«Վավերացնում եմ»
Հայաստանի Հանրապետության
Նախագահ Ռ. Քոչարյան
9 հուլիսի 2005 թ.
ՀԱՅԱՍՏԱՆԻ ՀԱՆՐԱՊԵՏՈՒԹՅԱՆ ԿԱՌԱՎԱՐՈՒԹՅՈՒՆ
Ո Ր Ո Շ ՈՒ Մ
16 հունիսի 2005 թվականի N 909-Ն
ՀԱՅԱՍՏԱՆԻ ՀԱՆՐԱՊԵՏՈՒԹՅԱՆ ԼՈՌՈՒ ՄԱՐԶԻ ՋՐԱՇԵՆԻ ԳՅՈՒՂԱԿԱՆ ՀԱՄԱՅՆՔԻ ՎԱՐՉԱԿԱՆ ՍԱՀՄԱՆՆԵՐԻ ՆԿԱՐԱԳԻՐԸ ՀԱՍՏԱՏԵԼՈՒ ԵՎ ՋՐԱՇԵՆԻ ԳՅՈՒՂԱԿԱՆ ՀԱՄԱՅՆՔԻ ՎԱՐՉԱԿԱՆ ՍԱՀՄԱՆՆԵՐՈՒՄ ԳՏՆՎՈՂ` ՊԵՏԱԿԱՆ ՍԵՓԱԿԱՆՈՒԹՅՈՒՆ ՀԱՆԴԻՍԱՑՈՂ ՀՈՂԱՄԱՍԵՐՆ ԱՆՀԱՏՈՒՅՑ ՍԵՓԱԿԱՆՈՒԹՅԱՆ ԻՐԱՎՈՒՆՔՈՎ ՀԱՄԱՅՆՔԻՆ ՓՈԽԱՆՑԵԼՈՒ ՄԱՍԻՆ
Հայաստանի Հանրապետության հողային օրենսգրքի 34-րդ ու 56-րդ, «Տեղական ինքնակառավարման մասին» Հայաստանի Հանրապետության օրենքի 6-րդ, 47-րդ ու 84-րդ և «Հայաստանի Հանրապետության վարչատարածքային բաժանման մասին» Հայաստանի Հանրապետության օրենքի 6-րդ հոդվածների պահանջներին համապատասխան` Հայաստանի Հանրապետության կառավարությունը որոշում է.
1. Հաստատել Հայաստանի Հանրապետության Լոռու մարզի Ջրաշենի գյուղական համայնքի վարչական սահմանների նկարագիրը` համաձայն NN 1 և 2 հավելվածների:
2. Հայաստանի Հանրապետության Լոռու մարզի Ջրաշենի գյուղական համայնքի վարչական սահմաններում գտնվող` պետական սեփականություն հանդիսացող 2936.84 հեկտար հողամասերից 2599.39 հեկտարը, որից` գյուղատնտեսական նշանակության` 2484.39 հեկտար, բնակավայրերի հողերի` 69.95 հեկտար, արդյունաբերության, ընդերքօգտագործման և այլ արտադրական նշանակության օբյեկտների` 34.79 հեկտար, էներգետիկայի, տրանսպորտի, կապի և կոմունալ ենթակառուցվածքների օբյեկտների` 0.67 հեկտար, հատուկ պահպանվող տարածքների` 9.20 հեկտար, ջրային հողերի` 0.39 հեկտար անհատույց սեփականության իրավունքով փոխանցել Ջրաշենի գյուղական համայնքին` համաձայն NN 3, 4, 5 և 6 հավելվածների:
3. Սահմանել, որ Հայաստանի Հանրապետության հողային օրենսգրքի 60-րդ հոդվածի պահանջներին համապատասխան`
ա) Հայաստանի Հանրապետության Լոռու մարզի Ջրաշենի գյուղական համայնքին անհատույց սեփականության իրավունքով փոխանցվող 2599.39 հեկտար հողերից 92.08 հեկտարը մասնավորեցման ենթակա չէ.
բ) Հայաստանի Հանրապետության Լոռու մարզի Ջրաշենի գյուղական համայնքի վարչական սահմաններում գտնվող հողերից 337.45 հեկտարը համարվում է պետական սեփականություն` համաձայն N 7 հավելվածի:
4. Ընդունել ի գիտություն Հայաստանի Հանրապետության Լոռու մարզի Ջրաշենի գյուղական համայնքի հողային ֆոնդի առկայության և բաշխման մասին հաշվետվությունը` 2005 թվականի հունվարի 1-ի դրությամբ` համաձայն NN 8 և 9 հավելվածների:
5. Հայաստանի Հանրապետության կառավարությանն առընթեր անշարժ գույքի կադաստրի պետական կոմիտեի նախագահին` սահմանված կարգով ապահովել սկզբնական հաշվառման նյութերի տրամադրումը Հայաստանի Հանրապետության Լոռու մարզի Ջրաշենի գյուղական համայնքի ղեկավարին` հողերի ընթացիկ հաշվառումն անցկացնելու և համայնքի հողային հաշվեկշիռը կազմելու համար:
6. Թույլատրել Հայաստանի Հանրապետության կառավարությանն առընթեր անշարժ գույքի կադաստրի պետական կոմիտեի նախագահին Հայաստանի Հանրապետության պետական գեոդեզիական ցանցի հավասարակշռման արդյունքների հիման վրա Հայաստանի Հանրապետության վարչատարածքային միավորների սահմանանիշերի կոորդինատների ժողովածուի հրատարակումից հետո հողային ֆոնդի ընթացիկ հաշվառման ժամանակ Հայաստանի Հանրապետության Լոռու մարզի Ջրաշենի գյուղական համայնքի հողային հաշվեկշռում սահմանված կարգով կատարել համապատասխան փոփոխություններ:
7. Հայաստանի Հանրապետության Լոռու մարզպետին` Հայաստանի Հանրապետության կառավարության 2000 թվականի հոկտեմբերի 23-ի N 656 որոշմամբ սահմանված կարգով` սկզբնական հաշվառման տվյալների հիման վրա ապահովել մարզի տարածքում ընթացիկ հաշվառման աշխատանքների իրականացումը:
8. Սույն որոշումն ուժի մեջ է մտնում պաշտոնական հրապարակմանը հաջորդող օրվանից։
|
|
Ա. Մարգարյան |
|
|
|
|
ՀԱՅԱՍՏԱՆԻ ՀԱՆՐԱՊԵՏՈՒԹՅԱՆ ԼՈՌՈՒ ՄԱՐԶԻ ՋՐԱՇԵՆԻ ԳՅՈՒՂԱԿԱՆ ՀԱՄԱՅՆՔԻ ՎԱՐՉԱԿԱՆ ՍԱՀՄԱՆՆԵՐԻ ՀԱՏԱԿԱԳԻԾԸ
Հայաստանի Հանրապետության
կառավարության աշխատակազմի
ղեկավար-նախարարՄ. Թոփուզյան
|
|
ՀԱՅԱՍՏԱՆԻ ՀԱՆՐԱՊԵՏՈՒԹՅԱՆ ԼՈՌՈՒ ՄԱՐԶԻ ՋՐԱՇԵՆԻ ԳՅՈՒՂԱԿԱՆ ՀԱՄԱՅՆՔԻ ՎԱՐՉԱԿԱՆ ՍԱՀՄԱՆՆԵՐԻ ՆԿԱՐԱԳՐՈՒԹՅՈՒՆԸ
Ջրաշեն համայնքը գտնվում է Լոռու մարզի հարավ-արևմտյան մասում: Հեռավորությունը Վանաձոր քաղաքից 25 կմ է:
Համայնքը հյուսիս-արևելյան կողմից «Ա»-«Բ» հատվածով սահմանակից է Սպիտակ քաղաքին, արևելյան «Բ»-«Գ» հատվածով` Սարամեջ համայնքին, «Գ»-«Դ» հատվածով` Արագածոտնի մարզի Սիփան համայնքին, հարավից «Դ»-«Ե» հատվածով` Արագածոտնի մարզի Ջամշլու համայնքին, «Ե»-«Զ» հատվածով` Արագածոտնի մարզի Գեղարոտ համայնքին, «Զ»-«Է» հատվածով` Արագածոտնի մարզի Ծիլքար համայնքին, «Է»-«Ը» հատվածով` Արագածոտնի մարզի Լեռնապար համայնքին, «Ը»-«Թ» արևմտյան հատվածով` Լեռնավան համայնքին և «Թ»-«Ա» հատվածով` Կաթնաջուր համայնքին:
ՋՐԱՇԵՆ-ՍՊԻՏԱԿ ՔԱՂԱՔ ՍԱՀՄԱՆԱԳԻԾԸ` «Ա»-«Բ»
Ջրաշեն, Կաթնաջուր գյուղական և Սպիտակ քաղաքային համայնքների տարածքների բաժանման «Ա» հանգուցային սահմանակետից (2166.0 մ նիշ ունեցող եռանկյունաչափական «Գալոյ պուճախ» բլրի գագաթից) սահմանագիծը ջրբաժանով անցնելով թիվ 1 սահմանակետով հասնում է թիվ 2 սահմանակետին դեպի հարավ-արևելք, այնուհետև թեքվում դեպի հյուսիս-արևելք անցնելով թիվ 3 սահմանակետերով հասնում ջրբաժանի բարձունքի թիվ 4 սահմանակետին: Թիվ 4 սահմանակետից սահմանագիծն անցնում է դեպի հարավ-արևելք և հասնում բլրի գագաթի թիվ 5 սահմանակետին: Թիվ 5 սահմանակետից ջրբաժանով սահմանագիծն ուղղվում է դեպի արևելք, հասնում թիվ 6 սահմանակետին: Թիվ 6 սահմանակետից սահմանագիծը թեքվում է դեպի հարավ, հասնում արտադրական մասից 100 մ հեռու գտնվող թիվ 7 սահմանակետին, շարունակվում նույն ուղղությամբ, հասնում ձորակի եզրի թիվ 8 սահմանակետին: Թիվ 8 սահմանակետից սահմանագիծը թեքվում է դեպի հարավ-արևմուտք, անցնելով թիվ 9 կետով, հասնում է թիվ 10 սահմանակետին, որտեղից թեքվելով հարավ-արևելք և անցնելով թիվ 11-12 սահմանակետերով, հասնում է թիվ 13 սահմանակետին: Թիվ 13 սահմանակետից սահմանագիծը թեքվում է դեպի հյուսիս-արևելք և անցնելով Սպիտակ-Ջրաշեն ճանապարհով թիվ 14 սահմանակետով, հասնում է թիվ 15 սահմանակետին որը դրված է Սպիտակ-Ջրաշեն ճանապարհի եզրին: Թիվ 15 սահմանակետից արտադրական մասի եզրով սահմանագիծն անցնում է դեպի հարավ-արևելք, հասնում ձորակի եզրին դրված թիվ 16 սահմանակետին, որից հետո թեքվում դեպի հարավ` վարելահողի եզրով հասնում Սարամեջ, Ջրաշեն գյուղական և Սպիտակ քաղաքային համայնքների տարածքների բաժանման «Բ» հանգուցային սահմանակետին:
«Ա»-«Բ» սահմանագծի երկարությունը 5479.69 մ է:
ՋՐԱՇԵՆ-ՍԱՐԱՄԵՋ ՍԱՀՄԱՆԱԳԻԾԸ` «Բ»-«Գ»
Ջրաշեն, Սարամեջ գյուղական և Սպիտակ քաղաքային համայնքների տարածքների բաժանման «Բ» հանգուցային սահմանակետից սահմանագիծն անցնում է դեպի հարավ-արևմուտք վարելահողի եզրով, հասնում ջրհավաքի թիվ 1 սահմանակետին թեքվում նույն ջրհավաքով դեպի հարավ, հասնում թիվ 2 սահմանակետին, այնուհետև թեքվում դեպի հարավ-արևմուտք և հասնում թիվ 3 սահմանակետին: Թիվ 3 սահմանակետից սահմանագիծը թեքվում է դեպի հյուսիս-արևմուտք անցնելով թիվ 4 սահմանակետով, հատելով դաշտային