ՀՀ ԿԱՌԱՎԱՐՈՒԹՅԱՆ ՈՐՈՇՈՒՄԸ ՀՀ ԱՐՄԱՎԻՐԻ ՄԱՐԶԻ ՎԱՂԱՐՇԱՊԱՏԻ ՔԱՂԱՔԱՅԻՆ ՀԱՄԱՅՆՔԻ ՎԱՐՉԱԿԱՆ ՍԱՀՄԱՆՆԵՐՈՒՄ ԳՏՆՎՈՂ` ՊԵՏԱԿԱՆ ՍԵՓԱԿԱՆՈՒԹՅՈՒՆ ՀԱՆԴԻՍԱՑՈՂ ՀՈՂԱՄԱՍԵՐՆ ԱՆՀԱՏՈՒՅՑ ՍԵՓԱԿԱՆՈՒԹՅԱՆ ԻՐԱՎՈՒՆՔՈՎ ՀԱՄԱՅՆՔԻՆ ՓՈԽԱՆՑԵԼՈՒ ՄԱՍԻՆ

Գլխավոր տեղեկություն
Համար
N 1109-Ն
Տիպ
Որոշում
Ակտի տիպ
Պաշտոնական Ինկորպորացիա (08.12.2005-15.02.2007)
Կարգավիճակ
Գործում է
Սկզբնաղբյուր
ՀՀՊՏ 2005.09.09/57.1 Հոդ.1121.19
Ընդունող մարմին
ՀՀ կառավարություն
Ընդունման ամսաթիվ
14.07.2005
Ստորագրող մարմին
ՀՀ վարչապետ
Ստորագրման ամսաթիվ
03.08.2005
Վավերացնող մարմին
ՀՀ Նախագահ
Վավերացման ամսաթիվ
10.08.2005
Ուժի մեջ մտնելու ամսաթիվ
10.09.2005

«Վավերացնում եմ»
Հայաստանի Հանրապետության
Նախագահ Ռ. Քոչարյան
10 օգոստոսի 2005 թ.

ՀԱՅԱՍՏԱՆԻ ՀԱՆՐԱՊԵՏՈՒԹՅԱՆ ԿԱՌԱՎԱՐՈՒԹՅՈՒՆ

Ո Ր Ո Շ ՈՒ Մ

14 հուլիսի 2005 թվականի N 1109-Ն

ՀԱՅԱՍՏԱՆԻ ՀԱՆՐԱՊԵՏՈՒԹՅԱՆ ԱՐՄԱՎԻՐԻ ՄԱՐԶԻ ՎԱՂԱՐՇԱՊԱՏԻ ՔԱՂԱՔԱՅԻՆ ՀԱՄԱՅՆՔԻ ՎԱՐՉԱԿԱՆ ՍԱՀՄԱՆՆԵՐՈՒՄ ԳՏՆՎՈՂ` ՊԵՏԱԿԱՆ ՍԵՓԱԿԱՆՈՒԹՅՈՒՆ ՀԱՆԴԻՍԱՑՈՂ ՀՈՂԱՄԱՍԵՐՆ ԱՆՀԱՏՈՒՅՑ ՍԵՓԱԿԱՆՈՒԹՅԱՆ ԻՐԱՎՈՒՆՔՈՎ ՀԱՄԱՅՆՔԻՆ ՓՈԽԱՆՑԵԼՈՒ ՄԱՍԻՆ

Հայաստանի Հանրապետության հողային օրենսգրքի 34-րդ ու 56-րդ և «Տեղական ինքնակառավարման մասին» Հայաստանի Հանրապետության օրենքի 47-րդ ու 84-րդ  հոդվածների պահանջներին համապատասխան` Հայաստանի Հանրապետության կառավարությունը որոշում է.

1. Հայաստանի Հանրապետության Արմավիրի մարզի Վաղարշապատի քաղաքային  համայնքի վարչական սահմաններում գտնվող՝ պետական սեփականություն հանդիսացող 1756.91 հեկտար հողամասերից 1448.2 հեկտարը, որից՝ գյուղատնտեսական նշանակության՝ 767.42 հեկտար, բնակավայրերի հողերի՝ 328.27 հեկտար, արդյունաբերության, ընդերքօգտագործման և այլ արտադրական նշանակության օբյեկտների՝ 287.35 հեկտար, էներգետիկայի, տրանսպորտի, կապի և կոմունալ ենթակառուցվածքների օբյեկտների՝ 9.16 հեկտար, հատուկ պահպանվող տարածքների՝ 52.3 հեկտար, ջրային հողերի՝ 3.7 հեկտար, անհատույց սեփականության իրավունքով փոխանցել Վաղարշապատի քաղաքային  համայնքին՝ համաձայն NN 1, 2, 3 և 4 հավելվածների:

(1-ին կետը փոփ. 15.11.05 N 1975-Ն)

2. Սահմանել, որ Հայաստանի Հանրապետության  հողային օրենսգրքի 60-րդ հոդվածի պահանջներին  համապատասխան՝

ա) Հայաստանի Հանրապետության Արմավիրի մարզի Վաղարշապատի քաղաքային համայնքին անհատույց սեփականության իրավունքով փոխանցվող 1448.2 հեկտար հողերից 402.39 հեկտարը մասնավորեցման ենթակա չէ.

