ՀՀ ԿԱՌԱՎԱՐՈՒԹՅԱՆ ՈՐՈՇՈՒՄԸ ՀՀ ՎԱՅՈՑ ՁՈՐԻ ՄԱՐԶԻ ԱՐԵՆԻԻ ԳՅՈՒՂԱԿԱՆ ՀԱՄԱՅՆՔԻ ՎԱՐՉԱԿԱՆ ՍԱՀՄԱՆՆԵՐԻ ՆԿԱՐԱԳԻՐԸ ՀԱՍՏԱՏԵԼՈՒ ԵՎ ԱՐԵՆԻԻ ԳՅՈՒՂԱԿԱՆ ՀԱՄԱՅՆՔԻ ՎԱՐՉԱԿԱՆ ՍԱՀՄԱՆՆԵՐՈՒՄ ԳՏՆՎՈՂ` ՊԵՏԱԿԱՆ ՍԵՓԱԿԱՆՈՒԹՅՈՒՆ ՀԱՆԴԻՍԱՑՈՂ ՀՈՂԱՄԱՍԵՐՆ ԱՆՀԱՏՈՒՅՑ ՍԵՓԱԿԱՆՈՒԹՅԱՆ ԻՐԱՎՈՒՆՔՈՎ ՀԱՄԱՅՆՔԻՆ ՓՈԽԱՆՑԵԼՈՒ ՄԱՍԻՆ

Գլխավոր տեղեկություն
Համար
N 1825-Ն
Տիպ
Որոշում
Ակտի տիպ
Պաշտոնական Ինկորպորացիա (08.10.2009-մինչ օրս)
Կարգավիճակ
Գործում է
Սկզբնաղբյուր
ՀՀՊՏ 2005.12.21/79.1 Հոդ.1529.3
Ընդունող մարմին
ՀՀ կառավարություն
Ընդունման ամսաթիվ
22.09.2005
Ստորագրող մարմին
ՀՀ վարչապետ
Ստորագրման ամսաթիվ
03.11.2005
Վավերացնող մարմին
ՀՀ Նախագահ
Վավերացման ամսաթիվ
12.11.2005
Ուժի մեջ մտնելու ամսաթիվ
22.12.2005

«Վավերացնում եմ»
Հայաստանի Հանրապետության
Նախագահ Ռ. Քոչարյան
12 նոյեմբերի 2005թ.

ՀԱՅԱՍՏԱՆԻ ՀԱՆՐԱՊԵՏՈՒԹՅԱՆ ԿԱՌԱՎԱՐՈՒԹՅՈՒՆ

Ո Ր Ո Շ ՈՒ Մ

22 սեպտեմբերի 2005 թվականի N 1825-Ն

ՀԱՅԱՍՏԱՆԻ ՀԱՆՐԱՊԵՏՈՒԹՅԱՆ ՎԱՅՈՑ ՁՈՐԻ ՄԱՐԶԻ ԱՐԵՆԻԻ ԳՅՈՒՂԱԿԱՆ ՀԱՄԱՅՆՔԻ ՎԱՐՉԱԿԱՆ ՍԱՀՄԱՆՆԵՐԻ ՆԿԱՐԱԳԻՐԸ ՀԱՍՏԱՏԵԼՈՒ ԵՎ ԱՐԵՆԻԻ ԳՅՈՒՂԱԿԱՆ ՀԱՄԱՅՆՔԻ ՎԱՐՉԱԿԱՆ ՍԱՀՄԱՆՆԵՐՈՒՄ ԳՏՆՎՈՂ` ՊԵՏԱԿԱՆ ՍԵՓԱԿԱՆՈՒԹՅՈՒՆ ՀԱՆԴԻՍԱՑՈՂ ՀՈՂԱՄԱՍԵՐՆ ԱՆՀԱՏՈՒՅՑ ՍԵՓԱԿԱՆՈՒԹՅԱՆ ԻՐԱՎՈՒՆՔՈՎ ՀԱՄԱՅՆՔԻՆ ՓՈԽԱՆՑԵԼՈՒ ՄԱՍԻՆ

Հայաստանի Հանրապետության հողային օրենսգրքի 34-րդ ու 56-րդ, «Տեղական ինքնակառավարման մասին» Հայաստանի Հանրապետության օրենքի 6-րդ, 47-րդ ու 84-րդ և «Հայաստանի Հանրապետության վարչատարածքային բաժանման մասին» Հայաստանի Հանրապետության օրենքի 6-րդ հոդվածների պահանջներին համապատասխան` Հայաստանի Հանրապետության կառավարությունը որոշում է.

