ՀԱՅԱՍՏԱՆԻ ՀԱՆՐԱՊԵՏՈՒԹՅԱՆ ԿԱՌԱՎԱՐՈՒԹՅՈՒՆ
Ո Ր Ո Շ ՈՒ Մ
17 մայիսի 2012 թվականի N 629-Ն
ԿԵՆՍԱԹՈՇԱԿԱՅԻՆ ՖՈՆԴԻ ՄԱՍՆԱԿԻՑՆԵՐԻՆ ՄԱՍՆԱԿԻՑՆԵՐԻ ՌԵԵՍՏՐԸ ՎԱՐՈՂԻ ԿՈՂՄԻՑ ՏԱՐԵԿԱՆ ՄԵԿ ԱՆԳԱՄ ԱՆՎՃԱՐ՝ ՄԱՍՆԱԿՑԻ ԿԵՆՍԱԹՈՇԱԿԱՅԻՆ ՀԱՇՎՈՒՄ ԱՐՏԱՑՈԼՎԱԾ ՆԱԽՈՐԴ ՕՐԱՑՈՒՑԱՅԻՆ ՏԱՐՎԱ ՏՎՅԱԼՆԵՐԻ ՄԱՍԻՆ ՏԵՂԵԿԱՏՎՈՒԹՅՈՒՆԸ ՆԵՐԿԱՅԱՑՆԵԼՈՒ ՁԵՎԸ, ԲՈՎԱՆԴԱԿՈՒԹՅՈՒՆԸ ԵՎ ԿԱՐԳԸ, ԻՆՉՊԵՍ ՆԱԵՎ ԱՅԴ ՏԵՂԵԿԱՏՎՈՒԹՅԱՆ ՍՏԱՑՄԱՆ ՏԱՐԲԵՐԱԿՆԵՐԻ ԸՆՏՐՈՒԹՅԱՆ, ՏԵՂԵԿԱՏՎՈՒԹՅԱՆ ՍՏԱՑՄԱՆ ԴԱԴԱՐԵՑՄԱՆ ՈՒ ՏԵՂԵԿԱՏՎՈՒԹՅԱՆ ՍՏԱՑՄԱՆ ՎԵՐԱԿԱՆԳՆՄԱՆ ԿԱՐԳԸ, ԴԻՄՈՒՄԻ ՁԵՎԸ ԵՎ ԲՈՎԱՆԴԱԿՈՒԹՅՈՒՆԸ ՍԱՀՄԱՆԵԼՈՒ ՄԱՍԻՆ
(վերնագիրը խմբ. 10.07.14 N 768-Ն)
Հիմք ընդունելով «Կուտակային կենսաթոշակների մասին» Հայաստանի Հանրապետության օրենքի 12-րդ հոդվածի 7-րդ մասը` Հայաստանի Հանրապետության կառավարությունը որոշում է.
(նախաբանը փոփ. 10.07.14 N 768-Ն)
1. Սահմանել`
1) կենսաթոշակային ֆոնդի մասնակիցներին մասնակիցների ռեեստրը վարողի կողմից տարեկան մեկ անգամ անվճար՝ մասնակցի կենսաթոշակային հաշվում արտացոլված նախորդ օրացուցային տարվա տվյալների մասին տեղեկատվությունը մասնակցին ներկայացնելու բովանդակությունը և կարգը` համաձայն N 1 հավելվածի.
2) կենսաթոշակային ֆոնդի մասնակիցներին մասնակիցների ռեեստրը վարողի կողմից տարեկան մեկ անգամ անվճար՝ մասնակցի կենսաթոշակային հաշվում արտացոլված նախորդ օրացուցային տարվա տվյալների մասին տեղեկատվությունը մասնակցին ներկայացնելու ձևը` համաձայն N 2 հավելվածի.