բ) Հայաստանի Հանրապետության Արմավիրի մարզի Վաղարշապատի քաղաքային համայնքի վարչական սահմաններում գտնվող  հողերից 306.57 հեկտարը համարվում է պետական սեփականություն՝ համաձայն N 5 հավելվածի:

(2-րդ կետը փոփ. 15.11.05 N 1975-Ն)

3. Ընդունել ի գիտություն Հայաստանի Հանրապետության Արմավիրի մարզի Վաղարշապատի քաղաքային համայնքի հողային ֆոնդի առկայության և բաշխման մասին հաշվետվությունը՝ 2005 թվականի հունվարի 1-ի դրությամբ՝ համաձայն NN 6 և 7 հավելվածների:

3.1 Պետական սեփականություն հանդիսացող 2.14 հեկտար բնակավայրերի նշանակության զբոսայգին և նրա զբաղեցրած հողամասը նվիրաբերել Հայաստանյայց Առաքելական եկեղեցուն (առանց կառուցապատման և հետագա օտարման իրավունքի)` բարեկարգման, հասարակական հանգստի և հոգևոր-մշակութային կյանքի կազմակերպման նպատակով:

(31 կետը լրաց. 15.11.05 N 1975-Ն)

4. Հայաստանի Հանրապետության կառավարությանն առընթեր անշարժ գույքի կադաստրի պետական կոմիտեի նախագահին` սահմանված կարգով  ապահովել սկզբնական հաշվառման նյութերի տրամադրումը Հայաստանի Հանրապետության Արմավիրի մարզի Վաղարշապատի քաղաքային համայնքի ղեկավարին՝ հողերի ընթացիկ հաշվառումն անցկացնելու և համայնքի հողային հաշվեկշիռը կազմելու համար:

5. Թույլատրել Հայաստանի Հանրապետության կառավարությանն առընթեր անշարժ գույքի կադաստրի պետական կոմիտեի նախագահին Հայաստանի Հանրապետության պետական գեոդեզիական ցանցի հավասարակշռման արդյունքների հիման վրա Հայաստանի Հանրապետության վարչատարածքային միավորների սահմանանիշերի կոորդինատների ժողովածուի հրատարակումից հետո հողային ֆոնդի ընթացիկ հաշվառման ժամանակ Հայաստանի Հանրապետության Արմավիրի մարզի Վաղարշապատի քաղաքային համայնքի հողային հաշվեկշռում սահմանված կարգով կատարել համապատասխան փոփոխություններ:

6. Հայաստանի Հանրապետության Արմավիրի մարզպետին՝ Հայաստանի Հանրապետության կառավարության 2000 թվականի հոկտեմբերի 23-ի N 656 որոշմամբ սահմանված կարգով՝ սկզբնական հաշվառման տվյալների հիման վրա ապահովել մարզի տարածքում ընթացիկ հաշվառման աշխատանքների իրականացումը:

7. Սույն որոշումն ուժի մեջ է մտնում պաշտոնական հրապարակմանը հաջորդող օրվանից։


Հայաստանի Հանրապետության
վարչապետ

Ա. Մարգարյան


2005 թ. օգոստոսի 3
Երևան


Հավելված N 1
ՀՀ կառավարության 2005 թվականի
հուլիսի 14-ի N 1109-Ն որոշման

ՀԱՅԱՍՏԱՆԻ ՀԱՆՐԱՊԵՏՈՒԹՅԱՆ ԱՐՄԱՎԻՐԻ ՄԱՐԶԻ ՎԱՂԱՐՇԱՊԱՏԻ ՔԱՂԱՔԱՅԻՆ ՀԱՄԱՅՆՔԻ ՀՈՂԱՇԻՆԱՐԱՐԱԿԱՆ ՀԱՏԱԿԱԳԻԾԸ


Հայաստանի Հանրապետության
կառավարության աշխատակազմի
ղեկավար-նախարար
Մ. Թոփուզյան

Հավելված N 2
ՀՀ կառավարության 2005 թվականի
հուլիսի 14-ի N 1109-Ն որոշման

Ա Ն Վ Ա Ն Ա Ց Ա Ն Կ

ՀԱՅԱՍՏԱՆԻ ՀԱՆՐԱՊԵՏՈՒԹՅԱՆ ԱՐՄԱՎԻՐԻ ՄԱՐԶԻ ՎԱՂԱՐՇԱՊԱՏ ՔԱՂԱՔԻ ՎԱՐՉԱԿԱՆ ՍԱՀՄԱՆՆԵՐՈՒՄ ԳՏՆՎՈՂ` ՊԵՏԱԿԱՆ ՍԵՓԱԿԱՆՈՒԹՅՈՒՆ ՀԱՆԴԻՍԱՑՈՂ ՀՈՂԵՐԻՑ ՎԱՂԱՐՇԱՊԱՏ ՔԱՂԱՔԻՆ ԱՆՀԱՏՈՒՅՑ ՓՈԽԱՆՑՎՈՂ ՀՈՂԵՐԻ

