմալացված տող, որը չի պարունակում տողի ընդհատման (#xA) և սյունատների (#x9) պայմանանշաններ: Նվազ. երկարությունը՝ 1։ Առավ. երկարությունը՝ 20 |
0..1 | |
|
3.7. Ապրանքների փաստացի արտահանումը։ Արտահանման ժամանակ ապրանքի վերաբերյալ տեղեկատվություն (cacdo:FEGoodsDetails) |
արտահանվող ապրանքների մասին տեղեկություններ |
M.CA.CDE.00360 |
cacdo:FEGoodsDetailsType (M.CA.CDT.00320) Որոշվում է ներդրված տարրերի արժեքների ոլորտներով |
1.. * | |
|
3.7.1. Ապրանքների փաստացի արտահանումը։ Ապրանքի մասին տեղեկություններ (cacdo:FEGoodsInfoDetails) |
փաստացի արտահանման ժամանակ ապրանքի մասին տեղեկություններ |
M.CA.CDE.00261 |
cacdo: FEGoodsInfoDetailsTуре (M.CA.CDT.00237) Որոշվում է ներդրված տարրերի արժեքների ոլորտներով |
1 | |
|
*.1. Ապրանքի հերթական համարը (casdo:ConsignmentItemOrdinal) |
ապրանքի հերթական համարը |
M.CA.SDE.00183 |
casdo:Ordinal3NumberType (M.CA.SDT.00140) Հաշվարկի տասնորդական համակարգում ամբողջ ոչ բացասական թիվը: Ձևանմուշ՝ /d{l,3} |
0..1 | |
|
*.2. Ապրանքի ծածկագիրն ըստ ԵԱՏՄ ԱՏԳ ԱԱ-ի (csdo:CommodityCode) |
ապրանքի ծածկագրային նշագիրը՝ ԵԱՏՄ ԱՏԳ ԱԱ-ին համապատասխան |
M.SDE.00091 |
csdo:CommodityCodeTуре (M.SDT.00065) ԵՍՏՄ ԱՏԳ ԱԱ–ի ծածկագրի արժեքը՝ 2, 4, 6, 8, 9 կամ 10 նիշերի մակարդակով։ Ձևանմուշ՝ \d{2} |\d{4} |\d{6} |\d{8,10} |
0..1 | |
|
*.3. Ապրանքի անվանումը (casdo:GoodsDescriptionText) |
ապրանքի նկարագրությունը՝ ներառյալ ապրանքի առևտրային, կոմերցիոն կամ մյուս ավանդական անվանումը |
M.CA.SDE.00164 |
csdo:Text250Туре (M.SDT.00072) Պայմանանշանների տողը: Նվազ. երկարությունը՝ 1։ Առավ. երկարությունը՝ 250 |
1..* | |
|
*.4. Համաքաշը (csdo:UnifiedGrossMassMeasure) |
ապրանքի քաշը, համաքաշը |
M.SDE.00168 |
csdo:UnifiedPhysicalMeasureTуре (M.SDT.00122) Քանակը՝ հաշվարկի տասնորդական համակարգում։ Թվերի առավելագույն քանակը՝ 24։ Կոտորակային թվերի առավելագույն քանակը՝ 6 |
0..1 | |
|
ա) չափման միավորը (հատկանիշ measurementUnit Code) |
չափման միավորի ծածկագրային նշագիրը |
- |
csdo:MeasurementUnitCodeType (M.SDT.00074) Տառաթվային ծածկագիրը: Ձևանմուշ՝ [0-9A-Z]{2,3) |
1 | |
|
բ) դասակարգչի նույնականացուցիչը (հատկանիշ measurementUnit Code) |
չափման միավորների դասակարգչի նույնականացուցիչը |
- |
csdo:ReferenceDataIdType (M.SDT.00091) Պայմանանշանների նորմալացված տող, որը չի պարունակում տողի ընդհատման (#xA) և սյունատների (#x9) պայմանանշաններ: Նվազ. երկարությունը՝ 1։ Առավ. երկարությունը՝ 20 |
1 | |
|
*.5. Զտաքաշը (csdo:UnifiedNetMassMeasure) |
ապրանքի քաշը, զտաքաշը |
M.SDE.00174 |
csdo:UnifiedPhysicalMeasureType (M.SDT.00122) Քանակը՝ հաշվարկի տասնորդական համակարգում։ Թվերի առավելագույն քանակը՝ 24։ Կոտորակային թվերի առավելագույն քանակը՝ 6 |
0..1 | |
|
ա) չափման միավորը (հատկանիշ measurementUnit Code) |
չափման միավորի ծածկագրային նշագիրը |
- |
csdo:MeasurementUnitCodeType (M.SDT.00074) Տառաթվային ծածկագիրը: Ձևանմուշ՝ [0-9A-Z]{2,3} |
1 | |
|
բ) դասակարգչի նույնականացուցիչը (հատկանիշ measurementUnit Code) |
չափման միավորների դասակարգչի նույնականացուցիչը |
- |
csdo:ReferenceDataIdType (M.SDT.00091) Պայմանանշանների նորմալացված տող, որը չի պարունակում տողի ընդհատման (#xA) և սյունատների (#x9) պայմանանշաններ: Նվազ. երկարությունը՝ 1։ Առավ. երկարությունը՝ 20 |
1 | |
|
*.6. Ապրանքի քանակը՝ լրացուցիչ չափման միավորով (cacdo:GoodsMeasureDetails) |
ապրանքի քանակը՝ լրացուցիչ չափման միավորով |
M.CA.CDE.00153 |
cacdo: GoodsMeasureDetailsTуре (M.CA.CDT.00109) Որոշվում է ներդրված տարրերի արժեքների ոլորտներով |
0..2 | |
|
*.6.1. Ապրանքների քանակը՝ լրացուցիչ չափման միավորով (casdo:GoodsMeasure) |
Ապրանքների քանակը՝ լրացուցիչ չափման միավորով |
M.CA.SDE.00215 |
csdo:UnifiedPhysicalMeasureTуре (M.SDT.00122) Քանակը՝ հաշվարկի տասնորդական համակարգում։ Թվերի առավելագույն քանակը՝ 24։ Կոտորակային թվերի առավելագույն քանակը՝ 6 |
1 | |
|
ա) չափման միավորը (հատկանիշ measurement UnitCode) |
չափման միավորի ծածկագրային նշագիրը |
- |
csdo:MeasurementUnitCodeType (M.SDT.00074) Տառաթվային ծածկագիրը: Ձևանմուշ՝ [0-9A-Z]{2,3} |
1 | |
|
բ) դասակարգչի նույնականացուցիչը (հատկանիշ measurement UnitCodeListld) |
չափման միավորների դասակարգչի նույնականացուցիչը |
- |
csdo: ReferenceDataIdTуре (M.SDT.00091) Պայմանանշանների նորմալացված տող, որը չի պարունակում տողի ընդհատման (#xA) և սյունատների (#x9) պայմանանշաններ: Նվազ. երկարությունը՝ 1։ Առավ. երկարությունը՝ 20 |
1 | |
|
*.6.2. Չափման միավորի պայմանական նշագիրը (casdo:MeasureUnitAbbreviationCode) |
չափման միավորի պայմանական նշագիրը |
M.CA.SDE.00222 |
casdo:CodeVariable10CodeTуре (M.CA.SDT.00022) Պայմանանշանների նորմալացված տողը: Նվազ. երկարությունը՝ 1։ Առավ. երկարությունը՝ 10 |
0..1 | |
|
*.7. Ապրանքի մնացորդը (casdo:RemainGrossWeight Measure) |
ապրանքի մնացորդն ըստ քաշի (համաքաշի) |
M.CA.SDE.00455 |
casdo:UnifiedFractionNumber24.6 MeasureType (M.CA.SDT.00822) Չափման որևէ միավորով ֆիզիկական պարամետրերի չափման արդյունքում որոշված թվային արժեքը։ Թվերի առավելագույն քանակը՝ 24։ Կոտորակային թվերի առավելագույն քանակը՝ 6 |
0..1 | |
|
ա) չափման միավորը (հատկանիշ measurementUnit Code) |
չափման միավորի ծածկագրային նշագիրը |
- |
csdo:MeasurementUnitCodeTуре (M.SDT.00074) Տառաթվային ծածկագիրը: Ձևանմուշ՝ [0-9A-Z]{2,3} |
1 | |
|
բ) դասակարգչի նույնականացուցիչը (հատկանիշ measurementUnit Code) |
չափման միավորների դասակարգչի նույնականացուցիչը |
- |
csdo:ReferenceDataIdTуре (M.SDT.00091) Պայմանանշանների նորմալացված տող, որը չի պարունակում տողի ընդհատման (#xA) և սյունատների (#x9) պայմանանշաններ: Նվազ. երկարությունը՝ 1։ Առավ. երկարությունը՝ 20 |
1 | |
|
*.8. Ապրանքների մնացորդը։ Լրացուցիչ չափման միավորը (cacdo:RemainGoodsMeasure Details) |
լրացուցիչ չափման միավորով ապրանքի մնացորդների մասին տեղեկություններ |
M.CA.CDE.00262 |
cacdo:GoodsMeasureDetailsTуре (M.CA.CDT.00109) Որոշվում է ներդրված տարրերի արժեքների ոլորտներով |
0..1 | |
|
*.8.1. Ապրանքների քանակը՝ լրացուցիչ չափման միավորով (casdo:GoodsMeasure) |
ապրանքների քանակը՝ լրացուցիչ չափման միավորով |
M.CA.SDE.00215 |
csdo:UnifiedPhysicalMeasureTуре (M.SDT.00122) Քանակը՝ հաշվարկի տասնորդական համակարգում։ Թվերի առավելագույն քանակը՝ 24։ Կոտորակային թվերի առավելագույն քանակը՝ 6 |
1 | |
|
ա) չափման միավորը (հատկանիշ measurement UnitCode) |
չափման միավորի ծածկագրային նշագիրը |
- |
csdo:MeasurementUnitCodeType (M.SDT.00074) Տառաթվային ծածկագիրը: Ձևանմուշ՝ [0-9A-Z] {2,3} |
1 | |
|
բ) դասակարգչի նույնականացուցիչը (հատկանիշ measurement UnitCodeListId) |
չափման միավորների դասակարգչի նույնականացուցիչը |
- |
csdo:ReferenceDataIdType (M.SDT.00091) Պայմանանշանների նորմալացված տող, որը չի պարունակում տողի ընդհատման (#xA) և սյունատների (#x9) պայմանանշաններ: Նվազ. երկարությունը՝ 1։ Առավ. երկարությունը՝ 20 |
1 | |
|
*.8.2. Չափման միավորի պայմանական նշագիրը (casdo:MeasureUnit AbbreviationCode) |
չափման միավորի պայմանական նշագիրը |
M.CA.SDE.00222 |
casdo:CodeVariable10CodeType (M.CA.SDT.00022) Պայմանանշանների նորմալացված տողը: Նվազ. երկարությունը՝ 1։ Առավ. երկարությունը՝ 10 |
0..1 | |
|
*.9. Ապրանքների և ծառայությունների արժեքը (casdo:GoodsCostAmount) |
ապրանքների և ծառայությունների արժեքի նշանակությունը |
M.CA.SDE.00383 |
casdo:РaymentAmountWithCurrencyType (M.CA.SDT.00001) Քանակը՝ հաշվարկի տասնորդական համակարգում։ Թվերի առավելագույն քանակը՝ 20։ Կոտորակային թվերի առավելագույն քանակը՝ 2 |
0..1 | |
|
ա) արժույթի ծածկագիրը (հատկանիշ currencyCode) |
արժույթի ծածկագրային նշագիրը |
- |
csdo:CurrencyCodeV3Type (M.SDT.00144) Տառային ծածկագրի արժեքը՝ արժույթի դասակարգչից, որը սահմանված է «Դասակարգչի նույնականացուցիչ» հատկանիշով։ Ձևանմուշ՝ [A-Z]{3} |
1 | |
|
բ) դասակարգչի նույնականացուցիչը (հատկանիշ currencyCodeListId) |
արժույթի դասակարգչի նույնականացուցիչը |
- |
csdo:ReferenceDataIdTуре (M.SDT.00091) Պայմանանշանների նորմալացված տող, որը չի պարունակում տողի ընդհատման (#xA) և սյունատների (#x9) պայմանանշաններ: Նվազ. երկարությունը՝ 1։ Առավ. երկարությունը՝ 20 |
1 | |
|
3.7.2. Փաստաթղթի մասին տեղեկություններ (cacdo:CADocDetails) |
ներկայացված փաստաթղթերի մասին տեղեկություններ |
M.CA.CDE.00307 |
cacdo:СADocDetailsType (M.CA.CDT.00324) Որոշվում է ներդրված տարրերի արժեքների ոլորտներով |
0..* | |
|
*. 1. Փաստաթղթի տեսակի ծածկագիրը (csdo:DocKindCode) |
փաստաթղթի տեսակի ծածկագրային նշագիրը |
M.SDE.00054 |
csdo:UnifiedCode20Type (M.SDT.00140) Ծածկագրի արժեքը՝ տեղեկատուին (դասակարգչին) համապատասխան, որը սահմանված է «Տեղեկատուի (դասակարգչի) նույնականացուցիչ» հատկանիշով։ Նվազ. երկարությունը՝ 1։ Առավ. երկարությունը՝ 20 |
0..1 | |
|
ա) տեղեկատուի (դասակարգչի) նույնականացուցիչը (հատկանիշ codeListId) |
տեղեկատուի (դասակարգչի) նշագիրը, որին համապատասխան նշված է ծածկագիրը |
- |
csdo:ReferenceDataIdType (M.SDT.00091) Պայմանանշանների նորմալացված տող, որը չի պարունակում տողի ընդհատման (#xA) և սյունատների (#x9) պայմանանշաններ: Նվազ. երկարությունը՝ 1։ Առավ. երկարությունը՝ 20 |
1 | |
|
*.2. Փաստաթղթի անվանումը (csdo:DocName) |
փաստաթղթի անվանումը |
M.SDE.00108 |
csdo:Name500Type (M.SDT.00134) Պայմանանշանների նորմալացված տող, որը չի պարունակում տողի ընդհատման (#xA) և սյունատների (#x9) պայմանանշաններ: Նվազ. երկարությունը՝ 1։ Առավ. երկարությունը՝ 500 |
0..1 | |
|
*.3. Փաստաթղթի համարը (csdo:DocId) |
փաստաթղթի գրանցման ժամանակ դրան տրվող թվային կամ տառաթվային նշագիրը |
M.SDE.00044 |
csdo:Id50Type (M.SDT.00093) Պայմանանշանների նորմալացված տողը: Նվազ. երկարությունը՝ 1։ Առավ. երկարությունը՝ 50 |
0..1 | |
|
*.4. Փաստաթղթի ամսաթիվը (csdo:DocCreationDate) |
փաստաթղթի տրման, ստորագրման, հաստատման կամ գրանցման ամսաթիվը |
M.SDE.00045 |
bdt:DateType (M.BDT.00005) Ամսաթվի նշագիրը՝ ԳՕՍՏ ԻՍՕ 8601-2001-ին համապատասխան |
0..1 | |
|
*.5. Երկրի ծածկագիրը (csdo:UnifiedCountryCode) |
երկրի ծածկագրային նշագիրը |
M.SDE.00162 |
csdo:UnifiedCountryCodeType (M.SDT.00112) Երկտառ ծածկագրի արժեքը՝ աշխարհի երկրների դասակարգչին համապատասխան, որը սահմանված է «Տեղեկատուի (դասակարգչի) նույնականացուցիչ» հատկանիշով։ Ձևանմուշ՝ [A-Z]{2} |
0..1 | |
|
ա) տեղեկատուի (դասակարգչի) նույնականացուցիչը (հատկանիշ codeListId) |
տեղեկատուի (դասակարգչի) նշագիրը, որին համապատասխան նշված է ծածկագիրը |
- |
csdo:ReferenceDataIdType (M.SDT.00091) Պայմանանշանների նորմալացված տող, որը չի պարունակում տողի ընդհատման (#xA) և սյունատների (#x9) պայմանանշաններ: Նվազ. երկարությունը՝ 1։ Առավ. երկարությունը՝ 20 |
1 | |
|
*.6. Լիազորված մարմնի նույնականացուցիչը (csdo:AuthorityV2Id) |
փաստաթուղթը տրամադրող կամ հաստատող՝ պետական կամ միջպետական մարմինը (կազմակերպությունը) նույնականացնող պայմանանշանների տողը |
M.SDE.00197 |
csdo:UnifiedId20Type (M.SDT.00152) Նույնականացուցչի արժեքը՝ «Նույնականացման մեթոդ» հատկանիշով սահմանված նույնականացման մեթոդին համապատասխան։ Նվազ. երկարությունը՝ 1։ Առավ. երկարությունը՝ 20 |
0..1 | |
|
ա) նույնականացման մեթոդը (հատկանիշ schemeId) |
օբյեկտների նույնականացման մեթոդի նշագիրը, որին համապատասխան նշված է ծածկագիրը |
- |
csdo:ReferenceDataIdType (M.SDT.00091) Պայմանանշանների նորմալացված տող, որը չի պարունակում տողի ընդհատման (#xA) և սյունատների (#x9) պայմանանշաններ: Նվազ. երկարությունը՝ 1։ Առավ. երկարությունը՝ 20 |
1 | |
|
3.8. Այլ տեղեկություններ (csdo:AdditionallnfoText) |
նկարագրվող օբյեկտի վերաբերյալ լրացուցիչ տեղեկատվություն |
M.SDE.00046 |
csdo:Text4000Type (M.SDT.00088) Պայմանանշանների տողը: Նվազ. երկարությունը՝ 1։ Առավ. երկարությունը՝ 4000 |
0..* | |
22. «Բաց թողնված ապրանքների մասին տեղեկություններ» (R.CA.CP.02.004) Էլեկտրոնային փաստաթղթի (տեղեկությունների) կառուցվածքի նկարագրությունը բերված է 14–րդ աղյուսակում։
Աղյուսակ 14
«Բաց թողնված ապրանքների մասին տեղեկություններ» (R.CA.CP.02.004) Էլեկտրոնային փաստաթղթի (տեղեկությունների)
կառուցվածքի նկարագրությունը
|
Թիվ ը/կ |
Տարրի նշագիրը |
Նկարագրությունը |
|
1 |
2 |
3 |
|
1 |
Անվանումը |
բաց թողնված ապրանքների մասին տեղեկություններ |
