«ԳՐԱՆՑՎԱԾ Է»
ՀՀ ԱՐԴԱՐԱԴԱՏՈՒԹՅԱՆ
ՆԱԽԱՐԱՐՈՒԹՅԱՆ ԿՈՂՄԻՑ
14 հուլիսի 2005 թ.
ՊԵՏԱԿԱՆ ԳՐԱՆՑՄԱՆ ԹԻՎ 60005285
ՀԱՅԱՍՏԱՆԻ ՀԱՆՐԱՊԵՏՈՒԹՅԱՆ
ՀԱՆՐԱՅԻՆ ԾԱՌԱՅՈՒԹՅՈՒՆՆԵՐԸ ԿԱՐԳԱՎՈՐՈՂ ՀԱՆՁՆԱԺՈՂՈՎ
|
24 հունիսի 2005 թ. |
N 79-Ն |
Ո Ր Ո Շ ՈՒ Մ
ՈՌՈԳՄԱՆ ՋՐԻ ՄԱՏԱԿԱՐԱՐՄԱՆ ԾԱՌԱՅՈՒԹՅՈՒՆՆԵՐԻ ՄԱՏՈՒՑՄԱՆ ՍԱԿԱԳՆԵՐԻ ՄՇԱԿՄԱՆ ՄԵԹՈԴԻԿԱՆ ՀԱՍՏԱՏԵԼՈՒ ՄԱՍԻՆ
(վերնագիրը փոփ. 06.11.17 N 478-Ն)
Հիմք ընդունելով Հայաստանի Հանրապետության ջրային օրենսգրքի 14-րդ հոդվածը` Հայաստանի Հանրապետության հանրային ծառայությունները կարգավորող հանձնաժողովը որոշում է.
1. Հաստատել ոռոգման ջրի մատակարարման ծառայությունների մատուցման սակագների մշակման մեթոդիկան (հավելված):
(1-ին կետը փոփ. 06.11.17 N 478-Ն)
2. Սույն որոշումն ուժի մեջ է մտնում պաշտոնական հրապարակման օրվան հաջորդող տասներորդ օրը:
|
ՀՀ հանրային ծառայությունները |
Ռ. Նազարյան |
|
Հավելված |
|
Հաստատված է |
ՈՌՈԳՄԱՆ ՋՐԻ ՄԱՏԱԿԱՐԱՐՄԱՆ ԾԱՌԱՅՈՒԹՅՈՒՆՆԵՐԻ ՄԱՏՈՒՑՄԱՆ ՍԱԿԱԳՆԵՐԻ ՄՇԱԿՄԱՆ ՄԵԹՈԴԻԿԱՆ
(վերնագիրը փոփ. 06.11.17 N 478-Ն)
Սույն մեթոդիկան սահմանում է ոռոգման ջրի մատակարարման ծառայություններ (այսուհետ` Ծառայություններ) մատուցող անձի (այսուհետ` Անձ) կողմից ջրօգտագործողների ընկերություններին, ջրօգտագործողների ընկերությունների միություններին և այլ ջրօգտագործողներին (այսուհետ` Սպառողներ) մատուցվող ծառայությունների սակագնային համակարգի մշակման սկզբունքները: Սույն մեթոդիկան չի տարածվում ջրօգտագործողների ընկերությունների, ջրօգտագործողների ընկերությունների միությունների, համայնքների, համայնքային բյուջետային հիմնարկների և ոչ առևտրային կազմակերպությունների կողմից, ինչպես նաև բացառապես սեփական կարիքների համար ոռոգման ջրի մատակարարման հետ կապված հարաբերությունների վրա:
(պարբերությունը խմբ. 06.11.17 N 478-Ն)
1. Սակագնային համակարգի մշակման փուլերը
1.1 Սակագնային համակարգի մշակումը իրականացվում է հետևյալ փուլերով`
ա) Անձի տարեկան անհրաժեշտ հասույթի որոշում,
բ) ծախսերի վերլուծություն և Սպառողներին ու սպառողական խմբերին մատուցվող ծառայությունների արժեքի որոշում,
գ) սակագների կառուցվածքների մշակում:
(1.1-ին կետը փոփ. 06.11.17 N 478-Ն)
2. Անհրաժեշտ հասույթի որոշումը
2.1 Սակագների մշակման գործընթացն իրականացնելիս Անձն առաջնորդվում է անհրաժեշտ տարեկան հասույթի ապահովման սկզբունքով, համաձայն որի անհրաժեշտ հասույթը բավարարում է իրականացնելու Անձի հուսալի, անվտանգ և շարունակական գործունեության համար պահանջվող բոլոր գործառնական ծախսերը և ապահովելու ներգրավված կապիտալի դիմաց թույլատրելի (ողջամիտ) շահույթը:
Անհրաժեշտ հասույթը (ԱՀ) հաշվարկվում է հետևյալ բանաձևով`
ԱՀ = ԹԾ + Մ + ԹՇ - ԱԵ,
որտեղ`
ԹԾ - թույլատրելի տարեկան ծախսերն են,
Մ - հիմնական միջոցների տարեկան մաշվածության գումարն է,
ԹՇ - թույլատրելի շահույթն է,
ԱԵ - այլ եկամուտներն են:
(2.1-ին կետը փոփ. 06.11.17 N 478-Ն)
2.2 Թույլատրելի ծախսերում (ԹԾ) ներառվում են սակագների հաշվարկման 12-ամսյա ժամանակաշրջանի (այսուհետ` հաշվարկային տարի) ընթացքում Ծառայություններ մատուցելու համար կատարվող անհրաժեշտ ընթացիկ ծախսերը, այդ թվում`
ա) շահագործման և պահպանման ծախսերը, ներառյալ` աշխատավարձերը, նպաստները, ինչպես նաև ոռոգման համակարգերի շահագործման և ընթացիկ վերանորոգման համար պահանջվող ծախսերը,
բ) հարկերը (բացի շահութահարկից և ավելացված արժեքի հարկից) և Հայաստանի Հանրապետության օրենքով սահմանված տուրքերն ու պարտադիր այլ վճարները,
գ) Հայաստանի Հանրապետության օրենսդրությամբ նախատեսված հիմնավորված և անհրաժեշտ այլ ծախսերը,
դ) Հայաստանի Հանրապետության կառավարությունից կամ Հայաստանի Հանրապետության կառավարության երաշխավորմամբ ստացված արտոնյալ վարկերի սպասարկման և մարման հետ կապված ծախսերը:
Ծառայությունների մատուցման հետ չառնչվող ծախսերը չեն ընդգրկվում անհրաժեշտ հասույթի հաշվարկում:
2.3 Հիմնական միջոցների տարեկան մաշվածության (Մ) գումարները հաշվարկվում են գծային մեթոդով` ելնելով Ծառայությունների մատուցման համար Հայաստանի Հանրապետության հանրային ծառայությունները կարգավորող հանձնաժողովի (այսուհետ` Հանձնաժողով) կողմից օգտակար և օգտագործվող ճանաչված հիմնական միջոցների սկզբնական (ձեռքբերման) արժեքից կամ ֆինանսական հաշվետվություններում դրան փոխարինող այլ գումարից և օգտակար ծառայության ժամանակահատվածից:
2.4 Թույլատրելի է համարվում շահույթի (ԹՇ) այն մեծությունը, որն Անձը հնարավորություն է տալիս կատարել ակտիվների ֆինանսավորման համար ներգրավված կապիտալի հետ կապված պարտավորությունները և չխոչընդոտել Անձի զարգացման համար անհրաժեշտ լրացուցիչ սեփական կամ փոխառու միջոցների ներգրավումը:
Անձի ակտիվների ֆինանսավորման աղբյուրներից, պայմաններից և հնարավորություններից ելնելով` թույլատրելի շահույթի որոշման համար օգտագործվում են հետևյալ եղանակները.
