ԵՎՐԱՍԻԱԿԱՆ ՏՆՏԵՍԱԿԱՆ ՀԱՆՁՆԱԺՈՂՈՎ
ԿՈԼԵԳԻԱ
Ո Ր Ո Շ ՈՒ Մ
|
30 օգոստոսի 2016 թվականի |
թիվ 93 |
քաղ. Մոսկվա |
«ԳՐԱՆՑՄԱՆ ՆՊԱՏԱԿՈՎ ԲԺՇԿԱԿԱՆ ԱՐՏԱԴՐԱՏԵՍԱԿՆԵՐԻ ՀԵՏԱԶՈՏՈՒԹՅՈՒՆՆԵՐԻ (ՓՈՐՁԱՐԿՈՒՄՆԵՐԻ) ԱՆՑԿԱՑՈՒՄՆ ԻՐԱԿԱՆԱՑՆՈՂ՝ ԵՎՐԱՍԻԱԿԱՆ ՏՆՏԵՍԱԿԱՆ ՄԻՈՒԹՅԱՆ ԼԻԱԶՈՐՎԱԾ ԿԱԶՄԱԿԵՐՊՈՒԹՅՈՒՆՆԵՐԻ ՄԻԱՍՆԱԿԱՆ ՌԵԵՍՏՐԻ ՁԵՎԱՎՈՐՈՒՄ, ՎԱՐՈՒՄ ԵՎ ՕԳՏԱԳՈՐԾՈՒՄ» ԸՆԴՀԱՆՈՒՐ ԳՈՐԾԸՆԹԱՑՆ ԱՐՏԱՔԻՆ ԵՎ ՓՈԽԱԴԱՐՁ ԱՌԵՎՏՐԻ ԻՆՏԵԳՐՎԱԾ ՏԵՂԵԿԱՏՎԱԿԱՆ ՀԱՄԱԿԱՐԳԻ ՄԻՋՈՑՆԵՐՈՎ ԻՐԱԳՈՐԾԵԼԻՍ ՏԵՂԵԿԱՏՎԱԿԱՆ ՓՈԽԳՈՐԾԱԿՑՈՒԹՅՈՒՆԸ ԿԱՆՈՆԱԿԱՐԳՈՂ ՏԵԽՆՈԼՈԳԻԱԿԱՆ ՓԱՍՏԱԹՂԹԵՐԻ ՄԱՍԻՆ
«Եվրասիական տնտեսական միության շրջանակներում տեղեկատվական հաղորդակցական տեխնոլոգիաների և տեղեկատվական փոխգործակցության մասին» արձանագրության («Եվրասիական տնտեսական միության մասին» 2014 թվականի մայիսի 29-ի պայմանագրի թիվ 3 հավելված) 30-րդ կետին համապատասխան և ղեկավարվելով Եվրասիական տնտեսական հանձնաժողովի կոլեգիայի 2014 թվականի նոյեմբերի 6–ի թիվ 200 որոշմամբ՝ Եվրասիական տնտեսական հանձնաժողովի կոլեգիան որոշեց.
1. Հաստատել կից ներկայացվող՝
«Գրանցման նպատակով բժշկական արտադրատեսակների հետազոտությունների (փորձարկումների) անցկացումն իրականացնող՝ Եվրասիական տնտեսական միության լիազորված կազմակերպությունների միասնական ռեեստրի ձևավորում, վարում և օգտագործում» ընդհանուր գործընթացն արտաքին և փոխադարձ առևտրի ինտեգրված տեղեկատվական համակարգի միջոցներով իրագործելիս տեղեկատվական փոխգործակցության կանոնները.
«Գրանցման նպատակով բժշկական արտադրատեսակների հետազոտությունների (փորձարկումների) անցկացումն իրականացնող՝ Եվրասիական տնտեսական միության լիազորված կազմակերպությունների միասնական ռեեստրի ձևավորում, վարում և օգտագործում» ընդհանուր գործընթացն արտաքին ու փոխադարձ առևտրի ինտեգրված տեղեկատվական համակարգի միջոցներով իրագործելիս Եվրասիական տնտեսական միության անդամ պետությունների լիազորված մարմինների և Եվրասիական տնտեսական հանձնաժողովի միջև տեղեկատվական փոխգործակցության կանոնակարգը.
«Գրանցման նպատակով բժշկական արտադրատեսակների հետազոտությունների (փորձարկումների) անցկացումն իրականացնող՝ Եվրասիական տնտեսական միության լիազորված կազմակերպությունների միասնական ռեեստրի ձևավորում, վարում և օգտագործում» ընդհանուր գործընթացն արտաքին և փոխադարձ առևտրի ինտեգրված տեղեկատվական համակարգի միջոցներով իրագործելու համար օգտագործվող էլեկտրոնային փաստաթղթերի ու տեղեկությունների ձևաչափերի և կառուցվածքների նկարագրությունը.
«Գրանցման նպատակով բժշկական արտադրատեսակների հետազոտությունների (փորձարկումների) անցկացումն իրականացնող՝ Եվրասիական տնտեսական միության լիազորված կազմակերպությունների միասնական ռեեստրի ձևավորում, վարում և օգտագործում» ընդհանուր գործընթացին միանալու կարգը:
2. Սահմանել, որ սույն Որոշմամբ հաստատված նկարագրությամբ նախատեսված՝ էլեկտրոնային փաստաթղթերի և տեղեկությունների կառուցվածքների տեխնիկական սխեմաների մշակումը և արտաքին ու փոխադարձ առևտրի ինտեգրված տեղեկատվական համակարգում տեղեկատվական փոխգործակցության իրագործման ժամանակ օգտագործվող էլեկտրոնային փաստաթղթերի ու տեղեկությունների կառուցվածքների ռեեստրում դրանց ներառման ապահովումն իրականացվում են Եվրասիական տնտեսական հանձնաժողովի այն դեպարտամենտի կողմից, որի իրավասության մեջ է մտնում Եվրասիական տնտեսական միության ինտեգրված տեղեկատվական համակարգի ստեղծմանն ու զարգացմանն ուղղված աշխատանքների համակարգումը:
3. Սույն Որոշումն ուժի մեջ է մտնում դրա պաշտոնական հրապարակման օրվանից 30 օրացուցային օրը լրանալուց հետո:
|
Եվրասիական տնտեսական հանձնաժողովի կոլեգիայի նախագահ` |
Տ. Սարգսյան |
|
ՀԱՍՏԱՏՎԱԾ ԵՆ Եվրասիական տնտեսական հանձնաժողովի կոլեգիայի 2016 թվականի օգոստոսի 30-ի թիվ 93 որոշմամբ |
ԿԱՆՈՆՆԵՐ
«Գրանցման նպատակով բժշկական արտադրատեսակների հետազոտությունների (փորձարկումների) անցկացումն իրականացնող՝ Եվրասիական տնտեսական միության լիազորված կազմակերպությունների միասնական ռեեստրի ձևավորում, վարում և օգտագործում» ընդհանուր գործընթացն արտաքին և փոխադարձ առևտրի ինտեգրված տեղեկատվական համակարգի միջոցներով իրագործելիս տեղեկատվական փոխգործակցության
I. Ընդհանուր դրույթներ
1. Սույն Կանոնները մշակվել են Եվրասիական տնտեսական միության (այսուհետ՝ Միություն) իրավունքի մաս կազմող հետևյալ ակտերին համապատասխան.
«Եվրասիական տնտեսական միության մասին» 2014 թվականի մայիսի 29-ի պայմանագիր. «Եվրասիական տնտեսական միության շրջանակներում բժշկական արտադրատեսակների (բժշկական նշանակության արտադրատեսակների և բժշկական տեխնիկայի) շրջանառության միասնական սկզբունքների և կանոնների մասին» 2014 թվականի դեկտեմբերի 23-ի համաձայնագիր.
Եվրասիական տնտեսական բարձրագույն խորհրդի 2014 թվականի դեկտեմբերի 23-ի ««Եվրասիական տնտեսական միության շրջանակներում բժշկական արտադրատեսակների (բժշկական նշանակության արտադրատեսակների և բժշկական տեխնիկայի) շրջանառության միասնական սկզբունքների և կանոնների մասին» համաձայնագրի իրագործման վերաբերյալ» թիվ 109 որոշում.
Եվրասիական տնտեսական հանձնաժողովի խորհրդի 2016 թվականի փետրվարի 12-ի «Բժշկական արտադրատեսակների շրջանառության ոլորտում տեղեկատվական համակարգի ձևավորման ու վարման կարգը հաստատելու մասին» թիվ 30 որոշում.
Եվրասիական տնտեսական հանձնաժողովի կոլեգիայի 2014 թվականի նոյեմբերի 6-ի «Ընդհանուր գործընթացներն արտաքին և փոխադարձ առևտրի ինտեգրված տեղեկատվական համակարգի միջոցներով իրագործելիս տեղեկատվական փոխգործակցությունը կանոնակարգող տեխնոլոգիական փաստաթղթերի մասին» թիվ 200 որոշում.
Եվրասիական տնտեսական հանձնաժողովի կոլեգիայի 2015 թվականի հունվարի 27-ի «Արտաքին ու փոխադարձ առևտրի ինտեգրված տեղեկատվական համակարգում տվյալների էլեկտրոնային փոխանակման կանոնները հաստատելու մասին» թիվ 5 որոշում.
Եվրասիական տնտեսական հանձնաժողովի կոլեգիայի 2015 թվականի ապրիլի 14-ի «Եվրասիական տնտեսական միության շրջանակներում ընդհանուր գործընթացների ցանկի և Եվրասիական տնտեսական հանձնաժողովի կոլեգիայի 2014 թվականի օգոստոսի 19-ի թիվ 132 որոշման մեջ փոփոխություն կատարելու մասին» թիվ 29 որոշում.
Եվրասիական տնտեսական հանձնաժողովի կոլեգիայի 2015 թվականի հունիսի 9-ի «Եվրասիական տնտեսական միության շրջանակներում ընդհանուր գործընթացների վերլուծության, օպտիմալացման, ներդաշնակեցման և նկարագրության մեթոդիկայի մասին» թիվ 63 որոշում։
II. Կիրառման ոլորտը
2. Սույն Կանոնները մշակվել են «Գրանցման նպատակով բժշկական արտադրատեսակների հետազոտությունների (փորձարկումների) անցկացումն իրականացնող՝ Եվրասիական տնտեսական միության լիազորված կազմակերպությունների միասնական ռեեստրի ձևավորում, վարում և օգտագործում» ընդհանուր գործընթացի (այսուհետ՝ ընդհանուր գործընթաց) մասնակիցների միջև տեղեկատվական փոխգործակցության կարգն ու պայմանները, այդ թվում՝ այդ ընդհանուր գործընթացի շրջանակներում կատարվող ընթացակարգերի նկարագրությունը սահմանելու նպատակներով։
3. Սույն Կանոնները կիրառվում են ընդհանուր գործընթացի մասնակիցների կողմից ընդհանուր գործընթացի շրջանակներում ընթացակարգերի և գործառնությունների կատարման կարգը վերահսկելիս, ինչպես նաև ընդհանուր գործընթացի իրագործումն ապահովող տեղեկատվական համակարգերի բաղադրիչները նախագծելիս, մշակելիս և լրամշակելիս։
III. Հիմնական հասկացությունները
4. Սույն Կանոնների նպատակներով օգտագործվում են հասկացություններ, որոնք ունեն հետևյալ իմաստը՝
«ավտորիզացում»՝ ընդհանուր գործընթացի մասնակցին որոշակի գործողությունների կատարման իրավունքների տրամադրում.
«միասնական ռեեստր»՝ գրանցման նպատակով բժշկական արտադրատեսակների հետազոտությունների (փորձարկումների) անցկացումն իրականացնող՝ Միության լիազորված կազմակերպությունների միասնական ռեեստր, որի ձևավորումն ու վարումն իրականացվում են Եվրասիական տնտեսական հանձնաժողովի կողմից.
«լիազորված կազմակերպություն»՝ հաստատություն, կազմակերպություն կամ ձեռնարկություն (այդ թվում՝ բժշկական հաստատություն կամ կազմակերպություն), որն իրականացնում է բժշկական արտադրատեսակների հետազոտություններ (փորձարկումներ)՝ դրանց գրանցման նպատակով:
Սույն Կանոններում կիրառվող «ընդհանուր գործընթացի ընթացակարգերի խումբ», «ընդհանուր գործընթացի տեղեկատվական օբյեկտ», «կատարող», «ընդհանուր գործընթացի գործառնություն», «ընդհանուր գործընթացի ընթացակարգ» և «ընդհանուր գործընթացի մասնակից» հասկացություններն օգտագործվում են Եվրասիական տնտեսական հանձնաժողովի կոլեգիայի 2015 թվականի հունիսի 9–ի թիվ 63 որոշմամբ հաստատված՝ Եվրասիական տնտեսական միության շրջանակներում Ընդհանուր գործընթացների վերլուծության, օպտիմալացման, ներդաշնակեցման և նկարագրման մեթոդիկայով սահմանված իմաստներով։
IV. Հիմնական տեղեկություններ ընդհանուր գործընթացի վերաբերյալ
5. Ընդհանուր գործընթացի լրիվ անվանումը՝ «Գրանցման նպատակով բժշկական արտադրատեսակների հետազոտությունների (փորձարկումների) անցկացումն իրականացնող՝ Եվրասիական տնտեսական միության լիազորված կազմակերպությունների միասնական ռեեստրի ձևավորում, վարում և օգտագործում»:
6. Ընդհանուր գործընթացի ծածկագրային նշագիրը՝ P.MM.07, տարբերակ 1.0.0.
1. Ընդհանուր գործընթացի նպատակը և խնդիրները
7. Ընդհանուր գործընթացի նպատակն է ստեղծել նախապայմաններ գրանցման նպատակով բժշկական արտադրատեսակների հետազոտությունների (փորձարկումների) անցկացումն իրականացնող՝ Միության լիազորված կազմակերպությունների վերաբերյալ տեղեկատվության փոխանակման հետ կապված ծախքերի նվազեցման համար՝ բժշկական արտադրատեսակների շրջանառության ոլորտում ընդհանուր տեղեկատվական տարածության ստեղծման հաշվին:
8. Ընդհանուր գործընթացի նպատակին հասնելու համար անհրաժեշտ է լուծել հետևյալ խնդիրները՝
ա) արտաքին և փոխադարձ առևտրի ինտեգրված տեղեկատվական համակարգի (այսուհետ՝ ինտեգրված համակարգ) շրջանակներում ստեղծել գրանցման նպատակով բժշկական արտադրատեսակների հետազոտությունների (փորձարկումների) անցկացումն իրականացնող լիազորված կազմակերպությունների վերաբերյալ տեղեկություններ պարունակող տեղեկատվական ռեսուրս.
բ) ապահովել Միության անդամ պետությունների (այսուհետ՝ անդամ պետություններ) լիազորված մարմինների կողմից ինտեգրված համակարգի միջոցներով միասնական ռեեստրից՝ էլեկտրոնային տեսքով և ավտոմատացված ռեժիմով տեղեկություններ ստանալու հնարավորությունը.
գ) ապահովել շահագրգիռ անձանց և Եվրասիական տնտեսական հանձնաժողովի (այսուհետ՝ Հանձնաժողով) աշխատակիցների կողմից, Միության տեղեկատվական պորտալի օգտագործմամբ, միասնական ռեեստրից արդիական, ամբողջական և հավաստի տեղեկություններ ստանալու հնարավորությունը.
դ) ապահովել միասնական դասակարգիչների և տեղեկատուների օգտագործումն անդամ պետությունների լիազորված մարմինների կողմից:
2. Ընդհանուր գործընթացի մասնակիցները
9. Ընդհանուր գործընթացի մասնակիցների ցանկը բերված է 1-ին աղյուսակում:
Աղյուսակ 1
Ընդհանուր գործընթացի մասնակիցների ցանկ
|
Ծածկագրային նշագիրը |
Անվանումը |
Նկարագրությունը |
|
1 |
2 |
3 |
|
P.ACT.001 |
Հանձնաժողով |
Միության մարմին, որն ապահովում է միասնական ռեեստրի ձևավորումն ու վարումը. տրամադրում է հասանելիություն միասնական ռեեստրում ներառված տեղեկություններին։ |
|
P.MM.07.ACT.001 |
անդամ պետության լիազորված մարմին |
անդամ պետության մարմին, որը Հանձնաժողով է ներկայացնում տեղեկություններ միասնական ռեեստրը թարմացնելու համար և ավտոմատացված ռեժիմով ինտեգրված համակարգի միջոցով տեղեկություններ է պահանջում միասնական ռեեստրից |
|
P.MM.07.ACT.002 |
շահագրգիռ անձ |
միասնական ռեեստրից տեղեկատվության հարցում կատարող անձ |
3. Ընդհանուր գործընթացի կառուցվածքը
10. Ընդհանուր գործընթացն ըստ իրենց նշանակության խմբավորված՝ ընթացակարգերի ամբողջություն է՝
ա) միասնական ռեեստրի ձևավորման և վարման ընթացակարգեր.
բ) միասնական ռեեստրից տեղեկությունների ներկայացման ընթացակարգեր:
11. Ընդհանուր գործընթացի ընթացակարգերը կատարելիս անդամ պետությունների լիազորված մարմիններն ապահովում են լիազորված կազմակերպությունների վերաբերյալ տեղեկությունների ներկայացումը Հանձնաժողով: Ստացված տեղեկությունների հիման վրա Հանձնաժողովը փոփոխություններ է կատարում միասնական ռեեստրում և հրապարակում այն Միության տեղեկատվական պորտալում: Անդամ պետության լիազորված մարմնի և Հանձնաժողովի միջև տեղեկատվական փոխգործակցությունն իրականացվում է ինտեգրված համակարգի ինտեգրացիոն հարթակի օգտագործմամբ: Միասնական ռեեստրում պարունակվող տեղեկատվության հասանելիությունը շահագրգիռ անձանց համար իրականացվում է Միության տեղեկատվական պորտալի օգտագործմամբ:
Նշված տեղեկությունները ներկայացվում են Եվրասիական տնտեսական հանձնաժողովի կոլեգիայի 2016 թվականի օգոստոսի 30–ի թիվ 93 որոշմամբ հաստատված՝ «Գրանցման նպատակով բժշկական արտադրատեսակների հետազոտությունների (փորձարկումների) անցկացումն իրականացնող՝ Եվրասիական տնտեսական միության լիազորված կազմակերպությունների միասնական ռեեստրի ձևավորում, վարում և օգտագործում» ընդհանուր գործընթացն արտաքին և փոխադարձ առևտրի ինտեգրված տեղեկատվական համակարգի միջոցներով իրագործելիս Եվրասիական տնտեսական միության անդամ պետությունների լիազորված մարմինների և Եվրասիական տնտեսական հանձնաժողովի միջև տեղեկատվական փոխգործակցության կանոնակարգին (այսուհետ՝ Տեղեկատվական փոխգործակցության կանոնակարգ) համապատասխան։
Ներկայացվող տեղեկությունների ձևաչափը և կառուցվածքը պետք է համապատասխանեն Եվրասիական տնտեսական հանձնաժողովի կոլեգիայի 2016 թվականի օգոստոսի 30–ի թիվ 93 որոշմամբ հաստատված՝ «Գրանցման նպատակով բժշկական արտադրատեսակների հետազոտությունների (փորձարկումների) անցկացումն իրականացնող՝ Եվրասիական տնտեսական միության լիազորված կազմակերպությունների միասնական ռեեստրի ձևավորում, վարում և օգտագործում» ընդհանուր գործընթացն արտաքին և փոխադարձ առևտրի ինտեգրված տեղեկատվական համակարգի միջոցներով իրագործելու համար օգտագործվող Էլեկտրոնային փաստաթղթերի և տեղեկությունների ձևաչափերի ու կառուցվածքների նկարագրությանը (այսուհետ՝ Էլեկտրոնային փաստաթղթերի և տեղեկությունների ձևաչափերի ու կառուցվածքների նկարագրություն)։
12. Ընդհանուր գործընթացի կառուցվածքի բերված նկարագրությունը ներկայացված է 1-ին նկարում։
Նկ. 1. Ընդհանուր գործընթացի կառուցվածքը
13. Ընդհանուր գործընթացի՝ ըստ իրենց նշանակության խմբավորված ընթացակարգերի կատարման կարգը՝ ներառյալ գործառնությունների մանրամասնած նկարագրությունը, բերված է սույն Կանոնների VIII բաժնում։
14. Ընթացակարգերի յուրաքանչյուր խմբի համար բերվում է ընդհանուր գործընթացի ընթացակարգերի միջև առկա կապերը և դրանց կատարման կարգն արտացոլող ընդհանուր սխեման։ Ընթացակարգերի ընդհանուր սխեման կառուցված է UML (մոդելավորման միասնականացված լեզու՝ Unified Modeling Language) գրաֆիկական նոտացիայի օգտագործմամբ և ապահովված է տեքստային նկարագրությամբ։
4. Միասնական ռեեստրի ձևավորման և վարման ընթացակարգերի խումբը
15. Միասնական ռեեստրի ձևավորման և վարման ընթացակարգերն իրականացվում են անդամ պետությունների միասնական ռեեստրում ներառելու համար լիազորված մարմինների կողմից տեղեկությունները ներկայացնելուն զուգընթաց: Անդամ պետության լիազորված մարմինը ձևակերպում է և ինտեգրված համակարգի օգտագործմամբ Հանձնաժողով է ուղարկում լիազորված կազմակերպությունների վերաբերյալ տեղեկությունների փոփոխման մասին տեղեկատվություն:
Փոփոխությունների տեսակով պայմանավորված՝ կատարվում են ընդհանուր գործընթացի՝ միասնական ռեեստրի ձևավորման և վարման ընթացակարգերի խմբում ներառված հետևյալ ընթացակարգերը՝
«Միասնական ռեեստրում տեղեկությունների ներառում» (P.MM.07.PRC.001).
«Միասնական ռեեստրում պարունակվող տեղեկությունների փոփոխում» (P.MM.07.PRC.002).
«Միասնական ռեեստրից տեղեկությունների հանում» (P.MM.07.PRC.003):
16. Միասնական ռեեստրի ձևավորման և վարման ընթացակարգերի խմբի բերված նկարագրությունը ներկայացված է 2-րդ նկարում։
Նկ. 2. Միասնական ռեեստրի ձևավորման և վարման ընթացակարգերի խմբի ընդհանուր սխեման
17. Միասնական ռեեստրի ձևավորման և վարման ընթացակարգերի խմբում ներառվող՝ ընդհանուր գործընթացի ընթացակարգերի ցանկը բերված է 2-րդ աղյուսակում։
Աղյուսակ 2
Միասնական ռեեստրի ձևավորման և վարման ընթացակարգերի խմբում ներառվող՝ ընդհանուր գործընթացի ընթացակարգերի ցանկը
|
Ծածկագրային նշագիրը |
Անվանումը |
Նկարագրությունը |
|
1 |
2 |
3 |
|
P.MM.07.PRC.001 |
միասնական ռեեստրում տեղեկությունների ներառում |
նախատեսված է լիազորված կազմակերպության վերաբերյալ տեղեկությունները միասնական ռեեստրում ներառելու համար: Ընթացակարգը ներառում է լիազորված կազմակերպության վերաբերյալ տեղեկությունների ներկայացումը Հանձնաժողով, միասնական ռեեստրի թարմացումը և Միության տեղեկատվական պորտալում դրա հրապարակումը: |
|
P.MM.07.PRC.002 |
միասնական ռեեստրում պարունակվող տեղեկությունների փոփոխում |
նախատեսված է միասնական ռեեստրում պարունակվող տեղեկություններում փոփոխություններ կատարելու համար: Ընթացակարգը ներառում է լիազորված կազմակերպության վերաբերյալ փոփոխված տեղեկությունների ներկայացումը Հանձնաժողով, միասնական ռեեստրի թարմացումը և Միության տեղեկատվական պորտալում դրա հրապարակումը: |
|
P.MM.07.PRC.003 |
միասնական ռեեստրից տեղեկությունների հանում |
նախատեսված է լիազորված կազմակերպության վերաբերյալ տեղեկությունները միասնական ռեեստրից հանելու համար: Ընթացակարգը ներառում է միասնական ռեեստրից հանման ենթակա՝ լիազորված կազմակերպության վերաբերյալ տեղեկությունների ներկայացումը Հանձնաժողով, միասնական ռեեստրի թարմացումը և Միության տեղեկատվական պորտալում դրա հրապարակումը: |
5. Միասնական ռեեստրից տեղեկություններ ներկայացնելու ընթացակարգերի խումբը
18. Միասնական ռեեստրից տեղեկություններ ներկայացնելու ընթացակարգերն իրականացվում են անդամ պետությունների լիազորված մարմինների տեղեկատվական համակարգերից հարցումներ ստանալու դեպքում: Ընդ որում, կարող են կատարվել հարցումների հետևյալ տեսակները՝
միասնական ռեեստրի թարմացման ամսաթվի և ժամի վերաբերյալ տեղեկատվության հարցում.
միասնական ռեեստրից տեղեկությունների հարցում.
միասնական ռեեստրից փոփոխված տեղեկությունների հարցում:
Միասնական ռեեստրի թարմացման ամսաթվի և ժամի վերաբերյալ տեղեկատվության հարցումը կատարվում է անդամ պետությունների լիազորված մարմինների տեղեկատվական համակարգերում պահվող՝ միասնական ռեեստրում ներառված՝ լիազորված կազմակերպությունների վերաբերյալ տեղեկությունները միասնական ռեեստրում պարունակվող ու Հանձնաժողովում պահվող տեղեկությունների հետ սինքրոնացնելու անհրաժեշտությունը գնահատելու նպատակներով։
Միասնական ռեեստրից տեղեկությունների հարցումը կատարվում է միասնական ռեեստրում ներառված՝ բոլոր անդամ պետությունների կամ հարցման պայմաններից կախված՝ անդամ պետություններից մեկի լիազորված կազմակերպությունների վերաբերյալ արդիական տեղեկություններն անդամ պետության լիազորված մարմնի կողմից ստանալու նպատակներով: Միասնական ռեեստրից տեղեկությունների հարցումը կատարվում է ինչպես ընթացիկ ամսաթվի, այնպես էլ հարցման մեջ նշված ամսաթվի դրությամբ:
Միասնական ռեեստրից փոփոխված տեղեկությունների հարցումը կատարվում է անդամ պետության լիազորված մարմնի կողմից փոփոխված տեղեկություններն ստանալու նպատակներով: Հարցումը կատարելիս ներկայացվում են տեղեկություններ միասնական ռեեստրից, որոնք ավելացվել կամ փոփոխվել են հարցման մեջ նշված ամսաթվից ու ժամից սկսած՝ մինչև հարցումը կատարելու պահը: Հարցման պայմաններից կախված՝ ներկայացվում են տեղեկություններ միասնական ռեեստրում ներառված՝ բոլոր անդամ պետությունների կամ անդամ պետություններից մեկի լիազորված կազմակերպությունների վերաբերյալ: Նշված հարցումն օգտագործվում է ազգային տեղեկատվական ռեսուրս տեղեկությունների սկզբնական բեռնման ժամանակ, օրինակ՝ ընդհանուր գործընթացն սկսելիս, նոր անդամ պետությանը դրանում ընդգրկելիս, խափանումից հետո տեղեկատվությունը վերականգնելիս:
Հարցման տեսակից կախված՝ կատարվում է միասնական ռեեստրից տեղեկություններ ներկայացնելու ընթացակարգերի խմբում ներառված հետևյալ ընթացակարգերից որևէ մեկը՝
«Միասնական ռեեստրի թարմացման ամսաթվի և ժամի վերաբերյալ տեղեկատվության ստացում» (P.MM.07.PRC.004).
«Միասնական ռեեստրից տեղեկությունների ստացում» (P.MM.07.PRC.005).
«Միասնական ռեեստրից փոփոխված տեղեկությունների ստացում» (P.MM.07.PRC.006):
Նշված ընթացակարգերը կարող են կատարվել հաջորդաբար կամ յուրաքանչյուր ընթացակարգ կարող է կատարվել մյուսներից առանձին՝ կախված հարցման նպատակներից:
19. Միասնական ռեեստրից տեղեկություններ ներկայացնելու ընթացակարգերի խմբի բերված նկարագրությունը ներկայացված է 3-րդ նկարում։
Նկ. 3. Միասնական ռեեստրից տեղեկություններ ներկայացնելու ընթացակարգերի խմբի ընդհանուր սխեման
20. Միասնական ռեեստրից տեղեկություններ ներկայացնելու ընթացակարգերի խմբում ներառված՝ ընդհանուր գործընթացի ընթացակարգերի ցանկը բերված է 3-րդ աղյուսակում:
Աղյուսակ 3
Միասնական ռեեստրից տեղեկություններ ներկայացնելու ընթացակարգերի խմբում ներառված՝ ընդհանուր գործընթացի ընթացակարգերի ցանկը
|
Ծածկագրային նշագիրը |
Անվանումը |
Նկարագրությունը |
|
1 |
2 |
3 |
|
P.MM.07.PRC.004 |
միասնական ռեեստրի թարմացման ամսաթվի և ժամի վերաբերյալ տեղեկատվության ստացում |
նախատեսված է անդամ պետությունների լիազորված մարմինների տեղեկատվական համակարգերից ստացված հարցումների հիման վրա միասնական ռեեստրի թարմացման ամսաթվի ու ժամի վերաբերյալ՝ ինտեգրված համակարգի միջոցով տեղեկատվություն ներկայացնելու համար |
|
P.MM.07.PRC.005 |
միասնական ռեեստրից տեղեկությունների ստացում |
նախատեսված է անդամ պետությունների լիազորված մարմինների տեղեկատվական համակարգերից ստացված հարցումների հիման վրա՝ ինտեգրված համակարգի միջոցով միասնական ռեեստրից նշված ամսաթվի դրությամբ արդիական տեղեկություններ ներկայացնելու համար |
|
P.MM.07.PRC.006 |
միասնական ռեեստրից փոփոխված տեղեկությունների ստացում |
նախատեսված է անդամ պետությունների լիազորված մարմինների տեղեկատվական համակարգերից ստացված հարցումների հիման վրա՝ ինտեգրված համակարգի միջոցով միասնական ռեեստրից փոփոխված տեղեկություններ ներկայացնելու համար |
V. Ընդհանուր գործընթացի տեղեկատվական օբյեկտները
21. Տեղեկատվական այն օբյեկտների ցանկը, որոնց վերաբերյալ կամ որոնցից տեղեկությունները փոխանցվում են ընդհանուր գործընթացի մասնակիցների միջև փոխգործակցության ընթացքում, բերված է 4-րդ աղյուսակում:
Աղյուսակ 4
Տեղեկատվական օբյեկտների ցանկը
|
Ծածկագրային նշագիրը |
Անվանումը |
Նկարագրությունը |
|
1 |
2 |
3 |
|
P.MM.07.BEN.001 |
միասնական ռեեստր |
տեղեկատվական ռեսուրս, որը պարունակում է տեղեկություններ գրանցման նպատակներով բժշկական արտադրատեսակների հետազոտությունների (փորձարկումների) անցկացումն իրականացնող լիազորված կազմակերպությունների վերաբերյալ և որի ձևավորումն ու վարումն իրականացվում է Հանձնաժողովի կողմից՝ անդամ պետությունների լիազորված մարմինների կողմից տրամադրված տեղեկությունների հիման վրա |
VI. Ընդհանուր գործընթացի մասնակիցների պատասխանատվությունը
22. Տեղեկատվական փոխգործակցությանը մասնակցող Հանձնաժողովի աշխատակիցները և պաշտոնատար անձինք տեղեկությունների ամբողջական ու ժամանակին փոխանցումն ապահովելուն ուղղված պահանջները չկատարելու համար կարգապահական պատասխանատվության են ենթարկվում «Եվրասիական տնտեսական միության մասին» 2014 թվականի մայիսի 29–ի պայմանագրին, Միության իրավունքի մաս կազմող այլ միջազգային պայմանագրերին և ակտերին համապատասխան, իսկ անդամ պետությունների լիազորված մարմինների պաշտոնատար անձինք և աշխատակիցները՝ անդամ պետությունների օրենսդրությանը համապատասխան։
VII. Ընդհանուր գործընթացի տեղեկատուներն ու դասակարգիչները
23. Ընդհանուր գործընթացի տեղեկատուների և դասակարգիչների ցանկը բերված է 5-րդ աղյուսակում:
Աղյուսակ 5
Ընդհանուր գործընթացի տեղեկատուների և դասակարգիչների ցանկը
|
Ծածկագրային նշագիրը |
Անվանումը |
Տեսակը |
Նկարագրությունը |
|
1 |
2 |
3 |
4 |
|
P.CLS.019 |
աշխարհի երկրների դասակարգիչ |
դասակարգիչ |
պարունակում է երկրների անվանումների ցանկը և դրանց ծածկագրերը՝ ISO 3166-1 ստանդարտին համապատասխան |
|
P.CLS.024 |
լեզուների դասակարգիչ |
դասակարգիչ |
պարունակում է լեզուների անվանումների ցանկը և դրանց ծածկագրերը՝ ISO 639-1 ստանդարտին համապատասխան |
|
P.CLS.054 |
կազմակերպաիրավական ձևերի դասակարգիչ |
դասակարգիչ |
պարունակում է կազմակերպաիրավական ձևերի ծածկագրերի և անվանումների ցանկը |
|
P.MM.07.CLS.001 |
բժշկական կազմակերպությունների գործունեության տեսակների դասակարգիչ |
դասակարգիչ |
պարունակում է բժշկական կազմակերպությունների գործունեության տեսակների ցանկը |
VIII. Ընդհանուր գործընթացի ընթացակարգերը
1. Միասնական ռեեստրի ձևավորման և վարման ընթացակարգերը
«Միասնական ռեեստրում տեղեկությունների ներառում» ընթացակարգը
(P.MM.07.PRC.001).
