«Գրանցված է»
ՀՀ արդարադատության
նախարարության կողմից
20 դեկտեմբերի 2017 թ.
Պետական գրանցման թիվ 60017484
ՀԱՅԱՍՏԱՆԻ ՀԱՆՐԱՊԵՏՈՒԹՅԱՆ
ՀԱՆՐԱՅԻՆ ԾԱՌԱՅՈՒԹՅՈՒՆՆԵՐԸ ԿԱՐԳԱՎՈՐՈՂ ՀԱՆՁՆԱԺՈՂՈՎ
|
13 դեկտեմբերի 2017 թ. ք. Երևան |
N 541-Ն |
Ո Ր Ո Շ ՈՒ Մ
«ՀԱՅԱՍՏԱՆԻ ԷԼԵԿՏՐԱԿԱՆ ՑԱՆՑԵՐ» ՓԱԿ ԲԱԺՆԵՏԻՐԱԿԱՆ ԸՆԿԵՐՈՒԹՅԱՆ ԿՈՂՄԻՑ ՍՊԱՌՈՂՆԵՐԻՆ ՎԱՃԱՌՎՈՂ ԷԼԵԿՏՐԱԿԱՆ ԷՆԵՐԳԻԱՅԻ ԵՎ ԲԱՇԽՄԱՆ ԾԱՌԱՅՈՒԹՅԱՆ ՄԱՏՈՒՑՄԱՆ ՍԱԿԱԳՆԵՐԻ ՀԱՇՎԱՐԿՄԱՆ ՄԵԹՈԴԻԿԱՆ ՀԱՍՏԱՏԵԼՈՒ ՄԱՍԻՆ
Հիմք ընդունելով «Էներգետիկայի մասին» Հայաստանի Հանրապետության 22-րդ հոդվածի 8-րդ մասը` Հայաստանի Հանրապետության հանրային ծառայությունները կարգավորող հանձնաժողովը որոշում է.
1. Հաստատել «Հայաստանի էլեկտրական ցանցեր» փակ բաժնետիրական ընկերության կողմից սպառողներին վաճառվող էլեկտրական էներգիայի և բաշխման ծառայության մատուցման սակագների հաշվարկման մեթոդիկան՝ համաձայն հավելվածի:
2. Սահմանել, որ «Հայաստանի էլեկտրական ցանցեր» փակ բաժնետիրական ընկերության կողմից սպառողներին վաճառվող էլեկտրական էներգիայի սակագները, 2022 թվականի փետրվարի 1-ից սկսած, սույն որոշման 1-ին կետով հաստատված մեթոդիկայի համաձայն կսկսեն հաշվարկվել և սահմանվել, երբ էլեկտրաէներգետիկական համակարգի սակագների համալիր վերանայման ժամանակ նշված մեթոդիկայի 4-րդ կետով որոշվող «Հայաստանի էլեկտրական ցանցեր» փակ բաժնետիրական ընկերության անհրաժեշտ հասույթը կտարբերվի սակագների տվյալ վերանայման ժամանակ կանխատեսվող սպառման ծավալներով և «Հայաստանի էլեկտրական ցանցեր» փակ բաժնետիրական ընկերության կողմից սպառողներին վաճառվող էլեկտրական էներգիայի գործող սակագներով ձևավորվող հաշվարկային հասույթից:
(2-րդ կետը փոփ. 19.12.18 N 726-Ն, 16.12.20 N 446-Ն)
3. Սույն որոշումն ուժի մեջ է մտնում պաշտոնական հրապարակման օրվան հաջորդող տասներորդ օրը:
|
ՀՀ հանրային ծառայությունները կարգավորող հանձնաժողովի նախագահ` |
Ռ. Նազարյան |
|
Հավելված Հաստատված է Հայաստանի Հանրապետության հանրային ծառայությունները կարգավորող հանձնաժողովի 2017 թվականի դեկտեմբերի 13-ի N 541-Ն որոշմամբ |
ՄԵԹՈԴԻԿԱ
«ՀԱՅԱՍՏԱՆԻ ԷԼԵԿՏՐԱԿԱՆ ՑԱՆՑԵՐ» ՓԱԿ ԲԱԺՆԵՏԻՐԱԿԱՆ ԸՆԿԵՐՈՒԹՅԱՆ ԿՈՂՄԻՑ ՍՊԱՌՈՂՆԵՐԻՆ ՎԱՃԱՌՎՈՂ ԷԼԵԿՏՐԱԿԱՆ ԷՆԵՐԳԻԱՅԻ ԵՎ ԲԱՇԽՄԱՆ ԾԱՌԱՅՈՒԹՅԱՆ ՄԱՏՈՒՑՄԱՆ ՍԱԿԱԳՆԵՐԻ ՀԱՇՎԱՐԿՄԱՆ
1. ԸՆԴՀԱՆՈՒՐ ԴՐՈՒՅԹՆԵՐ
