«Վավերացնում եմ»
Հայաստանի Հանրապետության
Նախագահ Ռ. Քոչարյան
29 հունիսի 2005 թ.
ՀԱՅԱՍՏԱՆԻ ՀԱՆՐԱՊԵՏՈՒԹՅԱՆ ԿԱՌԱՎԱՐՈՒԹՅՈՒՆ
Ո Ր Ո Շ ՈՒ Մ
9 հունիսի 2005 թվականի N 839-Ն
ՀԱՅԱՍՏԱՆԻ ՀԱՆՐԱՊԵՏՈՒԹՅԱՆ ԼՈՌՈՒ ՄԱՐԶԻ ԿՈՒՐԹԱՆԻ ԳՅՈՒՂԱԿԱՆ ՀԱՄԱՅՆՔԻ ՎԱՐՉԱԿԱՆ ՍԱՀՄԱՆՆԵՐԻ ՆԿԱՐԱԳԻՐԸ ՀԱՍՏԱՏԵԼՈՒ ԵՎ ԿՈՒՐԹԱՆԻ ԳՅՈՒՂԱԿԱՆ ՀԱՄԱՅՆՔԻ ՎԱՐՉԱԿԱՆ ՍԱՀՄԱՆՆԵՐՈՒՄ ԳՏՆՎՈՂ` ՊԵՏԱԿԱՆ ՍԵՓԱԿԱՆՈՒԹՅՈՒՆ ՀԱՆԴԻՍԱՑՈՂ ՀՈՂԱՄԱՍԵՐՆ ԱՆՀԱՏՈՒՅՑ ՍԵՓԱԿԱՆՈՒԹՅԱՆ ԻՐԱՎՈՒՆՔՈՎ ՀԱՄԱՅՆՔԻՆ ՓՈԽԱՆՑԵԼՈՒ ՄԱՍԻՆ
Հայաստանի Հանրապետության հողային օրենսգրքի 34-րդ ու 56-րդ, «Տեղական ինքնակառավարման մասին» Հայաստանի Հանրապետության օրենքի 6-րդ, 47-րդ ու 84-րդ և «Հայաստանի Հանրապետության վարչատարածքային բաժանման մասին» Հայաստանի Հանրապետության օրենքի 6-րդ հոդվածների պահանջներին համապատասխան` Հայաստանի Հանրապետության կառավարությունը որոշում է.
1. Հաստատել Հայաստանի Հանրապետության Լոռու մարզի Կուրթանի գյուղական համայնքի սահմանների նկարագիրը` համաձայն NN 1 և 2 հավելվածների:
2. Հայաստանի Հանրապետության Լոռու մարզի Կուրթանի գյուղական համայնքի վարչական սահմաններում գտնվող` պետական սեփականություն հանդիսացող 1087.82 հեկտար հողամասերից 810.79 հեկտարը, որից` գյուղատնտեսական նշանակության` 747.3 հեկտար, բնակավայրերի հողերի` 35.98 հեկտար, արդյունաբերության, ընդերքօգտագործման և այլ արտադրական նշանակության օբյեկտների` 21.14 հեկտար, էներգետիկայի, տրանսպորտի, կապի և կոմունալ ենթակառուցվածքների օբյեկտների` 0.11 հեկտար, հատուկ պահպանվող տարածքների` 6.26 հեկտար անհատույց սեփականության իրավունքով փոխանցել Կուրթանի գյուղական համայնքին` համաձայն NN 3, 4, 5 և 6 հավելվածների:
3. Սահմանել, որ Հայաստանի Հանրապետության հողային օրենսգրքի 60-րդ հոդվածի պահանջներին համապատասխան`
ա) Հայաստանի Հանրապետության Լոռու մարզի Կուրթանի գյուղական համայնքին անհատույց սեփականության իրավունքով փոխանցվող 810.79 հեկտար հողերից 63.25 հեկտարը մասնավորեցման ենթակա չէ.
բ) Հայաստանի Հանրապետության Լոռու մարզի Կուրթանի գյուղական համայնքի վարչական սահմաններում գտնվող հողերից 277.82 հեկտարը համարվում է պետական սեփականություն` համաձայն N 7 հավելվածի:
4. Ընդունել ի գիտություն Հայաստանի Հանրապետության Լոռու մարզի Կուրթանի գյուղական համայնքի հողային ֆոնդի առկայության և բաշխման մասին հաշվետվությունը` 2005 թվականի հունվարի 1-ի դրությամբ` համաձայն N 8 հավելվածի:
5. Հայաստանի Հանրապետության կառավարությանն առընթեր անշարժ գույքի կադաստրի պետական կոմիտեի նախագահին` սահմանված կարգով ապահովել սկզբնական հաշվառման նյութերի տրամադրումը Հայաստանի Հանրապետության Լոռու մարզի Կուրթանի գյուղական համայնքի ղեկավարին` հողերի ընթացիկ հաշվառումն անցկացնելու և համայնքի հողային հաշվեկշիռը կազմելու համար:
6. Թույլատրել Հայաստանի Հանրապետության կառավարությանն առընթեր անշարժ գույքի կադաստրի պետական կոմիտեի նախագահին Հայաստանի Հանրապետության պետական գեոդեզիական ցանցի հավասարակշռման արդյունքների հիման վրա Հայաստանի Հանրապետության վարչատարածքային միավորների սահմանանիշերի կոորդինատների ժողովածուի հրատարակումից հետո հողային ֆոնդի ընթացիկ հաշվառման ժամանակ Կուրթանի գյուղական համայնքի հողային հաշվեկշռում սահմանված կարգով կատարել համապատասխան փոփոխություններ:
7. Հայաստանի Հանրապետության Լոռու մարզպետին` Հայաստանի Հանրապետության կառավարության 2000 թվականի հոկտեմբերի 23-ի N 656 որոշմամբ սահմանված կարգով` սկզբնական հաշվառման տվյալների հիման վրա ապահովել մարզի տարածքում ընթացիկ հաշվառման աշխատանքների իրականացումը:
8. Սույն որոշումն ուժի մեջ է մտնում պաշտոնական հրապարակմանը հաջորդող օրվանից:
|
Հայաստանի Հանրապետության |
Ա. Մարգարյան |
|
2005 թ. հունիսի 27 |
|
Հավելված N 1 |
ՀԱՅԱՍՏԱՆԻ ՀԱՆՐԱՊԵՏՈՒԹՅԱՆ ԼՈՌՈՒ ՄԱՐԶԻ ԿՈՒՐԹԱՆԻ ԳՅՈՒՂԱԿԱՆ ՀԱՄԱՅՆՔԻ ՎԱՐՉԱԿԱՆ ՍԱՀՄԱՆՆԵՐԻ ՀԱՏԱԿԱԳԻԾԸ
