«Վավերացնում եմ»
Հայաստանի Հանրապետության
Նախագահ Ռ. Քոչարյան
5 դեկտեմբերի 2005 թ.
ՀԱՅԱՍՏԱՆԻ ՀԱՆՐԱՊԵՏՈՒԹՅԱՆ ԿԱՌԱՎԱՐՈՒԹՅՈՒՆ
Ո Ր Ո Շ ՈՒ Մ
13 հոկտեմբերի 2005 թվականի N 2047-Ն
|
ՀԱՅԱՍՏԱՆԻ ՀԱՆՐԱՊԵՏՈՒԹՅԱՆ ՍՅՈՒՆԻՔԻ ՄԱՐԶԻ ԱՆԳԵՂԱԿՈԹԻ ԳՅՈՒՂԱԿԱՆ ՀԱՄԱՅՆՔԻ ՎԱՐՉԱԿԱՆ ՍԱՀՄԱՆՆԵՐԻ ՆԿԱՐԱԳԻՐԸ ՀԱՍՏԱՏԵԼՈՒ ԵՎ ԱՆԳԵՂԱԿՈԹԻ ԳՅՈՒՂԱԿԱՆ ՀԱՄԱՅՆՔԻ ՎԱՐՉԱԿԱՆ ՍԱՀՄԱՆՆԵՐՈՒՄ ԳՏՆՎՈՂ` ՊԵՏԱԿԱՆ ՍԵՓԱԿԱՆՈՒԹՅՈՒՆ ՀԱՆԴԻՍԱՑՈՂ ՀՈՂԱՄԱՍԵՐՆ ԱՆՀԱՏՈՒՅՑ ՍԵՓԱԿԱՆՈՒԹՅԱՆ ԻՐԱՎՈՒՆՔՈՎ ՀԱՄԱՅՆՔԻՆ ՓՈԽԱՆՑԵԼՈՒ ՄԱՍԻՆ |
Հայաստանի Հանրապետության հողային օրենսգրքի 34-րդ ու 56-րդ, «Տեղական ինքնակառավարման մասին» Հայաստանի Հանրապետության օրենքի 6-րդ, 47-րդ ու 84-րդ և «Հայաստանի Հանրապետության վարչատարածքային բաժանման մասին» Հայաստանի Հանրապետության օրենքի 6-րդ հոդվածների պահանջներին համապատասխան` Հայաստանի Հանրապետության կառավարությունը որոշում է.
1. Հաստատել Հայաստանի Հանրապետության Սյունիքի մարզի Անգեղակոթի գյուղական համայնքի վարչական սահմանների նկարագիրը` համաձայն NN 1 և 2 հավելվածների:
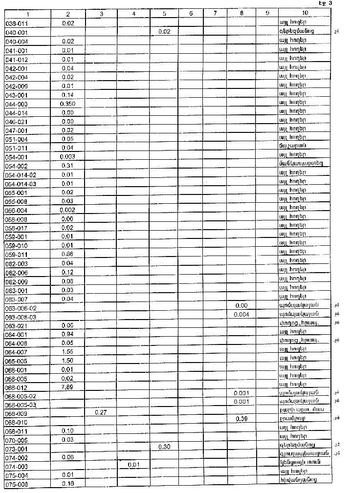
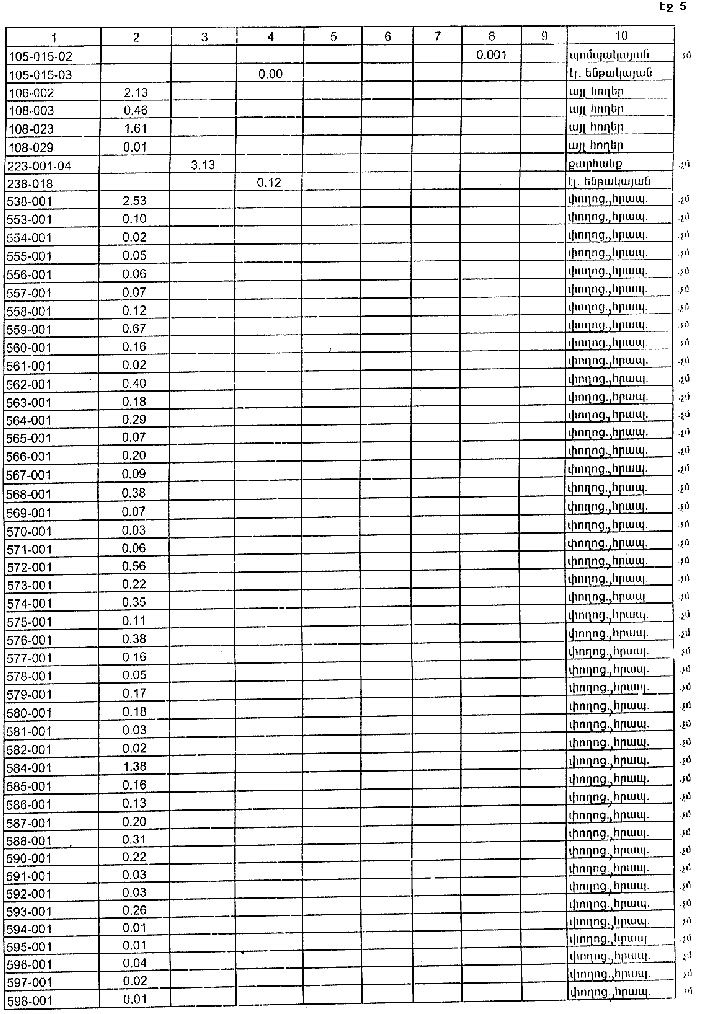
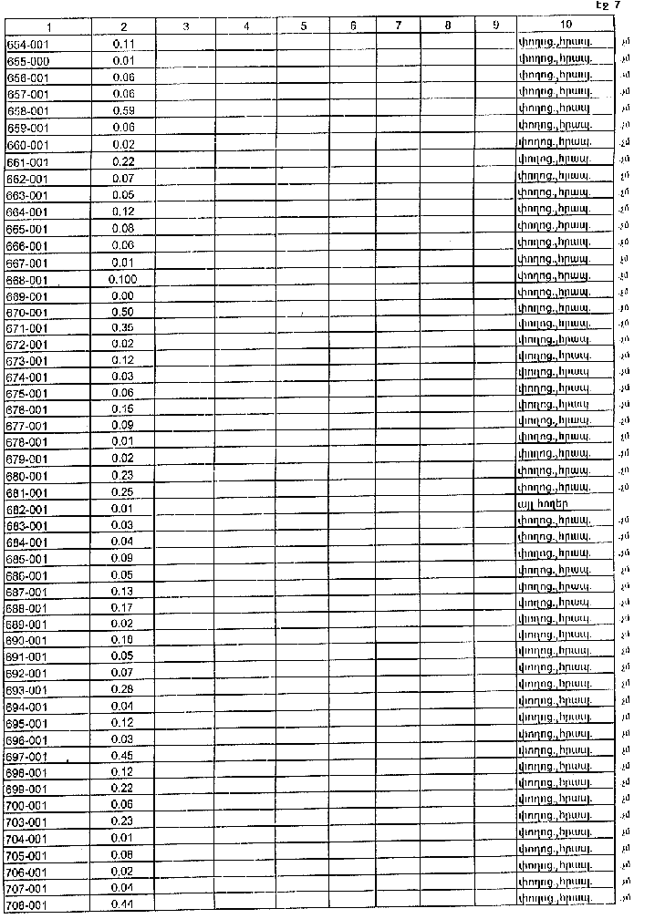
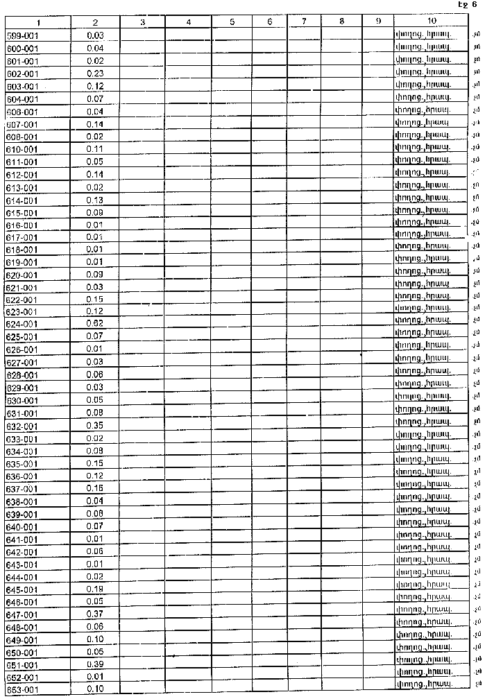
2. Հայաստանի Հանրապետության Սյունիքի մարզի Անգեղակոթի գյուղական համայնքի վարչական սահմաններում գտնվող՝ պետական սեփականություն հանդիսացող 3123.88 հեկտար հողամասերից 2845.62 հեկտարը, որից՝ գյուղատնտեսական նշանակության` 2718.41 