|
2 |
Նույնականացուցիչը |
R.CA.CP.02.004 |
|
3 |
Տարբերակը |
1.0.0 |
|
4 |
Սահմանումը |
բաց թողնված ապրանքների մասին տեղեկություններ |
|
5 |
Օգտագործումը |
- |
|
6 |
Անվանատարածքի նույնականացուցիչը |
urn:EEC:R:CA:CP:02:ExportInformation:vl.0.0 |
|
7 |
XML փաստաթղթի հիմնական տարրը |
Exportlnformation |
|
8 |
XML սխեմայի նիշքի անվանումը |
EEC_R_CA_CP_02_ExportInformation_vl.0.0.xsd |
23. Ներմուծվող անվանատարածքները բերված են 15-րդ աղյուսակում։
Աղյուսակ 15
Ներմուծվող անվանատարածքները
|
Թիվ ը/կ |
Անվանատարածքի նույնականացուցիչը |
Նախածանցը |
|
1 |
2 |
3 |
|
1 |
urn:EEC:M:CA:ComplexDataObjects:vX.X.X |
cacdo |
|
2 |
urn:EEC:M:CA:SimpleDataObjects:vX.X.X |
casdo |
|
3 |
urn:EEC:M:ComplexDataObjects:vX.X.X |
ccdo |
|
4 |
urn: EEC:M:SimpleDataObjects:vX.X.X |
csdo |
Ներմուծվող անվանատարածքներում «X.X.X» պայմանանշանները համապատասխանում են Եվրասիական տնտեսական հանձնաժողովի կոլեգիայի 2016 թվականի հունիսի 2–ի թիվ 55 որոշման 2–րդ կետին համապատասխան Էլեկտրոնային փաստաթղթի (տեղեկությունների) կառուցվածքի տեխնիկական սխեմայի մշակման ժամանակ օգտագործված տվյալների բազիսային մոդելի և առարկայական ոլորտի տվյալների մոդելի տարբերակի համարին։
24. «Բաց թողնված ապրանքների մասին տեղեկություններ» (R.CA.CP.02.004) Էլեկտրոնային փաստաթղթի (տեղեկությունների) կառուցվածքի վավերապայմանների կազմը բերված է 16–րդ աղյուսակում։
Աղյուսակ 16
«Բաց թողնված ապրանքների մասին տեղեկություններ» (R.CA.CP.02.004) Էլեկտրոնային փաստաթղթի (տեղեկությունների) կառուցվածքի վավերապայմանների կազմը
|
Վավերապայմանի անվանումը |
Վավերապայմանի նկարագրությունը |
Նույնականացուցիչը |
Տվյալների տիպը |
Բազմ. | |
|
1. Էլեկտրոնային փաստաթղթի (տեղեկությունների) վերնագիրը (ccdo:EDocHeader) |
Էլեկտրոնային փաստաթղթի (տեղեկությունների) տեխնոլոգիական վավերապայմանների ամբողջությունը |
M.CDE.90001 |
ccdo:EDocHeaderType (M.CDT.90001) Որոշվում է ներդրված տարրերի արժեքների ոլորտներով |
1 | |
|
1.1. Ընդհանուր գործընթացի հաղորդագրության ծածկագիրը (csdo:InfEnvelopeCode) |
ընդհանուր գործընթացի հաղորդագրության ծածկագրային նշագիրը |
M.SDE.90010 |
csdo:InfEnvelopeCodeTуре (M.SDT.90004) Ծածկագրի արժեքը՝ Տեղեկատվական փոխգործակցության կանոնակարգին համապատասխան: Ձևանմուշ՝ P\.[A-Z]{2}\.[0- 9] {2}\.MSG\.[0-9] {3} |
1 | |
|
1.2. Էլեկտրոնային փաստաթղթի (տեղեկությունների) ծածկագիրը (csdo:EDocCode) |
Էլեկտրոնային փաստաթղթի (տեղեկությունների) ծածկագրային նշագիրը՝ էլեկտրոնային փաստաթղթերի և տեղեկությունների կառուցվածքների ռեեստրին համապատասխան |
M.SDE.90001 |
csdo:EDocCodeType (M.SDT.90001) Ծածկագրի արժեքը՝ էլեկտրոնային փաստաթղթերի և տեղեկությունների կառուցվածքների ռեեստրին համապատասխան։ Ձևանմուշ՝ R(\.[A-Z] {2}\.[A-Z] {2}\.[0- 9]{2})?\.[0-9]{3} |
1 | |
|
1.3. Էլեկտրոնային փաստաթղթի (տեղեկությունների) նույնականացուցիչը (csdo:EDocId) |
էլեկտրոնային փաստաթուղթը (տեղեկությունները) միանշանակ նույնականացնող պայմանանշանների տողը |
M.SDE.90007 |
csdo:UniversallyUniqueIdType (M.SDT.90003) Նույնականացուցչի արժեքը՝ ISO/IEC 9834-8–ին համապատասխան։ Ձևանմուշ՝ [0-9a-fA-F]{8}-[0-9a-fA- F] {4}-[0-9a-fA-F] {4}-[0-9a-fA-F] {4}- [0-9a-fA-F]{12} |
1 | |
|
1.4. Սկզբնական Էլեկտրոնային փաստաթղթի (տեղեկությունների) նույնականացուցիչը (csdo:EDocRefId) |
Էլեկտրոնային փաստաթղթի (տեղեկությունների) նույնականացուցիչը, որին ի պատասխան ձևավորվել է տվյալ էլեկտրոնային փաստաթուղթը (տեղեկությունները) |
M.SDE.90008 |
csdo:UniversallyUniqueIdType (M.SDT.90003) Նույնականացուցչի արժեքը՝ ISO/IEC 9834-8–ին համապատասխան։ Ձևանմուշ՝ [0-9a-fA-F]{8}-[0-9a-fA- F] {4}-[0-9a-fA-F] {4}-[0-9a-fA-F] {4}- [0-9a-fA-F] {12} |
0..1 | |
|
1.5. Էլեկտրոնային փաստաթղթի (տեղեկությունների) ամսաթիվը և ժամը (csdo:EDocDateTime) |
Էլեկտրոնային փաստաթղթի (տեղեկությունների) ստեղծման ամսաթիվը և ժամը |
M.SDE.90002 |
bdt:DateTimeType (M.BDT.00006) Ամսաթվի և ժամի նշագիրը՝ ԳՕՍՏ ԻՍՕ 8601–2001-ին համապատասխան |
1 | |
|
1.6. Լեզվի ծածկագիրը (csdo:LanguageCode) |
լեզվի ծածկագրային նշագիրը |
M.SDE.00051 |
csdo:LanguageCodeTуре (M.SDT.00051) Լեզվի երկտառ ծածկագիրը՝ ISO 639-1-ին համապատասխան: Ձևանմուշ՝ [a-z]{2} |
0..1 | |
|
2. Երկրի ծածկագիրը (csdo:UnifiedCountryCode) |
տեղեկատվություն (տեղեկություններ) ներկայացրած անդամ պետության ծածկագիրը |
M.SDE.00162 |
csdo:UnifiedCountryCodeType (M.SDT.00112) Երկտառ ծածկագրի արժեքը՝ աշխարհի երկրների դասակարգչին համապատասխան, որը սահմանված է «Տեղեկատուի (դասակարգչի) նույնականացուցիչ» հատկանիշով։ Ձևանմուշ՝ [A-Z]{2} |
1 | |
|
ա) տեղեկատուի (դասակարգչի) նույնականացուցիչը (հատկանիշ codeListId) |
տեղեկատուի (դասակարգչի) նշագիրը, որին համապատասխան նշված է ծածկագիրը |
- |
csdo:ReferenceDataIdType (M.SDT.00091) Պայմանանշանների նորմալացված տող, որը չի պարունակում տողի ընդհատման (#xA) և սյունատների (#x9) պայմանանշաններ: Նվազ. երկարությունը՝ 1։ Առավ. երկարությունը՝ 20 |
1 | |
|
3. Ապրանքի փաստացի արտահանումը։ Արտահանման ենթակա ապրանքների խմբաքանակի մասին տեղեկություններ (cacdo:FEConsignmentDetails) |
արտահանման ենթակա ապրանքների խմբաքանակի մասին տեղեկություններ |
M.CA.CDE.00264 |
cacdo:FEConsignmentDetailsType (M.CA.CDT.00239) Որոշվում է ներդրված տարրերի արժեքների ոլորտներով |
1 | |
|
3.1. Մաքսային հայտարարագրի գրանցման համարը (cacdo։CustomsDeclarationIdDetails) |
ապրանքների մասին հայտարարագրի գրանցման համարը |
M.CA.CDE.00291 |
cacdo:CustomsDocumentIdDetailsTуре (M.CA.CDT.00258) Որոշվում է ներդրված տարրերի արժեքների ոլորտներով |
1 | |
|
3.1.1. Մաքսային մարմնի ծածկագիրը (casdo:CustomsOfficeCode) |
մաքսային մարմնի ծածկագիրը |
M.CA.SDE.00034 |
casdo:CustomsOfficeCodeType (M.CA.SDT.00025) Ծածկագրի արժեքը՝ Եվրասիական տնտեսական միության անդամ պետությունների մաքսային մարմինների դասակարգչին համապատասխան։ Ձևանմուշ՝ [0-9]{2}|[0-9]{5}|[0-9]{8} |
1 | |
|
3.1.2. Փաստաթղթի ամսաթիվը (csdo:DocCreationDate) |
փաստաթղթի տրման, ստորագրման, հաստատման կամ գրանցման ամսաթիվը |
M.SDE.00045 |
bdt:DateType (M.BDT.00005) Ամսաթվի նշագիրը՝ ԳՕՍՏ ԻՍՕ 8601-2001-ին համապատասխան |
1 | |
|
3.1.3. Մաքսային փաստաթղթի հերթական համարն ըստ գրանցման մատյանի (casdo:CustomsDocumentId) |
մաքսային փաստաթղթի հերթական համարն ըստ գրանցման մատյանի |
M.CA.SDE.00478 |
casdo:CustomsDocumentIdTуре (M.CA.SDT.00118) Պայմանանշանների նորմալացված տողը: Նվազ. երկարությունը՝ 5։ Առավ. երկարությունը՝ 7 |
1 | |
|
3.2. Մաքսային մարմինը (cacdo:UnifiedCustomsOfficeDetails) |
ապրանքի բացթողում իրականացնող մաքսային մարմինը |
M.CA.CDE.00358 |
cacdo:UnifiedCustomsOfficeDetailsType (M.CA.CDT.00315) Որոշվում է ներդրված տարրերի արժեքների ոլորտներով |
1 | |
|
3.1.2. Մաքսային մարմնի ծածկագիրը (casdo:CustomsOfficeCode) |
մաքսային մարմնի ծածկագիրը |
M.CA.SDE.00034 |
casdo:CustomsOfficeCodeType (M.CA.SDT.00025) Ծածկագրի արժեքը՝ Եվրասիական տնտեսական միության անդամ պետությունների մաքսային մարմինների դասակարգչին համապատասխան։ Ձևանմուշ՝ [0-9] {2}|[0-9] {5}|[0-9] {8} |
1 | |
|
3.2.2. Մաքսային մարմնի անվանումը (casdo:CustomsOfficeName) |
մաքսային մարմնի անվանումը |
M.CA.SDE.00035 |
casdo:CustomsOfficeNameType (M.CA.SDT.00026) Մաքսային մարմնի անվանումը՝ Եվրասիական տնտեսական միության անդամ պետությունների մաքսային մարմինների դասակարգչին համապատասխան։ Նվազ. երկարությունը՝ 1։ Առավ. երկարությունը՝ 50 |
0..1 | |
|
3.2.3. Երկրի ծածկագիրը (csdo:UnifiedCountryCode) |
երկրի ծածկագրային նշագիրը |
M.SDE.00162 |
csdo:UnifiedCountryCodeType (M.SDT.00112) Երկտառ ծածկագրի արժեքը՝ աշխարհի երկրների դասակարգչին համապատասխան, որը սահմանված է «Տեղեկատուի (դասակարգչի) նույնականացուցիչ» հատկանիշով։ Ձևանմուշ՝ [A-Z]{2} |
0..1 | |
|
ա) տեղեկատուի (դասակարգչի) նույնականացուցիչը (հատկանիշ codeListId) |
տեղեկատուի (դասակարգչի) նշագիրը, որին համապատասխան նշված է ծածկագիրը |
- |
csdo:ReferenceDataIdTуре (M.SDT.00091) Պայմանանշանների նորմալացված տող, որը չի պարունակում տողի ընդհատման (#xA) և սյունատների (#x9) պայմանանշաններ: Նվազ. երկարությունը՝ 1։ Առավ. երկարությունը՝ 20 |
1 | |
|
3.3. Ապրանքներ ուղարկողը և դրա առանձնացված ստորաբաժանումը (cacdo:ConsignorOrganization Details) |
ապրանքներ ուղարկողի և դրա առանձնացված ստորաբաժանման մասին տեղեկություններ |
M.CA.CDE.00101 |
cacdo:CABusinessEntityBranchDetails Type (M.CA.CDT.00087) Որոշվում է ներդրված տարրերի արժեքների ոլորտներով |
1 | |
|
3.3.1. Երկրի ծածկագիրը (csdo:UnifiedCountryCode) |
տնտեսավարող սուբյեկտի գրանցման երկրի ծածկագրային նշագիրը |
M.SDE.00162 |
csdo:UnifiedCountryCodeType (M.SDT.00112) Երկտառ ծածկագրի արժեքը՝ աշխարհի երկրների դասակարգչին համապատասխան, որը սահմանված է «Տեղեկատուի (դասակարգչի) նույնականացուցիչ» հատկանիշով։ Ձևանմուշ՝ [A-Z]{2} |
0..1 | |
|
ա) տեղեկատուի (դասակարգչի) նույնականացուցիչը (հատկանիշ codeListId) |
տեղեկատուի (դասակարգչի) նշագիրը, որին համապատասխան նշված է ծածկագիրը |
- |
csdo:ReferenceDataIdType (M.SDT.00091) Պայմանանշանների նորմալացված տող, որը չի պարունակում տողի ընդհատման (#xA) և սյունատների (#x9) պայմանանշաններ: Նվազ. երկարությունը՝ 1։ Առավ. երկարությունը՝ 20 |
1 | |
|
3.3.2. Տնտեսավարող սուբյեկտի անվանումը (csdo:BusinessEntityName) |
տնտեսավարող սուբյեկտի լրիվ անվանումը կամ տնտեսական գործունեություն վարող ֆիզիկական անձի ազգանունը, անունը և հայրանունը |
M.SDE.00187 |
csdo:Name300Type (M.SDT.00056) Պայմանանշանների նորմալացված տող, որը չի պարունակում տողի ընդհատման (#xA) և սյունատների (#x9) պայմանանշաններ: Նվազ. երկարությունը՝ 1։ Առավ. երկարությունը՝ 300 |
0..1 | |
|
3.3.3. Տնտեսավարող սուբյեկտի կարճ անվանումը (csdo:BusinessEntityBriefName) |
տնտեսավարող սուբյեկտի կրճատ անվանումը կամ տնտեսական գործունեություն վարող ֆիզիկական անձի ազգանունը, անունը և հայրանունը |
M.SDE.00188 |
csdo:Name120Type (M.SDT.00055) Պայմանանշանների նորմալացված տող, որը չի պարունակում տողի ընդհատման (#xA) և սյունատների (#x9) պայմանանշաններ: Նվազ. երկարությունը՝ 1։ Առավ. երկարությունը՝ 120 |
0..1 | |
|
3.3.4. Կազմակերպաիրավական ձևի ծածկագիրը (csdo:BusinessEntityTypeCode) |
այն կազմակերպաիրավական ձևի ծածկագրային նշագիրը, որով գրանցված է տնտեսավարող սուբյեկտը |
M.SDE.00023 |
csdo:UnifiedCode20Type (M.SDT.00140) Ծածկագրի արժեքը՝ տեղեկատուին (դասակարգչին) համապատասխան, որը սահմանված է «Տեղեկատուի (դասակարգչի) նույնականացուցիչ» հատկանիշով։ Նվազ. երկարությունը՝ 1։ Առավ. երկարությունը՝ 20 |
0..1 | |
|
ա) տեղեկատուի (դասակարգչի) նույնականացուցիչը (հատկանիշ codeListId) |
տեղեկատուի (դասակարգչի) նշագիրը, որին համապատասխան նշված է ծածկագիրը |
- |
csdo:ReferenceDataIdTуре (M.SDT.00091) Պայմանանշանների նորմալացված տող, որը չի պարունակում տողի ընդհատման (#xA) և սյունատների (#x9) պայմանանշաններ: Նվազ. երկարությունը՝ 1։ Առավ. երկարությունը՝ 20 |
1 | |
|
3.3.5. Կազմակերպաիրավական ձևի անվանումը (csdo:BusinessEntityTypeName) |
այն կազմակերպաիրավական ձևի անվանումը, որով գրանցված է տնտեսավարող սուբյեկտը |
M.SDE.00090 |
csdo:Nаmе300Type (M.SDT.00056)Պայմանանշանների նորմալացված տող, որը չի պարունակում տողի ընդհատման (#xA) և սյունատների (#x9) պայմանանշաններ: Նվազ. երկարությունը՝ 1։ Առավ. երկարությունը՝ 300 |
0..1 | |
|
3.3.6. Տնտեսավարող սուբյեկտի նույնականացուցիչը (csdo:BusinessEntityId) |
պետական գրանցման ժամանակ ըստ ռեեստրի (ռեգիստրի) տրված գրանցման համարը (ծածկագիրը) |
M.SDE.00189 |
csdo:BusinessEntityIdTуре (M.SDT.00157) Պայմանանշանների նորմալացված տողը: Նվազ. երկարությունը՝ 1։ Առավ. երկարությունը՝ 20 |
0..1 | |
|
ա) նույնականացման մեթոդը (հատկանիշ kindId) |
տնտեսավարող սուբյեկտների նույնականացման մեթոդը |
- |
csdo:BusinessEntityIdKindIdType (M.SDT.00158) Տնտեսավարող սուբյեկտների նույնականացման մեթոդների տեղեկատուից նույնականացուցչի արժեքը |
1 | |
|
3.3.7. Նույնականացման եզակի մաքսային համարը (csdo:UniqueCustomsNumberId) |
տնտեսավարող սուբյեկտի նույնականացման եզակի համարը՝ նախատեսված մաքսային հսկողության նպատակների համար |
M.SDE.00135 |
csdo:UniqueCustomsNumberIdTуре (M.SDT.00089) Պայմանանշանների նորմալացված տողը: Նվազ. երկարությունը՝ 1։ Առավ. երկարությունը՝ 17 |