Պայմանական նշանները

Հողերի նպատակային նշանակությունը

Համայնքի սեփականությունը հանդիսացող հողերը

Պետական սեփականություն
հանդիսացող
հողերը

ընդամենը

որից` չմասնավորեցվող

 

Գյուղատնտեսական

767.42

181.43

125.22

 

Բնակավայրերի

328.27

163.96

33.53

 

Արդյունաբերության, ընդերքօգտագործնան և այլ արտադրական նշանակության օբյեկտների

287.35

 

 
 

էներգետիկայի, տրանսպորտի, կապի և կոմունալ
ենթակառուցվածքների օբյեկտների

9.16

1.00

66.42

 

Հատուկ պահպանվող տարածքների

52.30

52.30

14.87

 

Հատուկ նշանակության

   

38.12

 

Անտառային

   

7.12

 

Ջրային

3.70

3.70 

21.29

 

Պահուստային

 

   
 

Ընդամենը

1448.2

402.39

306.57

(Հավելվածը խմբ. 15.11.05 N 1975-Ն)

Հայաստանի Հանրապետության
կառավարության աշխատակազմի
ղեկավար-նախարար
Մ. Թոփուզյան


Հավելված N 3
ՀՀ կառավարության 2005 թվականի
հուլիսի 14-ի N 1109-Ն որոշման

Ց Ա Ն Կ

ՀԱՅԱՍՏԱՆԻ ՀԱՆՐԱՊԵՏՈՒԹՅԱՆ ԱՐՄԱՎԻՐԻ ՄԱՐԶԻ ՎԱՂԱՐՇԱՊԱՏ ՔԱՂԱՔԻ ՎԱՐՉԱԿԱՆ ՍԱՀՄԱՆՆԵՐՈՒՄ ԳՏՆՎՈՂ` ՊԵՏԱԿԱՆ ՍԵՓԱԿԱՆՈՒԹՅՈՒՆ ՀԱՆԴԻՍԱՑՈՂ ՀՈՂԵՐԻՑ ՎԱՂԱՐՇԱՊԱՏ ՔԱՂԱՔԻՆ ԱՆՀԱՏՈՒՅՑ ՓՈԽԱՆՑՎՈՂ ՀՈՂԵՐԻ

Կադաստրային ծածկագիրը

Գյուղատնտեսական նշանակության հողերը

Ծանոթագրություն

 

վարելահող 

պտղատու այգի

խաղողի
այգի

խոտհարք

արոտ

այլ հողա-
տեսքեր

 

1

2

3

4

5

6

7

8

 

079-001

 

 

 

 

 

0.12

 

 

079-002

 

 

 

 

 

0.02

 

 

079-003

 

 

 

 

 

0.004

 

 

079-005

 

 

 

 

 

0.07

 

 

080-007

 

 

 

 

 

0.05

 

 

1001-04

 

 

 

 

 

0.07

 

 

1001-64

 

 

 

 

 

0.001

 

 

101-001

 

 

 

 

 

2.50

 

 

101-006

 

 

 

 

 

1.37

 

 

1012-01

 

 

 

 

 

0.96

 

 

1017-01

13.28

 

 

 

 

 

 

 

1017-02

 

 

 

 

 

1.44

 

 

1017-03

 

 

 

 

 

0.11

 

 

1018-12

 

 

 

 

 

0.62

դաշտային ճանապարհ

.չմ

1019-11

 

 

 

 

 

0.26

դաշտային ճանապարհ

.չմ

1020-00

 

 

 

 

 

0.27

դաշտային ճանապարհ

.չմ

102-007

 

 

 

 

 

 

 

 

102-025

 

 

 

 

 

2.41

 

 

1021-10

 

 

 

 

 

2.52

 

 

1022-06

 

 

 

 

 

0.45

 

 

1023-05

 

 

 

 

 

0.62

 

 

1025-13

 

 

 

 

 

0.74

 

 

1026-09

 

 

 

 

 

5.05

 

 

1029-09

 

 

 

 

 

0.07

դաշտային ճանապարհ

.չմ

103-001

 

 

 

 

 

 34.62

 

 

1030-05

 

 

 

 

 

0.05

դաշտային ճանապարհ

.չմ

103-015

 

 

 

 

 

 68.60

 

 

1031-03

 

 

 

 

 

0.04

դաշտային ճանապարհ

.չմ

1031-05

 

 

 

 

 

0.48

դաշտային ճանապարհ

.չմ

104-001

 

 

 

 

 

0.61

 

 

104-026

 

 

 

 

 

0.11

 

 

104-028

 

 

 

 

 

4.66

 

 

104-029

 

 

 

 

 

0.22

 

 

1042-01

 

 

 

 

 

1.18

դաշտային ճանապարհ

.չմ

1042-02

 85.60

 

 

 

 

 

 

 

1042-02

 

 

 

 

 

0.44

 

 

1046-03

 

 

 

 

 

 0.004

 

 

1046-04

 

 

 

 

 

0.01

 

 

1046-05

 

 

 

 

 

0.06

 

 

1046-06

 

 

 

 

 

0.05

 

 

1046-07

 

 

 

 

 

0.04

 

 

1047-108

 

 

 

 

 

0.27

 

 

1047-109

 

 

 

 

 

0.09

 

 

1047-162

 