3) մասնակիցների ռեեստրը վարողի կողմից տարեկան մեկ անգամ անվճար տրամադրվող` մասնակցի կենսաթոշակային հաշվում արտացոլված նախորդ օրացուցային տարվա տվյալների մասին տեղեկատվության ստացման տարբերակների ընտրության, տեղեկատվության ստացման դադարեցման ու տեղեկատվության ստացման վերականգնման կարգը, դիմումի ձևը և բովանդակությունը` համաձայն N 3 հավելվածի:
(1-ին կետը խմբ. 10.07.14 N 768-Ն)
2. Սույն որոշումն ուժի մեջ է մտնում 2014 թվականի հունվարի 1-ից:
|
Հայաստանի Հանրապետության |
Տ. Սարգսյան |
|
2012 թ. մայիսի 24 Երևան |
|
Հավելված N 1 ՀՀ կառավարության 2012 թվականի մայիսի 17-ի N 629-Ն որոշման |
ԿԵՆՍԱԹՈՇԱԿԱՅԻՆ ՖՈՆԴԻ ՄԱՍՆԱԿԻՑՆԵՐԻՆ ՄԱՍՆԱԿԻՑՆԵՐԻ ՌԵԵՍՏՐԸ ՎԱՐՈՂԻ ԿՈՂՄԻՑ ՏԱՐԵԿԱՆ ՄԵԿ ԱՆԳԱՄ ԱՆՎՃԱՐ՝ ՄԱՍՆԱԿՑԻ ԿԵՆՍԱԹՈՇԱԿԱՅԻՆ ՀԱՇՎՈՒՄ ԱՐՏԱՑՈԼՎԱԾ ՆԱԽՈՐԴ ՕՐԱՑՈՒՑԱՅԻՆ ՏԱՐՎԱ ՏՎՅԱԼՆԵՐԻ ՄԱՍԻՆ ՏԵՂԵԿԱՏՎՈՒԹՅՈՒՆԸ ՄԱՍՆԱԿՑԻՆ ՆԵՐԿԱՅԱՑՆԵԼՈՒ ԲՈՎԱՆԴԱԿՈՒԹՅՈՒՆԸ ԵՎ ԿԱՐԳԸ
1. Սույն փաստաթուղթը սահմանում է պարտադիր կենսաթոշակային ֆոնդի մասնակիցներին մասնակիցների ռեեստրը վարողի կողմից «Կուտակային կենսաթոշակների մասին» Հայաստանի Հանրապետության օրենքով (այսուհետ` օրենք) սահմանված` պարտադիր տարեկան մեկ անգամ անվճար՝ մասնակցի կենսաթոշակային հաշվում արտացոլված նախորդ օրացուցային տարվա տվյալների մասին տեղեկատվությունը մասնակցին ներկայացնելու բովանդակությունը և կարգը:
2. Սույն կարգում օգտագործվող հասկացություններն ունեն օրենքում կիրառվող նշանակությունները:
3. Մասնակիցների ռեեստրը վարողը տարեկան մեկ անգամ անվճար՝ մասնակցին ներկայացնում է կենսաթոշակային հաշվի մասին հետևյալ տեղեկատվությունը`
1) կենսաթոշակային հաշիվը, բացման ամսաթիվը և հաշվետու տարին.
2) մասնակցի անձնական և կոնտակտային տվյալները՝ մասնակցի անունը, ազգանունը, ծննդյան օրը, ամիսը, տարեթիվը, հանրային ծառայության համարանիշը կամ հանրային ծառայության համարանիշ չստանալու վերաբերյալ տեղեկանքի համարը, հասցեն, էլեկտրոնային փոստի հասցեն (առկայության դեպքում).
3) մասնակիցների ռեեստրը վարողի կոնտակտային տվյալները` մասնակիցների ռեեստրը վարողի գտնվելու վայրը (փոստային հասցեն), հեռախոսահամարը, ինտերնետային կայքի հասցեն, էլեկտրոնային փոստի հասցեն.
4) ամփոփ տեղեկատվություն ֆոնդի, ֆոնդի կառավարչի, ֆոնդի տարեկան եկամտաբերության, հաշվետու տարվա վերջի դրությամբ մասնակցի կենսաթոշակային հաշվի մնացորդի և հաշվետու տարվա ընթացքում մասնակցի կուտակումների վերաբերյալ.
5) տվյալ մասնակցի օգտին հաշվետու տարվա ընթացքում կատարված յուրաքանչյուր սոցիալական վճարի չափը և այն կատարող գործատուի անվանումը, պետության կողմից մասնակցի օգտին հատկացված միջոցների չափը, մասնակցի օգտին հատկացում կատարողի կողմից վճարված տույժի չափը, մասնակցի համար կուտակային հատկացման գումարը մասնակցի կենսաթոշակային հաշվին մուտք լինելու օրը, ամիսը, տարեթիվը և այն ամիսն ու տարեթիվը, որի համար կատարվել է հատկացումը, ինչպես նաև տվյալ ժամանակաշրջանի համար կատարված վճարումների հաշվին ձեռք բերված փայերը թողարկող ֆոնդի անվանումը և տեսակը` ըստ «Կուտակային կենսաթոշակների մասին» Հայաստանի Հանրապետության օրենքի 37-րդ հոդվածի 1-ին մասի.
6) հաշվետու տարվա սկզբի և վերջի դրությամբ մասնակցի հաշվում առկա` կենսաթոշակային ֆոնդի (ֆոնդերի) փայերի քանակը, յուրաքանչյուր ֆոնդի փայի արժեքը և փայերի ընդհանուր արժեքը, յուրաքանչյուր ֆոնդի տարեկան եկամտաբերությունը.