0..1 | |
|
3.3.8. Հարկ վճարողի նույնականացուցիչը (csdo:TaxpayerId) |
հարկ վճարողի գրանցման երկրի հարկ վճարողների ռեեստրում տնտեսավարող սուբյեկտի նույնականացուցիչը |
M.SDE.00025 |
csdo:TaxpayerIdType (M.SDT.00025) Նույնականացուցչի արժեքը՝ հարկ վճարողի գրանցման երկրում ընդունված կանոններին համապատասխան։ Նվազ. երկարությունը՝ 1։ Առավ. երկարությունը՝ 20 |
0..1 | |
|
3.3.9. Հաշվառման կանգնեցնելու պատճառի ծածկագիրը (csdo:TaxRegistrationReasonCode) |
Ռուսաստանի Դաշնությունում տնտեսավարող սուբյեկտին հարկային հաշվառման կանգնեցնելու պատճառը նույնականացնող ծածկագիրը |
M.SDE.00030 |
csdo:TaxRegistrationReasonCodeTуре (M.SDT.00030) Պայմանանշանների նորմալացված տողը: Ձևանմուշ՝ \d {9} |
0..1 | |
|
3.3.10. Հասցեն (ccdo:SubjectAddressDetails) |
սուբյեկտի հասցեն |
M.CDE.00058 |
ccdo:SubjectAddressDetailsType (M.CDT.00064) Որոշվում է ներդրված տարրերի արժեքների ոլորտներով |
0..* | |
|
*. 1. Հասցեի տեսակի ծածկագիրը (csdo:AddressKindCode) |
հասցեի տեսակի ծածկագրային նշագիրը |
M.SDE.00192 |
csdo:AddressKindCodeType (M.SDT.00162) Ծածկագրի արժեքը՝ հասցեների տեսակների դասակարգչին համապատասխան: Նվազ. երկարությունը՝ 1։ Առավ. երկարությունը՝ 20 |
0..1 | |
|
*.2. Երկրի ծածկագիրը (csdo:UnifiedCountryCode) |
երկրի ծածկագրային նշագիրը |
M.SDE.00162 |
csdo։UnifiedCountryCodeType (M.SDT.00112) Երկտառ ծածկագրի արժեքը՝ աշխարհի երկրների դասակարգչին համապատասխան, որը սահմանված է «Տեղեկատուի (դասակարգչի) նույնականացուցիչ» հատկանիշով։ Ձևանմուշ՝ [A-Z]{2} |
0..1 | |
|
ա) տեղեկատուի (դասակարգչի) նույնականացուցիչը (հատկանիշ codeListId) |
տեղեկատուի (դասակարգչի) նշագիրը, որին համապատասխան նշված է ծածկագիրը |
- |
csdo:ReferenceDataIdType (M.SDT.00091) Պայմանանշանների նորմալացված տող, որը չի պարունակում տողի ընդհատման (#xA) և սյունատների (#x9) պայմանանշաններ: Նվազ. երկարությունը՝ 1։ Առավ. երկարությունը՝ 20 |
1 | |
|
*.3. Տարածքի ծածկագիրը (csdo:TerritoryCode) |
վարչատարածքային բաժանման միավորի ծածկագիրը |
M.SDE.00031 |
csdo:TerritoryCodeType (M.SDT.00031) Պայմանանշանների նորմալացված տողը: Նվազ. երկարությունը՝ 1։ Առավ. երկարությունը՝ 17 |
0..1 | |
|
*.4. արածաշրջանը (csdo։RegionName) |
առաջին մակարդակի վարչատարածքային բաժանման միավորի անվանումը |
M.SDE.00007 |
csdo:Name120Type (M.SDT.00055) Պայմանանշանների նորմալացված տող, որը չի պարունակում տողի ընդհատման (#xA) և սյունատների (#x9) պայմանանշաններ: Նվազ. երկարությունը՝ 1։ Առավ. երկարությունը՝ 120 |
0..1 | |
|
*.5. Շրջանը (csdo։DistrictName) |
երկրորդ մակարդակի վարչատարածքային բաժանման միավորի անվանումը |
M.SDE.00008 |
csdo:Name120Туре (M.SDT.00055) Պայմանանշանների նորմալացված տող, որը չի պարունակում տողի ընդհատման (#xA) և սյունատների (#x9) պայմանանշաններ: Նվազ. երկարությունը՝ 1։ Առավ. երկարությունը՝ 120 |
0..1 | |
|
*.6. Քաղաքը (csdo:CityName) |
քաղաքի անվանումը |
M.SDE.00009 |
csdo:Name120Туре (M.SDT.00055) Պայմանանշանների նորմալացված տող, որը չի պարունակում տողի ընդհատման (#xA) և սյունատների (#x9) պայմանանշաններ: Նվազ. երկարությունը՝ 1։ Առավ. երկարությունը՝ 120 |
0..1 | |
|
*.7. Բնակավայրը (csdo:SettlementName) |
բնակավայրի անվանումը |
M.SDE.00057 |
csdo:Name120Type (M.SDT.00055) Պայմանանշանների նորմալացված տող, որը չի պարունակում տողի ընդհատման (#xA) և սյունատների (#x9) պայմանանշաններ: Նվազ. երկարությունը՝ 1։ Առավ. երկարությունը՝ 120 |
0..1 | |
|
*.8. Փողոցը (csdo:StreetName) |
քաղաքային ենթակառուցվածքի փողոցաճանապարհային ցանցի տարրի անվանումը |
M.SDE.00010 |
csdo:Name120Type (M.SDT.00055) Պայմանանշանների նորմալացված տող, որը չի պարունակում տողի ընդհատման (#xA) և սյունատների (#x9) պայմանանշաններ: Նվազ. երկարությունը՝ 1։ Առավ. երկարությունը՝ 120 |
0..1 | |
|
*.9. Շենքի համարը (csdo:BuildingNumberId) |
տան, մասնաշենքի, շինության նշագիրը |
M.SDE.00011 |
csdo:Id50Type (M.SDT.00093) Պայմանանշանների նորմալացված տողը: Նվազ. երկարությունը՝ 1։ Առավ. երկարությունը՝ 50 |
0..1 | |
|
*.10. Սենքի համարը (csdo:RoomNumberId) |
գրասենյակի կամ բնակարանի նշագիրը |
M.SDE.00012 |
csdo:Id20Type (M.SDT.00092) Պայմանանշանների նորմալացված տողը: Նվազ. երկարությունը՝ 1։ Առավ. երկարությունը՝ 20 |
0..1 | |
|
*.11. Փոստային ինդեքսը (csdo:PostCode) |
փոստային կապի ձեռնարկության փոստային ինդեքսը |
M.SDE.00006 |
csdo:PostCodeType (M.SDT.00006) Պայմանանշանների նորմալացված տողը: Ձևանմուշ՝ [A-Z0-9][A-Z0-9 -]{1,8}[А- Z0-9] |
0..1 | |
|
*.12. Բաժանորդային արկղի համարը (csdo:PostOfficeBoxId) |
փոստային կապի ձեռնարկության բաժանորդային արկղի համարը |
M.SDE.00013 |
csdo:Id20Type (M.SDT.00092) Պայմանանշանների նորմալացված տողը: Նվազ. երկարությունը՝ 1։ Առավ. երկարությունը՝ 20 |
0..1 | |
|
3.3.11. Կոնտակտային վավերապայմանը (ccdo:CommunicationDetails) |
կոնտակտային վավերապայմանը՝ նշելով կապի միջոցի (կապուղու) եղանակը և նույնականացուցիչը |
M.CDE.00003 |
ccdo: CommunicationDetailsType (M.CDT.00003) Որոշվում է ներդրված տարրերի արժեքների ոլորտներով |
0..* | |
|
*.1. Կապի տեսակի ծածկագիրը (csdo:CommunicationChannelCode) |
կապի միջոցի (կապուղու) տեսակի (հեռախոս, ֆաքս, էլեկտրոնային փոստ և այլն) ծածկագրային նշագիրը |
M.SDE.00014 |
csdo:CommunicationChannelCodeV2Type (M.SDT.00163) Ծածկագրի արժեքը՝ կապի տեսակների դասակարգչին համապատասխան: Նվազ. երկարությունը՝ 1։ Առավ. երկարությունը՝ 20 |
0..1 | |
|
*.2. Կապի տեսակի անվանումը (csdo:CommunicationChannel Name) |
կապի միջոցի (կապուղու) տեսակի (հեռախոս, ֆաքս, էլեկտրոնային փոստ և այլն) անվանումը |
M.SDE.00093 |
csdo:Namel20Type (M.SDT.00055) Պայմանանշանների նորմալացված տող, որը չի պարունակում տողի ընդհատման (#xA) և սյունատների (#x9) պայմանանշաններ: Նվազ. երկարությունը՝ 1։ Առավ. երկարությունը՝ 120 |
0..1 | |
|
*.3. Կապուղու նույնականացուցիչը (csdo:CommunicationChannelId) |
կապուղին նույնականացնող պայմանանշանների հաջորդականությունը (հեռախոսահամարի, ֆաքսի, էլեկտրոնային փոստի հասցեի նշում և այլն) |
M.SDE.00015 |
csdo:CommunicationChannelIdTуре (M.SDT.00015) Պայմանանշանների նորմալացված տողը: Նվազ. երկարությունը՝ 1։ Առավ. երկարությունը՝ 1000 |
1..* | |
|
3.3.12. Անձ հաստատող վկայականը (ccdo:UnifiedIdentityDocDetails) |
ֆիզիկական անձի՝ անձը հաստատող փաստաթղթի մասին տեղեկություններ |
M.CDE.00048 |
ccdo:UnifiedIdentityDocDetailsType (M.CDT.00050) Որոշվում է ներդրված տարրերի արժեքների ոլորտներով |
0..1 | |
|
*.1. Երկրի ծածկագիրը (csdo:UnifiedCountryCode) |
երկրի ծածկագրային նշագիրը |
M.SDE.00162 |
csdo:UnifiedCountryCodeType (M.SDT.00112) Երկտառ ծածկագրի արժեքը՝ աշխարհի երկրների դասակարգչին համապատասխան, որը սահմանված է «Տեղեկատուի (դասակարգչի) նույնականացուցիչ» հատկանիշով։ Ձևանմուշ՝ [A-Z]{2} |
1 | |
|
ա) տեղեկատուի (դասակարգչի) նույնականացուցիչը (հատկանիշ codeListId) |
տեղեկատուի (դասակարգչի) նշագիրը, որին համապատասխան նշված է ծածկագիրը |
- |
csdo:ReferenceDataIdType (M.SDT.00091) Պայմանանշանների նորմալացված տող, որը չի պարունակում տողի ընդհատման (#xA) և սյունատների (#x9) պայմանանշաններ: Նվազ. երկարությունը՝ 1։ Առավ. երկարությունը՝ 20 |
1 | |
|
*.2. Անձը հաստատող փաստաթղթի տեսակի ծածկագիրը (csdo:UnifiedIdentityDocKind Code) |
անձը հաստատող փաստաթղթի տեսակի ծածկագրային նշագիրը |
M.SDE.00185 |
csdo:UnifiedCode20Type (M.SDT.00140) Ծածկագրի արժեքը՝ տեղեկատուին (դասակարգչին) համապատասխան, որը սահմանված է «Տեղեկատուի (դասակարգչի) նույնականացուցիչ» հատկանիշով։ Նվազ. երկարությունը՝ 1։ Առավ. երկարությունը՝ 20 |
0..1 | |
|
ա) տեղեկատուի (դասակարգչի) նույնականացուցիչը (հատկանիշ codeListId) |
տեղեկատուի (դասակարգչի) նշագիրը, որին համապատասխան նշված է ծածկագիրը |
- |
csdo:ReferenceDataIdTуре (M.SDT.00091) Պայմանանշանների նորմալացված տող, որը չի պարունակում տողի ընդհատման (#xA) և սյունատների (#x9) պայմանանշաններ: Նվազ. երկարությունը՝ 1։ Առավ. երկարությունը՝ 20 |
1 | |
|
*.3. Փաստաթղթի տեսակի անվանումը (csdo:DocKindName) |
փաստաթղթի տեսակի անվանումը |
M.SDE.00095 |
csdo:Name500Type (M.SDT.00134) Պայմանանշանների նորմալացված տող, որը չի պարունակում տողի ընդհատման (#xA) և սյունատների (#x9) պայմանանշաններ: Նվազ. երկարությունը՝ 1։ Առավ. երկարությունը՝ 500 |
0..1 | |
|
*.4. Փաստաթղթի սերիան (csdo:DocSeriesId) |
փաստաթղթի սերիայի թվային կամ տառաթվային նշագիրը |
M.SDE.00157 |
csdo:Id20Type (M.SDT.00092) Պայմանանշանների նորմալացված տողը: Նվազ. երկարությունը՝ 1։ Առավ. երկարությունը՝ 20 |
0..1 | |
|
*.5. Փաստաթղթի համարը (csdo:DocId) |
փաստաթղթի գրանցման ժամանակ դրան տրվող թվային կամ տառաթվային նշագիրը |
M.SDE.00044 |
csdo:Id50Type (M.SDT.00093) Պայմանանշանների նորմալացված տողը: Նվազ. երկարությունը՝ 1։ Առավ. երկարությունը՝ 50 |
1 | |
|
*.6. Փաստաթղթի ամսաթիվը (csdo:DocCreationDate) |
փաստաթղթի տրման, ստորագրման, հաստատման կամ գրանցման ամսաթիվը |
M.SDE.00045 |
bdt:DateType (M.BDT.00005) Ամսաթվի նշագիրը՝ ԳՕՍՏ ԻՍՕ 8601-2001-ին համապատասխան |
0..1 | |
|
*.7. Անդամ պետության լիազորված մարմնի նույնականացուցիչը (csdo։ AuthorityId) |
փաստաթուղթը տրամադրած անդամ պետության լիազորված մարմնի կառուցվածքային ստորաբաժանման եզակի նույնականացնող հատկանիշը |
M.SDE.00068 |
csdo:Id20Type (M.SDT.00092) Պայմանանշանների նորմալացված տողը: Նվազ. երկարությունը՝ 1։ Առավ. երկարությունը՝ 20 |
0..1 | |
|
*.8. Անդամ պետության լիազորված մարմնի անվանումը (csdo:AuthorityName) |
փաստաթուղթը տրամադրած անդամ պետության լիազորված մարմնի կառուցվածքային ստորաբաժանման լրիվ անվանումը |
M.SDE.00066 |
csdo:Name300Type (M.SDT.00056) Պայմանանշանների նորմալացված տող, որը չի պարունակում տողի ընդհատման (#xA) և սյունատների (#x9) պայմանանշաններ: Նվազ. երկարությունը՝ 1։ Առավ. երկարությունը՝ 300 |
0..1 | |
|
3.3.13. Իրավաբանական անձի առանձնացված ստորաբաժանման վավերապայմանները (cacdo:BranchDetails) |
իրավաբանական անձի առանձնացված ստորաբաժանման վավերապայմանների մասին տեղեկություններ |
M.CA.CDE.00100 |
cacdo:UnifiedCAOrganizationBaseType (M.CA.CDT.00298) Որոշվում է ներդրված տարրերի արժեքների ոլորտներով |
0..1 | |
|
*.1. Երկրի ծածկագիրը (csdo:UnifiedCountryCode) |
տնտեսավարող սուբյեկտի գրանցման երկրի ծածկագրային նշագիրը |
M.SDE.00162 |
csdo:UnifiedCountryCodeType (M.SDT.00112) Երկտառ ծածկագրի արժեքը՝ աշխարհի երկրների դասակարգչին համապատասխան, որը սահմանված է «Տեղեկատուի (դասակարգչի) նույնականացուցիչ» հատկանիշով։ Ձևանմուշ՝ [A-Z]{2} |
0..1 | |
|
ա) տեղեկատուի (դասակարգչի) նույնականացուցիչը (հատկանիշ codeListId) |
տեղեկատուի (դասակարգչի) նշագիրը, որին համապատասխան նշված է ծածկագիրը |
- |
csdo:ReferenceDataIdType (M.SDT.00091) Պայմանանշանների նորմալացված տող, որը չի պարունակում տողի ընդհատման (#xA) և սյունատների (#x9) պայմանանշաններ: Նվազ. երկարությունը՝ 1։ Առավ. երկարությունը՝ 20 |
1 | |
|
*.2. Տնտեսավարող սուբյեկտի անվանումը (csdo:BusinessEntityName) |
տնտեսավարող սուբյեկտի լրիվ անվանումը կամ տնտեսական գործունեություն վարող ֆիզիկական անձի ազգանունը, անունը և հայրանունը |
M.SDE.00187 |
csdo:Name300Type (M.SDT.00056) Պայմանանշանների նորմալացված տող, որը չի պարունակում տողի ընդհատման (#xA) և սյունատների (#x9) պայմանանշաններ: Նվազ. երկարությունը՝ 1։ Առավ. երկարությունը՝ 300 |
0..1 | |
|
*.3. Տնտեսավարող սուբյեկտի կարճ անվանումը (csdo:BusinessEntityBrief Name) |
տնտեսավարող սուբյեկտի կրճատ անվանումը կամ տնտեսական գործունեություն վարող ֆիզիկական անձի ազգանունը, անունը և հայրանունը |
M.SDE.00188 |
csdo:Name120Type (M.SDT.00055) Պայմանանշանների նորմալացված տող, որը չի պարունակում տողի ընդհատման (#xA) և սյունատների (#x9) պայմանանշաններ: Նվազ. երկարությունը՝ 1։ Առավ. երկարությունը՝ 120 |
0..1 | |
|
*.4. Կազմակերպաիրավական ձևի ծածկագիրը (csdo:BusinessEntityTypeCode) |
այն կազմակերպաիրավական ձևի ծածկագրային նշագիրը, որով գրանցված է տնտեսավարող սուբյեկտը |
M.SDE.00023 |
csdo:UnifiedCode20Type (M.SDT.00140) Ծածկագրի արժեքը՝ տեղեկատուին (դասակարգչին) համապատասխան, որը սահմանված է «Տեղեկատուի (դասակարգչի) նույնականացուցիչ» հատկանիշով։ Նվազ. երկարությունը՝ 1։ Առավ. երկարությունը՝ 20 |