հեկտար, բնակավայրերի հողերի՝ 111.38 հեկտար, արդյունաբերության, ընդերքօգտագործման և այլ արտադրական նշանակության օբյեկտների՝ 6.68 հեկտար, էներգետիկայի, տրանսպորտի, կապի և կոմունալ ենթակառուցվածքների օբյեկտների՝ 0.14 հեկտար, հատուկ պահպանվող տարածքների՝ 3.93 հեկտար, ջրային հողերի` 5.09 հեկտար, անհատույց սեփականության իրավունքով փոխանցել Անգեղակոթի գյուղական համայնքին՝ համաձայն NN 3, 4, 5 և 6 հավելվածների:
3. Սահմանել, որ Հայաստանի Հանրապետության հողային օրենսգրքի 60-րդ հոդվածի պահանջներին համապատասխան`
ա) Հայաստանի Հանրապետության Սյունիքի մարզի Անգեղակոթի գյուղական համայնքին անհատույց սեփականության իրավունքով փոխանցվող 2845.62 հեկտար հողերից 88.43 հեկտարը մասնավորեցման ենթակա չէ.
բ) Հայաստանի Հանրապետության Սյունիքի մարզի Անգեղակոթի գյուղական համայնքի վարչական սահմաններում գտնվող հողերից 278.26 հեկտարը համարվում է պետական սեփականություն՝ համաձայն N 7 հավելվածի:
4. Ընդունել ի գիտություն Հայաստանի Հանրապետության Սյունիքի մարզի Անգեղակոթի գյուղական համայնքի հողային ֆոնդի առկայության և բաշխման մասին հաշվետվությունը` 2005 թվականի հունվարի 1-ի դրությամբ` համաձայն NN 8 և 9 հավելվածների:
5. Հայաստանի Հանրապետության կառավարությանն առընթեր անշարժ գույքի կադաստրի պետական կոմիտեի նախագահին` սահմանված կարգով ապահովել սկզբնական հաշվառման նյութերի տրամադրումը Հայաստանի Հանրապետության Սյունիքի մարզի Անգեղակոթի գյուղական համայնքի ղեկավարին` հողերի ընթացիկ հաշվառումն անցկացնելու և համայնքի հողային հաշվեկշիռը կազմելու համար:
6. Թույլատրել Հայաստանի Հանրապետության կառավարությանն առընթեր անշարժ գույքի կադաստրի պետական կոմիտեի նախագահին Հայաստանի Հանրապետության պետական գեոդեզիական ցանցի հավասարակշռման արդյունքների հիման վրա Հայաստանի Հանրապետության վարչատարածքային միավորների սահմանանիշերի կոորդինատների ժողովածուի հրատարակումից հետո հողային ֆոնդի ընթացիկ հաշվառման ժամանակ Հայաստանի Հանրապետության Սյունիքի մարզի Անգեղակոթի գյուղական համայնքի հողային հաշվեկշռում սահմանված կարգով կատարել համապատասխան փոփոխություններ:
7. Հայաստանի Հանրապետության Սյունիքի մարզպետին` Հայաստանի Հանրապետության կառավարության 2000 թվականի հոկտեմբերի 23-ի N 656 որոշմամբ սահմանված կարգով` սկզբնական հաշվառման տվյալների հիման վրա ապահովել մարզի տարածքում ընթացիկ հաշվառման աշխատանքների իրականացումը:
8. Սույն որոշումն ուժի մեջ է մտնում պաշտոնական հրապարակմանը հաջորդող օրվանից։
|
|
Ա. Մարգարյան |
|
|
|
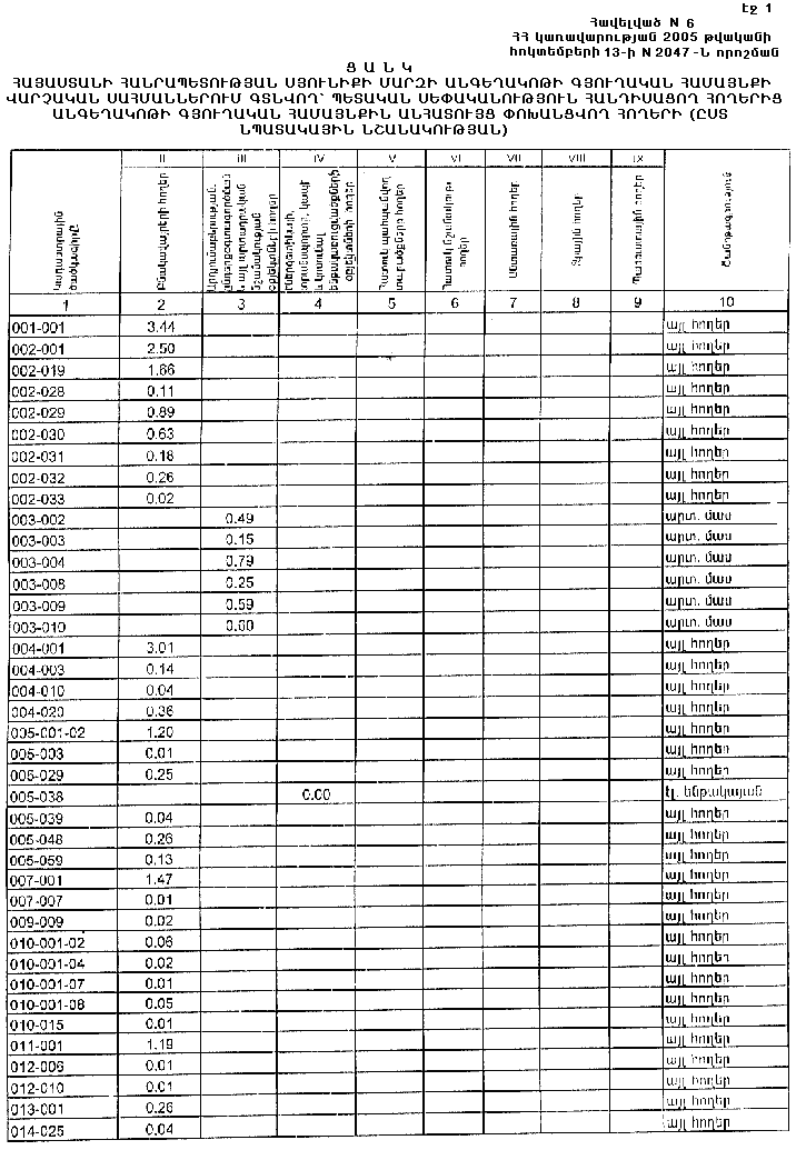
Հավելված N 1 |
ՀԱՅԱՍՏԱՆԻ ՀԱՆՐԱՊԵՏՈՒԹՅԱՆ ՍՅՈՒՆԻՔԻ ՄԱՐԶԻ ԱՆԳԵՂԱԿՈԹԻ ԳՅՈՒՂԱԿԱՆ ՀԱՄԱՅՆՔԻ ՎԱՐՉԱԿԱՆ ՍԱՀՄԱՆՆԵՐԻ ՀԱՏԱԿԱԳԻԾԸ
Հայաստանի Հանրապետության
կառավարության աշխատակազմի
ղեկավար-նախարարՄ. Թոփուզյան
|
Հավելված N 2 | |
|
