«Վավերացնում եմ»
Հայաստանի Հանրապետության
Նախագահ Ռ. Քոչարյան
27 հունիսի 2005 թ.
ՀԱՅԱՍՏԱՆԻ ՀԱՆՐԱՊԵՏՈՒԹՅԱՆ ԿԱՌԱՎԱՐՈՒԹՅՈՒՆ
Ո Ր Ո Շ ՈՒ Մ
9 հունիսի 2005 թվականի N 788-Ն
ՀԱՅԱՍՏԱՆԻ ՀԱՆՐԱՊԵՏՈՒԹՅԱՆ ԿՈՏԱՅՔԻ ՄԱՐԶԻ ԳԵՂԱԴԻՐԻ ԳՅՈՒՂԱԿԱՆ ՀԱՄԱՅՆՔԻ ՎԱՐՉԱԿԱՆ ՍԱՀՄԱՆՆԵՐԻ ՆԿԱՐԱԳԻՐԸ ՀԱՍՏԱՏԵԼՈՒ ԵՎ ԳԵՂԱԴԻՐԻ ԳՅՈՒՂԱԿԱՆ ՀԱՄԱՅՆՔԻ ՎԱՐՉԱԿԱՆ ՍԱՀՄԱՆՆԵՐՈՒՄ ԳՏՆՎՈՂ` ՊԵՏԱԿԱՆ ՍԵՓԱԿԱՆՈՒԹՅՈՒՆ ՀԱՆԴԻՍԱՑՈՂ ՀՈՂԱՄԱՍԵՐՆ ԱՆՀԱՏՈՒՅՑ ՍԵՓԱԿԱՆՈՒԹՅԱՆ ԻՐԱՎՈՒՆՔՈՎ ՀԱՄԱՅՆՔԻՆ ՓՈԽԱՆՑԵԼՈՒ ՄԱՍԻՆ
Հայաստանի Հանրապետության հողային օրենսգրքի 34-րդ ու 56-րդ, «Տեղական ինքնակառավարման մասին» Հայաստանի Հանրապետության օրենքի 6-րդ, 47-րդ ու 84-րդ և «Հայաստանի Հանրապետության վարչատարածքային բաժանման մասին» Հայաստանի Հանրապետության օրենքի 6-րդ հոդվածների պահանջներին համապատասխան` Հայաստանի Հանրապետության կառավարությունը որոշում է.
1. Հաստատել Հայաստանի Հանրապետության Կոտայքի մարզի Գեղադիրի գյուղական համայնքի սահմանների նկարագիրը` համաձայն NN 1 և 2 հավելվածների:
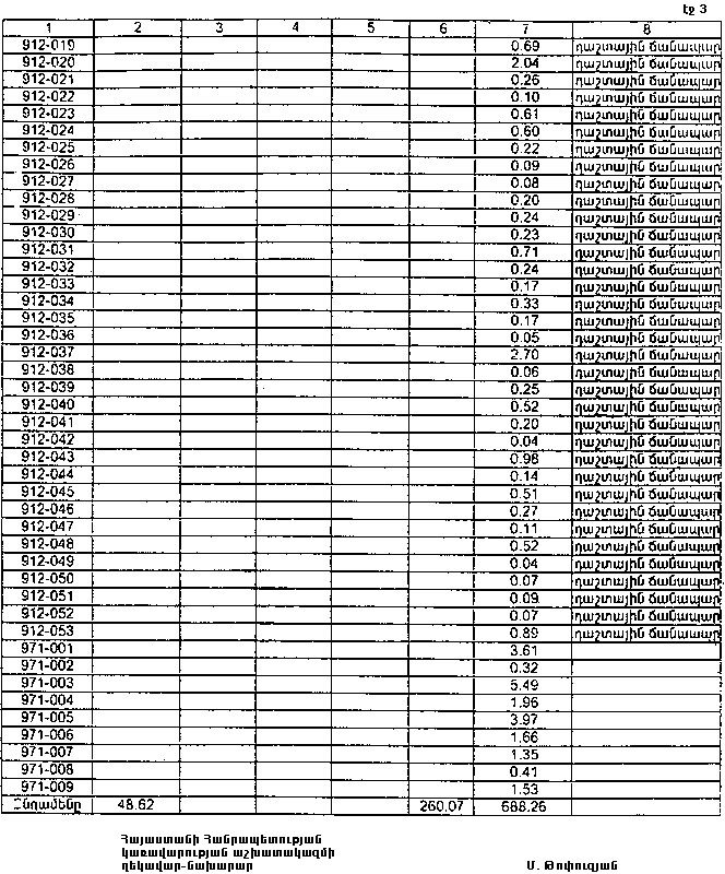
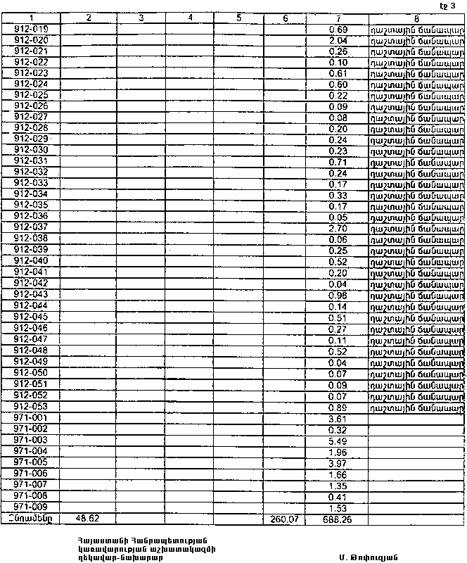
2. Հայաստանի Հանրապետության Կոտայքի մարզի Գեղադիրի գյուղական համայնքի վարչական սահմաններում գտնվող՝ պետական սեփականություն հանդիսացող 1051.99 հեկտար հողամասերից 1035.17 հեկտարը, որից՝ գյուղատնտեսական նշանակության՝ 1001.36 հեկտար, բնակավայրերի հողերի՝ 25.16 հեկտար, արդյունաբերության, ընդերքօգտագործման և այլ արտադրական նշանակության օբյեկտների՝ 7.03 հեկտար, էներգետիկայի, տրանսպորտի, կապի և կոմունալ ենթակառուցվածքների օբյեկտների՝ 0.03 հեկտար, հատուկ պահպանվող տարածքների՝ 1.07 հեկտար, ջրային հողերի՝ 0.52 հեկտար, անհատույց սեփականության իրավունքով փոխանցել Գեղադիրի գյուղական համայնքին՝ համաձայն NN 3, 4, 5 և 6 հավելվածների:
3. Սահմանել, որ Հայաստանի Հանրապետության հողային օրենսգրքի 60-րդ հոդվածի պահանջներին համապատասխան՝
ա) Հայաստանի Հանրապետության Կոտայքի մարզի Գեղադիրի գյուղական համայնքին անհատույց սեփականության իրավունքով փոխանցվող 1035.17 հեկտար հողերից 41.92 հեկտարը մասնավորեցման ենթակա չէ.
բ) Հայաստանի Հանրապետության Կոտայքի մարզի Գեղադիրի գյուղական համայնքի վարչական սահմաններում գտնվող հողերից 16.82 հեկտարը համարվում է պետական սեփականություն՝ համաձայն N 7 հավելվածի:
4. Ընդունել ի գիտություն Հայաստանի Հանրապետության Կոտայքի մարզի Գեղադիրի գյուղական համայնքի հողային ֆոնդի առկայության և բաշխման մասին հաշվետվությունը՝ 2005 թվականի հունվարի 1-ի դրությամբ՝ համաձայն NN 8 և 9 հավելվածների:
5. Հայաստանի Հանրապետության կառավարությանն առընթեր անշարժ գույքի կադաստրի պետական կոմիտեի նախագահին սահմանված կարգով ապահովել սկզբնական հաշվառման նյութերի տրամադրումը Հայաստանի Հանրապետության Կոտայքի մարզի Գեղադիրի գյուղական համայնքի ղեկավարին՝ հողերի ընթացիկ հաշվառումն անցկացնելու և համայնքի հողային հաշվեկշիռը կազմելու համար:
6. Թույլատրել Հայաստանի Հանրապետության կառավարությանն առընթեր անշարժ գույքի կադաստրի պետական կոմիտեի նախագահին Հայաստանի Հանրապետության պետական գեոդեզիական ցանցի հավասարակշռման արդյունքների հիման վրա Հայաստանի Հանրապետության վարչատարածքային միավորների սահմանանիշերի կոորդինատների ժողովածուի հրատարակումից հետո հողային ֆոնդի ընթացիկ հաշվառման ժամանակ Գեղադիրի գյուղական համայնքի հողային հաշվեկշռում սահմանված կարգով կատարել համապատասխան փոփոխություններ:
7. Հայաստանի Հանրապետության Կոտայքի մարզպետին՝ Հայաստանի Հանրապետության կառավարության 2000 թվականի հոկտեմբերի 23-ի N 656 որոշմամբ սահմանված կարգով՝ սկզբնական հաշվառման տվյալների հիման վրա ապահովել մարզի տարածքում ընթացիկ հաշվառման աշխատանքների իրականացումը:
8. Սույն որոշումն ուժի մեջ է մտնում պաշտոնական հրապարակմանը հաջորդող օրվանից։
|
|
Ա. Մարգարյան |
|
|
|
| |
|
| |
Հայաստանի Հանրապետության կառավարության աշխատակազմի ղեկավար-նախարար |
Մ. Թոփուզյան |
|
| |
|
ՀՀ ԿՈՏԱՅՔԻ ՄԱՐԶԻ ԳԵՂԱԴԻՐԻ ԳՅՈՒՂԱԿԱՆ ՀԱՄԱՅՆՔԻ ՎԱՐՉԱԿԱՆ ՍԱՀՄԱՆՆԵՐԻ ՆԿԱՐԱԳՐՈՒԹՅՈՒՆԸ Գեղադիր գյուղական համայնքը գտնվում է մարզի հարավ-արևելյան մասում: Հեռավորությունը մարզկենտրոն ք. Հրազդանից 58.0 կմ է: Գեղադիր գյուղական համայնքը հյուսիս-արևելքից «Ա»-«Բ» հատվածով սահմանակից է Հացավան գյուղական համայնքի II հատվածին, հարավ-արևելքից` «Բ»-«Գ» հատվածով Գառնի գյուղական համայնքին, հարավից` «Գ»-«Դ» հատվածով Հացավան գյուղական համայնքին, հյուսիս-արևմուտքից` «Դ»-«Ա» հատվածով Ողջաբերդ գյուղական համայնքին: ԳԵՂԱԴԻՐ-ՀԱՑԱՎԱՆԻ II ՀԱՏՎԱԾԻ ՍԱՀՄԱՆԱԳԻԾԸ` «Ա»-«Բ»
Գեղադիր, Ողջաբերդ համայնքների և Հացավան համայնքի II հատվածի տարածքների բաժանման «Ա» հանգուցային կետից, սահմանագիծն անցնում է դեպի հարավ-արևմուտք, հատելով դաշտային ճանապարհը, անցնելով 900.07 մ հասնում է թիվ 1 կետին, ապա թեքվում արևելք, անցնելով թիվ 2 կետով 393.73 մ հասնում թիվ 3 կետին, այնուհետև թեքվում է հյուսիս-արևելք, անցնելով թիվ 4 կետով 434.30 մ հասնում թիվ 5 կետին, թեքվում է դեպի հարավ-արևելք անցնելով 290.95 մ հասնում թիվ 6 կետին, թեքվում է հյուսիս-արևելք, անցնելով 337.02 մ հասնում թիվ 7 կետին, այնուհետև թեքվում է դեպի հարավ-արևելք, անցնելով 433.22 մ հասնում է Հացավան գյուղական համայնքի II հատվածի, Գեղադիր և Գառնի համայնքների տարածքների բաժանման «Բ» հանգուցային կետին: «Ա»-«Բ» սահմանագծի ընդհանուր երկարությունը 2789.29 մ է: ԳԵՂԱԴԻՐ-ԳԱՌՆԻ ՍԱՀՄԱՆԱԳԻԾԸ` «Բ»-«Գ»
Հացավան համայնքի II հատվածի, Գեղադիր և Գառնի գյուղական համայնքների տարածքների բաժանման «Բ» հանգուցային կետից սահմանագիծը թեքվում է դեպի հարավ-արևմուտք, հարավ և հարավ-արևելք թիվ 1-4 կետերով անցնելով 1714.45 մ հասնում է թիվ 5 կետին, թեքվում է հարավ-արևմուտք, անցնելով ճանապարհով 582.86 մ հասնում է թիվ 6 կետին, այդտեղից թեքվելով դեպի արևմուտք, անցնում թիվ 7-9 կետերով հասնում ճանապարհի թիվ 10 կետին, որտեղից թեքվում է հարավ` անցնելով թիվ 11-15 կետերով 2037.29 մ, հասնում է առվի թիվ 16 կետին, ապա թեքվում է հարավ-արևմուտք անցնելով 17 կետով 289.1 մ հասնում է միջգյուղյա ճանապարհի թիվ 18 կետին, այնուհետև թեքվում է դեպի արևմուտք անցնելով 413.90 մ հասնում է Գեղադիր, Գառնի և Հացավան գյուղական համայնքների տարածքների բաժանման «Գ» հանգուցային կետին: «Բ»-«Գ» սահմանագծի ընդհանուր երկարությունը 5037.60 մ է: ԳԵՂԱԴԻՐ-ՀԱՑԱՎԱՆ ՍԱՀՄԱՆԱԳԻԾԸ` «Գ»-«Դ»
Գեղադիր, Ողջաբերդ և Հացավան գյուղական համայնքների տարածքների բաժանման «Դ» հանգուցային կետից սահմանագիծն անցնում է դեպի հարավ-արևելք, լեռնաշղթայով անցնելով 314.48 մ հասնում է սարի գագաթի թիվ 1 կետին, հետո թեքվում է հյուսիս-արևելք իջնելով լեռան գագաթից հատում առուն և անցնելով 321.76 մ հասնում է թիվ 2 կետին, այնուհետև թեքվում դեպի հյուսիս-արևելք, անցնելով 460.77 մ, հատելով ճանապարհը հասնում է թիվ 3 կետին ապա թեքվում է դեպի արևելք, լեռան լանջով թիվ 4-6 կետերով անցնելով 565.68 մ հասնում թիվ 7 կետին, թեքվում է դեպի հյուսիս-արևելք բարձրանում լեռան գագաթն անցնում 443.52 մ հասնում թիվ 8 կետին, հետո ճանապարհով հասնում է թիվ 16 կետին, որտեղից թեքվում է դեպի հարավ-արևելք իջնելով սարի լանջով, անցնում է առուն և ճանապարհը, անցնելով հասնում թիվ 17 կետին, թեքվում է հարավ-արևելք անցնելով ճանապարհը և առուն, անցնելով թիվ 18-23 կետերով 1708.30 մ հասնում է թիվ 24 կետին, այստեղից թեքվում է դեպի հարավ-արևմուտք, ճանապարհով անցնելով թիվ 25-31 կետերով 1721.32 մ, հասնում թիվ 32 կետին, անցնում 1176.05 մ, ապա թեքվում է հյուսիս-արևելք բարձրանում լեռը, անցնելով 418.96 մ հասնում է թիվ 33 կետին, այստեղից թեքվում է դեպի հյուսիս-արևելք լեռան լանջով անցնելով թիվ 34-35 կետերով 824.21 մ հասնում է Գեղադիր, Հացավան և Գառնի գյուղական համայնքների տարածքների բաժանման «Գ» հանգուցային կետին: «Գ»-«Դ» սահմանագծի ընդհանուր երկարությունը 7955.05 մ է: ԳԵՂԱԴԻՐ-ՈՂՋԱԲԵՐԴ ՍԱՀՄԱՆԱԳԻԾԸ` «Դ»-«Ա»
Գեղադիր, Ողջաբերդ համայնքների և Հացավանի II հատվածի գյուղական համայնքների տարածքների բաժանման «Ա» հանգուցային կետից, սահմանագիծը անցնում է դեպի արևմուտք ճանապարհով անցնում է թիվ 2-6 կետերով 533.77 մ հասնում է թիվ 1 կետին, այնուհետև նույն ճանապարհով անցնում է 1357.92 մ հասնում թիվ 7 կետին, այդտեղից թեքվում է դեպի հարավ-արևմուտք, անցնելով ձորը` 834.11 մ հասնում է թիվ 8 կետին, ապա թեքվում է հարավ-արևմուտք անցնելով 787.98 մ հասնում է բնակավայրերի եզրի թիվ 9 կետին, այնուհետև բնակավայրի եզրով անցնելով թիվ 10 կետով 1322.71 մ, հասնում է մինչև թիվ 11 կետը, որից հետո անցնում է դաշտային ճանապարհով անցնելով թիվ 12-15 կետերով 2306.84 մ հասնում է Գեղադիր, Ողջաբերդ և Հացավան գյուղական համայնքների տարածքների բաժանման «Դ» հանգուցային կետին: «Դ»-«Ա» սահմանագծի ընդհանուր երկարությունը 7143.33 մ է: | |
Հայաստանի Հանրապետության կառավարության աշխատակազմի ղեկավար-նախարար |
Մ. Թոփուզյան |
|
| |
|
| |
Հայաստանի Հանրապետության կառավարության աշխատակազմի ղեկավար-նախարար |
Մ. Թոփուզյան |
|
| |
|
| |
Հայաստանի Հանրապետության կառավարության աշխատակազմի ղեկավար-նախարար |
Մ. Թոփուզյան |
|
| |
|
| |
Հայաստանի Հանրապետության կառավարության աշխատակազմի ղեկավար-նախարար |
Մ. Թոփուզյան |
|
| |
|
| |
Հայաստանի Հանրապետության կառավարության աշխատակազմի ղեկավար-նախարար |
Մ. Թոփուզյան |
|
| |
|
| |
Հայաստանի Հանրապետության կառավարության աշխատակազմի ղեկավար-նախարար |
Մ. Թոփուզյան |
|
| |
|
| |
Հայաստանի Հանրապետության կառավարության աշխատակազմի ղեկավար-նախարար |
Մ. Թոփուզյան |
|
| |
|
| |
Հայաստանի Հանրապետության կառավարության աշխատակազմի ղեկավար-նախարար |
Մ. Թոփուզյան |