«Վավերացնում եմ»
Հայաստանի Հանրապետության
Նախագահ Ռ. Քոչարյան
5 հունիսի 2006 թ.
ՀԱՅԱՍՏԱՆԻ ՀԱՆՐԱՊԵՏՈՒԹՅԱՆ ԿԱՌԱՎԱՐՈՒԹՅՈՒՆ
Ո Ր Ո Շ ՈՒ Մ
13 ապրիլի 2006 թվականի N 698-Ն
ՀԱՅԱՍՏԱՆԻ ՀԱՆՐԱՊԵՏՈՒԹՅԱՆ ԱՐԱՐԱՏԻ ՄԱՐԶԻ ՄԱՍԻՍԻ ՔԱՂԱՔԱՅԻՆ ՀԱՄԱՅՆՔԻ ՎԱՐՉԱԿԱՆ ՍԱՀՄԱՆՆԵՐՈՒՄ ԳՏՆՎՈՂ` ՊԵՏԱԿԱՆ ՍԵՓԱԿԱՆՈՒԹՅՈՒՆ ՀԱՆԴԻՍԱՑՈՂ ՀՈՂԱՄԱՍԵՐՆ ԱՆՀԱՏՈՒՅՑ ՍԵՓԱԿԱՆՈՒԹՅԱՆ ԻՐԱՎՈՒՆՔՈՎ ՀԱՄԱՅՆՔԻՆ ՓՈԽԱՆՑԵԼՈՒ ՄԱՍԻՆ
Հայաստանի Հանրապետության հողային օրենսգրքի 34-րդ ու 56-րդ, «Տեղական ինքնակառավարման մասին» Հայաստանի Հանրապետության օրենքի 6-րդ, 47-րդ ու 84-րդ և «Հայաստանի Հանրապետության վարչատարածքային բաժանման մասին» Հայաստանի Հանրապետության օրենքի 6-րդ հոդվածների պահանջներին համապատասխան` Հայաստանի Հանրապետության կառավարությունը որոշում է.
1. Հայաստանի Հանրապետության Արարատի մարզի Մասիսի քաղաքային համայնքի վարչական սահմաններում գտնվող՝ պետական սեփականություն հանդիսացող 1167.51 հեկտար հողամասերից 1043.8 հեկտարը, որից՝ գյուղատնտեսական նշանակության 486.86 հեկտար, բնակավայրերի հողերի՝ 216.57 հեկտար, արդյունաբերության, ընդերքօգտագործման և այլ արտադրական նշանակության օբյեկտների՝ 309.51 հեկտար, էներգետիկայի, տրանսպորտի, կապի և կոմունալ ենթակառուցվածքների օբյեկտների՝ 17.02 հեկտար, հատուկ պահպանվող տարածքների՝ 7.33 հեկտար, ջրային հողերի` 6.52 հեկտար, անհատույց սեփականության իրավունքով փոխանցել Մասիսի քաղաքային համայնքին՝ համաձայն NN 1, 2, 3 և 4 հավելվածների:
2. Սահմանել, որ Հայաստանի Հանրապետության հողային օրենսգրքի 60-րդ հոդվածի պահանջներին համապատասխան`
ա) Հայաստանի Հանրապետության Արարատի մարզի Մասիսի քաղաքային համայնքին անհատույց սեփականության իրավունքով փոխանցվող 1043.8 հեկտար հողերից 144.47 հեկտարը մասնավորեցման ենթակա չէ.