0..1 | |
|
ա) տեղեկատուի (դասակարգչի) նույնականացուցիչը (հատկանիշ codeListId) |
տեղեկատուի (դասակարգչի) նշագիրը, որին համապատասխան նշված է ծածկագիրը |
- |
csdo:ReferenceDataIdTуре (M.SDT.00091) Պայմանանշանների նորմալացված տող, որը չի պարունակում տողի ընդհատման (#xA) և սյունատների (#x9) պայմանանշաններ: Նվազ. երկարությունը՝ 1։ Առավ. երկարությունը՝ 20 |
1 | |
|
*.5. Կազմակերպաիրավական ձևի անվանումը (csdo:BusinessEntityType Name) |
այն կազմակերպաիրավական ձևի անվանումը, որով գրանցված է տնտեսավարող սուբյեկտը |
M.SDE.00090 |
csdo:Name300Type (M.SDT.00056) Պայմանանշանների նորմալացված տող, որը չի պարունակում տողի ընդհատման (#xA) և սյունատների (#x9) պայմանանշաններ: Նվազ. երկարությունը՝ 1. Առավ. երկարությունը՝ 300 |
0..1 | |
|
*.6. Տնտեսավարող սուբյեկտի նույնականացուցիչը (csdo:BusinessEntityId) |
պետական գրանցման ժամանակ ըստ ռեեստրի (ռեգիստրի) տրված գրանցման համարը (ծածկագիրը) |
M.SDE.00189 |
csdo:BusinessEntityIdTуре (M.SDT.00157) Պայմանանշանների նորմալացված տողը: Նվազ. երկարությունը՝ 1։ Առավ. երկարությունը՝ 20 |
0..1 | |
|
ա) նույնականացման մեթոդը (հատկանիշ kindId) |
տնտեսավարող սուբյեկտների նույնականացման մեթոդը |
- |
csdo:BusinessEntityIdKindIdType (M.SDT.00158) Տնտեսավարող սուբյեկտների նույնականացման մեթոդների տեղեկատուից նույնականացուցիչի արժեքը |
1 | |
|
*.7. Նույնականացման եզակի մաքսային համարը (csdo:UniqueCustomsNumber Id) |
տնտեսավարող սուբյեկտի նույնականացման եզակի համարը՝ նախատեսված մաքսային հսկողության նպատակների համար |
M.SDE.00135 |
csdo:UniqueCustomsNumberIdType (M.SDT.00089) Պայմանանշանների նորմալացված տողը: Նվազ. երկարությունը՝ 1։ Առավ. երկարությունը՝ 17 |
0..1 | |
|
*.8. Հարկ վճարողի նույնականացուցիչը (csdo:TaxpayerId) |
հարկ վճարողի գրանցման երկրի հարկ վճարողների ռեեստրում տնտեսավարող սուբյեկտի նույնականացուցիչը |
M.SDE.00025 |
csdo:TaxpayerIdType (M.SDT.00025) Նույնականացուցչի արժեքը՝ հարկ վճարողի գրանցման երկրում ընդունված կանոններին համապատասխան։ Նվազ. երկարությունը՝ 1։ Առավ. երկարությունը՝ 20 |
0..1 | |
|
*.9. Հաշվառման կանգնեցնելու պատճառի ծածկագիրը (csdo:TaxRegistrationReasonCode) |
Ռուսաստանի Դաշնությունում տնտեսավարող սուբյեկտին հարկային հաշվառման կանգնեցնելու պատճառը նույնականացնող ծածկագիրը |
M.SDE.00030 |
csdo:ТaxRegistrationReasonCodeType (M.SDT.00030) Պայմանանշանների նորմալացված տողը: Ձևանմուշ՝ \d{9} |
0..1 | |
|
*.10. Հասցեն (ccdo:SubjectAddressDetails) |
սուբյեկտի հասցեն |
M.CDE.00058 |
ccdo:SubjectAddressDetailsType (M.CDT.00064) Որոշվում է ներդրված տարրերի արժեքների ոլորտներով |
0..1 | |
|
*.10.1. Հասցեի տեսակի ծածկագիրը (csdo:AddressKindCode) |
հասցեի տեսակի ծածկագրային նշագիրը |
M.SDE.00192 |
csdo:AddressKindCodeType (M.SDT.00162) Ծածկագրի արժեքը՝ հասցեների տեսակների դասակարգչին համապատասխան: Նվազ. երկարությունը՝ 1։ Առավ. երկարությունը՝ 20 |
0..1 | |
|
*.10.2. Երկրի ծածկագիրը (csdo:UnifiedCountryCode) |
երկրի ծածկագրային նշագիրը |
M.SDE.00162 |
csdo:UnifiedCountryCodeType (M.SDT.00112) Երկտառ ծածկագրի արժեքը՝ աշխարհի երկրների դասակարգչին համապատասխան, որը սահմանված է «Տեղեկատուի (դասակարգչի) նույնականացուցիչ» հատկանիշով։ Ձևանմուշ՝ [A-Z]{2} |
0..1 | |
|
ա) տեղեկատուի (դասակարգչի) նույնականացուցիչը (հատկանիշ codeListId) |
տեղեկատուի (դասակարգչի) նշագիրը, որին համապատասխան նշված է ծածկագիրը |
- |
csdo:ReferenceDataIdType (M.SDT.00091) Պայմանանշանների նորմալացված տող, որը չի պարունակում տողի ընդհատման (#xA) և սյունատների (#x9) պայմանանշաններ: Նվազ. երկարությունը՝ 1։ Առավ. երկարությունը՝ 20 |
1 | |
|
*.10.3. Տարածքի ծածկագիրը (csdo:TerritoryCode) |
վարչատարածքային բաժանման միավորի ծածկագիրը |
M.SDE.00031 |
csdo:ТerritoryCodeType (M.SDT.00031) Պայմանանշանների նորմալացված տողը: Նվազ. երկարությունը՝ 1։ Առավ. երկարությունը՝ 17 |
0..1 | |
|
*.10.4. Տարածաշրջանը (csdo:RegionName) |
առաջին մակարդակի վարչատարածքային բաժանման միավորի անվանումը |
M.SDE.00007 |
csdo:Name120Type (M.SDT.00055) Պայմանանշանների նորմալացված տող, որը չի պարունակում տողի ընդհատման (#xA) և սյունատների (#x9) պայմանանշաններ: Նվազ. երկարությունը՝ 1։ Առավ. երկարությունը՝ 120 |
0..1 | |
|
*.10.5. Շրջանը (csdo:DistrictName) |
երկրորդ մակարդակի վարչատարածքային բաժանման միավորի անվանումը |
M.SDE.00008 |
csdo:Name120Type (M.SDT.00055) Պայմանանշանների նորմալացված տող, որը չի պարունակում տողի ընդհատման (#xA) և սյունատների (#x9) պայմանանշաններ: Նվազ. երկարությունը՝ 1։ Առավ. երկարությունը՝ 120 |
0..1 | |
|
*.10.6. Քաղաքը (csdo:CityName) |
քաղաքի անվանումը |
M.SDE.00009 |
csdo:Name120Туре (M.SDT.00055) Պայմանանշանների նորմալացված տող, որը չի պարունակում տողի ընդհատման (#xA) և սյունատների (#x9) պայմանանշաններ: Նվազ. երկարությունը՝ 1։ Առավ. երկարությունը՝ 120 |
0..1 | |
|
*.10.7. Բնակավայրը (csdo:SettlementName) |
բնակավայրի անվանումը |
M.SDE.00057 |
csdo:Name120Type (M.SDT.00055) Պայմանանշանների նորմալացված տող, որը չի պարունակում տողի ընդհատման (#xA) և սյունատների (#x9) պայմանանշաններ: Նվազ. երկարությունը՝ 1։ Առավ. երկարությունը՝ 120 |
0..1 | |
|
*.10.8. Փողոցը (csdo:StreetName) |
քաղաքային ենթակառուցվածքի փողոցաճանապարհային ցանցի տարրի անվանումը |
M.SDE.00010 |
csdo:Name120Type (M.SDT.00055) Պայմանանշանների նորմալացված տող, որը չի պարունակում տողի ընդհատման (#xA) և սյունատների (#x9) պայմանանշաններ: Նվազ. երկարությունը՝ 1։ Առավ. երկարությունը՝ 120 |
0..1 | |
|
*.10.9. Տան համարը (csdo:BuildingNumberId) |
տան, մասնաշենքի, շինության նշագիրը |
M.SDE.00011 |
csdo:Id50Type (M.SDT.00093) Պայմանանշանների նորմալացված տողը: Նվազ. երկարությունը՝ 1։ Առավ. երկարությունը՝ 50 |
0..1 | |
|
*.10.10. Սենքի համարը (csdo:RoomNumberId) |
գրասենյակի կամ բնակարանի նշագիրը |
M.SDE.00012 |
csdo:Id20Type (M.SDT.00092) Պայմանանշանների նորմալացված տողը: Նվազ. երկարությունը՝ 1։ Առավ. երկարությունը՝ 20 |
0..1 | |
|
*.10.11. Փոստային ինդեքսը (csdo:Postcode) |
փոստային կապի ձեռնարկության փոստային ինդեքսը |
M.SDE.00006 |
csdo:PostCodeType (M.SDT.00006) Պայմանանշանների նորմալացված տողը: Ձևանմուշ՝ [A-Z0-9][A-Z0-9 -]{1,8}[А- Z0-9] |
0..1 | |
|
*.10.12. Բաժանորդային արկղի համարը (csdo:PostOfficeBoxId) |
փոստային կապի ձեռնարկության բաժանորդային արկղի համարը |
M.SDE.00013 |
csdo:Id20Type (M.SDT.00092) Պայմանանշանների նորմալացված տողը: Նվազ. երկարությունը՝ 1։ Առավ. երկարությունը՝ 20 |
0..1 | |
|
*.11. Կոնտակտային վավերապայմանը (ccdo:CommunicationDetails) |
կոնտակտային վավերապայմանը՝ նշելով կապի միջոցի (կապուղու) եղանակը և նույնականացուցիչը |
M.CDE.00003 |
ccdo:CommunicationDetailsType (M.CDT.00003) Որոշվում է ներդրված տարրերի արժեքների ոլորտներով |
0..* | |
|
*.11.1. Կապի տեսակի ծածկագիրը (csdo:CommunicationChannelCode) |
կապի միջոցի (կապուղու) տեսակի (հեռախոս, ֆաքս, էլեկտրոնային փոստ և այլն) ծածկագրային նշագիրը |
M.SDE.00014 |
csdo:CommunicationChannelCodeV2Type (M.SDT.00163) Ծածկագրի արժեքը՝ կապի տեսակների դասակարգչին համապատասխան: Նվազ. երկարությունը՝ 1։ Առավ. երկարությունը՝ 20 |
0..1 | |
|
*.11.2. Կապի տեսակի անվանումը (csdo:CommunicationChannelName) |
կապի միջոցի (կապուղու) տեսակի (հեռախոս, ֆաքս, էլեկտրոնային փոստ և այլն) անվանումը |
M.SDE.00093 |
csdo:Name120Type (M.SDT.00055) Պայմանանշանների նորմալացված տող, որը չի պարունակում տողի ընդհատման (#xA) և սյունատների (#x9) պայմանանշաններ: Նվազ. երկարությունը՝ 1։ Առավ. երկարությունը՝ 120 |
0..1 | |
|
*.11.3. Կապուղու նույնականացուցիչը (csdo:CommunicationChannelId) |
կապուղին նույնականացնող պայմանանշանների հաջորդականությունը (հեռախոսահամարի, ֆաքսի, էլեկտրոնային փոստի հասցեի նշում և այլն) |
M.SDE.00015 |
csdo:CommunicationChannelIdTуре (M.SDT.00015) Պայմանանշանների նորմալացված տողը: Նվազ. երկարությունը՝ 1։ Առավ. երկարությունը՝ 1000 |
1..* | |
|
3.4. Նշանակման երկիրը (cacdo:DestinationCountryDetails) |
նշանակման երկրի մասին տեղեկություններ |
M.CA.CDE.00205 |
cacdo:СACountryDetailsTуре (M.CA.CDT.00079) Որոշվում է ներդրված տարրերի արժեքների ոլորտներով |
1 | |
|
3.4.1. Երկրի ծածկագիրը (csdo:UnifiedCountryCode) |
երկրի ծածկագրային նշագիրը |
M.SDE.00162 |
csdo:UnifiedCountryCodeTуре (M.SDT.00112) Երկտառ ծածկագրի արժեքը՝ աշխարհի երկրների դասակարգչին համապատասխան, որը սահմանված է «Տեղեկատուի (դասակարգչի) նույնականացուցիչ» հատկանիշով։ Ձևանմուշ՝ [A-Z] {2} |
1 | |
|
ա) տեղեկատուի (դասակարգչի) նույնականացուցիչը (հատկանիշ codeListId) |
տեղեկատուի (դասակարգչի) նշագիրը, որին համապատասխան նշված է ծածկագիրը |
- |
csdo:ReferenceDataIdType (M.SDT.00091) Պայմանանշանների նորմալացված տող, որը չի պարունակում տողի ընդհատման (#xA) և սյունատների (#x9) պայմանանշաններ: Նվազ. երկարությունը՝ 1։ Առավ. երկարությունը՝ 20 |
1 | |
|
3.4.2. Երկրի կարճ անվանումը (casdo:ShortCountryName) |
երկրի կարճ անվանումը՝ աշխարհի երկրների դասակարգչին համապատասխան |
M.CA.SDE.00123 |
csdo:Name40Type (M.SDT.00069) Պայմանանշանների նորմալացված տող, որը չի պարունակում տողի ընդհատման (#xA) և սյունատների (#x9) պայմանանշաններ: Նվազ. երկարությունը՝ 1։ Առավ. երկարությունը՝ 40 |
0..1 | |
|
3.5. Ապրանքների փաստացի արտահանումը։ Արտահանման ժամանակ ապրանքի վերաբերյալ տեղեկատվություն (cacdo:FEGoodsDetails) |
արտահանվող ապրանքների մասին տեղեկություններ |
M.CA.CDE.00360 |
cacdo:FEGoodsDetailsType (M.CA.CDT.00320) Որոշվում է ներդրված տարրերի արժեքների ոլորտներով |
1..* | |
|
3.5.1. Ապրանքների փաստացի արտահանումը։ Ապրանքների մասին տեղեկություններ (cacdo:FEGoodsInfoDetails) |
փաստացի արտահանման ժամանակ ապրանքի մասին տեղեկություններ |
M.CA.CDE.00261 |
cacdo:FEGoodsInfoDetailsTуре (M.CA.CDT.00237) Որոշվում է ներդրված տարրերի արժեքների ոլորտներով |
1 | |
|
*. 1. Ապրանքի հերթական համարը (casdo:ConsignmentItemOrdinal) |
ապրանքի հերթական համարը |
M.CA.SDE.00183 |
casdo:Ordinal3NumbегТуре (M.CA.SDT.00140) Հաշվարկի տասնորդական համակարգում ամբողջ ոչ բացասական թիվը: Ձևանմուշ՝ /d{l,3} |
0..1 | |
|
*.2. Ապրանքի ծածկագիրն ըստ ԵԱՏՄ ԱՏԳ ԱԱ-ի (csdo:CommodityCode) |
ապրանքի ծածկագրային նշագիրը՝ ԵԱՏՄ ԱՏԳ ԱԱ-ին համապատասխան |
M.SDE.00091 |
csdo:CommodityCodeTуре (M.SDT.00065) ԵՍՏՄ ԱՏԳ ԱԱ–ի ծածկագրի արժեքը՝ 2, 4, 6, 8, 9 կամ 10 նիշերի մակարդակով։ Ձևանմուշ՝ \d{2}|\d{4}|\d{6}|\d{8,10} |
0..1 | |
|
*.3. Ապրանքի անվանումը (casdo:GoodsDescriptionText) |
ապրանքի նկարագրությունը՝ ներառյալ ապրանքի առևտրային, կոմերցիոն կամ մյուս ավանդական անվանումը |
M.CA.SDE.00164 |
csdo:Text250Type (M.SDT.00072) Պայմանանշանների տողը: Նվազ. երկարությունը՝ 1։ Առավ. երկարությունը՝ 250 |
1..* | |
|
*.4. Համաքաշը (csdo:UnifiedGrossMassMeasure) |
ապրանքի քաշը, համաքաշը |
M.SDE.00168 |
csdo:UnifiedPhysicalMeasureTуре (M.SDT.00122) Քանակը՝ հաշվարկի տասնորդական համակարգում։ Թվերի առավելագույն քանակը՝ 24։ Կոտորակային թվերի առավելագույն քանակը՝ 6 |
0..1 | |
|
ա) չափման միավորը (հատկանիշ measurementUnitCode) |
չափման միավորի ծածկագրային նշագիրը |
- |
csdo:MeasurementUnitCodeType (M.SDT.00074 Տառաթվային ծածկագիրը: Ձևանմուշ՝ [0-9A-Z] {2,3} |
1 | |
|
բ) դասակարգչի նույնականացուցիչը (հատկանիշ measurementUnit CodeListId) |
չափման միավորների դասակարգչի նույնականացուցիչը |
- |
csdo:ReferenceDataIdType (M.SDT.00091) Պայմանանշանների նորմալացված տող, որը չի պարունակում տողի ընդհատման (#xA) և սյունատների (#x9) պայմանանշաններ: Նվազ. երկարությունը՝ 1։ Առավ. երկարությունը՝ 20 |
1 | |
|
*.5. Զտաքաշը (csdo:UnifiedNetMassMeasure) |
ապրանքի քաշը, զտաքաշը |
M.SDE.00174 |
csdo:UnifiedPhysicalMeasureTуре (M.SDT.00122) Քանակը՝ հաշվարկի տասնորդական համակարգում։ Թվերի առավելագույն քանակը՝ 24։ Կոտորակային թվերի առավելագույն քանակը՝ 6 |
0..1 | |
|
ա) չափման միավորը (հատկանիշ measurementUnitCode) |
չափման միավորի ծածկագրային նշագիրը |
- |
csdo:MeasurementUnitCodeType (M.SDT.00074) Տառաթվային ծածկագիրը: Ձևանմուշ՝ [0-9A-Z]{2,3} |
1 | |
|
բ) դասակարգչի նույնականացուցիչը (հատկանիշ measurementUnit CodeListId) |