24. «Միասնական ռեեստրում տեղեկությունների ներառում» ընթացակարգի (P.MM.07.PRC.001) կատարման սխեման ներկայացված է 4-րդ նկարում։
Նկ. 4. «Միասնական ռեեստրում տեղեկությունների ներառում» ընթացակարգի (P.MM.07.PRC.001) կատարման սխեման
25. «Միասնական ռեեստրում տեղեկությունների ներառում» ընթացակարգը (P.MM.07.PRC.001) կատարվում է լիազորված կազմակերպության ատեստավորման դեպքում՝ միասնական ռեեստրում ներառելու համար անդամ պետության լիազորված մարմնի կողմից այդ լիազորված կազմակերպության վերաբերյալ տեղեկություններ ներկայացնելու նպատակով:
26. Առաջին հերթին կատարվում է «Միասնական ռեեստրում ներառելու համար տեղեկությունների ներկայացում» գործառնությունը (P.MM.07.OPR.001), որի կատարման արդյունքներով անդամ պետության լիազորված մարմնի կողմից ձևակերպվում և Հանձնաժողով են ներկայացվում տեղեկություններ՝ միասնական ռեեստրում ներառելու համար:
27. Միասնական ռեեստրում ներառելու համար տեղեկությունները Հանձնաժողովի կողմից ստանալու դեպքում կատարվում է «Միասնական ռեեստրում ներառելու համար տեղեկությունների ընդունում և մշակում» գործառնությունը (P.MM.07.OPR.002), որի կատարման արդյունքներով Հանձնաժողովն ստանում է տեղեկություններ, կատարում է դրանց մշակումը և անդամ պետության լիազորված մարմին է ուղարկում ներկայացված տեղեկությունների մշակման արդյունքների մասին ծանուցումը:
28. Տեղեկությունների մշակման արդյունքների մասին ծանուցումն անդամ պետության լիազորված մարմնի կողմից ստանալու դեպքում կատարվում է «Միասնական ռեեստրում ներառելու համար տեղեկությունների մշակման արդյունքների վերաբերյալ ծանուցման ստացում» գործառնությունը (P.MM.07.OPR.003), որի կատարման արդյունքներով տեղեկություններն ուղարկած անդամ պետության լիազորված մարմինն ստանում է տեղեկությունների մշակման արդյունքների վերաբերյալ ծանուցումը:
29. «Միասնական ռեեստրում ներառելու համար տեղեկությունների ընդունում և մշակում» գործառնության (P.MM.07.OPR.002) կատարման դեպքում կատարվում է «Տեղեկությունները ներառելուց հետո միասնական ռեեստրի հրապարակում» գործառնությունը (P.MM.07.OPR.004), որի կատարման արդյունքներով Միության տեղեկատվական պորտալում հրապարակվում է լիազորված կազմակերպության վերաբերյալ ներառված տեղեկություններ պարունակող՝ թարմացված միասնական ռեեստրը:
30. «Միասնական ռեեստրում տեղեկությունների ներառում» ընթացակարգի (P.MM.07.PRC.001) կատարման արդյունքներն են լիազորված կազմակերպության վերաբերյալ տեղեկությունների ներառումը միասնական ռեեստրում և դրա հրապարակումը Միության տեղեկատվական պորտալում:
31. «Միասնական ռեեստրում տեղեկությունների ներառում» ընթացակարգի (P.MM.07.PRC.001) շրջանակներում կատարվող՝ ընդհանուր գործընթացի գործառնությունների ցանկը բերված է 6-րդ աղյուսակում։
Աղյուսակ 6
«Միասնական ռեեստրում տեղեկությունների ներառում» ընթացակարգի (P.MM.07.PRC.001) շրջանակներում կատարվող՝ ընդհանուր գործընթացի գործառնությունների ցանկը
|
Ծածկագրային նշագիրը |
Անվանումը |
Նկարագրությունը |
|
1 |
2 |
3 |
|
P.MM.07.OPR.001 |
միասնական ռեեստրում ներառելու համար տեղեկությունների ներկայացում |
բերված է սույն Կանոնների 7-րդ աղյուսակում |
|
P.MM.07.OPR.002 |
միասնական ռեեստրում ներառելու համար տեղեկությունների ընդունում և մշակում |
բերված է սույն Կանոնների 8-րդ աղյուսակում |
|
P.MM.07.OPR.003 |
միասնական ռեեստրում ներառելու համար տեղեկությունների մշակման արդյունքների մասին ծանուցման ստացում |
բերված է սույն Կանոնների 9-րդ աղյուսակում |
|
P.MM.07.OPR.004 |
տեղեկությունները ներառելուց հետո միասնական ռեեստրի հրապարակում |
բերված է սույն Կանոնների 10-րդ աղյուսակում |
Աղյուսակ 7
«Միասնական ռեեստրում ներառելու համար տեղեկությունների ներկայացում» գործառնության (P.MM.07.OPR.001) նկարագրությունը
|
թիվ |
Տարրի նշագիրը |
Նկարագրությունը |
|
1 |
2 |
3 |
|
1 |
Ծածկագրային նշագիրը |
P.MM.07.OPR.001 |
|
2 |
Գործառնության անվանումը |
միասնական ռեեստրում ներառելու համար տեղեկությունների ներկայացում |
|
3 |
Կատարողը |
անդամ պետության լիազորված մարմին |
|
4 |
Կատարման պայմանները |
կատարվում է միասնական ռեեստրում ներառելու համար տեղեկություններն ստանալու դեպքում |
|
5 |
Սահմանափակումները |
ներկայացված տեղեկությունների ձևաչափը և կառուցվածքը պետք է համապատասխանեն Էլեկտրոնային փաստաթղթերի և տեղեկությունների ձևաչափերի ու կառուցվածքների նկարագրությանը |
|
6 |
Գործառնության նկարագրությունը |
կատարողը ձևակերպում է միասնական ռեեստրում ներառելու համար տեղեկությունները և ուղարկում դրանք Հանձնաժողով՝ Տեղեկատվական փոխգործակցության կանոնակարգին համապատասխան |
|
7 |
Արդյունքները |
միասնական ռեեստրում ներառելու համար տեղեկությունները փոխանցվել են Հանձնաժողովին |
Աղյուսակ 8
«Միասնական ռեեստրում ներառելու համար տեղեկությունների ընդունում և մշակում» գործառնության (P.MM.07.OPR.002) նկարագրությունը
|
թիվ |
Տարրի նշագիրը |
Նկարագրությունը |
|
1 |
2 |
3 |
|
1 |
Ծածկագրային նշագիրը |
P.MM.07.OPR.002 |
|
2 |
Գործառնության անվանումը |
միասնական ռեեստրում ներառելու համար տեղեկությունների ընդունում և մշակում |
|
3 |
Կատարողը |
Հանձնաժողով |
|
4 |
Կատարման պայմանները |
կատարվում է միասնական ռեեստրում ներառելու համար տեղեկությունները ստանալու դեպքում («Միասնական ռեեստրում ներառելու համար տեղեկությունների ներկայացում» գործառնություն (P.MM.07.OPR.001)) |
|
5 |
Սահմանափակումները |
ներկայացված տեղեկությունների ձևաչափը և կառուցվածքը պետք է համապատասխանեն Էլեկտրոնային փաստաթղթերի և տեղեկությունների ձևաչափերի ու կառուցվածքների նկարագրությանը |
|
6 |
Գործառնության նկարագրությունը |
կատարողն ընդունում է միասնական ռեեստրում ներառելու համար տեղեկությունները և ստուգում դրանք՝ Տեղեկատվական փոխգործակցության կանոնակարգին համապատասխան: Ստուգումը հաջողությամբ կատարելու դեպքում կատարողն իրականացնում է միասնական ռեեստրում տեղեկությունների ներառումը՝ նշելով տեղեկությունների թարմացման ամսաթիվն ու ժամը, և անդամ պետության լիազորված մարմին է ուղարկում ծանուցում՝ մշակման արդյունքի ծածկագրով, որը համապատասխանում է տեղեկությունների ներառմանը՝ Տեղեկատվական փոխգործակցության կանոնակարգին համապատասխան: |
|
7 |
Արդյունքները |
միասնական ռեեստրը թարմացվել է, միասնական ռեեստրում ներառելու համար տեղեկությունների մշակման արդյունքների մասին ծանուցումն ուղարկվել է անդամ պետության լիազորված մարմին |
Աղյուսակ 9
«Միասնական ռեեստրում ներառելու համար տեղեկությունների մշակման արդյունքների մասին ծանուցման ստացում» գործառնության (P.MM.07.OPR.003) նկարագրությունը
|
թիվ |
Տարրի նշագիրը |
Նկարագրությունը |
|
1 |
2 |
3 |
|
1 |
Ծածկագրային նշագիրը |
P.MM.07.OPR.003 |
|
2 |
Գործառնության անվանումը |
միասնական ռեեստրում ներառելու համար տեղեկությունների մշակման արդյունքների մասին ծանուցման ստացում |
|
3 |
Կատարողը |
անդամ պետության լիազորված մարմին |
|
4 |
Կատարման պայմանները |
կատարվում է միասնական ռեեստրում ներառելու համար տեղեկությունների մշակման արդյունքների մասին ծանուցում ստանալու դեպքում («Միասնական ռեեստրում ներառելու համար տեղեկությունների ընդունում և մշակում» գործառնություն (P.MM.07.OPR.002)) |
|
5 |
Սահմանափակումները |
ներկայացվող տեղեկությունների ձևաչափն ու կառուցվածքը պետք է համապատասխանեն Էլեկտրոնային փաստաթղթերի և տեղեկությունների ձևաչափերի ու կառուցվածքների նկարագրությանը |
|
6 |
Գործառնության նկարագրությունը |
կատարողն ընդունում է միասնական ռեեստրում ներառելու համար տեղեկությունները մշակելու արդյունքի մասին ծանուցումը և ստուգում այն՝ Տեղեկատվական փոխգործակցության կանոնակարգին համապատասխան |
|
7 |
Արդյունքները |
միասնական ռեեստրում ներառելու համար տեղեկությունների մշակման արդյունքների մասին ծանուցումն ստացվել է |
Աղյուսակ 10
«Տեղեկությունները ներառելուց հետո միասնական ռեեստրի հրապարակում» գործառնության (P.MM.07.OPR.004) նկարագրություն
|
թիվ |
Տարրի նշագիրը |
Նկարագրությունը |
|
1 |
2 |
3 |
|
1 |
Ծածկագրային նշագիրը |
P.MM.07.OPR.004 |
|
2 |
Գործառնության անվանումը |
տեղեկությունները ներառելուց հետո միասնական ռեեստրի հրապարակում |
|
3 |
Կատարողը |
Հանձնաժողով |
|
4 |
Կատարման պայմանները |
կատարվում է միասնական ռեեստրը թարմացնելուց հետո («Միասնական ռեեստրում ներառելու համար տեղեկությունների ընդունում և մշակում» գործառնություն (P.MM.07.OPR.002)) |
|
5 |
Սահմանափակումները |
- |
|
6 |
Գործառնության նկարագրությունը |
կատարողը միասնական ռեեստրը հրապարակում է Միության տեղեկատվական պորտալում |
|
7 |
Արդյունքները |
թարմացված միասնական ռեեստրը հրապարակվել է Միության տեղեկատվական պորտալում |
«Միասնական ռեեստրում պարունակվող տեղեկությունների փոփոխում» ընթացակարգ (P.MM.07.PRC.002)
32. «Միասնական ռեեստրում պարունակվող տեղեկությունների փոփոխում» ընթացակարգի (P.MM.07.PRC.002) կատարման սխեման ներկայացված է 5-րդ նկարում։
Նկ. 5. «Միասնական ռեեստրում պարունակվող տեղեկությունների փոփոխում» ընթացակարգի (P.MM.07.PRC.002) կատարման սխեման
33. «Միասնական ռեեստրում պարունակվող տեղեկությունների փոփոխում» ընթացակարգը (P.MM.07.PRC.002) կատարվում է միասնական ռեեստրում ներառված լիազորված կազմակերպության վերաբերյալ տեղեկություններում փոփոխություններ կատարելու անհրաժեշտության դեպքում
34. Առաջին հերթին կատարվում է «Միասնական ռեեստրում փոփոխություններ կատարելու համար տեղեկությունների ներկայացում» գործառնությունը (P.MM.07.OPR.005), որի կատարման արդյունքներով անդամ պետության լիազորված մարմնի կողմից ձևակերպվում և Հանձնաժողով են ներկայացվում լիազորված կազմակերպության վերաբերյալ տեղեկությունները՝ միասնական ռեեստրում փոփոխություններ կատարելու համար:
35. Միասնական ռեեստրում փոփոխություններ կատարելու համար տեղեկությունները Հանձնաժողովի կողմից ստանալու դեպքում կատարվում է «Միասնական ռեեստրում ներառելու համար տեղեկությունների ընդունում և մշակում» գործառնությունը (P.MM.07.OPR.006), որի կատարման արդյունքներով Հանձնաժողովն ստանում է նշված տեղեկությունները, դրանք մշակում և անդամ պետության լիազորված մարմին է ուղարկում ներկայացված տեղեկությունների մշակման արդյունքների մասին ծանուցումը:
36. Անդամ պետության լիազորված մարմնի կողմից տեղեկությունների մշակման արդյունքների մասին ծանուցում ստանալու դեպքում կատարվում է «Միասնական ռեեստրում տեղեկությունների փոփոխման արդյունքների մասին ծանուցման ստացում» գործառնությունը (P.MM.07.OPR.007), որի կատարման արդյունքներով տեղեկություններն ուղարկած անդամ պետության լիազորված մարմինն ստանում է միասնական ռեեստրում տեղեկությունները փոփոխելու արդյունքների մասին ծանուցումը:
37. «Միասնական ռեեստրում ներառելու համար տեղեկությունների ընդունում և մշակում» գործառնության (P.MM.07.OPR.006) կատարման դեպքում կատարվում է «Տեղեկությունները փոփոխելուց հետո միասնական ռեեստրի հրապարակում» գործառնությունը (P.MM.07.OPR.008), որի կատարման արդյունքներով Միության տեղեկատվական պորտալում հրապարակվում է միասնական ռեեստրը, որը պարունակում է անդամ պետության լիազորված մարմնի կողմից ստացված տեղեկությունները՝ միասնական ռեեստրում փոփոխություններ կատարելու համար:
38. «Միասնական ռեեստրում պարունակվող տեղեկությունների փոփոխում» ընթացակարգի (P.MM.07.PRC.002) կատարման արդյունքները միասնական ռեեստրում պարունակվող տեղեկությունների թարմացումն ու հրապարակումն է: Ընդ որում, միասնական ռեեստրից հրապարակվում են միայն ընթացիկ ամսաթվի դրությամբ արդիական տեղեկությունները։
39. «Միասնական ռեեստրում պարունակվող տեղեկությունների փոփոխում» ընթացակարգի (P.MM.07.PRC.002) շրջանակներում կատարվող՝ ընդհանուր գործընթացի գործառնությունների ցանկը բերված է 11-րդ աղյուսակում։
Աղյուսակ 11
«Միասնական ռեեստրում պարունակվող տեղեկությունների փոփոխում» ընթացակարգի (P.MM.07.PRC.002) շրջանակներում կատարվող՝ ընդհանուր գործընթացի գործառնությունների ցանկը
|
Ծածկագրային նշագիրը |
Անվանումը |
Նկարագրությունը |
|
1 |
2 |
3 |
|
P.MM.07.OPR.005 |
միասնական ռեեստրում փոփոխություններ կատարելու համար տեղեկությունների ներկայացում |
բերված է սույն Կանոնների 12-րդ աղյուսակում |
|
P.MM.07.OPR.006 |
միասնական ռեեստրում փոփոխություններ կատարելու համար տեղեկությունների ընդունում և մշակում |
բերված է սույն Կանոնների 13-րդ աղյուսակում |
|
P.MM.07.OPR.007 |
միասնական ռեեստրում տեղեկությունների փոփոխման արդյունքների մասին ծանուցման ստացում |
բերված է սույն Կանոնների 14-րդ աղյուսակում |
|
P.MM.07.OPR.008 |
տեղեկությունները փոփոխելուց հետո միասնական ռեեստրի հրապարակում |
բերված է սույն Կանոնների 15-րդ աղյուսակում |
Աղյուսակ 12
«Միասնական ռեեստրում փոփոխություններ կատարելու համար տեղեկությունների ներկայացում» գործառնության (P.MM.07.OPR.005) նկարագրությունը
|
թիվ |
Տարրի նշագիրը |
Նկարագրությունը |
|
1 |
2 |
3 |
|
1 |
Ծածկագրային նշագիրը |
P.MM.07.OPR.005 |
|
2 |
Գործառնության անվանումը |
միասնական ռեեստրում փոփոխություններ կատարելու համար տեղեկությունների ներկայացում |
|
3 |
Կատարողը |
անդամ պետության լիազորված մարմին |
|
4 |
Կատարման պայմանները |
կատարվում է լիազորված կազմակերպության վերաբերյալ տեղեկությունները փոփոխելու դեպքում |
|
5 |
Սահմանափակումները |
ներկայացված տեղեկությունների ձևաչափը և կառուցվածքը պետք է համապատասխանեն Էլեկտրոնային փաստաթղթերի և տեղեկությունների ձևաչափերի ու կառուցվածքների նկարագրությանը |
|
6 |
Գործառնության նկարագրությունը |
կատարողը ձևակերպում է լիազորված կազմակերպության վերաբերյալ փոփոխված տեղեկությունները և ուղարկում դրանք Հանձնաժողով՝ Տեղեկատվական փոխգործակցության կանոնակարգին համապատասխան |
|
7 |
Արդյունքները |
միասնական ռեեստրում փոփոխություններ կատարելու համար տեղեկությունները փոխանցվել են Հանձնաժողովին |
Աղյուսակ 13
«Միասնական ռեեստրում փոփոխություններ կատարելու համար տեղեկությունների ընդունում և մշակում» գործառնության (P.MM.07.OPR.006) նկարագրությունը
|
թիվ |
Տարրի նշագիրը |
Նկարագրությունը |
|
1 |
2 |
3 |
|
1 |
Ծածկագրային նշագիրը |
P.MM.07.OPR.006 |
|
2 |
Գործառնության անվանումը |
միասնական ռեեստրում փոփոխություններ կատարելու համար տեղեկությունների ընդունում և մշակում |
|
3 |
Կատարողը |
Հանձնաժողով |
|
4 |
Կատարման պայմանները |
կատարվում է միասնական ռեեստրում ներառելու համար տեղեկություններն ստանալու դեպքում («Միասնական ռեեստրում ներառելու համար տեղեկությունների ներկայացում» գործառնություն (P.MM.07.OPR.005)) |
|
5 |
Սահմանափակումները |
ներկայացված տեղեկությունների ձևաչափը և կառուցվածքը պետք է համապատասխանեն Էլեկտրոնային փաստաթղթերի և տեղեկությունների ձևաչափերի ու կառուցվածքների նկարագրությանը |
|
6 |
Գործառնության նկարագրությունը |
կատարողն ընդունում է միասնական ռեեստրում փոփոխություններ կատարելու համար տեղեկությունները և ստուգում դրանք՝ Տեղեկատվական փոխգործակցության կանոնակարգին համապատասխան: |
|
7 |
Արդյունքները |
միասնական ռեեստրը թարմացվել է, միասնական ռեեստրում տեղեկությունների փոփոխման արդյունքների մասին ծանուցումն ուղարկվել է անդամ պետության լիազորված մարմին |
Աղյուսակ 14
«Միասնական ռեեստրում տեղեկությունների փոփոխման արդյունքների մասին ծանուցման ստացում» գործառնության (P.MM.07.OPR.007) նկարագրությունը
|
թիվ |
Տարրի նշագիրը |
Նկարագրությունը |
|
1 |
2 |
3 |
|
1 |
Ծածկագրային նշագիրը |
P.MM.07.OPR.007 |
|
2 |
Գործառնության անվանումը |
միասնական ռեեստրում տեղեկությունների փոփոխման արդյունքների մասին ծանուցման ստացում |
|
3 |
Կատարողը |
անդամ պետության լիազորված մարմին |
|
4 |
Կատարման պայմանները |
կատարվում է միասնական ռեեստրում տեղեկությունների փոփոխման արդյունքների մասին ծանուցում ստանալու դեպքում («Միասնական ռեեստրում ներառելու համար տեղեկությունների ընդունում և մշակում» գործառնություն (P.MM.07.OPR.006)) |
|
5 |
Սահմանափակումները |
ներկայացվող տեղեկությունների ձևաչափն ու կառուցվածքը պետք է համապատասխանեն Էլեկտրոնային փաստաթղթերի և տեղեկությունների ձևաչափերի ու կառուցվածքների նկարագրությանը |
|
6 |
Գործառնության նկարագրությունը |
կատարողն ընդունում է միասնական ռեեստրում տեղեկությունների փոփոխման արդյունքների մասին ծանուցումը և ստուգում այն՝ Տեղեկատվական փոխգործակցության կանոնակարգին համապատասխան |
|
7 |
Արդյունքները |
միասնական ռեեստրում տեղեկությունների փոփոխման արդյունքների մասին ծանուցում |
Աղյուսակ 15
«Տեղեկությունները փոփոխելուց հետո միասնական ռեեստրի հրապարակում» գործառնության (P.MM.07.OPR.008) նկարագրություն
|
թիվ |
Տարրի նշագիրը |
Նկարագրությունը |
|
1 |
2 |
3 |
|
1 |
Ծածկագրային նշագիրը |
P.MM.07.OPR.008 |
|
2 |
Գործառնության անվանումը |
տեղեկությունները փոփոխելուց հետո միասնական ռեեստրի հրապարակում |
|
3 |
Կատարողը |
Հանձնաժողով |
|
4 |
Կատարման պայմանները |
կատարվում է տվյալների միասնական ռեեստրում փոփոխություններ կատարելուց հետո («Միասնական ռեեստրում փոփոխություններ կատարելու համար տեղեկությունների ընդունում և մշակում» գործառնություն (P.MM.07.OPR.006)) |
|
5 |
Սահմանափակումները |
- |
|
6 |
Գործառնության նկարագրությունը |
կատարողը միասնական ռեեստրը հրապարակում է Միության տեղեկատվական պորտալում |
|
7 |
Արդյունքները |
թարմացված միասնական ռեեստրը հրապարակվել է Միության տեղեկատվական պորտալում |
«Միասնական ռեեստրից տեղեկությունների հանում» ընթացակարգ (P.MM.07.PRC.003):
40. «Միասնական ռեեստրից տեղեկությունների հանում» ընթացակարգի (P.MM.07.PRC.003) կատարման սխեման ներկայացված է 6-րդ նկարում։
Նկ. 6. «Միասնական ռեեստրից տեղեկությունների հանում» ընթացակարգի (P.MM.07.PRC.003) կատարման սխեման
41. «Միասնական ռեեստրից տեղեկությունների հանում» ընթացակարգը (P.MM.07.PRC.003) կատարվում է լիազորված կազմակերպության վերաբերյալ միասնական ռեեստրից տեղեկությունները հանելու անհրաժեշտության դեպքում:
42. Առաջին հերթին կատարվում է «Միասնական ռեեստրից հանելու համար տեղեկությունների ներկայացում» գործառնությունը (P.MM.07.OPR.009), որի կատարման արդյունքներով անդամ պետության լիազորված մարմնի կողմից ձևակերպվում և Հանձնաժողով են ներկայացվում տեղեկություններ՝ լիազորված կազմակերպությունը միասնական ռեեստրից հանելու համար:
43. Լիազորված կազմակերպությունը միասնական ռեեստրից հանելու համար տեղեկությունները Հանձնաժողովի կողմից ստանալու դեպքում կատարվում է «Միասնական ռեեստրից հանելու համար տեղեկությունների ընդունում և մշակում» գործառնությունը (P.MM.07.OPR.010), որի կատարման արդյունքներով Հանձնաժողովն ստանում է նշված տեղեկությունները, դրանք մշակում և անդամ պետության լիազորված մարմին է ուղարկում միասնական ռեեստրից հանելու համար տեղեկությունների մշակման արդյունքների մասին ծանուցումը:
44. Միասնական ռեեստրից հանելու համար տեղեկությունների մշակման արդյունքների մասին ծանուցումն անդամ պետության լիազորված մարմնի կողմից ստանալու դեպքում կատարվում է «Միասնական ռեեստրից տեղեկությունները հանելու արդյունքների մասին ծանուցման ստացում» գործառնությունը (P.MM.07.OPR.011), որի կատարման արդյունքներով տեղեկություններն ուղարկած անդամ պետության լիազորված մարմինն ստանում է տեղեկությունների մշակման արդյունքների մասին ծանուցումը:
45. «Միասնական ռեեստրից հանելու համար տեղեկությունների ընդունում և մշակում» գործառնության (P.MM.07.OPR.010) կատարման դեպքում կատարվում է «Տեղեկությունները ներառելուց հետո միասնական ռեեստրի հրապարակում» գործառնությունը (P.MM.07.OPR.012), որի կատարման արդյունքներով Միության տեղեկատվական պորտալում հրապարակվում է միասնական ռեեստրը՝ լիազորված կազմակերպության վերաբերյալ տեղեկությունները հանելուց հետո:
46. «Միասնական ռեեստրից տեղեկությունների հանում» ընթացակարգի (P.MM.07.PRC.003) կատարման արդյունքներն են Միասնական ռեեստրի թարմացումն ու դրա հրապարակումը Միության տեղեկատվական պորտալում: Ընդ որում, միասնական ռեեստրից հրապարակվում են միայն ընթացիկ ամսաթվի դրությամբ արդիական տեղեկությունները։
47. «Միասնական ռեեստրից տեղեկությունների հանում» ընթացակարգի (P.MM.07.PRC.003) շրջանակներում կատարվող՝ ընդհանուր գործընթացի գործառնությունների ցանկը բերված է 16-րդ աղյուսակում։
Աղյուսակ 16
«Միասնական ռեեստրից տեղեկությունների հանում» ընթացակարգի (P.MM.07.PRC.003) շրջանակներում կատարվող՝ ընդհանուր գործընթացի գործառնությունների ցանկ
|
Ծածկագրային նշագիրը |
Անվանումը |
Նկարագրությունը |
|
1 |
2 |
3 |
|
P.MM.07.OPR.009 |
միասնական ռեեստրից հանելու համար տեղեկությունների ներկայացում |
բերված է սույն Կանոնների 17-րդ աղյուսակում |
|
P.MM.07.OPR.010 |
միասնական ռեեստրից հանելու համար տեղեկությունների ընդունում և մշակում |
բերված է սույն Կանոնների 18-րդ աղյուսակում |
|
P.MM.07.OPR.011 |
միասնական ռեեստրից տեղեկությունները հանելու արդյունքների մասին ծանուցման ստացում |
բերված է սույն Կանոնների 19-րդ աղյուսակում |
|
P.MM.07.OPR.012 |
տեղեկությունները հանելուց հետո միասնական ռեեստրի հրապարակում |
բերված է սույն Կանոնների 20-րդ աղյուսակում |
Աղյուսակ 17
«Միասնական ռեեստրից հանելու համար տեղեկությունների ներկայացում» գործառնության (P.MM.07.OPR.009) նկարագրությունը
|
թիվ |
Տարրի նշագիրը |
Նկարագրությունը |
|
1 |
2 |
3 |
|
1 |
Ծածկագրային նշագիրը |
P.MM.07.OPR.009 |
|
2 |
Գործառնության անվանումը |
միասնական ռեեստրից հանելու համար տեղեկությունների ներկայացում |
|
3 |
Կատարողը |
անդամ պետության լիազորված մարմին |
|
4 |
Կատարման պայմանները |
կատարվում է լիազորված կազմակերպության վերաբերյալ տեղեկությունները միասնական ռեեստրից հանելու դեպքում: |
|
5 |
Սահմանափակումները |
ներկայացվող տեղեկությունների ձևաչափն ու կառուցվածքը պետք է համապատասխանեն Էլեկտրոնային փաստաթղթերի և տեղեկությունների ձևաչափերի ու կառուցվածքների նկարագրությանը |
|
6 |
Գործառնության նկարագրությունը |
կատարողը ձևակերպում է լիազորված կազմակերպությունը միասնական ռեեստրից հանելու համար տեղեկությունները և ուղարկում դրանք Հանձնաժողով՝ Տեղեկատվական փոխգործակցության կանոնակարգին համապատասխան |
|
7 |
Արդյունքները |
միասնական ռեեստրից հանելու համար տեղեկությունները փոխանցվել են Հանձնաժողովին |
Աղյուսակ 18
«Միասնական ռեեստրից հանելու համար տեղեկությունների ընդունում և մշակում» գործառնության (P.MM.07.OPR.010) նկարագրությունը
|
թիվ |
Տարրի նշագիրը |
Նկարագրությունը |
|
1 |
2 |
3 |
|
1 |
Ծածկագրային նշագիրը |
P.MM.07.OPR.010 |
|
2 |
Գործառնության անվանումը |
միասնական ռեեստրից հանելու համար տեղեկությունների ընդունում և մշակում |
|
3 |
Կատարողը |
Հանձնաժողով |
|
4 |
Կատարման պայմանները |
կատարվում է միասնական ռեեստրից հանելու համար տեղեկությունները կատարողի կողմից ստանալու դեպքում («Միասնական ռեեստրից հանելու համար տեղեկությունների ներկայացում» գործառնություն (P.MM.07.OPR.009)) |
|
5 |
Սահմանափակումները |
ներկայացվող տեղեկությունների ձևաչափն ու կառուցվածքը պետք է համապատասխանեն Էլեկտրոնային փաստաթղթերի և տեղեկությունների ձևաչափերի ու կառուցվածքների նկարագրությանը |
|
6 |
Գործառնության նկարագրությունը |
կատարողն ընդունում է միասնական ռեեստրից հանելու համար տեղեկությունները և ստուգում դրանք՝ Տեղեկատվական փոխգործակցության կանոնակարգին համապատասխան: |
|
7 |
Արդյունքները |
միասնական ռեեստրը թարմացվել է, միասնական ռեեստրից տեղեկությունները հանելու մասին ծանուցումն ուղարկվել է անդամ պետության լիազորված մարմին |
Աղյուսակ 19
«Միասնական ռեեստրից տեղեկությունները հանելու արդյունքների մասին ծանուցման ստացում» (P.MM.07.OPR.011) գործառնության նկարագրություն
|
թիվ |
Տարրի նշագիրը |
Նկարագրությունը |
|
1 |
2 |
3 |
|
1 |
Ծածկագրային նշագիրը |
P.MM.07.OPR.011 |
|
2 |
Գործառնության անվանումը |
միասնական ռեեստրից տեղեկությունները հանելու արդյունքների մասին ծանուցման ստացում |
|
3 |
Կատարողը |
անդամ պետության լիազորված մարմին |
|
4 |
Կատարման պայմանները |
կատարվում է միասնական ռեեստրից տեղեկությունները հանելու մասին ծանուցում ստանալու դեպքում («Միասնական ռեեստրից հանելու համար տեղեկությունների ընդունում և մշակում» գործառնություն (P.MM.07.OPR.010)) |
|
5 |
Սահմանափակումները |
ներկայացված տեղեկությունների ձևաչափը և կառուցվածքը պետք է համապատասխանեն Էլեկտրոնային փաստաթղթերի և տեղեկությունների ձևաչափերի ու կառուցվածքների նկարագրությանը |
|
6 |
Գործառնության նկարագրությունը |
կատարողն ընդունում է ծանուցումը և ստուգում այն՝ Տեղեկատվական փոխգործակցության կանոնակարգին համապատասխան |
|
7 |
Արդյունքները |
միասնական ռեեստրից տեղեկությունները հանելու արդյունքների մասին ծանուցումն ստացվել է |
Աղյուսակ 20
«Տեղեկությունները հանելուց հետո միասնական ռեեստրի հրապարակում» (P.MM.07.OPR.012) գործառնության նկարագրություն
|
թիվ ը/կ |
Տարրի նշագիրը |
Նկարագրությունը |
|
1 |
2 |
3 |
|
1 |
Ծածկագրային նշագիրը |
P.MM.07.OPR.012 |
|
2 |
Գործառնության անվանումը |
տեղեկությունները հանելուց հետո միասնական ռեեստրի հրապարակում |
|
3 |
Կատարողը |
Հանձնաժողով |
|
4 |
Կատարման պայմանները |
կատարվում է միասնական ռեեստրից տեղեկությունները հանելուց հետո («Միասնական ռեեստրից հանելու համար տեղեկությունների ընդունում և մշակում» գործառնություն (P.MM.07.OPR.010)) |