ա) զուտ ակտիվների շահույթի նորմայի եղանակ,
բ) անհրաժեշտ ֆինանսական ծախսերի հատուցման եղանակ:
(2.4-րդ կետը փոփ. 06.11.17 N 478-Ն)
2.5 Զուտ ակտիվների շահույթի նորմայի եղանակի կիրառման դեպքում թույլատրելի շահույթը հաշվարկվում է որպես շահույթի հաշվարկման բազայի (ՇԲ) և թույլատրելի շահույթի նորմայի (ՇՆ) արտադրյալ`
ԹՇ = ՇԲ * ՇՆ:
Շահույթի հաշվարկման բազան Անձի զուտ ակտիվների արժեքն է, որը հաշվարկվում է հետևյալ բանաձևով`
ՇԲ = ՕՕՈԸԱ - ԿՄ + ՇԿ,
որտեղ`
ՕՕՈԸԱ - Ծառայությունների մատուցման համար Հանձնաժողովի կողմից օգտակար և օգտագործվող ճանաչված ոչ ընթացիկ ակտիվների, այդ թվում` հողի, շենքերի, կառուցվածքների և սարքավորումների, մեքենա-մեխանիզմների և այլ նյութական ակտիվների արժեքն է,
ԿՄ - ոչ ընթացիկ ակտիվների կուտակված մաշվածությունն է, որը հաշվարկվում է սույն մեթոդիկայի 2:3 կետով սահմանված մեթոդով:
ՇԿ - շրջանառու կապիտալի` Հանձնաժողովի կողմից թույլատրելի համարվող մեծությունն է, որի մեջ մտնում են Ծառայությունների իրականացման գծով Անձի ընթացիկ պարտավորությունների կատարման համար պահանջվող կանխիկ միջոցները, նյութերը և պահեստամասերը:
Շահույթի թույլատրելի նորման Անձի փոխառու և սեփական կապիտալի միջին արժեքն է` հաշվարկված կապիտալի կառուցվածքում նրանց բաժնեմասերին համապատասխան`
որտեղ`
ՍԿ և ru - համապատասխանաբար սեփական կապիտալի մեծությունն է հաշվարկային տարվա սկզբում և նրա թույլատրելի շահույթի նորման` մինչև հարկումը,
ՓԿi և rՓi - համապատասխանաբար i-րդ փոխառության չմարված մնացորդն է հաշվարկային տարվա սկզբում և նրա սպասարկման արժեքը:
Այս եղանակի կիրառման դեպքում ներգրավված կապիտալի նկատմամբ պարտավորություններն ամբողջությամբ իրականացվում են շահույթի և մաշվածության գումարների հաշվին: Հանձնաժողովի կողմից հաստատված ներդրումային ծրագրերի համաձայնեցման կարգի պահանջներին համապատասխան կատարված ներդրումները հաշվի են առնվում դրանց իրականացումից հետո` շահույթի և մաշվածության բազայում ներառման միջոցով:
(2.5-րդ կետը փոփ. 06.11.17 N 478-Ն)
2.6 Շահույթի և մաշվածության հաշվարկման բազայում, ինչպես նաև շահույթի թույլատրելի նորմայի հաշվարկում չեն ընդգրկվում այն ներդրումները, որոնք իրականացվում են դրամաշնորհների, Հայաստանի Հանրապետության կառավարությունից կամ Հայաստանի Հանրապետության կառավարության երաշխավորմամբ ստացված արտոնյալ վարկերի հաշվին:
2.7 Անհրաժեշտ ֆինանսական ծախսերի հատուցման եղանակի կիրառման դեպքում թույլատրելի շահույթը հաշվարկվում է` հաշվի առնելով Անձի փաստացի ֆինանսական պարտավորությունները և սույն մեթոդիկայի 2.2 կետում նշված թույլատրելի ծախսերի կազմում չընդգրկված այն լրացուցիչ ծախսերը, որոնք անհրաժեշտ են ոռոգման համակարգի պահպանման և համալրման համար: Հաշվի առնելով, որ այդպիսի ծախսերի ֆինանսավորման աղբյուր են նաև մաշվածության գումարները, անհրաժեշտ հասույթի հաշվարկում մաշվածության և շահույթի փոխարեն ընդգրկվում են հետևյալ մեծությունները`
ա) Հանձնաժողովի հետ համաձայնեցված փոխառու միջոցների սպասարկման (տոկոսավճարներ) և մարման ծախսերը, որոնք որոշվում են Անձի առկա պարտքերի սպասարկման և մարման ժամանակացույցից,
բ) փոխառու միջոցներով և շահագործման ծախսերով չֆինանսավորվող տարեկան կապիտալ ծախսերը, որոնք Անձը կատարում է հիմնական միջոցների համալրման համար` Ծառայությունների անխափանությունն ապահովելու նպատակով, և որի ֆինանսավորումը պետք է իրականացվի տվյալ տարվա հասույթից:
Նշված ծախսերը ներառվում են անհրաժեշտ հասույթի կազմում` Հանձնաժողովի հետ նախապես համաձայնեցված ներդրումային ծրագրերում նախատեսված չափերով:
(2.7-րդ կետը փոփ. 06.11.17 N 478-Ն)
2.8 Այլ եկամուտները ներառում են Ծառայությունների մատուցման համար ներգրավված ակտիվների այլ նպատակներով օգտագործումից (օտարումից) ստացվող լրացուցիչ հասույթների և դրանց պատճառով առաջացող լրացուցիչ ծախսերի տարբերությունը:
2.9 Անհրաժեշտ հասույթի հաշվարկում ընդգրկված ծախսերի որոշման համար հիմք են հանդիսանում հաշվարկային տարվան նախորդող 12-ամսյա ժամանակաշրջանում Ծառայությունների մատուցման համար Անձի կողմից կատարված փաստացի ծախսերը, որոնց վերաբերյալ գոյություն ունի սպառիչ տեղեկատվություն:
Նշված փաստացի ծախսերը ճշգրտվում են` հաշվի առնելով սակագնային հայտի ներկայացման պահին արդեն հայտնի և նոր սակագնի գործողության ընթացքում կանխատեսվող ողջամիտ փոփոխությունները:
(2.9-րդ կետը փոփ. 06.11.17 N 478-Ն)
3. Ծախսերի վերլուծություն ԵՎ Ծառայությունների արժեքի որոշում
3.1 Սակագնային համակարգի մշակման հաջորդ փուլը ծախսերի վերլուծությունն է, որի միջոցով իրականացվում է ընդհանուր ծախսերի բաշխումը բոլոր սպառողական խմբերի միջև:
Ծախսերի վերլուծությունը բաղկացած է հետևյալ քայլերից`
ա) ծախսերի տարանջատում ըստ գետավազանային բաժանումների,
բ) սպառողների խմբավորում,
գ) ծախսերի դասակարգում:
3.2 Ծախսերի վերլուծության համար Անձն իր կողմից սպասարկվող տարածքը բաժանում է ըստ գետավազանների (մասնաճյուղերի):
(3.2-րդ կետը փոփ. 06.11.17 N 478-Ն)
3.3 Սպառողների խմբավորումն իրականացվում է այնպես, որ նույն խմբում ընդգրկվեն սպառողներ, որոնց սպասարկումը գրեթե նման ծախսային բեռնվածք է ստեղծում Անձի համար: Սպառողները բաժանվում են երկու խմբի`
ա) ինքնահոս եղանակով սպասարկվող սպառողներ,
բ) մեխանիկական եղանակով սպասարկվող սպառողներ:
(3.3-րդ կետը փոփ. 06.11.17 N 478-Ն)
3.4 Ծառայությունների մատուցման համար Անձի կողմից իրականացվող ընդհանուր ծախսերը դասակարգվում են երկու խմբի` ուղղակի և անուղղակի:
Ուղղակի են այն ծախսերը (Ծու), որոնք հնարավոր է անմիջականորեն վերագրել տվյալ գետավազանի սպառողների յուրաքանչյուր խմբին Ծառայություններ մատուցելու համար կատարված ծախսերին:
Ինքնահոս եղանակով սպասարկվող սպառողների համար դրանք հիմնականում ջրառի, ջրատարների և այլ հիդրոտեխնիկական կառուցվածքների (մինչև բաժանարար հանգույց) շահագործման և պահպանման ծախսերն են:
Մեխանիկական եղանակով սպասարկվող սպառողների համար ուղղակի ծախսերն են պոմպային ջրհան կայանների, մղման խողովակաշարերի, ջրավազանների և այլ հիդրոտեխնիկական կառուցվածքների (մինչև բաժանարար հանգույց) շահագործման և պահպանման ծախսերը, այդ թվում` էլեկտրական էներգիայի:
(3.4-րդ կետը փոփ. 06.11.17 N 478-Ն)
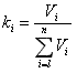
3.5 Անուղղակի ծախսերը (Ծա) կապված են միաժամանակ մի քանի կամ բոլոր գետավազանների հետ, և քանի որ դրանք հնարավոր չէ ուղղակիորեն վերագրել որևէ գետավազանի, ապա յուրաքանչյուր գետավազանի անուղղակի ծախսերի հատուցվող մասնաբաժինը որոշվում է այդ գետավազանից մատակարարված ջրի ծավալով`
,
որտեղ` n - գետավազանների քանակն է,
ki - i -րդ գետավազանի անուղղակի ծախսերի բաշխման գործակիցն է,
Vi - i-րդ գետավազանից մատակարարված ջրի ծավալն է:
Այսպիսով, i-րդ գետավազանի անուղղակի ծախսերի հատուցվող մասնաբաժինը կլինի`
Ծաi = ki * Ծա:
3.6 Յուրաքանչյուր գետավազանի անուղղակի ծախսերի հատուցվող մասնաբաժինը բաշխվում է տվյալ գետավազանի ինքնահոս (Ծիաi) և մեխանիկական (Ծմաi) եղանակներով սպասարկվող սպառողական խմբերի միջև`
Ծիաi=qիi *Ծաi ,
Ծմաi=qմi *Ծաi ,
որտեղ` qիi և qմi - i-րդ գետավազանի համապատասխանաբար ինքնահոս և մեխանիկական եղանակներով սպասարկվող սպառողական խմբերի անուղղակի ծախսերի բաշխման գործակիցներն են, որոնք որոշվում են հետևյալ բանաձևերով`
| qիi = |
Vիi |
|
Vi |
| qմi = |
Vմi |
|
Vi |
որտեղ`
Vիi և Vմi - i-րդ գետավազանից համապատասխանաբար ինքնահոս և մեխանիկական եղանակներով սպասարկվող սպառողներին մատակարարված ջրի ծավալներն են:
4. Սակագների մշակումը
Յուրաքանչյուր գետավազանի ինքնահոս և մեխանիկական եղանակներով սպասարկվող սպառողական խմբերի սակագնային դրույքները համապատասխանաբար որոշվում են հետևյալ բանաձևերով`
,
,
որտեղ`
Ծիուi և Ծմուi - i-րդ գետավազանի համապատասխանաբար ինքնահոս և մեխանիկական եղանակներով սպասարկվող սպառողական խմբերի կողմից հատուցվող ուղղակի ծախսերի մասնաբաժիններն են,
Ծիաi և Ծմաi - i-րդ գետավազանի համապատասխանաբար ինքնահոս և մեխանիկական եղանակներով սպասարկվող սպառողական խմբերի կողմից հատուցվող անուղղակի ծախսերի մասնաբաժիններն են,
ՋԾիi և ՋԾմi - i-րդ գետավազանի համապատասխանաբար ինքնահոս և մեխանիկական եղանակներով սպասարկվող սպառողական խմբերի կողմից տարվա ընթացքում ծախսվող ոռոգման ջրի ծավալն են:
(հավելվածը փոփ., խմբ. 06.11.17 N 478-Ն)