1. Հաստատել Հայաստանի Հանրապետության Վայոց ձորի մարզի Արենիի գյուղական համայնքի վարչական սահմանների նկարագիրը` համաձայն NN 1 և 2 հավելվածների:

2. Հայաստանի Հանրապետության Վայոց Ձորի մարզի Արենիի գյուղական համայնքի վարչական սահմաններում գտնվող՝ պետական սեփականություն հանդիսացող 4032.1 հեկտար հողամասերից 3798.02 հեկտարը, որից՝ գյուղատնտեսական նշանակության՝ 3699.71 հեկտար, բնակավայրերի հողերի՝ 47.95 հեկտար, արդյունաբերության, ընդերքօգտագործման և այլ արտադրական նշանակության օբյեկտների՝ 47.54 հեկտար, էներգետիկայի, տրանսպորտի, կապի և կոմունալ ենթակառուցվածքների օբյեկտների՝ 0.05 հեկտար, ջրային հողերի` 2.76 հեկտար անհատույց սեփականության իրավունքով փոխանցել Արենիի գյուղական համայնքին՝  համաձայն  NN 3, 4, 5 և 6 հավելվածների:

3. Սահմանել, որ Հայաստանի Հանրապետության  հողային օրենսգրքի 60-րդ հոդվածի պահանջներին  համապատասխան`

ա) Հայաստանի Հանրապետության Վայոց ձորի մարզի Արենիի գյուղական համայնքին անհատույց սեփականության իրավունքով փոխանցվող 3798.02 հեկտար հողերից 110.88 հեկտարը մասնավորեցման ենթակա չէ.

բ) Հայաստանի Հանրապետության Վայոց ձորի մարզի Արենիի գյուղական համայնքի վարչական սահմաններում գտնվող հողերից 234.08 հեկտարը համարվում է   պետական սեփականություն` համաձայն  N 7 հավելվածի:

4. Ընդունել ի գիտություն Հայաստանի Հանրապետության Վայոց ձորի մարզի Արենիի գյուղական համայնքի հողային ֆոնդի առկայության և բաշխման մասին հաշվետվությունը` 2005 թվականի հունվարի 1-ի դրությամբ` համաձայն NN 8 և 9 հավելվածների:

5. Հայաստանի Հանրապետության կառավարությանն առընթեր անշարժ գույքի կադաստրի պետական կոմիտեի նախագահին` սահմանված կարգով  ապահովել սկզբնական հաշվառման նյութերի տրամադրումը Հայաստանի Հանրապետության Վայոց ձորի մարզի Արենիի գյուղական համայնքի ղեկավարին` հողերի ընթացիկ հաշվառումն անցկացնելու և համայնքի հողային հաշվեկշիռը կազմելու համար:

6. Թույլատրել Հայաստանի Հանրապետության կառավարությանն առընթեր անշարժ գույքի կադաստրի պետական կոմիտեի նախագահին Հայաստանի Հանրապետության պետական գեոդեզիական ցանցի հավասարակշռման արդյունքների հիման վրա Հայաստանի Հանրապետության վարչատարածքային միավորների սահմանանիշերի կոորդինատների ժողովածուի հրատարակումից հետո հողային ֆոնդի ընթացիկ հաշվառման ժամանակ Հայաստանի Հանրապետության Վայոց ձորի մարզի Արենիի գյուղական համայնքի հողային հաշվեկշռում սահմանված կարգով կատարել համապատասխան փոփոխություններ:

7. Հայաստանի Հանրապետության Վայոց ձորի մարզպետին` Հայաստանի Հանրապետության կառավարության 2000 թվականի հոկտեմբերի 23-ի N 656 որոշմամբ սահմանված կարգով` սկզբնական հաշվառման տվյալների հիման վրա ապահովել մարզի տարածքում ընթացիկ հաշվառման աշխատանքների իրականացումը:

8. Սույն որոշումն ուժի մեջ է մտնում պաշտոնական հրապարակմանը հաջորդող օրվանից։

Հայաստանի Հանրապետության
վարչապետ

Ա. Մարգարյան


2005թ. նոյեմբերի 3
Երևան

 

Հավելված N 1
ՀՀ կառավարության 2005 թվականի
սեպտեմբերի 22-ի N 1825-Ն որոշման

ՀԱՅԱՍՏԱՆԻ ՀԱՆՐԱՊԵՏՈՒԹՅԱՆ ՎԱՅՈՑ ՁՈՐԻ ՄԱՐԶԻ ԱՐԵՆԻԻ ԳՅՈՒՂԱԿԱՆ ՀԱՄԱՅՆՔԻ ՎԱՐՉԱԿԱՆ ՍԱՀՄԱՆՆԵՐԻ ՀԱՏԱԿԱԳԻԾԸ

Հայաստանի Հանրապետության
կառավարության աշխատակազմի
ղեկավար-նախարար
Մ. Թոփուզյան

 

Հավելված N 2
ՀՀ կառավարության 2005 թվականի
սեպտեմբերի 22-ի N 1825-Ն որոշման

Ներմուծեք նկարագրությունը_3187

Ներմուծեք նկարագրությունը_3188

Ներմուծեք նկարագրությունը_3189

Հայաստանի Հանրապետության
կառավարության աշխատակազմի
ղեկավար-նախարար
Մ. Թոփուզյան

 

Հավելված N 3
ՀՀ կառավարության 2005 թվականի
սեպտեմբերի 22-ի N 1825-Ն որոշման

ՀԱՅԱՍՏԱՆԻ ՀԱՆՐԱՊԵՏՈՒԹՅԱՆ ՎԱՅՈՑ ՁՈՐԻ ՄԱՐԶԻ ԱՐԵՆԻԻ ԳՅՈՒՂԱԿԱՆ ՀԱՄԱՅՆՔԻ ՀՈՂԱՇԻՆԱՐԱՐԱԿԱՆ ՀԱՏԱԿԱԳԻԾԸ

Հայաստանի Հանրապետության
կառավարության աշխատակազմի
ղեկավար-նախարար
Մ. Թոփուզյան

 

Հավելված N 4
ՀՀ կառավարության 2005 թվականի
սեպտեմբերի 22-ի N 1825-Ն որոշման

Ա Ն Վ Ա Ն Ա Ց Ա Ն Կ

ՀԱՅԱՍՏԱՆԻ ՀԱՆՐԱՊԵՏՈՒԹՅԱՆ ՎԱՅՈՑ ՁՈՐԻ ՄԱՐԶԻ ԱՐԵՆԻԻ ԳՅՈՒՂԱԿԱՆ ՀԱՄԱՅՆՔԻ ՎԱՐՉԱԿԱՆ ՍԱՀՄԱՆՆԵՐՈՒՄ ԳՏՆՎՈՂ` ՊԵՏԱԿԱՆ ՍԵՓԱԿԱՆՈՒԹՅՈՒՆ ՀԱՆԴԻՍԱՑՈՂ ՀՈՂԵՐԻՑ ԱՐԵՆԻ ԳՅՈՒՂԱԿԱՆ ՀԱՄԱՅՆՔԻՆ ԱՆՀԱՏՈՒՅՑ ՓՈԽԱՆՑՎՈՂ ՀՈՂԵՐԻ 

Պայմանական նշանները

Հողերի նպատակային նշանակությունը

Համայնքի սեփականությունը հանդիսացող հողեր 

Պետական սեփականություն հանդիսացող հողեր 

ընդամենը

որից` չմաս-նավորեցվող

 
Գյուղատնտեսական

3699.71

55.95

 

 
Բնակավայրերի

47.95

17.03

26.52

 
Արդյունաբերության, ընդերքօգտագործման և այլ արտադրական նշանակության օբյեկտների

47.54

  35.14

 

 
Էներգետիկայի, տրանսպորտի, կապի և կոմունալ ենթակառուցվածքների օբյեկտների

0.05

 

15.03

 
Հատուկ պահպանվող տարածքներ

 

 

 147.93

 
Հատուկ նշանակության    

 0.24

 
Անտառային

 

 

 

 
Ջրային

2.76

2.76

44.36

 
Պահուստային      
 

Ընդամենը

3798.02

110.88

234.08

(հավելվածը խմբ. 23.09.09 N 1100-Ն)