|
5 |
Սահմանափակումները |
- |
|
6 |
Գործառնության նկարագրությունը |
կատարողը թարմացված միասնական ռեեստրը հրապարակում է Միության տեղեկատվական պորտալում |
|
7 |
Արդյունքները |
թարմացված միասնական ռեեստրը հրապարակվել է Միության տեղեկատվական պորտալում |
2. Միասնական ռեեստրից տեղեկություններ ներկայացնելու ընթացակարգերը «Միասնական ռեեստրի թարմացման ամսաթվի և ժամի մասին տեղեկատվության ստացում» ընթացակարգ (P.MM.07.PRC.004)
48. «Միասնական ռեեստրի թարմացման ամսաթվի և ժամի մասին տեղեկատվության ստացում» ընթացակարգի (P.MM.07.PRC.004) կատարման սխեման ներկայացված է 7-րդ նկարում։
Նկ. 7. «Միասնական ռեեստրի թարմացման ամսաթվի և ժամի մասին տեղեկատվության ստացում» (P.MM.07.PRC.004) ընթացակարգի կատարման սխեման
49. «Միասնական ռեեստրի թարմացման ամսաթվի և ժամի մասին տեղեկատվության ստացում» ընթացակարգը (P.MM.07.PRC.004) կատարվում է անդամ պետության լիազորված մարմնի կողմից՝ միասնական ռեեստրի թարմացման ամսաթվի և ժամի մասին տեղեկատվության ստացման անհրաժեշտության դեպքում։
50. Առաջին հերթին կատարվում է «Միասնական ռեեստրի թարմացման ամսաթվի և ժամի մասին տեղեկատվության հարցում» գործառնությունը (P.MM.07.OPR.013), որի կատարման արդյունքներով անդամ պետության լիազորված մարմինը ձևակերպում ու Հանձնաժողով է ուղարկում միասնական ռեեստրի թարմացման ամսաթվի և ժամի մասին տեղեկատվություն ներկայացնելու հարցումը։
51. Միասնական ռեեստրի թարմացման ամսաթվի և ժամի մասին տեղեկատվությունը Հանձնաժողովի կողմից ստանալու դեպքում կատարվում է «Միասնական ռեեստրի թարմացման ամսաթվի և ժամի մասին տեղեկատվության մշակում և ներկայացում» գործառնությունը (P.MM.07.OPR.014), որի կատարման արդյունքներով Հանձնաժողովն անդամ պետության լիազորված մարմին է ուղարկում միասնական ռեեստրի թարմացման ամսաթվի և ժամի մասին տեղեկատվություն:
52. Միասնական ռեեստրի թարմացման ամսաթվի և ժամի մասին տեղեկատվությունն անդամ պետության լիազորված մարմնի կողմից ստանալու դեպքում կատարվում է «Միասնական ռեեստրի թարմացման ամսաթվի և ժամի մասին տեղեկությունների ընդունում և մշակում» գործառնությունը (P.MM.07.OPR.015), որի կատարման արդյունքներով անդամ պետության լիազորված մարմինը, որը միասնական ռեեստրի թարմացման ամսաթվի և ժամի մասին տեղեկատվություն ներկայացնելու հարցում է ուղարկել, իրականացնում է միասնական ռեեստրի թարմացման ամսաթվի և ժամի մասին ստացված տեղեկատվության մշակում։
53. «Միասնական ռեեստրի թարմացման ամսաթվի և ժամի մասին տեղեկատվության ստացում» ընթացակարգի (P.MM.07.PRC.004) կատարման արդյունք է համարվում անդամ պետության լիազորված մարմնի կողմից միասնական ռեեստրի թարմացման ամսաթվի և ժամի մասին տեղեկատվության ստացումը։
54. «Միասնական ռեեստրի թարմացման ամսաթվի և ժամի մասին տեղեկատվության ստացում» ընթացակարգի (P.MM.07.PRC.004) շրջանակներում կատարվող՝ ընդհանուր գործընթացի գործառնությունների ցանկը բերված է 21-րդ աղյուսակում։
Աղյուսակ 21
«Միասնական ռեեստրի թարմացման ամսաթվի և ժամի մասին տեղեկատվության ստացում» ընթացակարգի (P.MM.07.PRC.004) շրջանակներում կատարվող՝ ընդհանուր գործընթացի գործառնությունների ցանկը
|
Ծածկագրային նշագիրը |
Անվանումը |
Նկարագրությունը |
|
1 |
2 |
3 |
|
P.MM.07.OPR.013 |
միասնական ռեեստրի թարմացման ամսաթվի և ժամի մասին տեղեկատվության հարցում |
բերված է սույն Կանոնների 22-րդ աղյուսակում |
|
P.MM.07.OPR.014 |
միասնական ռեեստրի թարմացման ամսաթվի և ժամի մասին տեղեկատվության մշակում և ներկայացում |
բերված է սույն Կանոնների 23-րդ աղյուսակում |
|
P.MM.07.OPR.015 |
միասնական ռեեստրի թարմացման ամսաթվի և ժամի վերաբերյալ տեղեկատվության ընդունում և մշակում |
բերված է սույն Կանոնների 24-րդ աղյուսակում |
Աղյուսակ 22
«Միասնական ռեեստրի թարմացման ամսաթվի և ժամի մասին տեղեկատվության հարցում» գործառնության (P.MM.07.OPR.013) նկարագրությունը
|
թիվ |
Տարրի նշագիրը |
Նկարագրությունը |
|
1 |
2 |
3 |
|
1 |
Ծածկագրային նշագիրը |
P.MM.07.OPR.013 |
|
2 |
Գործառնության անվանումը |
միասնական ռեեստրի թարմացման ամսաթվի և ժամի մասին տեղեկատվության հարցում |
|
3 |
Կատարողը |
անդամ պետության լիազորված մարմին |
|
4 |
Կատարման պայմանները |
կատարվում է միասնական ռեեստրի թարմացման ամսաթվի և ժամի մասին տեղեկատվությունն ստանալու անհրաժեշտության դեպքում |
|
5 |
Սահմանափակումները |
ներկայացված տեղեկությունների ձևաչափը և կառուցվածքը պետք է համապատասխանեն Էլեկտրոնային փաստաթղթերի և տեղեկությունների ձևաչափերի ու կառուցվածքների նկարագրությանը |
|
6 |
Գործառնության նկարագրությունը |
կատարողը ձևակերպում և Հանձնաժողով է ուղարկում միասնական ռեեստրի թարմացման ամսաթվի և ժամի մասին տեղեկատվություն ներկայացնելու հարցում՝ Տեղեկատվական փոխգործակցության կանոնակարգին համապատասխան |
|
7 |
Արդյունքները |
միասնական ռեեստրի թարմացման ամսաթվի և ժամի մասին տեղեկատվություն ներկայացնելու հարցումն ուղարկվել է Հանձնաժողով |
Աղյուսակ 23
«Միասնական ռեեստրի թարմացման ամսաթվի և ժամի մասին տեղեկատվության մշակում և ներկայացում» գործառնության (P.MM.07.OPR.014) նկարագրությունը
|
թիվ |
Տարրի նշագիրը |
Նկարագրությունը |
|
1 |
2 |
3 |
|
1 |
Ծածկագրային նշագիրը |
P.MM.07.OPR.014 |
|
2 |
Գործառնության անվանումը |
միասնական ռեեստրի թարմացման ամսաթվի և ժամի մասին տեղեկատվության մշակում և ներկայացում |
|
3 |
Կատարողը |
Հանձնաժողով |
|
4 |
Կատարման պայմանները |
կատարվում է միասնական ռեեստրի թարմացման ամսաթվի և ժամի մասին տեղեկատվության հարցումը կատարողի կողմից ստանալու դեպքում («Միասնական ռեեստրի թարմացման ամսաթվի և ժամի մասին տեղեկատվության հարցում» գործառնությունը (P.MM.07.OPR.013)) |
|
5 |
Սահմանափակումները |
ներկայացված տեղեկությունների ձևաչափը և կառուցվածքը պետք է համապատասխանեն Էլեկտրոնային փաստաթղթերի և տեղեկությունների ձևաչափերի ու կառուցվածքների նկարագրությանը |
|
6 |
Գործառնության նկարագրությունը |
կատարողն ստուգում է ստացված հարցումը և ուղարկում հարցման պատասխանը ՝ Տեղեկատվական փոխգործակցության կանոնակարգին համապատասխան |
|
7 |
Արդյունքները |
միասնական ռեեստրի թարմացման ամսաթվի և ժամի մասին տեղեկատվությունը ներկայացվել է անդամ պետության լիազորված մարմին |
Աղյուսակ 24
«Միասնական ռեեստրի թարմացման ամսաթվի և ժամի մասին տեղեկատվության ընդունում և մշակում» գործառնության (P.MM.07.OPR.015) նկարագրությունը
|
թիվ |
Տարրի նշագիրը |
Նկարագրությունը |
|
1 |
2 |
3 |
|
1 |
Ծածկագրային նշագիրը |
P.MM.07.OPR.015 |
|
2 |
Գործառնության անվանումը |
միասնական ռեեստրի թարմացման ամսաթվի և ժամի մասին տեղեկատվության ընդունում և մշակում |
|
3 |
Կատարողը |
անդամ պետության լիազորված մարմին |
|
4 |
Կատարման պայմանները |
կատարվում է միասնական ռեեստրը թարմացնելու օրվա և ժամի մասին տեղեկատվություն ստանալու դեպքում («Միասնական ռեեստրը թարմացնելու օրվա և ժամի մասին տեղեկատվության մշակում ու ներկայացում» գործառնություն (P.MM.07.OPR.014)) |
|
5 |
Սահմանափակումները |
ներկայացվող տեղեկությունների ձևաչափն ու կառուցվածքը պետք է համապատասխանեն Էլեկտրոնային փաստաթղթերի և տեղեկությունների ձևաչափերի ու կառուցվածքների նկարագրությանը |
|
6 |
Գործառնության նկարագրությունը |
կատարողն ստուգում է միասնական ռեեստրի թարմացման ամսաթվի և ժամի վերաբերյալ ստացված տեղեկատվությունը՝ Տեղեկատվական փոխգործակցության կանոնակարգին համապատասխան |
|
7 |
Արդյունքները |
միասնական ռեեստրի թարմացման ամսաթվի և ժամի վերաբերյալ տեղեկատվությունն ստացվել է |
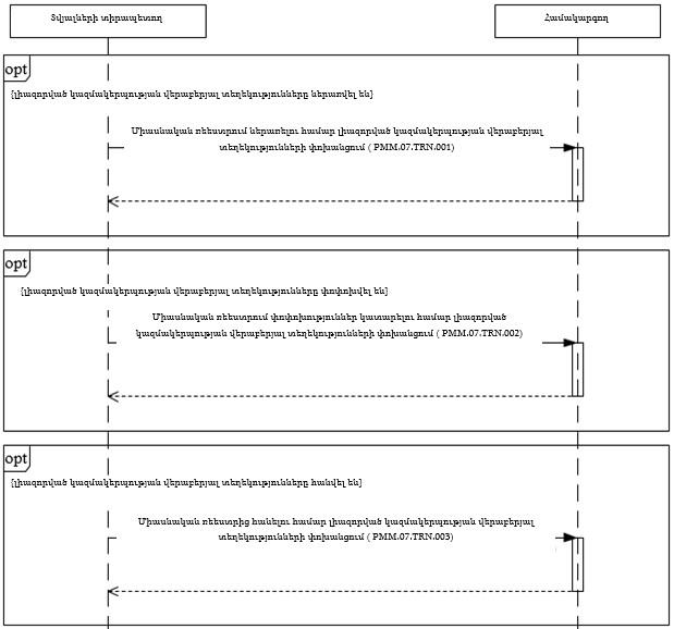
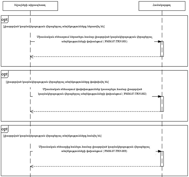
«Միասնական ռեեստրից տեղեկությունների ստացումը» ընթացակարգը (P.MM.07.PRC.005)
55. «Միասնական ռեեստրից տեղեկությունների ստացումը» ընթացակարգի (P.MM.07.PRC.005) կատարման սխեման ներկայացված է 8-րդ նկարում։
Նկ. 8. «Միասնական ռեեստրից տեղեկությունների ստացում» ընթացակարգի (P.MM.07.PRC.005) կատարման սխեման
56. «Միասնական ռեեստրից տեղեկությունների ստացում» ընթացակարգը (P.MM.07.PRC.005) կատարվում է անդամ պետության լիազորված մարմնի կողմից՝ միասնական ռեեստրից տեղեկություններ ստանալու անհրաժեշտության դեպքում։
57. Առաջին հերթին կատարվում է «Միասնական ռեեստրից տեղեկությունների հարցում» գործառնությունը (P.MM.07.OPR.016), որի կատարման արդյունքներով անդամ պետության լիազորված մարմինը ձևակերպում և Հանձնաժողով է ուղարկում միասնական ռեեստրից տեղեկություններ ներկայացնելու հարցումը։
58. Միասնական ռեեստրից տեղեկություններ ներկայացնելու հարցումը Հանձնաժողովի կողմից ստանալու դեպքում կատարվում է «Միասնական ռեեստրից տեղեկությունների մշակում և ներկայացում» գործառնությունը (P.MM.07.OPR.017), որի կատարման արդյունքներով Հանձնաժողովը ձևակերպում և անդամ պետության լիազորված մարմին է ուղարկում միասնական ռեեստրից տեղեկությունները կամ հարցման պարամետրերը բավարարող տեղեկությունների բացակայության մասին ծանուցում։
59. Անդամ պետության լիազորված մարմնի կողմից միասնական ռեեստրից տեղեկություններ ստանալու դեպքում կատարվում է «Միասնական ռեեստրից տեղեկությունների ընդունում և մշակում» գործառնությունը (P.MM.07.OPR.018), որի կատարման արդյունքներով միասնական ռեեստրից տեղեկություններ ներկայացնելու հարցում ուղարկած անդամ պետության լիազորված մարմինն իրականացնում է միասնական ռեեստրից ստացված տեղեկությունների կամ հարցման պարամետրերը բավարարող տեղեկությունների բացակայության մասին ծանուցման մշակումը։
60. «Միասնական ռեեստրից տեղեկությունների ստացում» ընթացակարգի (P.MM.07.PRC.005) կատարման արդյունք է համարվում անդամ պետության լիազորված մարմնի կողմից միասնական ռեեստրից տեղեկությունների կամ հարցման պարամետրերը բավարարող տեղեկությունների բացակայության մասին ծանուցման ստացումը։
61. «Միասնական ռեեստրից տեղեկությունների ստացում» ընթացակարգի (P.MM.07.PRC.005) շրջանակներում կատարվող՝ ընդհանուր գործընթացի գործառնությունների ցանկը բերված է 25-րդ աղյուսակում։
Աղյուսակ 25
«Միասնական ռեեստրից տեղեկությունների ստացում» ընթացակարգի (P.MM.07.PRC.005) շրջանակներում կատարվող՝ ընդհանուր գործընթացի գործառնությունների ցանկը
|
Ծածկագրային նշագիրը |
Անվանումը |
Նկարագրությունը |
|
1 |
2 |
3 |
|
P.MM.07.OPR.016 |
միասնական ռեեստրից տեղեկությունների հարցում |
բերված է սույն Կանոնների 26-րդ աղյուսակում |
|
P.MM.07.OPR.017 |
միասնական ռեեստրից տեղեկությունների մշակում և ներկայացում |
բերված է սույն Կանոնների 27-րդ աղյուսակում |
|
P.MM.07.OPR.018 |
միասնական ռեեստրից տեղեկությունների ընդունում և մշակում |
բերված է սույն Կանոնների 28-րդ աղյուսակում |
Աղյուսակ 26
«Միասնական ռեեստրից տեղեկությունների հարցում» գործառնության (P.MM.07.OPR.016) նկարագրությունը
|
թիվ |
Տարրի նշագիրը |
Նկարագրությունը |
|
1 |
2 |
3 |
|
1 |
Ծածկագրային նշագիրը |
P.MM.07.OPR.016 |
|
2 |
Գործառնության անվանումը |
միասնական ռեեստրից տեղեկությունների հարցում |
|
3 |
Կատարողը |
անդամ պետության լիազորված մարմին |
|
4 |
Կատարման պայմանները |
կատարվում է անդամ պետության լիազորված մարմնի կողմից միասնական ռեեստրից տեղեկություններ ստանալու անհրաժեշտության դեպքում |
|
5 |
Սահմանափակումները |
հարցման ձևաչափն ու կառուցվածքը պետք է համապատասխանեն Էլեկտրոնային փաստաթղթերի և տեղեկությունների ձևաչափերի ու կառուցվածքների նկարագրությանը |
|
6 |
Գործառնության նկարագրությունը |
կատարողը ձևակերպում և Հանձնաժողով է ուղարկում միասնական ռեեստրից տեղեկություններ ներկայացնելու հարցում՝ Տեղեկատվական փոխգործակցության կանոնակարգին համապատասխան: Կատարողն ուղարկում է բոլոր անդամ պետությունների կամ կոնկրետ անդամ պետության մասով արդիական տեղեկություններ ստանալու հարցում: Հարցման մեջ նշվում է այն ամսաթիվը, որի դրությամբ անհրաժեշտ է ներկայացնել արդիական տեղեկությունները։ Եթե ամսաթիվը նշված չէ, ապա ներկայացվում են ընթացիկ ամսաթվի դրությամբ միասնական ռեեստրում պարունակվող՝ բոլոր արդիական տեղեկությունները |
|
7 |
Արդյունքները |
միասնական ռեեստրից տեղեկությունների ներկայացման հարցումն ուղարկվել է Հանձնաժողով |
Աղյուսակ 27
«Միասնական ռեեստրից տեղեկությունների մշակում և ներկայացում» գործառնության (P.MM.07.OPR.017) նկարագրությունը
|
թիվ |
Տարրի նշագիրը |
Նկարագրությունը |
|
1 |
2 |
3 |
|
1 |
Ծածկագրային նշագիրը |
P.MM.07.OPR.017 |
|
2 |
Գործառնության անվանումը |
միասնական ռեեստրից տեղեկությունների մշակում և ներկայացում |
|
3 |
Կատարողը |
Հանձնաժողով |
|
4 |
Կատարման պայմանները |
կատարվում է միասնական ռեեստրից տեղեկությունների ներկայացման հարցումն ստանալու դեպքում («Միասնական ռեեստրից տեղեկությունների հարցում» գործառնություն (P.MM.07.OPR.016)) |
|
5 |
Սահմանափակումները |
հարցման և ներկայացվող տեղեկությունների ձևաչափն ու կառուցվածքը պետք է համապատասխանեն Էլեկտրոնային փաստաթղթերի և տեղեկությունների ձևաչափերի ու կառուցվածքների նկարագրությանը |
|
6 |
Գործառնության նկարագրությունը |
կատարողն ստուգում է ստացված հարցումը՝ Տեղեկատվական փոխգործակցության կանոնակարգին համապատասխան, ձևակերպում և անդամ պետության լիազորված մարմին է ուղարկում միասնական ռեեստրից՝ հարցման մեջ նշված ամսաթվի դրությամբ արդիական տեղեկություններ կամ հարցման պարամետրերը բավարարող տեղեկությունների բացակայության վերաբերյալ ծանուցում՝ տեղեկությունների բացակայությանը համապատասխանող մշակման արդյունքի ծածկագրի նշումով։ Եթե հարցման մեջ նշված է երկրի ծածկագիրը, ապա միասնական ռեեստրից տեղեկություններ են տրամադրվում կոնկրետ անդամ պետության մասով |
|
7 |
Արդյունքները |
միասնական ռեեստրից տեղեկությունները կամ հարցման պարամետրերը բավարարող տեղեկությունների բացակայության մասին ծանուցումը ներկայացվել են անդամ պետության լիազորված մարմին |
Աղյուսակ 28
«Միասնական ռեեստրից տեղեկությունների ընդունում և մշակում» գործառնության (P.MM.07.OPR.018) նկարագրությունը
|
թիվ |
Տարրի նշագիրը |
Նկարագրությունը |
|
1 |
2 |
3 |
|
1 |
Ծածկագրային նշագիրը |
P.MM.07.OPR.018 |
|
2 |
Գործառնության անվանումը |
միասնական ռեեստրից տեղեկությունների ընդունում և մշակում |
|
3 |
Կատարողը |
անդամ պետության լիազորված մարմին |
|
4 |
Կատարման պայմանները |
կատարվում է միասնական ռեեստրից տեղեկությունները կամ հարցման պարամետրերը բավարարող տեղեկությունների բացակայության մասին ծանուցումը ներկայացնելու դեպքում («Միասնական ռեեստրից տեղեկությունների մշակում և ներկայացում» գործառնություն (P.MM.07.OPR.017)) |
|
5 |
Սահմանափակումները |
ներկայացված տեղեկությունների ձևաչափը և կառուցվածքը պետք է համապատասխանեն Էլեկտրոնային փաստաթղթերի և տեղեկությունների ձևաչափերի ու կառուցվածքների նկարագրությանը |
|
6 |
Գործառնության նկարագրությունը |
կատարողն ստուգում է ստացված տեղեկությունները՝ Տեղեկատվական փոխգործակցության կանոնակարգին համապատասխան, և իրականացնում դրանց մշակումը |
|
7 |
Արդյունքները |
միասնական ռեեստրից տեղեկությունները կամ հարցման պարամետրերը բավարարող տեղեկությունների բացակայության մասին ծանուցումն ստացվել են |
«Միասնական ռեեստրից փոփոխված տեղեկությունների ստացում» ընթացակարգը (P.MM.07.PRC.006)
62. «Միասնական ռեեստրից փոփոխված տեղեկությունների ստացում» ընթացակարգի (P.MM.07.PRC.006) կատարման սխեման ներկայացված է 9-րդ նկարում։
Նկ. 9. «Միասնական ռեեստրից փոփոխված տեղեկությունների ստացում» ընթացակարգի (P.MM.07.PRC.006) կատարման սխեման
63. «Միասնական ռեեստրից փոփոխված տեղեկությունների ստացում» ընթացակարգը (P.MM.07.PRC.006) կատարվում է՝ անդամ պետության լիազորված մարմնի կողմից միասնական ռեեստրից այն տեղեկություններն ստանալու նպատակներով, որոնց ներառումը կամ փոփոխումը տեղի է ունեցել հարցման մեջ նշված պահից մինչև այդ հարցումը կատարելու պահը։ Ընթացակարգը կատարվում է նաև այն դեպքում, երբ «Միասնական ռեեստրի թարմացման ամսաթվի և ժամի մասին տեղեկատվության ստացում» ընթացակարգը (P.ММ.07.PRC.004) կատարելու արդյունքում հայտնաբերվել է, որ անդամ պետության լիազորված մարմնի կողմից միասնական ռեեստրից տեղեկություններ ստանալու ամսաթիվը և ժամը ավելի վաղ են, քան միասնական ռեեստրի վերջին թարմացման ամսաթիվը և ժամը։
64. Առաջին հերթին կատարվում է «Միասնական ռեեստրից փոփոխված տեղեկությունների հարցում» գործառնությունը (P.MM.07.OPR.019), որի կատարման արդյունքներով անդամ պետության լիազորված մարմինը ձևակերպում և Հանձնաժողով է ուղարկում միասնական ռեեստրից փոփոխված տեղեկությունների ներկայացման հարցումը։
65. Միասնական ռեեստրից փոփոխված տեղեկությունների ներկայացման հարցումը Հանձնաժողովի կողմից ստանալու դեպքում կատարվում է «Միասնական ռեեստրից փոփոխված տեղեկությունների մշակում և ներկայացում» գործառնությունը (P.MM.07.OPR.020), որի կատարման արդյունքներով Հանձնաժողովը ձևակերպում և անդամ պետության լիազորված մարմին է ուղարկում միասնական ռեեստրում՝ հարցման մեջ նշված ամսաթվից փոփոխված տեղեկությունները կամ հարցման պարամետրերը բավարարող տեղեկությունների բացակայության մասին ծանուցումը։
66. Անդամ պետության լիազորված մարմնի կողմից միասնական ռեեստրում փոփոխված տեղեկությունները կամ հարցման պարամետրերը բավարարող տեղեկությունների բացակայության մասին ծանուցումն ստանալու դեպքում կատարվում է «Միասնական ռեեստրից փոփոխված տեղեկությունների ընդունում և մշակում» գործառնությունը (P.MM.07.OPR.021), որի կատարման արդյունքներով միասնական ռեեստրում փոփոխված տեղեկությունների ներկայացման հարցումն ուղարկած անդամ պետության լիազորված մարմինն իրականացնում է ստացված տեղեկությունների կամ հարցման պարամետրերը բավարարող տեղեկությունների բացակայության մասին ծանուցման մշակումը։
67. «Միասնական ռեեստրից փոփոխված տեղեկությունների ստացում» ընթացակարգի (P.MM.07.PRC.006) կատարման արդյունք է համարվում անդամ պետության լիազորված մարմնի կողմից միասնական ռեեստրում փոփոխված տեղեկությունների կամ հարցման պարամետրերը բավարարող տեղեկությունների բացակայության մասին ծանուցման ստացումը։
68. «Միասնական ռեեստրից փոփոխված տեղեկությունների ստացում» ընթացակարգի (P.MM.07.PRC.006) շրջանակներում կատարվող՝ ընդհանուր գործընթացի գործառնությունների ցանկը բերված է 29-րդ աղյուսակում։
Աղյուսակ 29
«Միասնական ռեեստրից փոփոխված տեղեկությունների ստացում» ընթացակարգի (P.MM.07.PRC.006) շրջանակներում կատարվող՝ ընդհանուր գործընթացի գործառնությունների ցանկը
|
Ծածկագրային նշագիրը |
Անվանումը |
Նկարագրությունը |
|
1 |
2 |
3 |
|
P.MM.07.OPR.019 |
միասնական ռեեստրից փոփոխված տեղեկությունների հարցում |
բերված է սույն Կանոնների 30-րդ աղյուսակում |
|
P.MM.07.OPR.020 |
միասնական ռեեստրից փոփոխված տեղեկությունների մշակում և ներկայացում |
բերված է սույն Կանոնների 31-րդ աղյուսակում |
|
P.MM.07.OPR.021 |
միասնական ռեեստրից փոփոխված տեղեկությունների ընդունում և մշակում |
բերված է սույն Կանոնների 32-րդ աղյուսակում |
Աղյուսակ 30
«Միասնական ռեեստրից փոփոխված տեղեկությունների հարցում» գործառնության (P.MM.07.OPR.019) նկարագրությունը
|
թիվ |
Տարրի նշագիրը |
Նկարագրությունը |
|
1 |
2 |
3 |
|
1 |
Ծածկագրային նշագիրը |
P.MM.07.OPR.019 |
|
2 |
Գործառնության անվանումը |
միասնական ռեեստրից փոփոխված տեղեկությունների հարցում |
|
3 |
Կատարողը |
անդամ պետության լիազորված մարմին |
|
4 |
Կատարման պայմանները |
կատարվում է միասնական ռեեստրից փոփոխված տեղեկություններն ստանալու անհրաժեշտության դեպքում |
|
5 |
Սահմանափակումները |
հարցման ձևաչափն ու կառուցվածքը պետք է համապատասխանեն Էլեկտրոնային փաստաթղթերի և տեղեկությունների ձևաչափերի ու կառուցվածքների նկարագրությանը |
|
6 |
Գործառնության նկարագրությունը |
կատարողը ձևակերպում և Հանձնաժողով է ուղարկում միասնական ռեեստրից փոփոխված տեղեկություններ ներկայացնելու հարցումը՝ սկսած հարցման մեջ նշված՝ թարմացման ամսաթվից և օրվանից մինչև հարցումը կատարելու պահը՝ Տեղեկատվական փոխգործակցության կանոնակարգին համապատասխան։ |
|
7 |
Արդյունքները |
միասնական ռեեստրից տեղեկություններ ներկայացնելու հարցումն ուղարկվել է Հանձնաժողով |
Աղյուսակ 31
«Միասնական ռեեստրից փոփոխված տեղեկությունների մշակում և ներկայացում» գործառնության (P.MM.07.OPR.020) նկարագրությունը
|
թիվ |
Տարրի նշագիրը |
Նկարագրությունը |
|
1 |
2 |
3 |
|
1 |
Ծածկագրային նշագիրը |
P.MM.07.OPR.020 |
|
2 |
Գործառնության անվանումը |
միասնական ռեեստրից փոփոխված տեղեկությունների մշակում և ներկայացում |
|
3 |
Կատարողը |
Հանձնաժողով |
|
4 |
Կատարման պայմանները |
կատարվում է միասնական ռեեստրից փոփոխված տեղեկությունների ստացման հարցումն ստանալու դեպքում («Միասնական ռեեստրից փոփոխված տեղեկությունների հարցում» գործառնություն (P.MM.07.OPR.019)) |
|
5 |
Սահմանափակումները |
հարցման և ներկայացվող տեղեկությունների ձևաչափն ու կառուցվածքը պետք է համապատասխանեն Էլեկտրոնային փաստաթղթերի և տեղեկությունների ձևաչափերի ու կառուցվածքների նկարագրությանը |
|
6 |
Գործառնության նկարագրությունը |
կատարողն ստուգում է ստացված հարցումը՝ Տեղեկատվական փոխգործակցության կանոնակարգին համապատասխան։ |
|
7 |
Արդյունքները |
միասնական ռեեստրից փոփոխված տեղեկությունները կամ հարցման պարամետրերը բավարարող տեղեկությունների բացակայության մասին ծանուցումը ներկայացվել են անդամ պետության լիազորված մարմին |
Աղյուսակ 32
«Միասնական ռեեստրից փոփոխված տեղեկությունների ընդունում և մշակում» գործառնության (P.MM.07.OPR.021) նկարագրությունը
|
թիվ |
Տարրի նշագիրը |
Նկարագրությունը |
|
1 |
2 |
3 |
|
1 |
Ծածկագրային նշագիրը |
P.MM.07.OPR.021 |
|
2 |
Գործառնության անվանումը |
միասնական ռեեստրից փոփոխված տեղեկությունների ընդունում և մշակում |
|
3 |
Կատարողը |
անդամ պետության լիազորված մարմին |
|
4 |
Կատարման պայմանները |
կատարվում է միասնական ռեեստրից փոփոխված տեղեկությունները կամ հարցման պարամետրերը բավարարող տեղեկությունների բացակայության մասին ծանուցումը ներկայացնելու դեպքում («Միասնական ռեեստրից փոփոխված տեղեկությունների մշակում և ներկայացում» գործառնություն (P.MM.07.OPR.020)) |
|
5 |
Սահմանափակումները |
ներկայացված տեղեկությունների ձևաչափը և կառուցվածքը պետք է համապատասխանեն Էլեկտրոնային փաստաթղթերի և տեղեկությունների ձևաչափերի ու կառուցվածքների նկարագրությանը |
|
6 |
Գործառնության նկարագրությունը |
կատարողն ստուգում է ստացված տեղեկությունները՝ Տեղեկատվական փոխգործակցության կանոնակարգին համապատասխան |
|
7 |
Արդյունքները |
միասնական ռեեստրից փոփոխված տեղեկություններ կամ հարցման պարամետրերը բավարարող տեղեկությունների բացակայության մասին ծանուցում |
IX. Գործողությունների կարգն արտակարգ իրավիճակներում
69. Ընդհանուր գործընթացի ընթացակարգերը կատարելիս հնարավոր են բացառիկ իրավիճակներ, որոնց ժամանակ տվյալների մշակումը չի կարող անցկացվել սովորական ռեժիմով: Դա կարող է տեղի ունենալ տեխնիկական խափանումների, կառուցվածքային ու ձևաչափատրամաբանական հսկողության սխալների առաջացման և այլ դեպքերում:
70. Կառուցվածքային և ձևաչափատրամաբանական հսկողության սխալների առաջացման դեպքում անդամ պետության լիազորված մարմինը Էլեկտրոնային փաստաթղթերի ու տեղեկությունների ձևաչափերի և կառուցվածքների նկարագրությանն ու էլեկտրոնային փաստաթղթերի և տեղեկությունների լրացման կարգին ներկայացվող պահանջներին համապատասխանության մասով իրականացնում է այն հաղորդագրության ստուգում, որի առնչությամբ ստացվել է սխալի մասին ծանուցում՝ Տեղեկատվական փոխգործակցության կանոնակարգին համապատասխան: Նշված փաստաթղթերի պահանջներին տեղեկությունների անհամապատասխանություն հայտնաբերելու դեպքում անդամ պետության լիազորված մարմինը հայտնաբերված սխալը սահմանված կարգով վերացնելու համար անհրաժեշտ միջոցներ է ձեռնարկում։
71. Արտակարգ իրավիճակների կարգավորման նպատակներով անդամ պետությունները միմյանց և Հանձնաժողովին տեղեկացնում են անդամ պետությունների այն լիազորված մարմինների մասին, որոնց իրավասության շրջանակներում է գտնվում սույն Կանոններով նախատեսված պահանջների կատարումը, ինչպես նաև ներկայացնում են տեղեկություններ ընդհանուր գործընթացն իրագործելիս տեխնիկական աջակցություն ապահովելու համար պատասխանատու անձանց մասին:
|
ՀԱՍՏԱՏՎԱԾ Է Եվրասիական տնտեսական հանձնաժողովի կոլեգիայի 2016 թվականի օգոստոսի 30-ի թիվ 93 որոշմամբ |
ԿԱՆՈՆԱԿԱՐԳ
«Գրանցման նպատակով բժշկական արտադրատեսակների հետազոտությունների (փորձարկումների) անցկացումն իրականացնող՝ Եվրասիական տնտեսական միության լիազորված կազմակերպությունների միասնական ռեեստրի ձևավորում, վարում և օգտագործում» ընդհանուր գործընթացն արտաքին և փոխադարձ առևտրի ինտեգրված տեղեկատվական համակարգի միջոցներով իրագործելիս Եվրասիական տնտեսական միության անդամ պետությունների լիազորված մարմինների և Եվրասիական տնտեսական հանձնաժողովի միջև տեղեկատվական փոխգործակցության
I. Ընդհանուր դրույթներ
1. Սույն Կանոնակարգը մշակվել է Եվրասիական տնտեսական միության (այսուհետ՝ Միություն) իրավունքի մաս կազմող հետևյալ ակտերին համապատասխան՝
«Եվրասիական տնտեսական միության մասին» 2014 թվականի մայիսի 29-ի պայմանագիր. «Եվրասիական տնտեսական միության շրջանակներում բժշկական արտադրատեսակների (բժշկական նշանակության արտադրատեսակների և բժշկական տեխնիկայի) շրջանառության միասնական սկզբունքների և կանոնների մասին» 2014 թվականի դեկտեմբերի 23–ի համաձայնագիր.