7) հաշվետու ժամանակաշրջանի ընթացքում ֆոնդի (ֆոնդերի) փայերի հետ կապված գործարքները (փայերի ձեռքբերումը, փոխանակումը կամ մարումը), այդ թվում`
ա. ֆոնդի անվանումը, որի փայերը ձեռք են բերվել կամ մարվել են հաշվետու տարվա ընթացքում, և տեսակը` ըստ «Կուտակային կենսաթոշակների մասին» Հայաստանի Հանրապետության օրենքի 37-րդ հոդվածի 1-ին մասի,
բ. գործարքի կատարման ամսաթիվը,
գ. գործարքի տեսակը,
դ. գործարքի հիմքը,
ե. յուրաքանչյուր ֆոնդի փայի գործարքի գինը (գործարքի միջնորդավճարի և փայի արժեքի հանրագումարը), փայերի քանակը, ինչպես նաև յուրաքանչյուր գործարքի ընդհանուր գումարը,
զ. յուրաքանչյուր գործարքի համար գանձված վճարը:
(3-րդ կետը լրաց. 15.08.13 N 867-Ն, խմբ. 22.02.18 N 193-Ն)
3.1. Սույն կարգի 3-րդ կետում նշված տեղեկատվությունը մասնակցին տրամադրվում է Հայաստանի Հանրապետության կառավարության 2012 թվականի մայիսի 17-ի N 629-Ն որոշման N 2 հավելվածի աղյուսակների տեսքով, ընդ որում, մասնակցին տրամադրվում են նաև Հայաստանի Հանրապետության կառավարության 2012 թվականի մայիսի 17-ի N 629-Ն որոշման N 2 հավելվածի աղյուսակների` որոշ հասկացությունների վերաբերյալ բացատրությունները:
(3.1-ին կետը լրաց. 22.02.18 N 193-Ն)
4. Սույն կարգի 3-րդ կետում նշված տեղեկատվությունն առաջին անգամ մասնակցին է ներկայացվում էլեկտրոնային եղանակով (մասնակցի ցանկության դեպքում)` Հայաստանի Հանրապետության կենտրոնական բանկի խորհրդի որոշմամբ հաստատված ձևի պարտադիր կենսաթոշակային ֆոնդի ընտրության դիմումում մասնակիցների նշած էլեկտրոնային հասցեով կամ թղթային եղանակով` Հայաստանի Հանրապետության կենտրոնական բանկի խորհրդի որոշմամբ հաստատված ձևի պարտադիր կենսաթոշակային ֆոնդի ընտրության դիմումում մասնակիցների նշած հասցեով, իսկ այդպիսի հասցե նշված չլինելու դեպքում` հարկային մարմնի կողմից մասնակիցների ռեեստրը վարողին տրամադրվող բնակության վայրի հասցեով: Երկրորդ և հետագա անգամները սույն կարգի 3-րդ կետում նշված տեղեկատվությունը մասնակցին ներկայացվում է ըստ նրա ընտրության` թղթային կամ էլեկտրոնային տարբերակով: Մասնակցի կողմից կենսաթոշակային հաշվի մասին տեղեկատվությունն էլեկտրոնային տարբերակով երկրորդ և հետագա անգամներն ստանալու դեպքում մասնակիցների ռեեստրը վարողն այդ տեղեկատվությունն ուղարկում է մասնակցի կողմից մասնակիցների ռեեստրը վարողին ներկայացված վերջին էլեկտրոնային փոստի հասցեով:
(4-րդ կետը խմբ. 15.08.13 N 867-Ն)
5. Կենսաթոշակային հաշվի մասին տեղեկատվությունը թղթային, ինչպես նաև էլեկտրոնային տարբերակով տրամադրվելու դեպքում՝ մասնակցին ներկայացվում է Հայաստանի Հանրապետության կառավարության 2012 թվականի մայիսի 17-ի N 629-Ն որոշման N 2 հավելվածի ձևով:
(հավելվածը լրաց., խմբ. 15.08.13 N 867-Ն, փոփ. 10.07.14 N 768-Ն, խմբ., լրաց. 22.02.18 N 193-Ն)
|
Հայաստանի Հանրապետության կառավարության աշխատակազմի ղեկավար |
Դ. Սարգսյան |
|
Հավելված N 2 ՀՀ կառավարության 2012 թվականի մայիսի 17-ի N 629-Ն որոշման |
Ձև
Տ Ե Ղ Ե Կ Ա Տ Վ ՈՒ Թ Յ ՈՒ Ն
ԿԵՆՍԱԹՈՇԱԿԱՅԻՆ ՀԱՇՎԻ ՄԱՍԻՆ
(վերնագիրը խմբ. 22.02.18 N 193-Ն)
| Հարցերի դեպքում՝ Հայաստանի կենտրոնական դեպոզիտարիա Հասցեն՝ , հեռ.՝ , կայք՝ |
ՁԵՐ ՏՎՅԱԼՆԵՐԸ
|
1. Անունը, ազգանունը |
|
|
2. Ծննդյան ամսաթիվը (օրը, ամիսը, տարեթիվը) |
|
|
3. Հանրային ծառայության համարանիշը կամ հանրային ծառայության համարանիշ չունենալու մասին տեղեկանքի համարը |
|
|
4. Հասցեն |
|
|
5. Էլեկտրոնային փոստի հասցեն |
|
|
6. Կենսաթոշակային հաշիվը |
|
|
7. Կենսաթոշակային հաշվի բացման ամսաթիվը (օրը, ամիսը, տարեթիվը) |
|
|
8. Հաշվետու տարին |
|
Անձնական տվյալներում սխալների հայտնաբերման դեպքում անհրաժեշտ է ներկայացնել անձնական տվյալները փոփոխելու մասին դիմում՝ այցելելով հաշվի օպերատորներին կամ մուտք գործելով www.epension.am կայքի Իմ հաշիվը հավելվածը: |
Աղյուսակ N 1
ԱՄՓՈՓ ՏԵՂԵԿԱՏՎՈՒԹՅՈՒՆ
|
Ձեր Ֆոնդը |
|||
|
Ձեր ֆոնդի կառավարիչը |
|||
|
Ձեր Ֆոնդի տարեկան եկամտաբերությունը |
% | ||
|
Ձեր հաշվի մնացորդը՝ տարվա վերջի դրությամբ կազմել է |
|||
|
Հաշվետու տարվա ընթացքում կուտակումները կազմել են (1+2+3) |
դրամ | ||
|
մասնակիցը |
պետությունը |
եկամուտը | |
|
(1) |
(2) |
(3) | |
Աղյուսակ N 2
ՁԵՐ ԿՈՒՏԱԿԱՅԻՆ ՀԱՏԿԱՑՈՒՄՆԵՐԸ
|
Մուտք հաշվին (օրը, ամիսը, |
Ամիսը, որի համար կատարվել է հատկացումը |
Հատկացումը |
Գործատուն |
Գործատուի կողմից վճարված տույժը |
Ընդամենը՝ հատկա- |
Ֆոնդը | |
|
մասնակիցը |
պետությունը | ||||||
|
(1) |
(2) |
(3) |
(4) |
(5) |
(6) |
(7) |
(8) |
|
Ընդամենը |
|||||||
Աղյուսակ N 3
ՁԵՐ ՖՈՆԴԵՐԻ ԵԿԱՄՏԱԲԵՐՈՒԹՅՈՒՆԸ
|
Ֆոնդը |
Ֆոնդերի փայերի քանակը (հատ) |
Փայի արժեքը (դրամ) |
Փայերի ընդհանուր արժեքը (դրամ) |
Ֆոնդի տարեկան եկամտաբերությունը | ||||
|
տարվա սկիզբը |
տարվա վերջը |
տարվա սկիզբը |
տարվա վերջը |
տարվա սկիզբը (2x4) |
տարվա վերջը (3x5) |
նախորդ տարին |
հաշվետու տարին | |
|
(1) |
(2) |
(3) |
(4) |
(5) |
(6) |
(7) |
(8) |
(9) |
|
% |
% | |||||||
|
Ընդամենը |
||||||||
Աղյուսակ N 4
ՓԱՅԵՐԻ ՀԵՏ ԿԱՊՎԱԾ ԳՈՐԾԱՐՔՆԵՐԸ
|
Ֆոնդը |
|||||||
|
ամսաթիվը |
գործարքի տեսակը |
Գործարքի հիմքը |
Գործարքի գինը |
Գործարքի միջնորդա- |
Փայի արժեքը |
Փայերի քանակը (հատ) |
Գործարքի գումարը (դրամ) |
|
(1) |
(2) |
(3) |
(4) |
(5) |
(6) |
(7) |
(8) |
Որոշ հասկացությունների մասին
1. Ֆոնդ՝ ֆոնդի անվանում և տեսակ, որի փայերը ձեռք են բերվել տվյալ տարվա համար կատարված կուտակային հատկացման գումարով: Դրանք են՝
1.1. FIX` կայուն եկամտային կենսաթոշակային ֆոնդ (ֆոնդի միջոցներն ամբողջությամբ` 100 տոկոսով, ներդրվում են կայուն եկամուտ ապահովող և ցածր ռիսկային ֆինանսական գործիքներում (օրինակ` ավանդ, պարտատոմս և այլն).
1.2. CON՝ պահպանողական կենսաթոշակային ֆոնդ (ֆոնդի միջոցները, բացի կայուն եկամուտ ապահովող ֆինանսական գործիքներից, որոշ չափով (մինչև 25 տոկոս) ներդրվում են համեմատաբար ռիսկային ֆինանսական գործիքներում` օրինակ՝ բաժնետոմսերում).