չափման միավորների դասակարգչի նույնականացուցիչը |
- |
csdo:ReferenceDataIdType (M.SDT.00091) Պայմանանշանների նորմալացված տող, որը չի պարունակում տողի ընդհատման (#xA) և սյունատների (#x9) պայմանանշաններ: Նվազ. երկարությունը՝ 1։ Առավ. երկարությունը՝ 20 |
1 | |
|
*.6. Ապրանքի քանակը՝ լրացուցիչ չափման միավորով (cacdo:GoodsMeasureDetails) |
ապրանքի քանակը՝ լրացուցիչ չափման միավորով |
M.CA.CDE.00153 |
cacdo:GoodsMeasureDetailsTуре (M.CA.CDT.00109) Որոշվում է ներդրված տարրերի արժեքների ոլորտներով |
0..2 | |
|
*.6.1. Ապրանքների քանակը՝ լրացուցիչ չափման միավորով (casdo:GoodsMeasure) |
ապրանքների քանակը՝ լրացուցիչ չափման միավորով |
M.CA.SDE.00215 |
csdo:UnifiedPhysicalMeasureType (M.SDT.00122) Քանակը՝ հաշվարկի տասնորդական համակարգում։ Թվերի առավելագույն քանակը՝ 24։ Կոտորակային թվերի առավելագույն քանակը՝ 6 |
1 | |
|
ա) չափման միավորը (հատկանիշ measurement UnitCode) |
չափման միավորի ծածկագրային նշագիրը |
- |
csdo:MeasurementUnitCodeType (M.SDT.00074) Տառաթվային ծածկագիրը: Ձևանմուշ՝ [0-9A-Z] {2,3} |
1 | |
|
բ) դասակարգչի նույնականացուցիչը (հատկանիշ measurement UnitCodeListId) |
չափման միավորների դասակարգչի նույնականացուցիչը |
- |
csdo: ReferenceDataIdTуре (M.SDT.00091) Պայմանանշանների նորմալացված տող, որը չի պարունակում տողի ընդհատման (#xA) և սյունատների (#x9) պայմանանշաններ: Նվազ. երկարությունը՝ 1։ Առավ. երկարությունը՝ 20 |
1 | |
|
*.6.2. Չափման միավորի պայմանական նշագիրը (casdo:MeasureUnitAbbreviationCode) |
չափման միավորի պայմանական նշագիրը |
M.CA.SDE.00222 |
casdo:CodeVariablel0CodeType (M.CA.SDT.00022) Պայմանանշանների նորմալացված տողը: Նվազ. երկարությունը՝ 1։ Առավ. երկարությունը՝ 10 |
0..1 | |
|
*.7. Ապրանքի մնացորդը (casdo:RemainGrossWeightMeasure) |
ապրանքի մնացորդն ըստ քաշի (համաքաշի) |
M.CA.SDE.00455 |
casdo:UnifiedFractionNumber24.6MeasureType (M.CA.SDT.00822) Որևէ չափման միավորով ֆիզիկական պարամետրերի չափման արդյունքում որոշված թվային արժեքը։ Թվերի առավելագույն քանակը՝ 24։ Կոտորակային թվերի առավելագույն քանակը՝ 6 |
0..1 | |
|
ա) չափման միավորը (հատկանիշ measurementUnitCode) |
չափման միավորի ծածկագրային նշագիրը |
- |
csdo:MeasurementUnitCodeType (M.SDT.00074) Տառաթվային ծածկագիրը: Ձևանմուշ՝ [0-9A-Z]{2,3} |
1 | |
|
բ) դասակարգչի նույնականացուցիչը (հատկանիշ measurementUnitCodeListId) |
չափման միավորների դասակարգչի նույնականացուցիչը |
- |
csdo:ReferenceDataIdTуре (M.SDT.00091) Պայմանանշանների նորմալացված տող, որը չի պարունակում տողի ընդհատման (#xA) և սյունատների (#x9) պայմանանշաններ: Նվազ. երկարությունը՝ 1։ Առավ. երկարությունը՝ 20 |
1 | |
|
*.8. Ապրանքների մնացորդը։ Լրացուցիչ չափման միավորը (cacdo:RemainGoodsMeasure Details) |
լրացուցիչ չափման միավորով ապրանքի մնացորդների մասին տեղեկություններ |
M.CA.CDE.00262 |
cacdo:GoodsMeasureDetailsType (M.CA.CDT.00109) Որոշվում է ներդրված տարրերի արժեքների ոլորտներով |
0..1 | |
|
*.8.1. Ապրանքների քանակը՝ լրացուցիչ չափման միավորով (casdo:GoodsMeasure) |
ապրանքների քանակը՝ լրացուցիչ չափման միավորով |
M.CA.SDE.00215 |
csdo:UnifiedPhysicalMeasureTуре (M.SDT.00122) Քանակը՝ հաշվարկի տասնորդական համակարգում։ Թվերի առավելագույն քանակը՝ 24։ Կոտորակային թվերի առավելագույն քանակը՝ 6 |
1 | |
|
ա) չափման միավորը (հատկանիշ measurement UnitCode) |
չափման միավորի ծածկագրային նշագիրը |
- |
csdo:MeasurementUnitCodeType (M.SDT.00074) Տառաթվային ծածկագիրը: Ձևանմուշ՝ [0-9A-Z] {2,3} |
1 | |
|
բ) դասակարգչի նույնականացուցիչը (հատկանիշ measurement UnitCodeListId) |
չափման միավորների դասակարգչի նույնականացուցիչը |
- |
csdo:ReferenceDataIdTуре (M.SDT.00091) Պայմանանշանների նորմալացված տող, որը չի պարունակում տողի ընդհատման (#xA) և սյունատների (#x9) պայմանանշաններ: Նվազ. երկարությունը՝ 1։ Առավ. երկարությունը՝ 20 |
1 | |
|
*.8.2. Չափման միավորի պայմանական նշագիրը (casdo:MeasureUnit AbbreviationCode) |
չափման միավորի պայմանական նշագիրը |
M.CA.SDE.00222 |
casdo:CodeVariable10CodeType (M.CA.SDT.00022) Պայմանանշանների նորմալացված տողը: Նվազ. երկարությունը՝ 1։ Առավ. երկարությունը՝ 10 |
0..1 | |
|
*.9. Ապրանքների կամ ծառայությունների արժեքը (casdo:GoodsCostAmount) |
ապրանքների կամ ծառայությունների արժեքի նշանակությունը |
M.CA.SDE.00383 |
casdo:РaymentAmount WithCurrency Type (M.CA.SDT.00001) Քանակը՝ հաշվարկի տասնորդական համակարգում։ Թվերի առավելագույն քանակը՝ 20։ Կոտորակային թվերի առավելագույն քանակը՝ 2 |
0..1 | |
|
ա) արժույթի ծածկագիրը (հատկանիշ currencyCode) |
արժույթի ծածկագրային նշագիրը |
- |
csdo:CurrencyCodeV3Type (M.SDT.00144) Տառային ծածկագրի արժեքը՝ արժույթի դասակարգչից, որը սահմանված է «Դասակարգչի նույնականացուցիչ» հատկանիշով։ Ձևանմուշ՝ [A-Z] {3} |
1 | |
|
բ) դասակարգչի նույնականացուցիչը (հատկանիշ currencyCodeListId) |
արժույթի դասակարգչի նույնականացուցիչը |
- |
csdo:ReferenceDataIdTуре (M.SDT.00091) Պայմանանշանների նորմալացված տող, որը չի պարունակում տողի ընդհատման (#xA) և սյունատների (#x9) պայմանանշաններ: Նվազ. երկարությունը՝ 1։ Առավ. երկարությունը՝ 20 |
1 | |
|
3.5.2. Փաստաթղթի մասին տեղեկություններ (cacdo:CADocDetails) |
ներկայացված փաստաթղթերի մասին տեղեկություններ |
M.CA.CDE.00307 |
cacdo:CADocDetailsType (M.CA.CDT.00324) Որոշվում է ներդրված տարրերի արժեքների ոլորտներով |
0..* | |
|
*. 1. Փաստաթղթի տեսակի ծածկագիրը (csdo:DocKindCode) |
փաստաթղթի տեսակի ծածկագրային նշագիրը |
M.SDE.00054 |
csdo:UnifiedCode20Tуре (M.SDT.00140) Ծածկագրի արժեքը՝ տեղեկատուին (դասակարգչին) համապատասխան, որը սահմանված է «Տեղեկատուի (դասակարգչի) նույնականացուցիչ» հատկանիշով։ Նվազ. երկարությունը՝ 1։ Առավ. երկարությունը՝ 20 |
0..1 | |
|
ա) տեղեկատուի (դասակարգչի) նույնականացուցիչը (հատկանիշ codeListId) |
տեղեկատուի (դասակարգչի) նշագիրը, որին համապատասխան նշված է ծածկագիրը |
- |
csdo:ReferenceDataIdType (M.SDT.00091) Պայմանանշանների նորմալացված տող, որը չի պարունակում տողի ընդհատման (#xA) և սյունատների (#x9) պայմանանշաններ: Նվազ. երկարությունը՝ 1։ Առավ. երկարությունը՝ 20 |
1 | |
|
*.2. Փաստաթղթի անվանումը (csdo:DocName) |
փաստաթղթի անվանումը |
M.SDE.00108 |
csdo:Name500Type (M.SDT.00134) Պայմանանշանների նորմալացված տող, որը չի պարունակում տողի ընդհատման (#xA) և սյունատների (#x9) պայմանանշաններ: Նվազ. երկարությունը՝ 1։ Առավ. երկարությունը՝ 500 |
0..1 | |
|
*.3. Փաստաթղթի համարը (csdo:DocId) |
փաստաթղթի գրանցման ժամանակ դրան տրվող թվային կամ տառաթվային նշագիրը |
M.SDE.00044 |
csdo:Id50Type (M.SDT.00093) Պայմանանշանների նորմալացված տողը: Նվազ. երկարությունը՝ 1։ Առավ. երկարությունը՝ 50 |
0..1 | |
|
*.4. Փաստաթղթի ամսաթիվը (csdo:DocCreationDate) |
փաստաթղթի տրման, ստորագրման, հաստատման կամ գրանցման ամսաթիվը |
M.SDE.00045 |
bdt:DateType (M.BDT.00005) Ամսաթվի նշագիրը՝ ԳՕՍՏ ԻՍՕ 8601-2001-ին համապատասխան |
0..1 | |
|
*.5. Երկրի ծածկագիրը (csdo:UnifiedCountryCode) |
երկրի ծածկագրային նշագիրը |
M.SDE.00162 |
csdo:UnifiedCountryCodeType (M.SDT.00112) Երկտառ ծածկագրի արժեքը՝ աշխարհի երկրների դասակարգչին համապատասխան, որը սահմանված է «Տեղեկատուի (դասակարգչի) նույնականացուցիչ» հատկանիշով։ Ձևանմուշ՝ [A-Z] {2} |
0..1 | |
|
ա) տեղեկատուի (դասակարգչի) նույնականացուցիչը (հատկանիշ codeListId) |
տեղեկատուի (դասակարգչի) նշագիրը, որին համապատասխան նշված է ծածկագիրը |
- |
csdo:ReferenceDataIdTуре (M.SDT.00091) Պայմանանշանների նորմալացված տող, որը չի պարունակում տողի ընդհատման (#xA) և սյունատների (#x9) պայմանանշաններ: Նվազ. երկարությունը՝ 1։ Առավ. երկարությունը՝ 20 |
1 | |
|
*.6. Լիազորված մարմնի նույնականացուցիչը (csdo:AuthorityV2Id) |
փաստաթուղթը տրամադրող կամ հաստատող՝ պետական կամ միջպետական մարմինը (կազմակերպությունը) նույնականացնող պայմանանշանների տողը |
M.SDE.00197 |
csdo:UnifiedId20Tуре (M.SDT.00152) Նույնականացուցիչի արժեքը՝ «Նույնականացման մեթոդ» հատկանիշով սահմանված նույնականացման մեթոդին համապատասխան։ Նվազ. երկարությունը՝ 1։ Առավ. երկարությունը՝ 20 |
0..1 | |
|
ա) նույնականացման մեթոդը (հատկանիշ schemeId) |
օբյեկտների նույնականացման մեթոդի նշագիրը, որին համապատասխան նշված է ծածկագիրը |
- |
csdo:ReferenceDataIdTуре (M.SDT.00091) Պայմանանշանների նորմալացված տող, որը չի պարունակում տողի ընդհատման (#xA) և սյունատների (#x9) պայմանանշաններ: Նվազ. երկարությունը՝ 1։ Առավ. երկարությունը՝ 20 |
1 | |
|
3.6. Սահմանին գտնվող տրանսպորտային միջոցը (cacdo:ВorderTransportDetails) |
սահմանին գտնվող տրանսպորտային միջոցի մասին տեղեկություններ |
M.CA.CDE.00252 |
cacdo:CATransportDetailsType (M.CA.CDT.00214) Որոշվում է ներդրված տարրերի արժեքների ոլորտներով |
1 | |
|
3.6.1. Տրանսպորտի տեսակի ծածկագիրը (csdo:UnifiedTransportMode Code) |
տրանսպորտի տեսակի ծածկագրային նշագիրը |
M.SDE.00166 |
csdo:UnifiedCode20Type (M.SDT.00140) Ծածկագրի արժեքը՝ տեղեկատուին (դասակարգչին) համապատասխան, որը սահմանված է «Տեղեկատուի (դասակարգչի) նույնականացուցիչ» հատկանիշով։ Նվազ. երկարությունը՝ 1։ Առավ. երկարությունը՝ 20 |
1 | |
|
ա) տեղեկատուի (դասակարգչի) նույնականացուցիչը (հատկանիշ codeListId) |
տեղեկատուի (դասակարգչի) նշագիրը, որին համապատասխան նշված է ծածկագիրը |
- |
csdo:ReferenceDataIdType (M.SDT.00091) Պայմանանշանների նորմալացված տող, որը չի պարունակում տողի ընդհատման (#xA) և սյունատների (#x9) պայմանանշաններ: Նվազ. երկարությունը՝ 1։ Առավ. երկարությունը՝ 20 |
1 | |
|
3.6.2. Տրանսպորտային միջոցը գրանցած երկրի ծածկագիրը (casdo:ТransportCountryCode) |
այն երկրի ծածկագրային նշագիրը, որտեղ գրանցված է ակտիվ տրանսպորտային միջոցը՝ 00՝ երկիրը, որտեղ գրանցված է տրանսպորտային միջոցը, հայտնի չէ. 99՝ ապրանքները փոխադրվել են տարբեր երկրներում գրանցված մի քանի տրանսպորտային միջոցներով |
M.CA.SDE.00429 |
casdo:CATransportCountryCodeType (M.CA.SDT.00143) Տրանսպորտային միջոցի գրանցման երկրի որոշման արդյունքը նշագրող ծածկագրի արժեքը։ Ձևանմուշ՝ [A-Z]{2}|[0-9]{2} |
0..1 | |
|
3.6.3. Տրանսպորտային միջոցի վերաբերյալ տեղեկատվություն (cacdo:CATransportIdDetails) |
տրանսպորտային միջոցի վերաբերյալ տեղեկատվություն |
M.CA.CDE.00361 |
cacdo:CATransportIdDetailsType (M.CA.CDT.00321) Որոշվում է ներդրված տարրերի արժեքների ոլորտներով |
0..* | |
|
*.1. Տրանսպորտային միջոցի գրանցման համարը (csdo:TransportMeansRegId) |
տրանսպորտային միջոցի գրանցման համարը |
M.SDE.00154 |
csdo:TransportMeansRegIdType (M.SDT.00101) Պայմանանշանների նորմալացված տողը: Նվազ. երկարությունը՝ 1։ Առավ. երկարությունը՝ 40 |
1 | |
|
ա) երկրի ծածկագիրը (հատկանիշ countryCode) |
այն երկրի ծածկագրային նշագիրը, որի կանոններով ձևավորվել է նշված ծածկագիրը |
- |
csdo:UnqualifiedCountryCodeTуре (M.SDT.00159) Տառային ծածկագրի արժեքը՝ աշխարհի երկրների դասակարգչից, որը սահմանված է «Դասակարգչի նույնականացուցիչ» հատկանիշով։ Ձևանմուշ՝ [A-Z]{2} |
0..1 | |
|
բ) դասակարգչի նույնականացուցիչը (հատկանիշ countryCodeListId) |
աշխարհի երկրների դասակարգչի նույնականացուցիչը |
- |
csdo:ReferenceDataIdType (M.SDT.00091) Պայմանանշանների նորմալացված տող, որը չի պարունակում տողի ընդհատման (#xA) և սյունատների (#x9) պայմանանշաններ: Նվազ. երկարությունը՝ 1։ Առավ. երկարությունը՝ 20 |
0..1 | |
|
*.2. Առաջին կցորդային տրանսպորտային միջոցի գրանցման համարը (casdo:FirstTrailerRegId) |
առաջին կցորդային տրանսպորտային միջոցի գրանցման համարը |
M.CA.SDE.00399 |
csdo:TransportMeansRegIdType (M.SDT.00101) Պայմանանշանների նորմալացված տողը: Նվազ. երկարությունը՝ 1։ Առավ. երկարությունը՝ 40 |
0..1 | |
|
ա) երկրի ծածկագիրը (հատկանիշ countryCode) |
այն երկրի ծածկագրային նշագիրը, որի կանոններով ձևավորվել է նշված ծածկագիրը |
- |
csdo:UnqualifiedCountryCodeType (M.SDT.00159) Տառային ծածկագրի արժեքը՝ աշխարհի երկրների դասակարգչից, որը սահմանված է «Դասակարգչի նույնականացուցիչ» հատկանիշով։ Ձևանմուշ՝ [A-Z]{2} |
0..1 | |
|
բ) դասակարգչի նույնականացուցիչը (հատկանիշ countryCodeListId) |
աշխարհի երկրների դասակարգչի նույնականացուցիչը |
- |
csdo:ReferenceDataIdType (M.SDT.00091) Պայմանանշանների նորմալացված տող, որը չի պարունակում տողի ընդհատման (#xA) և սյունատների (#x9) պայմանանշաններ: Նվազ. երկարությունը՝ 1։ Առավ. երկարությունը՝ 20 |