Եվրասիական տնտեսական բարձրագույն խորհրդի 2014 թվականի դեկտեմբերի 23-ի ««Եվրասիական տնտեսական միության շրջանակներում բժշկական արտադրատեսակների (բժշկական նշանակության արտադրատեսակների և բժշկական տեխնիկայի) շրջանառության միասնական սկզբունքների և կանոնների մասին» համաձայնագրի իրագործման վերաբերյալ» թիվ 109 որոշում.
Եվրասիական տնտեսական հանձնաժողովի խորհրդի 2016 թվականի փետրվարի 12-ի «Բժշկական արտադրատեսակների շրջանառության ոլորտում տեղեկատվական համակարգի ձևավորման և վարման կարգը հաստատելու մասին» թիվ 30 որոշում.
Եվրասիական տնտեսական հանձնաժողովի կոլեգիայի 2014 թվականի նոյեմբերի 6-ի «Ընդհանուր գործընթացներն արտաքին և փոխադարձ առևտրի ինտեգրված տեղեկատվական համակարգի միջոցներով իրագործելիս տեղեկատվական փոխգործակցությունը կանոնակարգող տեխնոլոգիական փաստաթղթերի մասին» թիվ 200 որոշում.
Եվրասիական տնտեսական հանձնաժողովի կոլեգիայի 2015 թվականի հունվարի 27-ի «Արտաքին և փոխադարձ առևտրի ինտեգրված տեղեկատվական համակարգում տվյալների էլեկտրոնային փոխանակման կանոնները հաստատելու մասին» թիվ 5 որոշում.
Եվրասիական տնտեսական հանձնաժողովի կոլեգիայի 2015 թվականի ապրիլի 14-ի «Եվրասիական տնտեսական միության շրջանակներում ընդհանուր գործընթացների ցանկի և Եվրասիական տնտեսական հանձնաժողովի կոլեգիայի 2014 թվականի օգոստոսի 19-ի թիվ 132 որոշման մեջ փոփոխություն կատարելու մասին» թիվ 29 որոշում.
Եվրասիական տնտեսական հանձնաժողովի կոլեգիայի 2015 թվականի հունիսի 9-ի «Եվրասիական տնտեսական միության շրջանակներում ընդհանուր գործընթացների վերլուծության, օպտիմալացման, ներդաշնակեցման և նկարագրության մեթոդիկայի մասին» թիվ 63 որոշում.
Եվրասիական տնտեսական հանձնաժողովի խորհրդի 2016 թվականի փետրվարի 12-ի «Բժշկական արտադրատեսակների շրջանառության ոլորտում տեղեկատվական համակարգի ձևավորման և վարման կարգը հաստատելու մասին» թիվ 30 որոշում:
II. Կիրառության ոլորտը
2. Սույն Կանոնակարգը մշակվել է ընդհանուր գործընթացի մասնակիցների կողմից «Գրանցման նպատակով բժշկական արտադրատեսակների հետազոտությունների (փորձարկումների) անցկացումն իրականացնող՝ Եվրասիական տնտեսական միության լիազորված կազմակերպությունների միասնական ռեեստրի ձևավորում, վարում և օգտագործում» ընդհանուր գործընթացի (այսուհետ՝ ընդհանուր գործընթաց) տրանզակցիաների կատարման կարգի և պայմանների, ինչպես նաև դրանց կատարման մեջ իրենց դերի միատեսակ ընկալումն ապահովելու նպատակներով:
3. Սույն Կանոնակարգով սահմանվում են ընդհանուր գործընթացի մասնակիցների միջև տեղեկատվական փոխգործակցության իրագործմանն անմիջականորեն ուղղված՝ ընդհանուր գործընթացի գործառնությունների կատարման կարգին և պայմաններին ներկայացվող պահանջները։
4. Սույն Կանոնակարգը կիրառվում է ընդհանուր գործընթացի մասնակիցների կողմից ընդհանուր գործընթացի շրջանակներում ընթացակարգերի և գործառնությունների կատարման կարգը վերահսկելիս, ինչպես նաև այդ ընդհանուր գործընթացի իրագործումն ապահովող տեղեկատվական համակարգերի բաղադրիչները նախագծելիս, մշակելիս և լրամշակելիս։
III. Հիմնական հասկացությունները
5. Սույն Կանոնակարգի նպատակներով օգտագործվում են հասկացություններ, որոնք ունեն հետևյալ իմաստը՝
«ավտորիզացում»՝ ընդհանուր գործընթացի որոշակի մասնակցին որոշակի գործողությունների կատարման իրավունքի տրամադրում.
Սույն Կանոնակարգում օգտագործվող «նախաձեռնող», «սկզբնավորող գործառնություն», «ընդունող գործառնություն», «ռեսպոնդենտ», «ընդհանուր գործընթացի հաղորդագրություն» և «ընդհանուր գործընթացի տրանզակցիա» հասկացությունները գործածվում են Եվրասիական տնտեսական հանձնաժողովի կոլեգիայի 2015 թվականի հունիսի 9-ի թիվ 63 որոշմամբ հաստատված՝ Եվրասիական տնտեսական միության շրջանակներում ընդհանուր գործընթացների վերլուծության, օպտիմալացման, ներդաշնակեցման և նկարագրության մեթոդիկայով սահմանված իմաստներով։
Սույն Կանոնակարգում օգտագործվող մյուս հասկացությունները կիրառվում են Եվրասիական տնտեսական հանձնաժողովի կոլեգիայի 2016 թվականի օգոստոսի 30-ի թիվ 93 որոշմամբ հաստատված՝ «Գրանցման նպատակով բժշկական արտադրատեսակների հետազոտությունների (փորձարկումների) անցկացումն իրականացնող՝ Եվրասիական տնտեսական միության լիազորված կազմակերպությունների միասնական ռեեստրի ձևավորում, վարում և օգտագործում» ընդհանուր գործընթացն արտաքին և փոխադարձ առևտրի ինտեգրված տեղեկատվական համակարգի միջոցներով իրականացնելիս Տեղեկատվական փոխգործակցության կանոնների (այսուհետ՝ Տեղեկատվական փոխգործակցության կանոններ) 4-րդ կետում սահմանված իմաստներով։
IV. Ընդհանուր գործընթացի շրջանակներում տեղեկատվական փոխգործակցության մասին հիմնական տեղեկությունները
1. Տեղեկատվական փոխգործակցության մասնակիցները
6. Ընդհանուր գործընթացի շրջանակներում տեղեկատվական փոխգործակցության մասնակիցների դերերի ցանկը բերված է 1-ին աղյուսակում։
Աղյուսակ 1
Տեղեկատվական փոխգործակցության մասնակիցների դերերի ցանկը
|
Դերի անվանումը |
Դերի նկարագրությունը |
Դերը կատարող մասնակիցը |
|
1 |
2 |
3 |
|
Տվյալների տիրապետողը |
ներկայացնում է գրանցման նպատակով բժշկական արտադրատեսակների հետազոտություններ (փորձարկումներ) անցկացնող՝ լիազորված կազմակերպությունների վերաբերյալ տեղեկություններ՝ գրանցման նպատակով բժշկական արտադրատեսակների հետազոտությունների (փորձարկումների) անցկացումն իրականացնող՝ Եվրասիական տնտեսական միության լիազորված կազմակերպությունների միասնական ռեեստրը թարմացնելու համար (այսուհետ՝ միասնական ռեեստր) |
անդամ պետության լիազորված մարմին (P.MM.07.ACT.002) |
|
Համակարգողը |
պատասխանատու է միասնական ռեեստրի ձևավորման ու վարման համար, տրամադրում է հասանելիություն տվյալ ռեեստրում պարունակվող տեղեկություններին |
Եվրասիական տնտեսական հանձնաժողով (P.ACT.001) |
2. Տեղեկատվական փոխգործակցության կառուցվածքը
7. Եվրասիական տնտեսական միության անդամ պետությունների լիազորված մարմինների և Եվրասիական տնտեսական հանձնաժողովի միջև (այսուհետ համապատասխանաբար՝ անդամ պետության լիազորված մարմին, Հանձնաժողով) ընդհանուր գործընթացի շրջանակներում տեղեկատվական փոխգործակցությունն իրականացվում է ընդհանուր գործընթացի ընթացակարգերին համապատասխան՝
տեղեկատվական փոխգործակցությունը՝ միասնական ռեեստրը ձևավորելիս և վարելիս.
տեղեկատվական փոխգործակցությունը՝ միասնական ռեեստրն օգտագործելիս:
Անդամ պետությունների լիազորված մարմինների և Հանձնաժողովի միջև տեղեկատվական փոխգործակցության կառուցվածքը ներկայացված է 1-ին նկարում:
Նկ. 1. Անդամ պետությունների լիազորված մարմինների և Հանձնաժողովի միջև տեղեկատվական փոխգործակցության կառուցվածքը
8. Անդամ պետությունների լիազորված մարմինների և Հանձնաժողովի միջև տեղեկատվական փոխգործակցությունն իրագործվում է ընդհանուր գործընթացի շրջանակներում: Ընդհանուր գործընթացի կառուցվածքը սահմանված է Տեղեկատվական փոխգործակցության կանոններում:
9. Տեղեկատվական փոխգործակցությամբ սահմանվում է ընդհանուր գործընթացի այն տրանզակցիաների կատարման կարգը, որոնցից յուրաքանչյուրը ընդհանուր գործընթացի մասնակիցների միջև ընդհանուր գործընթացի տեղեկատվական օբյեկտի վիճակների սինքրոնացման նպատակներով հաղորդագրությունների փոխանակում է։ Յուրաքանչյուր տեղեկատվական փոխգործակցության համար սահմանված են գործառնությունների և այդ գործառնություններին համապատասխանող ընդհանուր գործընթացի տրանզակցիաների միջև փոխադարձ կապեր:
10. Ընդհանուր գործընթացի տրանզակցիա կատարելիս նախաձեռնողն իր կողմից իրականացվող գործառնության (սկզբնավորող գործառնության) շրջանակներում ռեսպոնդենտին է ուղարկում հաղորդագրություն-հարցում, որին ի պատասխան, ռեսպոնդենտն իր կողմից իրականացվող գործառնության (ընդունող գործառնության) շրջանակներում կարող է ուղարկել կամ չուղարկել հաղորդագրություն-պատասխան՝ կախված ընդհանուր գործընթացի տրանզակցիայի ձևանմուշից։ Հաղորդագրության կազմում տվյալների կառուցվածքը պետք է համապատասխանի Եվրասիական տնտեսական հանձնաժողովի կոլեգիայի 2015 թվականի օգոստոսի 30-ի թիվ 93 որոշմամբ հաստատված՝ ընդհանուր գործընթացն արտաքին և փոխադարձ առևտրի ինտեգրված տեղեկատվական համակարգի միջոցներով իրագործելու համար օգտագործվող՝ Էլեկտրոնային փաստաթղթերի և տեղեկությունների ձևաչափերի ու կառուցվածքների նկարագրությանը (այսուհետ՝ Էլեկտրոնային փաստաթղթերի և տեղեկությունների ձևաչափերի ու կառուցվածքների նկարագրություն):
11. Ընդհանուր գործընթացի տրանզակցիաները կատարվում են ընդհանուր գործընթացի տրանզակցիաների տրված պարամետրերին համապատասխան, ինչպես սահմանված է սույն Կանոնակարգով։
V. Տեղեկատվական փոխգործակցությունն ընթացակարգերի խմբերի շրջանակներում։
1. Տեղեկատվական փոխգործակցությունը՝ միասնական ռեեստրը ձևավորելիս և վարելիս
12. Միասնական ռեեստրը ձևավորելիս և վարելիս ընդհանուր գործընթացի տրանզակցիաների կատարման սխեման ներկայացված է 2-րդ նկարում։ Ընդհանուր գործընթացի յուրաքանչյուր ընթացակարգի համար 2-րդ աղյուսակում բերված է ընդհանուր գործընթացի գործառնությունների, տեղեկատվական օբյեկտների միջանկյալ և վերջնական վիճակների ու ընդհանուր գործընթացի տրանզակցիաների միջև կապը։
Նկ. 2. Միասնական ռեեստրը ձևավորելիս և վարելիս ընդհանուր գործընթացի տրանզակցիաների կատարման սխեման
Աղյուսակ 2
Միասնական ռեեստրը ձևավորելիս և վարելիս ընդհանուր գործընթացի տրանզակցիաների ցանկը
|
թիվ |
Նախաձեռնողի կողմից կատարվող գործառնությունը |
Ընդհանուր գործընթացի տեղեկատվական օբյեկտի միջանկյալ վիճակը |
Ռեսպոնդենտի կողմից կատարվող գործառնությունը |
Ընդհանուր գործընթացի տեղեկատվական օբյեկտի վերջնական վիճակը |
Ընդհանուր գործընթացի տրանզակցիան |
|
1 |
2 |
3 |
4 |
5 |
6 |
|
1 |
Միասնական ռեետրում տեղեկությունների ներառում (P.MM.07.PRC.001) | ||||
|
1.1 |
Միասնական ռեեստրում ներառելու համար տեղեկությունների ներկայացում (P.MM.07.OPR.001): Միասնական ռեեստրում ներառելու համար տեղեկությունների մշակման արդյունքների մասին ծանուցման ստացում (P.MM.07.OPR.003) |
միասնական ռեեստր (P.MM.07.BEN.001)՝ ներառելու համար տեղեկությունները փոխանցվել են |
միասնական ռեեստրում ներառելու համար տեղեկությունների ընդունում և մշակում (P.MM.07.OPR.002) |
միասնական ռեեստր (P.MM.07.BEN.001)՝ թարմացված է |
միասնական ռեեստրում ներառելու համար լիազորված կազմակերպությունների վերաբերյալ տեղեկությունների փոխանցում (P.MM.07.TRN.001) |
|
2 |
Միասնական ռեեստրում պարունակվող տեղեկությունների փոփոխում (P.MM.07.PRC.002) | ||||
|
2.1 |
Միասնական ռեեստրում փոփոխություններ կատարելու համար տեղեկությունների ներկայացում (P.MM.07.OPR.005): Ծանուցման ստացում |
միասնական ռեեստր (P.MM.07.BEN.001)՝ փոփոխման համար տեղեկությունները փոխանցվել են |
միասնական ռեեստրում փոփոխություններ կատարելու համար տեղեկությունների ընդունում և մշակում (P.MM.07.OPR.006) |
միասնական ռեեստր (P.MM.07.BEN.001)՝ թարմացված է |
միասնական ռեեստրում փոփոխություններ կատարելու համար լիազորված կազմակերպության վերաբերյալ տեղեկությունների փոխանցում (P.MM.07.TRN.002) |
|
միասնական ռեեստրում տեղեկությունների փոփոխման արդյունքների մասին (P.MM.07.OPR.007) |
|||||
|
3 |
Միասնական ռեեստրից տեղեկությունների հանում (P.MM.07.PRC.003) | ||||
|
3.1 |
Միասնական ռեեստրից հանելու համար տեղեկությունների ներկայացում(P.MM.07.OPR.009): Միասնական ռեեստրից տեղեկությունները հանելու արդյունքների մասին ծանուցման ստացում (P.MM.07.OPR.011) |
միասնական ռեեստր (P.MM.07.BEN.001)՝ հանելու համար տեղեկությունները փոխանցվել են |
միասնական ռեեստրից հանելու համար տեղեկությունների ընդունում և մշակում (P.MM.07.OPR.010) |
միասնական ռեեստր (P.MM.07.BEN.001)՝ թարմացված է |
միասնական ռեեստրից հանելու համար լիազորված կազմակերպության վերաբերյալ տեղեկությունների փոխանցում (P.MM.07.TRN.003) |
2. Տեղեկատվական փոխգործակցությունը՝ միասնական ռեեստրն օգտագործելիս
13. Միասնական ռեեստրն օգտագործելիս ընդհանուր գործընթացի տրանզակցիաների կատարման սխեման ներկայացված է 3-րդ նկարում։ Ընդհանուր գործընթացի յուրաքանչյուր ընթացակարգի համար 3-րդ աղյուսակում բերված է ընդհանուր գործընթացի գործառնությունների, տեղեկատվական օբյեկտների միջանկյալ և վերջնական վիճակների ու ընդհանուր գործընթացի տրանզակցիաների միջև կապը։
Նկ. 3. Միասնական ռեեստրն օգտագործելիս ընդհանուր գործընթացի տրանզակցիաների կատարման սխեման
Աղյուսակ 3
Միասնական ռեեստրն օգտագործելիս ընդհանուր գործընթացի տրանզակցիաների ցանկը
|
թիվ |
Նախաձեռնողի կողմից կատարվող գործառնությունը |
Ընդհանուր գործընթացի տեղեկատվական օբյեկտի միջանկյալ վիճակը |
Ռեսպոնդենտի կողմից կատարվող գործառնությունը |
Ընդհանուր գործընթացի տեղեկատվական օբյեկտի վերջնական վիճակը |
Ընդհանուր գործընթացի տրանզակցիան |
|
1 |
2 |
3 |
4 |
5 |
6 |
|
1 |
Միասնական ռեեստրի թարմացման ամսաթվի և ժամի վերաբերյալ տեղեկատվության ստացում (P.MM.07.PRC.004) | ||||
|
1.1 |
Միասնական ռեեստրի թարմացման ամսաթվի և ժամի վերաբերյալ տեղեկատվության հարցում (P.MM.07.OPR.013): |
միասնական ռեեստրի (P.MM.07.BEN.001)՝ թարմացման ամսաթվի և ժամի վերաբերյալ տեղեկատվությունը հարցվել է |
միասնական ռեեստրի թարմացման ամսաթվի և ժամի վերաբերյալ տեղեկատվության մշակում ու ներկայացում (P.MM.07.OPR.014) |
միասնական ռեեստր (P.MM.07.BEN.001)՝ թարմացման ամսաթվի և ժամի վերաբերյալ տեղեկատվությունը ներկայացվել է |
միասնական ռեեստրի թարմացման ամսաթվի և ժամի վերաբերյալ տեղեկատվության ստացում (P.MM.07.TRN.004) |
|
2 |
Միասնական ռեեստրից տեղեկությունների ստացում (P.MM.07.PRC.005) | ||||
|
2.1 |
Միասնական ռեեստրից տեղեկությունների հարցում (P.MM.07.OPR.016): |
միասնական ռեեստր (P.MM.07.BEN.001)՝ տեղեկությունները հարցվել են |
միասնական ռեեստրից տեղեկությունների մշակում և ներկայացում (P.MM.07.OPR.017) |
միասնական ռեեստր (P.MM.07.BEN.001)՝ տեղեկությունները բացակայում են: |
միասնական ռեեստրից տեղեկությունների ստացում (P.MM.07.TRN.005) |
|
Միասնական ռեեստրից տեղեկությունների ընդունում և մշակում (P.MM.07.OPR.018) |
միասնական ռեեստր (P.MM.07.BEN.001)՝ տեղեկությունները ներկայացվել են |
||||
|
3 |
Միասնական ռեեստրից փոփոխված տեղեկությունների ստացում (P.MM.07.PRC.006) | ||||
|
3.1 |
Միասնական ռեեստրից փոփոխված տեղեկությունների հարցում (P.MM.07.OPR.019)։ Միասնական ռեեստրից փոփոխված տեղեկությունների ընդունում և մշակում (P.MM.07.OPR.021) |
միասնական ռեեստր (P.MM.07.BEN.001)՝ փոփոխված տեղեկությունները հարցվել են |
միասնական ռեեստրից փոփոխված տեղեկությունների մշակում և ներկայացում (P.MM.07.OPR.020) |
միասնական ռեեստր (P.MM.07.BEN.001)՝ փոփոխված տեղեկությունները բացակայում են։ |
միասնական ռեեստրից փոփոխված տեղեկությունների ստացում (P.MM.07.TRN.006) |
VI. Ընդհանուր գործընթացի հաղորդագրությունների նկարագրությունը
14. Ընդհանուր գործընթացն իրագործելիս տեղեկատվական փոխգործակցության շրջանակներում փոխանցվող՝ ընդհանուր գործընթացի հաղորդագրությունների ցանկը բերված է 4-րդ աղյուսակում։ Հաղորդագրության կազմում տվյալների կառուցվածքը պետք է համապատասխանի Էլեկտրոնային փաստաթղթերի և տեղեկությունների ձևաչափերի ու կառուցվածքների նկարագրությանը։ Էլեկտրոնային փաստաթղթերի և տեղեկությունների ձևաչափերի ու կառուցվածքների նկարագրության մեջ համապատասխան կառուցվածքին հղումը սահմանվում է ըստ 4-րդ աղյուսակի 3-րդ դիրքի արժեքի:
Աղյուսակ 4
Ընդհանուր գործընթացի հաղորդագրությունների ցանկը
|
Ծածկագրային նշագիրը |
Անվանումը |
Էլեկտրոնային փաստաթղթի (տեղեկությունների) կառուցվածքը |
|
1 |
2 |
3 |
|
P.MM.07.MSG.001 |
միասնական ռեեստրում ներառելու համար լիազորված կազմակերպության վերաբերյալ տեղեկություններ |
լիազորված կազմակերպությունների վերաբերյալ տեղեկություններ (R.HC.MM.07.001) |
|
P.MM.07.MSG.002 |
միասնական ռեեստրում փոփոխություններ կատարելու համար լիազորված կազմակերպության վերաբերյալ տեղեկություններ |
լիազորված կազմակերպությունների վերաբերյալ տեղեկություններ (R.HC.MM.07.001) |
|
P.MM.07.MSG.003 |
միասնական ռեեստրից հանելու համար լիազորված կազմակերպության վերաբերյալ տեղեկություններ |
լիազորված կազմակերպությունների վերաբերյալ տեղեկություններ (R.HC.MM.07.001) |
|
P.MM.07.MSG.004 |
միասնական ռեեստրը թարմացնելու արդյունքների մասին ծանուցում |
մշակման արդյունքի մասին ծանուցում (R.006) |
|
P.MM.07.MSG.005 |
միասնական ռեեստրի թարմացման ամսաթվի և ժամի մասին տեղեկատվության հարցում |
ընդհանուր ռեսուրսի արդիականացման վիճակ (R.007) |
|
P.MM.07.MSG.006 |
միասնական ռեեստրի թարմացման ամսաթվի և ժամի վերաբերյալ տեղեկատվություն |
ընդհանուր ռեսուրսի արդիականացման վիճակ (R.007) |
|
P.MM.07.MSG.007 |
միասնական ռեեստրից տեղեկությունների հարցում |
ընդհանուր ռեսուրսի արդիականացման վիճակ (R.007) |
|
P.MM.07.MSG.008 |
միասնական ռեեստրից տեղեկություններ |
լիազորված կազմակերպությունների վերաբերյալ տեղեկություններ (R.HC.MM.07.001) |
|
P.MM.07.MSG.009 |
միասնական ռեեստրում տեղեկությունների բացակայության մասին ծանուցում |
մշակման արդյունքի մասին ծանուցում (R.006) |
|
P.MM.07.MSG.010 |
միասնական ռեեստրից փոփոխված տեղեկությունների հարցում |
ընդհանուր ռեսուրսի արդիականացման վիճակ (R.007) |
|
P.MM.07.MSG.011 |
միասնական ռեեստրից փոփոխված տեղեկություններ |
լիազորված կազմակերպությունների վերաբերյալ տեղեկություններ (R.HC.MM.07.001) |
|
P.MM.07.MSG.012 |
միասնական ռեեստրում փոփոխությունների բացակայության մասին ծանուցում |
մշակման արդյունքի մասին ծանուցում (R.006) |
VII. Ընդհանուր գործընթացի տրանզակցիաների նկարագրությունը
1. «Միասնական ռեեստրում ներառելու համար լիազորված կազմակերպության վերաբերյալ տեղեկությունների փոխանցում» ընդհանուր գործընթացի տրանզակցիան (P.MM.07.TRN.001)
15. «Միասնական ռեեստրում ներառելու համար լիազորված կազմակերպության վերաբերյալ տեղեկությունների փոխանցում» ընդհանուր գործընթացի տրանզակցիան (P.MM.07.TRN.001) կատարվում է համապատասխան տեղեկությունները ռեսպոնդենտին փոխանցելու համար: Ընդհանուր գործընթացի նշված տրանզակցիայի կատարման սխեման ներկայացված է 4-րդ նկարում։ Ընդհանուր գործընթացի տրանզակցիայի պարամետրերը բերված են 5-րդ աղյուսակում։
Նկ. 4. «Միասնական ռեեստրում ներառելու համար լիազորված կազմակերպության վերաբերյալ տեղեկությունների փոխանցում» ընդհանուր գործընթացի տրանզակցիայի (P.MM.07.TRN.001) կատարման սխեման
Աղյուսակ 5
«Միասնական ռեեստրում ներառելու համար լիազորված կազմակերպության վերաբերյալ տեղեկությունների փոխանցում» ընդհանուր գործընթացի տրանզակցիայի (P.MM.07.TRN.001) նկարագրությունը
|
թիվ |
Պարտադիր տարրը |
Նկարագրությունը |
|
1 |
2 |
3 |
|
1 |
Ծածկագրային նշագիրը |
P.MM.07.TRN.001 |
|
2 |
Ընդհանուր գործընթացի տրանզակցիայի անվանումը |
միասնական ռեեստրում ներառելու համար լիազորված կազմակերպության վերաբերյալ տեղեկությունների փոխանցում |
|
3 |
Ընդհանուր գործընթացի տրանզակցիայի ձևանմուշը |
հարցում/պատասխան |
|
4 |
Սկզբնավորող դերը |
նախաձեռնող |
|
5 |
Սկզբնավորող գործառնությունը |
միասնական ռեեստրում ներառելու համար տեղեկությունների ներկայացում |
|
6 |
Արձագանքող դերը |
ռեսպոնդենտ |
|
7 |
Ընդունող գործառնությունը |
միասնական ռեեստրում ներառելու համար տեղեկությունների ընդունում և մշակում |
|
8 |
Ընդհանուր գործընթացի տրանզակցիայի կատարման արդյունքը |
միասնական ռեեստր (P.MM.07.BEN.001)՝ թարմացված է |
|
9 |
Ընդհանուր գործընթացի տրանզակցիայի պարամետրերը՝ ստացումը հաստատելու ժամանակը մշակման ընդունումը հաստատելու ժամանակը պատասխանին սպասելու ժամանակը ավտորիզացման հատկանիշը կրկնությունների քանակը |
- 20 րոպե 1 ժամ այո 3 |
|
10 |
Ընդհանուր գործընթացի պատասխան հաղորդագրություն |
միասնական ռեեստրում ներառելու համար լիազորված կազմակերպության վերաբերյալ տեղեկություններ (P.MM.07.MSG.001) |
|
11 |
Ընդհանուր գործընթացի տրանզակցիայի հաղորդագրությունների պարամետրերը՝ |
|
|
ԷԹՍ հատկանիշ | ||
|
սխալ ԷԹՍ-ով էլեկտրոնային փաստաթղթի փոխանցում |
2. «Միասնական ռեեստրում փոփոխություններ կատարելու համար լիազորված կազմակերպության վերաբերյալ տեղեկությունների փոխանցում» գ (P.MM.07.TRN.002)
16. «Միասնական ռեեստրում փոփոխություններ կատարելու համար լիազորված կազմակերպության վերաբերյալ տեղեկությունների փոխանցում» ընդհանուր գործընթացի տրանզակցիան (P.MM.07.TRN.002) կատարվում է համապատասխան տեղեկությունները ռեսպոնդենտին փոխանցելու համար: Ընդհանուր գործընթացի նշված տրանզակցիայի կատարման սխեման ներկայացված է 5-րդ նկարում։ Ընդհանուր գործընթացի տրանզակցիայի պարամետրերը բերված են 6-րդ աղյուսակում։
Նկ. 5. «Միասնական ռեեստրում փոփոխություններ կատարելու համար լիազորված կազմակերպության վերաբերյալ տեղեկությունների փոխանցում» ընդհանուր գործընթացի տրանզակցիայի (P.MM.07.TRN.002) կատարման սխեման
Աղյուսակ 6
«Միասնական ռեեստրում փոփոխություններ կատարելու համար լիազորված կազմակերպության վերաբերյալ տեղեկությունների փոխանցում» ընդհանուր գործընթացի տրանզակցիայի (P.MM.07.TRN.002) նկարագրությունը
|
թիվ |
Պարտադիր տարրը |
Նկարագրությունը |
|
1 |
2 |
3 |
|
1 |
Ծածկագրային նշագիրը |
P.MM.07.TRN.002 |
|
2 |
Ընդհանուր գործընթացի տրանզակցիայի անվանումը |
միասնական փոփոխություններ կատարելու համար լիազորված կազմակերպության վերաբերյալ տեղեկությունների փոխանցում |
|
3 |
Ընդհանուր գործընթացի տրանզակցիայի ձևանմուշը |
հարցում/պատասխան |
|
4 |
Սկզբնավորող դերը |
նախաձեռնող |
|
5 |
Սկզբնավորող գործառնությունը |
միասնական ռեեստրում փոփոխություններ կատարելու համար տեղեկությունների ներկայացում |
|
6 |
Արձագանքող դերը |
ռեսպոնդենտ |
|
7 |
Ընդունող գործառնությունը |
միասնական ռեեստրում փոփոխություններ կատարելու համար տեղեկությունների ընդունում և մշակում |
|
8 |
Ընդհանուր գործընթացի տրանզակցիայի կատարման արդյունքը |
միասնական ռեեստր (P.MM.07.BEN.001)՝ թարմացված է |
|
9 |
Ընդհանուր գործընթացի տրանզակցիայի պարամետրերը՝ |
այո 3 |
|
ստացումը հաստատելու ժամանակը | ||
|
մշակման ընդունումը հաստատելու ժամանակը | ||
|
պատասխանին սպասելու ժամանակը | ||
|
ավտորիզացման հատկանիշը | ||
|
կրկնությունների քանակը | ||
|
10 |
Ընդհանուր գործընթացի տրանզակցիայի հաղորդագրությունները՝ սկզբնավորող հաղորդագրություն պատասխան հաղորդագրությունը |
միասնական ռեեստրում փոփոխություններ կատարելու համար լիազորված կազմակերպության վերաբերյալ տեղեկություններ (P.MM.07.MSG.002) միասնական ռեեստրը թարմացնելու արդյունքների մասին ծանուցում (P.MM.07.MSG.004) |
|
11 |
Ընդհանուր գործընթացի տրանզակցիայի հաղորդագրությունների պարամետրերը՝ |
ոչ՝ P.MM.07.MSG.002-ի համար (բացառությամբ այն դեպքերի, երբ ընդհանուր գործընթացի շրջանակներում տեղեկատվական փոխգործակցության իրականացման ժամանակ ԷԹՍ-ի կիրառումը նախատեսված է Հանձնաժողովի կոլեգիայի համապատասխան որոշմամբ) ոչ՝ P.MM.07.MSG.004-ի համար - |
|
ԷԹՍ հատկանիշ | ||
|
սխալ ԷԹՍ-ով էլեկտրոնային փաստաթղթի փոխանցում |
3.«Միասնական ռեեստրից հանելու համար լիազորված կազմակերպության վերաբերյալ տեղեկությունների փոխանցում» ընդհանուր գործընթացի տրանզակցիան (P.MM.07.TRN.003)
17. «Միասնական ռեեստրից հանելու համար լիազորված կազմակերպության վերաբերյալ տեղեկությունների փոխանցում» ընդհանուր գործընթացի տրանզակցիան (P.MM.07.TRN.003) կատարվում է համապատասխան տեղեկությունները ռեսպոնդենտին փոխանցելու համար: Ընդհանուր գործընթացի նշված տրանզակցիայի կատարման սխեման ներկայացված է 6-րդ նկարում։ Ընդհանուր գործընթացի տրանզակցիայի պարամետրերը բերված են 7-րդ աղյուսակում։
Նկ. 6. «Միասնական ռեեստրից հանելու համար լիազորված կազմակերպության վերաբերյալ տեղեկությունների փոխանցում» ընդհանուր գործընթացի տրանզակցիայի (P.MM.07.TRN.003) կատարման սխեման
Աղյուսակ 7
«Միասնական ռեեստրից հանելու համար լիազորված կազմակերպության վերաբերյալ տեղեկությունների փոխանցում» ընդհանուր գործընթացի տրանզակցիայի (P.MM.07.TRN.003) նկարագրությունը
|
թիվ |
Պարտադիր տարրը |
Նկարագրությունը |
|
1 |
2 |
3 |
|
1 |
Ծածկագրային նշագիրը |
P.MM.07.TRN.003 |
|
2 |