բ) Հայաստանի Հանրապետության Արարատի մարզի Մասիսի քաղաքային համայնքի վարչական սահմաններում գտնվող հողերից 123.71 հեկտարը համարվում է պետական սեփականություն` համաձայն N 5 հավելվածի:
(2-րդ կետը փոփ. 11.05.18 N 553-Ն, 20.07.23 N 1214-Ն)
3. Ընդունել ի գիտություն Հայաստանի Հանրապետության Արարատի մարզի Մասիսի քաղաքային համայնքի հողային ֆոնդի առկայության և բաշխման մասին հաշվետվությունը` 2005 թվականի հունվարի 1-ի դրությամբ` համաձայն NN 6 և 7 հավելվածների:
4. Հայաստանի Հանրապետության կառավարությանն առընթեր անշարժ գույքի կադաստրի պետական կոմիտեի նախագահին` սահմանված կարգով ապահովել սկզբնական հաշվառման նյութերի տրամադրումը Հայաստանի Հանրապետության Արարատի մարզի Մասիսի քաղաքային համայնքի ղեկավարին` հողերի ընթացիկ հաշվառումն անցկացնելու և համայնքի հողային հաշվեկշիռը կազմելու համար:
5. Թույլատրել Հայաստանի Հանրապետության կառավարությանն առընթեր անշարժ գույքի կադաստրի պետական կոմիտեի նախագահին Հայաստանի Հանրապետության պետական գեոդեզիական ցանցի հավասարակշռման արդյունքների հիման վրա Հայաստանի Հանրապետության վարչատարածքային միավորների սահմանանիշերի կոորդինատների ժողովածուի հրատարակումից հետո հողային ֆոնդի ընթացիկ հաշվառման ժամանակ Հայաստանի Հանրապետության Արարատի մարզի Մասիսի քաղաքային համայնքի հողային հաշվեկշռում սահմանված կարգով կատարել համապատասխան փոփոխություններ:
6. Հայաստանի Հանրապետության Արարատի մարզպետին` Հայաստանի Հանրապետության կառավարության 2000 թվականի հոկտեմբերի 23-ի N 656 որոշմամբ սահմանված կարգով` սկզբնական հաշվառման տվյալների հիման վրա ապահովել մարզի տարածքում ընթացիկ հաշվառման աշխատանքների իրականացումը:
7. Սույն որոշումն ուժի մեջ է մտնում պաշտոնական հրապարակմանը հաջորդող օրվանից։
|
Հայաստանի Հանրապետության |
Ա. Մարգարյան |
|
|
|
|
Հավելված N 1 |
ՀԱՅԱՍՏԱՆԻ ՀԱՆՐԱՊԵՏՈՒԹՅԱՆ ԱՐԱՐԱՏԻ ՄԱՐԶԻ ՄԱՍԻՍԻ ՔԱՂԱՔԱՅԻՆ ՀԱՄԱՅՆՔԻ ՎԱՐՉԱԿԱՆ ՍԱՀՄԱՆՆԵՐԻ ՀԱՏԱԿԱԳԻԾԸ
| Հայաստանի Հանրապետության կառավարության աշխատակազմի ղեկավար-նախարար |
Մ. Թոփուզյան |
|
Հավելված N 2 |
Ա Ն Վ Ա Ն Ա Ց Ա Ն Կ
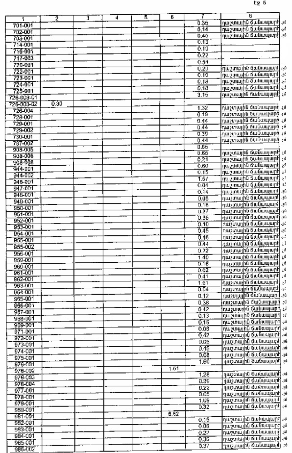
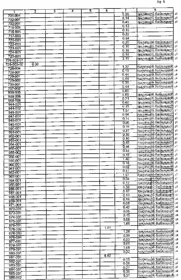
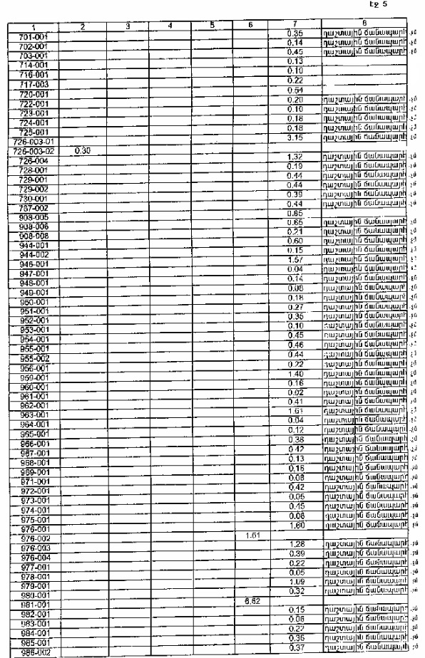
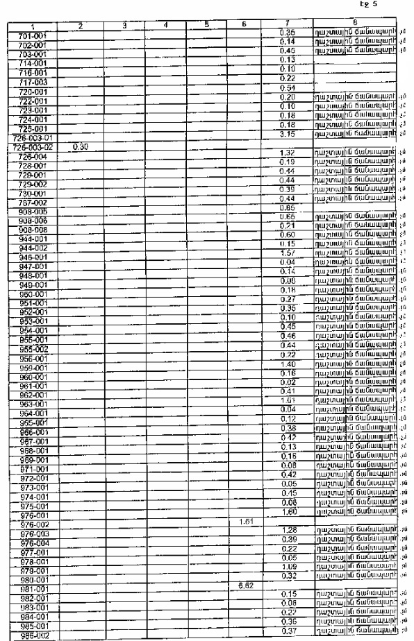
ՀԱՅԱՍՏԱՆԻ ՀԱՆՐԱՊԵՏՈՒԹՅԱՆ ԱՐԱՐԱՏԻ ՄԱՐԶԻ ՄԱՍԻՍԻ ՔԱՂԱՔԱՅԻՆ ՀԱՄԱՅՆՔԻ ՎԱՐՉԱԿԱՆ ՍԱՀՄԱՆՆԵՐՈՒՄ ԳՏՆՎՈՂ` ՊԵՏԱԿԱՆ ՍԵՓԱԿԱՆՈՒԹՅՈՒՆ ՀԱՆԴԻՍԱՑՈՂ ՀՈՂԵՐԻՑ ՄԱՍԻՍԻ ՔԱՂԱՔԱՅԻՆ ՀԱՄԱՅՆՔԻՆ ԱՆՀԱՏՈՒՅՑ ՓՈԽԱՆՑՎՈՂ ՀՈՂԵՐԻ
(հավելվածը փոփ. 11.05.18 N 553-Ն, 20.07.23 N 1214-Ն)
| Հայաստանի Հանրապետության կառավարության աշխատակազմի ղեկավար-նախարար |
Մ. Թոփուզյան |
|
Հավելված N 3 |
Ց Ա Ն Կ
ՀԱՅԱՍՏԱՆԻ ՀԱՆՐԱՊԵՏՈՒԹՅԱՆ ԱՐԱՐԱՏԻ ՄԱՐԶԻ ՄԱՍԻՍԻ ՔԱՂԱՔԱՅԻՆ ՀԱՄԱՅՆՔԻ ՎԱՐՉԱԿԱՆ ՍԱՀՄԱՆՆԵՐՈՒՄ ԳՏՆՎՈՂ` ՊԵՏԱԿԱՆ ՍԵՓԱԿԱՆՈՒԹՅՈՒՆ ՀԱՆԴԻՍԱՑՈՂ ՀՈՂԵՐԻՑ ՄԱՍԻՍԻ ՔԱՂԱՔԱՅԻՆ ՀԱՄԱՅՆՔԻՆ ԱՆՀԱՏՈՒՅՑ ՓՈԽԱՆՑՎՈՂ ՀՈՂԵՐԻ