0..1 | |
|
*.3. Երկրորդ կցորդային տրանսպորտային միջոցի գրանցման համարը (casdo:SecondTrailerRegId) |
երկրորդ կցորդային տրանսպորտային միջոցի գրանցման համարը |
M.CA.SDE.00428 |
csdo:TransportMeansRegIdType (M.SDT.00101) Պայմանանշանների նորմալացված տողը: Նվազ. երկարությունը՝ 1։ Առավ. երկարությունը՝ 40 |
0..1 | |
|
ա) երկրի ծածկագիրը (հատկանիշ countryCode) |
այն երկրի ծածկագրային նշագիրը, որի կանոններով ձևավորվել է նշված ծածկագիրը |
- |
csdo:UnqualifiedCountryCodeType (M.SDT.00159) Տառային ծածկագրի արժեքը՝ աշխարհի երկրների դասակարգչից, որը սահմանված է «Դասակարգչի նույնականացուցիչ» հատկանիշով։ Ձևանմուշ՝ [A-Z]{2} |
0..1 | |
|
բ) դասակարգչի նույնականացուցիչը (հատկանիշ countryCodeListId) |
աշխարհի երկրների դասակարգչի նույնականացուցիչը |
- |
csdo:ReferenceDataIdTуре (M.SDT.00091) Պայմանանշանների նորմալացված տող, որը չի պարունակում տողի ընդհատման (#xA) և սյունատների (#x9) պայմանանշաններ: Նվազ. երկարությունը՝ 1։ Առավ. երկարությունը՝ 20 |
0..1 | |
|
3.7. Ապրանքներ փոխադրողի վավերապայմանները (cacdo:CarrierOrganizationDetails) |
ապրանքներ փոխադրողի մասին տեղեկություններ |
M.CA.CDE.00107 |
cacdo:СarrierOrganizationDetailsTypе (M.CA.CDT.00089) Որոշվում է ներդրված տարրերի արժեքների ոլորտներով |
0..* | |
|
3.7.1. Երկրի ծածկագիրը (csdo:UnifiedCountryCode) |
տնտեսավարող սուբյեկտի գրանցման երկրի ծածկագրային նշագիրը |
M.SDE.00162 |
csdo:UnifiedCountryCodeType (M.SDT.00112) Երկտառ ծածկագրի արժեքը՝ աշխարհի երկրների դասակարգչին համապատասխան, որը սահմանված է «Տեղեկատուի (դասակարգչի) նույնականացուցիչ» հատկանիշով։ Ձևանմուշ՝ [A-Z] {2} |
0..1 | |
|
ա) տեղեկատուի (դասակարգչի) նույնականացուցիչը (հատկանիշ codeListId) |
տեղեկատուի (դասակարգչի) նշագիրը, որին համապատասխան նշված է ծածկագիրը |
- |
csdo:ReferenceDataIdType (M.SDT.00091) Պայմանանշանների նորմալացված տող, որը չի պարունակում տողի ընդհատման (#xA) և սյունատների (#x9) պայմանանշաններ: Նվազ. երկարությունը՝ 1։ Առավ. երկարությունը՝ 20 |
1 | |
|
3.7.2. Տնտեսավարող սուբյեկտի անվանումը (csdo:BusinessEntityName) |
տնտեսավարող սուբյեկտի լրիվ անվանումը կամ տնտեսական գործունեություն վարող ֆիզիկական անձի ազգանունը, անունը և հայրանունը |
M.SDE.00187 |
csdo:Name300Type (M.SDT.00056) Պայմանանշանների նորմալացված տող, որը չի պարունակում տողի ընդհատման (#xA) և սյունատների (#x9) պայմանանշաններ: Նվազ. երկարությունը՝ 1։ Առավ. երկարությունը՝ 300 |
0..1 | |
|
3.7.3. Տնտեսավարող սուբյեկտի կարճ անվանումը (csdo:BusinessEntityBriefName) |
տնտեսավարող սուբյեկտի կրճատ անվանումը կամ տնտեսական գործունեություն վարող ֆիզիկական անձի ազգանունը, անունը և հայրանունը |
M.SDE.00188 |
csdo:Name120Type (M.SDT.00055) Պայմանանշանների նորմալացված տող, որը չի պարունակում տողի ընդհատման (#xA) և սյունատների (#x9) պայմանանշաններ: Նվազ. երկարությունը՝ 1։ Առավ. երկարությունը՝ 120 |
0..1 | |
|
3.7.4. Կազմակերպաիրավական ձևի ծածկագիրը (csdo:BusinessEntityTypeCode) |
այն կազմակերպաիրավական ձևի ծածկագրային նշագիրը, որով գրանցված է տնտեսավարող սուբյեկտը |
M.SDE.00023 |
csdo:UnifiedCode20Type (M.SDT.00140) Ծածկագրի արժեքը՝ տեղեկատուին (դասակարգչին) համապատասխան, որը սահմանված է «Տեղեկատուի (դասակարգչի) նույնականացուցիչ» հատկանիշով։ Նվազ. երկարությունը՝ 1։ Առավ. երկարությունը՝ 20 |
0..1 | |
|
ա) տեղեկատուի (դասակարգչի) նույնականացուցիչը (հատկանիշ codeListId) |
տեղեկատուի (դասակարգչի) նշագիրը, որին համապատասխան նշված է ծածկագիրը |
- |
csdo:ReferenceDataIdType (M.SDT.00091) Պայմանանշանների նորմալացված տող, որը չի պարունակում տողի ընդհատման (#xA) և սյունատների (#x9) պայմանանշաններ: Նվազ. երկարությունը՝ 1։ Առավ. երկարությունը՝ 20 |
1 | |
|
3.7.5. Կազմակերպաիրավական ձևի անվանումը (csdo:BusinessEntityTypeName) |
այն կազմակերպաիրավական ձևի անվանումը, որով գրանցված է տնտեսավարող սուբյեկտը |
M.SDE.00090 |
csdo:NаmеЗ00Type (M.SDT.00056) Պայմանանշանների նորմալացված տող, որը չի պարունակում տողի ընդհատման (#xA) և սյունատների (#x9) պայմանանշաններ: Նվազ. երկարությունը՝ 1։ Առավ. երկարությունը՝ 300 |
0..1 | |
|
3.7.6. Տնտեսավարող սուբյեկտի նույնականացուցիչը (csdo:BusinessEntityId) |
պետական գրանցման ժամանակ ըստ ռեեստրի (ռեգիստրի) տրված գրանցման համարը (ծածկագիրը) |
M.SDE.00189 |
csdo:BusinessEntityIdTуре (M.SDT.00157) Պայմանանշանների նորմալացված տողը: Նվազ. երկարությունը՝ 1։ Առավ. երկարությունը՝ 20 |
0..1 | |
|
ա) նույնականացման մեթոդը (հատկանիշ kindId) |
տնտեսավարող սուբյեկտների նույնականացման մեթոդը |
- |
csdo:BusinessEntityIdKindIdType (M.SDT.00158) Տնտեսավարող սուբյեկտների նույնականացման մեթոդների տեղեկատուից նույնականացուցչի արժեքը |
1 | |
|
3.7.7. Նույնականացման եզակի մաքսային համարը (csdo:UniqueCustomsNumberId) |
տնտեսավարող սուբյեկտի նույնականացման եզակի համարը՝ նախատեսված մաքսային հսկողության նպատակների համար |
M.SDE.00135 |
csdo:UniqueCustomsNumberIdTуре (M.SDT.00089) Պայմանանշանների նորմալացված տողը: Նվազ. երկարությունը՝ 1։ Առավ. երկարությունը՝ 17 |
0..1 | |
|
3.7.8. Հարկ վճարողի նույնականացուցիչը (csdo:TaxpayerId) |
հարկ վճարողի գրանցման երկրի հարկ վճարողների ռեեստրում տնտեսավարող սուբյեկտի նույնականացուցիչը |
M.SDE.00025 |
csdo:TaxpayerIdType (M.SDT.00025) Նույնականացուցչի արժեքը՝ հարկ վճարողի գրանցման երկրում ընդունված կանոններին համապատասխան։ Նվազ. երկարությունը՝ 1։ Առավ. երկարությունը՝ 20 |
0..1 | |
|
3.7.9. Հաշվառման կանգնեցնելու պատճառի ծածկագիրը (csdo:TaxRegistrationReasonCode) |
Ռուսաստանի Դաշնությունում տնտեսավարող սուբյեկտին հարկային հաշվառման կանգնեցնելու պատճառը նույնականացնող ծածկագիրը |
M.SDE.00030 |
csdo:ТaxRegistrationReasonCodeType (M.SDT.00030) Պայմանանշանների նորմալացված տողը: Ձևանմուշ՝ \d{9} |
0..1 | |
|
3.7.10. Հասցեն (cacdo:СASubjectAddressDetails) |
հասցեի մասին տեղեկություններ |
M.CA.CDE.00377 |
cacdo:СASubjectAddressDetailsType (M.CA.CDT.00337) Որոշվում է ներդրված տարրերի արժեքների ոլորտներով |
0..* | |
|
*. 1. Հասցեի տեսակի ծածկագիրը (csdo:AddressKindCode) |
հասցեի տեսակի ծածկագրային նշագիրը |
M.SDE.00192 |
csdo:AddressKindCodeType (M.SDT.00162) Ծածկագրի արժեքը՝ հասցեների տեսակների դասակարգչին համապատասխան: Նվազ. երկարությունը՝ 1։ Առավ. երկարությունը՝ 20 |
0..1 | |
|
*.2. Երկրի ծածկագիրը (csdo:UnifiedCountryCode) |
երկրի ծածկագրային նշագիրը |
M.SDE.00162 |
csdo:UnifiedCountryCodeType (M.SDT.00112) Երկտառ ծածկագրի արժեքը՝ աշխարհի երկրների դասակարգչին համապատասխան, որը սահմանված է «Տեղեկատուի (դասակարգչի) նույնականացուցիչ» հատկանիշով։ Ձևանմուշ՝ [A-Z]{2} |
0..1 | |
|
ա) տեղեկատուի (դասակարգչի) նույնականացուցիչը (հատկանիշ codeListId) |
տեղեկատուի (դասակարգչի) նշագիրը, որին համապատասխան նշված է ծածկագիրը |
- |
csdo:ReferenceDataIdTуре (M.SDT.00091) Պայմանանշանների նորմալացված տող, որը չի պարունակում տողի ընդհատման (#xA) և սյունատների (#x9) պայմանանշաններ: Նվազ. երկարությունը՝ 1։ Առավ. երկարությունը՝ 20 |
1 | |
|
*.3. Տարածքի ծածկագիրը (csdo:TerritoryCode) |
վարչատարածքային բաժանման միավորի ծածկագիրը |
M.SDE.00031 |
csdo:TerritoryCodeType (M.SDT.00031) Պայմանանշանների նորմալացված տողը: Նվազ. երկարությունը՝ 1։ Առավ. երկարությունը՝ 17 |
0..1 | |
|
*.4. Տարածաշրջանը (csdo:RegionName) |
առաջին մակարդակի վարչատարածքային բաժանման միավորի անվանումը |
M.SDE.00007 |
csdo:Name120Type (M.SDT.00055) Պայմանանշանների նորմալացված տող, որը չի պարունակում տողի ընդհատման (#xA) և սյունատների (#x9) պայմանանշաններ: Նվազ. երկարությունը՝ 1։ Առավ. երկարությունը՝ 120 |
0..1 | |
|
*.5. Շրջանը (csdo:DistrictName) |
երկրորդ մակարդակի վարչատարածքային բաժանման միավորի անվանումը |
M.SDE.00008 |
csdo:Name120Type (M.SDT.00055) Պայմանանշանների նորմալացված տող, որը չի պարունակում տողի ընդհատման (#xA) և սյունատների (#x9) պայմանանշաններ: Նվազ. երկարությունը՝ 1։ Առավ. երկարությունը՝ 120 |
0..1 | |
|
*.6. Քաղաքը (csdo:CityName) |
քաղաքի անվանումը |
M.SDE.00009 |
csdo:Name120Type (M.SDT.00055) Պայմանանշանների նորմալացված տող, որը չի պարունակում տողի ընդհատման (#xA) և սյունատների (#x9) պայմանանշաններ: Նվազ. երկարությունը՝ 1։ Առավ. երկարությունը՝ 120 |
0..1 | |
|
*.7. Բնակավայրը (csdo:SettlementName) |
բնակավայրի անվանումը |
M.SDE.00057 |
csdo:Name120Туре (M.SDT.00055) Պայմանանշանների նորմալացված տող, որը չի պարունակում տողի ընդհատման (#xA) և սյունատների (#x9) պայմանանշաններ: Նվազ. երկարությունը՝ 1։ Առավ. երկարությունը՝ 120 |
0..1 | |
|
*.8. Փողոցը (csdo:StreetName) |
քաղաքային ենթակառուցվածքի փողոցաճանապարհային ցանցի տարրի անվանումը |
M.SDE.00010 |
csdo:Name120Type (M.SDT.00055) Պայմանանշանների նորմալացված տող, որը չի պարունակում տողի ընդհատման (#xA) և սյունատների (#x9) պայմանանշաններ: Նվազ. երկարությունը՝ 1։ Առավ. երկարությունը՝ 120 |
0..1 | |
|
*.9. Տան համարը (csdo:BuildingNumberId) |
տան, մասնաշենքի, շինության նշագիրը |
M.SDE.00011 |
csdo:Id50Type (M.SDT.00093) Պայմանանշանների նորմալացված տողը: Նվազ. երկարությունը՝ 1։ Առավ. երկարությունը՝ 50 |
0..1 | |
|
*.10. Սենքի համարը (csdo:RoomNumberId) |
գրասենյակի կամ բնակարանի նշագիրը |
M.SDE.00012 |
csdo:Id20Type (M.SDT.00092) Պայմանանշանների նորմալացված տողը: Նվազ. երկարությունը՝ 1։ Առավ. երկարությունը՝ 20 |
0..1 | |
|
*.11. Փոստային ինդեքսը (csdo:PostCode) |
փոստային կապի ձեռնարկության փոստային ինդեքսը |
M.SDE.00006 |
csdo:PostCodeType (M.SDT.00006) Պայմանանշանների նորմալացված տողը: Ձևանմուշ՝ [A-Z0-9][A-Z0-9 -]{1,8}[А- Z0-9] |
0..1 | |
|
*.12. Բաժանորդային արկղի համարը (csdo:PostOfficeBoxId) |
փոստային կապի ձեռնարկության բաժանորդային արկղի համարը |
M.SDE.00013 |
csdo:Id20Type (M.SDT.00092) Պայմանանշանների նորմալացված տողը: Նվազ. երկարությունը՝ 1։ Առավ. երկարությունը՝ 20 |
0..1 | |
|
*.13. Հասցեն՝ տեքստային ձևով (csdo:AddressText) |
հասցեի տարրերի հավաքածուն՝ ներկայացված ազատ ձևով՝ տեքստի տեսքով |
M.SDE.00005 |
csdo:Тext1000Туре (M.SDT.00071) Պայմանանշանների տողը: Նվազ. երկարությունը՝ 1։ Առավ. երկարությունը՝ 1000 |
0..1 | |
|
3.7.11. Կոնտակտային վավերապայմանը (ccdo:CommunicationDetails) |
կոնտակտային վավերապայմանը՝ նշելով կապի միջոցի (կապուղու) եղանակը և նույնականացուցիչը |
M.CDE.00003 |
ccdo:CommunicationDetailsTуре (M.CDT.00003) Որոշվում է ներդրված տարրերի արժեքների ոլորտներով |
0..* | |
|
*.1. Կապի տեսակի ծածկագիրը (csdo:CommunicationChannelCode) |
կապի միջոցի (կապուղու) տեսակի (հեռախոս, ֆաքս, էլեկտրոնային փոստ և այլն) ծածկագրային նշագիրը |
M.SDE.00014 |
csdo:CommunicationChannelCodeV2Type (M.SDT.00163) Ծածկագրի արժեքը՝ կապի տեսակների դասակարգչին համապատասխան: Նվազ. երկարությունը՝ 1։ Առավ. երկարությունը՝ 20 |
0..1 | |
|
*.2. Կապի տեսակի անվանումը (csdo:CommunicationChannelName) |
կապի միջոցի (կապուղու) տեսակի (հեռախոս, ֆաքս, էլեկտրոնային փոստ և այլն) անվանումը |
M.SDE.00093 |
csdo:Name120Type (M.SDT.00055) Պայմանանշանների նորմալացված տող, որը չի պարունակում տողի ընդհատման (#xA) և սյունատների (#x9) պայմանանշաններ: Նվազ. երկարությունը՝ 1։ Առավ. երկարությունը՝ 120 |
0..1 | |
|
*.3. Կապուղու նույնականացուցիչը (csdo:CommunicationChannelId) |
կապուղին նույնականացնող պայմանանշանների հաջորդականությունը (հեռախոսահամարի, ֆաքսի, էլեկտրոնային փոստի հասցեի նշում և այլն) |
M.SDE.00015 |
csdo:CommunicationChannelIdType (M.SDT.00015) Պայմանանշանների նորմալացված տողը: Նվազ. երկարությունը՝ 1։ Առավ. երկարությունը՝ 1000 |
1..* | |
|
3.7.12. Տրանսպորտային միջոցի վարորդի վավերապայմանները (cacdo:DriverBaseDetails) |
տրանսպորտային միջոցի վարորդի մասին ընդհանուր տեղեկություններ |
M.CA.CDE.00112 |
cacdo:CAPersonBaseType (M.CA.CDT.00081) Որոշվում է ներդրված տարրերի արժեքների ոլորտներով |
0..* | |
|
*.1. ԱԱՀ (ccdo:FullNameDetails) |
ազգանուն, անուն, հայրանուն |
M.CDE.00029 |
ccdo:FullNameDetailsType (M.CDT.00016) Որոշվում է ներդրված տարրերի արժեքների ոլորտներով |
1 | |
|
*.1.1. Անունը (csdo:FirstName) |
ֆիզիկական անձի անունը |
M.SDE.00109 |