Ընդհանուր գործընթացի տրանզակցիայի անվանումը |
միասնական ռեեստրից հանելու համար լիազորված կազմակերպության վերաբերյալ տեղեկությունների փոխանցում |
|
3 |
Ընդհանուր գործընթացի տրանզակցիայի ձևանմուշը |
հարցում/պատասխան |
|
4 |
Սկզբնավորող դերը |
նախաձեռնող |
|
5 |
Սկզբնավորող գործառնությունը |
միասնական ռեեստրից հանելու համար տեղեկությունների ներկայացում |
|
6 |
Արձագանքող դերը |
ռեսպոնդենտ |
|
7 |
Ընդունող գործառնությունը |
միասնական ռեեստրից հանելու համար տեղեկությունների ընդունում և մշակում |
|
8 |
Ընդհանուր գործընթացի տրանզակցիայի կատարման արդյունքը |
միասնական ռեեստր (P.MM.07.BEN.001)՝ թարմացված է |
|
9 |
Ընդհանուր գործընթացի տրանզակցիայի պարամետրերը՝ |
- 20 րոպե 1 ժամ այո 3 |
|
ստացումը հաստատելու ժամանակը | ||
|
մշակման ընդունումը հաստատելու ժամանակը | ||
|
պատասխանին սպասելու ժամանակը | ||
|
ավտորիզացման հատկանիշը | ||
|
կրկնությունների քանակը | ||
|
10 |
Ընդհանուր գործընթացի տրանզակցիայի հաղորդագրությունները՝ սկզբնավորող հաղորդագրությը պատասխան հաղորդագրությունը |
միասնական ռեեստրից հանելու համար լիազորված կազմակերպության վերաբերյալ տեղեկություններ (P.MM.07.MSG.003) միասնական ռեեստրը թարմացնելու արդյունքների մասին ծանուցում (P.MM.07.MSG.004) |
|
11 |
Ընդհանուր գործընթացի տրանզակցիայի հաղորդագրությունների պարամետրերը՝ |
ոչ՝ P.MM.07.MSG.003-ի համար (բացառությամբ այն դեպքերի, երբ ընդհանուր գործընթացի շրջանակներում տեղեկատվական փոխգործակցության իրականացման ժամանակ ԷԹՍ-ի կիրառումը նախատեսված է Հանձնաժողովի կոլեգիայի համապատասխան որոշմամբ) ոչ՝ P.MM.07.MSG.004-ի համար - |
|
ԷԹՍ հատկանիշ | ||
|
սխալ ԷԹՍ-ով էլեկտրոնային փաստաթղթի փոխանցում |
4. «Միասնական ռեեստրի թարմացման ամսաթվի և ժամի վերաբերյալ տեղեկատվության ստացում» ընդհանուր գործընթացի տրանզակցիան (P.MM.07.TRN.004)
18. «Միասնական ռեեստրի թարմացման ամսաթվի և ժամի մասին տեղեկատվության ստացում» ընդհանուր գործընթացի տրանզակցիան (P.MM.07.TRN.004) կատարվում է նախաձեռնողի հարցմամբ ռեսպոնդենտի կողմից համապատասխան տեղեկություններ ներկայացնելու համար։ Ընդհանուր գործընթացի նշված տրանզակցիայի կատարման սխեման ներկայացված է 7-րդ նկարում։ Ընդհանուր գործընթացի տրանզակցիայի պարամետրերը բերված են 8-րդ աղյուսակում։
Նկ. 7. «Միասնական ռեեստրի թարմացման ամսաթվի և ժամի վերաբերյալ տեղեկատվության ստացում» ընդհանուր գործընթացի տրանզակցիայի (P.MM.07.TRN.004) կատարման սխեման
Աղյուսակ 8
«Միասնական ռեեստրի թարմացման ամսաթվի և ժամի վերաբերյալ տեղեկատվության ստացում» ընդհանուր գործընթացի տրանզակցիայի (P.MM.07.TRN.004) նկարագրությունը
|
թիվ |
Պարտադիր տարրը |
Նկարագրությունը |
|
1 |
2 |
3 |
|
1 |
Ծածկագրային նշագիրը |
P.MM.07.TRN.004 |
|
2 |
Ընդհանուր գործընթացի տրանզակցիայի անվանումը |
միասնական ռեեստրի թարմացման ամսաթվի և ժամի վերաբերյալ տեղեկատվության ստացում |
|
3 |
Ընդհանուր գործընթացի տրանզակցիայի ձևանմուշը |
հարցում/պատասխան |
|
4 |
Սկզբնավորող դերը |
նախաձեռնող |
|
5 |
Սկզբնավորող գործառնությունը |
միասնական ռեեստրի թարմացման ամսաթվի և ժամի վերաբերյալ տեղեկատվության հարցում և ստացում |
|
6 |
Արձագանքող դերը |
ռեսպոնդենտ |
|
7 |
Ընդունող գործառնությունը |
միասնական ռեեստրի թարմացման ամսաթվի և ժամի վերաբերյալ տեղեկատվության ներկայացում |
|
8 |
Ընդհանուր գործընթացի տրանզակցիայի կատարման արդյունքը |
միասնական ռեեստր (P.MM.07.BEN.001)՝ թարմացման ամսաթվի և ժամի վերաբերյալ տեղեկատվությունը ներկայացվել է |
|
9 |
Ընդհանուր գործընթացի տրանզակցիայի պարամետրերը՝ ստացումը հաստատելու ժամանակը մշակման ընդունումը հաստատելու ժամանակը պատասխանին սպասելու ժամանակը ավտորիզացման հատկանիշը կրկնությունների քանակը |
- - 1 ժամ այո 3 |
|
10 |
Ընդհանուր գործընթացի տրանզակցիայի հաղորդագրությունները՝ սկզբնավորող հաղորդագրությը պատասխան հաղորդագրությունը |
միասնական ռեեստրի թարմացման ամսաթվի և ժամի մասին տեղեկատվության հարցում (P.MM.07.MSG.005) միասնական ռեեստրի թարմացման ամսաթվի և ժամի մասին տեղեկատվություն (P.MM.07.MSG.006) |
|
11 |
Ընդհանուր գործընթացի տրանզակցիայի հաղորդագրությունների պարամետրերը՝ ԷԹՍ հատկանիշ սխալ ԷԹՍ-ով էլեկտրոնային փաստաթղթի փոխանցում |
ոչ - |
5. «Միասնական ռեեստրից տեղեկությունների ստացում» ընդհանուր գործընթացի տրանզակցիան (P.MM.07.TRN.005)
19. «Միասնական ռեեստրից տեղեկությունների ստացում» ընդհանուր գործընթացի տրանզակցիան (P.MM.07.TRN.005) կատարվում է նախաձեռնողի հարցմամբ ռեսպոնդենտին համապատասխան տեղեկություններ ներկայացնելու համար։ Ընդհանուր գործընթացի նշված տրանզակցիայի կատարման սխեման ներկայացված է 8-րդ նկարում։ Ընդհանուր գործընթացի տրանզակցիայի պարամետրերը բերված են 9-րդ աղյուսակում։
Նկ. 8. «Միասնական ռեեստրից տեղեկությունների ստացում» ընդհանուր գործընթացի տրանզակցիայի (P.MM.07.TRN.005) կատարման սխեման
Աղյուսակ 9
«Միասնական ռեեստրից տեղեկությունների ստացում» ընդհանուր գործընթացի տրանզակցիայի (P.MM.07.TRN.005) նկարագրությունը
|
թիվ |
Պարտադիր տարրը |
Նկարագրությունը |
|
1 |
2 |
3 |
|
1 |
Ծածկագրային նշագիրը |
P.MM.07.TRN.005 |
|
2 |
Ընդհանուր գործընթացի տրանզակցիայի անվանումը |
միասնական ռեեստրից տեղեկությունների ստացում |
|
3 |
Ընդհանուր գործընթացի տրանզակցիայի ձևանմուշը |
հարցում/պատասխան |
|
4 |
Սկզբնավորող դերը |
նախաձեռնող |
|
5 |
Սկզբնավորող գործառնությունը |
միասնական ռեեստրից տեղեկությունների հարցում և ստացում |
|
6 |
Արձագանքող դերը |
ռեսպոնդենտ |
|
7 |
Ընդունող գործառնությունը |
միասնական ռեեստրից տեղեկությունների ներկայացում |
|
8 |
Ընդհանուր գործընթացի տրանզակցիայի կատարման արդյունքը |
միասնական ռեեստր (P.MM.07.BEN.001)՝ տեղեկությունները բացակայում են միասնական ռեեստր (P.MM.07.BEN.001)՝ տեղեկությունները ներկայացվել են |
|
9 |
Ընդհանուր գործընթացի տրանզակցիայի պարամետրերը՝ ստացումը հաստատելու համար ժամանակը մշակման ընդունումը հաստատելու ժամանակը պատասխանի սպասելու ժամանակը ավտորիզացման հատկանիշը կրկնությունների քանակը |
- 20 րոպե 1 ժամ այո 3 |
|
10 |
Ընդհանուր գործընթացի տրանզակցիայի հաղորդագրությունները՝ սկզբնավորող հաղորդագրությը պատասխան հաղորդագրությունը |
միասնական ռեեստրից տեղեկությունների հարցում (P.MM.07.MSG.007) տեղեկություններ միասնական ռեեստրից (P.MM.07.MSG.008) միասնական ռեեստրում տեղեկությունների բացակայության մասին ծանուցում (P.MM.07.MSG.009) |
|
11 |
Ընդհանուր գործընթացի տրանզակցիայի հաղորդագրությունների պարամետրերը՝ ԷԹՍ հատկանիշ սխալ ԷԹՍ-ով էլեկտրոնային փաստաթղթի փոխանցում |
ոչ - |
6. «Միասնական ռեեստրից փոփոխված տեղեկությունների ստացում» ընդհանուր գործընթացի տրանզակցիան (P.MM.07.TRN.006)
20. «Միասնական ռեեստրից փոփոխված տեղեկությունների ստացում» ընդհանուր գործընթացի տրանզակցիան (P.MM.07.TRN.006) կատարվում է նախաձեռնողի հարցմամբ ռեսպոնդենտին համապատասխան տեղեկություններ ներկայացնելու համար։ Ընդհանուր գործընթացի նշված տրանզակցիայի կատարման սխեման ներկայացված է 9-րդ նկարում։ Ընդհանուր գործընթացի տրանզակցիայի պարամետրերը բերված են 10-րդ աղյուսակում։
Նկ. 9. «Միասնական ռեեստրից փոփոխված տեղեկությունների ստացում» ընդհանուր գործընթացի տրանզակցիայի (P.MM.07.TRN.006) կատարման սխեման
Աղյուսակ 10
«Միասնական ռեեստրից փոփոխված տեղեկությունների ստացում» ընդհանուր գործընթացի տրանզակցիայի (P.MM.07.TRN.006) նկարագրությունը
|
թիվ |
Պարտադիր տարրը |
Նկարագրությունը |
|
1 |
2 |
3 |
|
1 |
Ծածկագրային նշագիրը |
P.MM.07.TRN.006 |
|
2 |
Ընդհանուր գործընթացի տրանզակցիայի անվանումը |
միասնական ռեեստրից փոփոխված տեղեկությունների ստացում |
|
3 |
Ընդհանուր գործընթացի տրանզակցիայի ձևանմուշը |
հարցում/պատասխան |
|
4 |
Սկզբնավորող դերը |
նախաձեռնող |
|
5 |
Սկզբնավորող գործառնությունը |
միասնական ռեեստրից փոփոխված տեղեկությունների հարցում և ստացում |
|
6 |
Արձագանքող դերը |
ռեսպոնդենտ |
|
7 |
Ընդունող գործառնությունը |
միասնական ռեեստրից փոփոխված տեղեկությունների ներկայացում |
|
8 |
Ընդհանուր գործընթացի տրանզակցիայի կատարման արդյունքը |
միասնական ռեեստր (P.MM.07.BEN.001)՝ փոփոխված տեղեկությունները բացակայում են միասնական ռեեստր (P.MM.07.BEN.001)՝ փոփոխված տեղեկությունները ներկայացվել են |
|
9 |
Ընդհանուր գործընթացի տրանզակցիայի պարամետրերը՝ |
- 20 րոպե 1 ժամ այո 3 |
|
ստացումը հաստատելու ժամանակը | ||
|
մշակման ընդունումը հաստատելու ժամանակը | ||
|
պատասխանին սպասելու ժամանակը | ||
|
ավտորիզացման հատկանիշը | ||
|
կրկնությունների քանակը | ||
|
10 |
Ընդհանուր գործընթացի տրանզակցիայի հաղորդագրությունները՝ սկզբնավորող հաղորդագրություն պատասխան հաղորդագրությունը |
միասնական ռեեստրից փոփոխված տեղեկությունների հարցում (P.MM.07.MSG.010) միասնական ռեեստրից փոփոխված տեղեկություններ (P.MM.07.MSG.011) միասնական ռեեստրում փոփոխությունների բացակայության մասին ծանուցում (P.MM.07.MSG.012) |
|
11 |
Ընդհանուր գործընթացի տրանզակցիայի հաղորդագրությունների պարամետրերը՝ |
ոչ - |
|
ԷԹՍ հատկանիշ | ||
|
սխալ ԷԹՍ-ով էլեկտրոնային փաստաթղթի փոխանցում |
VIII. Արտակարգ իրավիճակներում գործողությունների կարգը
21. Ընդհանուր գործընթացի շրջանակներում տեղեկատվական փոխգործակցության ժամանակ հնարավոր են այնպիսի արտակարգ իրավիճակներ, երբ տվյալների մշակումը չի կարող կատարվել սովորական ռեժիմով: Արտակարգ իրավիճակներն առաջանում են տեխնիկական խափանումների, սպասման ժամանակը լրանալու և այլ դեպքերում: Ընդհանուր գործընթացի մասնակցի կողմից արտակարգ իրավիճակի առաջացման պատճառների վերաբերյալ մեկնաբանություններ և այն կարգավորելու վերաբերյալ առաջարկություններ ստանալու համար պետք է նախատեսված լինի արտաքին և փոխադարձ առևտրի ինտեգրված տեղեկատվական համակարգի աջակցության ծառայություն համապատասխան հարցում ուղարկելու հնարավորությունը։ Արտակարգ իրավիճակի կարգավորման վերաբերյալ ընդհանուր առաջարկությունները բերված են 11-րդ աղյուսակում:
22. Անդամ պետության լիազորված մարմինն անցկացնում է Էլեկտրոնային փաստաթղթերի և տեղեկությունների ձևաչափերի ու կառուցվածքների նկարագրությանը և սույն Կանոնակարգի IX բաժնում նշված հաղորդագրությունների հսկմանը ներկայացվող պահանջներին այն հաղորդագրության համապատասխանության ստուգում, որի կապակցությամբ ստացվել է սխալի մասին ծանուցումը: Այն դեպքում, երբ հայտնաբերվել է նշված պահանջներին անհամապատասխանություն, անդամ պետության լիազորված մարմինը հայտնաբերված սխալը վերացնելու համար ձեռնարկում է բոլոր անհրաժեշտ միջոցները։ Այն դեպքում, երբ անհամապատասխանություն չի հայտնաբերվել, անդամ պետության լիազորված մարմինն այդ արտակարգ իրավիճակի նկարագրությամբ հաղորդագրություն է ուղարկում արտաքին և փոխադարձ առևտրի ինտեգրված տեղեկատվական համակարգի աջակցության ծառայություն։
Աղյուսակ 11
Գործողություններն արտակարգ իրավիճակներում
|
Արտակարգ իրավիճակի ծածկագիրը |
Արտակարգ իրավիճակի նկարագրությունը |
Արտակարգ իրավիճակի պատճառները |
Արտակարգ իրավիճակի առաջացման դեպքում գործողությունների նկարագրությունը |
|
1 |
2 |
3 |
4 |
|
P.EXC.002 |
ընդհանուր գործընթացի երկկողմ տրանզակցիայի նախաձեռնողը կրկնությունների համաձայնեցված քանակը լրանալուց հետո պատասխան հաղորդագրություն չի ստացել |
տրանսպորտային համակարգում տեխնիկական խափանումներ կամ ծրագրային ապահովման համակարգային սխալ |
անհրաժեշտ է հարցում ուղարկել ազգային հատվածի տեխնիկական աջակցության ծառայություն, որտեղ ձևավորվել է հաղորդագրությունը |
|
P.EXC.004 |
ընդհանուր գործընթացի տրանզակցիայի նախաձեռնողը ստացել է սխալի մասին ծանուցումը |
տեղեկատուներն ու դասակարգիչները չեն սինքրոնացվել կամ էլեկտրոնային փաստաթղթերի (տեղեկությունների) XML սխեմաները չեն թարմացվել |
ընդհանուր գործընթացի տրանզակցիայի նախաձեռնողին հարկավոր է սինքրոնացնել օգտագործվող տեղեկատուներն ու դասակարգիչները կամ թարմացնել էլեկտրոնային փաստաթղթերի (տեղեկությունների) XML սխեմաները։ Եթե տեղեկատուներն ու դասակարգիչները սինքրոնացվել են, էլեկտրոնային փաստաթղթերի (տեղեկությունների) XML սխեմաները թարմացվել են, ապա անհրաժեշտ է հարցում ուղարկել ընդունող մասնակցի աջակցության ծառայություն |
IX. Էլեկտրոնային փաստաթղթերի և տեղեկությունների լրացմանը ներկայացվող պահանջները
23. «Միասնական ռեեստրում ներառելու համար լիազորված կազմակերպության վերաբերյալ տեղեկություններ» (P.MM.07.MSG.001) հաղորդագրությամբ փոխանցվող «Լիազորված կազմակերպությունների վերաբերյալ տեղեկություններ» (R.HC.MM.07.001) էլեկտրոնային փաստաթղթերի (տեղեկությունների) վավերապայմանների լրացմանը ներկայացվող պահանջները բերված են 12-րդ աղյուսակում:
Աղյուսակ 12
«Միասնական ռեեստրում ներառելու համար լիազորված կազմակերպության վերաբերյալ տեղեկություններ» (P.MM.07.MSG.001) հաղորդագրությամբ փոխանցվող «Լիազորված կազմակերպությունների վերաբերյալ տեղեկություններ» (R.HC.MM.07.001) էլեկտրոնային փաստաթղթերի (տեղեկությունների) վավերապայմանների լրացմանը ներկայացվող պահանջները
|
Պահանջի ծածկագիրը |
Պահանջի ձևակերպումը |
|
1 |
էլեկտրոնային հաղորդագրությամբ պետք է փոխանցվի «Լիազորված կազմակերպության վերաբերյալ տեղեկություններ» (hccdo:AuthorizedPartyDetails) վավերապայմանի 1 օրինակ |
|
2 |
«Մեկնարկի ամսաթիվը և ժամը» (csdo:StartDateTime) վավերապայմանը պարտադիր լրացվում է |
|
3 |
«Ավարտի ամսաթիվը և ժամը» (csdo:EndDateTime) վավերապայմանը չի լրացվում |
|
4 |
«Թարմացման ամսաթիվը և ժամը» (csdo:UpdateDateTime) վավերապայմանը չի լրացվում |
|
5 |
«Երկրի ծածկագիրը» (csdo:UnifiedCountryCode) վավերապայմանը պարտադիր լրացվում է |
|
6 |
«Երկրի ծածկագիրը» (csdo:UnifiedCountryCode) բաղադրյալ վավերապայմանի կազմում «Դասակարգչի նույնականացուցիչ» (codeListId ատրիբուտ) ատրիբուտի արժեքը պետք է պարունակի աշխարհի երկրների դասակարգչի ծածկագրային նշագիրը՝ ISO 3166-1 ստանդարտին համապատասխան |
|
7 |
«Երկրի ծածկագիրը» (csdo:UnifiedCountryCode) վավերապայմանի արժեքը պետք է համապատասխանի երկրի ծածկագրին՝ աշխարհի երկրների դասակարգչի համաձայն՝ ISO 3166-1 ստանդարտին համապատասխան |
|
8 |
«Տնտեսավարող սուբյեկտի անվանումը» (csdo:BusinessEntityName) վավերապայմանը պարտադիր լրացվում է |
|
9 |
«Կազմակերպաիրավական ձևի ծածկագիր» (csdo:BusinessEntityTypeCode) վավերապայմանը կամ «Կազմակերպաիրավական ձևի անվանում» (csdo:BusinessEntityTypeName) վավերապայմանը պետք է լրացված լինի |
|
10 |
«Կազմակերպաիրավական ձևի ծածկագիր» (csdo:BusinessEntityTypeCode) և «Կազմակերպաիրավական ձևի անվանում» (csdo:BusinessEntityTypeName) վավերապայմանների միաժամանակյա լրացում չի թույլատրվում |
|
11 |
եթե «Կազմակերպաիրավական ձևի ծածկագիր» (csdo:BusinessEntityTypeCode) վավերապայմանը լրացված է, ապա դրա արժեքը պետք է համապատասխանի կազմակերպաիրավական ձևի ծածկագրին՝ Տեղեկատվական փոխգործակցության կանոնների VII բաժնում նշված դասակարգչի համաձայն |
|
12 |
«Տնտեսավարող սուբյեկտի նույնականացուցիչը» (csdo:BusinessEntityId) վավերապայմանը պարտադիր լրացվում է |
|
13 |
«Հասցե» (ccdo:SubjectAddressDetails) վավերապայմանը պարտադիր լրացվում է |
|
14 |
«Հասցե» (ccdo:SubjectAddressDetails) բաղադրյալ վավերապայմանի կազմում «Երկրի ծածկագիրը» (csdo:UnifiedCountryCode) վավերապայմանը պարտադիր լրացվում է |
|
15 |
«Հասցե» (ccdo:SubjectAddressDetails) բաղադրյալ վավերապայմանի կազմում «Հասցեի տեսակի ծածկագիրը» (csdo:AddressKindCode) վավերապայմանը պարտադիր լրացվում է |
|
16 |
«Հասցե» (ccdo:SubjectAddressDetails) վավերապայմանի կազմում «Հասցեի տեսակի ծածկագիրը» (csdo:AddressKindCode) վավերապայմանի արժեքը պետք է համապատասխանի հետևյալ արժեքներից մեկին՝ 1՝ «գրանցման հասցե». 2՝ «փաստացի հասցե». 3՝ «փոստային հասցե» |
|
17 |
«Հասցե» (ccdo:SubjectAddressDetails) վավերապայմանի կազմում պետք է լրացվի հետևյալ վավերապայմաններից մեկը՝ «Քաղաք» (csdo:CityName). «Բնակավայր» (csdo:SettlementName) |
|
18 |
«Հասցե» (ccdo:SubjectAddressDetails) բաղադրյալ վավերապայմանի կազմում «Փողոց» (csdo:StreetName) վավերապայմանը պարտադիր լրացվում է |
|
19 |
«Հասցե» (ccdo:SubjectAddressDetails) բաղադրյալ վավերապայմանի կազմում «Շենքի համարը» (csdo:BuildingNumberId) վավերապայմանը պարտադիր լրացվում է |
|
20 |
եթե «Լիազորված կազմակերպության վերաբերյալ տեղեկություններ» (hccdo:AuthorizedPartyDetails) և (կամ) «Տնտեսավարող սուբյեկտի ղեկավարի վերաբերյալ տեղեկություններ» (hccdo:AuthorizedPartyManagerDetails) վավերապայմանները լրացված են, ապա դրանց կազմում պետք է լրացված լինեն «Կոնտակտային վավերապայման» (ccdo:CommunicationDetails) վավերապայմանի առնվազն 2 օրինակ, որոնցից մեկում «Կապի տեսակի ծածկագիրը» (csdo:CommunicationChannelCode) կամ «Կապի տեսակի անվանումը» (csdo:CommunicationChannelName) վավերապայմանների արժեքները պետք է համապատասխանեն «հեռախոս» արժեքին, իսկ «Կոնտակտային վավերապայման» (ccdo:CommunicationDetails) վավերապայմանի մյուս օրինակում նշված վավերապայմանների արժեքները պետք է համապատասխանեն «էլեկտրոնային փոստ» արժեքին |
|
21 |
եթե «Կապի տեսակի ծածկագիրը» (csdo:CommunicationChannelCode) կամ «Կապի տեսակի անվանումը» (csdo:CommunicationChannelName) վավերապայմանի արժեքը համապատասխանում է «էլեկտրոնային փոստ» արժեքին, ապա «Կապուղու նույնականացուցիչ» (csdo:CommunicationChannelId) վավերապայմանի արժեքը պետք է համապատասխանի «.+@.+\..+» ձևանմուշին |
|
22 |
եթե «Կապի տեսակի ծածկագիրը» (csdo:CommunicationChannelCode) վավերապայմանը լրացված է, ապա դրա արժեքը պետք է համապատասխանի հետևյալ արժեքներից մեկին՝ AO՝ «Ինտերնետ ցանցում կայքի հասցե». TE՝ «հեռախոս». EM՝ «էլեկտրոնային փոստ». FX՝ «հեռատպիչ» |
|
23 |
«ԱԱՀ» (ccdo:FullNameDetails) բաղադրյալ վավերապայմանի կազմում «Անուն» (csdo:FirstName) վավերապայմանը պարտադիր լրացվում է |
|
24 |
«ԱԱՀ» (ccdo:FullNameDetails) բաղադրյալ վավերապայմանի կազմում «Ազգանուն» (csdo:LastName) վավերապայմանը պարտադիր լրացվում է |
|
25 |
եթե «Գրանցման նպատակներով բժշկական արտադրատեսակի հետազոտության (փորձարկման) տեսակի ծածկագիր» (hcsdo:ResearchKindCode) վավերապայմանի արժեքը համապատասխանում է «04՝ կլինիկական փորձարկումներ (հետազոտություններ)» արժեքին կամ «05՝ կլինիկական լաբորատոր փորձարկումներ (հետազոտություններ)» արժեքին, ապա պետք է լրացվի «Բժշկական կազմակերպության գործունեության տեսակի ծածկագիրը» (hcsdo:MedicalServiceCode) վավերապայմանը կամ «Բժշկական կազմակերպության գործունեության տեսակի անվանումը» (hcsdo:MedicalServiceText) վավերապայմանը |
|
26 |
«Բժշկական կազմակերպության գործունեության տեսակի ծածկագիրը» (hcsdo:MedicalServiceCode) կամ «Բժշկական կազմակերպության գործունեության տեսակի անվանումը» (hcsdo:MedicalServiceText) վավերապայմանների միաժամանակյա լրացում թույլատրվում է այն դեպքում, երբ «Բժշկական կազմակերպության գործունեության տեսակի ծածկագիրը» (hcsdo:MedicalServiceCode) վավերապայմանի արժեքը համապատասխանում է «այլ» արժեքի |
|
27 |
եթե «Գրանցման նպատակներով բժշկական արտադրատեսակի հետազոտության (փորձարկման) տեսակի ծածկագիր» (hcsdo:ResearchKindCode) վավերապայմանի արժեքը համապատասխանում է «04՝ կլինիկական փորձարկումներ (հետազոտություններ)» արժեքին կամ «05՝ կլինիկական լաբորատոր փորձարկումներ (հետազոտություններ)» արժեքին, ապա «Պաշտոնական փաստաթուղթ» (hccdo:OfficialDocDetails) վավերապայմանը պարտադիր լրացվում է |
|
28 |
«Պաշտոնական փաստաթուղթ» (hccdo:OfficialDocDetails) բաղադրյալ վավերապայմանի կազմում «Փաստաթղթի անվանումը» (csdo:DocName) վավերապայմանը պարտադիր լրացվում է |
|
29 |
«Պաշտոնական փաստաթուղթ» (hccdo:OfficialDocDetails) բաղադրյալ վավերապայմանի կազմում «Փաստաթղթի ամսաթիվը» (csdo:DocCreationDate) վավերապայմանը պարտադիր լրացվում է |
|
30 |
«Պաշտոնական փաստաթուղթ» (hccdo:OfficialDocDetails) բաղադրյալ վավերապայմանի կազմում «Անդամ պետության լիազորված մարմնի անվանումը» (csdo:AuthorityName) վավերապայմանը կամ «Անդամ պետության լիազորված մարմնի նույնականացուցիչ» (csdo:AuthorityId) վավերապայմանը պարտադիր լրացվում է |
|
31 |
եթե «Գրանցման նպատակներով բժշկական արտադրատեսակի հետազոտության (փորձարկման) տեսակի ծածկագիր» (hcsdo:ResearchKindCode) վավերապայմանի արժեքը համապատասխանում է «01՝ տեխնիկական փորձարկումներ», «02՝ կենսաբանական ազդեցության գնահատման նպատակներով հետազոտություններ (փորձարկումներ)» կամ «03՝ չափման միջոցների տեսակի հաստատման նպատակով փորձարկումներ» արժեքին, ապա «Հավատարմագրման վկայագրի վերաբերյալ տեղեկություններ» (hccdo:AccreditationCertificateDetails) վավերապայմանը պարտադիր լրացվում է |
|
32 |
«Հավատարմագրման վկայագրի վերաբերյալ տեղեկություններ» (hccdo:AccreditationCertificateDetails) բաղադրյալ վավերապայմանի կազմում «Նկարագրություն» (csdo:DescriptionText) վավերապայմանը պարտադիր լրացվում է |
|
33 |
միասնական ռեեստրում չպետք է լինեն այնպիսի արժեքներով գրառումներ, որոնք համընկնում են «Երկրի ծածկագիրը» (csdo:UnifiedCountryCode) և «Տնտեսավարող սուբյեկտի նույնականացուցիչը» (csdo:BusinessEntityId) վավերապայմանների՝ փոխանցված արժեքների հետ |
24. «Միասնական ռեեստրում փոփոխություն կատարելու համար լիազորված կազմակերպության վերաբերյալ տեղեկություններ» (P.MM.07.MSG.002) հաղորդագրությամբ փոխանցվող «Լիազորված կազմակերպությունների վերաբերյալ տեղեկություններ» (R.HC.MM.07.001) էլեկտրոնային փաստաթղթերի (տեղեկությունների) վավերապայմանների լրացմանը ներկայացվող պահանջները բերված են 13-րդ աղյուսակում:
Աղյուսակ 13
«Միասնական ռեեստրում փոփոխություն կատարելու համար լիազորված կազմակերպության վերաբերյալ տեղեկություններ» (P.MM.07.MSG.002) հաղորդագրությամբ փոխանցվող «Լիազորված կազմակերպությունների վերաբերյալ տեղեկություններ» (R.HC.MM.07.001) էլեկտրոնային փաստաթղթերի (տեղեկությունների) վավերապայմանների լրացմանը ներկայացվող պահանջները
|
Պահանջի ծածկագիրը |
Պահանջի ձևակերպումը |
|
1 |
էլեկտրոնային հաղորդագրությամբ պետք է փոխանցվի «Լիազորված կազմակերպության վերաբերյալ տեղեկություններ» (hccdo:AuthorizedPartyDetails) վավերապայմանի 1 օրինակ |
|
2 |
«Մեկնարկի ամսաթիվը և ժամը» (csdo:StartDateTime) վավերապայմանը պարտադիր լրացվում է |
|
3 |
փոփոխության համար փոխանցված տեղեկություններում «Ավարտի ամսաթիվը և ժամը» (csdo:EndDateTime) վավերապայմանը չի լրացվում |
|
4 |
փոփոխություն կատարելու համար փոխանցված տեղեկությունների համար միասնական ռեեստրում պետք է առկա լինի «Երկրի ծածկագիրը» (csdo:UnifiedCountryCode), «Տնտեսավարող սուբյեկտի նույնականացուցիչը» (csdo:BusinessEntityId) վավերապայմանների արժեքով «Ավարտի ամսաթիվը և ժամը» (csdo:EndDateTime) չլրացված վավերապայմանին համընկնող գրառում |
|
5 |
«Երկրի ծածկագիրը» (csdo:UnifiedCountryCode) վավերապայմանը պարտադիր լրացվում է |
|
6 |
«Երկրի ծածկագիրը» (csdo:UnifiedCountryCode) բաղադրյալ վավերապայմանի կազմում «Դասակարգչի նույնականացուցիչը» (codeListId ատրիբուտ) ատրիբուտի արժեքը պետք է պարունակի Տեղեկատվական փոխգործակցության կանոնների VII բաժնում նշված՝ աշխարհի երկրների դասակարգչի ծածկագրային նշագիրը |
|
7 |
«Երկրի ծածկագիրը» (csdo:UnifiedCountryCode) վավերապայմանի արժեքը պետք է համապատասխանի երկրի ծածկագրին՝ աշխարհի երկրների դասակարգչի համաձայն՝ ISO 3166-1 ստանդարտին համապատասխան |
|
8 |
«Տնտեսավարող սուբյեկտի անվանումը» (csdo:BusinessEntityName) վավերապայմանը պարտադիր լրացվում է |
|
9 |
«Կազմակերպաիրավական ձևի ծածկագիր» (csdo:BusinessEntityTypeCode) վավերապայմանը կամ «Կազմակերպաիրավական ձևի անվանում» (csdo:BusinessEntityTypeName) վավերապայմանը պարտադիր լրացվում է |
|
10 |
«Կազմակերպաիրավական ձևի ծածկագիր» (csdo:BusinessEntityTypeCode) և «Կազմակերպաիրավական ձևի անվանում» (csdo:BusinessEntityTypeName) վավերապայմանների միաժամանակյա լրացում չի թույլատրվում |
|
11 |
եթե «Կազմակերպաիրավական ձևի ծածկագիր» (csdo:BusinessEntityTypeCode) վավերապայմանը լրացված է, ապա դրա արժեքը պետք է համապատասխանի կազմակերպաիրավական ձևի ծածկագրին՝ Տեղեկատվական փոխգործակցության կանոնների VII բաժնում նշված դասակարգչի համաձայն |
|
12 |
«Տնտեսավարող սուբյեկտի նույնականացուցիչը» (csdo:BusinessEntityId) վավերապայմանը պարտադիր լրացվում է |
|
13 |
«Հասցե» (ccdo:SubjectAddressDetails) վավերապայմանը պարտադիր լրացվում է |
|
14 |
«Հասցե» (ccdo:SubjectAddressDetails) բաղադրյալ վավերապայմանի կազմում «Երկրի ծածկագիրը» (csdo:UnifiedCountryCode) վավերապայմանը պարտադիր լրացվում է |
|
15 |
«Հասցե» (ccdo:SubjectAddressDetails) բաղադրյալ վավերապայմանի կազմում «Հասցեի տեսակի ծածկագիրը» (csdo:AddressKindCode) վավերապայմանը պարտադիր լրացվում է |
|
16 |
«Հասցե» (ccdo:SubjectAddressDetails) վավերապայմանի կազմում «Հասցեի տեսակի ծածկագիրը» (csdo:AddressKindCode) վավերապայմանի արժեքը պետք է համապատասխանի հետևյալ արժեքներից մեկին՝ 1՝ «գրանցման հասցե». 2՝ «փաստացի հասցե». 3՝ «փոստային հասցե» |
|
17 |
«Հասցե» (ccdo:SubjectAddressDetails) վավերապայմանի կազմում պետք է լրացվի «Քաղաք» (csdo:CityName) վավերապայմանը կամ «Բնակավայր» (csdo:SettlementName) վավերապայմանը |
|
18 |
«Հասցե» (ccdo:SubjectAddressDetails) բաղադրյալ վավերապայմանի կազմում «Փողոց» (csdo:StreetName) վավերապայմանը պարտադիր լրացվում է |
|
19 |
«Հասցե» (ccdo:SubjectAddressDetails) բաղադրյալ վավերապայմանի կազմում «Շենքի համարը» (csdo:BuildingNumberId) վավերապայմանը պարտադիր լրացվում է |
|
20 |
եթե «Լիազորված կազմակերպության վերաբերյալ տեղեկություններ» (hccdo:AuthorizedPartyDetails) և (կամ) «Տնտեսավարող սուբյեկտի ղեկավարի վերաբերյալ տեղեկություններ» (hccdo:AuthorizedPartyManagerDetails) վավերապայմանները լրացված են, ապա դրանց կազմում պետք է լրացված լինեն «Կոնտակտային վավերապայման» (ccdo:CommunicationDetails) վավերապայմանի առնվազն 2 օրինակ, որոնցից մեկում «Կապի տեսակի ծածկագիրը» (csdo:CommunicationChannelCode) կամ «Կապի տեսակի անվանումը» (csdo:CommunicationChannelName) վավերապայմանների արժեքները պետք է համապատասխանեն «հեռախոս» արժեքին, իսկ «Կոնտակտային վավերապայման» (ccdo:CommunicationDetails) վավերապայմանի մյուս օրինակում նշված վավերապայմանների արժեքները պետք է համապատասխանեն «էլեկտրոնային փոստ» արժեքին |
|
21 |
եթե «Կապի տեսակի ծածկագիրը» (csdo:CommunicationChannelCode) կամ «Կապի տեսակի անվանումը» (csdo:CommunicationChannelName) վավերապայմանի արժեքը համապատասխանում է «էլեկտրոնային փոստ» արժեքին, ապա «Կապուղու նույնականացուցիչ» (csdo:CommunicationChannelId) վավերապայմանի արժեքը պետք է համապատասխանի «.+@.+\..+» ձևանմուշին |
|
22 |
եթե «Կապի տեսակի ծածկագիրը» (csdo:CommunicationChannelCode) վավերապայմանը լրացված է, ապա դրա արժեքը պետք է համապատասխանի հետևյալ արժեքներից մեկին՝ AO՝ «Ինտերնետ ցանցում կայքի հասցե». TE՝ «հեռախոս». EM՝ «էլեկտրոնային փոստ». FX՝ «հեռատպիչ» |
|
23 |
«ԱԱՀ» (ccdo:FullNameDetails) բաղադրյալ վավերապայմանի կազմում «Անուն» (csdo:FirstName) վավերապայմանը պարտադիր լրացվում է |
|
24 |
«ԱԱՀ» (ccdo:FullNameDetails) բաղադրյալ վավերապայմանի կազմում «Ազգանուն» (csdo:LastName) վավերապայմանը պարտադիր լրացվում է |
|
25 |
եթե «Գրանցման նպատակներով բժշկական արտադրատեսակի հետազոտության (փորձարկման) տեսակի ծածկագիր» (hcsdo:ResearchKindCode) վավերապայմանի արժեքը համապատասխանում է «04՝ կլինիկական փորձարկումներ (հետազոտություններ)» կամ «05՝ կլինիկական լաբորատոր փորձարկումներ (հետազոտություններ)» արժեքին, ապա պետք է լրացվի «Բժշկական կազմակերպության գործունեության տեսակի ծածկագիրը» (hcsdo:MedicalServiceCode) վավերապայմանը կամ «Բժշկական կազմակերպության գործունեության տեսակի անվանումը» (hcsdo:MedicalServiceText) վավերապայմանը |
|
26 |
«Բժշկական կազմակերպության գործունեության տեսակի ծածկագիրը» (hcsdo:MedicalServiceCode) վավերապայմանի կամ «Բժշկական կազմակերպության գործունեության տեսակի անվանումը» (hcsdo:MedicalServiceText) վավերապայմանի միաժամանակյա լրացում թույլատրվում է այն դեպքում, երբ «Բժշկական կազմակերպության գործունեության տեսակի ծածկագիրը» (hcsdo:MedicalServiceCode) վավերապայմանի արժեքը համապատասխանում է «այլ» արժեքի |
|
27 |
եթե «Գրանցման նպատակներով բժշկական արտադրատեսակի հետազոտության (փորձարկման) տեսակի ծածկագիր» (hcsdo:ResearchKindCode) վավերապայմանի արժեքը համապատասխանում է «04՝ կլինիկական փորձարկումներ (հետազոտություններ)» կամ «05՝ կլինիկական լաբորատոր փորձարկումներ (հետազոտություններ)» արժեքին, ապա «Պաշտոնական փաստաթուղթ» (hccdo:OfficialDocDetails) վավերապայմանը պարտադիր լրացվում է |
|
28 |
«Պաշտոնական փաստաթուղթ» (hccdo:OfficialDocDetails) բաղադրյալ վավերապայմանի կազմում «Փաստաթղթի անվանումը» (csdo:DocName) վավերապայմանը պարտադիր լրացվում է |
|
29 |
«Պաշտոնական փաստաթուղթ» (hccdo:OfficialDocDetails) բաղադրյալ վավերապայմանի կազմում «Փաստաթղթի ամսաթիվը» (csdo:DocCreationDate) վավերապայմանը պարտադիր լրացվում է |
|
30 |
«Պաշտոնական փաստաթուղթ» (hccdo:OfficialDocDetails) բաղադրյալ վավերապայմանի կազմում «Անդամ պետության լիազորված մարմնի անվանումը» (csdo:AuthorityName) վավերապայմանը կամ «Անդամ պետության լիազորված մարմնի նույնականացուցիչ» (csdo:AuthorityId) վավերապայմանը պարտադիր լրացվում է |
|
31 |
եթե «Գրանցման նպատակներով բժշկական արտադրատեսակի հետազոտության (փորձարկման) տեսակի ծածկագիր» (hcsdo:ResearchKindCode) վավերապայմանի արժեքը համապատասխանում է «01՝ տեխնիկական փորձարկումներ», «02՝ կենսաբանական ազդեցության գնահատման նպատակներով հետազոտություններ (փորձարկումներ)» կամ «03՝ չափման միջոցների տեսակի հաստատման նպատակով փորձարկումներ» արժեքին, ապա «Հավատարմագրման վկայագրի վերաբերյալ տեղեկություններ» (hccdo:AccreditationCertificateDetails) վավերապայմանը պարտադիր լրացվում է |
|
32 |
«Հավատարմագրման վկայագրի վերաբերյալ տեղեկություններ» (hccdo:AccreditationCertificateDetails) բաղադրյալ վավերապայմանի կազմում «Նկարագրություն» (csdo:DescriptionText) վավերապայմանը պարտադիր լրացվում է |
25. «Միասնական ռեեստրից հանելու համար լիազորված կազմակերպության վերաբերյալ տեղեկություններ» (P.MM.07.MSG.003) հաղորդագրությամբ փոխանցվող «Լիազորված կազմակերպությունների վերաբերյալ տեղեկություններ» (R.HC.MM.07.001) էլեկտրոնային փաստաթղթերի (տեղեկությունների) վավերապայմանների լրացմանը ներկայացվող պահանջները բերված են 14-րդ աղյուսակում:
Աղյուսակ 14
«Միասնական ռեեստրից հանելու համար լիազորված կազմակերպության վերաբերյալ տեղեկություններ» (P.MM.07.MSG.003) հաղորդագրությամբ փոխանցվող «Լիազորված կազմակերպությունների վերաբերյալ տեղեկություններ» (R.HC.MM.07.001) էլեկտրոնային փաստաթղթերի (տեղեկությունների) վավերապայմանների լրացմանը ներկայացվող պահանջները
|
Պահանջի ծածկագիրը |
Պահանջի ձևակերպումը |
|
1 |
էլեկտրոնային հաղորդագրությամբ պետք է փոխանցվի «Լիազորված կազմակերպության վերաբերյալ տեղեկություններ» (hccdo:AuthorizedPartyDetails) վավերապայմանի 1 օրինակ |
|
2 |
«Ավարտի ամսաթիվը և ժամը» (csdo:EndDateTime) վավերապայմանը պարտադիր լրացվում է |
|
3 |
«Ավարտի ամսաթիվը և ժամը» (csdo:EndDateTime) վավերապայմանի արժեքը պետք է լինի «Մեկնարկի ամսաթիվը և ժամը» (csdo:StartDateTime) վավերապայմանի արժեքից ավելի |
|
4 |
հանվող տեղեկությունների համար միասնական ռեեստրում պետք է առկա լինի փոխանցված տեղեկություններով՝ «Երկրի ծածկագիրը» (csdo:UnifiedCountryCode), «Տնտեսավարող սուբյեկտի նույնականացուցիչը» (csdo:BusinessEntityId) վավերապայմանների արժեքներին արժեքով համընկնող պատճենը |
|
5 |
«Տնտեսավարող սուբյեկտի նույնականացուցիչը» (csdo:BusinessEntityId) վավերապայմանը պարտադիր լրացվում է |
|
6 |
«Երկրի ծածկագիրը» (csdo:UnifiedCountryCode) վավերապայմանը պարտադիր լրացվում է |
|
7 |
«Երկրի ծածկագիրը» (csdo:UnifiedCountryCode) բաղադրյալ վավերապայմանի կազմում «Դասակարգչի նույնականացուցիչ» (codeListId ատրիբուտ) ատրիբուտի արժեքը պետք է պարունակի աշխարհի երկրների դասակարգչի ծածկագրային նշագիրը՝ ISO 3166-1 ստանդարտին համապատասխան |
|
8 |
«Երկրի ծածկագիրը» (csdo:UnifiedCountryCode) վավերապայմանի արժեքը պետք է համապատասխանի երկրի ծածկագրին՝ աշխարհի երկրների դասակարգչի համաձայն՝ ISO 3166-1 ստանդարտին համապատասխան |
|
ՀԱՍՏԱՏՎԱԾ Է Եվրասիական տնտեսական հանձնաժողովի կոլեգիայի 2016 թվականի օգոստոսի 30-ի թիվ 93 որոշմամբ |
ՆԿԱՐԱԳՐՈՒԹՅՈՒՆ
«Գրանցման նպատակով բժշկական արտադրատեսակների հետազոտությունների (փորձարկումների) անցկացումն իրականացնող՝ Եվրասիական տնտեսական միության լիազորված կազմակերպությունների միասնական ռեեստրի ձևավորում, վարում և օգտագործում» ընդհանուր գործընթացն արտաքին և փոխադարձ առևտրի ինտեգրված տեղեկատվական համակարգի միջոցներով իրագործելու համար օգտագործվող էլեկտրոնային փաստաթղթերի ու տեղեկությունների ձևաչափերի ու կառուցվածքների
I. Ընդհանուր դրույթները
1. Սույն Նկարագրությունը մշակվել է Եվրասիական տնտեսական միության (այսուհետ՝ Միություն) իրավունքի մաս կազմող հետևյալ ակտերին համապատասխան՝
«Եվրասիական տնտեսական միության մասին» 2014 թվականի մայիսի 29-ի պայմանագիր. Եվրասիական տնտեսական հանձնաժողովի կոլեգիայի 2014 թվականի նոյեմբերի 6-ի «Ընդհանուր գործընթացներն արտաքին և փոխադարձ առևտրի ինտեգրված տեղեկատվական համակարգի միջոցներով իրագործելիս տեղեկատվական փոխգործակցությունը կանոնակարգող տեխնոլոգիական փաստաթղթերի մասին» թիվ 200 որոշում.
Եվրասիական տնտեսական հանձնաժողովի կոլեգիայի 2015 թվականի հունվարի 27-ի «Արտաքին և փոխադարձ առևտրի ինտեգրված տեղեկատվական համակարգում տվյալների էլեկտրոնային փոխանակման կանոնները հաստատելու մասին» թիվ 5 որոշում.
Եվրասիական տնտեսական հանձնաժողովի կոլեգիայի 2015 թվականի ապրիլի 14-ի «Եվրասիական տնտեսական միության շրջանակներում ընդհանուր գործընթացների ցանկի և Եվրասիական տնտեսական հանձնաժողովի կոլեգիայի 2014 թվականի օգոստոսի 19-ի թիվ 132 որոշման մեջ փոփոխություն կատարելու մասին» թիվ 29 որոշում.
Եվրասիական տնտեսական հանձնաժողովի կոլեգիայի 2015 թվականի հունիսի 9-ի «Եվրասիական տնտեսական միության շրջանակներում ընդհանուր գործընթացների վերլուծության, օպտիմալացման, ներդաշնակեցման և նկարագրության մեթոդիկայի մասին» թիվ 63 որոշում.
Եվրասիական տնտեսական հանձնաժողովի կոլեգիայի 2015 թվականի սեպտեմբերի 28-ի «Եվրասիական տնտեսական միության անդամ պետությունների պետական իշխանության մարմինների՝ միմյանց միջև և Եվրասիական տնտեսական հանձնաժողովի հետ անդրսահմանային փոխգործակցության ընթացքում էլեկտրոնային փաստաթղթերի փոխանակման մասին հիմնադրույթը հաստատելու մասին» թիվ 125 որոշում։
II. Կիրառության ոլորտը
2. Սույն Նկարագրությամբ սահմանվում են «Գրանցման նպատակով բժշկական արտադրատեսակների հետազոտությունների (փորձարկումների) անցկացումն իրականացնող՝ Եվրասիական տնտեսական միության լիազորված կազմակերպությունների միասնական ռեեստրի ձևավորում, վարում և օգտագործում» ընդհանուր գործընթացի (այսուհետ՝ ընդհանուր գործընթաց) շրջանակներում տեղեկատվական փոխգործակցության ժամանակ օգտագործվող էլեկտրոնային փաստաթղթերի և տեղեկությունների ձևաչափերին ու կառուցվածքներին ներկայացվող պահանջները:
3. Սույն Նկարագրությունը կիրառվում է արտաքին և փոխադարձ առևտրի ինտեգրված տեղեկատվական համակարգի (այսուհետ՝ ինտեգրված համակարգ) միջոցներով ընդհանուր գործընթացի ընթացակարգերն իրականացնելիս տեղեկատվական համակարգերի բաղադրիչների նախագծման, մշակման և լրամշակման ժամանակ:
4. Էլեկտրոնային փաստաթղթերի և տեղեկությունների ձևաչափերի ու կառուցվածքների նկարագրությունը ներկայացվում է աղյուսակի տեսքով՝ վավերապայմանների ամբողջական կազմի նշմամբ՝ հաշվի առնելով ստորակարգության մակարդակներն ընդհուպ մինչև պարզ (անտրոհելի) վավերապայմանները:
5. Աղյուսակում նկարագրվում է էլեկտրոնային փաստաթղթերի (տեղեկությունների) վավերապայմանների (այսուհետ՝ վավերապայմաններ) և տվյալների մոդելի տարրերի միանշանակ համապատասխանությունը:
6. Աղյուսակում կազմավորվում են հետևյալ դաշտերը (վանդակները)՝
«ստորակարգային համար»՝ վավերապայմանի հերթական համարը.
«վավերապայմանի անուն»՝ վավերապայմանի հաստատունացված կամ պաշտոնական բառային նշագիրը.
«վավերապայմանի նկարագրություն»՝ վավերապայմանի իմաստը (իմաստաբանությունը) պարզաբանող տեքստ.
«նույնականացուցիչ»՝ վավերապայմանին համապատասխանող՝ տվյալների մոդելում տվյալների տարրի նույնականացուցիչը.
«արժեքների ոլորտ»՝ վավերապայմանի հնարավոր արժեքների բառային նկարագրությունը.
«բազմ.»՝ վավերապայմանների բազմաքանակություն. վավերապայմանի պարտադիր (կամընտրովի) լինելը և հնարավոր կրկնությունների քանակը:
7. Վավերապայմանների բազմաքանակությունը նշելու համար օգտագործվում են հետևյալ նշագրերը՝
1՝ վավերապայմանը պարտադիր է, կրկնություններ չեն թույլատրվում.
n՝ վավերապայմանը պարտադիր է, պետք է կրկնվի n անգամ (n> 1).
1..*՝ վավերապայմանը պարտադիր է, կարող է կրկնվել առանց սահմանափակումների.
n..*՝ վավերապայմանը պարտադիր է, պետք է կրկնվի ոչ պակաս, քան n անգամ (n > 1).
n..m՝ վավերապայմանը պարտադիր է, պետք է կրկնվի ոչ պակաս, քան n անգամ, և ոչ ավելի, քան m անգամ (n > 1, m > n).
0..1՝ վավերապայմանը կամընտրական է, կրկնություններ չեն թույլատրվում.
0..*՝ վավերապայմանը կամընտրական է, կարող է կրկնվել առանց սահմանափակումների.
0..m՝ վավերապայմանը կամընտրական է, կարող է կրկնվել ոչ ավելի, քան m անգամ (m > 1):
III. Հիմնական հասկացությունները
8. Սույն նկարագրության նպատակներով օգտագործվում են հասկացություններ, որոնք ունեն հետևյալ իմաստը՝
«անդամ պետություն»՝ Միության՝ անդամ հանդիսացող պետություն.
«վավերապայման»՝ էլեկտրոնային փաստաթղթի (տեղեկությունների) տվյալների միավոր, որը որոշակի համատեքստում համարվում է անբաժանելի:
Սույն նկարագրության մեջ օգտագործվող «տվյալների բազիսային մոդել», «տվյալների մոդել», «առարկայական ոլորտի տվյալների մոդել», «առարկայական ոլորտ» և «էլեկտրոնային փաստաթղթերի ու տեղեկությունների կառուցվածքների ռեեստր» հասկացությունները գործածվում են Եվրասիական տնտեսական հանձնաժողովի կոլեգիայի 2015 թվականի հունիսի 9-ի թիվ 63 որոշմամբ հաստատված՝ Եվրասիական տնտեսական միության շրջանակներում ընդհանուր գործընթացների վերլուծության, օպտիմալացման, ներդաշնակեցման և նկարագրության մեթոդիկայով սահմանված իմաստներով։
Սույն նկարագրությունում օգտագործվող այլ հասկացություններ կիրառվում են Եվրասիական տնտեսական հանձնաժողովի կոլեգիայի 2016 թվականի օգոստոսի 30-ի թիվ 93 որոշմամբ հաստատված՝ «Գրանցման նպատակով բժշկական արտադրատեսակների հետազոտությունների (փորձարկումների) անցկացումն իրականացնող՝ Եվրասիական տնտեսական միության լիազորված կազմակերպությունների միասնական ռեեստրի ձևավորում, վարում և օգտագործում» ընդհանուր գործընթացն արտաքին և փոխադարձ առևտրի ինտեգրված տեղեկատվական համակարգի միջոցներով իրագործելիս Տեղեկատվական փոխգործակցության կանոնների 4-րդ կետում սահմանված իմաստներով։
Սույն նկարագրության 4-րդ, 7-րդ և 10-րդ աղյուսակներում Տեղեկատվական փոխգործակցության կանոնակարգ ասելով հասկացվում է Եվրասիական տնտեսական հանձնաժողովի կոլեգիայի 2016 թվականի օգոստոսի 30-ի թիվ 93 որոշմամբ հաստատված՝ «Գրանցման նպատակով բժշկական արտադրատեսակների հետազոտությունների (փորձարկումների) անցկացումն իրականացնող՝ Եվրասիական տնտեսական միության լիազորված կազմակերպությունների միասնական ռեեստրի ձևավորում, վարում և օգտագործում» ընդհանուր գործընթացն արտաքին և փոխադարձ առևտրի ինտեգրված տեղեկատվական համակարգի միջոցներով իրագործելիս Եվրասիական տնտեսական միության անդամ պետությունների լիազոր մարմինների և Եվրասիական տնտեսական հանձնաժողովի միջև տեղեկատվական փոխգործակցության կանոնակարգը։
IV. Էլեկտրոնային փաստաթղթերի և տեղեկությունների կառուցվածքները
9. Էլեկտրոնային փաստաթղթերի և տեղեկությունների կառուցվածքների ցանկը բերված է 1-ին աղյուսակում:
Աղյուսակ 1
Էլեկտրոնային փաստաթղթերի և տեղեկությունների կառուցվածքների ցանկը
|
թիվը |
Նույնականացուցիչը |
Անունը |
Անվանումների տարածությունը |
|
1 |
2 |
3 |
4 |
|
1 |
Էլեկտրոնային փաստաթղթերի և տեղեկությունների կառուցվածքները բազիսային մոդելում | ||
|
1.1 |
R.006 |
մշակման արդյունքի մասին ծանուցում |
urn:EEC:R:ProcessingResult Details:vY.Y.Y |
|
1.2 |
R.007 |
ընդհանուր ռեսուրսի արդիականացման վիճակ |
urn:EEC:R:ResourceStatusDetails:vY.Y.Y |
|
2 |
Էլեկտրոնային փաստաթղթերի և տեղեկությունների կառուցվածքները «Առողջապահություն» առարկայական ոլորտում | ||
|
2.1 |
R.HC.MM.07.001 |
լիազորված կազմակերպությունների վերաբերյալ տեղեկություններ |
urn:EEC:R:HC:MM:07:MedicineAuthorizedSubjectDetails:v1.0.0 |
Էլեկտրոնային փաստաթղթի (տեղեկությունների) կառուցվածքի անվանումների տարածություններում «Y.Y.Y» պայմանանշանները համապատասխանում են Եվրասիական տնտեսական հանձնաժողովի կոլեգիայի 2016 թվականի օգոստոսի 30-ի թիվ 93 որոշման 2-րդ կետին համապատասխան՝ էլեկտրոնային փաստաթղթի (տեղեկությունների) կառուցվածքի տեխնիկական սխեմայի մշակման ժամանակ օգտագործված տվյալների բազիսային մոդելի տարբերակի համարին համապատասխան սահմանվող էլեկտրոնային փաստաթղթի (տեղեկությունների) կառուցվածքի տարբերակի համարին։
1. Էլեկտրոնային փաստաթղթերի և տեղեկությունների կառուցվածքները բազիսային մոդելում
10. «Մշակման արդյունքի մասին ծանուցում» (R.006) էլեկտրոնային փաստաթղթի (տեղեկությունների) կառուցվածքի նկարագրությունը բերված է 2-րդ աղյուսակում:
Աղյուսակ 2
«Մշակման արդյունքի մասին ծանուցում» (R.006) էլեկտրոնային փաստաթղթի (տեղեկությունների) կառուցվածքի նկարագրությունը
|
թիվ |
Տարրի նշագիրը |
Նկարագրություն |
|
1 |
2 |
3 |
|
1 |
Անունը |
մշակման արդյունքի մասին ծանուցում |
|
2 |
Նույնականացուցիչը |
R.006 |
|
3 |
Տարբերակը |
Y.Y.Y |
|
4 |
Սահմանումը |
ռեսպոնդենտի կողմից հարցումը մշակելու արդյունքի մասին տեղեկությունները |
|
5 |
Օգտագործումը |
- |
|
6 |
Անվանումների տարածության նույնականացուցիչը |
urn:EEC:R:ProcessingResultDetails:vY.Y.Y |
|
7 |
XML փաստաթղթի հիմնական տարրը |
ProcessingResultDetails |
|
8 |
XML սխեմայի նիշքի անունը |
EEC_R_ProcessingResultDetails_vY.Y.Y.xsd |
Էլեկտրոնային փաստաթղթի (տեղեկությունների) կառուցվածքի անվանումների տարածություններում «Y.Y.Y» պայմանանշանները համապատասխանում են Եվրասիական տնտեսական հանձնաժողովի կոլեգիայի 2016 թվականի օգոստոսի 30-ի թիվ 93 որոշման 2-րդ կետին համապատասխան՝ էլեկտրոնային փաստաթղթի (տեղեկությունների) կառուցվածքի տեխնիկական սխեմայի մշակման ժամանակ օգտագործված տվյալների բազիսային մոդելի տարբերակի համարին համապատասխան սահմանվող էլեկտրոնային փաստաթղթի (տեղեկությունների) կառուցվածքի տարբերակի համարին։
11. Ներմուծվող անվանումների տարածությունները բերված են 3-րդ աղյուսակում։
Աղյուսակ 3
Ներմուծվող անվանումների տարածությունները
|
թիվ |
Անվանումների տարածության նույնականացուցիչը |
Նախածանցը |
|
1 |
2 |
3 |
|
1 |
urn:EEC:M:ComplexDataObjects:vX.X.X |
ccdo |
|
2 |
urn:EEC:M:SimpleDataObjects:vX.X.X |
csdo |
Ներմուծվող անվանումների տարածություններում «X.X.X» պայմանանշանները համապատասխանում են Եվրասիական տնտեսական հանձնաժողովի կոլեգիայի 2016 թվականի օգոստոսի 30-ի թիվ 93 որոշման 2-րդ կետին համապատասխան՝ էլեկտրոնային փաստաթղթի (տեղեկությունների) կառուցվածքի տեխնիկական սխեմայի մշակման ժամանակ օգտագործված տվյալների բազիսային մոդելի տարբերակի համարին:
12. «Մշակման արդյունքի մասին ծանուցում» (R.006) էլեկտրոնային փաստաթղթի (տեղեկությունների) կառուցվածքի վավերապայմանների կազմը բերված է 4-րդ աղյուսակում:
Աղյուսակ 4
«Մշակման արդյունքի մասին ծանուցում» (R.006) էլեկտրոնային փաստաթղթի (տեղեկությունների) կառուցվածքի վավերապայմանների կազմը
|
Վավերապայմանի անունը |
Վավերապայմանի նկարագրությունը |
Նույնականացուցիչը |
Տվյալների տեսակը |
Բազմ. |
|
1. Էլեկտրոնային փաստաթղթի (տեղեկությունների) վերնագիրը (ccdo:EDocHeader) |
էլեկտրոնային փաստաթղթի (տեղեկությունների) տեխնոլոգիական վավերապայմանների ամբողջությունը |
M.CDE.90001 |
ccdo:EDocHeaderType (M.CDT.90001) Որոշվում է ներդրված տարրերի արժեքների ոլորտներով |
1 |
|
1.1. Ընդհանուր գործընթացի հաղորդագրության ծածկագիրը (csdo:InfEnvelopeCode) |
ընդհանուր գործընթացի հաղորդագրության ծածկագրային նշագիրը |
M.SDE.90010 |
csdo:InfEnvelopeCodeType (M.SDT.90004) Ծածկագրի արժեքը՝ Տեղեկատվական փոխգործակցության կանոնակարգին համապատասխան: Ձևանմուշ՝ P\.[A-Z]{2}\.[0-9]{2}\.MSG\.[0-9]{3} |
1 |
|
1.2. Էլեկտրոնային փաստաթղթի (տեղեկությունների) ծածկագիրը (csdo:EDocCode) |
էլեկտրոնային փաստաթղթի (տեղեկությունների) ծածկագրային նշագիրը՝ էլեկտրոնային փաստաթղթերի և տեղեկությունների կառուցվածքների ռեեստրին համապատասխան |
M.SDE.90001 |
csdo:EDocCodeType (M.SDT.90001) Ծածկագրի արժեքը՝ էլեկտրոնային փաստաթղթերի և տեղեկությունների կառուցվածքների ռեեստրին համապատասխան: Ձևանմուշ՝ R(\.[A-Z]{2}\.[A-Z]{2}\.[0-9]{2})?\.[0-9]{3} |
1 |
|
1.3. Էլեկտրոնային փաստաթղթի (տեղեկությունների) նույնականացուցիչը (csdo:EDocId) |
էլեկտրոնային փաստաթուղթը (տեղեկությունները) միանշանակ նույնականացնող պայմանանշանների տողը |
M.SDE.90007 |
csdo:UniversallyUniqueIdType (M.SDT.90003) Նույնականացուցչի արժեքը՝ ISO/IEC 9834-8-ին համապատասխան։ Ձևանմուշ՝ [0-9a-fA-F]{8}-[0-9a-fA-F]{4}-[0-9a-fA-F]{4}-[0-9a-fA-F]{4}-[0-9a-fA-F]{12} |
1 |
|
1.4. Սկզբնական էլեկտրոնային փաստաթղթի (տեղեկությունների) նույնականացուցիչը (csdo:EDocRefId) |
էլեկտրոնային փաստաթղթի (տեղեկությունների) նույնականացուցիչը, որին ի պատասխան ձևավորվել է տվյալ էլեկտրոնային փաստաթուղթը (տեղեկությունները) |
M.SDE.90008 |
csdo:UniversallyUniqueIdType (M.SDT.90003) Նույնականացուցչի արժեքը՝ ISO/IEC 9834-8-ին համապատասխան։ Ձևանմուշ՝ [0-9a-fA-F]{8}-[0-9a-fA-F]{4}-[0-9a-fA-F]{4}-[0-9a-fA-F]{4}-[0-9a-fA-F]{12} |
0..1 |
|
1.5. Էլեկտրոնային փաստաթղթի (տեղեկությունների) ամսաթիվը և ժամը (csdo:EDocDateTime) |
էլեկտրոնային փաստաթղթի (տեղեկությունների) ստեղծման ամսաթիվը և ժամը |
M.SDE.90002 |
bdt:DateTimeType (M.BDT.00006) Ամսաթվի և ժամի նշագիրը՝ ԳՕՍՏ ԻՍՕ 8601-2001-ին համապատասխան |
1 |
|
1.6. Լեզվի ծածկագիրը (csdo:LanguageCode) |
լեզվի ծածկագրային նշագիրը |
M.SDE.00051 |
csdo:LanguageCodeType (M.SDT.00051) Լեզվի երկտառանի ծածկագիրը՝ ISO 639-1-ին համապատասխան: Ձևանմուշ՝ [a-z]{2} |
0..1 |
|
2. Ամսաթիվը և ժամը (csdo:EventDateTime) |
տեղեկությունների մշակումն ավարտելու ամսաթիվը և ժամը |
M.SDE.00132 |
bdt:DateTimeType (M.BDT.00006) Ամսաթվի և ժամի նշագիրը՝ ԳՕՍՏ ԻՍՕ 8601-2001-ին համապատասխան |
1 |
|
3. Մշակման արդյունքի ծածկագիրը (csdo:ProcessingResultV2Code) |
ստացված էլեկտրոնային փաստաթղթի (տեղեկությունների)՝ ընդհանուր գործընթացի մասնակցի տեղեկատվական համակարգի միջոցով մշակման արդյունքի ծածկագրային նշագիրը |
M.SDE.90014 |
csdo:ProcessingResultCodeV2Type (M.SDT.90006) Ծածկագրի արժեքը՝ էլեկտրոնային փաստաթղթերի և տեղեկությունների մշակման արդյունքների դասակարգչին համապատասխան |
1 |
|
4. Նկարագրություն (csdo:DescriptionText) |
տեղեկությունների մշակման արդյունքի նկարագրությունն ազատ ձևով |
M.SDE.00002 |
csdo:Text4000Type (M.SDT.00088) Պայմանանշանների տողը: Նվազ. երկարությունը՝ 1. Առավ. երկարությունը՝ 4000 |
0..1 |
13. «Ընդհանուր ռեսուրսի արդիականացման վիճակ» (R.007) էլեկտրոնային փաստաթղթի (տեղեկությունների) կառուցվածքի նկարագրությունը բերված է 5-րդ աղյուսակում:
Աղյուսակ 5
«Ընդհանուր ռեսուրսի արդիականացման վիճակ» (R.007) էլեկտրոնային փաստաթղթի (տեղեկությունների) կառուցվածքի նկարագրությունը
|
թիվ |
Տարրի նշագիրը |
Նկարագրությունը |
|
1 |
2 |
3 |
|
1 |
Անունը |
ընդհանուր ռեսուրսի արդիականացման վիճակը |
|
2 |
Նույնականացուցիչը |
R.007 |
|
3 |
Տարբերակը |
Y.Y.Y |
|
4 |
Սահմանումը |
ընդհանուր ռեսուրսի արդիականացման համար տեղեկությունները |
|
5 |
Օգտագործումը |
օգտագործվում է ընդհանուր ռեսուրսի թարմացման ամսաթվի և ժամի հարցման և այդ հարցմանը պատասխանի համար, ինչպես նաև ընդհանուր ռեսուրսից արդիական կամ ամբողջական (փոփոխված, թարմացված) տեղեկությունների հարցման համար |
|
6 |
Անվանումների տարածությունների նույնականացուցիչը |
urn:EEC:R:ResourceStatusDetails:vY.Y.Y |
|
7 |
XML փաստաթղթի |
ResourceStatusDetails |
|
8 |
XML սխեմայի նիշքի անունը |
EEC_R_ResourceStatusDetails_vY.Y.Y.xsd |
Էլեկտրոնային փաստաթղթի (տեղեկությունների) կառուցվածքի անվանումների տարածություններում «Y.Y.Y» պայմանանշանները համապատասխանում են Եվրասիական տնտեսական հանձնաժողովի կոլեգիայի 2016 թվականի օգոստոսի 30-ի թիվ 93 որոշման 2-րդ կետին համապատասխան՝ էլեկտրոնային փաստաթղթի (տեղեկությունների) կառուցվածքի տեխնիկական սխեմայի մշակման ժամանակ օգտագործված տվյալների բազիսային մոդելի տարբերակի համարին համապատասխան սահմանվող էլեկտրոնային փաստաթղթի (տեղեկությունների) կառուցվածքի տարբերակի համարին։
14. Ներմուծվող անվանումների տարածությունները բերված են 6-րդ աղյուսակում։
Աղյուսակ 6
Ներմուծվող անվանումների տարածությունները
|
Թիվ |
Անվանումների տարածությունների նույնականացուցիչը |
Նախածանցը |
|
1 |
2 |
3 |
|
1 |
urn:EEC:M:ComplexDataObjects:vX.X.X |
ccdo |
|
2 |
urn:EEC:M:SimpleDataObjects:vX.X.X |
csdo |
Ներմուծվող անվանումների տարածություններում «X.X.X» պայմանանշանները համապատասխանում են Եվրասիական տնտեսական հանձնաժողովի կոլեգիայի 2016 թվականի օգոստոսի 30-ի թիվ 93 որոշման 2-րդ կետին համապատասխան՝ էլեկտրոնային փաստաթղթի (տեղեկությունների) կառուցվածքի տեխնիկական սխեմայի մշակման ժամանակ օգտագործված տվյալների բազիսային մոդելի տարբերակի համարին:
15. «Ընդհանուր ռեսուրսի արդիականացման վիճակ» (R.007) էլեկտրոնային փաստաթղթի (տեղեկությունների) կառուցվածքի վավերապայմանների կազմը բերված է 7-րդ աղյուսակում:
Աղյուսակ 7
«Ընդհանուր ռեսուրսի արդիականացման վիճակ» (R.007) էլեկտրոնային փաստաթղթի (տեղեկությունների) կառուցվածքի վավերապայմանների կազմը
|
Վավերապայմանի անունը |
Վավերապայմանի նկարագրությունը |
Նույնականացուցիչը |
Տվյալների տեսակը |
Բազմ. |
|
1. Էլեկտրոնային փաստաթղթի (տեղեկությունների) վերնագիրը (ccdo:EDocHeader) |
էլեկտրոնային փաստաթղթի (տեղեկությունների) տեխնոլոգիական վավերապայմանների ամբողջությունը |
M.CDE.90001 |
ccdo:EDocHeaderType (M.CDT.90001) Որոշվում է ներդրված տարրերի արժեքների ոլորտներով |
1 |
|
1.1. Ընդհանուր գործընթացի հաղորդագրության ծածկագիրը (csdo:InfEnvelopeCode) |
ընդհանուր գործընթացի հաղորդագրության ծածկագրային նշագիրը |
M.SDE.90010 |
csdo:InfEnvelopeCodeType (M.SDT.90004) Ծածկագրի արժեքը՝ Տեղեկատվական փոխգործակցության կանոնակարգին համապատասխան: Ձևանմուշ՝ P\.[A-Z]{2}\.[0-9]{2}\.MSG\.[0-9]{3} |
1 |
|
1.2. Էլեկտրոնային փաստաթղթի (տեղեկությունների) ծածկագիրը (csdo:EDocCode) |
էլեկտրոնային փաստաթղթի (տեղեկությունների) ծածկագրային նշագիրը՝ էլեկտրոնային փաստաթղթերի և տեղեկությունների կառուցվածքների ռեեստրին համապատասխան |
M.SDE.90001 |
csdo:EDocCodeType (M.SDT.90001) Ծածկագրի արժեքը՝ էլեկտրոնային փաստաթղթերի և տեղեկությունների կառուցվածքների ռեեստրին համապատասխան: Ձևանմուշ՝ R(\.[A-Z]{2}\.[A-Z]{2}\.[0-9]{2})?\.[0-9]{3} |
1 |
|
1.3. Էլեկտրոնային փաստաթղթի (տեղեկությունների) նույնականացուցիչը (csdo:EDocId) |
էլեկտրոնային փաստաթուղթը (տեղեկությունները) միանշանակ նույնականացնող պայմանանշանների տողը |
M.SDE.90007 |
csdo:UniversallyUniqueIdType (M.SDT.90003) Նույնականացուցչի արժեքը՝ ISO/IEC 9834-8-ին համապատասխան։ Ձևանմուշ՝ [0-9a-fA-F]{8}-[0-9a-fA-F]{4}-[0-9a-fA-F]{4}-[0-9a-fA-F]{4}-[0-9a-fA-F]{12} |
1 |
|
1.4. Սկզբնական էլեկտրոնային փաստաթղթի (տեղեկությունների) նույնականացուցիչը (csdo:EDocRefId) |
էլեկտրոնային փաստաթղթի (տեղեկությունների) նույնականացուցիչը, որին ի պատասխան ձևավորվել է տվյալ էլեկտրոնային փաստաթուղթը (տեղեկությունները) |
M.SDE.90008 |
csdo:UniversallyUniqueIdType (M.SDT.90003) Նույնականացուցչի արժեքը՝ ISO/IEC 9834-8-ին համապատասխան։ Ձևանմուշ՝ [0-9a-fA-F]{8}-[0-9a-fA-F]{4}-[0-9a-fA-F]{4}-[0-9a-fA-F]{4}-[0-9a-fA-F]{12} |
0..1 |
|
1.5. Էլեկտրոնային փաստաթղթի (տեղեկությունների) ամսաթիվն ու ժամը (csdo:EDocDateTime) |
էլեկտրոնային փաստաթղթի (տեղեկությունների) ստեղծման ամսաթիվն ու ժամը |
M.SDE.90002 |
bdt:DateTimeType (M.BDT.00006) Ամսաթվի և ժամի նշագիրը՝ ԳՕՍՏ ԻՍՕ 8601-2001-ին համապատասխան |
1 |
|
1.6. Լեզվի ծածկագիրը (csdo:LanguageCode) |
լեզվի ծածկագրային նշագիրը |
M.SDE.00051 |
csdo:LanguageCodeType (M.SDT.00051) Լեզվի երկտառանի ծածկագիրը՝ ISO 639-1-ին համապատասխան: Ձևանմուշ՝ [a-z]{2} |
0..1 |
|
2. Թարմացման ամսաթիվն ու ժամը (csdo:UpdateDateTime) |
ընդհանուր ռեսուրսի (ռեեստրի, ցանկի, տվյալների բազայի) թարմացման ամսաթիվն ու ժամը |
M.SDE.00079 |
bdt:DateTimeType (M.BDT.00006) Ամսաթվի և ժամի նշագիրը՝ ԳՕՍՏ ԻՍՕ 8601-2001-ին համապատասխան |
0..1 |
|
3. Երկրի ծածկագիրը (csdo:UnifiedCountryCode) |
տեղեկություններն ընդհանուր ռեսուրս (ռեեստր, ցանկ, տվյալների բազա) ներկայացրած երկրի ծածկագրային նշագիրը |
M.SDE.00162 |
csdo:UnifiedCountryCodeType (M.SDT.00112) Երկտառանի ծածկագրի արժեքը՝ աշխարհի երկրների դասակարգչին համապատասխան, որը սահմանված է «Տեղեկատուի (դասակարգչի) նույնականացուցիչ» ատրիբուտով։ Ձևանմուշ՝ [A-Z]{2} |
0..* |
|
ա) տեղեկատուի (դասակարգչի) նույնականացուցիչը (codeListId ատրիբուտ) |
տեղեկատուի (դասակարգչի) նշագիրը, որին համապատասխան նշված է ծածկագիրը |
- |
csdo:ReferenceDataIdType (M.SDT.00091) Պայմանանշանների նորմալացված տող, որը չի պարունակում տողի ընդհատման (#xA) և սյունատների (#x9) պայմանանշաններ: Նվազ. երկարությունը՝ 1. Առավ. երկարությունը՝ 20 |
1 |
2. «Առողջապահություն» առարկայական ոլորտում էլեկտրոնային փաստաթղթերի և տեղեկությունների կառուցվածքները
16. «Լիազորված կազմակերպությունների վերաբերյալ տեղեկություններ» (R.HC.MM.07.001) էլեկտրոնային փաստաթղթի (տեղեկությունների) կառուցվածքի նկարագրությունը բերված է 8-րդ աղյուսակում։
Աղյուսակ 8
«Լիազորված կազմակերպությունների վերաբերյալ տեղեկություններ» (R.HC.MM.07.001) էլեկտրոնային փաստաթղթի (տեղեկությունների) կառուցվածքի նկարագրությունը
|
թիվ |
Տարրի նշագիրը |
Նկարագրություն |
|
1 |
2 |
3 |
|
1 |
Անունը |
լիազորված կազմակերպությունների վերաբերյալ տեղեկություններ |
|
2 |
Նույնականացուցիչը |
R.HC.MM.07.001 |
|
3 |
Տարբերակը |
1.0.0 |
|
4 |
Սահմանումը |
լիազորված կազմակերպությունների վերաբերյալ տեղեկություններ |
|
5 |
Օգտագործումը |
- |
|
6 |
Անվանումների տարածությունների նույնականացուցիչը |
urn:EEC:R:HC:MM:07:MedicineAuthorizedSubjectDetails: v1.0.0 |
|
7 |
XML փաստաթղթի հիմնական տարրը |
MedicineAuthorizedSubjectDetails |
|
8 |
XML սխեմայի նիշքի անունը |
EEC_R_HC_MM_07_MedicineAuthorizedSubjectDetails_ v1.0.0.xsd |
17. Ներմուծվող անվանումների տարածությունները բերված են 9-րդ աղյուսակում։
Աղյուսակ 9
Ներմուծվող անվանումների տարածությունները
|
Թիվ |
Անվանումների տարածությունների նույնականացուցիչը |
Նախածանցը |
|
1 |
2 |
3 |
|
1 |
urn:EEC:M:BaseDataTypes:vX.X.X |
bdt |
|
2 |
urn:EEC:M:ComplexDataObjects:vX.X.X |
ccdo |
|
3 |
urn:EEC:M:HC:ComplexDataObjects:vX.X.X |
hccdo |
|
4 |
urn:EEC:M:HC:SimpleDataObjects:vX.X.X |
hcsdo |
|
5 |
urn:EEC:M:SimpleDataObjects:vX.X.X |
csdo |
Ներմուծվող անվանումների տարածություններում «X.X.X» պայմանանշանները համապատասխանում են Եվրասիական տնտեսական հանձնաժողովի կոլեգիայի 2016 թվականի օգոստոսի 30-ի թիվ 93 որոշման 2-րդ կետին համապատասխան՝ էլեկտրոնային փաստաթղթի (տեղեկությունների) կառուցվածքի տեխնիկական սխեմայի մշակման ժամանակ օգտագործված տվյալների բազիսային մոդելի և առարկայական ոլորտի տվյալների մոդելի տարբերակի համարին։
18. «Լիազորված կազմակերպությունների վերաբերյալ տեղեկություններ» (R.HC.MM.07.001) էլեկտրոնային փաստաթղթի (տեղեկությունների) կառուցվածքի վավերապայմանների կազմը բերված է 10-րդ աղյուսակում։
Աղյուսակ 10
«Լիազորված կազմակերպությունների վերաբերյալ տեղեկություններ» (R.HC.MM.07.001) էլեկտրոնային փաստաթղթի (տեղեկությունների) կառուցվածքի վավերապայմանների կազմը
|
Վավերապայմանի անունը |
Վավերապայմանի նկարագրությունը |
Նույնականացուցիչը |
Տվյալների տեսակը |
Բազմ. |
|
1. Էլեկտրոնային փաստաթղթի (տեղեկությունների) վերնագիրը (ccdo:EDocHeader) |
էլեկտրոնային փաստաթղթի (տեղեկությունների) տեխնոլոգիական վավերապայմանների ամբողջությունը |
M.CDE.90001 |
ccdo:EDocHeaderType (M.CDT.90001) Որոշվում է ներդրված տարրերի արժեքների ոլորտներով |
1 |
|
1.1. Ընդհանուր գործընթացի հաղորդագրության ծածկագիրը (csdo:InfEnvelopeCode) |
ընդհանուր գործընթացի հաղորդագրության ծածկագրային նշագիրը |
M.SDE.90010 |
csdo:InfEnvelopeCodeType (M.SDT.90004) Ծածկագրի արժեքը՝ Տեղեկատվական փոխգործակցության կանոնակարգին համապատասխան: Ձևանմուշ՝ P\.[A-Z]{2}\.[0-9]{2}\.MSG\.[0-9]{3} |
1 |
|
1.2. Էլեկտրոնային փաստաթղթի (տեղեկությունների) ծածկագիրը (csdo:EDocCode) |
էլեկտրոնային փաստաթղթի (տեղեկությունների) ծածկագրային նշագիրը՝ էլեկտրոնային փաստաթղթերի և տեղեկությունների կառուցվածքների ռեեստրին համապատասխան |
M.SDE.90001 |
csdo:EDocCodeType (M.SDT.90001) Ծածկագրի արժեքը՝ էլեկտրոնային փաստաթղթերի և տեղեկությունների կառուցվածքների ռեեստրին համապատասխան: Ձևանմուշ՝ R(\.[A-Z]{2}\.[A-Z]{2}\.[0-9]{2})?\.[0-9]{3} |
1 |
|
1.3. Էլեկտրոնային փաստաթղթի (տեղեկությունների) նույնականացուցիչը (csdo:EDocId) |
էլեկտրոնային փաստաթուղթը (տեղեկությունները) միանշանակ նույնականացնող պայմանանշանների տողը |
M.SDE.90007 |
csdo:UniversallyUniqueIdType (M.SDT.90003) Նույնականացուցչի արժեքը՝ ISO/IEC 9834-8-ին համապատասխան։ Ձևանմուշ՝ [0-9a-fA-F]{8}-[0-9a-fA-F]{4}-[0-9a-fA-F]{4}-[0-9a-fA-F]{4}-[0-9a-fA-F]{12} |
1 |
|
1.4. Սկզբնական էլեկտրոնային փաստաթղթի (տեղեկությունների) նույնականացուցիչը (csdo:EDocRefId) |
էլեկտրոնային փաստաթղթի (տեղեկությունների) նույնականացուցիչը, որին ի պատասխան ձևավորվել է տվյալ էլեկտրոնային փաստաթուղթը (տեղեկությունները) |
M.SDE.90008 |
csdo:UniversallyUniqueIdType (M.SDT.90003) Նույնականացուցչի արժեքը՝ ISO/IEC 9834-8-ին համապատասխան։ Ձևանմուշ՝ [0-9a-fA-F]{8}-[0-9a-fA-F]{4}-[0-9a-fA-F]{4}-[0-9a-fA-F]{4}-[0-9a-fA-F]{12} |
0..1 |
|
1.5. Էլեկտրոնային փաստաթղթի (տեղեկությունների) ամսաթիվն ու ժամը (csdo:EDocDateTime) |
էլեկտրոնային փաստաթղթի (տեղեկությունների) ստեղծման ամսաթիվն ու ժամը |
M.SDE.90002 |
bdt:DateTimeType (M.BDT.00006) Ամսաթվի և ժամի նշագիրը՝ ԳՕՍՏ ԻՍՕ 8601-2001-ին համապատասխան |
1 |
|
1.6. Լեզվի ծածկագիրը (csdo:LanguageCode) |
լեզվի ծածկագրային նշագիրը |
M.SDE.00051 |
csdo:LanguageCodeType (M.SDT.00051) Լեզվի երկտառանի ծածկագիրը՝ ISO 639-1-ին համապատասխան: Ձևանմուշ՝ [a-z]{2} |
0..1 |
|
2. Լիազորված կազմակերպության վերաբերյալ տեղեկություններ (hccdo:AuthorizedPartyDetails) |
գրանցման նպատակով բժշկական արտադրատեսակների փորձարկումների (հետազոտությունների) անցկացումն իրականացնող լիազորված կազմակերպության վերաբերյալ տեղեկություններ |
M.HC.CDE.00049 |
hccdo:AuthorizedPartyDetailsType (M.HC.CDT.00043) Որոշվում է ներդրված տարրերի արժեքների ոլորտներով |
1..* |
|
2.1. Երկրի ծածկագիրը (csdo:UnifiedCountryCode) |
տնտեսավարող սուբյեկտի գրանցման երկրի ծածկագրային նշագիրը |
M.SDE.00162 |
csdo:UnifiedCountryCodeType (M.SDT.00112) Երկտառանի ծածկագրի արժեքը՝ աշխարհի երկրների դասակարգչին համապատասխան, որը սահմանված է «Տեղեկատուի (դասակարգչի) նույնականացուցիչ» ատրիբուտով։ Ձևանմուշ՝ [A-Z]{2} |
0..1 |
|
ա) տեղեկատուի (դասակարգչի) նույնականացուցիչը (codeListId ատրիբուտ) |
տեղեկատուի (դասակարգչի) նշագիրը, որին համապատասխան նշված է ծածկագիրը |
- |
csdo:ReferenceDataIdType (M.SDT.00091) Պայմանանշանների նորմալացված տող, որը չի պարունակում տողի ընդհատման (#xA) և սյունատների (#x9) պայմանանշաններ: Նվազ. երկարությունը՝ 1. Առավ. երկարությունը՝ 20 |
1 |
|
2.2. Տնտեսավարող սուբյեկտի անվանումը (csdo:BusinessEntityName) |
տնտեսավարող սուբյեկտի լրիվ անվանումը կամ տնտեսական գործունեություն վարող ֆիզիկական անձի ազգանունը, անունը և հայրանունը |
M.SDE.00187 |
csdo:Name300Type (M.SDT.00056) Պայմանանշանների նորմալացված տող, որը չի պարունակում տողի ընդհատման (#xA) և սյունատների (#x9) պայմանանշաններ: Նվազ. երկարությունը՝ 1. Առավ. երկարությունը՝ 300 |
0..1 |
|
2.3. Տնտեսավարող սուբյեկտի կրճատ անվանումը (csdo:BusinessEntityBriefName) |
տնտեսավարող սուբյեկտի հապավված անվանումը կամ տնտեսական գործունեություն վարող ֆիզիկական անձի ազգանունը, անունը և հայրանունը |
M.SDE.00188 |
csdo:Name120Type (M.SDT.00055) Պայմանանշանների նորմալացված տող, որը չի պարունակում տողի ընդհատման (#xA) և սյունատների (#x9) պայմանանշաններ: Նվազ. երկարությունը՝ 1. Առավ. երկարությունը՝ 120 |
0..1 |
|
2.4. Կազմակերպաիրավական ձևի ծածկագիրը (csdo:BusinessEntityTypeCode) |
այն կազմակերպաիրավական ձևի ծածկագրային նշագիրը, որով գրանցված է տնտեսավարող սուբյեկտը |
M.SDE.00023 |
csdo:UnifiedCode20Type (M.SDT.00140) Ծածկագրի արժեքը՝ տեղեկատուին (դասակարգչին) համապատասխան, որը սահմանված է «Տեղեկատուի նույնականացուցիչ (դասակարգիչ)» ատրիբուտով։ Նվազ. երկարությունը՝ 1.Առավ. երկարությունը՝ 20 |
0..1 |
|
ա) տեղեկատուի (դասակարգչի) նույնականացուցիչը (codeListId ատրիբուտ) |
տեղեկատուի (դասակարգչի) նշագիրը, որին համապատասխան նշված է ծածկագիրը |
– |
csdo:ReferenceDataIdType (M.SDT.00091) Պայմանանշանների նորմալացված տող, որը չի պարունակում տողի ընդհատման (#xA) և սյունատների (#x9) պայմանանշաններ: Նվազ. երկարությունը՝ 1. Առավ. երկարությունը՝ 20 |
1 |
|
2.5. Կազմակերպաիրավական ձևի անվանումը (csdo:BusinessEntityTypeName) |
կազմակերպաիրավական ձևի անվանումը, որով գրանցված է տնտեսավարող սուբյեկտը |
M.SDE.00090 |
csdo:Name300Type (M.SDT.00056) Պայմանանշանների նորմալացված տող, որը չի պարունակում տողի ընդհատման (#xA) և սյունատների (#x9) պայմանանշաններ: Նվազ. երկարությունը՝ 1. Առավ. երկարությունը՝ 300 |
0..1 |
|
2.6. Տնտեսավարող սուբյեկտի նույնականացուցիչը (csdo:BusinessEntityId) |
պետական գրանցման ժամանակ ըստ ռեեստրի (գրանցամատյանի) տրված գրառման համարը (ծածկագիրը) |
M.SDE.00189 |
csdo:BusinessEntityIdType (M.SDT.00157) Պայմանանշանների նորմալացված տողը: Նվազ. երկարությունը՝ 1. Առավ. երկարությունը՝ 20 |
0..1 |
|
ա) նույնականացման մեթոդը (kindId ատրիբուտ) |
տնտեսավարող սուբյեկտների նույնականացման մեթոդը |
- |
csdo:BusinessEntityIdKindIdType (M.SDT.00158) Տնտեսավարող սուբյեկտների նույնականացման մեթոդների տեղեկատուից նույնականացուցչի արժեքը |
1 |
|
2.7. Նույնականացման եզակի մաքսային համար (csdo:UniqueCustomsNumberId) |
մաքսային հսկողության նպատակների համար նախատեսված՝ տնտեսավարող սուբյեկտի նույնականացման եզակի համարը |
M.SDE.00135 |
csdo:UniqueCustomsNumberIdType (M.SDT.00089) Պայմանանշանների նորմալացված տողը: Նվազ. երկարությունը՝ 1. Առավ. երկարությունը՝ 17 |
0..1 |
|
2.8. Հարկ վճարողի նույնականացուցիչը (csdo:TaxpayerId) |
տնտեսավարող սուբյեկտի նույնականացուցիչը հարկ վճարողի գրանցման երկրի հարկ վճարողների ռեեստրում |
M.SDE.00025 |
csdo:TaxpayerIdType (M.SDT.00025) Նույնականացուցչի արժեքը՝ հարկ վճարողի գրանցման երկրում ընդունված կանոններին համապատասխան։ Նվազ. երկարությունը՝ 1. Առավ. երկարությունը՝ 20 |
0..1 |
|
2.9. Հաշվառման կանգնեցնելու պատճառի ծածկագիրը (csdo:TaxRegistrationReasonCode) |
Ռուսաստանի Դաշնությունում տնտեսավարող սուբյեկտին հարկային հաշվառման կանգնեցնելու պատճառը նույնականացնող ծածկագիրը |
M.SDE.00030 |
csdo:TaxRegistrationReasonCodeType (M.SDT.00030) Պայմանանշանների նորմալացված տողը: Ձևանմուշ՝ \d{9} |
0..1 |
|
2.10. Հասցե (ccdo:SubjectAddressDetails) |
տնտեսավարող սուբյեկտի հասցեն |
M.CDE.00058 |
ccdo:SubjectAddressDetailsType (M.CDT.00064) Որոշվում է ներդրված տարրերի արժեքների ոլորտներով |
0..* |
|
2.10.1. Հասցեի տեսակի ծածկագիրը (csdo:AddressKindCode) |
հասցեի տեսակի ծածկագրային նշագիրը |
M.SDE.00192 |
csdo:AddressKindCodeType (M.SDT.00162) Ծածկագրի արժեքը՝ հասցեների տեսակների դասակարգչին համապատասխան: Նվազ. երկարությունը՝ 1. Առավ. երկարությունը՝ 20 |
0..1 |
|
2.10.2. Երկրի ծածկագիրը (csdo:UnifiedCountryCode) |
երկրի ծածկագրային նշագիրը |
M.SDE.00162 |
csdo:UnifiedCountryCodeType (M.SDT.00112) Երկտառանի ծածկագրի արժեքը՝ աշխարհի երկրների դասակարգչին համապատասխան, որը սահմանված է «Տեղեկատուի (դասակարգչի) նույնականացուցիչ» ատրիբուտով։ Ձևանմուշ՝ [A-Z]{2} |
0..1 |
|
ա) տեղեկատուի (դասակարգչի) նույնականացուցիչ (codeListId ատրիբուտ) |
տեղեկատուի (դասակարգչի) նշագիրը, որին համապատասխան նշված է ծածկագիրը |
- |
csdo:ReferenceDataIdType (M.SDT.00091) Պայմանանշանների նորմալացված տող, որը չի պարունակում տողի ընդհատման (#xA) և սյունատների (#x9) պայմանանշաններ: Նվազ. երկարությունը՝ 1. Առավ. երկարությունը՝ 20 |
1 |
|
2.10.3. Տարածքի ծածկագիրը (csdo:TerritoryCode) |
վարչատարածքային բաժանման միավորի ծածկագիրը |
M.SDE.00031 |
csdo:TerritoryCodeType (M.SDT.00031) Պայմանանշանների նորմալացված տողը: Նվազ. երկարությունը՝ 1. Առավ. երկարությունը՝ 17 |
0..1 |
|
2.10.4. Տարածաշրջանը (csdo:RegionName) |
առաջին մակարդակի վարչատարածքային բաժանման միավորի անվանումը |
M.SDE.00007 |
csdo:Name120Type (M.SDT.00055) Պայմանանշանների նորմալացված տող, որը չի պարունակում տողի ընդհատման (#xA) և սյունատների (#x9) պայմանանշաններ: Նվազ. երկարությունը՝ 1. Առավ. երկարությունը՝ 120 |
0..1 |
|
2.10.5. Շրջանը (csdo:DistrictName) |
երկրորդ մակարդակի վարչատարածքային բաժանման միավորի անվանումը |
M.SDE.00008 |
csdo:Name120Type (M.SDT.00055) Պայմանանշանների նորմալացված տող, որը չի պարունակում տողի ընդհատման (#xA) և սյունատների (#x9) պայմանանշաններ: Նվազ. երկարությունը՝ 1. Առավ. երկարությունը՝ 120 |
0..1 |
|
2.10.6. Քաղաքը (csdo:CityName) |
քաղաքի անվանումը |
M.SDE.00009 |
csdo:Name120Type (M.SDT.00055) Պայմանանշանների նորմալացված տող, որը չի պարունակում տողի ընդհատման (#xA) և սյունատների (#x9) պայմանանշաններ: Նվազ. երկարությունը՝ 1. Առավ. երկարությունը՝ 120 |
0..1 |
|
2.10.7. Բնակավայրը (csdo:SettlementName) |
բնակավայրի անվանումը |
M.SDE.00057 |
csdo:Name120Type (M.SDT.00055) Պայմանանշանների նորմալացված տող, որը չի պարունակում տողի ընդհատման (#xA) և սյունատների (#x9) պայմանանշաններ: Նվազ. երկարությունը՝ 1. Առավ. երկարությունը՝ 120 |
0..1 |
|
2.10.8. Փողոցը (csdo:StreetName) |
քաղաքային ենթակառուցվածքի փողոցաճանապարհային ցանցի տարրի անվանումը |
M.SDE.00010 |
csdo:Name120Type (M.SDT.00055) Պայմանանշանների նորմալացված տող, որը չի պարունակում տողի ընդհատման (#xA) և սյունատների (#x9) պայմանանշաններ: Նվազ. երկարությունը՝ 1. Առավ. երկարությունը՝ 120 |
0..1 |
|
2.10.9. Շենքի համարը (csdo:BuildingNumberId) |
շենքի, մասնաշենքի, շինության նշագիրը |
M.SDE.00011 |
csdo:Id50Type (M.SDT.00093) Պայմանանշանների նորմալացված տողը։ Նվազ. երկարությունը՝ 1. Առավ. երկարությունը՝ 50 |
0..1 |
|
2.10.10. Շինության համարը (csdo:RoomNumberId) |
գրասենյակի կամ բնակարանի նշագիրը |
M.SDE.00012 |
csdo:Id20Type (M.SDT.00092) Պայմանանշանների նորմալացված տողը: Նվազ. երկարությունը՝ 1. Առավ. երկարությունը՝ 20 |
0..1 |
|
2.10.11. Փոստային դասիչը (csdo:PostCode) |
փոստային կապի ձեռնարկության փոստային դասիչը |
M.SDE.00006 |
csdo:PostCodeType (M.SDT.00006) Պայմանանշանների նորմալացված տողը։ Ձևանմուշ՝ [A-Z0-9][A-Z0-9-]{1,8}[A-Z0-9] |
0..1 |
|
2.10.12. Բաժանորդային արկղի համարը (csdo:PostOfficeBoxId) |
փոստային կապի ձեռնարկության բաժանորդային արկղի համարը |
M.SDE.00013 |
csdo:Id20Type (M.SDT.00092) Պայմանանշանների նորմալացված տողը: Նվազ. երկարությունը՝ 1. Առավ. երկարությունը՝ 20 |
0..1 |
|
2.11. Կոնտակտային վավերապայմանը (ccdo:CommunicationDetails) |
տնտեսավարող սուբյեկտի կոնտակտային վավերապայմանը |
M.CDE.00003 |
ccdo:CommunicationDetailsType (M.CDT.00003) Որոշվում է ներդրված տարրերի արժեքների ոլորտներով |
0..* |
|
2.11.1. Կապի տեսակի ծածկագիրը (csdo:CommunicationChannelCode) |
կապի միջոցի (կապուղու) տեսակի ծածկագրային նշագիրը (հեռախոս, ֆաքս, էլեկտրոնային փոստ և այլն) |
M.SDE.00014 |
csdo:CommunicationChannelCodeV2 Type (M.SDT.00163) Ծածկագրի արժեքը՝ կապի տեսակների դասակարգչին համապատասխան: Նվազ. երկարությունը՝ 1. Առավ. երկարությունը՝ 20 |
0..1 |
|
2.11.2. Կապի տեսակի անվանումը (csdo:CommunicationChannelName) |
կապի միջոցի (կապուղու) տեսակի (հեռախոս, ֆաքս, էլեկտրոնային փոստ և այլն) անվանումը |
M.SDE.00093 |
csdo:Name120Type (M.SDT.00055) Պայմանանշանների նորմալացված տող, որը չի պարունակում տողի ընդհատման (#xA) և սյունատների (#x9) պայմանանշաններ: Նվազ. երկարությունը՝ 1. Առավ. երկարությունը՝ 120 |
0..1 |
|
2.11.3. Կապուղու նույնականացուցիչը (csdo:CommunicationChannelId) |
կապուղին նույնականացնող պայմանանշանների հաջորդականությունը (հեռախոսահամարի, ֆաքսի, էլեկտրոնային փոստի հասցեի և այլնի նշում) |
M.SDE.00015 |
csdo:CommunicationChannelIdType (M.SDT.00015) Պայմանանշանների նորմալացված տողը: Նվազ. երկարությունը՝ 1. Առավ. երկարությունը՝ 1000 |
1..* |
|
2.12. Տնտեսավարող սուբյեկտի ղեկավարի վերաբերյալ տեղեկություններ (hccdo:AuthorizedPartyManagerDetails) |
տնտեսավարող սուբյեկտի ղեկավարի վերաբերյալ տեղեկություններ |
M.HC.CDE.00851 |
hccdo:AuthorizedPartyManagerDetailsType (M.HC.CDT.00851) Որոշվում է ներդրված տարրերի արժեքների ոլորտներով |
1 |
|
2.12.1. ԱԱՀ (ccdo:FullNameDetails) |
լիազորված կազմակերպության ղեկավարի ազգանունը, անունը, հայրանունը |
M.CDE.00029 |
ccdo:FullNameDetailsType (M.CDT.00016) Որոշվում է ներդրված տարրերի արժեքների ոլորտներով |
1 |
|
*.1. Անունը (csdo:FirstName) |
ֆիզիկական անձի անունը |
M.SDE.00109 |
csdo:Name120Type (M.SDT.00055) Պայմանանշանների նորմալացված տող, որը չի պարունակում տողի ընդհատման (#xA) և սյունատների (#x9) պայմանանշաններ: Նվազ. երկարությունը՝ 1. Առավ. երկարությունը՝ 120 |
0..1 |
|
*.2. Հայրանունը (csdo:MiddleName) |
ֆիզիկական անձի հայրանունը (երկրորդ կամ միջին անունը) |
M.SDE.00111 |
csdo:Name120Type (M.SDT.00055) Պայմանանշանների նորմալացված տող, որը չի պարունակում տողի ընդհատման (#xA) և սյունատների (#x9) պայմանանշաններ: Նվազ. երկարությունը՝ 1. Առավ. երկարությունը՝ 120 |
0..1 |
|
*.3. Ազգանունը (csdo:LastName) |
ֆիզիկական անձի ազգանունը |
M.SDE.00110 |
csdo:Name120Type (M.SDT.00055) Պայմանանշանների նորմալացված տող, որը չի պարունակում տողի ընդհատման (#xA) և սյունատների (#x9) պայմանանշաններ: Նվազ. երկարությունը՝ 1. Առավ. երկարությունը՝ 120 |
0..1 |
|
2.12.2. Կոնտակտային վավերապայմանը (ccdo:CommunicationDetails) |
լիազորված կազմակերպության ղեկավարի կոնտակտային վավերապայմանները |
M.CDE.00003 |
ccdo:CommunicationDetailsType (M.CDT.00003) Որոշվում է ներդրված տարրերի արժեքների ոլորտներով |
0..* |
|
*.1. Կապի տեսակի ծածկագիրը (csdo:CommunicationChannelCode) |
կապի միջոցի (կապուղու) տեսակի ծածկագրային նշագիրը (հեռախոս, ֆաքս, էլեկտրոնային փոստ և այլն) |
M.SDE.00014 |
csdo:CommunicationChannelCodeV2 Type (M.SDT.00163) Ծածկագրի արժեքը՝ կապի տեսակների դասակարգչին համապատասխան: Նվազ. երկարությունը՝ 1. Առավ. երկարությունը՝ 20 |
0..1 |
|
*.2. Կապի տեսակի անվանումը (csdo:CommunicationChannelName) |
կապի միջոցի (կապուղու) տեսակի (հեռախոս, ֆաքս, էլեկտրոնային փոստ և այլն) անվանումը |
M.SDE.00093 |
csdo:Name120Type (M.SDT.00055) Պայմանանշանների նորմալացված տող, որը չի պարունակում տողի ընդհատման (#xA) և սյունատների (#x9) պայմանանշաններ: Նվազ. երկարությունը՝ 1. Առավ. երկարությունը՝ 120 |
0..1 |
|
*.3. Կապուղու նույնականացուցիչ (csdo:CommunicationChannelId) |
կապուղին նույնականացնող պայմանանշանների հաջորդականությունը (հեռախոսահամարի, ֆաքսի, էլեկտրոնային փոստի հասցեի և այլնի նշում) |
M.SDE.00015 |
csdo:CommunicationChannelIdType (M.SDT.00015) Պայմանանշանների նորմալացված տողը: Նվազ. երկարությունը՝ 1. Առավ. երկարությունը՝ 1000 |
1..* |
|
2.13. Գրանցման նպատակներով բժշկական արտադրատեսակների հետազոտության (փորձարկման) տեսակի ծածկագիրը (hcsdo:ResearchKindCode) |
գրանցման նպատակներով բժշկական արտադրատեսակների հետազոտության (փորձարկման) տեսակի ծածկագրային նշագիրը |
M.HC.SDE.00667 |
hcsdo:ResearchKindCodeType (M.HC.SDT.00654) Հնարավոր նշանակությունները՝ 01՝ տեխնիկական փորձարկումներ. 02՝ կենսաբանական ազդեցությունը գնահատելու նպատակներով հետազոտություններ (փորձարկումներ). 03՝ չափման միջոցի տեսակը հաստատելու նպատակներով փորձարկումներ. 04՝ կլինիկական փորձարկումներ (հետազոտություններ). 05՝ կլինիկական լաբորատոր փորձարկումներ (հետազոտություններ) |
1..* |
|
2.14. Պաշտոնական փաստաթուղթ (hccdo:OfficialDocDetails) |
կարգադրական փաստաթուղթ, որի հիման վրա բժշկական կազմակերպությանը թույլատրվում է անցկացնել բժշկական արտադրատեսակների կլինիկական և (կամ) կլինիկական լաբորատոր հետազոտություններ (փորձարկումներ) |
M.HC.CDE.00006 |
hccdo:OfficialDocDetailsType (M.HC.CDT.00006) Որոշվում է ներդրված տարրերի արժեքների ոլորտներով |
0..1 |
|
2.14.1. Փաստաթղթի համարը (csdo:DocId) |
փաստաթղթի գրանցման ժամանակ դրան տրվող թվային կամ տառաթվային նշագիրը |
M.SDE.00044 |
csdo:Id50Type (M.SDT.00093) Պայմանանշանների նորմալացված տողը։ Նվազ. երկարությունը՝ 1. Առավ. երկարությունը՝ 50 |
1 |
|
2.14.2. Փաստաթղթի անվանումը (csdo:DocName) |
փաստաթղթի անվանումը |
M.SDE.00108 |
csdo:Name500Type (M.SDT.00134) Պայմանանշանների նորմալացված տող, որը չի պարունակում տողի ընդհատման (#xA) և սյունատների (#x9) պայմանանշաններ: Նվազ. երկարությունը՝ 1. Առավ. երկարությունը՝ 500 |
0..1 |
|
2.14.3. Փաստաթղթի ամսաթիվը (csdo:DocCreationDate) |
փաստաթղթի ստորագրման, հաստատման կամ գրանցման ամսաթիվը |
M.SDE.00045 |
bdt:DateType (M.BDT.00005) Ամսաթվի նշագիրը՝ ԳՕՍՏ ԻՍՕ 8601-2001-ին համապատասխան |
0..1 |
|
2.14.4. Փաստաթղթի գործողության ժամկետը լրանալու ամսաթիվը (csdo:DocValidityDate) |
ժամկետն ավարտվելու ամսաթիվը, որի ընթացքում փաստաթուղթն ուժի մեջ է |
M.SDE.00052 |
bdt:DateType (M.BDT.00005) Ամսաթվի նշագիրը՝ ԳՕՍՏ ԻՍՕ 8601-2001-ին համապատասխան |
0..1 |
|
2.14.5. Անդամ պետության լիազորված մարմնի նույնականացուցիչը (csdo:AuthorityId) |
փաստաթուղթը տրամադրած՝ լիազորված մարմնի նույնականացուցիչը |
M.SDE.00068 |
csdo:Id20Type (M.SDT.00092) Պայմանանշանների նորմալացված տողը: Նվազ. երկարությունը՝ 1. Առավ. երկարությունը՝ 20 |
0..1 |
|
2.14.6. Անդամ պետության լիազորված մարմնի անվանումը (csdo:AuthorityName) |
փաստաթուղթը տրամադրած՝ լիազորված մարմնի անվանումը |
M.SDE.00066 |
csdo:Name300Type (M.SDT.00056) Պայմանանշանների նորմալացված տող, որը չի պարունակում տողի ընդհատման (#xA) և սյունատների (#x9) պայմանանշաններ: Նվազ. երկարությունը՝ 1. Առավ. երկարությունը՝ 300 |
1 |
|
2.14.7. Բինար ձևաչափով փաստաթուղթը (csdo:DocBinaryText) |
PDF ձևաչափով փաստաթուղթ |
M.SDE.00106 |
bdt:BinaryTextType (M.BDT.00001) Երկուական օկտետների (բայթերի) վերջավոր հաջորդականություն |
0..1 |
|
2.15. Փորձահրապարակի վերաբերյալ տեղեկություններ (hccdo:AuthorizedPartySubdivisionDetails) |
փորձարկումներ կատարող՝ լիազորված կազմակերպության ստորաբաժանման մասին տեղեկություններ |
M.HC.CDE.00213 |
hccdo:AuthorizedPartySubdivisionDetailsType (M.HC.CDT.00267) Որոշվում է ներդրված տարրերի արժեքների ոլորտներով |
1..* |
|
2.15.1. Տնտեսավարող սուբյեկտի անվանումը (csdo:BusinessEntityName) |
փորձահրապարակի անվանումը |
M.SDE.00187 |
csdo:Name300Type (M.SDT.00056) Պայմանանշանների նորմալացված տող, որը չի պարունակում տողի ընդհատման (#xA) և սյունատների (#x9) պայմանանշաններ: Նվազ. երկարությունը՝ 1. Առավ. երկարությունը՝ 300 |
0..1 |
|
2.15.2. Հասցե (ccdo:SubjectAddressDetails) |
փորձահրապարակի հասցեն |
M.CDE.00058 |
ccdo:SubjectAddressDetailsType (M.CDT.00064) Որոշվում է ներդրված տարրերի արժեքների ոլորտներով |
0..1 |
|
*.1. Հասցեի տեսակի ծածկագիրը (csdo:AddressKindCode) |
հասցեի տեսակի ծածկագրային նշագիրը |
M.SDE.00192 |
csdo:AddressKindCodeType (M.SDT.00162) Ծածկագրի արժեքը՝ հասցեների տեսակների դասակարգչին համապատասխան: Նվազ. երկարությունը՝ 1. Առավ. երկարությունը՝ 20 |
0..1 |
|
*.2. Երկրի ծածկագիրը (csdo:UnifiedCountryCode) |
երկրի ծածկագրային նշագիրը |
M.SDE.00162 |
csdo:UnifiedCountryCodeType (M.SDT.00112) Երկտառանի ծածկագրի արժեքը՝ աշխարհի երկրների դասակարգչին համապատասխան, որը սահմանված է «Տեղեկատուի (դասակարգչի) նույնականացուցիչ» ատրիբուտով։ Ձևանմուշ՝ [A-Z]{2} |
0..1 |
|
ա) տեղեկատուի (դասակարգչի) նույնականացուցիչ (codeListId ատրիբուտ) |
տեղեկատուի (դասակարգչի) նշագիրը, որին համապատասխան նշված է ծածկագիրը |
- |
csdo:ReferenceDataIdType (M.SDT.00091) Պայմանանշանների նորմալացված տող, որը չի պարունակում տողի ընդհատման (#xA) և սյունատների (#x9) պայմանանշաններ: Նվազ. երկարությունը՝ 1. Առավ. երկարությունը՝ 20 |
1 |
|
*.3. Տարածքի ծածկագիրը (csdo:TerritoryCode) |
վարչատարածքային բաժանման միավորի ծածկագիրը |
M.SDE.00031 |
csdo:TerritoryCodeType (M.SDT.00031) Պայմանանշանների նորմալացված տողը: Նվազ. երկարությունը՝ 1. Առավ. երկարությունը՝ 17 |
0..1 |
|
*.4. Տարածաշրջանը (csdo:RegionName) |
առաջին մակարդակի վարչատարածքային բաժանման միավորի անվանումը |
M.SDE.00007 |
csdo:Name120Type (M.SDT.00055) Պայմանանշանների նորմալացված տող, որը չի պարունակում տողի ընդհատման (#xA) և սյունատների (#x9) պայմանանշաններ: Նվազ. երկարությունը՝ 1. Առավ. երկարությունը՝ 120 |
0..1 |
|
*.5. Շրջանը (csdo:DistrictName) |
երկրորդ մակարդակի վարչատարածքային բաժանման միավորի անվանումը |
M.SDE.00008 |
csdo:Name120Type (M.SDT.00055) Պայմանանշանների նորմալացված տող, որը չի պարունակում տողի ընդհատման (#xA) և սյունատների (#x9) պայմանանշաններ: Նվազ. երկարությունը՝ 1. Առավ. երկարությունը՝ 120 |
0..1 |
|
*.6. Քաղաքը (csdo:CityName) |
քաղաքի անվանումը |
M.SDE.00009 |
csdo:Name120Type (M.SDT.00055) Պայմանանշանների նորմալացված տող, որը չի պարունակում տողի ընդհատման (#xA) և սյունատների (#x9) պայմանանշաններ: Նվազ. երկարությունը՝ 1. Առավ. երկարությունը՝ 120 |
0..1 |
|
*.7. Բնակավայրը (csdo:SettlementName) |
բնակավայրի անվանումը |
M.SDE.00057 |
csdo:Name120Type (M.SDT.00055) Պայմանանշանների նորմալացված տող, որը չի պարունակում տողի ընդհատման (#xA) և սյունատների (#x9) պայմանանշաններ: Նվազ. երկարությունը՝ 1. Առավ. երկարությունը՝ 120 |
0..1 |
|
*.8. Փողոցը (csdo:StreetName) |
քաղաքային ենթակառուցվածքի փողոցաճանապարհային ցանցի տարրի անվանումը |
M.SDE.00010 |
csdo:Name120Type (M.SDT.00055) Պայմանանշանների նորմալացված տող, որը չի պարունակում տողի ընդհատման (#xA) և սյունատների (#x9) պայմանանշաններ: Նվազ. երկարությունը՝ 1. Առավ. երկարությունը՝ 120 |
0..1 |
|
*.9. Շենքի համարը (csdo:BuildingNumberId) |
շենքի, մասնաշենքի, շինության նշագիրը |
M.SDE.00011 |
csdo:Id50Type (M.SDT.00093) Պայմանանշանների նորմալացված տողը։ Նվազ. երկարությունը՝ 1. Առավ. երկարությունը՝ 50 |
0..1 |
|
*.10. Շինության համարը (csdo:RoomNumberId) |
գրասենյակի կամ բնակարանի նշագիրը |
M.SDE.00012 |
csdo:Id20Type (M.SDT.00092) Պայմանանշանների նորմալացված տողը: Նվազ. երկարությունը՝ 1. Առավ. երկարությունը՝ 20 |
0..1 |
|
*.11. Փոստային դասիչը (csdo:PostCode) |
փոստային կապի ձեռնարկության փոստային դասիչը |
M.SDE.00006 |
csdo:PostCodeType (M.SDT.00006) Պայմանանշանների նորմալացված տողը։ Ձևանմուշ՝ [A-Z0-9][A-Z0-9-]{1,8}[A-Z0-9] |
0..1 |
|
*.12. Բաժանորդային արկղի համարը (csdo:PostOfficeBoxId) |
փոստային կապի ձեռնարկության բաժանորդային արկղի համարը |
M.SDE.00013 |
csdo:Id20Type (M.SDT.00092) Պայմանանշանների նորմալացված տողը: Նվազ. երկարությունը՝ 1. Առավ. երկարությունը՝ 20 |
0..1 |
|
2.15.3. Կոնտակտային վավերապայմանը (ccdo:CommunicationDetails) |
փորձահրապարակի կոնտակտային վավերապայմանը |
M.CDE.00003 |
ccdo:CommunicationDetailsType (M.CDT.00003) Որոշվում է ներդրված տարրերի արժեքների ոլորտներով |
0..* |
|
*.1. Կապի տեսակի ծածկագիրը (csdo:CommunicationChannelCode) |
կապի միջոցի (կապուղու) տեսակի ծածկագրային նշագիրը (հեռախոս, ֆաքս, էլեկտրոնային փոստ և այլն) |
M.SDE.00014 |
csdo:CommunicationChannelCodeV2 Type (M.SDT.00163) Ծածկագրի արժեքը՝ կապի տեսակների դասակարգչին համապատասխան: Նվազ. երկարությունը՝ 1. Առավ. երկարությունը՝ 20 |
0..1 |
|
*.2. Կապի տեսակի անվանումը (csdo:CommunicationChannelName) |
կապի միջոցի (կապուղու) տեսակի (հեռախոս, ֆաքս, էլեկտրոնային փոստ և այլն) անվանումը |
M.SDE.00093 |
csdo:Name120Type (M.SDT.00055) Պայմանանշանների նորմալացված տող, որը չի պարունակում տողի ընդհատման (#xA) և սյունատների (#x9) պայմանանշաններ: Նվազ. երկարությունը՝ 1. Առավ. երկարությունը՝ 120 |
0..1 |
|
*.3. Կապուղու նույնականացուցիչ (csdo:CommunicationChannelId) |
կապուղին նույնականացնող պայմանանշանների հաջորդականությունը (հեռախոսահամարի, ֆաքսի, էլեկտրոնային փոստի հասցեի և այլնի նշում) |
M.SDE.00015 |
csdo:CommunicationChannelIdType (M.SDT.00015) Պայմանանշանների նորմալացված տողը: Նվազ. երկարությունը՝ 1. Առավ. երկարությունը՝ 1000 |
1..* |
|
2.15.4. Բժշկական կազմակերպության գործունեության տեսակի մասին տեղեկություններ (hccdo:MedicalServiceDetails) |
փորձահրապարակի (բժշկական կազմակերպության) գործունեության տեսակի մասին տեղեկություններ |
M.HC.CDE.00882 |
hccdo:MedicalProductDetailsType (M.HC.CDT.00015) Որոշվում է ներդրված տարրերի արժեքների ոլորտներով |
0..* |
|
*.1. Բժշկական կազմակերպության գործունեության տեսակի ծածկագիրը (hcsdo:MedicalServiceCode) |
բժշկական կազմակերպության գործունեության տեսակի ծածկագրային նշագիրը |
M.HC.SDE.00179 |
hcsdo:MedicalServiceCodeType (M.HC.SDT.00035) «Բժշկական կազմակերպությունների գործունեության տեսակների դասակարգիչ» դասակարգչից ծածկագրի արժեքը: Նվազ. երկարությունը՝ 1. Առավ. երկարությունը՝ 10 |
0..1 |
|
*.2. Բժշկական կազմակերպության գործունեության տեսակի անվանումը (hcsdo:MedicalServiceText) |
բժշկական կազմակերպության գործունեության տեսակի անվանումը |
M.HC.SDE.00569 |
csdo:Text4000Type (M.SDT.00088) Պայմանանշանների տողը: Նվազ. երկարությունը՝ 1. Առավ. երկարությունը՝ 4000 |
0..1 |
|
2.15.5. Հավատարմագրման վկայագրի վերաբերյալ տեղեկություններ (hccdo:AccreditationCertificateDetails) |
հավատարմագրման վկայագրի վերաբերյալ տեղեկություններ |
M.HC.CDE.00652 |
hccdo:AccreditationCertificateDetailsType (M.HC.CDT.00689) Որոշվում է ներդրված տարրերի արժեքների ոլորտներով |
0..* |
|
*.1. Փաստաթղթի համարը (csdo:DocId) |
հավատարմագրման վկայագրի համարը |
M.SDE.00044 |
csdo:Id50Type (M.SDT.00093) Պայմանանշանների նորմալացված տողը։ Նվազ. երկարությունը՝ 1. Առավ. երկարությունը՝ 50 |
1 |
|
*.2. Փաստաթղթի ամսաթիվը (csdo:DocCreationDate) |
հավատարմագրման վկայագրի տրամադրման ամսաթիվը |
M.SDE.00045 |
bdt:DateType (M.BDT.00005) Ամսաթվի նշագիրը՝ ԳՕՍՏ ԻՍՕ 8601-2001-ին համապատասխան |
1 |
|
*.3. Փաստաթղթի գործողության ժամկետը լրանալու ամսաթիվը (csdo:DocValidityDate) |
հավատարմագրման վկայագրի գործողության ավարտի ամսաթիվը |
M.SDE.00052 |
bdt:DateType (M.BDT.00005) Ամսաթվի նշագիրը՝ ԳՕՍՏ ԻՍՕ 8601-2001-ին համապատասխան |
0..1 |
|
*.4. Հավատարմագրման վկայագրի գործողության կարգավիճակի ծածկագիրը (hcsdo:AccreditationCertificateStatusCode) |
հավատարմագրման վկայագրի գործողության կարգավիճակի ծածկագրային նշագիրը |
M.HC.SDE.00689 |
hcsdo:AccreditationCertificateStatusCodeType (M.HC.SDT.00714) «Բժշկական արտադրատեսակի գրանցման կարգավիճակների դասակարգիչ» դասակարգչից ծածկագրի արժեքը։ Ձևանմուշ՝ \d{2} |
1 |
|
*.5. Նկարագրություն (csdo:DescriptionText) |
փորձարկման լաբորատորիայի (կենտրոնի) հավատարմագրման ոլորտի նկարագրությունը |
M.SDE.00002 |
csdo:Text4000Type (M.SDT.00088) Պայմանանշանների տողը: Նվազ. երկարությունը՝ 1. Առավ. երկարությունը՝ 4000 |
0..1 |
|
2.16. Ընդհանուր ռեսուրսի գրառման տեխնոլոգիական բնութագրեր (ccdo:ResourceItemStatusDetails) |
ընդհանուր ռեսուրսի գրառման մասին տեխնոլոգիական տեղեկությունների ամբողջությունը |
M.CDE.00032 |
ccdo:ResourceItemStatusDetailsType (M.CDT.00033) Որոշվում է ներդրված տարրերի արժեքների ոլորտներով |
1 |
|
2.16.1. Գործողության ժամանակահատվածը (ccdo:ValidityPeriodDetails) |
ընդհանուր ռեսուրսի (ռեեստրի, ցանկի, տվյալների բազայի) գրառման գործողության ժամանակահատվածը |
M.CDE.00033 |
ccdo:PeriodDetailsType (M.CDT.00026) Որոշվում է ներդրված տարրերի արժեքների ոլորտներով |
0..1 |
|
*.1. Մեկնարկի ամսաթիվը և ժամը (csdo:StartDateTime) |
մեկնարկի ամսաթիվը և ժամը |
M.SDE.00133 |
bdt:DateTimeType (M.BDT.00006) Ամսաթվի և ժամի նշագիրը՝ ԳՕՍՏ ԻՍՕ 8601-2001-ին համապատասխան |
0..1 |
|
*.2. Ավարտի ամսաթիվը և ժամը (csdo:EndDateTime) |
ավարտի ամսաթիվը և ժամը |
M.SDE.00134 |
bdt:DateTimeType (M.BDT.00006) Ամսաթվի և ժամի նշագիրը՝ ԳՕՍՏ ԻՍՕ 8601-2001-ին համապատասխան |
0..1 |
|
2.16.2. Թարմացման ամսաթիվը և ժամը (csdo:UpdateDateTime) |
ընդհանուր ռեսուրսի գրառման (ռեեստրի, ցանկի, տվյալների բազայի) թարմացման ամսաթիվը և ժամը |
M.SDE.00079 |
bdt:DateTimeType (M.BDT.00006) Ամսաթվի և ժամի նշագիրը՝ ԳՕՍՏ ԻՍՕ 8601-2001-ին համապատասխան |
0..1 |
|
ՀԱՍՏԱՏՎԱԾ Է Եվրասիական տնտեսական հանձնաժողովի կոլեգիայի 2016 թվականի օգոստոսի 30-ի թիվ 93 որոշմամբ |
ԿԱՐԳ
«Գրանցման նպատակով բժշկական արտադրատեսակների հետազոտությունների (փորձարկումների) անցկացումն իրականացնող՝ Եվրասիական տնտեսական միության լիազորված կազմակերպությունների միասնական ռեեստրի ձևավորում, վարում և օգտագործում» ընդհանուր գործընթացին միանալու
I. Ընդհանուր դրույթները
1. Սույն Կարգը մշակվել է Եվրասիական տնտեսական միության (այսուհետ՝ Միություն) իրավունքի մաս կազմող հետևյալ ակտերին համապատասխան՝
«Եվրասիական տնտեսական միության մասին» 2014 թվականի մայիսի 29-ի պայմանագիր. «Եվրասիական տնտեսական միության շրջանակներում բժշկական արտադրատեսակների (բժշկական նշանակության արտադրատեսակների և բժշկական տեխնիկայի) շրջանառության միասնական սկզբունքների և կանոնների մասին» 2014 թվականի դեկտեմբերի 23-ի համաձայնագիր.
Եվրասիական տնտեսական բարձրագույն խորհրդի 2014 թվականի դեկտեմբերի 23-ի թիվ ««Եվրասիական տնտեսական միության շրջանակներում բժշկական արտադրատեսակների (բժշկական նշանակության արտադրատեսակների և բժշկական տեխնիկայի) շրջանառության միասնական սկզբունքների և կանոնների մասին» համաձայնագրի իրագործման վերաբերյալ» թիվ 109 որոշում.
Եվրասիական տնտեսական հանձնաժողովի կոլեգիայի 2014 թվականի նոյեմբերի 6-ի «Ընդհանուր գործընթացներն արտաքին և փոխադարձ առևտրի ինտեգրված տեղեկատվական համակարգի միջոցներով իրագործելիս տեղեկատվական փոխգործակցությունը կանոնակարգող տեխնոլոգիական փաստաթղթերի մասին» թիվ 200 որոշում.
Եվրասիական տնտեսական հանձնաժողովի կոլեգիայի 2015 թվականի հունվարի 27-ի «Արտաքին և փոխադարձ առևտրի ինտեգրված տեղեկատվական համակարգում տվյալների էլեկտրոնային փոխանակման կանոնները հաստատելու մասին» թիվ 5 որոշում.
Եվրասիական տնտեսական հանձնաժողովի կոլեգիայի 2015 թվականի ապրիլի 14-ի «Եվրասիական տնտեսական միության շրջանակներում ընդհանուր գործընթացների ցանկի և Եվրասիական տնտեսական հանձնաժողովի կոլեգիայի 2014 թվականի օգոստոսի 19-ի թիվ 132 որոշման մեջ փոփոխություն կատարելու մասին» թիվ 29 որոշում.
Եվրասիական տնտեսական հանձնաժողովի կոլեգիայի 2015 թվականի հունիսի 9-ի «Եվրասիական տնտեսական միության շրջանակներում ընդհանուր գործընթացների վերլուծության, օպտիմալացման, ներդաշնակեցման և նկարագրության մեթոդիկայի մասին» թիվ 63 որոշում.
Եվրասիական տնտեսական հանձնաժողովի կոլեգիայի 2015 թվականի սեպտեմբերի 28-ի «Եվրասիական տնտեսական միության անդամ պետությունների պետական իշխանության մարմինների՝ միմյանց միջև և Եվրասիական տնտեսական հանձնաժողովի հետ անդրսահմանային փոխգործակցության ընթացքում էլեկտրոնային փաստաթղթերի փոխանակման վերաբերյալ հիմնադրույթը հաստատելու մասին» թիվ 125 որոշում։
II. Կիրառության ոլորտը
2. Սույն Կարգով սահմանվում են «Գրանցման նպատակով բժշկական արտադրատեսակների հետազոտությունների (փորձարկումների) անցկացումն իրականացնող՝ Եվրասիական տնտեսական միության լիազորված կազմակերպությունների միասնական ռեեստրի ձևավորում, վարում և օգտագործում» (P.MM.07) ընդհանուր գործընթացը (այսուհետ՝ ընդհանուր գործընթաց) գործողության մեջ դնելու և դրան նոր մասնակցի միանալու ընթացակարգերի կազմին և բովանդակությանը ներկայացվող պահանջները, ինչպես նաև դրանց կատարման ժամանակ իրականացվող տեղեկատվական փոխգործակցությանը ներկայացվող պահանջները։
III. Հիմնական հասկացությունները
3. Սույն Կարգի նպատակներով օգտագործվում են հասկացություններ, որոնք ունեն հետևյալ իմաստը`
«ինտեգրված համակարգի գործունեությունն ապահովելիս կիրառվող փաստաթղթեր»՝ տեխնիկական, տեխնոլոգիական, մեթոդական և կազմակերպչական փաստաթղթեր, որոնք նախատեսված են «Եվրասիական տնտեսական միության շրջանակներում տեղեկատվական հաղորդակցական տեխնոլոգիաների և տեղեկատվական փոխգործակցության մասին» արձանագրության («Եվրասիական տնտեսական միության մասին» 2014 թվականի մայիսի 29-ի պայմանագրի թիվ 3 հավելված) 30-րդ կետով.
«տեխնոլոգիական փաստաթղթեր»՝ փաստաթղթեր, որոնք ընդգրկված են Եվրասիական տնտեսական հանձնաժողովի կոլեգիայի 2014 թվականի նոյեմբերի 6-ի թիվ 200 որոշման 1-ին կետով նախատեսված ընդհանուր գործընթացն իրագործելիս տեղեկատվական փոխգործակցությունը կանոնակարգող տեխնոլոգիական փաստաթղթերի տիպային ցանկում։
Սույն Կարգում օգտագործվող մյուս հասկացությունները կիրառվում են Եվրասիական տնտեսական հանձնաժողովի կոլեգիայի 2016 թվականի օգոստոսի 30-ի թիվ 93 որոշմամբ հաստատված՝ «Գրանցման նպատակով բժշկական արտադրատեսակների հետազոտությունների (փորձարկումների) անցկացումն իրականացնող՝ Եվրասիական տնտեսական միության լիազորված կազմակերպությունների միասնական ռեեստրի ձևավորում, վարում և օգտագործում» ընդհանուր գործընթացն արտաքին և փոխադարձ առևտրի ինտեգրված Տեղեկատվական համակարգի միջոցներով իրագործելիս տեղեկատվական փոխգործակցության կանոնների (այսուհետ՝ Տեղեկատվական փոխգործակցության կանոններ) 4-րդ կետով սահմանված իմաստներով։
IV. Փոխգործակցության մասնակիցները
4. Փոխգործակցության մասնակիցների դերերը, սույն Կարգով նախատեսված ընթացակարգերն իրենց կողմից իրականացնելիս, բերված են աղյուսակում։
Աղյուսակ
Փոխգործակցության մասնակիցների դերերը
|
թիվ |
Դերի անվանումը |
Դերի նկարագրությունը |
Դերը կատարող մասնակիցը |
|
1 |
Ընդհանուր գործընթացին միացող մասնակիցը |
կատարում է սույն Կարգով նախատեսված ընթացակարգերը |
Միության անդամ պետության լիազորված մարմին |
|
2 |
Ադմինիստրատոր |
համակարգում է սույն Կարգով նախատեսված ընթացակարգերի իրականացումը և մասնակցում է ընդհանուր գործընթացին միացող մասնակցի հետ տեղեկատվական փոխգործակցության թեստավորմանը |
Եվրասիական տնտեսական հանձնաժողով |
V. Ընդհանուր գործընթացը գործողության մեջ դնելը
5. Եվրասիական տնտեսական հանձնաժողովի կոլեգիայի 2016 թվականի օգոստոսի 30-ի ««Գրանցման նպատակով բժշկական արտադրատեսակների հետազոտությունների (փորձարկումների) անցկացումն իրականացնող՝ Եվրասիական տնտեսական միության լիազորված կազմակերպությունների միասնական ռեեստրի ձևավորում, վարում և օգտագործում» ընդհանուր գործընթացն արտաքին և փոխադարձ առևտրի ինտեգրված տեղեկատվական համակարգի միջոցներով իրագործելիս տեղեկատվական փոխգործակցությունը կանոնակարգող տեխնոլոգիական փաստաթղթերի մասին» թիվ 93 որոշումն ուժի մեջ մտնելու օրվանից Միության անդամ պետությունները (այսուհետ՝ անդամ պետություններ)՝ Եվրասիական տնտեսական հանձնաժողովի (այսուհետ՝ Հանձնաժողով) համակարգմամբ սկսում են ընդհանուր գործընթացը գործողության մեջ դնելու ընթացակարգի կատարումը։
6. Ընդհանուր գործընթացը գործողության մեջ դնելու համար անդամ պետությունների կողմից պետք է կատարվեն ընդհանուր գործընթացին միանալու ընթացակարգով սահմանված անհրաժեշտ միջոցառումները՝ սույն Կարգի VI բաժնին համապատասխան։
7. Արտաքին և փոխադարձ առևտրի ինտեգրված տեղեկատվական համակարգի միջպետական փորձարկումների անցկացման հարցերով հանձնաժողովի հանձնարարականների հիման վրա Հանձնաժողովի կոլեգիան կարգադրություն է ընդունում ընդհանուր գործընթացը գործողության մեջ դնելու մասին։
8. Արտաքին և փոխադարձ առևտրի ինտեգրված տեղեկատվական համակարգի միջպետական փորձարկումների անցկացման հարցերով հանձնաժողովի՝ ընդհանուր գործընթացը գործողության մեջ դնելու համար պատրաստ լինելու մասին հանձնարարականն ընդունելու համար հիմք կարող են հանդիսանալ անդամ պետություններից մեկի և Հանձնաժողովի տեղեկատվական համակարգերի միջև տեղեկատվական փոխգործակցության թեստավորման արդյունքները։
VI. Միանալու ընթացակարգի նկարագրությունը
9. Ընդհանուր գործընթացը գործողության մեջ դնելուց հետո դրան կարող են միանալ նոր մասնակիցներ՝ ընդհանուր գործընթացին միանալու ընթացակարգը կատարելու միջոցով։
10. Ընդհանուր գործընթացին միանալու համար դրան միացող մասնակցի կողմից պետք է կատարվեն ինտեգրված համակարգի աշխատանքն ապահովելիս կիրառվող փաստաթղթերի, տեխնոլոգիական փաստաթղթերի պահանջները, ինչպես նաև անդամ պետության ազգային հատվածի շրջանակներում տեղեկատվական փոխգործակցությունը կանոնակարգող՝ անդամ պետության օրենսդրության պահանջները։
11. Ընդհանուր գործընթացին նոր մասնակցի միանալու ընթացակարգի կատարումը ներառում է՝
ա) ընդհանուր գործընթացին նոր մասնակցի միանալու մասին անդամ պետության կողմից Հանձնաժողովին տեղեկացնելը (նշելով ընդհանուր գործընթացի շրջանակներում տեղեկատվական փոխգործակցության ապահովման համար պատասխանատու լիազորված մարմինը).
բ) անդամ պետության նորմատիվ իրավական ակտերում տեխնոլոգիական փաստաթղթերի պահանջների կատարման համար անհրաժեշտ փոփոխությունների կատարումը (միանալու ընթացակարգի կատարումն սկսելու օրվանից 2 ամսվա ընթացքում).
գ) անհրաժեշտության դեպքում ընդհանուր գործընթացին միացող մասնակցի տեղեկատվական համակարգի մշակումը (լրամշակումը), այդ թվում՝ անդամ պետության ազգային հատվածի վստահված երրորդ կողմի ծառայությունների հետ համատեղելի էլեկտրոնային թվային ստորագրության (էլեկտրոնային ստորագրության) միջոցների կիրառման մասով (միանալու ընթացակարգի կատարումն սկսելու օրվանից 3 ամսվա ընթացքում).
դ) ընդհանուր գործընթացին միացող մասնակցի տեղեկատվական համակարգի միացումն անդամ պետության ազգային հատվածին, եթե այդպիսի միացումը նախկինում չի իրականացվել (միանալու ընթացակարգի կատարումն սկսելու օրվանից 3 ամսվա ընթացքում).
ե) Տեղեկատվական փոխգործակցության կանոններում նշված՝ ադմինիստրատորի կողմից տարածվող տեղեկատուների ու դասակարգիչների ստացումն ընդհանուր գործընթացին միացող մասնակցի կողմից.
զ) ընդհանուր գործընթացին միացող մասնակիցների և ադմինիստրատորի տեղեկատվական համակարգերի միջև տեղեկատվական փոխգործակցության՝ տեխնոլոգիական փաստաթղթերի պահանջներին համապատասխանության թեստավորումը (միանալու ընթացակարգի կատարումն սկսելու օրվանից 6 ամսվա ընթացքում):
Պաշտոնական հրապարակման օրը՝ 22 հունիսի 2022 թվական: