«Վավերացնում եմ»
Հայաստանի Հանրապետության
Նախագահ Ռ. Քոչարյան
29 հունիսի 2005 թ.
ՀԱՅԱՍՏԱՆԻ ՀԱՆՐԱՊԵՏՈՒԹՅԱՆ ԿԱՌԱՎԱՐՈՒԹՅՈՒՆ
Ո Ր Ո Շ ՈՒ Մ
9 հունիսի 2005 թվականի N 828-Ն
ՀԱՅԱՍՏԱՆԻ ՀԱՆՐԱՊԵՏՈՒԹՅԱՆ ՎԱՅՈՑ ՁՈՐԻ ՄԱՐԶԻ ԱԳԱՐԱԿԱՁՈՐԻ ԳՅՈՒՂԱԿԱՆ ՀԱՄԱՅՆՔԻ ՎԱՐՉԱԿԱՆ ՍԱՀՄԱՆՆԵՐԻ ՆԿԱՐԱԳԻՐԸ ՀԱՍՏԱՏԵԼՈՒ ԵՎ ԱԳԱՐԱԿԱՁՈՐԻ ԳՅՈՒՂԱԿԱՆ ՀԱՄԱՅՆՔԻ ՎԱՐՉԱԿԱՆ ՍԱՀՄԱՆՆԵՐՈՒՄ ԳՏՆՎՈՂ` ՊԵՏԱԿԱՆ ՍԵՓԱԿԱՆՈՒԹՅՈՒՆ ՀԱՆԴԻՍԱՑՈՂ ՀՈՂԱՄԱՍԵՐՆ ԱՆՀԱՏՈՒՅՑ ՍԵՓԱԿԱՆՈՒԹՅԱՆ ԻՐԱՎՈՒՆՔՈՎ ՀԱՄԱՅՆՔԻՆ ՓՈԽԱՆՑԵԼՈՒ ՄԱՍԻՆ
Հայաստանի Հանրապետության հողային օրենսգրքի 34-րդ ու 56-րդ, «Տեղական ինքնակառավարման մասին» Հայաստանի Հանրապետության օրենքի 6-րդ, 47-րդ ու 84-րդ և «Հայաստանի Հանրապետության վարչատարածքային բաժանման մասին» Հայաստանի Հանրապետության օրենքի 6-րդ հոդվածների պահանջներին համապատասխան` Հայաստանի Հանրապետության կառավարությունը որոշում է.
1. Հաստատել Հայաստանի Հանրապետության Վայոց ձորի մարզի Ագարակաձորի գյուղական համայնքի սահմանների նկարագիրը` համաձայն NN 1 և 2 հավելվածների:
2. Հայաստանի Հանրապետության Վայոց ձորի մարզի Ագարակաձորի գյուղական համայնքի վարչական սահմաններում գտնվող` պետական սեփականություն հանդիսացող 5206.8 հեկտար հողամասերից 5133.02 հեկտարը, որից` գյուղատնտեսական նշանակության` 5090.29 հեկտար, բնակավայրերի հողերի` 20.43 հեկտար, արդյունաբերության, ընդերքօգտագործման և այլ արտադրական նշանակության օբյեկտների` 18.0 հեկտար, էներգետիկայի, տրանսպորտի, կապի և կոմունալ ենթակառուցվածքների օբյեկտների` 0.1 հեկտար, հատուկ պահպանվող տարածքների` 1.76 հեկտար, ջրային հողերի` 2.44 հեկտար, անհատույց սեփականության իրավունքով փոխանցել Ագարակաձորի գյուղական համայնքին` համաձայն NN 3, 4, 5 և 6 հավելվածների:
3. Սահմանել, որ Հայաստանի Հանրապետության հողային օրենսգրքի 60-րդ հոդվածի պահանջներին համապատասխան`
ա) Հայաստանի Հանրապետության Վայոց ձորի մարզի Ագարակաձորի գյուղական համայնքին անհատույց սեփականության իրավունքով փոխանցվող 5133.02 հեկտար հողերից 96.06 հեկտարը մասնավորեցման ենթակա չէ.