csdo:Name120Type (M.SDT.00055) Պայմանանշանների նորմալացված տող, որը չի պարունակում տողի ընդհատման (#xA) և սյունատների (#x9) պայմանանշաններ: Նվազ. երկարությունը՝ 1։ Առավ. երկարությունը՝ 120 |
0..1 | |
|
*.1.2. Հայրանունը (csdo:MiddleName) |
ֆիզիկական անձի հայրանունը (երկրորդ կամ միջին անունը) |
M.SDE.00111 |
csdo:Name120Type (M.SDT.00055) Պայմանանշանների նորմալացված տող, որը չի պարունակում տողի ընդհատման (#xA) և սյունատների (#x9) պայմանանշաններ: Նվազ. երկարությունը՝ 1։ Առավ. երկարությունը՝ 120 |
0..1 | |
|
*.1.3. Ազգանունը (csdo:LastName) |
ֆիզիկական անձի ազգանունը |
M.SDE.00110 |
csdo:Name120Type (M.SDT.00055) Պայմանանշանների նորմալացված տող, որը չի պարունակում տողի ընդհատման (#xA) և սյունատների (#x9) պայմանանշաններ: Նվազ. երկարությունը՝ 1։ Առավ. երկարությունը՝ 120 |
0..1 | |
|
*.2. Պաշտոնի անվանումը (csdo:PositionName) |
աշխատակցի պաշտոնի անվանումը |
M.SDE.00127 |
csdo:Name120Type (M.SDT.00055) Պայմանանշանների նորմալացված տող, որը չի պարունակում տողի ընդհատման (#xA) և սյունատների (#x9) պայմանանշաններ: Նվազ. երկարությունը՝ 1։ Առավ. երկարությունը՝ 120 |
0..1 | |
|
*.3. Անձը հաստատող վկայականը (ccdo:UnifiedldentityDocDetails) |
ֆիզիկական անձի՝ անձը հաստատող փաստաթղթի մասին տեղեկություններ |
M.CDE.00048 |
ccdo:UnifiedIdentityDocDetailsType (M.CDT.00050) Որոշվում է ներդրված տարրերի արժեքների ոլորտներով |
0..1 | |
|
*.3.1. Երկրի ծածկագիրը (csdo:UnifiedCountryCode) |
երկրի ծածկագրային նշագիրը |
M.SDE.00162 |
csdo:UnifiedCountryCodeTуре (M.SDT.00112) Երկտառ ծածկագրի արժեքը՝ աշխարհի երկրների դասակարգչին համապատասխան, որը սահմանված է «Տեղեկատուի (դասակարգչի) նույնականացուցիչ» հատկանիշով։ Ձևանմուշ՝ [A-Z]{2} |
1 | |
|
ա) տեղեկատուի (դասակարգչի) նույնականացուցիչը (հատկանիշ codeListId) |
տեղեկատուի (դասակարգչի) նշագիրը, որին համապատասխան նշված է ծածկագիրը |
- |
csdo:ReferenceDataIdType (M.SDT.00091) Պայմանանշանների նորմալացված տող, որը չի պարունակում տողի ընդհատման (#xA) և սյունատների (#x9) պայմանանշաններ: Նվազ. երկարությունը՝ 1։ Առավ. երկարությունը՝ 20 |
1 | |
|
*.3.2. Անձը հաստատող փաստաթղթի տեսակի ծածկագիրը (csdo:UnifiedIdentityDocKindCode) |
անձը հաստատող փաստաթղթի տեսակի ծածկագրային նշագիրը |
M.SDE.00185 |
csdo:UnifiedCode20Type (M.SDT.00140) Ծածկագրի արժեքը՝ տեղեկատուին (դասակարգչին) համապատասխան, որը սահմանված է «Տեղեկատուի (դասակարգչի) նույնականացուցիչ» հատկանիշով։ Նվազ. երկարությունը՝ 1։ Առավ. երկարությունը՝ 20 |
0..1 | |
|
ա) տեղեկատուի (դասակարգչի) նույնականացուցիչը (հատկանիշ codeListId) |
տեղեկատուի (դասակարգչի) նշագիրը, որին համապատասխան նշված է ծածկագիրը |
- |
csdo:ReferenceDataIdType (M.SDT.00091) Պայմանանշանների նորմալացված տող, որը չի պարունակում տողի ընդհատման (#xA) և սյունատների (#x9) պայմանանշաններ: Նվազ. երկարությունը՝ 1։ Առավ. երկարությունը՝ 20 |
1 | |
|
*.3.3. Փաստաթղթի տեսակի անվանումը (csdo:DocKindName) |
փաստաթղթի տեսակի անվանումը |
M.SDE.00095 |
csdo:Name500Type (M.SDT.00134) Պայմանանշանների նորմալացված տող, որը չի պարունակում տողի ընդհատման (#xA) և սյունատների (#x9) պայմանանշաններ: Նվազ. երկարությունը՝ 1։ Առավ. երկարությունը՝ 500 |
0..1 | |
|
*.3.4. Փաստաթղթի սերիան (csdo:DocSeriesId) |
փաստաթղթի սերիայի թվային կամ տառաթվային նշագիրը |
M.SDE.00157 |
csdo:Id20Type (M.SDT.00092) Պայմանանշանների նորմալացված տողը: Նվազ. երկարությունը՝ 1։ Առավ. երկարությունը՝ 20 |
0..1 | |
|
*.3.5. Փաստաթղթի համարը (csdo:DocId) |
փաստաթղթի գրանցման ժամանակ դրան տրվող թվային կամ տառաթվային նշագիրը |
M.SDE.00044 |
csdo:Id50Type (M.SDT.00093) Պայմանանշանների նորմալացված տողը: Նվազ. երկարությունը՝ 1։ Առավ. երկարությունը՝ 50 |
1 | |
|
*.3.6. Փաստաթղթի ամսաթիվը (csdo:DocCreationDate) |
փաստաթղթի տրման, ստորագրման, հաստատման կամ գրանցման ամսաթիվը |
M.SDE.00045 |
bdt:DateType (M.BDT.00005) Ամսաթվի նշագիրը՝ ԳՕՍՏ ԻՍՕ 8601-2001-ին համապատասխան |
0..1 | |
|
*.3.7. Անդամ պետության լիազորված մարմնի նույնականացուցիչը (csdo:AuthorityId) |
փաստաթուղթը տրամադրած անդամ պետության լիազորված մարմնի կառուցվածքային ստորաբաժանման եզակի նույնականացնող հատկանիշը |
M.SDE.00068 |
csdo:Id20Type (M.SDT.00092) Պայմանանշանների նորմալացված տողը: Նվազ. երկարությունը՝ 1։ Առավ. երկարությունը՝ 20 |
0..1 | |
|
*.3.8. Անդամ պետության լիազորված մարմնի անվանումը (csdo:AuthorityName) |
փաստաթուղթը տրամադրած անդամ պետության լիազորված մարմնի կառուցվածքային ստորաբաժանման լրիվ անվանումը |
M.SDE.00066 |
csdo:Name300Type (M.SDT.00056) Պայմանանշանների նորմալացված տող, որը չի պարունակում տողի ընդհատման (#xA) և սյունատների (#x9) պայմանանշաններ: Նվազ. երկարությունը՝ 1։ Առավ. երկարությունը՝ 300 |
0..1 | |
|
3.8. Այլ տեղեկություններ (csdo:AdditionalInfoText) |
լրացուցիչ տեղեկատվություն |
M.SDE.00046 |
csdo:Text4000Type (M.SDT.00088) Պայմանանշանների տողը: Նվազ. երկարությունը՝ 1։ Առավ. երկարությունը՝ 4000 |
0..* | |
25. «Ապրանքների փաստացի արտահանման մասին տեղեկությունների հարցում» (R.CA.CP.02.005) էլեկտրոնային փաստաթղթի (տեղեկությունների) կառուցվածքի նկարագրությունը բերված է 17-րդ աղյուսակում։
Աղյուսակ 17
«Ապրանքների փաստացի արտահանման մասին տեղեկությունների հարցում» (R.CA.CP.02.005) էլեկտրոնային փաստաթղթի (տեղեկությունների) կառուցվածքի նկարագրությունը
|
Թիվ ը/կ |
Տարրի նշագիրը |
Նկարագրությունը |
|
1 |
2 |
3 |
|
1 |
Անվանումը |
ապրանքների փաստացի արտահանման մասին տեղեկությունների հարցում |
|
2 |
Նույնականացուցիչը |
R.CA.CP.02.005 |
|
3 |
Տարբերակը |
1.0.0 |
|
4 |
Սահմանումը |
ապրանքների փաստացի արտահանման մասին տեղեկությունների հարցում |
|
5 |
Օգտագործումը |
- |
|
6 |
Անվանատարածքի նույնականացուցիչը |
urn:EEC:R:СА:СР: 02: FactualExportQuery: v1.0.0 |
|
7 |
XML փաստաթղթի հիմնական տարրը |
FactualExportQuery |
|
8 |
XML սխեմայի նիշքի անվանումը |
EEC_R_CA_CP_02_FactualExportQuery_vl.0.0.xsd |
26. Ներմուծվող անվանատարածքները բերված են 18-րդ աղյուսակում։
Աղյուսակ 18
Ներմուծվող անվանատարածքները
|
Թիվ ը/կ |
Անվանատարածքի նույնականացուցիչը |
Նախածանցը |
|
1 |
2 |
3 |
|
1 |
urn:EEC:M:CA:ComplexDataObjects:vX.X.X |
cacdo |
|
2 |
urn:EEC:M:CA:SimpleDataObjects:vX.X.X |
casdo |
|
3 |
urn:EEC:M:ComplexDataObjects:vX.X.X |
ccdo |
|
4 |
urn:EEC:M:SimpleDataObjects:vX.X.X |
csdo |
Ներմուծվող անվանատարածքներում «X.X.X» պայմանանշանները համապատասխանում են Եվրասիական տնտեսական հանձնաժողովի կոլեգիայի 2016 թվականի հունիսի 2-ի թիվ 55 որոշման 2-րդ կետին համապատասխան՝ էլեկտրոնային փաստաթղթի (տեղեկությունների) կառուցվածքի տեխնիկական սխեմայի մշակման ժամանակ օգտագործված տվյալների բազիսային մոդելի և առարկայական ոլորտի տվյալների մոդելի տարբերակի համարին:
27. «Ապրանքների փաստացի արտահանման մասին տեղեկությունների հարցում» (R.CA.CP.02.005) էլեկտրոնային փաստաթղթի (տեղեկությունների) կառուցվածքի վավերապայմանների կազմը բերված է 19-րդ աղյուսակում:
Աղյուսակ 19
«Ապրանքների փաստացի արտահանման մասին տեղեկությունների հարցում» (R.CA.CP.02.005) էլեկտրոնային փաստաթղթի (տեղեկությունների) կառուցվածքի վավերապայմանների կազմը
|
Վավերապայմանի անվանումը |
Վավերապայմանի նկարագրությունը |
Նույնականացուցիչը |
Տվյալների տիպը | |
|
1. Էլեկտրոնային փաստաթղթի (տեղեկությունների) վերնագիրը (ccdo:EDocHeader) |
էլեկտրոնային փաստաթղթի (տեղեկությունների) տեխնոլոգիական վավերապայմանների ամբողջությունը |
M.CDE.90001 |
ccdo:EDocHeaderType (M.CDT.90001) Որոշվում է ներդրված տարրերի արժեքների ոլորտներով | |
|
1.1. Ընդհանուր գործընթացի հաղորդագրության ծածկագիրը (csdo:InfEnvelopeCode) |
ընդհանուր գործընթացի հաղորդագրության ծածկագրային նշագիրը |
M.SDE.90010 |
csdo:InfEnvelopeCodeType (M.SDT.90004) Ծածկագրի արժեքը՝ Տեղեկատվական փոխգործակցության կանոնակարգին համապատասխան: Ձևանմուշ՝ P\.[A-Z]{2}\.[0- 9]{2}\.MSG\.[0-9]{3} | |
|
1.2. Էլեկտրոնային փաստաթղթի (տեղեկությունների) ծածկագիրը (csdo:EDocCode) |
էլեկտրոնային փաստաթղթի (տեղեկությունների) ծածկագրային նշագիրը՝ էլեկտրոնային փաստաթղթերի և տեղեկությունների կառուցվածքների ռեեստրին համապատասխան |
M.SDE.90001 |
csdo:EDocCodeType (M.SDT.90001) Ծածկագրի արժեքը՝ էլեկտրոնային փաստաթղթերի և տեղեկությունների կառուցվածքների ռեեստրին համապատասխան։ Ձևանմուշ՝ R(\.[A-Z] {2}\.[A-Z] {2}\.[0- 9]{2})?\.[0-9]{3} | |
|
1.3. Էլեկտրոնային փաստաթղթի (տեղեկությունների) նույնականացուցիչը (csdo:EDocId) |
էլեկտրոնային փաստաթուղթը (տեղեկությունները) միանշանակ նույնականացնող պայմանանշանների տողը |
M.SDE.90007 |
csdo:UniversallyUniqueIdType (M.SDT.90003) Նույնականացուցչի արժեքը՝ ISO/IEC 9834-8 ստանդարտին համապատասխան։ Ձևանմուշ՝ [0-9a-fA-F]{8}-[0-9a-fA- F] {4}-[0-9a-fA-F] {4}-[0-9a-fA-F] {4}- [0-9a-fA-F] {12} | |
|
1.4. Ելակետային էլեկտրոնային փաստաթղթի (տեղեկությունների) նույնականացուցիչը (csdo:EDocRefId) |
էլեկտրոնային փաստաթղթի (տեղեկությունների) նույնականացուցիչը, որին ի պատասխան կազմվել է տվյալ էլեկտրոնային փաստաթուղթը (տեղեկությունները) |
M.SDE.90008 |
csdo:UniversallyUniqueldType (M.SDT.90003) Նույնականացուցչի արժեքը՝ ISO/IEC 9834-8 ստանդարտին համապատասխան։ Ձևանմուշ՝ [0-9a-fA-F]{8}-[0-9a-fA- F] {4}-[0-9a-fA-F] {4}-[0-9a-fA-F] {4}- [0-9a-fA-F]{12} | |
|
1.5. Էլեկտրոնային փաստաթղթի (տեղեկությունների) ամսաթիվը և ժամը (csdo:EDocDateTime) |
էլեկտրոնային փաստաթղթի (տեղեկությունների) ստեղծման ամսաթիվը և ժամը |
M.SDE.90002 |
bdt:DateTimeType (М.BDT.00006) Ամսաթվի և ժամի նշագիրը՝ ԳՕՍՏ ԻՍՕ 8601-2001-ին համապատասխան | |
|
1.6. Լեզվի ծածկագիրը (csdo:LanguageCode) |
լեզվի ծածկագրային նշագիրը |
M.SDE.00051 |
csdo:LanguageCodeType (M.SDT.00051) Լեզվի երկտառ ծածկագիրը՝ ISO 639-1 ստանդարտին համապատասխան: Ձևանմուշ՝ [a-z] {2} | |
|
2. Երկրի ծածկագիրը (csdo:CountryCode) |
տեղեկատվություն (տեղեկություններ) հարցրած անդամ պետության ծածկագիրը |
M.SDE.00001 |
csdo:CountryCodeType (M.SDT.00001) Ծածկագրի արժեքը՝ Մաքսային միության հանձնաժողովի 2010 թվականի սեպտեմբերի 20-ի թիվ 378 որոշման համաձայն կիրառվող՝ աշխարհի երկրների դասակարգչին համապատասխան։ Ձևանմուշ՝ [A-Z]{2} | |
|
3. Գործողության ժամանակահատվածը (cacdo:PeriodDetails) |
ապրանքների փաստացի արտահանման ամսաթվերի ենթադրվող տիրույթը |
M.CA.CDE.00029 |
ccdo:PeriodDetailsType (M.CDT.00026) Որոշվում է ներդրված տարրերի արժեքների ոլորտներով | |
|
3.1. Մեկնարկի ամսաթիվը և ժամը (csdo:StartDateTime) |
մեկնարկի ամսաթիվը և ժամը |
M.SDE.00133 |
bdt:DateTimeType (М.BDT.00006) Ամսաթվի և ժամի նշագիրը՝ ԳՕՍՏ ԻՍՕ 8601-2001-ին համապատասխան | |
|
3.2. Ավարտի ամսաթիվը և ժամը (csdo: EndDateTime) |
ավարտի ամսաթիվը և ժամը |
M.SDE.00134 |
bdt:DateTimeType (М.BDT.00006) Ամսաթվի և ժամի նշագիրը՝ ԳՕՍՏ ԻՍՕ 8601-2001-ին համապատասխան | |
|
4. Մաքսային հայտարարագրի գրանցման համարը (cacdo:CustomsDeclarationldDetails) |
ապրանքների մասին հայտարարագրի գրանցման համարը |
M.CA.CDE.00291 |
cacdo:CustomsDocumentldDetailsType (M.CA.CDT.00258) Որոշվում է ներդրված տարրերի արժեքների ոլորտներով | |
|
4.1. Մաքսային մարմնի ծածկագիրը (casdo:CustomsOfficeCode) |
մաքսային մարմնի ծածկագիրը |
M.CA.SDE.00034 |
casdo:CustomsOfficeCodeType (M.CA.SDT.00025) Ծածկագրի արժեքը՝ Եվրասիական տնտեսական միության անդամ պետությունների մաքսային մարմինների դասակարգչին համապատասխան։ Ձևանմուշ՝ [0-9]{2}|[0-9]{5}|[0-9]{8} | |
|
4.2. Փաստաթղթի ամսաթիվը (csdo:DocCreationDate) |
փաստաթղթի տրման, ստորագրման, հաստատման կամ գրանցման ամսաթիվը |
M.SDE.00045 |
bdt:DateType (M.BDT.00005) Ամսաթվի նշագիրը՝ ԳՕՍՏ ԻՍՕ 8601-2001-ին համապատասխան | |
|
4.3. Մաքսային փաստաթղթի հերթական համարն ըստ գրանցամատյանի (casdo:CustomsDocumentld) |
մաքսային փաստաթղթի հերթական համարն ըստ գրանցամատյանի |
M.CA.SDE.00478 |
casdo:CustomsDocumentIdType (M.CA.SDT.00118) Պայմանանշանների նորմալացված տողը: Նվազ. երկարությունը՝ 5։ Առավ. երկարությունը՝ 7 | |
|
5. Սահմանին տեղակայված մաքսային մարմինը (cacdo:BorderCustomsOfficeDetails) |
ապրանքների մեկնման վայրում ենթադրվող մաքսային մարմնի մասին տեղեկություններ |
M.CA.CDE.00118 |
