ՀԱՅԱՍՏԱՆԻ ՀԱՆՐԱՊԵՏՈՒԹՅԱՆ ԿԱՌԱՎԱՐՈՒԹՅՈՒՆ
Ո Ր Ո Շ ՈՒ Մ
12 ապրիլի 2018 թվականի N 451-Ն
ԳԻՏՈՒԹՅԱՆ ԵՎ ԿՐԹՈՒԹՅԱՆ ԲՆԱԳԱՎԱՌՆԵՐՈՒՄ ՆՇԱՆԱԿԱԼԻ ՆՎԱՃՈՒՄՆԵՐ ՈՒՆԵՑՈՂ ՔԱՂԱՔԱՑԻՆԵՐԻՆ ՊԱՐՏԱԴԻՐ ԶԻՆՎՈՐԱԿԱՆ ԾԱՌԱՅՈՒԹՅԱՆ ԶՈՐԱԿՈՉԻՑ ՏԱՐԿԵՏՈՒՄ ՏԱԼՈՒ ԿԱՐԳԸ ԵՎ ՊԱՅՄԱՆՆԵՐԸ ՍԱՀՄԱՆԵԼՈՒ, ՀԱՅԱՍՏԱՆԻ ՀԱՆՐԱՊԵՏՈՒԹՅԱՆ ԿԱՌԱՎԱՐՈՒԹՅԱՆ 2002 ԹՎԱԿԱՆԻ ՕԳՈՍՏՈՍԻ 29-Ի N 1394-Ն ԵՎ 2015 ԹՎԱԿԱՆԻ ՓԵՏՐՎԱՐԻ 5-Ի N 117-Ն ՈՐՈՇՈՒՄՆԵՐՈՒՄ ՓՈՓՈԽՈՒԹՅՈՒՆՆԵՐ ԿԱՏԱՐԵԼՈՒ, ԻՆՉՊԵՍ ՆԱԵՎ ՀԱՅԱՍՏԱՆԻ ՀԱՆՐԱՊԵՏՈՒԹՅԱՆ ԿԱՌԱՎԱՐՈՒԹՅԱՆ 2000 ԹՎԱԿԱՆԻ ՀՈՒՆՎԱՐԻ 13-Ի N 15 ՈՐՈՇՈՒՄՆ ՈՒԺԸ ԿՈՐՑՐԱԾ ՃԱՆԱՉԵԼՈՒ ՄԱՍԻՆ
Ղեկավարվելով «Զինվորական ծառայության և զինծառայողի կարգավիճակի մասին» Հայաստանի Հանրապետության օրենքի 22-րդ հոդվածի 5-րդ մասով` Հայաստանի Հանրապետության կառավարությունը որոշում է.
1. Սահմանել գիտության և կրթության բնագավառներում նշանակալի նվաճումներ ունեցող քաղաքացիներին պարտադիր զինվորական ծառայության զորակոչից տարկետում տալու կարգը և պայմանները` համաձայն հավելվածի:
2. Հայաստանի Հանրապետության կրթության և գիտության նախարարին՝
1) սույն որոշումն ուժի մեջ մտնելուց հետո 20-օրյա ժամկետում ստեղծել գիտության և կրթության բնագավառներում նշանակալի նվաճումներ ունեցող քաղաքացիներին պարտադիր զինվորական ծառայության զորակոչից տարկետում տալու վերաբերյալ եզրակացություն տվող հանձնաժողով (այսուհետ՝ հանձնաժողով) և հաստատել դրա կազմն ու գործունեության կարգը.
2) հանձնաժողովի կազմը նախատեսել ոչ պակաս, քան 7 անդամ՝ հանձնաժողովի կազմում ներառելով ներկայացուցիչներ Հայաստանի Հանրապետության կրթության, գիտության, մշակույթի և սպորտի նախարարությունից ու Հայաստանի Հանրապետության պաշտպանության նախարարությունից, ինչպես նաև գիտության և կրթության բնագավառների հեղինակավոր մասնագետների.
3) ապահովել հանձնաժողովի գործունեության կարգի, ինչպես նաև դրանում կատարվող հետագա փոփոխությունների և լրացումների համաձայնեցումը Հայաստանի Հանրապետության պաշտպանության նախարարության հետ.
4) ապահովել հանձնաժողովի կազմի և գործունեության կարգի, հանձնաժողովի կայացրած եզրակացությունների հրապարակումը Հայաստանի Հանրապետության կրթության, գիտության, մշակույթի և սպորտի նախարարության պաշտոնական կայքում՝ դրանց կայացման օրվանից 3-օրյա ժամկետում:
(2-րդ կետը փոփ. 03.10.19 N 1368-Ն)
3. Ուժը կորցրած ճանաչել Հայաստանի Հանրապետության կառավարության 2002 թվականի օգոստոսի 29-ի «Օտարերկրյա պետությունների բարձրագույն ուսումնական կամ գիտակրթական հաստատություններ ընդունված Հայաստանի Հանրապետության քաղաքացիներին պարտադիր զինվորական ծառայության զորակոչից տարկետում տալու կարգը հաստատելու մասին» N 1394-Ն որոշման 2-րդ, 3-րդ, 4-րդ կետերը և որոշման 1-ին կետով հաստատված կարգի 1-ին, 2-րդ, 3-րդ, 4-րդ ու 5-րդ կետերը:
4. Հայաստանի Հանրապետության կառավարության 2015 թվականի փետրվարի 5-ի «Պետական պատվերով, միջպետական և միջգերատեսչական համաձայնագրերով օտարերկրյա պետությունների բարձրագույն ուսումնական հաստատությունների ուսանողներին, օրդինատուրայում, ինտերնատուրայում, մագիստրատուրայում կամ ասպիրանտուրայում սովորողներին պարտադիր զինվորական ծառայության զորակոչից ուսումը շարունակելու համար տարկետում տալու դեպքերը և կարգը հաստատելու մասին» N 117-Ն որոշման մեջ կատարել հետևյալ փոփոխությունները՝
1) ուժը կորցրած ճանաչել որոշման 1-ին կետով հաստատված կարգի 1-ին, 2-րդ, 3-րդ, 4-րդ, 5-րդ, 6-րդ, 7-րդ, 8-րդ, 9-րդ, 10-րդ և 11-րդ կետերը.
2) 14-րդ կետում «9-րդ, 11-րդ և 12-րդ կետերում» բառերը փոխարինել «12-րդ կետում» բառերով և կետից հանել «Զինապարտության մասին» Հայաստանի Հանրապետության» բառերը:
5. Ուժը կորցրած ճանաչել Հայաստանի Հանրապետության կառավարության 2000 թվականի հունվարի 13-ի «Զինապարտության մասին» Հայաստանի Հանրապետության օրենքի 11 հոդվածի 4-րդ կետի, 14 հոդվածի 1-ին կետի «ա» ենթակետի և 16 հոդվածի 2-րդ կետի կատարումն ապահովելու մասին» N 15 որոշումը:
6. Սույն որոշումն ուժի մեջ է մտնում պաշտոնական հրապարակմանը հաջորդող օրվանից:
|
Հայաստանի Հանրապետության |
Կ. Կարապետյան |
|
|
Հավելված ՀՀ կառավարության 2018 թվականի ապրիլի 12-ի N 451
ԳԻՏՈՒԹՅԱՆ ԵՎ ԿՐԹՈՒԹՅԱՆ ԲՆԱԳԱՎԱՌՆԵՐՈՒՄ ՆՇԱՆԱԿԱԼԻ ՆՎԱՃՈՒՄՆԵՐ ՈՒՆԵՑՈՂ ՔԱՂԱՔԱՑԻՆԵՐԻՆ ՊԱՐՏԱԴԻՐ ԶԻՆՎՈՐԱԿԱՆ ԾԱՌԱՅՈՒԹՅԱՆ ԶՈՐԱԿՈՉԻՑ ՏԱՐԿԵՏՈՒՄ ՏԱԼՈՒ ԿԱՐԳԸ ԵՎ ՊԱՅՄԱՆՆԵՐԸ
I. ԸՆԴՀԱՆՈՒՐ ԴՐՈՒՅԹՆԵՐ
1. Սույն կարգով կարգավորվում են գիտության և կրթության բնագավառներում նշանակալի նվաճումներ ունեցող քաղաքացիներին պարտադիր զինվորական ծառայության զորակոչից տարկետում տալու հետ կապված հարաբերությունները:
2. Սույն կարգի համաձայն քաղաքացուն օրենքով սահմանված պարտադիր զինվորական ծառայության զորակոչից տարկետում տրվում է Հայաստանի Հանրապետության կառավարության որոշմամբ՝ Կրթության, գիտության, մշակույթի և սպորտի նախարարի հրամանով ստեղծված հանձնաժողովի՝ սույն կարգի համաձայն կայացրած եզրակացությունը հաշվի առնելով: Հանձնաժողովը Կրթության, գիտության, մշակույթի և սպորտի նախարարին կից խորհրդակցական մարմին է, և նրա կայացրած եզրակացություններն ունեն խորհրդատվական բնույթ:
(2-րդ կետը փոփ. 03.10.19 N 1368-Ն)
3. Սույն կարգի համաձայն գիտության և կրթության բնագավառներում գործունեության համար պարտադիր զինվորական ծառայության զորակոչից տարկետում ստանալու նպատակով դիմումը ներկայացնելու պահին 17 տարին լրացած քաղաքացին կարող է տվյալ տարվա ապրիլի 1-ից մինչև մայիսի 1-ը կամ հոկտեմբերի 1-ից մինչև նոյեմբերի 1-ը դիմում ներկայացնել Կրթության, գիտության, մշակույթի և սպորտի նախարարություն: Դիմումին կից ներկայացվում են քաղաքացու անձը և սույն կարգի համաձայն գիտության և կրթության բնագավառներում քաղաքացու գործունեությունը հաստատող, ինչպես նաև գիտական և (կամ) գիտատեխնիկական արդյունքներ պարունակող (նկարագրող) փաստաթղթերի բնօրինակները և դրանց պատճենները, իսկ սույն կարգի 7-րդ և 8-րդ կետերում նշված օլիմպիադաների, գիտաժողովների, մրցանակաբաշխությունների անցկացումը տվյալ տարվա մայիսի 1-ից կամ նոյեմբերի 1-ից հետո մինչև համապատասխան զորակոչի ավարտը նախատեսված լինելու դեպքում դիմումում նշվում է նաև քաղաքացու կողմից դրանց մասնակցության մասին, և դիմումին կցվում են մասնակցությունը հաստատող փաստաթղթերը: Սույն կետով նախատեսված համապատասխան ժամկետներից հետո ներկայացված դիմումները ենթակա չեն քննարկման, և դիմումի ստացման օրվանից հետո երեք աշխատանքային օրվա ընթացքում վերադարձվում են դիմումատուին՝ նշելով դիմումը վերադարձնելու հիմքը: Հանձնաժողովի կողմից բնօրինակ փաստաթղթերը համեմատվում են դրանց պատճենների հետ, որից հետո բնօրինակ փաստաթղթերը վերադարձվում են դիմումատուին: Հանձնաժողովի փաստաթղթաշրջանառությունն իրականացվում է Կրթության, գիտության, մշակույթի և սպորտի նախարարության աշխատակազմի միջոցով:
(3-րդ կետը փոփ. 01.06.18 N 650-Ն, փոփ., լրաց. 03.10.19 N 1368-Ն)
4. Սույն կարգի համաձայն ստեղծված հանձնաժողովն իր գործունեությունն իրականացնում է նիստերի միջոցով: Նիստերը հրավիրվում են դիմումների առկայության դեպքում՝ ամսվա ընթացքում առնվազն մեկ անգամ, ընդ որում, մինչև տվյալ տարվա մայիսի 1-ը ներկայացված դիմումների քննարկման մասով վերջին նիստը պետք է տեղի ունենա ոչ ուշ, քան մինչև տվյալ տարվա մայիսի 15-ը (իսկ 2018 թվականի համար՝ մինչև հունիսի 25-ը), իսկ մինչև տվյալ տարվա նոյեմբերի 1-ը ներկայացված դիմումների քննարկման մասով վերջին նիստը՝ ոչ ուշ, քան մինչև տվյալ տարվա նոյեմբերի 15-ը: Հանձնաժողովի կողմից եզրակացություններն ընդունվում են նիստին ներկա հանձնաժողովի անդամների ձայների 2/3-ով: Հանձնաժողովի նիստերը տեսաձայնագրվում են: Հանձնաժողովի նիստին կարող են մասնակցել նաև դիմում ներկայացրած քաղաքացին կամ նրա ծնողները կամ նրա կողմից նշված այլ անձինք, սակայն յուրաքանչյուր քաղաքացու մասով` մեկ անձից ոչ ավելի: Հանձնաժողովի նիստերին կարող են ներկա գտնվել նաև հասարակական կազմակերպություններից ներկայացուցիչներ և լրագրողներ, որի վերաբերյալ վերջիններս մինչև նիստն սկսվելը տեղեկացնում են հանձնաժողովի նախագահին: Յուրաքանչյուր նիստի ավարտից հետո եռօրյա ժամկետում հանձնաժողովի եզրակացությունները, նիստի արձանագրությունը և ստացված դիմումներն ու կից փաստաթղթերը ներկայացվում են Կրթության, գիտության, մշակույթի և սպորտի նախարարին՝ յոթ աշխատանքային օրվա ընթացքում, օրենքով սահմանված կարգով Հայաստանի Հանրապետության կառավարության որոշման նախագիծ մշակելու և շրջանառելու կամ դիմումը մերժելու համար՝ նշելով մերժման հիմքերը: Հանձնաժողովի եզրակացությունները եռօրյա ժամկետում ուղարկվում են նաև դիմում ներկայացրած համապատասխան քաղաքացիներին: Հանձնաժողովի եզրակացությունների ձևերը սահմանվում են հանձնաժողովի գործունեության կարգը հաստատելու մասին Կրթության, գիտության, մշակույթի և սպորտի նախարարի հրամանով: Քաղաքացին կարող է հանձնաժողովի եզրակացության վերաբերյալ առարկություններ ներկայացել Կրթության, գիտության, մշակույթի և սպորտի նախարարին՝ եզրակացությունն ստանալու օրվանից հինգ աշխատանքային օրվա ընթացքում:
(4-րդ կետը փոփ. 01.06.18 N 650-Ն, 03.10.19 N 1368-Ն)
5. Սույն կարգի 4-րդ կետի համաձայն մինչև տվյալ տարվա մայիսի 1-ը (իսկ 2018 թվականի համար՝ մինչև հունիսի 8-ը) ներկայացված դիմումների մասով Կրթության, գիտության, մշակույթի և սպորտի նախարարության կողմից Հայաստանի Հանրապետության կառավարության համապատասխան որոշումների նախագծերը պաշտոնապես շրջանառության մեջ կարող են դրվել ոչ ուշ, քան մինչև տվյալ տարվա հուլիսի 1-ը, իսկ մինչև տվյալ տարվա նոյեմբերի 1-ը ներկայացված դիմումների մասով՝ ոչ ուշ, քան տվյալ տարվա դեկտեմբերի 1-ը՝ բացառությամբ սույն կարգի 3-րդ կետով նախատեսված համապատասխան օլիմպիադաները, գիտաժողովները, մրցանակաբաշխությունները տվյալ տարվա մայիսի 1-ից կամ տվյալ տարվա նոյեմբերի 1-ից հետո մինչև համապատասխան զորակոչի ավարտը տեղի ունենալու դեպքերի, որոնց պարագայում Հայաստանի Հանրապետության կառավարության համապատասխան որոշման նախագիծը շրջանառության մեջ է դրվում դրանց մասնակցության արդյունքում քաղաքացու կողմից սույն կարգի 7-րդ և 8-րդ կետերում նշված արդյունքների վերաբերյալ տեղեկատվությունը Կրթության, գիտության, մշակույթի և սպորտի նախարարությանը փոխանցելու օրվանից ոչ ուշ, քան 3-օրյա ժամկետում: Հայաստանի Հանրապետության կառավարության որոշման նախագիծը պաշտոնապես շրջանառության մեջ դնելու օրը որոշման նախագիծը տեղադրվում է նաև Կրթության, գիտության, մշակույթի և սպորտի նախարարության պաշտոնական կայքում և Հայաստանի Հանրապետության իրավական ակտերի նախագծերի հրապարակման www.e-draft.am միասնական կայքում՝ հրապարակային քննարկման նպատակով: Սույն կետի համաձայն Հայաստանի Հանրապետության կառավարության որոշման նախագծում ընդգրկվում են նաև հանձնաժողովի կողմից նախկինում դրական եզրակացություն տրված, սակայն Հայաստանի Հանրապետության կառավարության որոշմամբ տարկետում չստացած քաղաքացիները, որոնց վերաբերյալ հանձնաժողովը նոր եզրակացություն չի ընդունում:
(5-րդ կետը փոփ. 01.06.18 N 650-Ն, 03.10.19 N 1368-Ն, լրաց. 23.01.20 N 44-Ն)
5.1. Սույն կարգի համաձայն հանձնաժողովի կողմից դրական եզրակացություն ստացած, սակայն այլ հիմքով տարկետման իրավունքից օգտվող քաղաքացիներն ընդգրկվում են Հայաստանի Հանրապետության կառավարության որոշման նախագծում, որով նշված քաղաքացիների համար տարկետումն ուժի մեջ է մտնում այլ հիմքով ստացած տարկետումը դադարելու օրվանից:
(5.1-ին կետը լրաց. 06.08.20 N 1317-Ն)
II. ԳԻՏՈՒԹՅԱՆ ԵՎ ԿՐԹՈՒԹՅԱՆ ԲՆԱԳԱՎԱՌՆԵՐՈՒՄ ՆՇԱՆԱԿԱԼԻ ՆՎԱՃՈՒՄՆԵՐ ՈՒՆԵՑՈՂ ՔԱՂԱՔԱՑԻՆԵՐԻՆ ՊԱՐՏԱԴԻՐ ԶԻՆՎՈՐԱԿԱՆ ԾԱՌԱՅՈՒԹՅԱՆ ԶՈՐԱԿՈՉԻՑ ՏԱՐԿԵՏՈՒՄ ՏԱԼՈՒ ՊԱՅՄԱՆՆԵՐԸ
6. Պարտադիր զինվորական ծառայության զորակոչից կարող են տարկետում ստանալ սույն կարգով սահմանված նշանակալի նվաճումներ ունեցող քաղաքացիները:
(6-րդ կետը փոփ. 03.10.19 N 1368-Ն)
7. Բակալավրի (դիպլոմավորված մասնագետի, ինտեգրացված) կրթական ծրագրով սովորող (կամ տվյալ ուսումնական տարվա շրջանակներում դիմորդ հանդիսացող) քաղաքացիների նշանակալի նվաճումներ են համարվում հանձնաժողովին դիմելու օրվան նախորդող երեք տարվա ընթացքում՝
1) քաղաքացու ստացած մրցանակները (ոսկե կամ արծաթե կամ բրոնզե մեդալներ) դպրոցականների հետևյալ առարկայական միջազգային օլիմպիադաներում՝
ա. «International Mathematikal Olympiad, IMO»` մաթեմատիկա առարկայից,
բ. «International Physics Olympiad, IPhO»` ֆիզիկա առարկայից,
գ. «International Chemistry Olympiad, IChO»` քիմիա առարկայից,
դ. «International Olympiad in Informatics, IOI»` ինֆորմատիկա առարկայից,
ե. «International Biology Olympiad, IBO»` կենսաբանություն առարկայից,
զ. «International Philosopy Olympiad, IPO»` փիլիսոփայություն առարկայից,
է. «International Astronomy Olympiad, IAO»` աստղագիտություն առարկայից,
ը. «International Olympiad on Astronomy and Astrophysics, IOAA»` աստղագիտություն և աստղաֆիզիկա առարկաներից,
թ. «International Geography Olympiad, IGeO»` աշխարհագրություն առարկայից,
ժ. «International Linguistics Olympiad, ILO»` լեզվաբանություն առարկայից,
ժա. «International Junior Science Olympiad, IJSO»` բնագիտություն առարկայից,
ժբ. «International Earth Sciense Olympiad, IESO»` երկրի մասին գիտություն առարկայից,
2) քաղաքացու կողմից հայոց լեզու կամ հայ գրականություն կամ հայ ժողովրդի պատմություն առարկաներից դպրոցականների հանրապետական օլիմպիադաներում 1-ին տեղը գրաված լինելու հանգամանքը:
(7-րդ կետը փոփ. 03.10.19 N 1368-Ն)
8. Մագիստրատուրայի և ասպիրանտուրայի կրթական ծրագրերով սովորող (կամ դիմորդ հանդիսացող) քաղաքացիների նշանակալի նվաճումները գնահատվում են ըստ՝
1) դիմելու օրվան նախորդող երեք տարվա ընթացքում տվյալ մասնագիտության գծով միջազգային գիտատեղեկատվական շտեմարաններերում, ինչպես նաև բարձրագույն որակավորման կոմիտեի ցանկում ընդգրկված ամսագրերում հրապարակված գիտական հոդվածների.
2) դիմելու օրվան նախորդող երեք տարվա ընթացքում տվյալ մասնագիտության գծով գիտաժողովների զեկույցների.
3) դիմելու օրվան նախորդող երեք տարվա ընթացքում ստացած գիտակրթական մրցանակների.
4) ուսումնառության շրջանակներում միջին որակական գնահատականի (ՄՈԳ) (մագիստրատուրայի համար՝ բակալավրի, իսկ ասպիրանտուրայի համար՝ մագիստրոսի կրթական ծրագրով ուսումնառության շրջանակներում), որը պետք է կազմի ՄՈԳ-ի առավելագույն արժեքի առնվազն 80 տոկոսը.
5) (ենթակետն ուժը կորցրել է 03.10.19 N 1368-Ն)
(8-րդ կետը փոփ., լրաց. 01.06.18 N 650-Ն, փոփ. 03.10.19 N 1368-Ն)
9. Սույն կարգի 8-րդ կետով սահմանված նշանակալի նվաճումները հանձնաժողովի կողմից հաշվարկվում են բալային միավորների համակարգով՝ առավելագույնը 80 բալային միավորի սահմանաչափով, նշանակալի նվաճումների ցուցանիշների հաշվարկման մեթոդաբանության հիման վրա՝ համաձայն ձևի: Մագիստրոսի կրթական ծրագրի շրջանակներում տարկետման իրավունքի հավակնություն են ձեռք բերում առնվազն 49, իսկ ասպիրանտական կրթական ծրագրի շրջանակներում՝ առնվազն 51 բալային միավոր հավաքած քաղաքացիները:
(9-րդ կետը փոփ. 01.06.18 N 650-Ն, փոփ. 03.10.19 N 1368-Ն)
9.1. Նշանակալի նվաճում է համարվում քաղաքացու՝ աշխարհի լավագույն բարձրագույն ուսումնական հաստատությունների ակադեմիական վարկանիշավորման http://www.shanghairanking.com/# կայքի տվյալ տարվա ցանկերի առաջին հինգ տասնյակում ընդգրկված հաստատություններում բակալավրի (դիպլոմավորված մասնագետի, ինտեգրացված), մագիստրատուրայի, ասպիրանտուրայի և այլ կրթական ծրագրերով առկա ուսուցմամբ սովորելու կամ դիմորդ հանդիսանալու հանգամանքը` կրթաթոշակի առնվազն 70 տոկոսի վերաբերյալ փաստաթղթերի առկայությամբ, բացառությամբ՝ անվճար կրթական ծրագրեր իրականացնող բարձրագույն ուսումնական հաստատությունների:
(9.1-ին կետը լրաց. 01.06.18 N 650-Ն, փոփ. 03.10.19 N 1368-Ն)
10. Սույն կարգի համաձայն գիտության և կրթության բնագավառներում նշանակալի նվաճումներ ունեցող քաղաքացուն Հայաստանի Հանրապետության կառավարության որոշմամբ տարկետում տրվում է համապատասխան կրթական ծրագրով ուսումնառության ժամկետով՝ սակայն ոչ ավելի, քան մինչև քաղաքացու 26 տարին լրանալու օրը:
11. Ստացած տարկետման ժամկետի ընթացքում յուրաքանչյուր տարվա մինչև սեպտեմբերի 30-ը քաղաքացին կամ նրա օրինական ներկայացուցիչը կամ նրա կողմից լիազորված անձը Կրթության, գիտության, մշակույթի և սպորտի նախարարություն և քաղաքացու զինվորական հաշվառումն իրականացրած ստորաբաժանում են ներկայացնում համապատասխան ուսումնական հաստատության կողմից տրված տեղեկանքները` հաջորդ կուրս փոխադրվելու վերաբերյալ:
(11-րդ կետը փոփ. 03.10.19 N 1368-Ն)
12. Տրված տարկետման ժամկետի ընթացքում ուսումնառությունը դադարեցվելու, ինչպես նաև սույն կարգի 11-րդ կետով նախատեսված փաստաթղթերը սահմանված ժամկետում չներկայացվելու դեպքերում Հայաստանի Հանրապետության կրթության և գիտության բնագավառի պետական լիազոր մարմինը Հայաստանի Հանրապետության կառավարություն է ներկայացնում քաղաքացուն տրված տարկետումը դադարեցնելու մասին Հայաստանի Հանրապետության կառավարության որոշման նախագիծ, որի ընդունումից հետո քաղաքացին կորցնում է տարկետման իրավունքը և ենթակա է պարտադիր զինվորական ծառայության զորակոչի՝ օրենքով սահմանված կարգով:
(12-րդ կետը փոփ. 03.10.19 N 1368-Ն)
13. Սույն կարգի համաձայն գիտության և կրթության բնագավառներում նշանակալի նվաճումներ ունեցող քաղաքացուն յուրաքանչյուր կրթական ծրագրով ուսումնառության համար տարկետում կարող է տրվել մեկ անգամ, բացառությամբ սույն կարգի 7-րդ կամ 8-րդ կետերի հիման վրա տարկետում ստացած քաղաքացու, ով ուսումնառության ընթացքում դիմել է սույն կարգի 9.1-ին կետի հիման վրա տարկետում ստանալու համար, ինչպես նաև սույն կարգի 9.1-ին կետի հիման վրա տարկետում ստացած քաղաքացու, ով ուսումնառության ընթացքում դիմել է սույն կարգի 9.1-ին կետին համապատասխան ավելի բարձր վարկանիշ ունեցող բարձրագույն ուսումնական հաստատություն ընդունվելու հիմքով տարկետում ստանալու համար: Տվյալ դեպքում քաղաքացու ներկայացրած փաստաթղթերի ուսումնասիրության և հանձնաժողովի կողմից դրական եզրակացություն ստանալու դեպքում վերջինս կարող է օգտվել տարկետման իրավունքից՝ մինչև նոր ուսումնական հաստատությունում ուսումնառության ավարտը, բացառությամբ սույն կարգի 10-րդ կետով նախատեսված դեպքի:
(13-րդ կետը խմբ. 06.08.20 N 1317-Ն)
14. Սույն կարգի հիման վրա գիտության և կրթության բնագավառներում նշանակալի նվաճումների համար ասպիրանտական կրթական ծրագրի շրջանակներում տարկետում ստացած և գիտական աստիճան ունեցող քաղաքացուն սույն կարգի պահանջների համաձայն և ասպիրանտուրայում ուսումնառության ընթացքում սույն կարգով սահմանված՝ ասպիրանտական կրթական ծրագրով տարկետում ստանալու համար անհրաժեշտ նշանակալի նվաճումների ցուցանիշներն ապահովելու և պետական գիտակրթական հաստատությունում կամ գիտական կազմակերպությունում գիտամանկավարժական կամ գիտական գործունեություն իրականացնելու դեպքում Հայաստանի Հանրապետության կառավարության որոշմամբ կարող է տրամադրվել տարկետում՝ սակայն ոչ ավելի, քան մինչև քաղաքացու 26 տարին լրանալու օրը:
15. Սույն կարգի համաձայն գիտության և կրթության բնագավառներում նշանակալի նվաճումների համար տարկետում ստացած ու տարկետման ժամկետի ավարտից հետո պարտադիր զինվորական ծառայության զորակոչված քաղաքացիները կարող են մասնակցել զինված ուժերի գիտական ստորաբաժանման համալրման մրցույթին և այլ հավասար պայմանների ապահովման դեպքում՝ օգտվել այդ ստորաբաժանումում ծառայության նշանակվելու նախապատվության իրավունքից:
|
Հայաստանի Հանրապետության |
Վ. Ստեփանյան |
Ձև
Մ Ե Թ Ո Դ Ա Բ Ա Ն ՈՒ Թ Յ ՈՒ Ն
ՆՇԱՆԱԿԱԼԻ ՆՎԱՃՈՒՄՆԵՐԻ ՑՈՒՑԱՆԻՇՆԵՐԻ ՀԱՇՎԱՐԿՄԱՆ
Մագիստրատուրայի և ասպիրանտուրայի կրթական ծրագրերով սովորող քաղաքացիների նշանակալի նվաճումների ցուցանիշները հաշվարկվում են հետևյալ չափորոշիչների և դրանց վերապահվող միավորների հիման վրա`
(պարբերությունը փոփ. 03.10.19 N 1368-Ն)
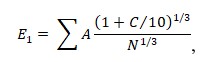
1. Գիտական հրապարակումներ (հոդվածներ): Գիտական հոդված` «Web of Knowledge» և «Scopus» միջազգային գիտատեղեկատվական շտեմարաններում, ինչպես նաև բարձրագույն որակավորման կոմիտեի ցանկում ընդգրկված ամսագրում հրապարակված՝ հղման ենթակա հոդված.
որտեղ յուրաքանչյուր հրապարակման (հոդվածի) համար`
A-ն գիտատեղեկատվական շտեմարաններում ամսագրի ընդգրկվածությամբ որոշվող գործակիցն է`
|
IF* |
որոշված չէ |
<0.2 |
0.2-0.5 |
0.5-1.0 |
1.0-2.0 |
2.0-5.0 |
>5.0 |
|
A** |
3 |
5 |
10 |
13 |
15 |
17 |
20 |
|
*) IF-ն ամսագրի տվյալ տարվա ազդեցության գործակիցն է՝ ըստ «Institute for Scientific Information (ISI JCR)»-ի տվյալների: **) Սահմանային արժեքի դեպքում վերցվում է առավելագույնը: | |||||||
C-ն հղումների քանակն է՝ առանց ինքնահղումների.
N-ը համահեղինակների կամ համամրցանակակիրների ընդհանուր թիվն է:
(1-ին կետը խմբ. 01.06.18 N 650-Ն, 03.10.19 N 1368-Ն)
2. Գիտաժողովների զեկույցներ: Հաշվի է առնվում միայն համապատասխան ինտերնետային կայքէջի կամ փաստաթղթային հաստատման առկայության դեպքում:
յուրաքանչյուր զեկույցի համար`
T=3,00՝ արտերկրում տեղի ունեցած գիտաժողովի զեկույց,
T=2,00՝ Հայաստանի Հանրապետությունում տեղի ունեցած միջազգային գիտաժողովի զեկույց,
T=1,00՝ Հայաստանի Հանրապետությունում տեղի ունեցած ոչ միջազգային գիտաժողովի զեկույց:
3. Գիտակրթական մրցանակներ: Գիտակրթական մրցանակ` միջազգային գիտական կամ գիտակրթական, Հայաստանի Հանրապետության կամ օտարերկրյա պետության պետական, Հայաստանի Հանրապետության Նախագահի, Հայաստանի Հանրապետության Նախագահի երիտասարդական, «Հայաստանի Հանրապետության լավագույն ուսանող» մրցանակներ, տեղեկատվական տեխնոլոգիաների բնագավառում Հայաստանի Հանրապետության Նախագահի կրթական պարգև: Հաշվի է առնվում միայն համապատասխան ինտերնետային կայքէջի կամ փաստաթղթային հաստատման առկայության դեպքում:
յուրաքանչյուր մրցանակի համար`
Pr=10,00՝ միջազգային գիտական կամ գիտակրթական մրցանակ (ճանաչված միջազգային գիտական մրցանակ, միջազգային ուսանողական օլիմպիադաների 1-3-րդ տեղեր),
Pr=5,00՝ Հայաստանի Հանրապետության կամ օտարերկրյա որևէ պետության պետական մրցանակ,
Pr=4,00՝ Հայաստանի Հանրապետության Նախագահի մրցանակ,
Pr=1,00` Հայաստանի Հանրապետության Նախագահի երիտասարդական, «Հայաստանի Հանրապետության լավագույն ուսանող» մրցանակներ, տեղեկատվական տեխնոլոգիաների բնագավառում Հայաստանի Հանրապետության Նախագահի կրթական պարգև:
4. Միջին որակավորման գնահատականը՝ E4–ը, հաշվարկվում է բարձրագույն ուսումնական հաստատության կողմից տրված փաստաթղթի հիման վրա՝ հետևյալ բանաձևով՝
որտեղ՝
ՄՈԳ-ը՝ հայցորդի միջին որակական գնահատականն է,
ԱՄՈԳ–ը՝ տվյալ ԲՈՒՀ-ի միջին որակական գնահատականի առավելագույն արժեքն է:
(4-րդ կետը խմբ. 03.10.19 N 1368-Ն)
5. (կետն ուժը կորցրել է 03.10.19 N 1368-Ն)
6. Չափորոշիչներից յուրաքանչյուրին վերապահվող միավորների առավելագույն արժեքը 20 միավոր է:
7. Նշանակալի նվաճումների ցուցանիշը հաշվարկվում է ըստ հետևյալ բանաձևի`
E = k 1 E 1 + k 2 E 2 + k 3 E 3 + k 4 E 4,
որտեղ
E -ն քաղաքացու նշանակալի նվաճումների ցուցանիշն է,
E 1, E 2 , E 3, E 4 -ը դրա հաշվարկման համար հիմք ծառայած չափորոշիչներից ստացված միավորներն են,
k 1, k 2, k 3, k 4 -ը համամասնության գործակիցն է:
Համամասնության գործակիցները բարձրագույն կրթության մագիստրոսական և ասպիրանտական կրթական ծրագրերի համար որոշվում են ըստ հետևյալ աղյուսակի`
|
Կրթական ծրագիրը |
Համամասնության գործակցի արժեքը | |||
|
K1 |
K2 |
K3 |
K4 | |
|
Մագիստրատուրա |
0.5 |
0.5 |
0.6 |
2.4 |
|
Ասպիրանտուրա |
1.0 |
0.5 |
0. 5 |
2.0 |
(7-րդ կետը խմբ. 01.06.18 N 650-Ն, փոփ., խմբ. 03.10.19 N 1368-Ն)
(ձևը խմբ., լրաց. 01.06.18 N 650-Ն, փոփ., խմբ. 03.10.19 N 1368-Ն)
(հավելվածը փոփ., լրաց. 01.06.18 N 650-Ն, փոփ., լրաց., խմբ. 03.10.19 N 1368-Ն, լրաց. 23.01.20 N 44-Ն, լրաց., խմբ. 06.08.20 N 1317-Ն)