ճանապարհը, հասնում է թիվ 5 սահմանակետին, որտեղից անտառի և վարելահողի եզրով, հասնում թիվ 6 սահմանակետին: Թիվ 6 սահմանակետից սահմանագիծը ջրբաժանով հասնում է 1754.6 մ նիշ ունեցող բլրի գագաթի թիվ 7 սահմանակետին, որից նույն ուղղությամբ անցնելով 335.84 մ, հասնում է հաջորդ բլրի գագաթի թիվ 8 սահմանակետին: Թիվ 8 սահմանակետից սահմանագիծը թեքվելով դեպի արևելք և անցնելով 177.24 մ, հասնում է բլրի թիվ 9 սահմանակետին: Թիվ 9 սահմանակետից սահմանագիծը թեքվում է դեպի հարավ և ջրբաժանով հասնում 1890.8 մ նիշ ունեցող «Սարջի Գյորդան» թիվ 10 սահմանակետին: Թիվ 10 սահմանակետից սահմանագիծը նույն ուղղությամբ անցնում է ջրբաժանով և հասնում թիվ 11 սահմանակետին, այնուհետև նույն ջրբաժանով անցնելով հասնում է 1886.7 մ նիշ ունեցող թիվ 12 սահմանակետին: Թիվ 12 սահմանակետից սահմանագիծը ջրբաժանով անցնելով բլուրների գագաթներով թիվ 13-15 սահմանակետերով հասնում թիվ 16 սահմանակետին, որտեղից թեքվելով դեպի հարավ հասնում 1925.7 մ նիշ ունեցող բլրի գագաթի թիվ 17 սահմանակետին: Թիվ 17 սահմանակետից ջրբաժանով սահմանագիծն անցնելով թիվ 18, 19 սահմանակետերով դեպի հարավ-արևմուտք, հասնում է բլրի գագաթի 2000.7 մ նիշ ունեցող թիվ 20 սահմանակետին: Թիվ 20 սահմանակետից դարձյալ ջրբաժանով սահմանագիծն անցնում է նույն ուղղությամբ հարավ, բլրի գագաթի, թիվ 21 սահմանակետով, հասնում 2044.8 մ նիշ ունեցող բլրի գագաթի թիվ 22 սահմանակետին: Թիվ 22 սահմանակետից սահմանագիծն անցնում է ջրբաժանով դեպի հարավ, բլրի գագաթներով` թիվ 23-24 սահմանակետերով, հասնում 2290.6 մ նիշ ունեցող «Բոդեյ-բրոն» թիվ 25 սահմանակետին: Այնուհետև թեքվելով դեպի հարավ-արևելք, բլրի գագաթներով, անցնելով թիվ 26-27 սահմանակետերը, հասնում 2310.0 մ նիշ ունեցող բլրի գագաթի թիվ 28 սահմանակետին: Թիվ 28 սահմանակետից սահմանագիծն անցնում է դեպի արևելք` ջրբաժանով, բլրի գագաթներով անցնելով թիվ 29 սահմանակետը, հասնում 2415.8 մ նիշ ունեցող բլրի գագաթի թիվ 30 սահմանակետին: Թիվ 30 սահմանակետից սահմանագծի նույն ուղղությամբ դարձյալ ջրբաժանով, անցնելով թիվ 31 սահմանակետը, հասնում 2737.6 մ նիշ ունեցող «Կամարդագ» կոչվող եռանկյունաչափական կետի հետ համընկնող Ջրաշեն, Սարամեջ համայնքների և Արագածոտնի մարզի Սիփան համայնքների տարածքների բաժանման «Գ» հանգուցային սահմանակետին:
«Բ»-«Գ» սահմանագծի երկարությունը` 9935.38 մ է:
ՋՐԱՇԵՆ-ՍԻՓԱՆ ՍԱՀՄԱՆԱԳԻԾԸ` «Գ»-«Դ»
Ջրաշեն, Սարամեջ համայնքների և Արագածոտնի մարզի Սիփան համայնքների տարածքների բաժանման «Գ» հանգուցային կետից, որը գտնվում է 2737.6 մ նիշ ունեցող «Կամարդակ» սարի գագաթին, սահմանագիծը ջրբաժանով դեպի հարավ, անցնելով թիվ 1-2 կետերով, հասնում թիվ 3 կետը, որից հետո թեքվում դեպի հարավ-արևմուտք, անցնելով թիվ 4 կետը հասնում ձորակի և դաշտային ճանապարհի հատման թիվ 5 կետին: Թիվ 5 կետից սահմանագիծն անցնում է թիվ 6 կետով, նույն ուղղությամբ` հասնում է թիվ 7 կետին, որից հետո թեքվում դեպի արևմուտք, լանջով բարձրանում 251.2 մ, հասնում Ջրաշեն, Արագածոտնի մարզի Սիփան և Ջամշլու համայնքների տարածքների բաժանման «Դ» հանգուցային սահմանակետին:
«Գ»-«Դ» սահմանագծի երկարությունը` 2131.71 մ է:
ՋՐԱՇԵՆ-ՋԱՄՇԼՈՒ ՍԱՀՄԱՆԱԳԻԾԸ` «Դ»-«Ե»
Ջրաշեն համայնքի Արագածոտնի մարզի Ջամշլու և Գեղարոտ համայնքների տարածքների բաժանման «Ե» հանգուցային կետից, որը գտնվում է 2496.0 մ նիշ ունեցող բարձունքի վրա, սահմանագիծը թեքվում է դեպի հյուսիս-արևելք և ջրբաժանով անցնելով թիվ 1 կետով հասնում է թիվ 2 կետին: Թիվ 2 կետից սահմանագիծն անցնելով հարավ-արևելք, ջրբաժանով 193.8 մ, հասնում է Ջրաշեն, Արագածոտնի մարզի Սիփան և Ջամշլու համայնքների տարածքների բաժանման «Դ» հանգուցային կետ:
«Դ»-«Ե» սահմանագծի երկարությունը` 499.62 մ է:
ՋՐԱՇԵՆ-ԳԵՂԱՐՈՏ ՍԱՀՄԱՆԱԳԻԾԸ` «Ե»-«Զ»
Ջրաշեն, Արագածոտնի մարզի Գեղարոտ և Ծիլքար համայնքների տարածքների բաժանման «Զ» հանգուցային կետից, սահմանագիծը թեքվում է հյուսիս-արևելք, ջրբաժանով անցնում թիվ 1 կետով 280.4 մ, հասնում է թիվ 2 կետին, որը համընկնում է 2557.6 մ նիշ ունեցող «Ծիլքար» պետական գեոդեզիական ցանցի կետին, որտեղից շարունակվում է նույն ուղղությամբ, ջրբաժանով անցնում է 343.6 մ հասնում բլրի ստորոտում գտնվող թիվ 3 կետը, ապա նույն ուղղությամբ ջրբաժանով անցնում է 278.7 մ հասնում բլրի գագաթին գտնվող 2496.0 մ նիշ ունեցող Ջրաշեն համայնքի, Արագածոտնի մարզի Ջամշլու և Գեղարոտ համայնքների տարածքների բաժանման «Ե» հանգուցային սահմանակետին:
«Ե»-«Զ» սահմանագծի երկարությունը` 902.72 մ է:
ՋՐԱՇԵՆ-ԾԻԼՔԱՐ ՍԱՀՄԱՆԱԳԻԾԸ` «Զ»-«Է»
Ջրաշեն համայնքի, Արագածոտնի մարզի Ծիլքար և Լեռնարոտ համայնքների տարածքների բաժանման «Է» հանգուցային կետից, որը գտնվում է 2226.5 մ նիշ ունեցող բլրի գագաթին` սահմանագիծը թեքվում է հարավ-արևելք` ջրբաժանով անցնում 274.2 մ, հասնում 2218.1 մ նիշ ունեցող բլրի գագաթի կետին: Այնուհետև շարունակվում նույն ուղղությամբ, լանջով իջնում 176.7 մ, հասնում թիվ 2 կետին: Թիվ 2 կետից սահմանագիծը նույն ուղղությամբ, անցնելով 364.0 մ, հատելով Երևան-Վանաձոր ավտոմայրուղին, հասնում թիվ 3 կետը, որից հետո թեքվում է դեպի հյուսիս-արևելք, ջրբաժանով անցնում 452.1 մ, հասնում մինչև թիվ 4 կետը, որը գտնվում է 2211.4 մ նիշ ունեցող բլրի գագաթին: Թիվ 4 կետից սահմանագիծը թեքվում է հարավ-արևելք, ջրբաժանով անցնելով 322.1 մ, հասնում թիվ 5 կետին, որից շարունակվում է նույն ուղղությամբ ջրբաժանով բարձրանում է 425.9 մ, հասնում թիվ 7 կետին, ապա Գեղարոտ և Ծիլքար համայնքների տարածքների բաժանման «Զ» հանգուցային սահմանակետին:
«Զ»-«Է» սահմանագծի երկարությունը` 3007.66 մ է:
ՋՐԱՇԵՆ-ԼԵՌՆԱՊԱՐ ՍԱՀՄԱՆԱԳԻԾԸ` «Է»-«Ը»
Ջրաշեն, Լեռնավան և Արագածոտնի մարզի Լեռնապար համայնքների տարածքների բաժանման «Ը» հանգուցային կետից սահմանագիծը թեքվում է հարավ-արևելք ջրբաժանով անցնում 154.1 մ, հասնում թիվ 1 կետին, որից հետո թեքվում հարավ-արևելք, լանջով անցնում 547.0 մ հասնում 2419.0 մ նիշ ունեցող բլրի գագաթին գտնվող թիվ 2 «Փամբակ» եռանկյունաչափական կետին: Այնուհետև սահմանագիծը թեքվում է հարավ-արևելք ջրբաժանով անցնում 1320.6 մ, հասնում թիվ 4 կետին, որից թեքվում է հարավ` լանջով անցնում 306.1 մ հասնում 2209.7 մ նիշ ունեցող բլրի գագաթին գտնվող թիվ 5 կետին: Թիվ 5 կետից սահմանագիծը թեքվում է հարավ-արևելք, ջրբաժանով անցնում 885.5 մ, հասնում 2226.5 մ նիշ ունեցող բլրի գագաթին գտնվող Ջրաշեն համայնքի, Արագածոտնի մարզի Ծիլքար և Լեռնապար համայնքների տարածքների բաժանման «Է» հանգուցային կետը:
«Է»-«Ը» սահմանագծի երկարությունը` 3213.32 մ է:
ՋՐԱՇԵՆ-ԼԵՌՆԱՎԱՆ ՍԱՀՄԱՆԱԳԻԾԸ` «Ը»-«Թ»
Ջրաշեն, Կաթնաջուր և Լեռնավան համայնքների տարածքների բաժանման «Թ» հանգուցային սահմանակետից սահմանագիծն անցնում է դեպի հարավ` 244.83 մ, հասնում ջրհավաքի թիվ 1 սահմանակետին, այնուհետև նույն ջրհավաքով անցնելով թիվ 2-4 սահմանակետերով դեպի հարավ-արևելք, հատելով Լեռնավան գնացող ճանապարհը, հատելով ջրհավաքը, հասնում է թիվ 5 սահմանակետին բաժանելով Ջրաշեն և Լեռնավան բնակավայրերը, այնուհետև սահմանագիծը Ջրաշենի տնամերձերի կողքով դեպի հարավ-արևմուտք, հասնում թիվ 6 սահմանակետը, որտեղից թեքվելով հարավ-արևելք, հասնում վարելահողի անկյունում գտնվող թիվ 7 սահմանակետին: Թիվ 7 սահմանակետից սահմանագիծն անցնում է դեպի հարավ, հատելով դաշտային ճանապարհը, հասնում ջրբաժանի թիվ 8 սահմանակետին: Թիվ 8 սահմանակետից սահմանագիծը նույն ջրբաժանով շարունակվում դեպի հարավ-արևմուտք, անցնելով թիվ 9 սահմանակետով, նույն ջրբաժանով հասնում 1896.8 մ նիշ ունեցող բլրի գագաթի թիվ 10 կետին: Թիվ 10 կետից սահմանագիծը թեքվելով դեպի հարավ-արևմուտք և անցնելով 593.21 մ, հասնում 1990.1 նիշ ունեցող բլրի գագաթի թիվ 11 սահմանակետին: Թիվ 11 կետից սահմանագիծը երկու կողմից անտառաշերտ ունեցող ջրբաժանով, թիվ 12-15 սահմանակետերով, հասնում 2322.5 մ նիշ ունեցող բլրի գագաթի թիվ 16 կետին: Թիվ 16 կետից սահմանագիծը թեքվելով դեպի հարավ-արևմուտք` ջրբաժանով անցնելով թիվ 17-19 սահմանակետերով, հասնում է 2359.2 մ նիշ ունեցող բլրի գագաթի Ջրաշեն, Լեռնավան և Արագածոտնի մարզի Լեռնապար համայնքների տարածքների բաժանման «Ը» հանգուցային սահմանակետին:
«Ը»-«Թ» սահմանագծի երկարությունը` 6365.66 մ է:
ՋՐԱՇԵՆ-ԿԱԹՆԱՋՈՒՐ ՍԱՀՄԱՆԱԳԻԾԸ` «Թ»-«Ա»
Ջրաշեն, Կաթնաջուր գյուղական և Սպիտակ քաղաքային համայնքների տարածքների բաժանման «Ա» հանգուցային սահմանակետից (2166.0 մ նիշ ունեցող «Գալոյ պուճախ» եռանկյունաչափական սահմանակետից), սահմանագիծը ջրբաժանով անցնելով դեպի հարավ-արևմուտք 416.69 մ, հասնում թիվ 1 կետին, ապա շարունակում նույն ջրբաժանով, հասնում 2120 մ նիշ ունեցող բլրի գագաթի թիվ 2 սահմանակետին: Թիվ 2 սահմանակետից սահմանագիծը թեքվում է դեպի արևմուտք, անցնում թիվ 3 կետով, հասնում ջրբաժանի թիվ 4 սահմանակետին: Թիվ 4 սահմանակետից սահմանագիծն անցնում է դեպի հարավ` բլուրներով, ջրբաժանով անցնելով թիվ 5-8 սահմանակետերով, հասնում է թիվ 9 կետին: Թիվ 9 կետից սահմանագիծը թեքվում է արևմուտք` բլրի գագաթներով, ջրբաժանով անցնելով թիվ 10 կետով, հատելով Կաթնաջուր գնացող ճանապարհը, հասնում է Ջրաշեն, Կաթնաջուր և Լեռնավան համայնքների տարածքների բաժանման «Թ» հանգուցային սահմանակետին:
«Թ»-«Ա» սահմանագծի երկարությունը` 3452.28 մ է:
Հայաստանի Հանրապետության կառավարության աշխատակազմի ղեկավար-նախարար |
Մ. Թոփուզյան |
|
|
ՀԱՅԱՍՏԱՆԻ ՀԱՆՐԱՊԵՏՈՒԹՅԱՆ ԼՈՌՈՒ ՄԱՐԶԻ ՋՐԱՇԵՆԻ ԳՅՈՒՂԱԿԱՆ ՀԱՄԱՅՆՔԻ ՀՈՂԱՇԻՆԱՐԱՐԱԿԱՆ ՀԱՏԱԿԱԳԻԾԸ