բ) Հայաստանի Հանրապետության Վայոց ձորի մարզի Ագարակաձորի գյուղական համայնքի վարչական սահմաններում գտնվող հողերից 73.78 հեկտարը համարվում է պետական սեփականություն` համաձայն N 7 հավելվածի:
4. Ընդունել ի գիտություն Հայաստանի Հանրապետության Վայոց ձորի մարզի Ագարակաձորի գյուղական համայնքի հողային ֆոնդի առկայության և բաշխման մասին հաշվետվությունը` 2005 թվականի հունվարի 1-ի դրությամբ` համաձայն NN 8 և 9 հավելվածների:
5. Հայաստանի Հանրապետության կառավարությանն առընթեր անշարժ գույքի կադաստրի պետական կոմիտեի նախագահին` սահմանված կարգով ապահովել սկզբնական հաշվառման նյութերի տրամադրումը Հայաստանի Հանրապետության Վայոց ձորի մարզի Ագարակաձորի գյուղական համայնքի ղեկավարին` հողերի ընթացիկ հաշվառումն անցկացնելու և համայնքի հողային հաշվեկշիռը կազմելու համար:
6. Թույլատրել Հայաստանի Հանրապետության կառավարությանն առընթեր անշարժ գույքի կադաստրի պետական կոմիտեի նախագահին Հայաստանի Հանրապետության պետական գեոդեզիական ցանցի հավասարակշռման արդյունքների հիման վրա Հայաստանի Հանրապետության վարչատարածքային միավորների սահմանանիշերի կոորդինատների ժողովածուի հրատարակումից հետո հողային ֆոնդի ընթացիկ հաշվառման ժամանակ Ագարակաձորի գյուղական համայնքի հողային հաշվեկշռում սահմանված կարգով կատարել համապատասխան փոփոխություններ:
7. Հայաստանի Հանրապետության Վայոց ձորի մարզպետին` Հայաստանի Հանրապետության կառավարության 2000 թվականի հոկտեմբերի 23-ի N 656 որոշմամբ սահմանված կարգով` սկզբնական հաշվառման տվյալների հիման վրա ապահովել մարզի տարածքում ընթացիկ հաշվառման աշխատանքների իրականացումը:
8. Սույն որոշումն ուժի մեջ է մտնում պաշտոնական հրապարակմանը հաջորդող օրվանից:
|
Հայաստանի Հանրապետության |
Ա. Մարգարյան |
|
|
ՀԱՅԱՍՏԱՆԻ ՀԱՆՐԱՊԵՏՈՒԹՅԱՆ ՎԱՅՈՑ ՁՈՐԻ ՄԱՐԶԻ ԱԳԱՐԱԿԱՁՈՐԻ ԳՅՈՒՂԱԿԱՆ ՀԱՄԱՅՆՔԻ ՎԱՐՉԱԿԱՆ ՍԱՀՄԱՆՆԵՐԻ ՀԱՏԱԿԱԳԻԾԸ
| Հայաստանի Հանրապետության կառավարության աշխատակազմի ղեկավար-նախարար |
Մ. Թոփուզյան |
Հավելված N 2
ՀՀ կառավարության 2005 թվականի
հունիսի 9-ի N 828-Ն որոշման
ՀԱՅԱՍՏԱՆԻ ՀԱՆՐԱՊԵՏՈՒԹՅԱՆ ՎԱՅՈՑ ՁՈՐԻ ՄԱՐԶԻ ԱԳԱՐԱԿԱՁՈՐԻ ԳՅՈՒՂԱԿԱՆ ՀԱՄԱՅՆՔԻ ՎԱՐՉԱԿԱՆ ՍԱՀՄԱՆՆԵՐԻ ՆԿԱՐԱԳՐՈՒԹՅՈՒՆԸ
Ագարակաձոր համայնքը գտնվում է մարզի հարավային մասում:
Հեռավորությունը մարզկենտրոն ք. Եղեգնաձորից 4 կմ է:
Համայնքը հյուսիսային «Ա»-«Բ» հատվածով սահմանակից է Եղեգնաձոր քաղաքային, «Բ»-«Գ» արևելյան հատվածով` Մալիշկա համայնքին, «Գ»-«Դ» հարավ-արևելյան հատվածով` Զեդեա համայնքին, «Դ»-«Ե» հարավային հատվածով` մարզի համայնքների վարչական սահմաններից դուրս գտնվող /Զառիթափի համայնքի նախկին II հատված/ հողերին, «Դ»-«Ե» արևմտյան հատվածով` Գնիշիկ համայնքին:
ԱԳԱՐԱԿԱՁՈՐ-ԵՂԵԳՆԱՁՈՐ ՔԱՂԱՔ ՍԱՀՄԱՆԱԳԻԾԸ` «Ա»-«Բ»
Եղեգնաձոր քաղաքի, Ագարակաձոր և Գնիշիկ համայնքների տարածքների բաժանման «Ա» հանգուցային սահմանակետից սահմանագիծն անցնում է ջրբաժանով անցնելով թիվ 1-4 կետերով հասնում է 1577.0 մ նիշ ունեցող բլրի գագաթի թիվ 5 սահմանակետին, այնուհետև թեքվում դեպի հյուսիս, հասնում 1461.0 մ նիշ ունեցող ջրբաժանի թիվ 6 սահմանակետին: Թիվ 6 սահմանակետից սահմանագիծն անցնում է դեպի հյուսիս-արևմուտք ջրբաժանով, հասնում թիվ 7 սահմանակետին, ապա թեքվում դեպի հյուսիս-արևելք անցնում թիվ 8 կետով և հասնում Արփա գետի թիվ 9 սահմանակետին: Թիվ 9 սահմանակետից սահմանագիծը անցնում է դեպի արևելք Արփա գետով, հասնում Եղեգնաձոր քաղաքային, Մալիշկա և Ագարակաձոր գյուղական համայնքների տարածքների բաժանման «Բ» հանգուցային սահմանակետին:
«Ա»-«Բ» սահմանագծի երկարությունը 2851.5 մ է:
ԱԳԱՐԱԿԱՁՈՐ-ՄԱԼԻՇԿԱ ՍԱՀՄԱՆԱԳԻԾԸ` «Բ»-«Գ»