1. Սույն մեթոդիկան սահմանում է «Հայաստանի էլեկտրական ցանցեր» փակ բաժնետիրական ընկերության կողմից սպառողներին վաճառվող էլեկտրական էներգիայի սակագների և էլեկտրական էներգիայի բաշխման ծառայության մատուցման սակագների հաշվարկման կարգը:
2. Սույն մեթոդիկայում օգտագործված հիմնական հասկացություններն են.
|
1) Անուղղակի ծախսեր` |
էլեկտրական էներգիայի բաշխման գործունեությանը վերաբերող ծախսեր, որոնք ընդհանուր են Բաշխման ցանցի տեխնոլոգիական տարրերի համար և կարելի է պայմանականորեն բաշխել նրանց միջև միայն որոշակի սկզբունքի հիման վրա. |
|
2) Առևտրային կանոններ՝ |
Հանձնաժողովի կողմից հաստատված Հայաստանի Հանրապետության էլեկտրաէներգետիկական մեծածախ և մանրածախ շուկաների առևտրային կանոններ, որոնք կանոնակարգում են այդ շուկաների մասնակիցների առևտրային փոխհարաբերությունները. |
|
3) Բաշխման ծառայություն՝ |
Բաշխողի կողմից այլ անձանց, այդ թվում՝ Երաշխավորված մատակարարի, Մատակարարների կամ մեծածախ առևտրի լիցենզիա ունեցող անձանց էլեկտրական էներգիան Բաշխման ցանցով սպառողներին (բաժանորդներին), այդ թվում՝ Որակավորված սպառողներին բաշխելու ծառայություն. |
|
4) Բաշխման ցանց՝ |
Բաշխողի կողմից կառավարվող և շահագործվող էլեկտրական էներգիայի բաշխման գծերի, ենթակայանների և այլ սարքավորումների (այդ թվում՝ սպառվող էլեկտրական էներգիայի հաշվառքի սարքերի) միասնական համակարգը, որի միջոցով էլեկտրական էներգիան՝ էլեկտրական էներգիայի (հզորության) արտադրության լիցենզիա ունեցող անձից և (կամ) հաղորդման լիցենզիա ունեցող անձից հասցվում է սպառողներին. |
|
5) Բաշխող կամ Երաշխավորված մատակարար՝ |
«Հայաստանի Էլեկտրական ցանցեր» փակ բաժնետիրական ընկերություն. |
|
6) Բաշխողի անհրաժեշտ հասույթի հաշվարկման մեթոդիկա՝ |
Հայաստանի Հանրապետության էներգետիկայի կարգավորող հանձնաժողովի 2002 թվականի նոյեմբերի 1-ի N 79-Ա որոշման 2-րդ կետով հաստատված «Հայաստանի էլեկտրական ցանցեր» փակ բաժնետիրական ընկերության կողմից էլեկտրական էներգիայի բաշխման լիցենզավորված գործունեություն իրականացնելու N 0092 լիցենզիայի պայմանների N 1 հավելվածը. |
|
7) Բաշխողի փոխհատուցման գումար՝ |
Բաշխողի անհրաժեշտ հասույթի և գնված էլեկտրական էներգիայի արժեքի տարբերության՝ հաշվարկային և փաստացի մեծությունների շեղման արդյունքում ձևավորված փոխհատուցման ենթակա գումարն է, որը որոշվում է Բաշխողի Անհրաժեշտ հասույթի հաշվարկման մեթոդիկայի համաձայն. |
|
8) Երաշխավորված մատակարարի անհրաժեշտ հասույթի հաշվարկման մեթոդիկա՝ |
Հանձնաժողովի 2018 թվականի դեկտեմբերի 21-ի N 748-Ա որոշման 2-րդ կետով հաստատված «Հայաստանի էլեկտրական ցանցեր» փակ բաժնետիրական ընկերության էլեկտրական էներգիայի երաշխավորված մատակարարման ԼԷ N 0633 լիցենզիայի պայմանների N 1 հավելվածը. |
|
9) Երաշխավորված մատակարարի փոխհատուցման գումար՝ |
Երաշխավորված մատակարարի անհրաժեշտ հասույթի և գնված էլեկտրական էներգիայի ու Բաշխման ծառայության արժեքի տարբերության՝ հաշվարկային և փաստացի մեծությունների շեղման արդյունքում ձևավորված փոխհատուցման ենթակա գումարն է, որը որոշվում է Երաշխավորված մատակարարի Անհրաժեշտ հասույթի հաշվարկման մեթոդիկայի համաձայն. |
|
10) Էլեկտրական էներգիայի վաճառքի սակագին՝ |
Երաշխավորված մատակարարի կողմից սպառողներին վաճառվող էլեկտրական էներգիայի սակագինը. |
|
11) Թույլատրելի կորուստ՝ |
Բաշխման ցանցում առաջացող էլեկտրական էներգիայի անխուսափելի տեխնիկական կորուստների, էլեկտրական էներգիայի հաշվառքի սարքերի սխալանքով պայմանավորված և այլ առևտրային կորուստների գումարային մեծություն, որը որոշվում է Բաշխողի անհրաժեշտ հասույթի հաշվարկման մեթոդիկայի համաձայն. |
|
12) Հանձնաժողով՝ |
Հայաստանի Հանրապետության հանրային ծառայությունները կարգավորող հանձնաժողով. |
|
13) Մատակարար՝ |
էլեկտրական էներգիայի մատակարարման լիցենզիա ունեցող անձ. |
|
14) Ներդրում՝ |
Հանձնաժողովի հետ համաձայնեցված ներդրումներ, որոնք ուղղված են էլեկտրական էներգիայի բաշխման և երաշխավորված մատակարարման լիցենզավորված գործունեությունների համար օգտակար և օգտագործվող ակտիվների մեծացմանը. |
|
15) Որակավորված սպառող՝ |
սեփական դիմումի հիման վրա Առևտրային կանոններով սահմանված չափանիշներին համապատասխանելու հիմքով էլեկտրաէներգետիկական շուկայի օպերատորի լիցենզիա ունեցող անձի կողմից որակավորված ճանաչված սպառող. |
|
16) Ուղղակի ծախսեր` |
էլեկտրական էներգիայի բաշխման գործունեությանը վերաբերող ծախսեր, որոնք կարելի է ուղղակիորեն և հստակ վերագրել Բաշխման ցանցի կոնկրետ տեխնոլոգիական տարրին: |
3. Էլեկտրական էներգիայի վաճառքի սակագների և Բաշխման ծառայության մատուցման սակագների հաշվարկման փուլերն են՝
1) Բաշխողի և Երաշխավորված մատակարարի անհրաժեշտ հասույթների որոշում,
2) ծախսերի դասակարգում,
3) սպառողական խմբերի ձևավորում,
4) սպառողական խմբերի միջև դասակարգված ծախսերի բաշխում,