cacdo:UnifiedCustomsOfficeDetails Type (M.CA.CDT.00315) Որոշվում է ներդրված տարրերի արժեքների ոլորտներով | |
|
5.1. Մաքսային մարմնի ծածկագիրը (casdo:CustomsOfficeCode) |
մաքսային մարմնի ծածկագիրը |
M.CA.SDE.00034 |
casdo:CustomsOfficeCodeType (M.CA.SDT.00025) Ծածկագրի արժեքը՝ Եվրասիական տնտեսական միության անդամ պետությունների մաքսային մարմինների դասակարգչին համապատասխան։ Ձևանմուշ՝ [0-9]{2}|[0-9]{5}|[0-9]{8} | |
|
5.2. Մաքսային մարմնի անվանումը (casdo:CustomsOfficeName) |
մաքսային մարմնի անվանումը |
M.CA.SDE.00035 |
casdo:CustomsOfficeNameType (M.CA.SDT.00026) Մաքսային մարմնի անվանումը՝ Եվրասիական տնտեսական միության անդամ պետությունների մաքսային մարմինների դասակարգչին համապատասխան։ Նվազ. երկարությունը՝ 1։ Առավ. երկարությունը՝ 50 | |
|
5.3. Երկրի ծածկագիրը (csdo:UnifiedCountryCode) |
երկրի ծածկագրային նշագիրը |
M.SDE.00162 |
csdo:UnifiedCountryCodeType (M.SDT.00112) Երկտառ ծածկագրի արժեքը՝ աշխարհի երկրների դասակարգչին համապատասխան, որը սահմանված է «Տեղեկատուի (դասակարգչի) նույնականացուցիչ» հատկանիշով։ Ձևանմուշ՝ [A-Z]{2} | |
|
ա) տեղեկատուի (դասակարգչի) նույնականացուցիչը (codeListld հատկանիշ) |
տեղեկատուի (դասակարգչի) նշագիրը, որին համապատասխան նշված է ծածկագիրը |
– |
csdo: ReferenceDataldTуре (M.SDT.00091) Պայմանանշանների նորմալացված տող, որը չի պարունակում տողի ընդհատման (#xA) և սյունատների (#x9) պայմանանշաններ: Նվազ. երկարությունը՝ 1։ Առավ. երկարությունը՝ 20 | |
|
6. Մաքսային մարմնի պաշտոնատար անձը (cacdo:CustomsPersonDetails) |
Հարցումը ձևավորած մաքսային մարմնի լիազորված պաշտոնատար անձը |
M.CA.CDE.00096 |
cacdo:CustomsPersonDetailsType (M.CA.CDT.00209) Որոշվում է ներդրված տարրերի արժեքների ոլորտներով | |
|
6.1. ԱԱՀ (ccdo:FullNameDetails) |
ազգանուն, անուն, հայրանուն |
M.CDE.00029 |
ccdo:FullNameDetailsType (M.CDT.00016) Որոշվում է ներդրված տարրերի արժեքների ոլորտներով |
0..1 |
|
6.1.1. Անունը (csdo:FirstName) |
ֆիզիկական անձի անունը |
M.SDE.00109 |
csdo:Namel20Type (M.SDT.00055) Պայմանանշանների նորմալացված տող, որը չի պարունակում տողի ընդհատման (#xA) և սյունատների (#x9) պայմանանշաններ: Նվազ. երկարությունը՝ 1։ Առավ. երկարությունը՝ 120 |
0..1 |
|
6.1.2. Հայրանունը (csdo:MiddleName) |
ֆիզիկական անձի հայրանունը (երկրորդ կամ միջին անունը) |
M.SDE.00111 |
csdo:Namel20Type (M.SDT.00055) Պայմանանշանների նորմալացված տող, որը չի պարունակում տողի ընդհատման (#xA) և սյունատների (#x9) պայմանանշաններ: Նվազ. երկարությունը՝ 1։ Առավ. երկարությունը՝ 120 |
0..1 |
|
6.1.3. Ազգանունը (csdo:LastName) |
ֆիզիկական անձի ազգանունը |
M.SDE.00110 |
csdo:Namel20Type (M.SDT.00055) Պայմանանշանների նորմալացված տող, որը չի պարունակում տողի ընդհատման (#xA) և սյունատների (#x9) պայմանանշաններ: Նվազ. երկարությունը՝ 1։ Առավ. երկարությունը՝ 120 |
0..1 |
|
6.2. Պաշտոնի անվանումը (csdo:PositionName) |
աշխատակցի պաշտոնի անվանումը |
M.SDE.00127 |
csdo:Namel20Туре (M.SDT.00055) Պայմանանշանների նորմալացված տող, որը չի պարունակում տողի ընդհատման (#xA) և սյունատների (#x9) պայմանանշաններ: Նվազ. երկարությունը՝ 1։ Առավ. երկարությունը՝ 120 |
0..1 |
|
6.3. Մաքսային մարմնի պաշտոնատար անձի ԱՀԿ-ի համարը (casdo:LNPIdentifier) |
մաքսային մարմնի պաշտոնատար անձի ԱՀԿ-ի համարը |
M.CA.SDE.00413 |
casdo:LNPIdentifierType (M.CA.SDT.00090) Պայմանանշանների նորմալացված տողը: Նվազ. երկարությունը՝ 1։ Առավ. երկարությունը՝ 4 |
0..1 |
|
6.4. Մաքսային մարմնի ծածկագիրը՝ ԱՀԿ-ի դրոշմվածքի վրա (casdo:LNPCustomsOfficeCode) |
մաքսային մարմնի՝ ԱՀԿ-ի դրոշմվածքի վրա նշված ծածկագիրը |
M.CA.SDE.00414 |
casdo:CustomsOfficeCodeType (M.CA.SDT.00025) Ծածկագրի արժեքը՝ Եվրասիական տնտեսական միության անդամ պետությունների մաքսային մարմինների դասակարգչին համապատասխան։ Ձևանմուշ՝ [0-9] {2}|[0-9] {5}|[0-9] {8} |
0..1 |
|
ՀԱՍՏԱՏՎԱԾ Է Եվրասիական տնտեսական հանձնաժողովի կոլեգիայի 2016 թվականի հունիսի 2-ի թիվ 55 որոշմամբ |
ԿԱՐԳ
«Եվրասիական տնտեսական միության անդամ պետությունների մաքսային մարմինների միջև տեղեկությունների փոխանակման ապահովում Եվրասիական տնտեսական միության մաքսային տարածքի սահմաններից դուրս ապրանքների փաստացի արտահանման հսկողության և հաստատման գործընթացում» ընդհանուր գործընթացին միանալու
I. Ընդհանուր դրույթներ
1. Սույն կարգը մշակվել է Եվրասիական տնտեսական միության (այսուհետ՝ Միություն) իրավունքի մաս կազմող հետևյալ ակտերին համապատասխան՝
«Եվրասիական տնտեսական միության մասին» 2014 թվականի մայիսի 29-ի պայմանագիր.
Մաքսային միության հանձնաժողովի 2010 թվականի հունիսի 18-ի «Եվրասիական տնտեսական միության մաքսային տարածքից ապրանքների փաստացի արտահանումը մեկնման վայրում տեղակայված մաքսային մարմնի կողմից հաստատելու կարգի մասին» թիվ 330 որոշում.
Եվրասիական տնտեսական հանձնաժողովի կոլեգիայի 2014 թվականի նոյեմբերի 6-ի «Ընդհանուր գործընթացներն արտաքին և փոխադարձ առևտրի ինտեգրված տեղեկատվական համակարգի միջոցներով իրագործելիս տեղեկատվական փոխգործակցությունը կանոնակարգող տեխնոլոգիական փաստաթղթերի մասին» թիվ 200 որոշում.
Եվրասիական տնտեսական հանձնաժողովի կոլեգիայի 2015 թվականի հունվարի 27-ի «Արտաքին և փոխադարձ առևտրի ինտեգրված տեղեկատվական համակարգում տվյալների էլեկտրոնային փոխանակման կանոնները հաստատելու մասին» թիվ 5 որոշում.
Եվրասիական տնտեսական հանձնաժողովի կոլեգիայի 2015 թվականի ապրիլի 14-ի «Եվրասիական տնտեսական միության շրջանակներում ընդհանուր գործընթացների ցանկի և Եվրասիական տնտեսական հանձնաժողովի կոլեգիայի 2014 թվականի օգոստոսի 19-ի թիվ 132 որոշման մեջ փոփոխություն կատարելու մասին» թիվ 29 որոշում.
Եվրասիական տնտեսական հանձնաժողովի կոլեգիայի 2015 թվականի հունիսի 9-ի «Եվրասիական տնտեսական միության շրջանակներում ընդհանուր գործընթացների վերլուծության, օպտիմալացման, ներդաշնակեցման և նկարագրության մեթոդիկայի մասին» թիվ 63 որոշում.
Եվրասիական տնտեսական հանձնաժողովի կոլեգիայի 2015 թվականի սեպտեմբերի 28-ի «Եվրասիական տնտեսական միության անդամ պետությունների պետական իշխանության մարմինների միջև և Եվրասիական տնտեսական հանձնաժողովի հետ անդրսահմանային փոխգործակցության ժամանակ էլեկտրոնային փաստաթղթերի փոխանակման վերաբերյալ հիմնադրույթի հաստատման մասին» թիվ 125 որոշում։
Սույն կարգը մշակվել է՝ հաշվի առնելով Մաքսային միության անդամ պետությունների մաքսային ծառայությունների միավորված կոլեգիայի 2015 թվականի հունիսի 4-ի թիվ 15/6 որոշմամբ հաստատված՝ Եվրասիական տնտեսական միության անդամ պետությունների մաքսային մարմինների միջև ապրանքների փաստացի արտահանման հսկողության և հաստատման համակարգերի օգտագործմամբ Եվրասիական տնտեսական միության մաքսային տարածքով ապրանքների փաստացի արտահանումը հաստատելու վերաբերյալ տեղեկատվության փոխանակման տեխնոլոգիայի դրույթները:
II. Կիրառության ոլորտը
2. Սույն կարգով սահմանվում են «Եվրասիական տնտեսական միության անդամ պետությունների մաքսային մարմինների միջև տեղեկությունների փոխանակման ապահովում Եվրասիական տնտեսական միության մաքսային տարածքի սահմաններից դուրս ապրանքների փաստացի արտահանման հսկողության և հաստատման գործընթացում» (Р.СР.02) ընդհանուր գործընթացին (այսուհետ՝ ընդհանուր գործընթաց) նոր մասնակցի միանալու դեպքում տեղեկատվական փոխգործակցությանը ներկայացվող պահանջները:
3. Նոր մասնակցի՝ ընդհանուր գործընթացին միանալու դեպքում սույն կարգում սահմանված ընթացակարգերն իրականացվում են անմիջապես։
III. Հիմնական հասկացությունները
4. Սույն կարգի նպատակներով օգտագործվում են հասկացություններ, որոնք ունեն հետևյալ իմաստը՝
«արտաքին և փոխադարձ առևտրի ինտեգրված տեղեկատվական համակարգի գործունեությունն ապահովելիս կիրառվող փաստաթղթեր»՝
տեխնիկական, տեխնոլոգիական, մեթոդական և կազմակերպչական փաստաթղթեր, որոնք մշակվում և հաստատվում են Եվրասիական տնտեսական հանձնաժողովի կողմից՝ «Եվրասիական տնտեսական միության շրջանակներում տեղեկատվական հաղորդակցական տեխնոլոգիաների և տեղեկատվական փոխգործակցության մասին» արձանագրության (Եվրասիական տնտեսական միության 2014 թվականի մայիսի 29-ի պայմանագրի թիվ 3 հավելված) 30-րդ կետին համապատասխան.
«ընդհանուր գործընթացն իրագործելիս տեղեկատվական փոխգործակցությունը կանոնակարգող տեխնոլոգիական փաստաթղթեր»՝ փաստաթղթեր, որոնք ներառված են Եվրասիական տնտեսական հանձնաժողովի կոլեգիայի 2014 թվականի նոյեմբերի 6-ի թիվ 200 որոշման 1-ին կետում նշված տեխնոլոգիական փաստաթղթերի տիպային ցանկում:
Սույն կարգում օգտագործվող մյուս հասկացությունները կիրառվում են Եվրասիական տնտեսական հանձնաժողովի կոլեգիայի 2016 թվականի հունիսի 2-ի թիվ 55 որոշմամբ հաստատված՝ «Եվրասիական տնտեսական միության անդամ պետությունների մաքսային մարմինների միջև տեղեկությունների փոխանակման ապահովում Եվրասիական տնտեսական միության մաքսային տարածքի սահմաններից դուրս ապրանքների փաստացի արտահանման հսկողության և հաստատման գործընթացում» ընդհանուր գործընթացն արտաքին և փոխադարձ առևտրի ինտեգրված տեղեկատվական համակարգի միջոցներով իրագործելիս Տեղեկատվական փոխգործակցության կանոնների (այսուհետ՝ Տեղեկատվական փոխգործակցության կանոններ) 4-րդ կետում սահմանված իմաստներով:
IV. Փոխգործակցության մասնակիցները
5. Փոխգործակցության մասնակիցների դերերն ընդհանուր գործընթացին միանալու ընթացակարգերն իրենց կողմից իրականացնելիս բերված են աղյուսակում:
Աղյուսակ
Փոխգործակցության մասնակիցների դերերը
|
թիվ ը/կ |
Դերի անվանումը |
Դերի նկարագրությունը |
Դերը կատարող մասնակիցը |
|
1 |
Ընդհանուր գործընթացին միացող մասնակիցը |
միանում է ընդհանուր գործընթացին, պատասխանատու է ընդհանուր գործընթացի շրջանակներում տեղեկատվական փոխգործակցության ապահովման համար |
Միության անդամ պետության գործադիր իշխանության մարմին, որը միանում է ընդհանուր գործընթացին, և որի համակարգում, Միության մաքսային տարածքից ապրանքների արտահանումը թույլատրող մաքսային ընթացակարգին համապատասխան, իրականացվում են ապրանքների բացթողում և փաստացի արտահանված ապրանքի քանակի հաշվառում (Р.СР.02.АСТ.001), ինչպես նաև Միության մաքսային տարածքից ապրանքների փաստացի արտահանման դեպքում կատարվում են մաքսային գործառնություններ, և իրականացվում է մաքսային հսկողություն (Р.СР.02.АСТ.002) |
|
2 |
Միության նորմատիվ տեղեկատվական տեղեկությունների միասնական համակարգի ադմինիստրատորը |
ապահովում է Եվրասիական տնտեսական հանձնաժողովի կողմից ընդունվող (հաստատվող) տեղեկատուների և դասակարգիչների հասանելիությունն ընդհանուր գործընթացին միացող մասնակցի համար |
Եվրասիական տնտեսական հանձնաժողով (Р.АСТ.001) |
V. Միանալու ընթացակարգի նկարագրությունը
1. Ընդհանուր պահանջները
6. ինչև ընդհանուր գործընթացին միանալու ընթացակարգն իրականացնելն ընդհանուր գործընթացին միացող մասնակցի կողմից պետք է կատարվեն արտաքին և փոխադարձ առևտրի ինտեգրված տեղեկատվական համակարգի գործունեության ապահովման ժամանակ կիրառվող փաստաթղթերով սահմանված՝ ընդհանուր գործընթացն իրագործելու և տեղեկատվական փոխգործակցությունն ապահովելու համար անհրաժեշտ պահանջները, ինչպես նաև Միության անդամ պետության (այսուհետ՝ անդամ պետություն) օրենսդրության պահանջները, որոնցով անդամ պետության ազգային հատվածի շրջանակներում կանոնակարգվում է տեղեկատվական փոխգործակցությունը։
7. Ընդհանուր գործընթացին միանալու ընթացակարգն իրականացվում է հետևյալ կարգով՝
ա) ընդհանուր գործընթացի շրջանակներում տեղեկատվական փոխգործակցության ապահովման համար պատասխանատու անդամ պետության լիազորված մարմնի նշանակում.
բ) Տեղեկատվական փոխգործակցության կանոններում նշված տեղեկատուների և դասակարգիչների տեղեկատվության սինխրոնացում.
8. Ընդհանուր գործընթացին միացող մասնակցի կողմից Տեղեկատվական փոխգործակցության կանոնների VII բաժնում նշված տեղեկատուների և դասակարգիչների ստացումն իրականացվում է ընդհանուր գործընթացն իրագործելիս տեղեկատվական փոխգործակցությունը կանոնակարգող տեխնոլոգիական փաստաթղթերին համապատասխան:
9. Սույն կարգի 6-8-րդ կետերին համապատասխան պահանջների պահպանման և գործողությունների հաջող կատարման դեպքում ընդհանուր գործընթացին միացող մասնակցի և ապրանքի բացթողումն իրականացրած լիազորված մարմնի կամ ապրանքի մեկնման թույլտվությունը ձևակերպած լիազորված մարմնի միջև տեղեկությունների հետագա փոխանակումը կատարվում է այն տեխնոլոգիական փաստաթղթերին համապատասխան, որոնցով ընդհանուր գործընթացն իրագործելիս կանոնակարգվում է տեղեկատվական փոխգործակցությունը:
Պաշտոնական հրապարակման օրը՝ 22 հունիսի 2022 թվական: