ՀԱՅԱՍՏԱՆԻ ՀԱՆՐԱՊԵՏՈՒԹՅԱՆ ԿԵՆՏՐՈՆԱԿԱՆ ԲԱՆԿԻ ՎԱՐՉՈՒԹՅՈՒՆ
Ո Ր Ո Շ ՈՒ Մ
4 հոկտեմբերի 1994 թվականի N 91
Հայաստանի Հանրապետության բանկերի գործունեության կարգավորման տնտեսական նորմատիվների հաշվարկման մասին
Հայաստանի Հանրապետության կենտրոնական բանկի վարչությունը, ելնելով Հայաստանի Հանրապետության բանկերի կողմից իրականացվող արտարժութային գործարքների հուսալիության բարձրացման անհրաժեշտությունից և, հաշվի առնելով հաշվապահական հաշվառման հաշվային պլանի մԵջ կատարված փոփոխությունները, որոշում է.
1. Հայաստանի Հանրապետության կենտրոնական բանկում տեղաբաշխվող արտարժութային պարտադիր պահուստների նվազագույն չափը, սկսած 1995 թվականի հունվարի 1-ից, սահմանել Հայաստանի Հանրապետության կենտրոնական բանկի վարչության 1994 թվականի մայիսի 26-ի «Հայաստանի Հանրապետության բանկերի գործունեության կարգավորման տնտեսական նորմատիվների և դրանց խախտումների դեպքում պատժամիջոցների սահմանման մասին» թիվ 37 որոշման 5-րդ կետով սահմանված չափին համապատասխան (15 տոկոս), ընդ որում, 1994 թվականի նոյեմբերի 1-ից` 5 տոկոս, դեկտեմբերի 1-ից` 10 տոկոս` արտահայտված ազատ փոխարկելի արտարժույթով:
2. Հաստատել Հայաստանի Հանրապետությունում գործող բանկերի գործունեության կարգավորման տնտեսական նորմատիվների հաշվարկման նոր հրահանգը (կցվում է):
3. Ուժը կորցրած ճանաչել Հայաստանի Հանրապետության կենտրոնական բանկի վարչության 1994 թվականի մայիսի 26-ի թիվ 37 որոշմամբ հաստատված` «Հայաստանի Հանրապետությունում գործող բանկերի գործունեության կարգավորման տնտեսական նորմատիվների հաշվարկման կարգի մասին» հրահանգը:
4. Սույն որոշումն ուժի մեջ է մտնում հրապարակման պահից:
|
Հաստատված է |
Հ Ր Ա Հ Ա Ն Գ
Հայաստանի Հանրապետությունում գործող բանկերի գործունեության կարգավորման տնտեսական նորմատիվների հաշվարկման
Հայաստանի Հանրապետության կենտրոնական բանկը սահմանում է բանկերի գործունեության կարգավորման տնտեսական նորմատիվների հաշվարկման հետևյալ կարգը.
|
1. Բանկերի սեփական միջոցների և ակտիվների գումարի միջև սահմանային հարաբերակցությունը ( Ն 1 ) |
Բանկի սեփական միջոցների և ակտիվների գումարի միջև սահմանային հարաբերակցությունը որոշվում է.
| որտեղ` |
Մ-ն բանկի սեփական միջոցներն են, որը հաշվարկվում է հաշվեկշռային հետևյալ հաշիվների տվյալներով.
01 (այդ թվում`019 (կտ-դտ)+943 (մինչև 30 օր տևողությամբ չվճարված %)+099 (մինչև 30 օր տևողությամբ չվճարված %)+ 960 +969+98(կտ-դտ)-904դտ-932(դտ) -941-95-97-92-930-191-193-92 հաշվում չեն հաշվարկվում այն հիմնական միջոցները, որոնք ձեռք են բերվել այդ նպատակով ստացված վարկի հաշվին:
904 հաշվի դեբետային մնացորդը հաշվարկում ընդունվում է` առանց հաշվի առնելու առանձին անձնական հաշիվների վրա եղած միջոցները մինչև բանկի թղթակցային հաշվի այդ միջոցների արտացոլումը:
Ա-ն բանկի ակտիվներն են. 031+032+033+034+035+040+041+042+043+05 (բացի-059)+06+072+074+075+089+091+093+096+097+ 162+163+191+193+194+195+196+161 197+21+23+25+27+29+35+37+39+41+43+45+47+51+53+55+57+59+61+ 620+65+712+716+717+76+ 77+780+820+822+826+92+930+931+937+940+942
Ակտիվապասիվային հաշիվները հաշվարկում ընդունվում են ակտիվային մնացորդների չափով:
Եթե հաշվարկի մեջ գրված է առաջին կարգի հաշվեկշռային հաշվի համարը, օրինակ`06 հաշվարկի մեջ ընդունվում են այդ խմբի բոլոր հաշիվները
|
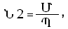
2. Բանկի հաշվեկշռի իրացվելիության (լիկվիդայնության) ցուցանիշները (Ն2 և Ն3 ) |
2.1. Բանկի սեփական միջոցների և նրա պարտավորությունների հարաբերակցությունը (Ն2):
| որտեղ` |
Պ-ն բանկի պարտավորություններն են` 070+071+073+074+075+076+078+079+08+ 090+092+094+13+14+15+163+165+169+17+190+199+10-րդ բաժին պասսիվ+670+671+ 672+673+676+69+70+710+711+715+74+810+821+823+824+826+827+806+807+902+ 904+932+(9925.0.5):
Ակտիվապասիվային հաշիվները հաշվարկում ընդունվում են պասիվային մնացորդի չափով:
2.2 Բանկի իրացվելի ակտիվների գումարի և ցպահանջ հաշիվների գծով նրա պարտավորությունների հարաբերակցությունը (Ն3).
| որտեղ` |
031+032+033+035+04+ 05(բացի+059)+060+061+062+065+072+093+161+163+191+ 193+194+195+բանկի տրամադրած վարկերը, որոնց մարման ժամկետը լրանում է առաջիկա 30 օրվա ընթացքում, այդ թվում` հաշվի առած փաստաթղթերով ձևակերպված երկարաձգումը, ինչպես նաև բանկի օգտին այդ ժամկետում փոխանցման ենթակա այլ վճարումները:
Պցպ-ն ցպահանջ հաշիվների գծով բանկի պարտավորություններն են. 070+071+073+076+079+080+081+082+083+084+090(մինչև 30 օր մարման ժամկետ) +094+130+141+142+143+145+146+150+151+ 163+17+199+20+22+24+26+28+30+ 32+34+36+38+40+42+44+46+50+52+54+56+58+60+64+72(բացի 720-ից)+673+69+ 70+710+715+74+810+904+932+մինչև 1 ամիս մարման ժամկետով և անժամկետ ավանդներ և դեպոզիտներ (085+086+087+088+711)+670 (մինչև 30 օր ժամկետով տրված ֆին.օգնություն)+671.
Ակտիվապասիվային հաշիվները հաշվարկում ընդունվում են պասիվային մնացորդի չափով:
|
3. Հայաստանի Հանրապետության կենտրոնական բանկում տեղաբաշխվող պարտադիր պահուստների նվազագույն չափը |
Պարտադիր պահուստավորման ենթակա ներգրաված ռեսուրսների չափի հաշվարկման ժամանակ ընդգրկվում են հաշվեկշռային հաշիվների պասիվային մնացորդները` 130+141+142+143+144+151+165+169+17+20+22+24+26+28+30+32+34+36+38+40+42+ 44+46+50+52+54+56+58+60+64+720+722+723+724+69+70+710+711+715+74+806+ 807+902կտ+904կտ+890( կտ-դտ)+891(կտ-դտ)+163+169+199+670+671+672+673
Հաշվարկի մեջ չեն մտցվում ձեռնարկությունների, կազմակերպությունների հաշվարկային և ընթացիկ հաշիվներում եղած գումարները` ֆոնդային բորսայում ներկայացված հայտերին համապատասխան:
Հաշվի մեջ ներգրավող հաշվեկշռային 904 հաշվի գումարի որոշման ժամանակ նրա մնացորդից պետք է հանել պասսիվային մնացորդի առանձին անձնական հաշիվների մնացորդները`
- հաշվարկված, բայց դեռևս չվճարված դեպոզիտների, միջբանկային և կենտրոնացված վարկային ռեսուրսների դիմաց տոկոսները, ինչպես նաև բաժնետերերի շահաբաժինը.
- 904 հաշվում դեպոնացված բանկի աշխատողների աշխատավարձի գծով պարտքը, ինչպես նաև բանկի տնտեսական գործունեության հետ կապված հաշվարկված, բայց դեռևս չվճարված պարտքերը.