Եղեգնաձոր քաղաքային, Ագարակաձոր և Մալիշկա գյուղական համայնքների տարածքների բաժանման «Բ» հանգուցային սահմանակետից սահմանագիծը հասնում է Արփա գետի թիվ 1 սահմանակետին: Թիվ 1 սահմանակետից սահմանագիծը անցնելով թիվ 2 կետով հասնում է 1395.2 մ նիշ ունեցող բլրի գագաթի թիվ 3 սահմանակետին: Թիվ 3 սահմանակետից սահմանագիծը անցնում է դեպի հարավ-արևելք ու հասնում բլրի գագաթի Ագարակաձոր, Մալիշկա և Զեդեա համայնքների տարածքների բաժանման «Գ» հանգուցային սահմանակետին:
«Բ»-«Գ» սահմանագծի երկարությունը 4179.01 մ է:
ԱԳԱՐԱԿԱՁՈՐ-ԶԵԴԵԱ ՍԱՀՄԱՆԱԳԻԾԸ` «Գ»-«Դ»
Ագարակաձոր, Մալիշկա և Զեդեա համայնքների տարածքների բաժանման «Գ» հանգուցային սահմանակետից սահմանագիծը անցնում է դեպի հարավ ու հասնում 1509.0 մ նիշ ունեցող ջրբաժանի թիվ 1 սահմանակետին: Թիվ 1 սահմանակետից սահմանագիծը անցնում է դեպի հարավ-արևելք հասնում ջրբաժանի թիվ 2 սահմանակետին, ապա թեքվում դեպի հարավ-արևմուտք հասնում թիվ 3 սահմանակետին, որից հետո ջրհավաքով անցնելով թիվ 4-5 սահմանակետերով հասնում է թիվ 6 սահմանակետին: Թիվ 6 սահմանակետից սահմանագիծը անցնելով թիվ 7-9 կետերով հասնում թիվ 10 սահմանակետին: Թիվ 10 սահմանակետից սահմանագիծը անցնում է ջրբաժանով դեպի արևմուտք, վարելահողի եզրով անցնելով թիվ 11-12 կետերով, ապա հատում դաշտային ճանապարհը հասնում է թիվ 13 սահմանակետին: Թիվ 13 սահմանակետից սահմանագիծը անցնելով թիվ 14 սահմանակետով դեպի հարավ-արևմուտք հասնում բլրի գագաթի թիվ 15 սահմանակետին, որից հետո թեքվում դեպի հարավ-արևելք անցնում ջրբաժանով թիվ 16 սահմանակետով, հասնում ջրբաժանի թիվ 17 սահմանակետին: Թիվ 17 սահմանակետից սահմանագիծը անցնում է դեպի հարավ-արևմուտք, անցնում ջրհավաքի թիվ 18-19 սահմանակետերով հասնում Ագարակաձոր, Զեդեա համայնքների և մարզի համայնքների վարչական սահմաններից դուրս գտնվող /Զառիթափ համայնքի նախկին II հատված/ հողերի բաժանման «Դ» հանգուցային սահմանակետին:
«Գ»-«Դ» սահմանագծի երկարությունը 7726.48 մ է:
ԱԳԱՐԱԿԱՁՈՐ-ՄԱՐԶԻ ՀԱՄԱՅՆՔՆԵՐԻ ՎԱՐՉԱԿԱՆ ՍԱՀՄԱՆՆԵՐԻՑ ԴՈՒՐՍ ԳՏՆՎՈՂ /ԶԱՌԻԹԱՓ ՀԱՄԱՅՆՔԻ ՆԱԽԿԻՆ II ՀԱՏՎԱԾ/ ՀՈՂԵՐԻ ՍԱՀՄԱՆԱԳԻԾԸ` «Դ»-«Ե»
Ագարակաձոր, Գնիշիկ համայնքների և մարզի համայնքների վարչական սահմաններից դուրս գտնվող /Զառիթափ համայնքի նախկին II հատված/ հողերի բաժանման «Ե» հանգուցային սահմանակետից սահմանագիծը լանջով անցնում է դեպի հարավ-արևելք հասնում թիվ 1 սահմանակետին, որից հետո սահմանագիծը անցնելով թիվ 2-4 կետերով դեպի արևելք հասնում է թիվ 5 սահմանակետին: Թիվ 5 սահմանակետից սահմանագիծը անցնելով թիվ 6-7 սահմանակետերով դեպի հյուսիս-արևելք հատելով դաշտային ճանապարհը, հասնում է լանջի թիվ 8 սահմանակետին: Թիվ 8 սահմանակետից սահմանագիծը անցնելով թիվ 9, 10 սահմանակետերով դեպի հյուսիս հատելով ձորակները հասնում Ագարակաձոր, Զեդեա համայնքների և մարզի համայնքների վարչական սահմաններից դուրս գտնվող /Զառիթափ համայնքի նախկին II հատված/ հողերի բաժանման «Դ» հանգուցային սահմանակետին:
«Զ»-«Ա» սահմանագծի երկարությունը 4103.23 մ է:
ԱԳԱՐԱԿԱՁՈՐ-ԳՆԻՇԻԿ ՍԱՀՄԱՆԱԳԻԾԸ` «Ե»-«Ա»
Գնիշիկ, Ագարակաձոր գյուղական և Եղեգնաձոր քաղաքային համայնքների տարածքների բաժանման «Ա» հանգուցային սահմանակետից սահմանագիծը բլրի գագաթից անցնում է դեպի հարավ-արևմուտք ու հասնում ջրհավաքի թիվ 1 սահմանակետին, որից հետո նույն ջրհավաքով անցնելով թիվ 2-15 սահմանակետերով հասնում է թիվ 16 սահմանակետը, այնուհետև անցնելով թիվ 17-20 կետերով ճանապարհով հասնում է թիվ 21 սահմանակետը: Թիվ 21 սահմանակետից սահմանագիծը անցնելով թիվ 22-24 սահմանակետերով դեպի հարավ, ջրբաժանով, գերեզմանոցի եզրով, հասնում թիվ 