 

 

 

 

0.02

 

 

1047-163

 

 

 

 

 

0.02

 

 

1047-01

 

 

 

 

 

3.72

 

 

1047-84

 

 

 

 

 

0.83

 

 

1049-04

 

 

 

 

 

0.13

 

 

1051-03

 

 

 

 

 

0.02

դաշտային ճանապարհ

.չմ

1051-05

 

 

 

 

 

0.04

դաշտային ճանապարհ

.չմ

1052-02

1.92

 

 

 

 

 

 

 

1052-04

 

 

 

 

 

0.97

 

 

1052-06

 

 

 

 

 

0.49

 

 

1052-07

 

 

 

 

 

0.22

 

 

1052-10

 

 

 

 

 

0.02

 

 

1053-03

4.02

 

 

 

 

 

 

 

1053-09

 

 

 

 

 

0.05

 

 

1053-15

 

 

 

 

 

0.11

դաշտային ճանապարհ

.չմ

1053-17

 

 

 

 

 

0.39

դաշտային ճանապարհ

.չմ

1053-18

 

 

 

 

 

0.19

դաշտային ճանապարհ

.չմ

1053-19

1.92

 

 

 

 

 

 

 

1055-01

0.04

 

 

 

 

 

 

 

1055-03

0.08

 

 

 

 

 

 

 

1055-04

 

 

 

 

 

0.01

դաշտային ճանապարհ

.չմ

1055-06

 

 

 

 

 

0.01

դաշտային ճանապարհ

.չմ

1055-07

0.08

 

 

 

 

 

 

 

1055-08

0.05

 

 

 

 

 

 

 

1055-09

0.04

 

 

 

 

 

 

 

1055-10

0.04

 

 

 

 

 

 

 

1055-11

0.04

 

 

 

 

 

 

 

1055-12

0.04

 

 

 

 

 

 

 

1055-13

0.04

 

 

 

 

 

 

 

1055-14

0.04

 

 

 

 

 

 

 

1055-15

0.04

 

 

 

 

 

 

 

1055-16

0.04

 

 

 

 

 

 

 

1055-17

0.06

 

 

 

 

 

 

 

1055-18

0.03

 

 

 

 

 

 

 

1055-19

 

 

 

 

 

 0.01

դաշտային ճանապարհ

.չմ

1056-06

 

 

 

 

 

 0.81

 

 

1056-11

0.01

 

 

 

 

 

 

 

1056-12

 

 

 

 

 

1.04

 

 

1056-12

 

 

 

 

 

0.22

դաշտային ճանապարհ

.չմ

1056-13

 

 

 

 

 

0.13

դաշտային ճանապարհ

.չմ

1057-03

1.99

 

 

 

 

 

 

 

1057-04

2.20

 

 

 

 

 

 

 

1058-09

 

 

 

 

 

0.11

 

 

1059-05

 

 

 

 

 

0.22

դաշտային ճանապարհ

.չմ

1059-06

 

 

 

 

 

0.12

 

 

106-002

 

 

 

 

 

0.03

 

 

106-004

 

 

 

 

 

0.09

 

 

1060-06

 

 

 

 

 

0.11

դաշտային ճանապարհ

.չմ

1060-07

 

 

 

 

 

0.49

դաշտային ճանապարհ

.չմ

106-011

 

 

 

 

 

0.02

 

 

1060-20

 

 

 

 

 

0.46

 

 

1060-21

 

 

 

 

 

0.15

դաշտային ճանապարհ

.չմ

1061-04

 

 

 

 

 

0.15

դաշտային ճանապարհ

.չմ

1061-11

 

 

 

 

 

0.34

 

 

1061-12

 

 

 

 

 

0.55

դաշտային ճանապարհ

.չմ

1061-23

 

 

 

 

 

0.08

դաշտային ճանապարհ

.չմ

1062-11-01

 

 

 

 

 

2.24

 

 

1062-11-02

6.20

 

 

 

 

 

 

 

1062-14

3.02

 

 

 

 

 

 

 

1062-17

 

 

 

 

 

1.84

դաշտային ճանապարհ

.չմ

1063-01

4.79

 

 

 

 

 

 

 

1063-01-04

 

 

 

 

 

4.19

 

 

1063-02-01

4.61

 

 

 

 

 

 

 

1063-02-02

7.25

 

 

 

 

 

 

 

1063-02-03

4.63

 

 

 

 

 

 

 

1063-04-01

6.59

 

 

 

 

 

 

 

1063-04-02

8.03

 

 

 

 

 

 

 

1063-04-03

 

 

 

 

 

2.75

 

 

1063-04-04

 

 

 

 

 

1.95

 

 

1063-04-05

 

 

 

 

 

0.35

 

 

1064-01-01

3.90

 

 

 

 

 

 

 

113-001

 

 

 

 

 

0.40

 

 

114-009

 

 

 

 

 

0.02

 

 

115-001

 

 

 

 

 

1.61

 

 

116-011

 

 

 

 

 

0.09

 

 

117-004

 

 

 

 

 

0.09

 

 

117-018

 

 

 

 

 

0.08

 

 

117-019

 

 

 

 

 

0.08

 

 

118-001

 

 

 

 

 

0.17

 

 

118-011

 

 

 

 

 

0.68

 

 

118-015

 

 

 

 

 

0.12

 

 

118-028

 

 

 

 

 

0.04

 

 

119-001

 

 

 

 

 

0.16

 

 

120-001

 

 

 

 

 

0.16

 

 

121-008

 

 

 

 

 

0.11

 

 

122-013

 

 

 

 

 

0.06

 

 

123-013

 

 

 

 

 

0.06

 

 

124-013

 

 

 

 

 

0.07

 

 

125-001

 

 

 

 

 

0.07

 

 

128-001

 

 

 

 

 

0.13

 

 

129-001

 

 

 

 

 

0.34

 

 

1297-01

 

 

 

 

 

0.21

դաշտային ճանապարհ

.չմ

1298-02

 

 

 

 

 

0.42

դաշտային ճանապարհ

.չմ

130-003

 

 

 

 

 

0.03

 

 

1302-01

 

 

 

 

 

0.12

դաշտային ճանապարհ

.չմ

1303-01

 

 

 

 

 

0.13

դաշտային ճանապարհ

.չմ

1304-01

 

 

 

 

 

0.11

դաշտային ճանապարհ

.չմ

1305-01

 

 

 

 

 

0.40

դաշտային ճանապարհ

.չմ

1306-01

 

 

 

 

 

0.10

դաշտային ճանապարհ

.չմ

1307-01

 

 

 

 

 

0.29

դաշտային ճանապարհ

.չմ

1308-01

 

 

 

 

 

0.07

դաշտային ճանապարհ

.չմ

1309-01

 

 

 

 

 

0.07

դաշտային ճանապարհ

.չմ

1310-01

 

 

 

 

 

0.22

դաշտային ճանապարհ

.չմ

131-003

 

 

 

 

 

0.04

 

 

1311-01

 

 

 

 

 

0.21

դաշտային ճանապարհ

.չմ

1315-01

 

 

 

 

 

0.42

դաշտային ճանապարհ

.չմ

1318-01

 

 

 

 

 

0.03

դաշտային ճանապարհ

.չմ

1319-01

 

 

 

 

 

0.36

 

 

1319-01

 

 

 

 

 

0.04

 

 

1320-01

 

 

 

 

 

0.12

 

 

132-003

 

 

 

 

 

0.04

 

 

1323-01

 

 

 

 

 

0.18

դաշտային ճանապարհ

.չմ

1327-01

 

 

 

 

 

0.15

դաշտային ճանապարհ

.չմ

1329-01

 

 

 

 

 

0.09

 

 

1329-02

 

 

 

 

 

0.66

դաշտային ճանապարհ

.չմ

1329-04

 

 

 

 

 

0.30

դաշտային ճանապարհ

.չմ

1329-05

 

 

 

 

 

0.03

 

 

133-002

 

 

 

 

 

0.05

 

 

1330-02

 

 

 

 

 

0.37

 

 

1330-03

 

 

 

 

 

0.17

 

 

1330-04

 

 

 

 

 

0.40

 

 

1330-16

 

 

 

 

 

 

 

 

1330-17

 

 

 

 

 

 

 

 

1331-01

 

 

 

 

 

0.16

դաշտային ճանապարհ

.չմ

1332-01

 

 

 

 

 

0.11

դաշտային ճանապարհ

.չմ

1333-01

 

 

 

 

 

0.11

դաշտային ճանապարհ

.չմ

1334-01

 

 

 

 

 

0.36

դաշտային ճանապարհ

.չմ

1335-01

 

 

 

 

 

0.73

դաշտային ճանապարհ

.չմ

1336-01

 

 

 

 

 

1.49

դաշտային ճանապարհ

.չմ

1337-01

 

 

 

 

 

0.13

դաշտային ճանապարհ

.չմ

1339-01

 

 

 

 

 

0.16

դաշտային ճանապարհ

.չմ

1340-01

 

 

 

 

 

0.07

դաշտային ճանապարհ

.չմ

1341-01

 

 

 

 

 

0.35

դաշտային ճանապարհ

.չմ

1341-02

 

 

 

 

 

0.62

դաշտային ճանապարհ

.չմ

1342-01

 

 

 

 

 

0.26

դաշտային ճանապարհ

.չմ

1343-01

 

 

 

 

 

0.47

դաշտային ճանապարհ

.չմ

1343-02

 

 

 

 

 

0.46

դաշտային ճանապարհ

.չմ

1064-01-02

2.34

 

 

 

 

 

 

 

1064-01-03

4.81

 

 

 

 

 

 

 

1064-01-04

5.69

 

 

 

 

 

 

 

1064-01-05

3.43

 

 

 

 

 

 

 

1064-01-06

1.63

 

 

 

 

 

 

 

1064-01-07

0.54

 

 

 

 

 

 

 

1064-01-08

 

 

 

 

 

7.90

 

 

1064-05

 

 

 

 

 

0.82

դաշտային ճանապարհ

.չմ

1065-03

 

 

 

 

 

1.10

 

 

1066-03

 

 

 

 

 

1.60

դաշտային ճանապարհ

.չմ

107-001

 

 

 

 

 

0.64

 

 

1071-01

6.61

 

