ՀԱՅԱՍՏԱՆԻ ՀԱՆՐԱՊԵՏՈՒԹՅԱՆ ԿԱՌԱՎԱՐՈՒԹՅՈՒՆ
Ո Ր Ո Շ ՈՒ Մ
1 հունիսի 2018 թվականի N 650-Ն
ՀԱՅԱՍՏԱՆԻ ՀԱՆՐԱՊԵՏՈՒԹՅԱՆ ԿԱՌԱՎԱՐՈՒԹՅԱՆ 2018 ԹՎԱԿԱՆԻ ԱՊՐԻԼԻ 12-Ի N 451-Ն ՈՐՈՇՄԱՆ ՄԵՋ ՓՈՓՈԽՈՒԹՅՈՒՆՆԵՐ ԵՎ ԼՐԱՑՈՒՄՆԵՐ ԿԱՏԱՐԵԼՈՒ ՄԱՍԻՆ
Հայաստանի Հանրապետության կառավարությունը որոշում է.
1. Հայաստանի Հանրապետության կառավարության 2018 թվականի ապրիլի 12-ի «Գիտության և կրթության բնագավառներում նշանակալի նվաճումներ ունեցող քաղաքացիներին պարտադիր զինվորական ծառայության զորակոչից տարկետում տալու կարգը և պայմանները սահմանելու, Հայաստանի Հանրապետության կառավարության 2002 թվականի օգոստոսի 29-ի N 1394-Ն և 2015 թվականի փետրվարի 5-ի N 117-Ն որոշումներում փոփոխություններ կատարելու, ինչպես նաև Հայաստանի Հանրապետության կառավարության 2000 թվականի հունվարի 13-ի N 15 որոշումն ուժը կորցրած ճանաչելու մասին» N 451-Ն որոշման հավելվածում կատարել հետևյալ փոփոխությունները և լրացումները՝
1) 3-րդ և 5-րդ կետերում «մայիսի 15-ը» բառերը փոխարինել «հունիսի 8-ը» բառերով.
2) 4-րդ կետում «հունիսի 1-ը» բառերը փոխարինել «հունիսի 25-ը» բառերով.
3) 5-րդ կետում «հունիսի 1-ը» բառերը փոխարինել «հուլիսի 1-ը» բառերով.
4) 8-րդ կետի՝
ա. 1-ին ենթակետում «գիտական հրապարակումների, ինչպես նաև հայոց լեզվից կամ հայ գրականությունից կամ հայ ժողովրդի պատմությունից մենագրությունների կամ ստացած արտոնագրերի կամ գրանցված հեղինակային իրավունքների» բառերը փոխարինել «ինչպես նաև բարձրագույն որակավորման կոմիտեի ցանկում ընդգրկված ամսագրերում հրապարակված գիտական հոդվածների» բառերով,
բ. 4-րդ ենթակետը «գնահատականի» բառից հետո լրացնել «(ՄՈԳ)» բառով, իսկ «շրջանակներում)» բառից հետո՝ «որը պետք է կազմի ՄՈԳ-ի առավելագույն արժեքի առնվազն 90 տոկոսը» բառերով.
5) 9-րդ կետում «70» և «80» թվերը համապատասխանաբար փոխարինել «60» և «65» թվերով.
6) հավելվածը լրացնել հետևյալ բովանդակությամբ նոր՝ 9.1-ին կետով.
«9.1. Գերակայություն ճանաչված յուրաքանչյուր ոլորտի մասնագիտություններով նշանակալի նվաճում է համարվում քաղաքացու՝ աշխարհի լավագույն բարձրագույն ուսումնական հաստատությունների ակադեմիական վարկանիշավորման http://www.shanghairanking.com/# կայքի տվյալ տարվա ցանկերի առաջին հինգ տասնյակում ընդգրկված հաստատություններ բակալավրի (դիպլոմավորված մասնագետի, ինտեգրացված), մագիստրատուրայի և ասպիրանտուրայի կրթական ծրագրերով սովորելու կամ դիմորդ հանդիսանալու հանգամանքը` ուսման և կացության համար անհրաժեշտ ֆինանսական աղբյուրների (scholarship) վերաբերյալ փաստաթղթերի առկայությամբ:».
7) ձևի`
ա. 1-ին կետը շարադրել հետևյալ խմբագրությամբ.
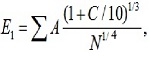
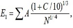
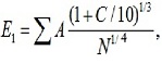
«1. Գիտական հրապարակումներ (հոդվածներ): Գիտական հոդված` «Web of Knowledge» և «Scopus» միջազգային գիտատեղեկատվական շտեմարաններում, ինչպես նաև բարձրագույն որակավորման կոմիտեի ցանկում ընդգրկված ամսագրում հրապարակված՝ հղման ենթակա հոդված.
|
|
որտեղ յուրաքանչյուր հրապարակման (հոդվածի) համար`
A-ն գիտատեղեկատվական շտեմարաններում ամսագրի ընդգրկվածությամբ որոշվող գործակիցն է`
|
IF* |
որոշված չէ |
<0.2 |
0.2-0.5 |
0.5-1.0 |
1.0-2.0 |
2.0-5.0 |
>5.0 |
|
A** |
3 |
5 |
10 |
13 |
15 |
17 |
20 |
|
*) IF-ն ամսագրի տվյալ տարվա ազդեցության գործակիցն է՝ ըստ «Institute for Scientific Information (ISI JCR)»-ի տվյալների: **) Սահմանային արժեքի դեպքում վերցվում է առավելագույնը: | |||||||
C-ն հղումների քանակն է՝ առանց ինքնահղումների.
N-ը համահեղինակների կամ համամրցանակակիրների ընդհանուր թիվն է:»,
բ. 5-րդ կետը «երաշխավորագիրը» բառից հետո լրացնել «և դիմորդի հետ հարցազրույցը» բառերով,
գ. 7-րդ կետում աղյուսակը շարադրել հետևյալ խմբագրությամբ.
| « |
|
»: | |||||||||||||||||||||||
2. Սույն որոշումն ուժի մեջ է մտնում պաշտոնական հրապարակմանը հաջորդող օրվանից:
|
Հայաստանի Հանրապետության |
Ն. Փաշինյան |
|
2018 թ. հունիսի 12 Երևան |