ՀԱՅԱՍՏԱՆԻ ՀԱՆՐԱՊԵՏՈՒԹՅՈՒՆ
ՎՃՌԱԲԵԿ ԴԱՏԱՐԱՆ
ՀՀ վերաքննիչ քաղաքացիական Սնանկության գործ թիվ ՇԴ1/0041/04/15 Դատավորներ՝ Ա. Սմբատյան
դատարանի որոշում
Սնանկության գործ թիվ ՇԴ1/0041/04/15
Նախագահող դատավոր՝ Հ. Ենոքյան
Ս. Միքայելյան
Ո Ր Ո Շ ՈՒ Մ
ՀԱՅԱՍՏԱՆԻ ՀԱՆՐԱՊԵՏՈՒԹՅԱՆ ԱՆՈՒՆԻՑ
Հայաստանի Հանրապետության վճռաբեկ դատարանի քաղաքացիական և վարչական պալատը
(այսուհետ` Վճռաբեկ դատարան) հետևյալ կազմով`
|
նախագահող |
Ռ. Հակոբյան | |
|
զեկուցող |
Վ. Ավանեսյան | |
|
Ս. ԱՆՏՈՆՅԱՆ | ||
|
Ա. Բարսեղյան | ||
|
Մ. Դրմեյան | ||
|
Գ. Հակոբյան | ||
|
Ե. Խունդկարյան | ||
|
Տ. Պետրոսյան | ||
|
Է. Սեդրակյան | ||
|
Ն. Տավարացյան |
2018 թվականի նոյեմբերի 12-ին
գրավոր ընթացակարգով քննելով ըստ ՀՀ ֆինանսների նախարարության (այսուհետ` Նախարարություն) դիմումի ընդդեմ «Ախուրյանի շինանյութեր» ԲԲԸ-ի (այսուհետ` Ընկերություն)՝ սնանկ ճանաչելու պահանջի մասին, սնանկության գործով ՀՀ վերաքննիչ քաղաքացիական դատարանի 21.12.2017 թվականի որոշման դեմ ՀՀ կառավարությանն առընթեր պետական եկամուտների կոմիտեի (այսուհետ` Կոմիտե) վճռաբեկ բողոքը,
Պ Ա Ր Զ Ե Ց
1. Գործի դատավարական նախապատմությունը
Դիմելով դատարան` Նախարարությունը պահանջել է Ընկերությանը ճանաչել սնանկ:
ՀՀ Շիրակի մարզի ընդհանուր իրավասության դատարանի 01.02.2016 թվականի վճռով դիմումը բավարարվել է:
ՀՀ Շիրակի մարզի ընդհանուր իրավասության դատարանի 04.04.2016 թվականի որոշմամբ հաստատվել է պահանջների վերջնական ցուցակը:
ՀՀ Շիրակի մարզի ընդհանուր իրավասության դատարանը 10.05.2016 թվականի որոշմամբ որոշել է Նախարարությանը փոխարինել նրա իրավահաջորդով՝ Կոմիտեով:
ՀՀ Շիրակի մարզի ընդհանուր իրավասության դատարանը (դատավոր՝ Ա. Խաչատրյան) (այսուհետ` Դատարան) 30.05.2017 թվականին որոշում է կայացրել կառավարչի ներկայացրած միջանկյալ բաշխման ծրագիրն անփոփոխ թողնելու մասին:
ՀՀ վերաքննիչ քաղաքացիական դատարանի (այսուհետ` Վերաքննիչ դատարան) 21.12.2017 թվականի որոշմամբ Կոմիտեի վերաքննիչ բողոքը մերժվել է, և Դատարանի 30.05.2017 թվականի որոշումը թողնվել է օրինական ուժի մեջ:
Սույն գործով վճռաբեկ բողոք է ներկայացրել Կոմիտեն:
Վճռաբեկ բողոքի պատասխան չի ներկայացվել:
2. Վճռաբեկ բողոքի հիմքերը, հիմնավորումները և պահանջը
Սույն վճռաբեկ բողոքը քննվում է հետևյալ հիմքի սահմաններում ներքոհիշյալ հիմնավորումներով.
Վերաքննիչ դատարանը խախտել է «Սնանկության մասին» ՀՀ օրենքի 30-րդ, 80-րդ և 82-րդ հոդվածները:
Բողոք բերած անձը նշված պնդումը պատճառաբանել է հետևյալ փաստարկներով.
Վերաքննիչ դատարանն անտեսել է, որ կառավարչի վարձատրությունը հաշվարկվում է պարտատերերի բավարարված պահանջների չափից ելնելով, և վարձատրության բազան ոչ թե գույքի իրացումից ստացված ամբողջ գումարն է, այլ դրա` պարտատերերի պահանջների բավարարմանն ուղղված մասը, որի դեպքում կառավարչի վարձատրության չափը չի կարող գերազանցել պարտատերերի պահանջների բավարարմանն ուղղվող գումարի 10 տոկոսը: Մինչդեռ տվյալ դեպքում պարտապանի գույքի իրացումից ստացված գումարը կազմել է 4.316.213 ՀՀ դրամ, պարտատերերի պահանջների բավարարման ենթակա չափը` 1.724.906 ՀՀ դրամ, իսկ կառավարչի վարձատրությունը սահմանվել է 392.383 ՀՀ դրամի չափով, որն ակնհայտորեն գերազանցում է ապահովված պարտատիրոջ պահանջի բավարարմանն ուղղվող գումարի 10 տոկոսը:
Վերաքննիչ դատարանը հաշվի չի առել, որ կառավարչի վարձատրության չափի հարցը կարգավորվում է միայն «Սնանկության մասին» ՀՀ օրենքի 30-րդ հոդվածով, մինչդեռ Վերաքննիչ դատարանը, սխալ մեկնաբանելով «Սնանկության մասին» ՀՀ օրենքի 80-րդ և 82-րդ հոդվածների դրույթները, հանգել է ոչ իրավաչափ հետևության:
Վերաքննիչ դատարանն անտեսել է նաև, որ կառավարիչը հավաքագրված գումարների բաշխման դեպքում չի կարող դիտվել որպես պարտատեր և օգտվել վերջինիս համար սահմանված իրավունքներից:
Վերոգրյալի հիման վրա բողոք բերած անձը պահանջել է բեկանել Վերաքննիչ դատարանի 21.12.2017 թվականի որոշումը և գործն ուղարկել նոր քննության:
3. Վճռաբեկ բողոքի քննության համար նշանակություն ունեցող փաստերը
Վճռաբեկ բողոքի քննության համար էական նշանակություն ունեն հետևյալ փաստերը`
1) ՀՀ Շիրակի մարզի ընդհանուր իրավասության դատարանի 22.02.2016 թվականի որոշմամբ Արտակ Հարությունյանը նշանակվել է Ընկերության սնանկության գործով կառավարիչ (հավելվածի հատոր 1-ին, գ.թ. 39-40).
2) ՀՀ Շիրակի մարզի ընդհանուր իրավասության դատարանի 04.04.2016 թվականի որոշմամբ հաստատվել է պահանջների վերջնական ցուցակը` ըստ հետևյալ առաջնահերթության և ապահովվածության (հավելվածի հատոր 1-ին, գ.թ. 41-42)`
1. Հենրիկ Հովհաննիսյան - 774.000 ՀՀ դրամ - չապահովված
2. Մարինե Կյուրեղյան - 569.000 ՀՀ դրամ - չապահովված
3. Աղավնի Ղազարյան - 559.000 ՀՀ դրամ - չապահովված
4. Սուրիկ Բարսեղյան - 269.000 ՀՀ դրամ - չապահովված
5. Վառլամ Պապիկյան - 212.996 ՀՀ դրամ - չապահովված
6. Սուսաննա Երիցյան - 151.000 ՀՀ դրամ - չապահովված
7. ՀՀ պետական բյուջե - 500.000 ՀՀ դրամ - չապահովված
8. Նախարարություն - 24.090.874 ՀՀ դրամ - չապահովված
9. ՀՀ Շիրակի մարզի
Ազատան համայնք - 447.400 ՀՀ դրամ - չապահովված
10. «Հայաստանի Կենտրոնական
Դեպոզիտարիա» ԲԲԸ - 239.910 ՀՀ դրամ - չապահովված
11. Վառլամ Պապիկյան - 602.500 ՀՀ դրամ - չապահովված
3) սնանկության գործով կառավարիչ Արտակ Հարությունյանը Դատարան է ներկայացրել իր կողմից հաստատված հետևյալ բովանդակությամբ միջանկյալ բաշխման ծրագիրը`
Կառավարչի վարձատրություն – 392.383 ՀՀ դրամ,
Վարչական ծախսեր – 136.500 ՀՀ դրամ,
Վարչական աշխատողի աշխատավարձ – 1.080.000 ՀՀ դրամ, պահումներով` 816.480 ՀՀ դրամ,
Պարտապանի գույքի օտարման հետ կապված ընթացիկ անուղղակի հարկային պարտավորություններ – 982.424 ՀՀ դրամ,
Չապահովված պարտատերերի պահանջներ – ընդհանուր 1.724.906 ՀՀ դրամ:
Բաշխման ներկայացված ընդհանուր գումարը կազմել է 4.316.213 ՀՀ դրամ (հավելվածի հատոր 3-րդ, գ.թ. 16-17):
4. Վճռաբեկ դատարանի պատճառաբանությունները և եզրահանգումները
Վճռաբեկ դատարանն արձանագրում է, որ սույն վճռաբեկ բողոքը վարույթ ընդունելը պայմանավորված է ՀՀ քաղաքացիական դատավարության 1998 թվականի հունիսի 17-ի օրենսգրքի (այսուհետ` Նախկին օրենսգիրք) 234-րդ հոդվածի 1-ին մասի 1-ին կետով նախատեսված հիմքի առկայությամբ, այն է՝ բողոքում բարձրացված հարցի վերաբերյալ վճռաբեկ դատարանի որոշումը կարող է էական նշանակություն ունենալ օրենքի միատեսակ կիրառության ապահովման համար, և գտնում է, որ տվյալ դեպքում Վճռաբեկ դատարանի արտահայտած իրավական դիրքորոշումները` պարտապանի գույքի իրացումից ստացված միջոցները բաշխելու վերաբերյալ, կարևոր նշանակություն կունենան նմանատիպ գործերով միասնական և կանխատեսելի դատական պրակտիկա ձևավորելու համար: Միաժամանակ Վճռաբեկ դատարանն արձանագրում է, որ սույն վճռաբեկ բողոքը վարույթ ընդունելը պայմանավորված է նաև Նախկին օրենսգրքի 234-րդ հոդվածի 1-ին մասի 2-րդ կետով նախատեսված հիմքի առկայությամբ, այն է` ստորադաս դատարանի կողմից «Սնանկության մասին» ՀՀ օրենքի 30-րդ, 80-րդ և 82-րդ հոդվածները խախտելու հետևանքով առկա է առերևույթ դատական սխալ, որը կարող էր ազդել գործի ելքի վրա, և որի առկայությունը հիմնավորվում է ստորև ներկայացված պատճառաբանություններով:
Սույն բողոքի քննության շրջանակներում Վճռաբեկ դատարանը, վերահաստատելով նախկինում արտահայտած իրավական դիրքորոշումները, հարկ է համարում անդրադառնալ սնանկության գործով միջանկյալ բաշխման ծրագրով կառավարչի վարձատրության հաշվարկման առանձնահատկություններին:
«Սնանկության մասին» ՀՀ օրենքի 79-րդ հոդվածի համաձայն` պարտապանի գույքի վաճառքից (օտարումից) ստացված (փոխհատուցված) միջոցները փոխանցվում են պարտապանի սնանկության հատուկ հաշվին, իսկ անդորրագրերը հանձնվում են կառավարչին:
«Սնանկության մասին» ՀՀ օրենքի 80-րդ հոդվածի 1-ին մասի համաձայն` պարտապանի գույքի վաճառքից (օտարումից) ստացված (փոխհատուցված) միջոցները բաշխվում են նույն օրենքով սահմանված հերթականությամբ` կառավարչի կողմից հաստատված և պարտատերերի կողմից ընդունված (չառարկված) միջանկյալ բաշխման ծրագրին համապատասխան: Նույն հոդվածի 5-րդ մասի համաձայն՝ եթե պարտատերը (պարտատերերը) բաշխման ծրագրի օրինակն ստանալու կամ հայտարարությունը հրապարակելուց հետո` 7 օրվա ընթացքում, բաշխման ծրագրի վերաբերյալ գրավոր առարկություն է ներկայացնում դատարան, ապա դատավորն առարկությունն ստանալուց հետո` յոթ օրվա ընթացքում, հրավիրում է դատական նիստ, որի տեղի և ժամանակի մասին կառավարչին, պարտապանին և պարտատերերին ծանուցում է իրավաբանական անձանց պետական գրանցման մասին տվյալներ հրապարակող մամուլում` նիստից առնվազն երեք օր առաջ տրվող հայտարարությամբ կամ ծանուցագիր ուղարկելու միջոցով: Նույն հոդվածի 6-րդ մասի համաձայն՝ առարկությունների քննարկման արդյունքում դատարանը որոշում է կայացնում կառավարչի ներկայացրած միջանկյալ բաշխման ծրագիրն անփոփոխ թողնելու, փոփոխելու կամ մերժելու վերաբերյալ:
Միջանկյալ բաշխման ծրագիրը ներկայացնելու ժամանակ գործող խմբագրությամբ «Սնանկության մասին» ՀՀ օրենքի 82-րդ հոդվածի 1-ին մասի համաձայն` պարտատերերի չապահովված պահանջները բավարարվում են հետևյալ հերթականությամբ`
ա) կառավարչի վարձատրությունը և վարչական ծախսերը, այդ թվում`
- գույքի պահպանման և տնօրինման համար անհրաժեշտ ծախսերը (սնանկության դիմումը ներկայացնելու օրվանից մինչև ֆինանսական առողջացման ծրագրի նախագծի հաստատումն ընկած ժամանակահատվածում ֆինանսավորումները),
- վարչական աշխատողների աշխատավարձը, եկամտային հարկի վճարումները և պարտադիր սոցիալական վճարները,
- վարչական ապարատը պահպանելու համար այլ անհրաժեշտ ծախսերը,
- պարտադիր սոցիալական վճարները,
- աշխատավարձի, եկամտային հարկի և պարտադիր սոցիալական վճարների վերաբերյալ փաստաթղթերի արխիվացման ծախսերը (...).
ե) պարտապանին սնանկ ճանաչելու մասին դատարանի վճիռն օրինական ուժի մեջ մտնելուց հետո պարտապանի գույքի օտարման հետ կապված ընթացիկ անուղղակի հարկային պարտավորությունները.
զ) չապահովված պահանջները, որոնք առաջացել են պարտապանին սնանկ ճանաչելու մասին վճիռն օրինական ուժի մեջ մտնելու պահից` նույն օրենքով սահմանված կարգով իրականացված գործառնությունների (այդ թվում` գործունեության վերսկսման) հետևանքով:
«Սնանկության մասին» ՀՀ օրենքի 30-րդ հոդվածի 1-ին մասի համաձայն` կառավարչի վարձատրությունը կատարվում է պարտապանի դրամական միջոցներից, պարտապանի, երրորդ անձանց գույքի վաճառքից (օտարումից) կամ ակտիվների (այդ թվում` դեբիտորական պարտքերի) հավաքագրումից գոյացած միջոցներից, չներառելով գույքի իրացումից ծագող հարկային պարտավորությունների գումարը:
Նույն հոդվածի 3-րդ մասի համաձայն`կառավարչի վարձատրությունը սահմանվում է դատարանի որոշմամբ, պարտատերերի պահանջների բավարարման չափի հետևյալ տոկոսադրույքներով`
ա) մինչև 25 միլիոն դրամ` 10 տոկոս.
բ) 25-50 միլիոն դրամ` 2.500.000 դրամին գումարած 25 միլիոն դրամը գերազանցող գումարի 8 տոկոսը.
գ) 50-75 միլիոն դրամ` 4.500.000 դրամին գումարած 50 միլիոն դրամը գերազանցող գումարի 7 տոկոսը.
դ) 75-100 միլիոն դրամ` 6.250.000 դրամին գումարած 75 միլիոն դրամը գերազանցող գումարի 6 տոկոսը.
ե) 100-500 միլիոն դրամ` 7.750.000 դրամին գումարած 100 միլիոն դրամը գերազանցող գումարի 4 տոկոսը.
զ) 500 միլիոն դրամից ավելին` 23.750.000 դրամին գումարած 500 միլիոն դրամը գերազանցող գումարի 3 տոկոսը:
ՀՀ վճռաբեկ դատարանը, «ՎՏԲ-Հայաստան բանկ» ՓԲԸ-ն ընդդեմ «ՓՐԱՅՄ ԼԻԳԱ ՄԱՐԿԵՏ» ՓԲԸ-ի գործով որոշմամբ անդրադառնալով վերը նշված իրավական նորմերի մեկնաբանությանը, արձանագրել է, որ սնանկության գործով կառավարչի կողմից պարտապանին պատկանող գույքի վաճառք իրականացնելուց հետո դրանից ստացված միջոցները փոխանցվում են պարտապանի սնանկության հատուկ հաշվին, որոնք բաշխվում են նույն օրենքով սահմանված հերթականությամբ` կառավարչի կողմից հաստատված և պարտատերերի կողմից ընդունված (չառարկված) միջանկյալ բաշխման ծրագրին համապատասխան:
Նույն որոշմամբ ՀՀ վճռաբեկ դատարանը նշել է, որ կառավարչի վարձատրությունը կատարվում է պարտապանի դրամական միջոցներից, պարտապանի, երրորդ անձանց գույքի վաճառքից (օտարումից) կամ ակտիվների (այդ թվում` դեբիտորական պարտքերի) հավաքագրումից գոյացած միջոցներից` չներառելով գույքի իրացումից ծագող հարկային պարտավորությունների գումարը: Ընդ որում, վարձատրության չափը սահմանվում է դատարանի որոշմամբ` ելնելով պարտատերերի պահանջների բավարարման չափից որոշակի տոկոսադրույքներով: Այսինքն` տվյալ դեպքում կառավարչի վարձատրության չափն անմիջականորեն կախվածության մեջ է գտնվում միայն պարտատերերի բավարարված պահանջների չափից, և վարձատրության չափը որոշելիս պետք է պարզել, թե որ պարտատերերի պահանջներն են բավարարվել և ինչ չափով:
Միևնույն ժամանակ ՀՀ վճռաբեկ դատարանն արձանագրել է, որ ինչպես սնանկության կառավարիչը` իրեն տրվելիք վարձատրության գումարի մասով, այնպես էլ վարչական ծախսերի հասցեատերերը` դրանց դիմաց իրենց տրվելիք հատուցման մասով, «Սնանկության մասին» ՀՀ օրենքի իմաստով նույն որոշման մեջ նշված պատճառաբանությամբ պարտատերեր (պահանջատերեր) չեն, իսկ սնանկության կառավարչին հասանելիք վարձատրության գումարը և վարչական ծախսերի հասցեատերերին վճարվելիք հատուցումները չեն կարող դիտվել պահանջի բավարարում ու այդ գումարների դիմաց կառավարչին տրվել վարձատրություն:
Դրանից ելնելով` ՀՀ վճռաբեկ դատարանը փաստել է, որ կառավարչի վարձատրության չափը պետք է որոշվի հետևյալ կերպ.
Նկատի ունենալով այն, որ ի սկզբանե կառավարչին հայտնի են միայն պարտապանի դրամական միջոցների, պարտապանի և երրորդ անձանց գույքի վաճառքից կամ ակտիվների հավաքագրումից ստացված միջոցների գումարը և վարչական ծախսերի չափը, ապա այդ միջոցներից պետք է հանել համապատասխան վարչական ծախսերը: Դրանից հետո ստացված գումարի մի մասը պետք է ուղղվի պարտատիրոջ պահանջների բավարարմանը և կառավարչի վարձատրությանը:
Նույն որոշմամբ ՀՀ վճռաբեկ դատարանը եկել է հետևության, որ «Սնանկության մասին» ՀՀ օրենքի 30-րդ հոդվածի 3-րդ մասի «ա» կետի դեպքում հաշվարկը պետք է կատարել հետևյալ բանաձևով ՝
ՄՀ = ՎԾ+ՊԳ+ԿՎ
Որտեղ «ՄՀ»-ն պարտապանի դրամական միջոցների, պարտապանի և երրորդ անձանց գույքի վաճառքից կամ ակտիվների հավաքագրումից ստացված միջոցների հանրագումարն է,
«ՎԾ»-ն` համապատասխան վարչական ծախսերը,
«ՊԳ»-ն` պարտատերերի պահանջների բավարարմանն ուղղվելիք գումարի չափը,
«ԿՎ»-ն` կառավարչի վարձատրության չափը, որի բանաձևն է`
ԿՎ=ՊԳ × 10%
Կառավարչի վարձատրությունը պետք է որոշվի պարտատիրոջ պահանջների բավարարման չափից համապատասխան տոկոսադրույքի չափով: Նկատի ունենալով, որ ի սկզբանե այդ գումարն անհայտ է, որոշակի բարդություն կարող են ներկայացնել այն դեպքերը, երբ ստացված միջոցները կազմում են այնպիսի գումար, երբ առերևույթ, առանց հաշվարկի հնարավոր չէ պարզել, թե «Սնանկության մասին» ՀՀ օրենքի 30-րդ հոդվածի 3-րդ մասով սահմանված որ կետն է գործելու:
Այս դեպքի համար ՀՀ վճռաբեկ դատարանը փաստել է, որ օրենսդիրն արդեն իսկ կատարել է այդ հաշվարկը: Հիմք ընդունելով վերոնշյալ հոդվածի կարգավորումը՝ ՀՀ վճռաբեկ դատարանն արձանագրել է, որ.
1) եթե «ՄՀ-ՎԾ»-ն փոքր է 27.500.000 ՀՀ դրամից (25.000.000+2.500.000), ապա կիրառվում է «Սնանկության մասին» ՀՀ օրենքի 30-րդ հոդվածի 3-րդ մասի «ա» կետի հաշվարկը,
2) եթե «ՄՀ-ՎԾ»-ն մեծ է 27.500.000 ՀՀ դրամից կամ հավասար է դրան և միաժամանակ փոքր է 54.500.000 ՀՀ դրամից (50.000.000+4.500.000), ապա կիրառվում է «Սնանկության մասին» ՀՀ օրենքի 30-րդ հոդվածի 3-րդ մասի «բ» կետի հաշվարկը,
3) եթե «ՄՀ-ՎԾ»-ն մեծ է 54.500.000 ՀՀ դրամից կամ հավասար է դրան և միաժամանակ փոքր է 81.250.000 ՀՀ դրամից (75.000.000+6.250.000), ապա կիրառվում է «Սնանկության մասին» ՀՀ օրենքի 30-րդ հոդվածի 3-րդ մասի «գ» կետի հաշվարկը,
4) եթե «ՄՀ-ՎԾ»-ն մեծ է 81.250.000 ՀՀ դրամից կամ հավասար է դրան և միաժամանակ փոքր է 107.750.000 ՀՀ դրամից (100.000.000+7.750.000), ապա կիրառվում է «Սնանկության մասին» ՀՀ օրենքի 30-րդ հոդվածի 3-րդ մասի «դ» կետի հաշվարկը,
5) եթե «ՄՀ-ՎԾ»-ն մեծ է 107.750.000 ՀՀ դրամից կամ հավասար է դրան և միաժամանակ փոքր է 523.750.000 ՀՀ դրամից (500.000.000+23.750.000), ապա կիրառվում է «Սնանկության մասին» ՀՀ օրենքի 30-րդ հոդվածի 3-րդ մասի «ե» կետի հաշվարկը,
6) եթե «ՄՀ-ՎԾ»-ն մեծ է 523.750.000 ՀՀ դրամից կամ հավասար է դրան, ապա կիրառվում է «Սնանկության մասին» ՀՀ օրենքի 30-րդ հոդվածի 3-րդ մասի «զ» կետի հաշվարկը:
Ընդ որում, «Սնանկության մասին» ՀՀ օրենքի 30-րդ հոդվածի 3-րդ մասի «բ-զ» կետերի դեպքում գործում է նույն սկզբունքը, ինչ նույն մասի «ա» կետի դեպքում, պարզապես ստացված միջոցներից հանվում են նաև օրենքով սահմանված վարձատրության հստակ չափերը (այն է՝ «բ» կետի դեպքում՝ 2.500.000 ՀՀ դրամը, «գ» կետի դեպքում՝ 4.500.000 ՀՀ դրամը և այլն):
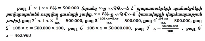
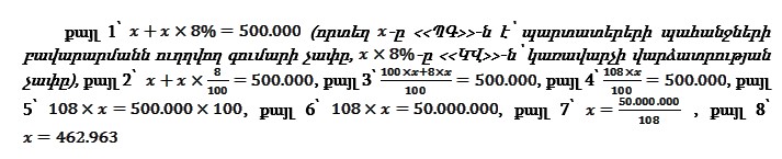
Օրինակ, եթե «ՄՀ-ՎԾ»-ը հավասար է 28.000.000 ՀՀ դրամի, ապա կառավարչի վարձատրությունը հաշվելու համար նախ 28.000.000 ՀՀ դրամից պետք է հանել 2.500.000 ՀՀ դրամը: Ստացված 25.500.000 ՀՀ դրամը գերազանցում է 25.000.000 ՀՀ դրամը 500.000 ՀՀ դրամով: Հետևաբար կառավարչի վարձատրությունը պետք է հաշվվի հետևյալ կերպ.
Այսինքն՝ 500.000 ՀՀ դրամից պարտատերերին ուղղվող գումարի չափը կկազմի 462.963 ՀՀ դրամ, որից 8%-ը՝ 37.037 ՀՀ դրամը, կուղղվի կառավարչի վարձատրությանը: Հետևաբար 28.000.000 ՀՀ դրամ գումարից պարտատերերին կուղղվի 25.462.963 ՀՀ դրամ (25.000.000+462.963), իսկ կառավարչին՝ 2.537.037 ՀՀ դրամ (2.500.000+37.037) (տե՛ս, թիվ ԵԿԴ/0075/04/15 քաղաքացիական գործով ՀՀ վճռաբեկ դատարանի 07.04.2018 թվականի որոշումը):
Վճռաբեկ դատարանի իրավական դիրքորոշումների կիրառումը սույն գործի փաստերի նկատմամբ.
Սույն գործի փաստերի համաձայն` Ընկերությանը պատկանող գույքի վաճառքից ստացված միջոցներից բաշխման է ներկայացվել 4.316.213 ՀՀ դրամը: Սնանկության գործով կառավարիչ Արտակ Հարությունյանը Դատարան է ներկայացրել իր կողմից հաստատված հետևյալ բովանդակությամբ միջանկյալ բաշխման ծրագիրը`
Կառավարչի վարձատրություն – 392.383 ՀՀ դրամ,
Վարչական ծախսեր – 136.500 ՀՀ դրամ,
Վարչական աշխատողի աշխատավարձ – 1.080.000 ՀՀ դրամ, պահումներով` 816.480 ՀՀ դրամ,
Պարտապանի գույքի օտարման հետ կապված ընթացիկ անուղղակի հարկային պարտավորություններ – 982.424 ՀՀ դրամ,
Չապահովված պարտատերերի պահանջներ – ընդհանուր 1.724.906 ՀՀ դրամ:
Դատարանը, քննության առնելով կառավարչի ներկայացրած միջանկյալ բաշխման ծրագրի դեմ Կոմիտեի բերած առարկությունը, 30.05.2017 թվականին որոշում է կայացրել միջանկյալ բաշխման ծրագիրն անփոփոխ թողնելու մասին` պատճառաբանելով նաև, որ պարտապանի գույքի վաճառքից ստացված միջոցների միջանկյալ բաշխման ծրագրում կարող են ընդգրկվել ոչ միայն դատարանի որոշմամբ հաստատված պարտատերերը, այլ նաև օրենքի ուժով չապահովված պարտատեր ճանաչվածները, այդ թվում` կառավարչի վարձատրությունը և վարչական ծախսերը, վարչական աշխատողների աշխատավարձը, եկամտային հարկի վճարումները, պարտադիր սոցիալական վճարները, վարչական ապարատը պահպանելու համար այլ անհրաժեշտ ծախսերը, որի դեպքում կառավարչի վարձատրությունը պետք է հաշվարկվի նշված պահանջների բավարարման չափից ելնելով:
Վերաքննիչ դատարանը, պատճառաբանելով, որ սնանկության գործով կառավարչի վարձատրությունը ենթակա է հաշվարկման` ելնելով պարտատերերի պահանջների բավարարման չափից, անհիմն է համարել բողոք բերող անձի այն փաստարկը, ըստ որի` սնանկության գործով կառավարիչը պետք է վարձատրվեր պարտատերերի փաստացի բավարարված պահանջի չափից, այն է` 1.724.906 ՀՀ դրամի չափից ելնելով: Վերոգրյալի հիման վրա Վերաքննիչ դատարանը Կոմիտեի վերաքննիչ բողոքը մերժել է և Դատարանի 30.05.2017 թվականի որոշումը թողել է օրինական ուժի մեջ:
Վերը շարադրված իրավական դիրքորոշումների լույսի ներքո գնահատելով Վերաքննիչ դատարանի եզրահանգումների հիմնավորվածությունը՝ Վճռաբեկ դատարանն արձանագրում է հետևյալը.
Ինչպես արդեն իսկ վերը նշվեց, Ընկերությանը պատկանող գույքի վաճառքից ստացված միջոցներից բաշխման է ներկայացվել ընդհանուր 4.316.213 ՀՀ դրամ, որից միայն 1.724.906 ՀՀ դրամն է ուղղվել չապահովված պարտատերերի պահանջների բավարարմանը, իսկ որպես սնանկության գործով կառավարչի վարձատրության չափ է նշվել 392.383 ՀՀ դրամը: Այսինքն` տվյալ դեպքում կառավարչի վարձատրության չափն անմիջականորեն կախվածության մեջ չի դրվել այն հանգամանքից, թե ինչ չափով են բավարարվում չապահովված պարտատերերի պահանջները, որպիսի եզրահանգումը պայմանավորված է նրանով, որ կառավարչի վարձատրության չափը կազմում է պարտատերերի բավարարվելիք պահանջների շուրջ 22,74 տոկոսն այն դեպքում, երբ նման հաշվարկը հակասում է «Սնանկության մասին» ՀՀ օրենքի 30-րդ հոդվածի 1-ին մասով սահմանված հաշվարկին:
Դրա հիման վրա Վճռաբեկ դատարանն արձանագրում է, որ սույն գործի փաստերի հաշվառմամբ միջանկյալ բաշխման ծրագիրը պետք է կազմվեր այնպես, որ`
1) առաջին հերթին վճարման ենթակա լինեին վարչական ծախսերը, այդ թվում` գույքի պահպանման և տնօրինման համար անհրաժեշտ ծախսերը (սնանկության դիմումը ներկայացնելու օրվանից մինչև ֆինանսական առողջացման ծրագրի նախագծի հաստատումն ընկած ժամանակահատվածում ֆինանսավորումները), վարչական աշխատողների աշխատավարձը, եկամտային հարկի վճարումները և պարտադիր սոցիալական վճարները,
2) երկրորդ հերթին վճարման ենթակա լինեին պարտապանին սնանկ ճանաչելու մասին դատարանի վճիռն օրինական ուժի մեջ մտնելուց հետո պարտապանի գույքի օտարման հետ կապված ընթացիկ անուղղակի հարկային պարտավորությունները,
3) երրորդ հերթին վճարման ենթակա լիներ կառավարչի վարձատրության գումարը` այն հանգամանքի հաշվառմամբ, թե ինչ չափով են բավարարվելու չապահովված պարտատերերի պահանջները 1-ին և 2-րդ կետերում նշված գումարները վճարելուց հետո՝ հիմք ընդունելով սույն որոշմամբ սահմանված հաշվարկը,
4) չորրորդ հերթին վճարման ենթակա լինեին չապահովված պարտատերերի պահանջները:
Ելնելով վերոգրյալից` Վճռաբեկ դատարանը գտնում է, որ հիմնավոր է բողոք բերած անձի այն փաստարկը, որ Վերաքննիչ դատարանը խախտել է «Սնանկության մասին» ՀՀ օրենքի 30-րդ, 80-րդ և 82-րդ հոդվածները:
Այսպիսով, վճռաբեկ բողոքի ներկայացման և վարույթ ընդունման պահին գործող հիմքի առկայությունը Վճռաբեկ դատարանը դիտում է բավարար՝ Նախկին օրենսգրքի 227-րդ հոդվածի ուժով Վերաքննիչ դատարանի 21.12.2017 թվականի որոշումը բեկանելու և գործը՝ Ընկերության սնանկության գործով կառավարիչ Արտակ Հարությունյանի ներկայացրած միջանկյալ բաշխման ծրագիրը քննարկելու մասով, նոր քննության ուղարկելու համար՝ սույն որոշմամբ արտահայտված դիրքորոշումների լույսի ներքո:
Ելնելով վերոգրյալից և ղեկավարվելով ՀՀ քաղաքացիական դատավարության օրենսգրքի 405-րդ, 406-րդ և 408-րդ հոդվածներով՝ Վճռաբեկ դատարանը
Ո Ր Ո Շ Ե Ց
1. Վճռաբեկ բողոքը բավարարել: Բեկանել ՀՀ վերաքննիչ քաղաքացիական դատարանի 21.12.2017 թվականի որոշումը և գործը՝ «Ախուրյանի շինանյութեր» ԲԲԸ-ի սնանկության գործով կառավարիչ Արտակ Հարությունյանի ներկայացրած միջանկյալ բաշխման ծրագիրը քննարկելու մասով, ուղարկել ՀՀ Շիրակի մարզի ընդհանուր իրավասության դատարան՝ նոր քննության:
(1-ին կետը փոփ. 10.12.18 թիվ ՇԴ1/0041/04/15)
2. Որոշումն օրինական ուժի մեջ է մտնում կայացման պահից, վերջնական է և ենթակա չէ բողոքարկման:
|
Նախագահող` |
Ռ. Հակոբյան | |
|
Զեկուցող` |
Վ. Ավանեսյան | |
|
Ս. ԱՆՏՈՆՅԱՆ | ||
|
Ա. Բարսեղյան | ||
|
Մ. Դրմեյան | ||
|
Գ. Հակոբյան | ||
|
Ե. Խունդկարյան | ||
|
Տ. Պետրոսյան | ||
|
Է. Սեդրակյան | ||
|
Ն. Տավարացյան |