- բանկի օգուտներից բյուջեի մասհանումներն ու վճարումները, բյուջեի հարկերի և այլ պարտադիր վճարումները:
Պարտադիր պահուստավորման ենթակա ներգրաված ռեսուրսների չափը նվազեցվում է բանկերում պահվող կանխիկ դրամի չափով (հաշ.031+032+040+035+041+042+043):
Այլ բանկերից ստացված վարկերը և սեփական փոխառության պարտատոմսերը հաշվարկի մեջ չեն մտցվում:
Հայաստանի Հանրապետության կենտրոնական բանկի կողմից պահուստավորման ենթակա միջոցների մնացորդի մեծության կարգավորումը կատարվում է յուրաքանչյուր ամսվա մեկի դրությամբ` փաստացի ներգրաված և ներգրավման ենթակա միջոցների գումարների համեմատման միջոցով` ելնելով ներգրաված միջոցների հաշիվների մնացորդից, որոնք գոյանում են այդ հաշիվներով կատարված գործառնություններից և ռեզերվային պահանջներից գործող նորմատիվներից:
Առևտրային բանկը կազմում է պահուստավորման ենթակա միջոցների չափի հաշվարկ և հաշվեկշռի հետ միասին ներկայացնում է Հայաստանի Հանրապետության կենտրոնական բանկ (կից ձևով):
Անհրաժեշտության դեպքում Հայաստանի Հանրապետության կենտրոնական բանկի համաձայնությամբ պահուստավորման ենթակա միջոցների մնացորդի կարգավորումը կարող է իրականացվել ամսվա ընթացքում:
Հայաստանի Հանրապետության կենտրոնական բանկը կարող է առևտրային բանկերին թույլատրել լրիվ կամ մասնակիորեն ծածկելու պահուստային պահանջների իրենց պարտավորությունները` տարբեր տեսակի եկամուտ բերող բարձր իրացվելի ակտիվներով պետական և գանձապետական պարտավորություններով, ոսկով և այլ արժութային արժեքներով, Հայաստանի Հանրապետության կենտրոնական բանկի կողմից սահմանված համամասնություններով:
ՀՀ տարածքում գործող բանկերը, որոնց մասնաճյուղերը սահմանված կարգով տեղաբաշխված են և գործում են այլ պետությունների տարածքում, ապա նրանք ինքնուրույն են կատարում իրենց կողմից ներգրավված միջոցների դեպոնացումը տվյալ պետության կենտրոնական (ազգային) բանկում, նրա կողմից սահմանված նորմատիվների սահմաններում և ժամկետներում:
ՀՀ տարածքում գործող այլ պետությունների ոչ ռեզիդենտ բանկերի մասնաճյուղերը իրենց կողմից ներգրավված միջոցները սահմանված նորմատիվներին և ժամկետներին համապատասխան նույնպես դեպոնացնում են ՀՀ ԿԲ-ում:
Առևտրային բանկի կողմից պահուստային պահանջների կատարման հետ կապված միջոցների շարժի հաշվառումը կատարվում է հաշվեկշռային 162ա.հաշվով:
Հայաստանի Հանրապետության կենտրոնական բանկում և նրա հիմնարկություններում մուտքագրվող և հետ վերադարձվող գումարների հաշվառումը տարվում է 62պ. հաշվով` յուրաքանչյուր բանկի համար անհատական հաշիվների կտրվածքով:
Պահուստային հաշվին տոկոսներ չեն բարդվում:
Առևտրային բանկերի գործունեությունը դադարեցնելու դեպքում Կենտրոնական բանկը նրա թղթակցային հաշվին է վերադարձնում նախկինում պարտադիր պահուստների հաշվին փոխանցված միջոցները:
Առևտրային բանկերի կողմից արտարժութային պահուստների պահանջների կատարման հետ կապված միջոցների շարժի հաշվառումը կատարվում է հաշվեկշռային 096ա. հաշվով.
Հայաստանի Հանրապետության կենտրոնական բանկում և նրա հիմնարկություններում մուտքագրվող և հետ վերադարձվող գումարների հաշվառումը տարվում է 096պ. հաշվով` յուրաքանչյուր բանկի համար անհատական հաշիվների կտրվածքով:
Պարտադիր արտարժութային պահուստավորման ենթակա ներգրաված ռեսուրսների չափի հաշվառման ժամանակ ընդգրկվում են հաշվեկշռային հաշիվների պասսիվային մնացորդները:
070+071+073+074+076+079+08+094+095
Ակտիվապասսիվային հաշիվները հաշվարկում ընդունվում են միայն պասսիվային մնացորդները.