|
Հայաստանի Հանրապետության |
Մ. Թոփուզյան |
|
Հավելված N 2 |
ՀԱՅԱՍՏԱՆԻ ՀԱՆՐԱՊԵՏՈՒԹՅԱՆ ԼՈՌՈՒ ՄԱՐԶԻ ԿՈՒՐԹԱՆԻ ԳՅՈՒՂԱԿԱՆ ՀԱՄԱՅՆՔԻ ՎԱՐՉԱԿԱՆ ՍԱՀՄԱՆՆԵՐԻ ՆԿԱՐԱԳՐՈՒԹՅՈՒՆԸ
Կուրթան համայնքը գտնվում է Լոռու մարզի կենտրոնական մասում:
Հեռավորությունը մարզկենտրոն Վանաձոր քաղաքից 30 կմ է:
Կուրթան համայնքը հյուսիսային «Ա»-«Բ» հատվածով սահմանակից է Կողես համայնքին, «Բ»-«Գ» հյուսիս-արևելյան հատվածով` Կարմիր Աղեկ համայնքին, «Գ»-«Դ» արևելյան հատվածով` Արևածագ համայնքին, «Դ»-«Ե» հարավ-արևելյան հատվածով` Ձորագյուղ համայնքին, «Ե»-«Զ» հարավային հատվածով` Անտառամուտ համայնքին, «Զ»-«Է» հարավ-արևմտյան հատվածով` մարզի համայնքների վարչական սահմաններում գտնվող անտառային հողերին, «Է»-«Ը» հարավ-արևմտյան հատվածով` Վարդաբլուր համայնքին, «Ը»-«Թ» հարավ-արևմտյան հատվածով` մարզի համայնքների վարչական սահմաններում գտնվող անտառային հողերին, իսկ արևմտյան կողմից «Թ»-«Ա» հատվածով` Վարդաբլուր համայնքին:
ԿՈՒՐԹԱՆ-ԿՈՂԵՍ ՍԱՀՄԱՆԱԳԻԾԸ` «Ա»-«Բ»
Վարդաբլուր, Կողես և Կուրթան համայնքների տարածքների բաժանման «Ա» հանգուցային սահմանակետից սահմանագիծը Ձորագետով անցնելով թիվ 1-16 կետերով դեպի հարավ-արևելք` հասնում է Կողես, Կարմիր Աղեկ և Կուրթան համայնքների տարածքների բաժանման «Բ» հանգուցային սահմանակետին:
«Ա»-«Բ» սահմանագծի երկարությունը` 2877.76 մ է:
ԿՈՒՐԹԱՆ-ԿԱՐՄԻՐ ԱՂԵԿ ՍԱՀՄԱՆԱԳԻԾԸ` «Բ»-«Գ»
Կողես, Կուրթան և Կարմիր Աղեկ համայնքների տարածքների բաժանման «Բ» հանգուցային սահմանակետից սահմանագիծն անցնելով թիվ 1-10 կետերով դեպի հարավ-արևելք, Ձորագետով հասնում, Կուրթան, Արևածագ և Կարմիր Աղեկ համայնքների տարածքների բաժանման «Գ» հանգուցային սահմանակետին:
«Բ»-«Գ» սահմանագծի երկարությունը` 2319.3 մ է:
ԿՈՒՐԹԱՆ-ԱՐԵՎԱԾԱԳ ՍԱՀՄԱՆԱԳԻԾԸ` «Գ»-«Դ»
Կուրթան, Կարմիր Աղեկ և Արևածագ համայնքների տարածքների բաժանման «Գ» հանգուցային սահմանակետից սահմանագիծն անցնելով թիվ 1-8 կետերով Ձորագետով, «Գերգետկա» գետակի ջրախառնուրդով ու հասնում Կուրթան, Արևածագ և Ձորագյուղ համայնքների տարածքների բաժանման «Դ» հանգուցային սահմանակետին:
«Գ»-«Դ» սահմանագծի երկարությունը` 3244.99 մ է:
ԿՈՒՐԹԱՆ-ՁՈՐԱԳՅՈՒՂ ՍԱՀՄԱՆԱԳԻԾԸ` «Դ»-«Ե»
Կուրթան, Արևածագ և Ձորագյուղ համայնքների, Ձորագետ գետի տարածքների բաժանման «Դ» հանգուցային սահմանակետից սահմանագիծն անցնում է դեպի 105.6 մ հասնում վարելահողի եզրի թիվ 1 սահմանակետին, այնուհետև սահմանագիծը վարելահողի եզրով թեքվում դեպի հարավ-արևմուտք անցնելով 401.0 մ թեքվում դեպի հարավ-արևելք, հատելով Թումանյան գնացող ճանապարհը 140 մետրի վրա, հասնում թիվ 3 սահմանակետին, որը դրված է բլրի գագաթին, այնուհետև նույն ուղղությամբ շարունակվում 472.9 մ և հասնում հաջորդ բլրի գագաթին դրված թիվ 4 սահմանակետին: Թիվ 4 սահմանակետից սահմանագիծը թեքվում է դեպի արևմուտք 459.3 մ հասնում հաջորդ բլրի գագաթի թիվ 5 սահմանակետին, (բարձրությունը 1408.6 մ) վարելահողի եզրին, այնուհետև ջրբաժանով հասնում հաջորդ բլրի վարելահողի եզրի թիվ 6 սահմանակետին, որտեղից սահմանագիծը թեքվում է արևմուտք` վարելահողի եզրով հասնում թիվ 7 սահմանակետին, որից հետո սահմանագիծը թեքվում է դեպի հյուսիս-արևմուտք և հասնում Ձորագյուղ, Կուրթան, Անտառամուտ համայնքների տարածքների բաժանման «Ե» հանգուցային սահմանակետին:
«Դ»-«Ե» սահմանագծի երկարությունը` 2875.4 մ է:
ԿՈՒՐԹԱՆ-ՄԱՐԶԻ ՀԱՄԱՅՆՔՆԵՐԻ ՎԱՐՉԱԿԱՆ ՍԱՀՄԱՆՆԵՐԻՑ ԴՈՒՐՍ ԳՏՆՎՈՂ ԱՆՏԱՌԱՄՈՒՏ ՍԱՀՄԱՆԱԳԻԾԸ` «Ե»-«Զ»
Անտառամուտ, մարզի համայնքների վարչական սահմաններից դուրս գտնվող անտառային հողերի և Կուրթան համայնքի տարածքների բաժանման «Զ» հանգուցային սահմանակետից սահմանագիծը ջրհավաքից անցնում է դեպի հյուսիս 114.2 մ, հասնում թիվ 1 կետին, այնուհետև թեքվում դեպի հյուսիս-արևելք 83.6 մ հասնում թիվ 2 կետին շարունակվում նույն ուղղությամբ դեպի հյուսիս-արևելք 188.4 մ և հասնում թիվ 3 կետին: Թիվ 3 կետից սահմանագիծը թեքվում է հյուսիս-արևելք անցնում 172.9 մ, հասնում ճանապարհի և վարելահողի եզրի թիվ 4 սահմանակետին: Թիվ 4 սահմանակետից սահմանագիծը շարունակվում է դեպի հյուսիս-արևելք լանջի վրա դրված թիվ 5 սահմանակետին: Թիվ 5 սահմանակետից սահմանագիծը մի փոքր թեքվում է դեպի հյուսիս-արևելք անցնելով ջրբաժանով 335.4 մ, հասնում հաջորդ բլրի գագաթին դրված թիվ 7 սահմանակետը: Թիվ 7 սահմանակետից սահմանագիծը ջրբաժանով շարունակվում է դեպի արևելք 376.0 մ և հասնում ճանապարհի եզրին դրված թիվ 8 սահմանակետին: Թիվ 8 սահմանակետից սահմանագիծը թեքվում է դեպի հյուսիս-արևելք` ջրբաժանով, խոտհարքի եզրով հասնում թիվ 9 սահմանակետին: Թիվ 9 սահմանակետից սահմանագիծը թեքվում է դեպի արևելք հասնում բլրի գագաթի թիվ 10 սահմանակետի բարձրությունը 1545.3 մ, շարունակվելով սահմանագիծը բլուրների գագաթներով անցնելով թիվ 11, 12 սահմանակետերով հասնում է անտառի եզրին դրված թիվ 13 սահմանակետին: Թիվ 13 սահմանակետից հորիզոնականներին զուգահեռ սահմանագիծը թեքվում է դեպի հարավ-արևելք` անցնելով թիվ 14, 15 սահմանակետերով ջրբաժանով հասնում 1522.9 մ նիշ ունեցող բլրի գագաթի թիվ 16 կետին ու թեքվում դեպի հյուսիս-արևելք, հասնում հաջորդ բլրի գագաթի թիվ 17 կետին: Թիվ 17 կետից սահմանագիծը շարունակվում է նույն ուղղությամբ և հասնում թիվ 18 կետին: Թիվ 18 կետից սահմանագիծը անցնում է դեպի հյուսիս-արևելք և հասնում Ձորագյուղ, Կուրթան, Անտառամուտ համայնքների տարածքների բաժանման «Ե» հանգուցային սահմանակետին:
«Ե»-«Զ» սահմանագծի երկարությունը` 5158.4 մ է:
ԿՈՒՐԹԱՆ-ՄԱՐԶԻ ՀԱՄԱՅՆՔՆԵՐԻ ՎԱՐՉԱԿԱՆ ՍԱՀՄԱՆՆԵՐԻՑ ԴՈՒՐՍ ԳՏՆՎՈՂ ԱՆՏԱՌԱՅԻՆ ՀՈՂԵՐԻ ՍԱՀՄԱՆԱԳԻԾԸ` «Զ»-«Է»
Վարդաբլուր, Կուրթան համայնքների և մարզի համայնքների վարչական սահմաններից դուրս գտնվող անտառային հողերի բաժանման «Է» հանգուցային սահմանակետից սահմանագիծը անցնում է դեպի հարավ-արևելք 1154.0 մ, հասնում արտադրական մասի մոտ գտնվող ձորակի թիվ 1 կետին, նույն ձորակով շարունակվում դեպի հարավ անցնելով թիվ 2-10 սահմանակետերով, հասնում Անտառամուտ իջնող փոքրիկ վտակին, նույն վտակով շարունակվում դեպի արևելք, անցնելով թիվ 11, ապա թիվ 12 սահմանակետով, հասնում մարզի համայնքների վարչական սահմաններից դուրս գտնվող անտառային հողերի, Անտառամուտ և Կուրթան համայնքների տարածքների բաժանման «Զ» հանգուցային սահմանակետին:
«Զ»-«Է» սահմանագծի երկարությունը` 2042.8 մ է:
ԿՈՒՐԹԱՆ-ՎԱՐԴԱԲԼՈՒՐ ՍԱՀՄԱՆԱԳԻԾԸ` «Է»-«Ը»
Մարզի համայնքների վարչական սահմաններից դուրս գտնվող անտառային հողերի, Վարդաբլուր և Կուրթան համայնքների տարածքների բաժանման «Է» հանգուցային սահմանակետից սահմանագիծը անցնում է դեպի հյուսիս-արևելք ջրբաժանով 523.74 մ հասնում Վարդաբլուր, Կուրթան և մարզի համայնքների վարչական սահմաններից դուրս գտնվող անտառային հողերի բաժանման «Ը» հանգուցային սահմանակետին:
«Է»-«Ը» սահմանագծի երկարությունը` 532.74 մ է:
ԿՈՒՐԹԱՆ-ՄԱՐԶԻ ՀԱՄԱՅՆՔՆԵՐԻ ՎԱՐՉԱԿԱՆ ՍԱՀՄԱՆՆԵՐԻՑ ԴՈՒՐՍ ԳՏՆՎՈՂ ԱՆՏԱՌԱՅԻՆ ՀՈՂԵՐԻ ՍԱՀՄԱՆԱԳԻԾԸ` «Ը»-«Թ»
Վարդաբլուր, Կուրթան, համայնքների և մարզի համայնքների վարչական սահմաններից դուրս գտնվող անտառային հողերի բաժանման «Թ» հանգուցային սահմանակետից սահմանագիծն անցնում է դեպի հյուսիս-արևելք 477.9 մ, հասնում թիվ 1 սահմանակետին, այնուհետև թեքվում դեպի հարավ-արևելք 513.7 մ, հասնում անտառի եզրի թիվ 2 սահմանակետին: Թիվ 2 սահմանակետից սահմանագիծը շարունակվում է դեպի արևելք անցնելով թիվ 3, ապա թիվ 4 սահմանակետերով, թեքվելով դեպի հարավ-արևելք ջրբաժանով հասնում բլրի գագաթի թիվ 5 սահմանակետին: Թիվ 5 սահմանակետից սահմանագիծը թեքվում է դեպի հարավ-արևմուտք 688.5 մ, հասնում է թիվ 6 սահմանակետին` թեքվում արևմուտք 180.6 մ, հասնում թիվ 7 սահմանակետին` ջրբաժանով բարձրանում բլրի գագաթը անցնելով թիվ 9, ապա թիվ 10 սահմանակետերը, ջրբաժանով հասնում «Ը» հանգուցային սահմանակետին, որը հանդիսանում է Կուրթան, Վարդաբլուր և մարզի համայնքների վարչական սահմաններից դուրս գտնվող անտառային հողերի բաժանման կետ:
«Ը»-«Թ» սահմանագծի երկարությունը` 5110.36 մ է:
ԿՈՒՐԹԱՆ-ՎԱՐԴԱԲԼՈՒՐ ՍԱՀՄԱՆԱԳԻԾԸ` «Թ»-«Ա»
Վարդաբլուր, Կողես և Կուրթան համայնքների տարածքների բաժանման «Ա» հանգուցային սահմանակետից սահմանագիծը «Ձորագետից» անցնում է դեպի հարավ 435.0 մ հասնում թիվ 1 սահմանակետին, այնուհետև վարելահողի և անտառաշերտի եզրով ուղիղ շարունակվում դեպի հարավ 969.3 մ, հասնում Վարդաբլուր համայնքի թիվ 2 սահմանակետին, այնուհետև թեքվում դեպի արևելք 142.5 մ, հասնում վարելահողի և խոտհարքի եզրի թիվ 3 սահմանակետին: Թիվ 3 սահմանակետից սահմանագիծը թեքվում է դեպի հարավ, անցնելով թիվ 4 սահմանակետը հասնում Կուրթան գնացող ճանապարհի թիվ 5 սահմանակետին, անցնում Վարդաբլուր համայնքի տարածքով 106.7 մ, հասնում թիվ 6 կետին, այնուհետև թեքվում հարավ միանում «Գերգերկա» գետակի թիվ 7 կետին, գետակով շարունակվում դեպի արևելք հասնում թիվ 8 սահմանակետին: Թիվ 8 սահմանակետից սահմանագիծը թեքվում է դեպի հարավ վարելահողի և արոտավայրի եզրով անցնելով թիվ 9 սահմանակետը, հասնում «Գերգերկա» գետակի վտակի թիվ 10 կետին, այնուհետև նույն վտակով անցնելով թիվ 11-34 կետերը հասնում Վարդաբլուր, Կուրթան համայնքների և մարզի համայնքների վարչական սահմաններից դուրս գտնվող անտառային հողերի բաժանման «Թ» հանգուցային սահմանակետին:
«Թ»-«Ա» սահմանագծի երկարությունը` 4690.0 մ է:
|
Հայաստանի Հանրապետության |