 

 

 

 

 

 

1075-01

7.49

 

 

 

 

 

 

 

1076-03

 

 

 

 

 

1.27

 

 

1077-11

 

 

 

 

 

2.68

 

 

1077-16

5.22

 

 

 

 

 

 

 

1078-01

14.98

 

 

 

 

 

 

 

1079-02

 

 

 

 

 

1.03

 

 

108-008

 

 

 

 

 

0.82

 

 

108-032

 

 

 

 

 

0.22

 

 

1084-04

 

 

 

 

 

0.01

 

 

1084-05-01

 

 

 

 

 

0.80

 

 

1084-07

 

 

 

 

 

0.05

դաշտային ճանապարհ

.չմ

1084-09

 

 

 

 

 

0.57

 

 

1084-10

 

 

 

 

 

0.49

 

 

1084-12

 

 

 

 

 

0.29

դաշտային ճանապարհ

.չմ

1084-13

 

 

 

 

 

0.01

դաշտային ճանապարհ

.չմ

1084-18

 

 

 

 

 

0.10

 

 

1084-19

 

 

 

 

 

0.19

դաշտային ճանապարհ

.չմ

1084-20

 

 

 

 

 

0.09

դաշտային ճանապարհ

.չմ

1084-22

 

 

 

 

 

0.01

 

 

1084-23

 

 

 

 

 

0.23

 

 

1084-24

 

 

 

 

 

0.02

դաշտային ճանապարհ

.չմ

1084-26

 

 

 

 

 

0.03

դաշտային ճանապարհ

.չմ

1084-28

 

 

 

 

 

0.02

դաշտային ճանապարհ

.չմ

1084-30

 

 

 

 

 

0.07

դաշտային ճանապարհ

.չմ

1084-31

 

 

 

 

 

0.11

 

 

1084-32

 

 

 

 

 

0.06

 

 

1084-33

 

 

 

 

 

0.05

 

 

1085-02

 

 

 

 

 

0.40

 

 

1085-06

 

 

 

 

9.57

 

 

 

1085-17

 

 

 

 

 

1.33

դաշտային ճանապարհ

.չմ

1085-28

 

 

 

 

 

0.55

 

 

1085-36

 

 

 

 

 

0.02

դաշտային ճանապարհ

.չմ

1085-37

 

 

 

 

 

0.64

դաշտային ճանապարհ

.չմ

1085-38

 

 

 

 

 

0.23

 

 

1085-39

 

 

 

 

 

0.05

դաշտային ճանապարհ

.չմ

1085-40

 

 

 

 

 

0.23

դաշտային ճանապարհ

.չմ

1085-41

 

 

 

 

 

0.27

դաշտային ճանապարհ

.չմ

1085-42

 

 

 

 

 

0.85

դաշտային ճանապարհ

.չմ

1085-43

 

 

 

 

 

0.02

դաշտային ճանապարհ

.չմ

1085-44

 

 

 

 

 

0.10

դաշտային ճանապարհ

.չմ

1085-47

 

 

 

 

 

0.49

 

 

1085-48

 

 

 

 

 

0.02

 

 

1085-49

 

 

 

 

 

0.03

 

 

1085-50

 

 

 

 

 

0.02

դաշտային ճանապարհ

.չմ

1085-51

 

 

 

 

 

0.26

 

 

1085-52

 

 

 

 

 

0.01

դաշտային ճանապարհ

.չմ

1085-53

 

 

 

 

 

0.07

 

 

1085-54

 

 

 

 

 

0.01

դաշտային ճանապարհ

.չմ

1085-55

 

 

 

 

 

0.09

 

 

1085-56

 

 

 

 

 

0.04

 

 

1086-01

 

 

 

 

 

0.10

 

 

1086-02

 

 

 

 

 

0.01

 

 

1087-01

 

 

 

 

 

0.10

 

 

109-002

 

 

 

 

 

0.31

 

 

1343-03

 

 

 

 

 

0.24

 

 

1343-04

 

 

 

 

 

2.10

դաշտային ճանապարհ

.չմ

1343-06

 

 

 

 

 

1.17

դաշտային ճանապարհ

.չմ

1345-01

 

 

 

 

 

0.55

դաշտային ճանապարհ

.չմ

1345-03

 

 

 

 

 

0.97

դաշտային ճանապարհ

.չմ

1345-04

 

 

 

 

 

0.08

դաշտային ճանապարհ

.չմ

1355-01

 

 

 

 

 

0.48

դաշտային ճանապարհ

.չմ

1357-01

 

 

 

 

 

0.46

դաշտային ճանապարհ

.չմ

1358-01

 

 

 

 

 

0.36

դաշտային ճանապարհ

.չմ

1359-01

 

 

 

 

 

0.51

դաշտային ճանապարհ

.չմ

1376-01

 

 

 

 

 

0.60

դաշտային ճանապարհ

.չմ

1377-01

 

 

 

 

 

0.20

դաշտային ճանապարհ

.չմ

1407-01

 

 

 

 

 

0.94

դաշտային ճանապարհ

.չմ

141-001

 

 

 

 

 

0.90

 

 

1416-02

 

 

 

 

 

0.001

 

 

1416-08

 

 

 

 

 

3.34

 

 

1416-12

 

 

 

 

 

0.07

 

 

1416-13

 

 

 

 

 

0.05

 

 

1417-01

 

 

 

 

 

0.06

դաշտային ճանապարհ

.չմ

1419-01

 

 

 

 

 

0.61

դաշտային ճանապարհ

.չմ

1419-02

 

 

 

 

 

0.31

դաշտային ճանապարհ

.չմ

142-005

 

 

 

 

 

0.06

 

 

1421-01

 

 

 

 

 

0.82

դաշտային ճանապարհ

.չմ

1423-03

 

 

 

 

 

0.08

 

 

1423-06

 

 

 

 

 

0.05

 

 

143-001

 

 

 

 

 

0.18

 

 

1430-01

 

 

 

 

 

0.02

դաշտային ճանապարհ

.չմ

1430-02

 

 

 

 

 

0.19

 

 

1430-03

 

 

 

 

 

0.02

 

 

1430-04

 

 

 

 

 

0.69

դաշտային ճանապարհ

.չմ

1430-05

 

 

 

 

 

0.28

 

 

1430-07

 

 

 

 

 

0.98

դաշտային ճանապարհ

.չմ

1430-08

 

 

 

 

 

0.91

 

 

143-012

 

 

 

 

 

0.08

 

 

1435-01

 

 

 

 

 

0.05

դաշտային ճանապարհ

.չմ

144-001

 

 

 

 

 

0.09

 

 

144-014

 

 

 

 

 

0.34

 

 

146-017

 

 

 

 

 

0.12

 

 

147-001

 

 

 

 

 

0.37

 

 

147-007

 

 

 

 

 

0.06

 

 

147-023

 

 

 

 

 

0.82

 

 

149-002

 

 

 

 

 

1.97

 

 

150-024

 

 

 

 

 

0.15

 

 

151-006

 

 

 

 

 

0.72

 

 

151-018

 

 

 

 

 

0.46

 

 

152-020

 

 

 

 

 

0.84

 

 

152-021

 

 

 

 

 

0.46

 

 

153-001

 

 

 

 

 

0.17

 

 

157-004

 

 

 

 

 

0.02

 

 

158-006

 

 

 

 

 

0.03

 

 

159-001

 

 

 

 

 

0.07

 

 

160-001-01

 

 

 

 

 

1.12

 

 

160-014

 

 

 

 

 

0.01

 

 

161-005

 

 

 

 

 

0.10

 

 

161-043

 

 

 

 

 

0.36

 

 

161-047

 

 

 

 

 

0.02

 

 

161-053

 

 

 

 

 

0.04

 

 

161-059

 

 

 

 

 

0.19

 

 

161-064

 

 

 

 

 

0.27

 

 

161-078

 

 

 

 

 

0.03

 

 

161-079

 

 

 

 

 

0.02

 

 

161-080

 

 

 

 

 

0.19

 

 

161-089

 

 

 

 

 

0.13

 

 

161-090

 

 

 

 

 

0.04

 

 

163-004

 

 

 

 

 

0.18

 

 

163-005

 

 

 

 

 

0.01

 

 

163-006

 

 

 

 

 

0.02

 

 

164-002

 

 

 

 

 

0.09

 

 

165-002

 

 

 

 

 

0.04

 

 

166-003

 

 

 

 

 

0.04

 

 

167-006

 

 

 

 

 

0.31

 

 

167-008

 

 

 

 

 

0.15

 

 

169-001

 

 

 

 

 

0.08

 

 

170-002

 

 

 

 

 

0.07

 

 

174-003

 

 

 

 

 

0.04

 

 

175-001

 

 

 

 

 

3.63

 

 

175-019

 

 

 

 

 

0.08

 

 

176-002

 

 

 

 

 

0.14

 

 

176-015

 

 

 

 

 

0.05

 

 

176-016

 

 

 

 

 

0.21

 

 

177-002

 

 

 

 

 

0.09

 

 

177-015

 

 

 

 

 

0.09

 

 

178-002

 

 

 

 

 

0.03

 

 

178-015

 

 

 

 

 

0.07

 

 

179-001

 

 

 

 

 

2.42

 

 

180-002

 

 

 

 

 

0.64

 

 

180-031

 

 

 

 

 

0.91

 

 

181-001

 

 

 

 

 

1.32

 

 

181-023

 

 

 

 

 

0.16

 

 

181-024

 

 

 

 

 

0.12

 

 

181-029

 

 

 

 

 

0.17

 

 

181-032

 

 

 

 

 

0.26

 

 

181-033

 

 

 

 

 

0.05

 

 

182-001-01

 

 

 

 

 

0.17

 

 

182-004

 

 

 

 

 

0.11

դաշտային ճանապարհ

.չմ

182-008

 

 

 

 

 

0.02

 

 

185-004

 

 

 

 

 

0.25

 

 

186-025

 

 

 

 

 

0.03

 

 

186-026

 

 

 

 

 

0.04

 

 

186-038

 

 

 

 

 

0.30

 

 

186-039

 

 

 

 

 

0.29

 

 

188-005

 

 

 

 

 

0.04

 

 

188-019

 

 

 

 

 

0.15

 

 