Պարտադիր արտարժութային պահուստավորման ենթակա ներգրաված ռեսուրսների չափը նվազեցվում է բանկում պահվող կանխիկ տարադրամի չափով (հաշիվ 060,065):
|
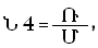
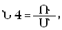
4. Մեկ փոխառուի ռիսկի առավելագույն չափը (Ն4) |
| որտեղ` |
Ռ-ն բանկի ռիսկի մեծությունն է (բանկին` վարկերի և ֆակտորինգային գործառնությունների գծով մեկ փոխառուի պարտավորությունների ընդհանուր գումարը, ինչպես նաև բանկի կողմից տվյալ փոխառուին տրված հետհաշվեկշռային պարտավորությունների (երաշխավորություններ և այլն) գումարի 50 %), որոնք նախատեսում են դրամական ձևով կատարում.
Մ-ն` բանկի սեփական միջոցները: Բանկի հանդեպ փոխառուի պարտավորությունների ընդհանուր գումարը` հաշվի առած նաև տվյալ փոխառուին բանկի կողմից տրված հետհաշվեկշռային պարտավորությունների գումարի 50%, եթե գերազանցում է բանկի սեփական միջոցների 20%, ապա այն համարվում է «խոշոր» վարկ:
«Խոշոր» վարկերը տրամադրվում են բանկի վարչության կամ պարբերաբար գումարվող վարկային հանձնաժողովի որոշմամբ:
Առևտրային բանկերը խոշոր վարկերի տրամադրման և մարման մասին տեղյակ են պահում ՀՀ ԿԲ համապատասխան ստորաբաժանմանը:
Բանկի կողմից տրված բոլոր «խոշոր» վարկերի պարտքերի ընդհանուր մնացորդը, հաշվի առած նաև արտահաշվեկշռային պարտավորությունները, չպետք է գերազանցի բանկի սեփական միջոցների տասնապատիկ գումարը:
Սույն նորմատիվը չի տարածվում արտարժույթով տրված վարկերի վրա:
|
5. Բնակչության կողմից ներդրված գումարների և բանկի սեփական միջոցների միջև սահմանային հարաբերակցությունը ( Ն5 ) |
| որտեղ` |
Աք-ն քաղաքացիների ներդրած ավանդների գումարն է (հաշվեկշռային 711 087+088 հաշիվների մնացորդը)
Մ-ը` բանկի սեփական միջոցները:
1. Սահմանել, որ Հայաստանի Հանրապետության կենտրոնական բանկում արտարժութային պարտադիր պահուստների տեղաբաշխումը լիազոր բանկերի կողմից իրականացվում է առանձին-առանձին, ըստ ներգրավված արտարժութային միջոցների` ԱՊՀ անդամ երկրների ազգային արժույթներ և ազատ փոխարկելի արժույթ տարատեսակներով:
2. Արտարժութային պարտադիր պահուստավորման հաշվարկում չի ընդգրկվում 094 հաշիվը` արտարժույթի պարտադիր վաճառքի մասով:
3. Հայաստանի Հանրապետության կենտրոնական բանկում կանխիկ մուտքագրված պարտադիր պահուստավորման գումարները վերահաշվարկման դեպքում լիազոր բանկերի պահանջով վերադարձվում են կանխիկ ձևով:
4. Պարտադիր պահուստավորման ենթակա արտարժույթի հաշվարկները բանկերը ներկայացնում են յուրաքանչյուր երկուշաբթի, նախորդ շաբաթվա վերջին օրվա հաշվեկշռի տվյալներով, ընդ որում փոխադարձ վճարումները իրականացվում են ոչ ուշ, քան հաշվետվությունը ներկայացնելու հաջորդ օրը:
5. Արտարժութային պարտադիր պահուստավորման հաշվարկում 095 հաշիվը հաշվարկվում է ակտիվային և պասսիվային շրջանառությունների մնացորդների տարբերության չափով:
6. Արդշինբանկ, Հայագրոբանկ, Հայէկոնոմբանկ բանկերի համար արտարժութային պարտադիր պահուստավորման հաշվարկում 890 և 095 հաշվեկշռային հաշիվները մինչև 1995 թվականի հունվարի 1-ը չեն հաշվարկվում:
7. Հայաստանի Հանրապետության կենտրոնական բանկի վերահսկողության, կագավորման և արտոնագրման վարչությանը (պետ` Ռ. Վալեսյան)` ուսումնասիրել 1994 թվականի նոյեմբերի 1-ի և դեկտեմբերի 1-ի դրությամբ բանկերի կողմից տնտեսական նորմատիվների խախտումների պատճառները և մինչև սույն թվականի դեկտեմբերի 15-ը համապատասխան առաջարկություններ ներկայացնել Հայաստանի Հանրապետության կենտրոնական բանկի վարչությանը:
(կետ 1-7 լր. 30.11.94թ. թիվ 108 որոշում)