Անգեղակոթ գյուղական համայնքը գտնվում է մարզի հյուսիսային մասում։ Հեռավորությունը մարզկենտրոն ք. Կապանից 118 կմ է։ ԱՆԳԵՂԱԿՈԹ - ՄԱՐԶԻ ՀԱՄԱՅՆՔՆԵՐԻ ՎԱՐՉԱԿԱՆ ՍԱՀՄԱՆՆԵՐԻՑ ԴՈՒՐՍ ԳՏՆՎՈՂ ՀՈՂԵՐ ՍԱՀՄԱՆԱԳԻԾԸ՝ «Ա»-«Բ» Անգեղակոթ, Սպանդարյան համայնքների տարածքների, մարզի համայնքների վարչական սահմաններից դուրս գտնվող հողերի բաժանման «Ա» հանգուցային սահմանակետից սահմանագիծը թեքվում է դեպի հյուսիս-արևելք, անցնում 373.5 մ, հասնում է թիվ 1 սահմանակետը, որտեղ հատում է դաշտային ճանապարհը, անցնում 262.6 մ, հասնում է թիվ 2 սահմանակետը, ապա թեքվում է դեպի հարավ-արևելք, հատում ջրբաժաններ, ձորեր, թիվ 3 սահմանակետով անցնում 2190.2 մ, հասնում ձորի եզրի գտնվող թիվ 4 սահմանակետը։ Թիվ 4 սահմանակետից սահմանագիծը թեքվում է հարավ-արևելք, թիվ 5-6 սահմանակետերով, ռելիեֆային տեղանքով անցնում 2159.2 մ, հասնում է թիվ 7 սահմանակետը, այնուհետև թեքվում է դեպի հարավ-արևելք, անցնում 429.0 մ, հասնում թիվ 8 սահմանակետը։ Թիվ 8 սահմանակետից սահմանագիծը թեքվում է դեպի հարավ-արևմուտք, լանջով անցնում 662.8 մ, հասնում թիվ 9 սահմանակետը; Թիվ 9 սահմանակետից սահմանագիծը թեքվում է հարավ-արևմուտք, անցնում 229.5 մ, հասնում է դաշտային ճանապարհի եզրին գտնվող Անգեղակոթ, Շաքի համայնքների տարածքների, մարզի համայնքների վարչական սահմաններից դուրս գտնվող հողեր «Բ» հանգուցային սահմանակետը։ «Ա»-«Բ» սահմանագծի ընդհանուր երկարությունը 6306.7 մ է։ ԱՆԳԵՂԱԿՈԹ-ՇԱՔԻ ՍԱՀՄԱՆԱԳԻԾԸ` «Բ»-«Գ» Անգեղակոթ, Շաքի համայնքների տարածքների, մարզի համայնքների վարչական սահմաններից դուրս գտնվող հողերի բաժանման «Բ» հանգուցային