25 սահմանակետին: Թիվ 25 սահմանակետից սահմանագիծը անցնելով թիվ 26-28 սահմանակետերով դեպի հյուսիս, ապա հարավ-արևելք հանում է թիվ 29 սահմանակետին: Թիվ 29 սահմանակետից սահմանագիծը անցնելով թիվ 30 սահմանակետով դեպի հարավ հասնում է ջրբաժանի թիվ 31 սահմանակետին, այնուհետև թեքվում դեպի արևելք ու հասնում 2409.3 մ նիշ ունեցող բլրի գագաթի թիվ 32 սահմանակետին: Թիվ 32 սահմանակետից սահմանագիծը շարունակվում է դեպի արևելք, հասնում ժայռի թիվ 33 սահմանակետին, որից հետո սահմանագիծը անցնում է դեպի հարավ հասնում լանջի թիվ 34, ապա թեքվում դեպի հարավ-արևմուտք, հասնում ջրհավաքի թիվ 35 սահմանակետին, հատելով դաշտային ճանապարհը: Թիվ 35 սահմանակետից սահմանագիծը անցնելով թիվ 36 սահմանակետով դեպի հարավ, հասնում է թիվ 37 սահմանակետը, թեքվում հարավ-արևելք հասնում թիվ 38 սահմանակետին, որից հետո ջրբաժանով հասնում 2490.3 մ նիշ ունեցող թիվ 39 կետին: Թիվ 39 սահմանակետից սահմանագիծը շարունակվում դեպի հարավ-արևելք անցնելով թիվ 40-41 սահմանակետերով, հասնում է ջրբաժանի Գնիշիկ, Ագարակաձոր համայնքների և մարզի համայնքների վարչական սահմաններից դուրս գտնվող /Զառիթափ համայնքի նախկին II հատված/ հողերի բաժանման «Ե» հանգուցային սահմանակետին:
«Ե»-«Ա» սահմանագծի երկարությունը 10801.32 մ է:
| Հայաստանի Հանրապետության կառավարության աշխատակազմի ղեկավար-նախարար |
Մ. Թոփուզյան |
ՀԱՅԱՍՏԱՆԻ ՀԱՆՐԱՊԵՏՈՒԹՅԱՆ ՎԱՅՈՑ ՁՈՐԻ ՄԱՐԶԻ ԱԳԱՐԱԿԱՁՈՐԻ ԳՅՈՒՂԱԿԱՆ ՀԱՄԱՅՆՔԻ ՀՈՂԱՇԻՆԱՐԱՐԱԿԱՆ ՀԱՏԱԿԱԳԻԾԸ
Հայաստանի Հանրապետության
կառավարության աշխատակազմի
ղեկավար-նախարարՄ. Թոփուզյան
Ա Ն Վ Ա Ն Ա Ց Ա Ն Կ
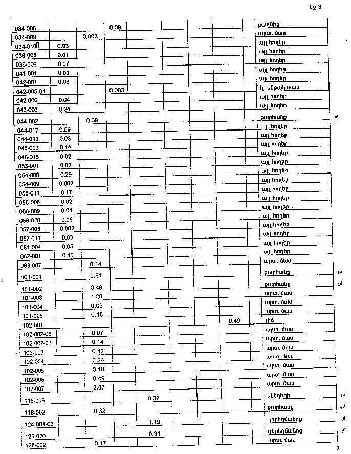
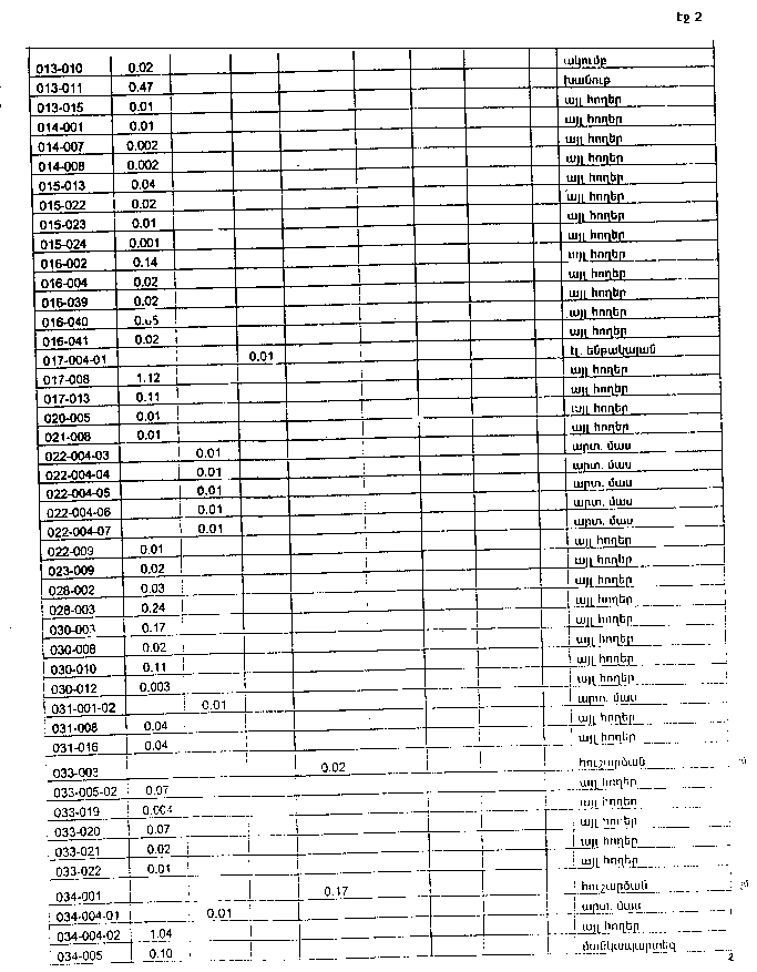
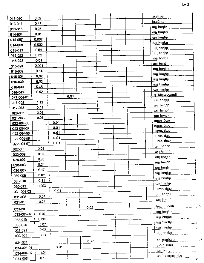
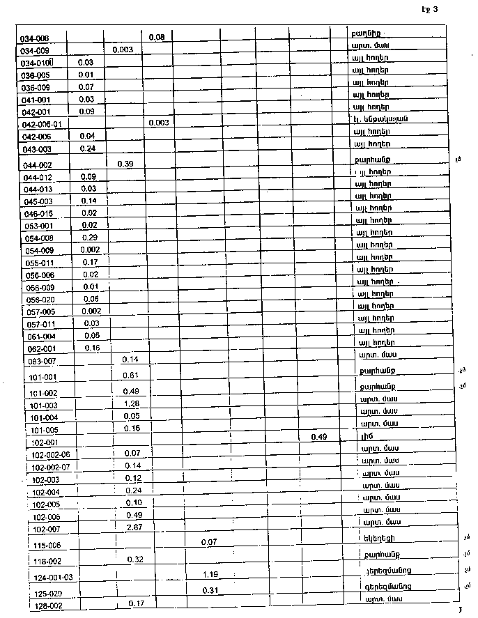