5) սպառողական խմբերի համար Էլեկտրական էներգիայի վաճառքի սակագների հաշվարկ,
6) Բաշխման ծառայության մատուցման սակագների հաշվարկ:
(3-րդ կետը փոփ. 07.08.19 N 291-Ն)
2. ԲԱՇԽՈՂԻ ԵՎ Երաշխավորված մատակարարի անհրաժեշտ հասույթների ՈՐՈՇՈՒՄ
(վերնագիրը փոփ. 07.08.19 N 291-Ն)
4. Բաշխողի և Երաշխավորված մատակարարի անհրաժեշտ հասույթները որոշվում են՝ համապատասխանաբար Բաշխողի անհրաժեշտ հասույթի հաշվարկման մեթոդիկայի և Երաշխավորված մատակարարի անհրաժեշտ հասույթի հաշվարկման մեթոդիկայի համաձայն:
(4-րդ կետը խմբ. 07.08.19 N 291-Ն)
3. ԾԱԽՍԵՐԻ ԴԱՍԱԿԱՐԳՈՒՄ
5. Ծախսերի վերլուծության և դրանք սպառողական խմբերի միջև բաշխման նպատակով Բաշխողի և Երաշխավորված մատակարարի բոլոր ծախսերը դասակարգում են երեք խմբի՝
1) էլեկտրական էներգիայի (հզորության) գնման ծախսեր (ներառյալ՝ Բաշխողի և Երաշխավորված մատակարարի փոխհատուցման գումարները), որոնք տարանջատվում են ըստ էլեկտրական էներգիայի բաշխման և երաշխավորված մատակարարման գործառույթների,
2) էլեկտրական էներգիայի բաշխման ծախսեր,
3) սպառողների սպասարկման ծախսեր:
(5-րդ կետը փոփ., խմբ. 07.08.19 N 291-Ն)
6. Էլեկտրական էներգիայի (հզորության) գնման ծախսը՝
1) բաշխման գործառույթի մասով (ԳԷԲ) Թույլատրելի կորուստի և սեփական ու տնտեսական կարիքների համար Բաշխողի կողմից գնվող էլեկտրական էներգիայի արժեքն է, որը որոշվում է Բաշխողի անհրաժեշտ հասույթի հաշվարկման մեթոդիկայի համաձայն՝ ավելացնելով կամ նվազեցնելով Բաշխողի փոխհատուցման գումարը,
2) երաշխավորված մատակարարման գործառույթի մասով (ԳԷՄ) Երաշխավորված մատակարարի կողմից գնվող էլեկտրական էներգիայի (առանց Թույլատրելի կորուստի և էլեկտրական էներգիայի բաշխման գործունեության համար անհրաժեշտ սեփական ու տնտեսական կարիքների), ծառայությունների մատուցման և Երաշխավորված մատակարարի փոխհատուցման գումարի արժեքն է, որը որոշվում է Երաշխավորված մատակարարի անհրաժեշտ հասույթի հաշվարկման մեթոդիկայի համաձայն՝ ավելացնելով կամ նվազեցնելով Երաշխավորված մատակարարի փոխհատուցման գումարը:
(6-րդ կետը խմբ. 07.08.19 N 291-Ն)
7. Էլեկտրական էներգիայի բաշխման ծախսերը հաստատուն ծախսեր են, որոնք ներառում են Բաշխման ցանցի շահագործման և պահպանման ծախսերը (նորոգման, նյութական, աշխատանքի վճարման և այլ ծախսեր), հիմնական միջոցների մաշվածության և ոչ նյութական ակտիվների ամորտիզացիայի գծով ծախսերը, բացառությամբ սույն մեթոդիկայի 8-րդ կետում նշված սպառողների սպասարկման ծախսերի: Ներդրումների հաշվին ստեղծված հիմնական միջոցների ու ոչ նյութական ակտիվների զուտ արժեքի նկատմամբ հաշվարկվող թույլատրելի շահույթը դիտարկվում է որպես ծախս և ներառվում է էլեկտրական էներգիայի բաշխման ծախսերի մեջ:
8. Սպառողների սպասարկման ծախսերը ներառում են բաժանորդների հաշիվների վարման, իրացված էլեկտրական էներգիայի դիմաց բաժանորդներից գումարների հավաքագրման, անհուսալի դեբիտորական պարտքերի գծով և սպառողների սպասարկման հետ կապված այլ ծախսերը (այդ թվում՝ նորոգման, նյութական, աշխատանքի վճարման ծախսերը և Ներդրումային բաղադրիչները), որոնք որոշվում են «Հայաստանի էլեկտրական ցանցեր» փակ բաժնետիրական ընկերության կողմից ըստ էլեկտրական էներգիայի բաշխման ու երաշխավորված մատակարարման գործառույթների ներկայացված ծախսերի վերլուծության հիման վրա՝ հաշվի առնելով դրանց որոշման պահին հայտնի և կանխատեսվող ողջամիտ փոփոխությունները:
(8-րդ կետը խմբ. 07.08.19 N 291-Ն)
4. ՍՊԱՌՈՂԱԿԱՆ ԽՄԲԵՐԻ ՁԵՎԱՎՈՐՈՒՄ
9. Սպառողական խմբերի ձևավորումն իրականացվում է՝ ելնելով սպառողական յուրաքանչյուր խմբի՝ սպառման միանման բնութագրեր ունենալու, ինչպես նաև էլեկտրաէներգետիկական համակարգի համար համազոր գնային բեռնվածք ստեղծելու սկզբունքից:
10. Էլեկտրական էներգիայի սպառողները դասակարգվում են ըստ հետևյալ խմբերի՝
1) 110 կՎ լարմամբ սնվող սպառողներ,
2) 35 կՎ լարմամբ սնվող սպառողներ,
3) 6(10) կՎ լարմամբ սնվող սպառողներ,
4) 0,38 ու 0,22 կՎ լարմամբ սնվող սպառողներ:
11. Սույն մեթոդիկայի 9-րդ և 10-րդ կետերը չեն սահմանափակում Հանձնաժողովի իրավունքը՝ սեփական նախաձեռնությամբ կամ Բաշխողի առաջարկությամբ էլեկտրական էներգիայի վաճառքի սակագների և Բաշխման ծառայության մատուցման սակագների վերանայման ժամանակ քննարկելու և օրենսդրությամբ նախատեսված դեպքերում սահմանելու այլ սպառողական խմբեր:
5. ՍՊԱՌՈՂԱԿԱՆ ԽՄԲԵՐԻ ՄԻՋԵՎ ԴԱՍԱԿԱՐԳՎԱԾ ԾԱԽՍԵՐԻ ԲԱՇԽՈՒՄ
12. Ծախսերի բաշխումը սպառողական խմբերի միջև իրականացվում է հետևյալ փուլերով.
1) էլեկտրական էներգիայի (հզորության) գնման ծախսերի բաշխում,
2) էլեկտրական էներգիայի բաշխման ծախսերի բաշխում,
3) սպառողների սպասարկման ծախսերի բաշխում:
13. Էլեկտրական էներգիայի (հզորության) գնման ծախսերը՝
1) բաշխման գործառույթի մասով սպառողական խմբերի միջև բաշխվում են՝ համաձայն հետևյալ բանաձևի.
որտեղ՝
ԳԷԲk-ն Թույլատրելի կորուստի և սեփական ու տնտեսական կարիքների համար Բաշխողի կողմից էլեկտրական էներգիայի գնման ծախսերն են k-րդ սպառողական խմբի մասով,
ԳԷԲ-ն Թույլատրելի կորուստի և սեփական ու տնտեսական կարիքների համար Բաշխողի կողմից էլեկտրական էներգիայի գնման ընդամենը ծախսերն են,
∆Էk-ն Բաշխման ցանցում էլեկտրական էներգիայի կորուստներն են՝ առաջացած k-րդ սպառողական խմբին պատկանող՝ Երաշխավորված մատակարարի, Մատակարարների և այլ սպառողներին (այդ թվում՝ Որակավորված սպառողներին) էլեկտրական էներգիայի մատակարարման և սեփական կարիքների օգտագործման հետևանքով, որը որոշվում է սույն մեթոդիկայի 14-րդ կետի համաձայն,
ԷՍk-ն սեփական կարիքների համար Բաշխողի կողմից էլեկտրական էներգիայի գնման ծախսերն են k-րդ սպառողական խմբի մասով,
2) երաշխավորված մատակարարման գործառույթի մասով սպառողական խմբերի միջև բաշխվում են՝ համաձայն հետևյալ բանաձևի.
որտեղ`
ԳԷՄk-ն Երաշխավորված մատակարարի կողմից էլեկտրական էներգիայի (հզորության) գնման ծախսերն են k-րդ սպառողական խմբի համար,
ԳԷՄ-ն Երաշխավորված մատակարարի կողմից էլեկտրական էներգիայի (հզորության) գնման ծախսերն են բոլոր սպառողական խմբերի համար,
Էk-ն Երաշխավորված մատակարարի կողմից k-րդ սպառողական խմբի սպառողներին վաճառվող էլեկտրական էներգիայի տարեկան քանակն է:
(13-րդ կետը խմբ. 07.08.19 N 291-Ն)
14. ∆Էk մեծությունը որոշվում է՝ համաձայն հետևյալ սկզբունքի.
1) սպառողների էլեկտրամատակարարման հետևանքով 110 կՎ լարման գծերում առաջացած էլեկտրական էներգիայի կորուստները բաշխվում են 110 կՎ, 35 կՎ, 6(10) կՎ և 0,38 ու 0,22 կՎ լարման սպառողական խմբերի միջև ըստ նրանց սպառման ծավալների համամասնության,
2) սպառողների էլեկտրամատակարարման հետևանքով 110 կՎ լարման ենթակայաններում և 35 կՎ լարման գծերում առաջացած էլեկտրական էներգիայի կորուստները բաշխվում են 35 կՎ, 6(10) կՎ և 0,38 ու 0,22 կՎ լարման սպառողական խմբերի միջև ըստ նրանց սպառման ծավալների համամասնության,
3) սպառողների էլեկտրամատակարարման հետևանքով 35 կՎ լարման ենթակայաններում և 6(10) կՎ լարման գծերում առաջացած էլեկտրական էներգիայի կորուստները բաշխվում են 6(10) կՎ և 0,38 ու 0,22 կՎ լարման սպառողական խմբերի միջև ըստ նրանց սպառման ծավալների համամասնության,
4) սպառողների էլեկտրամատակարարման հետևանքով 6(10) կՎ լարման ենթակայաններում և 0,38 ու 0,22 կՎ լարման գծերում առաջացած էլեկտրական էներգիայի կորուստները ամբողջությամբ վերագրվում են 0,38 ու 0,22 կՎ լարման սպառողական խմբին։
(14-րդ կետը փոփ. 07.08.19 N 291-Ն)
15. Էլեկտրական էներգիայի բաշխման ծախսերը սպառողական խմբերի միջև բաշխվում են հետևյալ կերպ.
1) Բաշխողն իր հաշվապահական հաշվառումը իրականացնում է այնպես, որ հաշվապահական հաշվառման համակարգում գրանցված ծախսերի վերաբերյալ տեղեկատվությունը հնարավոր լինի դուրս բերել և ամփոփել ըստ Ուղղակի ծախսերի և Անուղղակի ծախսերի, իսկ հիմնական միջոցների և ոչ նյութական ակտիվների արժեքների վերաբերյալ տեղեկատվությունը՝ ըստ Բաշխման ցանցի տեխնոլոգիական տարրերի,
2) սույն կետի 1-ին ենթակետում նշված տեղեկատվության և Բաշխողի անհրաժեշտ հասույթի հաշվարկման մեթոդիկայի համաձայն որոշված ծախսերի կառուցվածքի վերլուծության հիման վրա որոշվում է Բաշխողի հաշվարկային անհրաժեշտ հասույթի կազմում ներառվող էլեկտրական էներգիայի բաշխման ծախսերի, Ներդրումների հաշվին ստեղծված հիմնական միջոցների (ոչ նյութական ակտիվների) արժեքի նկատմամբ հաշվարկվող մաշվածության (ամորտիզացիայի) գծով ծախսերի և շահույթի՝ Բաշխման ցանցի յուրաքանչյուր տեխնոլոգիական տարրին ուղղակիորեն վերագրելի մեծությունները,
3) Բաշխողի հաշվարկային անհրաժեշտ հասույթի կազմում ներառվող Անուղղակի ծախսերը Բաշխման ցանցի տեխնոլոգիական տարրերի միջև բաշխվում են ըստ Ուղղակի ծախսերի համամասնության, իսկ Ներդրումների հաշվին ստեղծված հիմնական միջոցների (ոչ նյութական ակտիվների) արժեքի նկատմամբ հաշվարկվող մաշվածության (ամորտիզացիայի) գծով ծախսերի ու շահույթի՝ Բաշխման ցանցի տեխնոլոգիական տարրերին ուղղակիորեն չվերագրված մեծությունները՝ ըստ ուղղակիորեն վերագրված արժեքների համամասնության,
4) Բաշխման ցանցի տեխնոլոգիական տարրերին վերագրված Ուղղակի ծախսերը, Անուղղակի ծախսերը և հիմնական միջոցների (ոչ նյութական ակտիվների) մաշվածության (ամորտիզացիայի) գծով ծախսերի ու թույլատրելի շահույթի մեծությունները սպառողական խմբերի միջև բաշխվում են հետևյալ կերպ.
ա. 110 կՎ լարման Բաշխման ցանցի ծախսերը բաշխվում են 110 կՎ, 35 կՎ, 6(10) կՎ և 0,38 ու 0,22 կՎ լարման սպառողական խմբերի միջև ըստ նրանց սպառման ծավալների համամասնության,
բ. 35 կՎ լարման Բաշխման ցանցի ծախսերը բաշխվում են 35 կՎ, 6(10) կՎ և 0,38 ու 0,22 կՎ լարման սպառողական խմբերի միջև ըստ նրանց սպառման ծավալների համամասնության,
գ. 6(10) կՎ լարման Բաշխման ցանցի ծախսերը բաշխվում են 6(10) կՎ և 0,38 ու 0,22 կՎ լարման սպառողական խմբերի միջև ըստ նրանց սպառման ծավալների համամասնության,
դ. 0,38 ու 0,22 կՎ լարման Բաշխման ցանցի ծախսերը ամբողջությամբ վերագրվում են 0,38 ու 0,22 կՎ լարման սպառողական խմբին:
(15-րդ կետը փոփ. 07.08.19 N 291-Ն)
16. Սպառողների սպասարկման ծախսերը սպառողական խմբերի (նաև Բաշխման ցանցի տեխնոլոգիական տարրերի) միջև բաշխվում են հետևյալ կերպ՝
1) էլեկտրական էներգիայի վաճառքի դիմաց բաժանորդներից գումարների հավաքագրման գծով ծախսերն ամբողջությամբ վերագրվում են 0,38 ու 0,22 կՎ լարման սպառողական խմբին,
2) սպառողների սպասարկման մյուս ծախսերը բաշխվում են ըստ սպառողական խմբերի բաժանորդների թվաքանակի համամասնության:
6. ՍՊԱՌՈՂԱԿԱՆ ԽՄԲԵՐԻ ՀԱՄԱՐ ԷԼԵԿՏՐԱԿԱՆ ԷՆԵՐԳԻԱՅԻ ՎԱՃԱՌՔԻ ՍԱԿԱԳՆԵՐԻ ՀԱՇՎԱՐԿ
17. Սպառողական խմբերի համար էլեկտրական էներգիայի վաճառքի սակագները սահմանվում են միադրույք սակագնային համակարգում: Միադրույք սակագնային համակարգում վճարման ենթակա ծառայությունն է էլեկտրական էներգիայի սպառումը, որի չափման միավորն է դրամ/կՎտժ-ը:
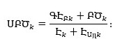
18. k-րդ սպառողական խմբի համար Էլեկտրական էներգիայի վաճառքի սակագինը (ՍԷk) հաշվարկվում է հետևյալ բանաձևով.
որտեղ՝
ՍԾk-ն սպառողների սպասարկման ծախսերի մեծությունն է k-րդ սպառողական խմբի համար,
ԲԾk-ն էլեկտրական էներգիայի բաշխման ծախսերի մեծությունն է k-րդ սպառողական խմբի համար,
ԷԱյլk-ն k-րդ սպառողական խմբին պատկանող այն սպառողների (այդ թվում՝ Որակավորված սպառողների) կողմից սպառվող էլեկտրական էներգիայի տարեկան քանակն է, որը մատակարարվում է Մատակարարների, այլ անձանց կողմից, առաքվում է սեփական սպառման համար և մուտք է գործում Բաշխման ցանց:
(18-րդ կետը խմբ. 07.08.19 N 291-Ն)
19. Օրվա տարբեր ժամերով տարբերակված սակագների (ցերեկային և գիշերային) կիրառման դեպքում սպառողական խմբերի համար հաշվարկված էլեկտրական էներգիայի վաճառքի սակագները (ՍԷk) հանդիսանում են միջին կշռութային մեծություններ, որոնք պետք է համապատասխանեն
հետևյալ բանաձևին.
որտեղ՝
ՍԷՑk -ն k-րդ սպառողական խմբի համար սահմանվող էլեկտրական էներգիայի վաճառքի ցերեկային սակագինն է,
ՍԷԳk -ն k-րդ սպառողական խմբի համար սահմանվող էլեկտրական էներգիայի վաճառքի գիշերային սակագինն է,
ԷՑk -ն k-րդ սպառողական խմբի կողմից ցերեկային ժամերին էլեկտրական էներգիայի սպառման տարեկան քանակն է սակագնային տարվա համար,
ԷԳk -ն k-րդ սպառողական խմբի կողմից գիշերային ժամերին էլեկտրական էներգիայի սպառման տարեկան քանակն է սակագնային տարվա համար:
7. ԲԱՇԽՄԱՆ ԾԱՌԱՅՈՒԹՅԱՆ ՄԱՏՈՒՑՄԱՆ ՍԱԿԱԳՆԵՐԻ ՀԱՇՎԱՐԿ
20. Բաշխման ծառայության մատուցման սակագները սահմանվում են միադրույք սակագնային համակարգում և տարբերակվում են ըստ սույն մեթոդիկայի համաձայն որոշված սպառողական խմբերի՝ հաշվի առնելով նաև Առևտրային կանոնների պահանջները:
21. Բաշխման ծառայության մատուցման սակագները (ՍԲԾk) հաշվարկվում են՝ համաձայն հետևյալ բանաձևի՝
(21-րդ կետը խմբ. 07.08.19 N 291-Ն)
(հավելվածը խմբ., փոփ. 07.08.19 N 291-Ն)