Հայաստանի Հանրապետության
կառավարության աշխատակազմի
ղեկավար-նախարար
Մ. Թոփուզյան

 

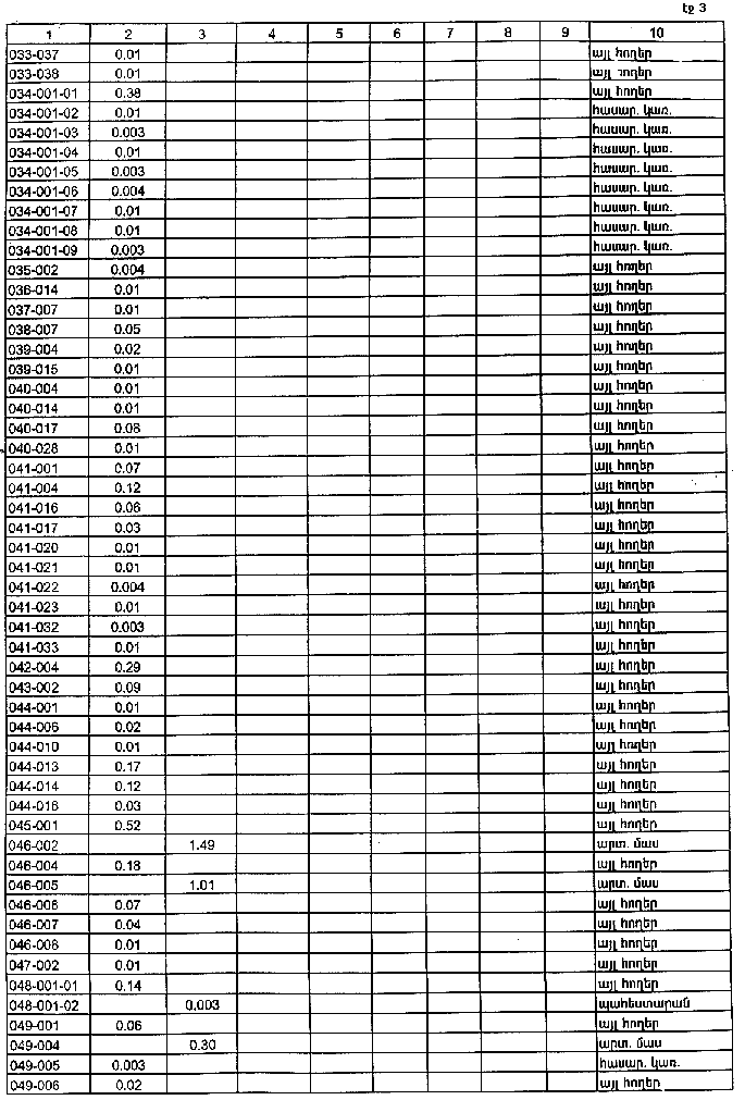
Հավելված N 5
ՀՀ կառավարության 2005 թվականի
սեպտեմբերի 22-ի N 1825-Ն որոշման

էջ  1,  2,  3,  4,  5,  6,  7,  8

Ց Ա Ն Կ

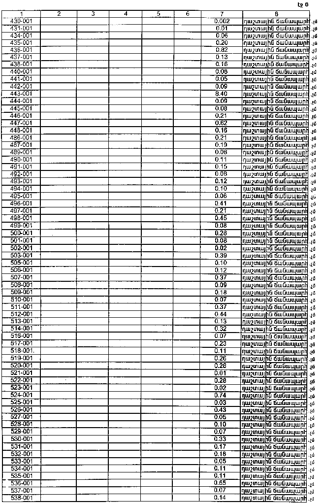
ՀԱՅԱՍՏԱՆԻ ՀԱՆՐԱՊԵՏՈՒԹՅԱՆ ՎԱՅՈՑ ՁՈՐԻ ՄԱՐԶԻ ԱՐԵՆԻ ԳՅՈՒՂԱԿԱՆ ՀԱՄԱՅՆՔԻ ՎԱՐՉԱԿԱՆ ՍԱՀՄԱՆՆԵՐՈՒՄ ԳՏՆՎՈՂ` ՊԵՏԱԿԱՆ ՍԵՓԱԿԱՆՈՒԹՅՈՒՆ ՀԱՆԴԻՍԱՑՈՂ ՀՈՂԵՐԻՑ ԱՐԵՆԻ ԳՅՈՒՂԱԿԱՆ ՀԱՄԱՅՆՔԻՆ ԱՆՀԱՏՈՒՅՑ ՓՈԽԱՆՑՎՈՂ ՀՈՂԵՐԻ 

Հայաստանի Հանրապետության
կառավարության աշխատակազմի
ղեկավար-նախարար
Մ. Թոփուզյան

 

Հավելված N 6
ՀՀ կառավարության 2005 թվականի
սեպտեմբերի 22-ի N 1825-Ն որոշման

էջ  1,  2,  3,  4,  5,  6,  7,  8

Ց Ա Ն Կ

ՀԱՅԱՍՏԱՆԻ ՀԱՆՐԱՊԵՏՈՒԹՅԱՆ ՎԱՅՈՑ ՁՈՐԻ ՄԱՐԶԻ ԱՐԵՆԻԻ ԳՅՈՒՂԱԿԱՆ ՀԱՄԱՅՆՔԻ ՎԱՐՉԱԿԱՆ ՍԱՀՄԱՆՆԵՐՈՒՄ ԳՏՆՎՈՂ` ՊԵՏԱԿԱՆ ՍԵՓԱԿԱՆՈՒԹՅՈՒՆ ՀԱՆԴԻՍԱՑՈՂ ՀՈՂԵՐԻՑ ԱՐԵՆԻ ԳՅՈՒՂԱԿԱՆ ՀԱՄԱՅՆՔԻՆ ԱՆՀԱՏՈՒՅՑ ՓՈԽԱՆՑՎՈՂ ՀՈՂԵՐԻ (ԸՍՏ ՆՊԱՏԱԿԱՅԻՆ ՆՇԱՆԱԿՈՒԹՅԱՆ)

Հայաստանի Հանրապետության
կառավարության աշխատակազմի
ղեկավար-նախարար
Մ. Թոփուզյան

 

Հավելված N 7
ՀՀ կառավարության 2005 թվականի
սեպտեմբերի 22-ի N 1825-Ն որոշման

Ց Ա Ն Կ

ՀԱՅԱՍՏԱՆԻ ՀԱՆՐԱՊԵՏՈՒԹՅԱՆ ՎԱՅՈՑ ՁՈՐԻ ՄԱՐԶԻ ԱՐԵՆԻԻ ԳՅՈՒՂԱԿԱՆ ՀԱՄԱՅՆՔԻ ՎԱՐՉԱԿԱՆ ՍԱՀՄԱՆՆԵՐՈՒՄ ԳՏՆՎՈՂ` ՊԵՏԱԿԱՆ ՍԵՓԱԿԱՆՈՒԹՅՈՒՆ ՀԱՆԴԻՍԱՑՈՂ ՀՈՂԵՐԻ (ԸՍՏ ՆՊԱՏԱԿԱՅԻՆ ՆՇԱՆԱԿՈՒԹՅԱՆ)

Կադաստրային
ծածկագիր 

II

III

IV

V

VI

VII

VIII

IX

Ծանոթա-
գրություն

Բնակա-
վայրերի
հողեր

Արդյունա-
բերության,
ընդերք-
օգտա-
գործման
և այլ
արտադրա-
կան նշանա-
կության
օբյեկտների
հողեր

Էներգետիկայի,
տրանսպորտի,
կապի և կոմունալ
ենթակա-
ռուցվածքների
օբյեկտների հողեր

Հատուկ պահ-
պանվող
տարածք-
ների
հողեր

Հատուկ նշանա-
կության հողեր

Անտա-
ռային հողեր

Ջրային
հողեր

Պահուս-
տային հողեր

1

2

3

4

5

6

7

8

9

10

046-001

 

 

 

 

0.24

 

 

 

հատուկ նշ. հողեր

059-008

1.13

 

 

 

 

 

 

 

դպրոց

179-001-02

 

 

 

2.68

 

 

 

 

արգելավայր

184-001-02

 

 

 

0.76

 

 

 

 

դամբարանադաշտ

184-001-03

 

 

 

2.76

 

 

 

 

արգելավայր

184-001-04

 

 

 

5.23

 

 

 

 

դամբարանադաշտ

184-001-06

 

 

 

2.00

 

 

 

 

դամբարանադաշտ

184-013

 

 

 

2.18

 

 

 

 

գերեզմանոց

184-044

 

 

 

26.43

 

 

 

 

արգելավայր

184-045

25.39

 

 

 

 

 

 

 

խառը կառուցապատում

184-046

 

 

 

12.42

 

 

 

 

արգելավայր

189-001-01

 

 

 

 5.51

 

 

 

 

դամբարանադաշտ

189-003

 

 

 

0.47

 

 

 

 

գերեզմանոց

191-001

 

 

 

 

 

 

1.68

 

ջրհան կայան

265-001-05

 

 

 

2.53

 

 

 

 

դամբարանադաշտ

265-001-09

 

 

 

0.24

 

 

 

 

դամբարանադաշտ

265-043

 

 

 

 

 

 

0.79

 

ջրհան կայան

265-050

 

 

 

 

 

 

2.99

 

ջրհան կայան

329-001

 

 

 

84.72

 

 

 

 

արգելավայր

426-001

 

 

0.01

 

 

 

 

 

մարզ. նշ. ճանապ.

427-001

 

 

1.94

 

 

 

 

 

միջպետական
ճանապ.

432-001

 

 

0.54

 

 

 

 

 

մարզ. նշ. ճանապ.

433-001

 

 

 

 

 

 

0.42

 

գետ

504-001

 

 

 

 

 

 

0.65

 

ջրանցք

515-001

 

 

1.61

 

 

 

 

 

մարզ. նշ. ճանապ.

563-001

 

 

 

 

 

 

23.14

 

գետ

600-001

 

 

3.09

 

 

 

 

 

միջպետական
ճանապ.

703-001

 

 

 

 

 

 

10.24

 

գետ

714-001

 

 

3.01

 

 

 

 

 

միջպետական
ճանապ.

736-001

 

 

 

 

 

 

0.27

 

ջրանցք

739-001

 

 

4.05

 

 

 

 

 

մարզ. նշ. ճանապ

740-001

 

 

 

 

 

 

4.18

 

գետ

745-001

 

 

0.78

 

 

 

 

 

մարզ. նշ. ճանապ

Ընդամենը

26.52

 

15.03

147.93

0.24

 

44.36

 

 

(հավելվածը խմբ. 23.09.09 N 1100-Ն)

Հայաստանի Հանրապետության
կառավարության աշխատակազմի
ղեկավար-նախարար

Մ. Թոփուզյան

 

Հավելված N 8
ՀՀ կառավարության 2005 թվականի
սեպտեմբերի 22-ի N 1825-Ն որոշման

Հ Ա Շ Վ Ե Տ Վ ՈՒ Թ Յ ՈՒ Ն

ՀԱՅԱՍՏԱՆԻ ՀԱՆՐԱՊԵՏՈՒԹՅԱՆ ՎԱՅՈՑ ՁՈՐԻ ՄԱՐԶԻ ԱՐԵՆԻԻ ԳՅՈՒՂԱԿԱՆ ՀԱՄԱՅՆՔԻ ՀՈՂԱՅԻՆ ՖՈՆԴԻ ԱՌԿԱՅՈՒԹՅԱՆ ԵՎ ԲԱՇԽՄԱՆ ՄԱՍԻՆ
2005 թվականի հունվարի 1-ի դրությամբ

հեկտարներով

NN
ը/կ

Նպա-
տակային
նշանա-
կությունը

Հողատեսքը,
գործառական
նշանակությունը

Ծած-կա-
գի-
րը

Ընդա-
մենը
(2+3+
4+8+12)

Սեփականության սուբյեկտը

ՀՀ քաղա-
քացի-
ների

ՀՀ իրավա-
բանա-
կան
անձանց

համայնքային

պետական

Օտար-
երկրյա
պետութ-
յունների,
կազմակեր-
պություն-
ների և
ՀՀ-ում
կացութ-
յան
հատուկ կարգա-
վիճակ
ունեցող անձանց

ընդա-
մենը
(5+6+7)

տրված
անհա-
տույց
օգտա-
գործման


վարձա-
կալու-
թյամբ տրված

օգտա-
գործման և վարձա-
կալու-
թյամբ չտրված

ընդա-
մենը
(9+10
+11)

տրված`
անհա-
տույց
օգտա-
գործ-
ման 

վարձա-
կալու-
թյամբ տրված

 օգտա-
գործման և վարձա-
կալու-
թյան չտրված

Ա

Բ

Գ

1

2

3

4

5

6

7

8

9

10

11

12

1.1.

1. Գյու-
ղա-տնտե-
սական

վարելահող

 

220.54

127.72

 

92.82

 

 

 

 

 

 

 

 

1.2.

բազմ. տնկ.
ընդամ.

 

77.57

76.03

 

1.54

 

 

 

 

 

 

 

 

1.2.1.

այդ թվում` պտղ. այգի

 

15.93

15.93

 

 

 

 

 

 

 

 

 

 

1.2.2.

խաղողի այգի

 

61.64

60.10

 

1.54

 

 

 

 

 

 

 

 

1.2.3.

այլ բազմամյա

 

 

 

 

 

 

 

 

 

 

 

 

 

1.3.

խոտհարք

 

 

 

 

 

 

 

 

 

 

 

 

 

1.4.

արոտ

 

 11.96.90

 

 

1196.90

 

 

 

 

 

 

 

 

1.5.

այլ հողատեսքեր

 

 2408.45

 

 

2408.45

 

 

 

 

 

 

 

 

1.

Ընդամենը

 

3903.46

203.75

 

3699.71

 

 

 

 

 

 

 

 

2.1.

2. Բնա-
կա-
վայրերի

բնակելի կառուց.

100.45

100.45

 

0.00

 

 

 

 

 

 

 

 

 

2.1.1.

այդ թվում` տնամերձ

100.45

100.45

 

 

 

 

 

 

 

 

 

 

 

2.1.2.

այգեգ-ն (ամառ-ն)

 

 

 

 

 

 

 

 

 

 

 

 

 

2.2.

հասարակ. կառուց.

2.08

 

 

0.95

 

 

 

1.13

 

 

 

 

 

2.3.

խառը կառուցապ.

 

 

 

0.00

 

 

 

25.39

 

 

 

 

 

2.4.

ընդհ. օգտագործ.

16.98

 

 

16.98

 

 

 

 

 

 

 

 

 

2.5.

այլ հողեր

30.02

 

 

30.02

 

 

 

 

 

 

 

 

 

2.

Ընդամենը

174.92

100.45

 

47.95

 

 

 

26.52

 

 

 

 

 

3.1.

3. Արդ-
յու-
նաբե-
րության,
ընդերք-
օգտա-
գործ-
ման

արդյունաբ.

 

 

 

 

 

 

 

 

 

 

 

 

 

3.2.

գյուղատնտ. արտադր.

 

12.31

 

 

12.31

 

 

 

 

 

 

 

 

3.3.

պահեստարանների

 

0.09

 

 

0.09

 

 

 

 

 

 

 

 

3.4.

ընդերքօգտագոր.

 

35.14

 

 

35.14

 

 

 

 

 

 

 

 

3.

Ընդամենը

 

47.54

 

 

47.54

 

 

 

 

 

 

 

 

4.1.

4. Էներ-
գե-
տիկայի,
տրանս-
պորտի,
կապի

էներգետիկայի

 

0.04

 

 

0.04

 

 

 

 

 

 

 

 

4.2.

կապի

 

0.01

 

 

0.01

 

 

 

 

 

 

 

 

4.3.

տրանսպորտի

 

15.03

 

 

 

 

 

 

15.03

 

 

 

 

4.4.

կոմուն. ենթակառ.

 

 

 

 

 

 

 

 

 

 

 

 

 

4.

Ընդամենը

 

15.08

 

 

0.05

 

 

 

15.03

 

 

 

 

5.1.

5. Հա-
տուկ
պահ-
պան-
վող
տա-
րածք-
ների

Բնապահպան.

129.01

 

 

 

 

 

 

129.01

 

 

 

 

 

5.1.1.

այդ թվում` արգելոց.

 

 

 

 

 

 

 

 

 

 

 

 

 

5.1.2.

արգելավայրեր

129.01

 

 

 

 

 

 

129.01

 

 

 

 

 

5.1.3.

ազգային պարկ

 

 

 

 

 

 

 

 

 

 

 

 

 

5.2.

առողջարարակ.

 

 

 

 

 

 

 

 

 

 

 

 

 

5.3.

հանգստի

 

 

 

 

 

 

 

 

 

 

 

 

 

5.4.

պատմ. և մշակութ.

18.92

 

 

 

 

 

 

18.92

 

 

 

 

 

5.

ընդամենը

147.93

 

 

 

 

 

 

 

 

 

 

 

 

6.

6. Հա-
տուկ նշանա-
կության

Ընդամենը

 

0.24

 

 

 

 

 

 

0.24

 

 

 

 

7.1.

7. Անտա-
ռային

անտառ

 

156.80

 

 

 

 

 

 

 

 

 

 

 

7.2.

թփուտ

 

 

 

 

 

 

 

 

 

 

 

 

 

7.3.

վարելահող

 

 

 

 

 

 

 

 

 

 

 

 

 

7.4.

խոտհարք

 

 

 

 

 

 

 

 

 

 

 

 

 

7.5.

արոտ

 

 

 

 

 

 

 

 

 

 

 

 

 

7.6.

այլ հողեր

 

 

 

 

 

 

 

 

 

 

 

 

 

7.

Ընդամենը

 

 

 

 

 

 

 

 

 

 

 

 

 

8.1.

8. Ջրա-
յին

գետեր

 

37.98

 

 

 

 

 

 

37.98

 

 

 

 

8.2.

ջրամբարներ

 

 

 

 

 

 

 

 

 

 

 

 

 

8.3.

լճեր

 

 

 

 

 

 

 

 

 

 

 

 

 

8.4.

ջրանցքներ

 

2.94

 

 

2.02

 

 

 

0.92

 

 

 

 

8.5.

հգտ. և ջր. այլ օբ.

 

6.20

 

 

0.74

 

 

 

5.46

 

 

 

 

8.

Ընդամենը

 

47.12

 

 

2.76

 

 

 

44.36

 

 

 

 

9.1.

9. Պա-
հուս-
տային

աղուտներ

 

 

 

 

 

 

 

 

 

 

 

 

 

9.2.

ավազուտներ

 

 

 

 

 

 

 

 

 

 

 

 

 

9.3.

ճահիճներ

 

 

 

 

 

 

 

 

 

 

 

 

 

9.4.

 

 

 

 

 

 

 

 

 

 

 

 

 

 

9.5.

այլ անօգտագործելի հողեր

 

 

 

 

 

 

 

 

 

 

 

 

 

9.

ընդամենը

 

 

 

 

 

 

 

 

 

 

 

 

 

ԸՆԴԱՄԵՆԸ` ՀՈՂԵՐ
(1+2+3+4+5+6+7+8+9) 

 

 

 

 

 

 

 

147.93

 

 

 

 

 

(հավելվածը խմբ. 23.09.09 N 1100-Ն)

Հայաստանի Հանրապետության
կառավարության աշխատակազմի
ղեկավար-նախարար
Մ. Թոփուզյան

 

Հավելված N 9
ՀՀ կառավարության 2005 թվականի
սեպտեմբերի 22-ի N 1825-Ն որոշման

Հ Ա Շ Վ Ե Տ Վ ՈՒ Թ Յ ՈՒ Ն

ՀԱՅԱՍՏԱՆԻ ՀԱՆՐԱՊԵՏՈՒԹՅԱՆ ՎԱՅՈՑ ՁՈՐԻ ՄԱՐԶԻ ԱՐԵՆԻԻ ԳՅՈՒՂԱԿԱՆ ՀԱՄԱՅՆՔԻ ՈՌՈԳՎՈՂ ՀՈՂԵՐԻ ԱՌԿԱՅՈՒԹՅԱՆ ԵՎ ԲԱՇԽՄԱՆ ՄԱՍԻՆ

Հայաստանի Հանրապետության
կառավարության աշխատակազմի
ղեկավար-նախարար
Մ. Թոփուզյան

Փոփոխման պատմություն
Փոփոխող ակտ Համապատասխան ինկորպորացիան
23.09.2009, N 1100-Ն 22.09.2005, N 1825-Ն
Փոփոխված ակտ
Փոփոխող ակտ Համապատասխան ինկորպորացիան