«Վավերացնում եմ»
Հայաստանի Հանրապետության
Նախագահ Ռ. Քոչարյան
29 հունիսի 2005 թ.
ՀԱՅԱՍՏԱՆԻ ՀԱՆՐԱՊԵՏՈՒԹՅԱՆ ԿԱՌԱՎԱՐՈՒԹՅՈՒՆ
Ո Ր Ո Շ ՈՒ Մ
9 հունիսի 2005 թվականի N 833-Ն
ՀԱՅԱՍՏԱՆԻ ՀԱՆՐԱՊԵՏՈՒԹՅԱՆ ԱՐԱԳԱԾՈՏՆԻ ՄԱՐԶԻ ՇԱՄԻՐԱՄԻ ԳՅՈՒՂԱԿԱՆ ՀԱՄԱՅՆՔԻ ՎԱՐՉԱԿԱՆ ՍԱՀՄԱՆՆԵՐԻ ՆԿԱՐԱԳԻՐԸ ՀԱՍՏԱՏԵԼՈՒ ԵՎ ՇԱՄԻՐԱՄԻ ԳՅՈՒՂԱԿԱՆ ՀԱՄԱՅՆՔԻ ՎԱՐՉԱԿԱՆ ՍԱՀՄԱՆՆԵՐՈՒՄ ԳՏՆՎՈՂ` ՊԵՏԱԿԱՆ ՍԵՓԱԿԱՆՈՒԹՅՈՒՆ ՀԱՆԴԻՍԱՑՈՂ ՀՈՂԱՄԱՍԵՐՆ ԱՆՀԱՏՈՒՅՑ ՍԵՓԱԿԱՆՈՒԹՅԱՆ ԻՐԱՎՈՒՆՔՈՎ ՀԱՄԱՅՆՔԻՆ ՓՈԽԱՆՑԵԼՈՒ ՄԱՍԻՆ
Հայաստանի Հանրապետության հողային օրենսգրքի 34-րդ ու 56-րդ, «Տեղական ինքնակառավարման մասին» Հայաստանի Հանրապետության օրենքի 6-րդ, 47-րդ ու 84-րդ և «Հայաստանի Հանրապետության վարչատարածքային բաժանման մասին» Հայաստանի Հանրապետության օրենքի 6-րդ հոդվածների պահանջներին համապատասխան` Հայաստանի Հանրապետության կառավարությունը որոշում է.
1. Հաստատել Հայաստանի Հանրապետության Արագածոտնի մարզի Շամիրամի գյուղական համայնքի վարչական սահմանների նկարագիրը` համաձայն NN 1 և 2 հավելվածների:
2. Հայաստանի Հանրապետության Արագածոտնի մարզի Շամիրամի գյուղական համայնքի վարչական սահմաններում գտնվող` պետական սեփականություն հանդիսացող 1492.13 հեկտար հողամասերից 1471.52 հեկտարը, որից` գյուղատնտեսական նշանակության` 1403.9 հեկտար, բնակավայրերի հողերի` 54.81 հեկտար, արդյունաբերության, ընդերքօգտագործման և այլ արտադրական նշանակության օբյեկտների` 11.11 հեկտար, էներգետիկայի, տրանսպորտի, կապի և կոմունալ ենթակառուցվածքների օբյեկտների` 0.52 հեկտար, հատուկ պահպանվող տարածքների` 0.34 հեկտար, ջրային հողերի` 0.84 հեկտար, անհատույց սեփականության իրավունքով փոխանցել Շամիրամի գյուղական համայնքին` համաձայն NN 3, 4, 5 և 6 հավելվածների:
3. Սահմանել, որ Հայաստանի Հանրապետության հողային օրենսգրքի 60-րդ հոդվածի պահանջներին համապատասխան`
ա) Հայաստանի Հանրապետության Արագածոտնի մարզի Շամիրամի գյուղական համայնքին անհատույց սեփականության իրավունքով փոխանցվող 1471.52 հեկտար հողերից 67.16 հեկտարը մասնավորեցման ենթակա չէ.
բ) Հայաստանի Հանրապետության Արագածոտնի մարզի Շամիրամի գյուղական համայնքի վարչական սահմաններում գտնվող հողերից 20.61 հեկտարը համարվում է պետական սեփականություն` համաձայն N 7 հավելվածի:
4. Ընդունել ի գիտություն Հայաստանի Հանրապետության Արագածոտնի մարզի Շամիրամի գյուղական համայնքի հողային ֆոնդի առկայության և բաշխման մասին հաշվետվությունը` 2005 թվականի հունվարի 1-ի դրությամբ` համաձայն NN 8 և 9 հավելվածների:
5. Հայաստանի Հանրապետության կառավարությանն առընթեր անշարժ գույքի կադաստրի պետական կոմիտեի նախագահին` սահմանված կարգով ապահովել սկզբնական հաշվառման նյութերի տրամադրումը Հայաստանի Հանրապետության Արագածոտնի մարզի Շամիրամի գյուղական համայնքի ղեկավարին` հողերի ընթացիկ հաշվառումն անցկացնելու և համայնքի հողային հաշվեկշիռը կազմելու համար:
6. Թույլատրել Հայաստանի Հանրապետության կառավարությանն առընթեր անշարժ գույքի կադաստրի պետական կոմիտեի նախագահին Հայաստանի Հանրապետության պետական գեոդեզիական ցանցի հավասարակշռման արդյունքների հիման վրա Հայաստանի Հանրապետության վարչատարածքային միավորների սահմանանիշերի կոորդինատների ժողովածուի հրատարակումից հետո հողային ֆոնդի ընթացիկ հաշվառման ժամանակ Շամիրամի գյուղական համայնքի հողային հաշվեկշռում սահմանված կարգով կատարել համապատասխան փոփոխություններ:
7. Հայաստանի Հանրապետության Արագածոտնի մարզպետին` Հայաստանի Հանրապետության կառավարության 2000 թվականի հոկտեմբերի 23-ի N 656 որոշմամբ սահմանված կարգով` սկզբնական հաշվառման տվյալների հիման վրա ապահովել մարզի տարածքում ընթացիկ հաշվառման աշխատանքների իրականացումը:
8. Սույն որոշումն ուժի մեջ է մտնում պաշտոնական հրապարակմանը հաջորդող օրվանից:
|
Հայաստանի Հանրապետության |
Ա. Մարգարյան |
|
2005 թ. հունիսի 27 |
|
Հավելված N 1 |
ՀԱՅԱՍՏԱՆԻ ՀԱՆՐԱՊԵՏՈՒԹՅԱՆ ԱՐԱԳԱԾՈՏՆԻ ՄԱՐԶԻ ՇԱՄԻՐԱՄԻ ԳՅՈՒՂԱԿԱՆ ՀԱՄԱՅՆՔԻ ՎԱՐՉԱԿԱՆ ՍԱՀՄԱՆՆԵՐԻ ՀԱՏԱԿԱԳԻԾԸ
Հայաստանի Հանրապետության
կառավարության աշխատակազմի
ղեկավար-նախարարՄ. Թոփուզյան
|
Հավելված N 2 |
ՀԱՅԱՍՏԱՆԻ ՀԱՆՐԱՊԵՏՈՒԹՅԱՆ ԱՐԱԳԱԾՈՏՆԻ ՄԱՐԶԻ ՇԱՄԻՐԱՄԻ ԳՅՈՒՂԱԿԱՆ ՀԱՄԱՅՆՔԻ ՎԱՐՉԱԿԱՆ ՍԱՀՄԱՆՆԵՐԻ ՆԿԱՐԱԳՐՈՒԹՅՈՒՆԸ
Շամիրամ համայնքը գտնվում է մարզի հարավային մասում:
Հեռավորությունը մարզկենտրոն ք. Աշտարակից` 34 կմ է: Համայնքը հյուսիսից` «Ա»-«Բ» հատվածով սահմանակից է Թալինի Ագարակ համայնքին, «Բ»-«Գ» հատվածով` Լեռնարոտ համայնքին, արևելքից` «Գ»-«Դ» հատվածով` Վ. Սասունիկ համայնքին, հարավ-արևելքից` «Դ»-«Ե» հատվածով` Կոշ համայնքին, հարավից «Ե»-«Զ» հատվածով` Նոր Եդեսիա համայնքին, «Զ»-«Է» հատվածով` Նոր Ամանոս համայնքին, հարավ-արևմուտքից` «Է»-«Ը» հատվածով` Արուճ համայնքին, արևմուտքից` «Ը»-«Թ» հատվածով` Դպրեվանք համայնքին, հյուսիս-արևմուտքից` «Թ»-«Ա» հատվածով` Արուճ համայնքին:
ՇԱՄԻՐԱՄ-ԱԳԱՐԱԿ ՍԱՀՄԱՆԱԳԻԾԸ` «Ա»-«Բ»
Շամիրամ, Ագարակ և Արուճ համայնքների տարածքների բաժանման «Ա» հանգուցային կետից սահմանագիծը, անցնելով արևելք` 662.0 մ, հասնում է Ագարակ, Աշտարակի շրջանի Լեռնարոտ և Շամիրամ համայնքների տարածքների բաժանման "Բ" հանգուցային կետին:
«Ա»-«Բ» սահմանագծի ընդհանուր երկարությունը` 662.0 մ է:
ՇԱՄԻՐԱՄ-ԼԵՌՆԱՐՈՏ ՍԱՀՄԱՆԱԳԻԾԸ` «Բ»-«Գ»
Շամիրամ, Լեռնարոտ և Թալինի շրջանի Ագարակ համայնքների տարածքների բաժանման «Բ» հանգուցային կետից սահմանագիծը լանջով անցնում է հյուսիս-արևելք` 289.1 մ, հասնում է Շամիրամ, Լեռնարոտ և Վ. Սասունիկ համայնքների տարածքների բաժանման «Գ»հանգուցային կետին:
«Բ»-«Գ» սահմանագծի ընդհանուր երկարությունը` 289.1 մ է:
ՇԱՄԻՐԱՄ-Վ.ՍԱՍՈՒՆԻԿ ՍԱՀՄԱՆԱԳԻԾԸ` «Գ»-«Դ»
Շամիրամ, Լեռնարոտ և Վ. Սասունիկ համայնքների տարածքների բաժանման «Գ» հանգուցային կետից սահմանագիծը լանջով անցնում է հարավ-արևելք` 323.1 մ, հասնում թիվ 1 կետին, որից թեքվում է հարավ, հատելով դաշտամիջյան ճանապարհը, անցնում է թիվ 2-4 կետերով` 1044.2 մ, և միանում թիվ 5 կետին: Թիվ 5 կետից թեքվում է հարավ-արևելք, ջրբաժանով և լանջով անցնելով թիվ 6 կետով` 1479.8 մ, հասնում է Շամիրամ, Վ. Սասունիկ և Կոշ համայնքների տարածքների բաժանման «Դ» հանգուցային կետին:
«Գ»-«Դ» սահմանագծի ընդհանուր երկարությունը` 2847.1 մ է:
ՇԱՄԻՐԱՄ-ԿՈՇ ՍԱՀՄԱՆԱԳԻԾԸ` «Դ»-«Ե»
Շամիրամ, Վ. Սասունիկ և Կոշ համայնքների տարածքների բաժանման «Դ» հանգուցային կետից սահմանագիծն անցնում է հարավ-արևելք թիվ 1 կետով` 509.0 մ, հասնում թիվ 2 կետին, որից թեքվում է հարավ` հատելով Կոշ-Արուճ մարզային ճանապարհը, անցնում թիվ 3-4 կետերով` 761.09 մ, հասնում թիվ 5 կետին: Թիվ 5 կետից սահմանագիծը թեքվում է հարավ-արևմուտք հատում դաշտային ճանապարհը, հասնում թիվ 6 կետին, ապա շրջվում հարավ-արևելք` ձորով անցնելով թիվ 7-14 կետերով` 2967.51 մ, հասնում թիվ 15 կետին: Թիվ 15 կետից սահմանագիծը թեքվում է հարավ և անցնելով թիվ 16 կետով 930.34 մ թիվ հասնում թիվ 17 կետին, որից թեքվում է հարավ-արևմուտք` անցնելով 511.61 մ, հասնում ձորի եզրին տեղադրված Կոշ, Շամիրամ և Նոր Եդեսիա համայնքների տարածքների բաժանման «Ե» հանգուցային կետին:
«Դ»-«Ե» սահմանագծի ընդհանուր երկարությունը` 5679.55 մ է:
ՇԱՄԻՐԱՄ-ՆՈՐ ԵԴԵՍԻԱ ՍԱՀՄԱՆԱԳԻԾԸ` «Ե»-«Զ»
Շամիրամ, Նոր Ամանոս և Նոր Եդեսիա համայնքների տարածքների բաժանման «Զ» հանգուցային կետից սահմանագիծն անցնում է լանջով դեպի հյուսիս-արևելք` 148.6 մ, հասնում թիվ 1 կետին, որից թեքվում արևելք` հատելով ջրբաժանը, անցնում է թիվ 2 կետով` 217.0 մ, միանում թիվ 3 կետին, ապա թեքվում հյուսիս-արևելք, անցնում թիվ 4-10 կետերով` 1643.2 մ, միանում թիվ 11 կետին: Թիվ 11 կետից սահմանագիծն անցնում է արևելք` 880.2 մ, հասնում թիվ 12 կետին, ապա թեքվում հյուսիս-արևելք, հատում դաշտային ճանապարհը` 205.3 մ, հասնում թիվ 13 կետին: Թիվ 13 կետից սահմանագիծը թեքվում է հարավ-արևելք, անցնում 239.3 մ, հասնում թիվ 14 կետին, որից թեքվում է հյուսիս-արևելք, անցնում 64.8 մ, հասնում ձորի եզրին գտնվող Կոշ, Շամիրամ և Նոր Եդեսիա համայնքների տարածքների բաժանման «Ե» հանգուցային կետին:
«Ե»-«Զ» սահմանագծի ընդհանուր երկարությունը` 3398.4 մ է:
ՇԱՄԻՐԱՄ-ՆՈՐ ԱՄԱՆՈՍ ՍԱՀՄԱՆԱԳԻԾԸ` «Զ»-«Է»
Շամիրամ, Նոր Ամանոս և Արուճ համայնքների տարածքների բաժանման «Է» հանգուցային կետից սահմանագիծը, անցնելով թիվ 1 կետով դեպի հյուսիս-արևելք` 395.11 մ, հասնում է թիվ 2 կետին, այնուհետև թեքվում է դեպի հարավ-արևելք և, անցնելով թիվ 3, 4 կետերով` 522.04 մ, հասնում թիվ 5 կետին, որից թեքվում է հյուսիս-արևելք` անցնելով թիվ 6-8 կետերով` 958.99 մ, լանջով հասնում է Շամիրամ, Նոր ամանոս և Նոր Եդեսիա համայնքների տարածքների բաժանման «Զ» հանգուցային կետին:
«Զ»-«Է» սահմանագծի ընդհանուր երկարությունը` 1876.14 մ է:
ՇԱՄԻՐԱՄ-ԱՐՈՒՃ ՍԱՀՄԱՆԱԳԻԾԸ` «Է»-«Ը»
Շամիրամ, Դպրեվանք և Արուճ համայնքների տարածքների բաժանման «Ը» հանգուցային կետից սահմանագիծը ձորով անցնում է հարավ-արևմուտք, մինչև ձորերի հատման խաչմերուկ և հասնում Շամիրամ, Նոր Ամանոս և Արուճ համայնքների տարածքների բաժանման «Է» հանգուցային կետին:
«Է»-«Ը» սահմանագծի ընդհանուր երկարությունը` 5410.41 մ է:
ՇԱՄԻՐԱՄ-ԴՊՐԵՎԱՆՔ ՍԱՀՄԱՆԱԳԻԾԸ` «Ը»-«Թ»
Շամիրամ, Արուճ և Դպրեվանք համայնքների տարածքների բաժանման «Թ» հանգուցային կետից սահմանագիծն անցնում է հարավ-արևելք` 393.0 մ, հատելով դաշտամիջյան ճանապարհը, հասնում թիվ 1 կետին, որից կտրուկ թեքվում հարավ, ապա հարավ-արևելք, շրջադարձով ջրբաժանային սահմանով անցնելով թիվ 2-8 կետերով` 525.7 մ, հասնում է թիվ 9 կետին, որտեղից թեքվելով հարավ-արևմուտք, Կոշ-Արուճ միջհամայնքային ճանապարհով անցնելով թիվ 10, 11 կետերով` 768.1 մ, հասնում Շամիրամ, Դպրեվանք և Արուճ համայնքների տարածքների բաժանման «Ը» հանգուցային կետին:
«Ը»-«Թ» սահմանագծի ընդհանուր երկարությունը` 1686.2 մ է:
ՇԱՄԻՐԱՄ-ԱՐՈՒՃ ՍԱՀՄԱՆԱԳԻԾԸ` «Թ»-«Ա»
Շամիրամ, Արուճ և Թալինի շրջանի Ագարակ համայնքների տարածքների բաժանման «Ա» հանգուցային կետից սահմանագիծը ձորով անցնում է հարավ-արևմուտք, ապա ժամանակավոր գործող ջրային սահմանով հասնում դաշտամիջյան ճանապարհի հատման խաչմերուկ, որից շարունակելով ձորով հասնում է Շամիրամ, Արուճ և Դպրեվանք համայնքների տարածքների բաժանման «Թ» հանգուցային կետին:
«Թ»-«Ա» սահմանագծի ընդհանուր երկարությունը` 2153.23 մ է:
| Հայաստանի Հանրապետության կառավարության աշխատակազմի ղեկավար-նախարար |
Մ. Թոփուզյան |
|
Հավելված N 3 |
ՀԱՅԱՍՏԱՆԻ ՀԱՆՐԱՊԵՏՈՒԹՅԱՆ ԱՐԱԳԱԾՈՏՆԻ ՄԱՐԶԻ ՇԱՄԻՐԱՄԻ ԳՅՈՒՂԱԿԱՆ ՀԱՄԱՅՆՔԻ ՀՈՂԱՇԻՆԱՐԱՐԱԿԱՆ ՀԱՏԱԿԱԳԻԾԸ
Հայաստանի Հանրապետության
կառավարության աշխատակազմի
ղեկավար-նախարարՄ. Թոփուզյան
|
Հավելված N 4 |
Ա Ն Վ Ա Ն Ա Ց Ա Ն Կ
ՀԱՅԱՍՏԱՆԻ ՀԱՆՐԱՊԵՏՈՒԹՅԱՆ ԱՐԱԳԱԾՈՏՆԻ ՄԱՐԶԻ ՇԱՄԻՐԱՄԻ ԳՅՈՒՂԱԿԱՆ ՀԱՄԱՅՆՔԻ ՎԱՐՉԱԿԱՆ ՍԱՀՄԱՆՆԵՐՈՒՄ ԳՏՆՎՈՂ` ՊԵՏԱԿԱՆ ՍԵՓԱԿԱՆՈՒԹՅՈՒՆ ՀԱՆԴԻՍԱՑՈՂ ՀՈՂԵՐԻՑ ՇԱՄԻՐԱՄԻ ԳՅՈՒՂԱԿԱՆ ՀԱՄԱՅՆՔԻՆ ԱՆՀԱՏՈՒՅՑ ՓՈԽԱՆՑՎՈՂ ՀՈՂԵՐԻ
Հայաստանի Հանրապետության
կառավարության աշխատակազմի
ղեկավար-նախարարՄ. Թոփուզյան
|
Հավելված N 5 |
Ց Ա Ն Կ
ՀԱՅԱՍՏԱՆԻ ՀԱՆՐԱՊԵՏՈՒԹՅԱՆ ԱՐԱԳԱԾՈՏՆԻ ՄԱՐԶԻ ՇԱՄԻՐԱՄԻ ԳՅՈՒՂԱԿԱՆ ՀԱՄԱՅՆՔԻ ՎԱՐՉԱԿԱՆ ՍԱՀՄԱՆՆԵՐՈՒՄ ԳՏՆՎՈՂ` ՊԵՏԱԿԱՆ ՍԵՓԱԿԱՆՈՒԹՅՈՒՆ ՀԱՆԴԻՍԱՑՈՂ ՀՈՂԵՐԻՑ ՇԱՄԻՐԱՄԻ ԳՅՈՒՂԱԿԱՆ ՀԱՄԱՅՆՔԻՆ ԱՆՀԱՏՈՒՅՑ ՓՈԽԱՆՑՎՈՂ ՀՈՂԵՐԻ
| Հայաստանի Հանրապետության կառավարության աշխատակազմի ղեկավար-նախարար |
Մ. Թոփուզյան |
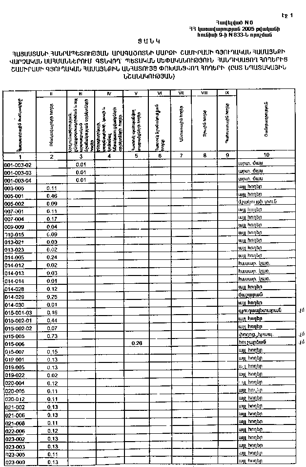
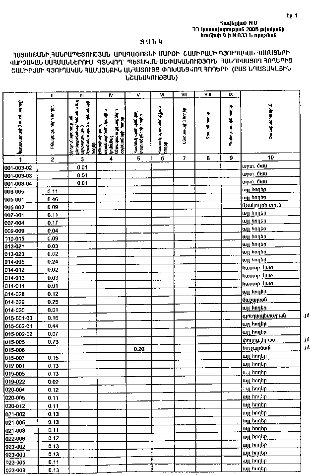
Հավելված N 6
ՀՀ կառավարության 2005 թվականի
հունիսի 9-ի N 833-Ն որոշման
Ց Ա Ն Կ
ՀԱՅԱՍՏԱՆԻ ՀԱՆՐԱՊԵՏՈՒԹՅԱՆ ԱՐԱԳԱԾՈՏՆԻ ՄԱՐԶԻ ՇԱՄԻՐԱՄԻ ԳՅՈՒՂԱԿԱՆ ՀԱՄԱՅՆՔԻ ՎԱՐՉԱԿԱՆ ՍԱՀՄԱՆՆԵՐՈՒՄ ԳՏՆՎՈՂ` ՊԵՏԱԿԱՆ ՍԵՓԱԿԱՆՈՒԹՅՈՒՆ ՀԱՆԴԻՍԱՑՈՂ ՀՈՂԵՐԻՑ ՇԱՄԻՐԱՄԻ ԳՅՈՒՂԱԿԱՆ ՀԱՄԱՅՆՔԻՆ ԱՆՀԱՏՈՒՅՑ ՓՈԽԱՆՑՎՈՂ ՀՈՂԵՐԻ (ԸՍՏ ՆՊԱՏԱԿԱՅԻՆ ՆՇԱՆԱԿՈՒԹՅԱՆ)
| Հայաստանի Հանրապետության կառավարության աշխատակազմի ղեկավար-նախարար |
Մ. Թոփուզյան |
|
Հավելված N 7 |
Ց Ա Ն Կ
ՀԱՅԱՍՏԱՆԻ ՀԱՆՐԱՊԵՏՈՒԹՅԱՆ ԱՐԱԳԱԾՈՏՆԻ ՄԱՐԶԻ ՇԱՄԻՐԱՄԻ ԳՅՈՒՂԱԿԱՆ ՀԱՄԱՅՆՔԻ ՎԱՐՉԱԿԱՆ ՍԱՀՄԱՆՆԵՐՈՒՄ ԳՏՆՎՈՂ` ՊԵՏԱԿԱՆ ՍԵՓԱԿԱՆՈՒԹՅՈՒՆ ՀԱՆԴԻՍԱՑՈՂ ՀՈՂԵՐԻ (ԸՍՏ ՆՊԱՏԱԿԱՅԻՆ ՆՇԱՆԱԿՈՒԹՅԱՆ)
Հայաստանի Հանրապետության
կառավարության աշխատակազմի
ղեկավար-նախարարՄ. Թոփուզյան
|
Հավելված N 8 |
Հ Ա Շ Վ Ե Տ Վ ՈՒ Թ Յ ՈՒ Ն
ՀԱՅԱՍՏԱՆԻ ՀԱՆՐԱՊԵՏՈՒԹՅԱՆ ԱՐԱԳԱԾՈՏՆԻ ՄԱՐԶԻ ՇԱՄԻՐԱՄԻ ԳՅՈՒՂԱԿԱՆ ՀԱՄԱՅՆՔԻ ՀՈՂԱՅԻՆ ՖՈՆԴԻ ԱՌԿԱՅՈՒԹՅԱՆ ԵՎ ԲԱՇԽՄԱՆ ՄԱՍԻՆ
| Հայաստանի Հանրապետության կառավարության աշխատակազմի ղեկավար-նախարար |
Մ. Թոփուզյան |
|
Հավելված N 9 |
Հ Ա Շ Վ Ե Տ Վ ՈՒ Թ Յ ՈՒ Ն
ՀԱՅԱՍՏԱՆԻ ՀԱՆՐԱՊԵՏՈՒԹՅԱՆ ԱՐԱԳԱԾՈՏՆԻ ՄԱՐԶԻ ՇԱՄԻՐԱՄԻ ԳՅՈՒՂԱԿԱՆ ՀԱՄԱՅՆՔԻ ՈՌՈԳՎՈՂ ՀՈՂԵՐԻ ԱՌԿԱՅՈՒԹՅԱՆ ԵՎ ԲԱՇԽՄԱՆ ՄԱՍԻՆ
Հայաստանի Հանրապետության
կառավարության աշխատակազմի
ղեկավար-նախարարՄ. Թոփուզյան