սահմանակետից սահմանագիծը թեքվում է դեպի հարավ-արևմուտք, անցնում 261 .0 մ, հասնում գետի ափին գտնվող թիվ 1 սահմանակետը, որտեղից գետով թեքվում է դեպի հարավ, թիվ 2,3 սահմանակետերով անցնում 433.1 մ, թիվ 4 սահմանակետում հատվում է Սիսիանի ջրանցքի հետ, ապա թեքվում է նույն ուղղությամբ, թիվ 38 կետում հատվում է Անգեղակոթ-Շաքի գնացող միջհամայնքային ճանապարհը և շարունակվելով դեպի հարավ-արևելք հասնում է Որոտան գետի եզրին գտնվող «Գ» հանգուցային սահմանակետը, անցնելով՝ 7108.9 մ։ «Բ»-«Գ» սահմանագծի ընդհանուր երկարությունը 7803.0 մ է։ ԱՆԳԵՂԱԿՈԹ-ԲՌՆԱԿՈԹ ՍԱՀՄԱՆԱԳԻԾԸ՝ «Գ»-«Դ» Բռնակոթ, Անգեղակոթ, Բալաք համայնքների տարածքների բաժանման «Դ» հանգուցային սահմանակետից սահմանագիծը Որոտան գետով թեքվում է դեպի արևելք, անցնում 826.2 մ, հասնում է «Գ» հանգուցային սահմանակետը, որը գտնվում է Որոտան գետի և վտակի հատման խաչմերուկում։ «Դ»-«Գ» սահմանագծի ընդհանուր .երկարությունը 826.2 մ է։ ԱՆԳԵՂԱԿՈԹ-ԲԱԼԱՔ ՍԱՀՄԱՆԱԳԻԾԸ` «Դ»-«Ե» Շաղաթ, Անգեղակոթ, Բալաք համայնքների տարածքների բաժանման «Ե» հանգուցային սահմանակետից, որը գտնվում է Որոտան գետի ափին, սահմանագիծը գետով՝ հոսանքի ուղղությամբ, թեքվում է արևելք, հասնում է Բռնակոթ, Անգեղակոթ, Բալաք համայնքների տարածքների բաժանման «Դ» հանգուցային սահմանակետը։ «Դ»-«Ե» սահմանագծի ընդհանուր երկարությունը 3666.3 մ է։ ԱՆԳԵՂԱԿՈԹ-ՇԱՂԱԹ ՍԱՀՄԱՆԱԳԻԾԸ՝ «Ե»-«Զ» Շաղաթ, Անգեղակոթ, Սպանդարյան համայնքների տարածքների բաժանման «Զ» հանգուցային սահմանակետից սահմանագիծը Որոտան գետով թեքվում է դեպի հարավ, հատում Անգեղակոթ տանող ճանապարհը, հասնում Որոտանի Արիգլիջուր վտակին, ապա Որոտան գետով՝ հոսանքի ուղղությամբ, թեքվում է դեպի հարավ-արևելք, անցնում 4899.3 մ, հասնում է Շաղաթ, Անգեղակոթ, Բալաք համայնքների տարածքների բաժանման «Ե» հանգուցային սահմանակետը։ «Զ»-«Ե» սահմանագծի ընդհանուր երկարությունը 4899.3 մ է։ ԱՆԳԵՂԱԿՈԹ-ՍՊԱՆԴԱՐՅԱՆ ՍԱՀՄԱՆԱԳԻԾԸ` «Զ»-«Ա» Սպանդարյան, Անգեղակոթ համայնքների տարածքների, մարզի համայնքների վարչական սահմաններից դուրս գտնվող հողերի բաժանման «Ա» հանգուցային սահմանակետից սահմանագիծը թեքվում է դեպի հարավ-արևելք, անցնում 266.2 մ, հասնում թիվ 1 սահմանակետը, ապա կրկին թեքվում է դեպի հարավ-արևելք, թիվ 2,3 սահմանակետերով անցնում 672.0 մ, հատում ձորեր, ջրբաժաններ, դաշտային ճանապարհ, հասնում է թիվ 4 սահմանակետը, որտեղ հատվում է ձորի հետ և ձորով թեքվելով դեպի հարավ-արևմուտք` անցնում է 3519.5 մ, հասնում է թիվ 5 սահմանակետը։ Թիվ 5 սահմանակետից սահմանագիծը թեքվում է դեպի հարավ-արևմուտք, անցնում 337.6 մ, հասնում թիվ 6 սահմանակետը, ապա թեքվում է դեպի հարավ-արևելք, անցնում 117.5 մ, հասնում է թիվ 7 սահմանակետը, որտեղից թեքվում է դեպի հարավ-արևմուտք, անցնում 420.7 մ, հասնում թիվ 8 սահմանակետը։ Թիվ 8 սահմանակետից սահմանագիծը թեքվում է դեպի հարավ-արևելք, անցնում 157.7 մ, հասնում թիվ 9 սահմանակետը, որտեղ հատում է դաշտային ճանապարհը, ապա թեքվում է