ՀԱՅԱՍՏԱՆԻ ՀԱՆՐԱՊԵՏՈՒԹՅԱՆ ՎԱՅՈՑ ՁՈՐԻ ՄԱՐԶԻ ԱԳԱՐԱԿԱՁՈՐԻ ԳՅՈՒՂԱԿԱՆ ՀԱՄԱՅՆՔԻ ՎԱՐՉԱԿԱՆ ՍԱՀՄԱՆՆԵՐՈՒՄ ԳՏՆՎՈՂ` ՊԵՏԱԿԱՆ ՍԵՓԱԿԱՆՈՒԹՅՈՒՆ ՀԱՆԴԻՍԱՑՈՂ ՀՈՂԵՐԻՑ ԱԳԱՐԱԿԱՁՈՐԻ ԳՅՈՒՂԱԿԱՆ ՀԱՄԱՅՆՔԻՆ ԱՆՀԱՏՈՒՅՑ ՓՈԽԱՆՑՎՈՂ ՀՈՂԵՐԻ
Հայաստանի Հանրապետության
կառավարության աշխատակազմի
ղեկավար-նախարարՄ. Թոփուզյան
Ց Ա Ն Կ
ՀԱՅԱՍՏԱՆԻ ՀԱՆՐԱՊԵՏՈՒԹՅԱՆ ՎԱՅՈՑ ՁՈՐԻ ՄԱՐԶԻ ԱԳԱՐԱԿԱՁՈՐԻ ԳՅՈՒՂԱԿԱՆ ՀԱՄԱՅՆՔԻ ՎԱՐՉԱԿԱՆ ՍԱՀՄԱՆՆԵՐՈՒՄ ԳՏՆՎՈՂ` ՊԵՏԱԿԱՆ ՍԵՓԱԿԱՆՈՒԹՅՈՒՆ ՀԱՆԴԻՍԱՑՈՂ ՀՈՂԵՐԻՑ ԱԳԱՐԱԿԱՁՈՐԻ ԳՅՈՒՂԱԿԱՆ ՀԱՄԱՅՆՔԻՆ ԱՆՀԱՏՈՒՅՑ ՓՈԽԱՆՑՎՈՂ ՀՈՂԵՐԻ
| Հայաստանի Հանրապետության կառավարության աշխատակազմի ղեկավար-նախարար |
Մ. Թոփուզյան |
Ց Ա Ն Կ
ՀԱՅԱՍՏԱՆԻ ՀԱՆՐԱՊԵՏՈՒԹՅԱՆ ՎԱՅՈՑ ՁՈՐԻ ՄԱՐԶԻ ԱԳԱՐԱԿԱՁՈՐԻ ՀԱՄԱՅՆՔԻ ՎԱՐՉԱԿԱՆ ՍԱՀՄԱՆՆԵՐՈՒՄ ԳՏՆՎՈՂ` ՊԵՏԱԿԱՆ ՍԵՓԱԿԱՆՈՒԹՅՈՒՆ ՀԱՆԴԻՍԱՑՈՂ ՀՈՂԵՐԻՑ ԱԳԱՐԱԿԱՁՈՐԻ ԳՅՈՒՂԱԿԱՆ ՀԱՄԱՅՆՔԻՆ ԱՆՀԱՏՈՒՅՑ ՓՈԽԱՆՑՎՈՂ ՀՈՂԵՐԻ (ԸՍՏ ՆՊԱՏԱԿԱՅԻՆ ՆՇԱՆԱԿՈՒԹՅԱՆ)
| Հայաստանի Հանրապետության կառավարության աշխատակազմի ղեկավար-նախարար |
Մ. Թոփուզյան |
Ց Ա Ն Կ
ՀԱՅԱՍՏԱՆԻ ՀԱՆՐԱՊԵՏՈՒԹՅԱՆ ՎԱՅՈՑ ՁՈՐԻ ՄԱՐԶԻ ԱԳԱՐԱԿԱՁՈՐԻ ԳՅՈՒՂԱԿԱՆ ՀԱՄԱՅՆՔԻ ՎԱՐՉԱԿԱՆ ՍԱՀՄԱՆՆԵՐՈՒՄ ԳՏՆՎՈՂ` ՊԵՏԱԿԱՆ ՍԵՓԱԿԱՆՈՒԹՅՈՒՆ ՀԱՆԴԻՍԱՑՈՂ ՀՈՂԵՐԻ (ԸՍՏ ՆՊԱՏԱԿԱՅԻՆ ՆՇԱՆԱԿՈՒԹՅԱՆ)
| Հայաստանի Հանրապետության կառավարության աշխատակազմի ղեկավար-նախարար |
Մ. Թոփուզյան |
Հ Ա Շ Վ Ե Տ Վ ՈՒ Թ Յ ՈՒ Ն
ՀԱՅԱՍՏԱՆԻ ՀԱՆՐԱՊԵՏՈՒԹՅԱՆ ՎԱՅՈՑ ՁՈՐԻ ՄԱՐԶԻ ԱԳԱՐԱԿԱՁՈՐԻ ԳՅՈՒՂԱԿԱՆ ՀԱՄԱՅՆՔԻ ՀՈՂԱՅԻՆ ՖՈՆԴԻ ԱՌԿԱՅՈՒԹՅԱՆ ԵՎ ԲԱՇԽՄԱՆ ՄԱՍԻՆ
| Հայաստանի Հանրապետության կառավարության աշխատակազմի ղեկավար-նախարար |
Մ. Թոփուզյան |
Հ Ա Շ Վ Ե Տ Վ ՈՒ Թ Յ ՈՒ Ն
ՀԱՅԱՍՏԱՆԻ ՀԱՆՐԱՊԵՏՈՒԹՅԱՆ ՎԱՅՈՑ ՁՈՐԻ ՄԱՐԶԻ ԱԳԱՐԱԿԱՁՈՐԻ ԳՅՈՒՂԱԿԱՆ ՀԱՄԱՅՆՔԻ ՈՌՈԳՎՈՂ ՀՈՂԵՐԻ ԱՌԿԱՅՈՒԹՅԱՆ ԵՎ ԲԱՇԽՄԱՆ ՄԱՍԻՆ
| Հայաստանի Հանրապետության կառավարության աշխատակազմի ղեկավար-նախարար |
Մ. Թոփուզյան |