1.3. BAL՝ հավասարակշռված կենսաթոշակային ֆոնդ (ֆոնդի միջոցները, բացի կայուն եկամուտ ապահովող ֆինանսական գործիքներից, կարող են մինչև 50 տոկոսի չափով ներդրվել համեմատաբար ռիսկային ֆինանսական գործիքներում):
2. Ֆոնդի կառավարիչ՝ Ձեր կամ ծրագրի միջոցով ընտրված կենսաթոշակային ֆոնդի կառավարիչ, որն իրականացնում է կենսաթոշակային ֆոնդի կառավարում: Ներկայումս գործում են երկու կենսաթոշակային ֆոնդի կառավարիչներ՝ «Ամունդի-Ակբա Ասեթ Մենեջմենթ» ՓԲԸ (AM) և « Ցե-Կվադրատ Ամպեգա Ասեթ Մենեջմենթ Արմենիա» ՍՊԸ (CQ):
3. Գործատուի կողմից վճարված տույժ՝ գումար, որն օրենքի համաձայն վճարում է գործատուն Ձեզ համար ժամանակին չմուծված կուտակային հատկացման գումարի 0.075 տոկոսի չափով:
4. Ֆոնդի փայ` կենսաթոշակային ֆոնդին կատարված հատկացումների հաշվին ձեռք բերված փայեր: Օրինակ, եթե հատկացումների մեծությունը 15 000 դրամ է, իսկ մեկ փայի արժեքը 1500 դրամ, ապա Դուք ձեռք կբերեք 10 փայ:
5. Փայի արժեք՝ Ձեզ համար ձեռք բերված կամ մարված մեկ փայի արժեքը՝
| Փայի արժեք = | ֆոնդի ակտիվներ-ֆոնդի պարտավորություններ |
|
ֆոնդի փայերի քանակը |
6. Գործարքի տեսակ` կենսաթոշակային հաշվով կատարված գործարքները լինում են երկու տեսակ՝ փայերի ձեռքբերում և փայերի մարում:
7. Գործարքի հիմք` փայերի ձեռքբերումը կամ մարումը կատարվում է տարբեր հիմքերով: Օրինակ` փայերի ձեռքբերման գործարքի համար հիմք կարող է հանդիսանալ կուտակային հատկացումը: Փայերի մարման հիմք կարող է հանդիսանալ, օրինակ՝ հաշմանդամությունը:
8. Գործարքի միջնորդավճար՝ միջնորդավճար, որը գանձվում է միայն ժառանգության ստացման (ժառանգած գումարի 2 տոկոս) և մասնակցի կողմից տարվա ընթացքում մեկից ավելի անգամ կառավարչի փոփոխություն կատարելու (փոխանցվող գումարի մեկ տոկոսի) դեպքում:
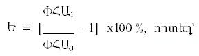
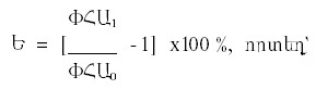
9. Ֆոնդի տարեկան եկամտաբերությունը հաշվարկվում է հետևյալ բանաձևով՝
1) ՓՀԱ0 -ն հաշվարկվող ժամանակահատվածի առաջին օրվան նախորդող առաջին աշխատանքային օրվա համար հաշվարկված փայի արժեքն է.
2) ՓՀԱ1 -ը հաշվարկվող ժամանակահատվածի վերջին օրվա համար հաշվարկված փայի արժեքն է:
(հավելվածը փոփ., խմբ. 10.07.14 N 768-Ն, խմբ. 22.02.18 N 193-Ն)
|
Հայաստանի Հանրապետության կառավարության աշխատակազմի ղեկավար |
Դ. Սարգսյան |
|
Հավելված N 3 ՀՀ կառավարության 2012 թվականի մայիսի 17-ի N 629-Ն որոշման |
Կ Ա Ր Գ
ԿԵՆՍԱԹՈՇԱԿԱՅԻՆ ՖՈՆԴԻ ՄԱՍՆԱԿԻՑՆԵՐԻՆ ՄԱՍՆԱԿԻՑՆԵՐԻ ՌԵԵՍՏՐԸ ՎԱՐՈՂԻ ԿՈՂՄԻՑ ՏԱՐԵԿԱՆ ՄԵԿ ԱՆԳԱՄ ԱՆՎՃԱՐ՝ ՄԱՍՆԱԿՑԻ ԿԵՆՍԱԹՈՇԱԿԱՅԻՆ ՀԱՇՎՈՒՄ ԱՐՏԱՑՈԼՎԱԾ ՆԱԽՈՐԴ ՕՐԱՑՈՒՑԱՅԻՆ ՏԱՐՎԱ ՏՎՅԱԼՆԵՐԻ ՄԱՍԻՆ ՏԵՂԵԿԱՏՎՈՒԹՅԱՆ ՍՏԱՑՄԱՆ ՏԱՐԲԵՐԱԿՆԵՐԻ ԸՆՏՐՈՒԹՅԱՆ, ՏԵՂԵԿԱՏՎՈՒԹՅԱՆ ՍՏԱՑՄԱՆ ԴԱԴԱՐԵՑՄԱՆ ԿԱՄ ՏԵՂԵԿԱՏՎՈՒԹՅԱՆ ՍՏԱՑՄԱՆ ՎԵՐԱԿԱՆԳՆՄԱՆ
(վերնագիրը խմբ. 10.07.14 N 768-Ն)
1. Մասնակիցը կարող է կենսաթոշակային հաշվի մասին տեղեկատվության ստացման տարբերակներն առաջին տարվան հաջորդող տարիների համար ընտրել, տեղեկատվության ստացումը դադարեցնել, ինչպես նաև տեղեկատվության ստացումը վերականգնել համապատասխանաբար կենսաթոշակային հաշվում արտացոլված տվյալների ստացման վերաբերյալ դիմումի միջոցով (այսուհետ` դիմում)` համաձայն «Կուտակային կենսաթոշակների մասին» Հայաստանի Հանրապետության օրենքի 12-րդ հոդվածի 7-րդ մասի:
(1-ին կետը փոփ. 15.08.13 N 867-Ն, 10.07.14 N 768-Ն)
2. Մասնակիցը դիմումը կարող է լրացնել թղթային եղանակով՝ ներկայացնելով հաշվի օպերատորին կամ էլեկտրոնային եղանակով՝ մասնակիցների ռեեստրը վարողի ինտերնետային կայքի միջոցով:
3. Տվյալ տարվա կենսաթոշակային հաշվի մասին տեղեկատվության ստացման տարբերակների ընտրության, տեղեկատվության ստացման դադարեցման և տեղեկատվության ստացման վերականգնման համար մասնակիցը պարտավոր է դիմումը ներկայացնել մինչև այդ տարվան հաջորդող տարվա հունվարի 30-ը: Ընդ որում, սույն կետի առաջին նախադասությամբ նախատեսված դիմումում տեղեկատվության ստացման էլեկտրոնային եղանակի ընտրության դեպքում` հետագա տարիներին տեղեկատվությունը ներկայացվում է առանց լրացուցիչ դիմումը ներկայացնելու, բացառությամբ, եթե հետագայում ներկայացվել է տեղեկատվության ստացման դադարեցման դիմում:
(3-րդ կետը լրաց. 15.08.13 N 867-Ն)
4. Սույն հավելվածի 1-ին կետով սահմանված դիմումը ներկայացվում է` համաձայն N 4 աղյուսակի:
Աղյուսակ N 4
|
ԿԵՆՍԱԹՈՇԱԿԱՅԻՆ ՀԱՇՎՈՒՄ ԱՐՏԱՑՈԼՎԱԾ ՏՎՅԱԼՆԵՐԻ ՍՏԱՑՄԱՆ ՄԱՍԻՆ ԴԻՄՈՒՄ | ||||||||||||||||||||||||||
|
Ա. ՄԱՍՆԱԿՑԻ ԱՆՀԱՏԱԿԱՆ ՏՎՅԱԼՆԵՐԸ | ||||||||||||||||||||||||||
|
1. հանրային ծառայության համարանիշ կամ հանրային ծառայության համարանիշ չստանալու մասին տեղեկանքի համարը |
2. անունը |
3. ազգանունը | ||||||||||||||||||||||||
|
4. ծննդյան ամսաթիվը |
5. սեռը |
6. անձը հաստատող փաստաթղթի տեսակը |
7. անձը հաստատող փաստաթղթի նույնականացման համարը | |||||||||||||||||||||||
|
8. քաղաքացիությունը |
9. կենսական շահերի կենտրոնը |
10. անհատ ձեռնարկատիրոջ պետական գրանցման (հաշվառման) համարը |
11. ՀՎՀՀ-ն | |||||||||||||||||||||||
|
Բ. ՏԵՂԵԿԱՏՎՈՒԹՅՈՒՆ ՍՏԱՆԱԼՈՒ ՆԱԽԸՆՏՐԵԼԻ ՄԻՋՈՑԸ | ||||||||||||||||||||||||||
|
12. ստացման եղանակը |
13. լեզուն | |||||||||||||||||||||||||
|
12.1. փոստով |
12.2. էլեկտրոնային փոստով |
13.1. հայերեն |
13.2. ռուսերեն |
13.3. անգլերեն | ||||||||||||||||||||||
|
Գ. ՄԱՍՆԱԿՑԻ ԿՈՆՏԱԿՏԱՅԻՆ ՏՎՅԱԼՆԵՐԸ | ||||||||||||||||||||||||||
|
14. փոստային ինդեքսը |
15. երկիրը |
16. վարչատարածքային միավորը |
17. համայնքը (վարչական շրջանը) |
18. բնակավայրը, փողոցը, տունը (շենքը), բնակարանը | ||||||||||||||||||||||
|
19. հեռախոսահամարը |
20. բջջային հեռախոսահամարը |
21. էլեկտրոնային փոստի հասցեն | ||||||||||||||||||||||||
|
Դ. ՈՐՈՇՈՒՄԸ | ||||||||||||||||||||||||||
|
22. մասնակցի որոշումը կենսաթոշակային հաշվի մասին տեղեկատվությունն ստանալու վերաբերյալ | ||||||||||||||||||||||||||
|
22.1. ստանալ (վերականգնել) տեղեկատվությունը | ||||||||||||||||||||||||||
|
22.2. դադարեցնել տեղեկատվության ստացումը | ||||||||||||||||||||||||||
|
23. ամսաթիվը |
24. մասնակցի ստորագրությունը
|
25. լիազորված անձի անունը, ազգանունը |
26. լիազորված անձի ստորագրությունը | |||||||||||||||||||||||
|
Էջը լրացնելիս օգտվեք դիմումի դարձերեսին տեղադրված ուղեցույցից | ||||||||||||||||||||||||||
(աղյուսակը խմբ. 15.08.13 N 867-Ն)
(4-րդ կետը փոփ., խմբ. 15.08.13 N 867-Ն)
ՈՒ Ղ Ե Ց ՈՒ Յ Ց
ԿԵՆՍԱԹՈՇԱԿԱՅԻՆ ՀԱՇՎՈՒՄ ԱՐՏԱՑՈԼՎԱԾ ՏՎՅԱԼՆԵՐԻ ՍՏԱՑՄԱՆ ՄԱՍԻՆ ԴԻՄՈՒՄԻ ԼՐԱՑՄԱՆ
1. «1. հանրային ծառայությունների համարանիշ կամ հանրային ծառայությունների համարանիշ չստանալու մասին տեղեկանքի համարը» վանդակում պարտադիր լրացվում է մասնակցի հանրային ծառայությունների համարանիշը, իսկ հանրային ծառայությունների համարանիշի բացակայության դեպքում լրացվում է հանրային ծառայությունների համարանիշ չստանալու մասին տեղեկանքի համարը (սույն վանդակը լրացվելիս 2-21-րդ վանդակները լրացվում են ինքնաշխատ, եթե մասնակիցների ռեեստրը վարողի կողմից այդ հնարավորությունն ապահովված է):
2. «2. անունը» վանդակում պարտադիր լրացվում է մասնակցի անունը, ինչպես որ նշված է անձը հաստատող փաստաթղթում:
3. «3. ազգանունը» վանդակում պարտադիր լրացվում է մասնակցի ազգանունը, ինչպես որ նշված է անձը հաստատող փաստաթղթում:
4. «4. ծննդյան ամսաթիվը» վանդակում պարտադիր լրացվում է մասնակցի ծննդյան ամսաթիվը (օրը, ամիսը, տարեթիվը ֆորմատով), ինչպես որ նշված է անձը հաստատող փաստաթղթում, մասնավորապես, 01/01/1990:
5. «5. սեռը» վանդակում պարտադիր լրացվում է մասնակցի սեռը, ինչպես որ նշված է անձը հաստատող փաստաթղթում, մասնավորապես, իգական՝ Ի, արական՝ Ա:
6. «6. անձը հաստատող փաստաթղթի տեսակը» վանդակում պարտադիր լրացվում է Հայաստանի Հանրապետության կառավարության 1999 թվականի դեկտեմբերի 22-ի N 767 որոշմամբ նախատեսված մասնակցի անձը հաստատող վավեր փաստաթղթի տեսակը:
7. «7. անձը հաստատող փաստաթղթի նույնականացման համարը» վանդակում պարտադիր լրացվում է մասնակցի վավեր անձնագրի սերիան և համարը կամ անձը հաստատող այլ վավեր փաստաթղթի նույնականացման համարը, եթե «6. անձը հաստատող փաստաթղթի տեսակը» վանդակում լրացվել է Հայաստանի Հանրապետության կառավարության 1999 թվականի դեկտեմբերի 22-ի N 767 որոշմամբ նախատեսված անձնագրից բացի այլ փաստաթուղթ կամ օտարերկրյա քաղաքացի հանդիսացող մասնակցի անձնագրի կամ անձի ինքնությունը հաստատող այլ փաստաթղթի նույնականացման համարը:
8. «8. քաղաքացիությունը» վանդակում պարտադիր լրացվում է մասնակցի քաղաքացիությունը, ինչպես որ նշված է անձը հաստատող փաստաթղթում, իսկ քաղաքացիության բացակայության դեպքում լրացվում է «քաղաքացիություն չունեցող անձ»:
9. «9. կենսական շահերի կենտրոնը» վանդակում պարտադիր լրացվում է օտարերկրյա քաղաքացի հանդիսացող մասնակցի կենսական շահերի կենտրոնը (կենսական շահերի կենտրոնն այն վայրն է, որտեղ կենտրոնացված են անձի ընտանեկան կամ տնտեսական շահերը: Ընտանեկան կամ տնտեսական շահ է համարվում այն վայրը, որտեղ գտնվում է անձի բնակելի տունը (բնակարանը), որտեղ բնակվում է անձը կամ նրա ընտանիքը (բնակության վայրն այն վայրն է, որտեղ անձը մշտապես կամ առավելապես ապրում է), և որտեղ գտնվում է նրա (ընտանիքի) անձնական կամ ընտանեկան հիմնական գույքը կամ հիմնական տնտեսական (պրոֆեսիոնալ) գործունեության իրականացման վայրը):
10. «10. անհատ ձեռնարկատիրոջ պետական գրանցման (հաշվառման) համարը» վանդակում պարտադիր լրացվում է անհատ ձեռնարկատեր հանդիսացող մասնակցի պետական գրանցման (հաշվառման) համարը:
11. «11. ՀՎՀՀ-ն» վանդակում պարտադիր լրացվում է անհատ ձեռնարկատեր հանդիսացող մասնակցի հարկ վճարողի հաշվառման համարը:
12. «12. ստացման եղանակը» դաշտում մասնակիցների ռեեստրը վարողից կենսաթոշակային հաշվի մասին տեղեկատվություն ստանալու եղանակի ընտրության համար կատարվում է ձախից V-աձև նշում (կարելի է ընտրել «12.1. փոստով» կամ «12.2. էլեկտրոնային փոստով» վանդակներից միայն մեկը):
13. «13. լեզուն» դաշտում ձախից V-աձև նշումով դիմումատուի ցանկությամբ ընտրվում է մասնակիցների ռեեստրը վարողից կենսաթոշակային հաշվի մասին տեղեկատվությունն ստանալու մասնակցի նախընտրելի լեզուն, ընդ որում, կարելի է ընտրել «13.1. հայերեն», «13.2. ռուսերեն» կամ «13.3. անգլերեն» տարբերակներից միայն մեկը:
14. «14. փոստային ինդեքսը» վանդակում պարտադիր լրացվում է մասնակցի բնակության վայրի փոստային ինդեքսը:
15. «15. երկիրը» վանդակում պարտադիր լրացվում է մասնակցի բնակության երկրի անվանումը:
16. «16. վարչատարածքային միավորը» վանդակում պարտադիր լրացվում է մարզի անվանումը, որտեղ բնակվում է մասնակիցը, իսկ Երևանի քաղաքային համայնքի դեպքում` «Երևան» (օտարերկրյա հասցեի դեպքում լրացվում է տվյալ երկրի վարչատարածքային միավորի անվանումը):
17. «17. համայնքը (վարչական շրջանը)» վանդակում պարտադիր լրացվում է մարզի համայնքի (քաղաքային, գյուղական), իսկ Երևանի քաղաքային համայնքի դեպքում` վարչական շրջանի (օտարերկրյա հասցեի դեպքում` տվյալ երկրի համայնքային միավորի) անվանումը, որտեղ բնակվում է մասնակիցը:
18. «18. բնակավայրը, փողոցը, տունը (շենքը), բնակարանը» վանդակում հաջորդաբար պարտադիր լրացվում են բնակավայրի անվանումը (առկայության դեպքում), փողոցի անվանումը, տան (շենքի), բնակարանի համարները, որտեղ բնակվում է մասնակիցը:
19. «19. հեռախոսահամարը» վանդակում դիմումատուի ցանկությամբ լրացվում են այն հեռախոսների միջազգային կոդերը և համարները (բնակության, ծառայողական), որոնցով հնարավոր է կապ հաստատել մասնակցի հետ:
20. «20. բջջային հեռախոսահամարը» վանդակում դիմումատուի ցանկությամբ լրացվում են այն բջջային հեռախոսների միջազգային կոդերը և համարները, որոնցով հնարավոր է կապ հաստատել մասնակցի հետ:
21. «21. էլեկտրոնային փոստի հասցեն» վանդակում պարտադիր լրացվում է մասնակցի էլեկտրոնային փոստի հասցեն, որով մասնակիցը նախընտրում է ստանալ կենսաթոշակային հաշվի մասին տեղեկատվություն մասնակիցների ռեեստրը վարողից, եթե ընտրվել է «12.2. էլեկտրոնային փոստով» վանդակը:
22. «22. մասնակցի որոշումը կենսաթոշակային հաշվի մասին տեղեկատվությունն ստանալու վերաբերյալ» դաշտում մասնակցի կողմից որոշում ընդունվելու համար կատարվում է ձախից V-աձև նշում, ընդ որում:
23. «22.1. ստանալ (վերականգնել) տեղեկատվությունը» վանդակում նշում է կատարվում այն դեպքում, երբ մասնակիցը ցանկանում է ստանալ իր կենսաթոշակային հաշվում արտացոլված տվյալների մասին տեղեկատվությունը կամ վերականգնել ստացումը, եթե նախկինում դադարեցրել է ստացումը: Այս դեպքում աղյուսակի «Բ» և «Գ» դաշտերը պարտադիր լրացվում են:
24. «22.2. դադարեցնել տեղեկատվության ստացումը» վանդակում նշում է կատարվում այն դեպքում, երբ մասնակիցը ցանկանում է դադարեցնել տեղեկատվության ստացումը: Այս դեպքում աղյուսակի «Բ» և «Գ» դաշտերը չեն լրացվում:
25. «23. ամսաթիվը» վանդակում պարտադիր լրացվում է դիմումը ներկայացնելու ամսաթիվը (օրը, ամիսը, տարեթիվը ֆորմատով), մասնավորապես, 01/01/2014:
26. «24. մասնակցի ստորագրությունը» վանդակում պարտադիր դրվում է մասնակցի ստորագրությունը, եթե սույն դիմումը ներկայացվում է մասնակցի կողմից անմիջականորեն (ոչ ներկայացուցչի միջոցով), ընդ որում, թղթային ձևով:
27. «25. լիազորված անձի անունը, ազգանունը» վանդակում պարտադիր լրացվում են մասնակցի լիազորված անձի անունը և ազգանունը, ինչպես նշված է անձը հաստատող փաստաթղթում, եթե սույն դիմումը թղթային ձևով ներկայացվում է հաշվի օպերատորին՝ լիազորված անձի կողմից:
28. «26. լիազորված անձի ստորագրությունը» վանդակում պարտադիր դրվում է մասնակցի լիազորված անձի ստորագրությունը, եթե սույն դիմումը ներկայացվում է թղթային ձևով՝ լիազորված անձի միջոցով:
(ուղեցույցը խմբ. 15.08.13 N 867-Ն)
(հավելվածը փոփ., լրաց., խմբ. 15.08.13 N 867-Ն, խմբ., փոփ. 10.07.14 N 768-Ն)
|
Հայաստանի Հանրապետության կառավարության աշխատակազմի ղեկավար |
Դ. Սարգսյան |