դեպի հարավ-արևմուտք, անցնում 207,9 մ, հասնում է թիվ 10 սահմանակետը, որը գտնվում է առվի ափին, որտեղից առվով թեքվում է դեպի արևմուտք, ապա հարավ, հատում Անգեղակոթ-Սպանդարյան միջհամայնքային ճանապարհը և անցնելով 1269.3 մ՝ հասնում է Շաղաթ, Անգեղակոթ, Ապանդարյան համայնքների տարածքների բաժանման «Զ» հանգուցային սահմանակետը։ «Զ»-«Ա» սահմանագծի ընդհանուր երկարությունը 7330.1 մ է։ | |
Հայաստանի Հանրապետության կառավարության աշխատակազմի ղեկավար-նախարար |
Մ. Թոփուզյան |
|
Հավելված N 3 | |
|
| |
Հայաստանի Հանրապետության կառավարության աշխատակազմի ղեկավար-նախարար |
Մ. Թոփուզյան |
|
Հավելված N 4 | |
|
| |
Հայաստանի Հանրապետության կառավարության աշխատակազմի ղեկավար-նախարար |
Մ. Թոփուզյան |
|
Հավելված N 5 | |
|
Ց Ա Ն Կ | |
Հայաստանի Հանրապետության կառավարության աշխատակազմի ղեկավար-նախարար |
Մ. Թոփուզյան |
|
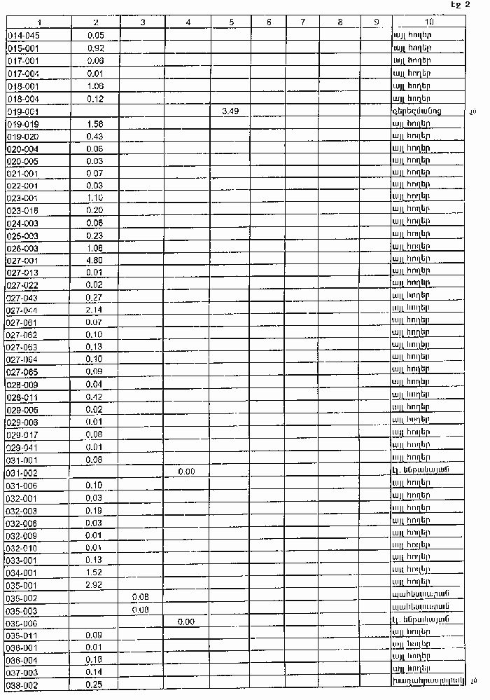
Հավելված N 6 | |
|
Ց Ա Ն Կ | |
Հայաստանի Հանրապետության կառավարության աշխատակազմի ղեկավար-նախարար |
Մ. Թոփուզյան |
|
Հավելված N 7 | |
|
| |
Հայաստանի Հանրապետության կառավարության աշխատակազմի ղեկավար-նախարար |
Մ. Թոփուզյան |
|
Հավելված N 8 | |
|
Հ Ա Շ Վ Ե Տ Վ ՈՒ Թ Յ ՈՒ Ն | |
Հայաստանի Հանրապետության կառավարության աշխատակազմի ղեկավար-նախարար |
Մ. Թոփուզյան |
|
Հավելված N 9 | |
|
Հ Ա Շ Վ Ե Տ Վ ՈՒ Թ Յ ՈՒ Ն | |
Հայաստանի Հանրապետության կառավարության աշխատակազմի ղեկավար-նախարար |
Մ. Թոփուզյան |