Մ. Թոփուզյան |
|
Հավելված N 3 |
ՀԱՅԱՍՏԱՆԻ ՀԱՆՐԱՊԵՏՈՒԹՅԱՆ ԼՈՌՈՒ ՄԱՐԶԻ ԿՈՒՐԹԱՆԻ ԳՅՈՒՂԱԿԱՆ ՀԱՄԱՅՆՔԻ ՀՈՂԱՇԻՆԱՐԱՐԱԿԱՆ ՀԱՏԱԿԱԳԻԾԸ
|
Հայաստանի Հանրապետության |
Մ. Թոփուզյան |
|
Հավելված N 4 |
Ա Ն Վ Ա Ն Ա Ց Ա Ն Կ
ՀԱՅԱՍՏԱՆԻ ՀԱՆՐԱՊԵՏՈՒԹՅԱՆ ԼՈՌՈՒ ՄԱՐԶԻ ԿՈՒՐԹԱՆԻ ԳՅՈՒՂԱԿԱՆ ՀԱՄԱՅՆՔԻ ՎԱՐՉԱԿԱՆ ՍԱՀՄԱՆՆԵՐՈՒՄ ԳՏՆՎՈՂ` ՊԵՏԱԿԱՆ ՍԵՓԱԿԱՆՈՒԹՅՈՒՆ ՀԱՆԴԻՍԱՑՈՂ ՀՈՂԵՐԻՑ ԿՈՒՐԹԱՆԻ ԳՅՈՒՂԱԿԱՆ ՀԱՄԱՅՆՔԻՆ ԱՆՀԱՏՈՒՅՑ ՓՈԽԱՆՑՎՈՂ ՀՈՂԵՐԻ
|
Հայաստանի Հանրապետության |
Մ. Թոփուզյան |
|
Հավելված N 5 |
Ց Ա Ն Կ
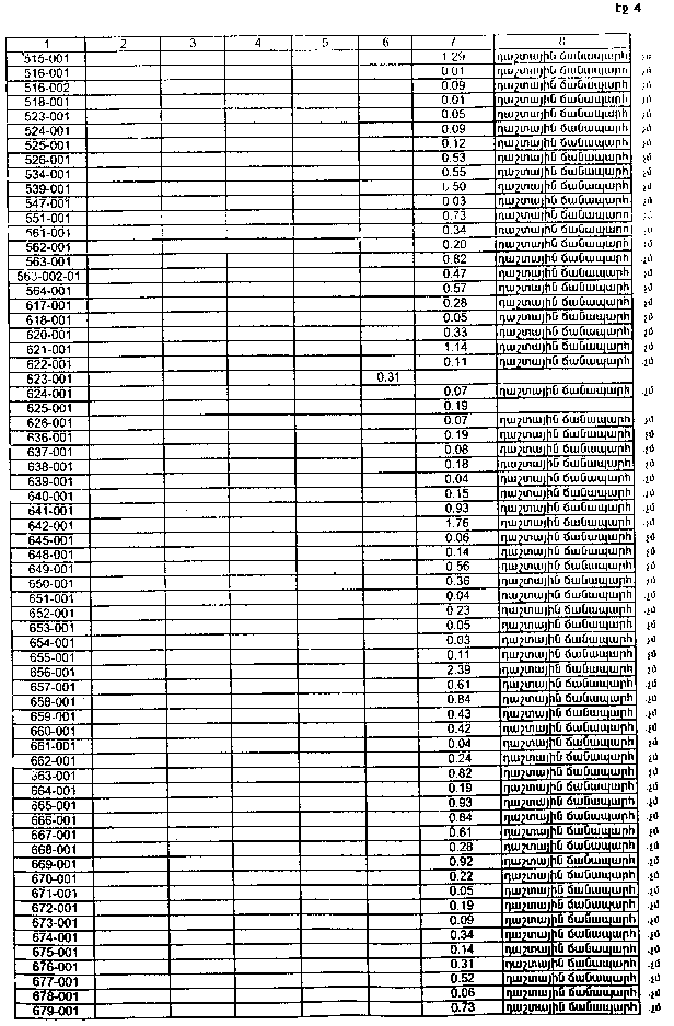
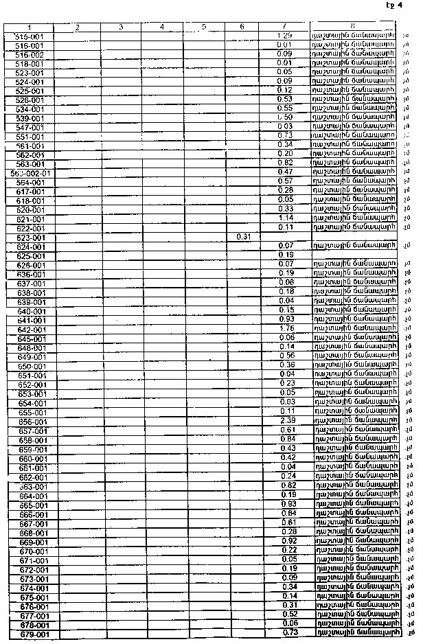
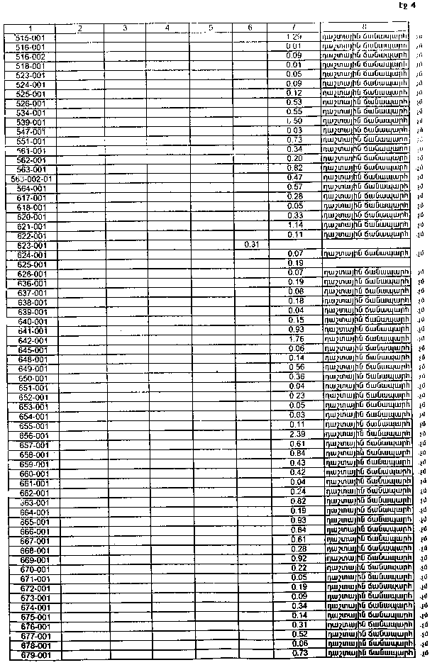
ՀԱՅԱՍՏԱՆԻ ՀԱՆՐԱՊԵՏՈՒԹՅԱՆ ԼՈՌՈՒ ՄԱՐԶԻ ԿՈՒՐԹԱՆԻ ԳՅՈՒՂԱԿԱՆ ՀԱՄԱՅՆՔԻ ՎԱՐՉԱԿԱՆ ՍԱՀՄԱՆՆԵՐՈՒՄ ԳՏՆՎՈՂ` ՊԵՏԱԿԱՆ ՍԵՓԱԿԱՆՈՒԹՅՈՒՆ ՀԱՆԴԻՍԱՑՈՂ ՀՈՂԵՐԻՑ ԿՈՒՐԹԱՆԻ ԳՅՈՒՂԱԿԱՆ ՀԱՄԱՅՆՔԻՆ ԱՆՀԱՏՈՒՅՑ ՓՈԽԱՆՑՎՈՂ ՀՈՂԵՐԻ
Հայաստանի Հանրապետության
կառավարության աշխատակազմի
ղեկավար-նախարարՄ. Թոփուզյան
|
Հավելված N 6 |
Ց Ա Ն Կ
ՀԱՅԱՍՏԱՆԻ ՀԱՆՐԱՊԵՏՈՒԹՅԱՆ ԼՈՌՈՒ ՄԱՐԶԻ ԿՈՒՐԹԱՆԻ ԳՅՈՒՂԱԿԱՆ ՀԱՄԱՅՆՔԻ ՎԱՐՉԱԿԱՆ ՍԱՀՄԱՆՆԵՐՈՒՄ ԳՏՆՎՈՂ` ՊԵՏԱԿԱՆ ՍԵՓԱԿԱՆՈՒԹՅՈՒՆ ՀԱՆԴԻՍԱՑՈՂ ՀՈՂԵՐԻՑ ԿՈՒՐԹԱՆԻ ԳՅՈՒՂԱԿԱՆ ՀԱՄԱՅՆՔԻՆ ԱՆՀԱՏՈՒՅՑ ՓՈԽԱՆՑՎՈՂ ՀՈՂԵՐԻ (ԸՍՏ ՆՊԱՏԱԿԱՅԻՆ ՆՇԱՆԱԿՈՒԹՅԱՆ)
Հայաստանի Հանրապետության
կառավարության աշխատակազմի
ղեկավար-նախարարՄ. Թոփուզյան
|
Հավելված N 7 |
Ց Ա Ն Կ
ՀԱՅԱՍՏԱՆԻ ՀԱՆՐԱՊԵՏՈՒԹՅԱՆ ԼՈՌՈՒ ՄԱՐԶԻ ԿՈՒՐԹԱՆԻ ԳՅՈՒՂԱԿԱՆ ՀԱՄԱՅՆՔԻ ՎԱՐՉԱԿԱՆ ՍԱՀՄԱՆՆԵՐՈՒՄ ԳՏՆՎՈՂ` ՊԵՏԱԿԱՆ ՍԵՓԱԿԱՆՈՒԹՅՈՒՆ ՀԱՆԴԻՍԱՑՈՂ ՀՈՂԵՐԻ (ԸՍՏ ՆՊԱՏԱԿԱՅԻՆ ՆՇԱՆԱԿՈՒԹՅԱՆ)
Հայաստանի Հանրապետության
կառավարության աշխատակազմի
ղեկավար-նախարարՄ. Թոփուզյան
|
Հավելված N 8 |
Հ Ա Շ Վ Ե Տ Վ ՈՒ Թ Յ ՈՒ Ն
ՀԱՅԱՍՏԱՆԻ ՀԱՆՐԱՊԵՏՈՒԹՅԱՆ ԼՈՌՈՒ ՄԱՐԶԻ ԿՈՒՐԹԱՆԻ ԳՅՈՒՂԱԿԱՆ ՀԱՄԱՅՆՔԻ ՀՈՂԱՅԻՆ ՖՈՆԴԻ ԱՌԿԱՅՈՒԹՅԱՆ ԵՎ ԲԱՇԽՄԱՆ ՄԱՍԻՆ
|
Հայաստանի Հանրապետության |
Մ. Թոփուզյան |