(հավելվածը փոփ. 11.05.18 N 553-Ն)
| Հայաստանի Հանրապետության կառավարության աշխատակազմի ղեկավար-նախարար |
Մ. Թոփուզյան |
|
Հավելված N 4 |
Ց Ա Ն Կ
ՀԱՅԱՍՏԱՆԻ ՀԱՆՐԱՊԵՏՈՒԹՅԱՆ ԱՐԱՐԱՏԻ ՄԱՐԶԻ ՄԱՍԻՍԻ ՔԱՂԱՔԱՅԻՆ ՀԱՄԱՅՆՔԻ ՎԱՐՉԱԿԱՆ ՍԱՀՄԱՆՆԵՐՈՒՄ ԳՏՆՎՈՂ` ՊԵՏԱԿԱՆ ՍԵՓԱԿԱՆՈՒԹՅՈՒՆ ՀԱՆԴԻՍԱՑՈՂ ՀՈՂԵՐԻՑ ՄԱՍԻՍԻ ՔԱՂԱՔԱՅԻՆ ՀԱՄԱՅՆՔԻՆ ԱՆՀԱՏՈՒՅՑ ՓՈԽԱՆՑՎՈՂ ՀՈՂԵՐԻ
(ըստ նպատակային նշանակության)
(հավելվածը փոփ. 20.07.23 N 1214-Ն)
| Հայաստանի Հանրապետության կառավարության աշխատակազմի ղեկավար-նախարար |
Մ. Թոփուզյան |
|
Հավելված N 5 |
Ց Ա Ն Կ
ՀԱՅԱՍՏԱՆԻ ՀԱՆՐԱՊԵՏՈՒԹՅԱՆ ԱՐԱՐԱՏԻ ՄԱՐԶԻ ՄԱՍԻՍԻ ՔԱՂԱՔԱՅԻՆ ՀԱՄԱՅՆՔԻ ՎԱՐՉԱԿԱՆ ՍԱՀՄԱՆՆԵՐՈՒՄ ԳՏՆՎՈՂ` ՊԵՏԱԿԱՆ ՍԵՓԱԿԱՆՈՒԹՅՈՒՆ ՀԱՆԴԻՍԱՑՈՂ ՀՈՂԵՐԻ
(ըստ նպատակային նշանակության)
| Հայաստանի Հանրապետության կառավարության աշխատակազմի ղեկավար-նախարար |
Մ. Թոփուզյան |
|
Հավելված N 6 |
Հ Ա Շ Վ Ե Տ Վ ՈՒ Թ Յ ՈՒ Ն
ՀԱՅԱՍՏԱՆԻ ՀԱՆՐԱՊԵՏՈՒԹՅԱՆ ԱՐԱՐԱՏԻ ՄԱՐԶԻ ՄԱՍԻՍԻ ՔԱՂԱՔԱՅԻՆ ՀԱՄԱՅՆՔԻ ՀՈՂԱՅԻՆ ՖՈՆԴԻ ԱՌԿԱՅՈՒԹՅԱՆ ԵՎ ԲԱՇԽՄԱՆ ՄԱՍԻՆ
| Հայաստանի Հանրապետության կառավարության աշխատակազմի ղեկավար-նախարար |
Մ. Թոփուզյան |
|
Հավելված N 7 |
Հ Ա Շ Վ Ե Տ Վ ՈՒ Թ Յ ՈՒ Ն
ՀԱՅԱՍՏԱՆԻ ՀԱՆՐԱՊԵՏՈՒԹՅԱՆ ԱՐԱՐԱՏԻ ՄԱՐԶԻ ՄԱՍԻՍԻ ՔԱՂԱՔԱՅԻՆ ՀԱՄԱՅՆՔԻ ՈՌՈԳՎՈՂ ՀՈՂԵՐԻ ԱՌԿԱՅՈՒԹՅԱՆ ԵՎ ԲԱՇԽՄԱՆ ՄԱՍԻՆ
| Հայաստանի Հանրապետության կառավարության աշխատակազմի ղեկավար-նախարար |
Մ. Թոփուզյան |