Հայաստանի Հանրապետության
կառավարության աշխատակազմի
ղեկավար-նախարարՄ. Թոփուզյան
|
|
Ա Ն Վ Ա Ն Ա Ց Ա Ն Կ
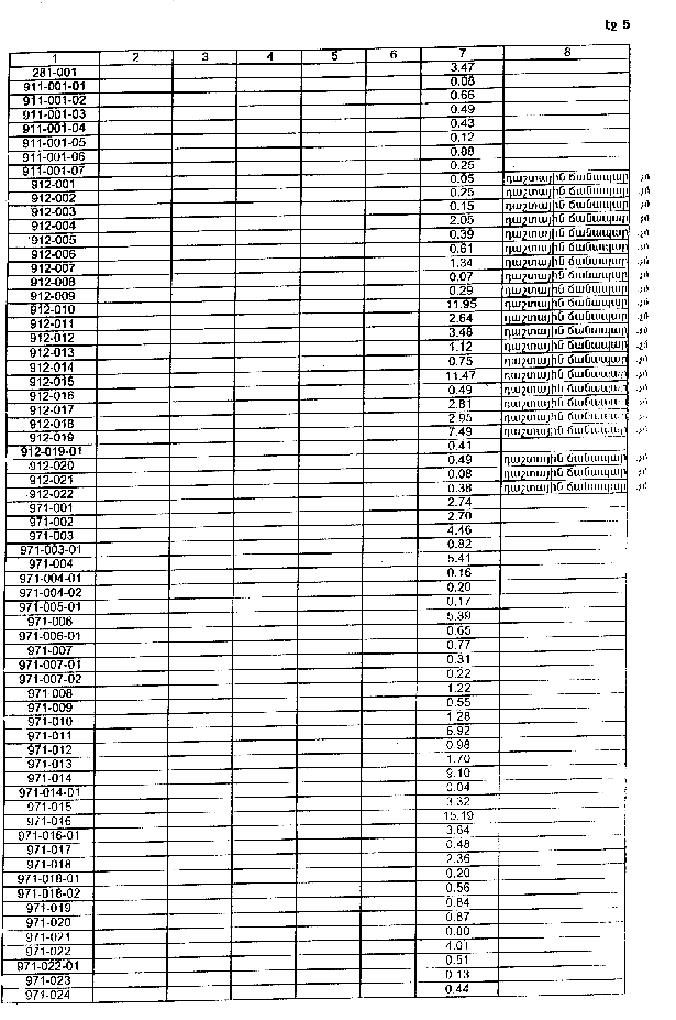
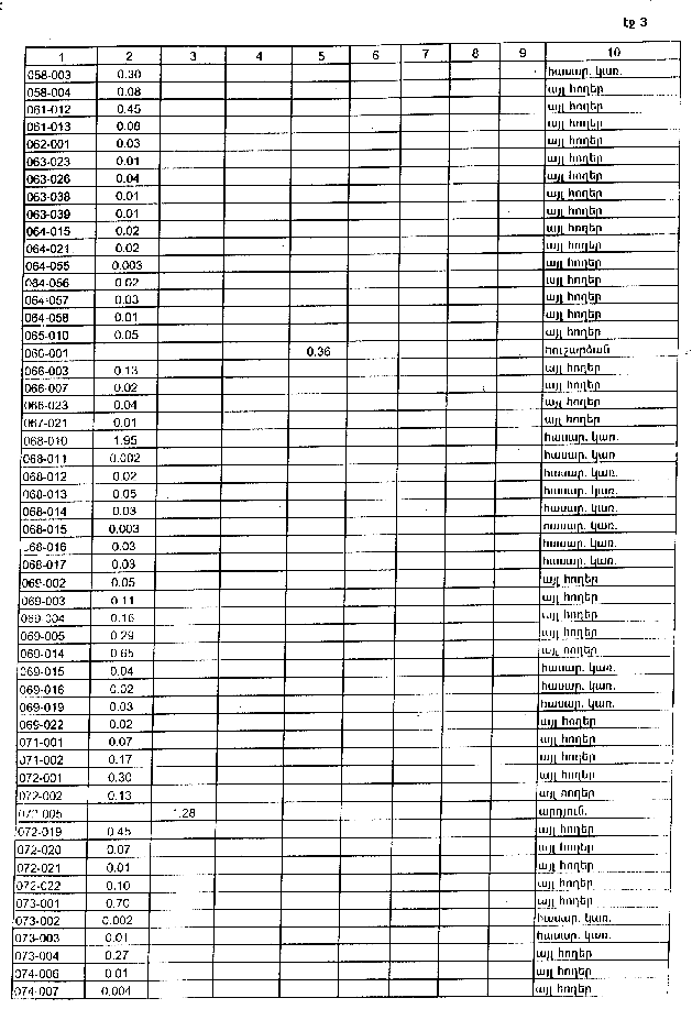
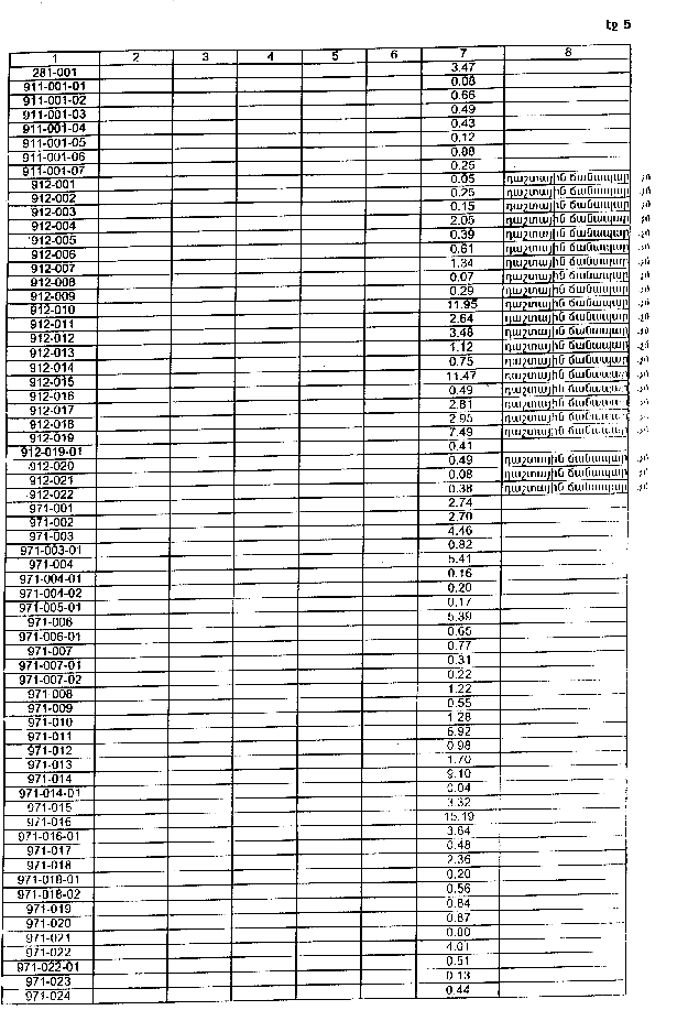
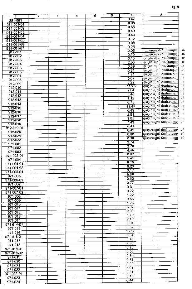
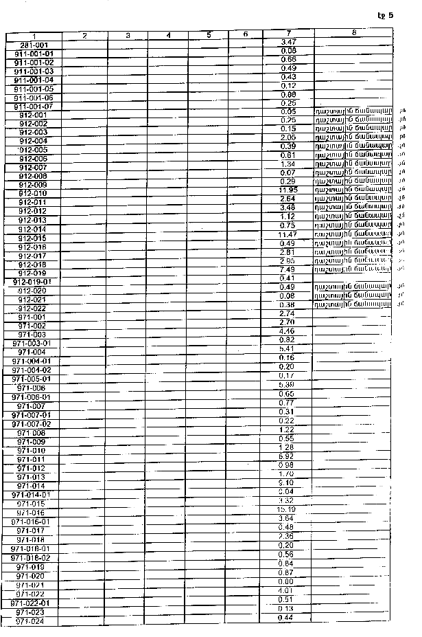
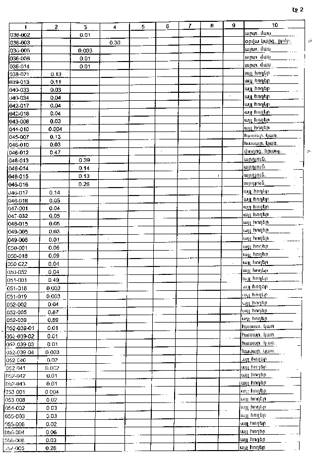
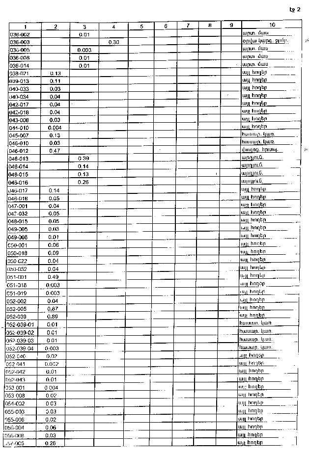
ՀԱՅԱՍՏԱՆԻ ՀԱՆՐԱՊԵՏՈՒԹՅԱՆ ԼՈՌՈՒ ՄԱՐԶԻ ՋՐԱՇԵՆԻ ԳՅՈՒՂԱԿԱՆ ՀԱՄԱՅՆՔԻ ՎԱՐՉԱԿԱՆ ՍԱՀՄԱՆՆԵՐՈՒՄ ԳՏՆՎՈՂ` ՊԵՏԱԿԱՆ ՍԵՓԱԿԱՆՈՒԹՅՈՒՆ ՀԱՆԴԻՍԱՑՈՂ ՀՈՂԵՐԻՑ ՋՐԱՇԵՆԻ ԳՅՈՒՂԱԿԱՆ ՀԱՄԱՅՆՔԻՆ ԱՆՀԱՏՈՒՅՑ ՓՈԽԱՆՑՎՈՂ ՀՈՂԵՐԻ
Հայաստանի Հանրապետության կառավարության աշխատակազմի ղեկավար-նախարար |
Մ. Թոփուզյան |
|
|
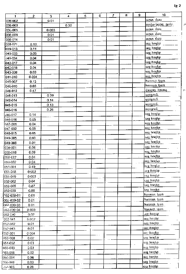
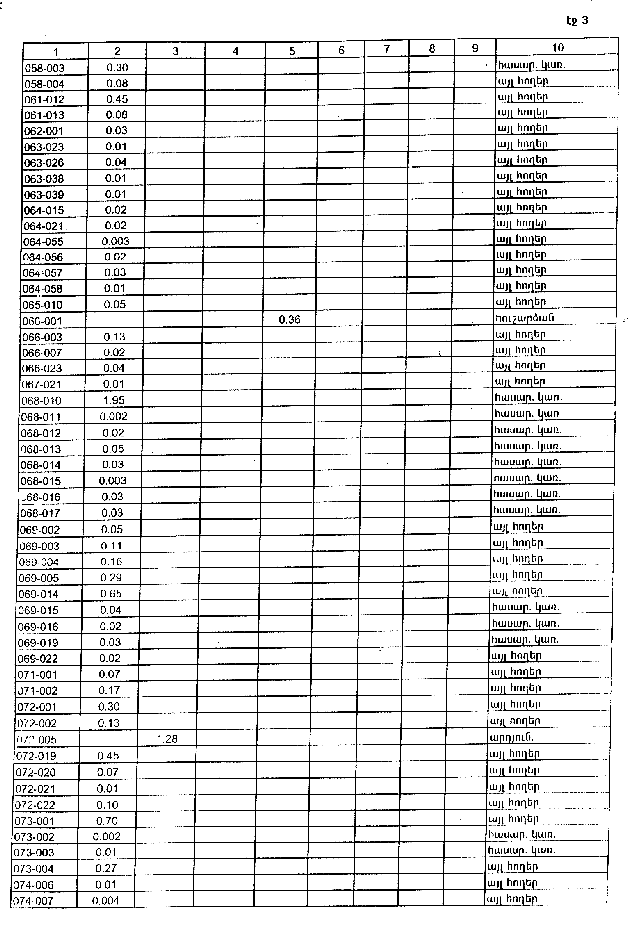
Ց Ա Ն Կ
ՀԱՅԱՍՏԱՆԻ ՀԱՆՐԱՊԵՏՈՒԹՅԱՆ ԼՈՌՈՒ ՄԱՐԶԻ ՋՐԱՇԵՆԻ ԳՅՈՒՂԱԿԱՆ ՀԱՄԱՅՆՔԻ ՎԱՐՉԱԿԱՆ ՍԱՀՄԱՆՆԵՐՈՒՄ ԳՏՆՎՈՂ` ՊԵՏԱԿԱՆ ՍԵՓԱԿԱՆՈՒԹՅՈՒՆ ՀԱՆԴԻՍԱՑՈՂ ՀՈՂԵՐԻՑ ՋՐԱՇԵՆԻ ԳՅՈՒՂԱԿԱՆ ՀԱՄԱՅՆՔԻՆ ԱՆՀԱՏՈՒՅՑ ՓՈԽԱՆՑՎՈՂ ՀՈՂԵՐԻ
Հայաստանի Հանրապետության կառավարության աշխատակազմի ղեկավար-նախարար |
Մ. Թոփուզյան |
|
|
Ց Ա Ն Կ
ՀԱՅԱՍՏԱՆԻ ՀԱՆՐԱՊԵՏՈՒԹՅԱՆ ԼՈՌՈՒ ՄԱՐԶԻ ՋՐԱՇԵՆԻ ԳՅՈՒՂԱԿԱՆ ՀԱՄԱՅՆՔԻ ՎԱՐՉԱԿԱՆ ՍԱՀՄԱՆՆԵՐՈՒՄ ԳՏՆՎՈՂ` ՊԵՏԱԿԱՆ ՍԵՓԱԿԱՆՈՒԹՅՈՒՆ ՀԱՆԴԻՍԱՑՈՂ ՀՈՂԵՐԻՑ ՋՐԱՇԵՆԻ ԳՅՈՒՂԱԿԱՆ ՀԱՄԱՅՆՔԻՆ ԱՆՀԱՏՈՒՅՑ ՓՈԽԱՆՑՎՈՂ ՀՈՂԵՐԻ (ԸՍՏ ՆՊԱՏԱԿԱՅԻՆ ՆՇԱՆԱԿՈՒԹՅԱՆ)
Հայաստանի Հանրապետության կառավարության աշխատակազմի ղեկավար-նախարար |
Մ. Թոփուզյան |
|
|
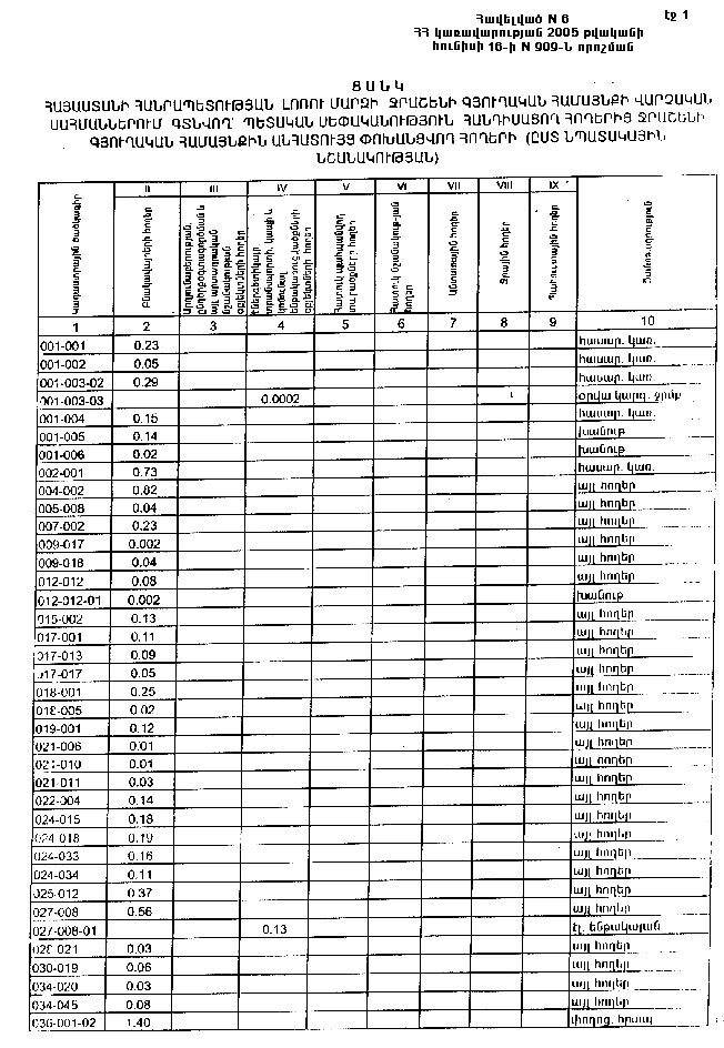
Ց Ա Ն Կ
ՀԱՅԱՍՏԱՆԻ ՀԱՆՐԱՊԵՏՈՒԹՅԱՆ ԼՈՌՈՒ ՄԱՐԶԻ ՋՐԱՇԵՆԻ ԳՅՈՒՂԱԿԱՆ ՀԱՄԱՅՆՔԻ ՎԱՐՉԱԿԱՆ ՍԱՀՄԱՆՆԵՐՈՒՄ ԳՏՆՎՈՂ` ՊԵՏԱԿԱՆ ՍԵՓԱԿԱՆՈՒԹՅՈՒՆ ՀԱՆԴԻՍԱՑՈՂ ՀՈՂԵՐԻ (ԸՍՏ ՆՊԱՏԱԿԱՅԻՆ ՆՇԱՆԱԿՈՒԹՅԱՆ)
Հայաստանի Հանրապետության
կառավարության աշխատակազմի
ղեկավար-նախարարՄ. Թոփուզյան
|
|
Հ Ա Շ Վ Ե Տ Վ ՈՒ Թ Յ ՈՒ Ն
ՀԱՅԱՍՏԱՆԻ ՀԱՆՐԱՊԵՏՈՒԹՅԱՆ ԼՈՌՈՒ ՄԱՐԶԻ ՋՐԱՇԵՆԻ ԳՅՈՒՂԱԿԱՆ ՀԱՄԱՅՆՔԻ ՀՈՂԱՅԻՆ ՖՈՆԴԻ ԱՌԿԱՅՈՒԹՅԱՆ ԵՎ ԲԱՇԽՄԱՆ ՄԱՍԻՆ
Հայաստանի Հանրապետության
կառավարության աշխատակազմի
ղեկավար-նախարարՄ. Թոփուզյան
|
|
Հ Ա Շ Վ Ե Տ Վ ՈՒ Թ Յ ՈՒ Ն
ՀԱՅԱՍՏԱՆԻ ՀԱՆՐԱՊԵՏՈՒԹՅԱՆ ԼՈՌՈՒ ՄԱՐԶԻ ՋՐԱՇԵՆԻ ԳՅՈՒՂԱԿԱՆ ՀԱՄԱՅՆՔԻ ՈՌՈԳՎՈՂ ՀՈՂԵՐԻ ԱՌԿԱՅՈՒԹՅԱՆ ԵՎ ԲԱՇԽՄԱՆ ՄԱՍԻՆ
Հայաստանի Հանրապետության
կառավարության աշխատակազմի
ղեկավար-նախարարՄ. Թոփուզյան