191-013

 

 

 

 

 

0.12

 

 

191-014

 

 

 

 

 

0.08

 

 

191-015

 

 

 

 

 

0.06

 

 

191-017

 

 

 

 

 

0.19

 

 

195-001-01

 

 

 

 

 

0.49

 

 

196-023

 

 

 

 

 

1.12

 

 

197-032

 

 

 

 

 

0.22

 

 

198-001

 

 

 

 

 

0.36

 

 

199-048

 

 

 

 

 

0.20

 

 

199-056

 

 

 

 

 

0.27

 

 

199-083

 

 

 

 

 

0.46

 

 

199-084

 

 

 

 

 

0.64

 

 

200-022-01

 

 

 

 

 

1.60

 

 

200-024

 

 

 

 

 

0.11

 

 

200-025

 

 

 

 

 

0.07

 

 

200-029-01

 

 

 

 

 

0.87

 

 

200-031

 

 

 

 

 

0.08

 

 

200-032

 

 

 

 

 

0.45

 

 

200-033

 

 

 

 

 

0.09

 

 

200-034

 

 

 

 

 

0.01

 

 

200-035

 

 

 

 

 

0.19

 

 

2001-01

 

 

 

 

 

1.02

դաշտային ճանապարհ

.չմ

2001-02

 

 

 

 

 

1.34

դաշտային ճանապարհ

.չմ

2002-01

 

 

 

 

 

0.78

դաշտային ճանապարհ

.չմ

2003-01

 

 

 

 

 

0.82

դաշտային ճանապարհ

.չմ

2004-01

 

 

 

 

 

0.29

դաշտային ճանապարհ

.չմ

2005-01

 

 

 

 

 

0.27

դաշտային ճանապարհ

.չմ

2006-01

 

 

 

 

 

0.03

 

 

2006-02

 

 

 

 

 

0.02

 

 

2007-01

 

 

 

 

 

1.66

դաշտային ճանապարհ

.չմ

2008-01

 

 

 

 

 

0.64

դաշտային ճանապարհ

.չմ

2009-01

 

 

 

 

 

0.48

դաշտային ճանապարհ

.չմ

2010-01

 

 

 

 

 

0.49

դաշտային ճանապարհ

.չմ

2011-01

 

 

 

 

 

0.37

դաշտային ճանապարհ

.չմ

2012-01

 

 

 

 

 

2.39

դաշտային ճանապարհ

.չմ

2013-01

 

 

 

 

 

0.42

դաշտային ճանապարհ

.չմ

2014-01

 

 

 

 

 

1.20

դաշտային ճանապարհ

.չմ

2015-01

 

 

 

 

 

0.82

դաշտային ճանապարհ

.չմ

2015-02

 

 

 

 

 

1.00

դաշտային ճանապարհ

.չմ

2015-03

 

 

 

 

 

0.19

դաշտային ճանապարհ

.չմ

2015-04

 

 

 

 

 

0.08

դաշտային ճանապարհ

.չմ

2016-01

 

 

 

 

 

0.36

դաշտային ճանապարհ

.չմ

2017-01

 

 

 

 

 

0.04

դաշտային ճանապարհ

.չմ

2017-02

 

 

 

 

 

0.50

դաշտային ճանապարհ

.չմ

2018-01

 

 

 

 

 

0.15

դաշտային ճանապարհ

.չմ

2019-01

 

 

 

 

 

0.12

դաշտային ճանապարհ

.չմ

2020-01

 

 

 

 

 

0.08

դաշտային ճանապարհ

.չմ

202-038

 

 

 

 

 

0.05

 

 

202-040

 

 

 

 

 

0.11

 

 

202-041

 

 

 

 

 

0.14

 

 

202-042

 

 

 

 

 

0.01

 

 

2021-01

 

 

 

 

 

0.09

դաշտային ճանապարհ

.չմ

2022-01

 

 

 

 

 

1.10

դաշտային ճանապարհ

.չմ

2023-01

 

 

 

 

 

2.58

դաշտային ճանապարհ

.չմ

2024-01

 

 

 

 

 

0.98

դաշտային ճանապարհ

.չմ

2025-01

 

 

 

 

 

0.60

դաշտային ճանապարհ

.չմ

2025-02-01

 

 

 

 

 

0.09

դաշտային ճանապարհ

.չմ

2026-01

 

 

 

 

 

0.30

դաշտային ճանապարհ

.չմ

2027-01

 

 

 

 

 

0.29

դաշտային ճանապարհ

.չմ

2028-01

 

 

 

 

 

0.69

դաշտային ճանապարհ

.չմ

2029-01

 

 

 

 

 

0.13

դաշտային ճանապարհ

.չմ

2030-01

 

 

 

 

 

0.92

դաշտային ճանապարհ

.չմ

2044-01

 

 

 

 

 

0.31

դաշտային ճանապարհ

.չմ

2045-01

 

 

 

 

 

0.41

դաշտային ճանապարհ

.չմ

205-004

 

 

 

 

 

0.08

 

 

205-017

 

 

 

 

 

0.33

 

 

205-018

 

 

 

 

 

0.09

 

 

2103-01

 

 

 

 

 

0.30

դաշտային ճանապարհ

.չմ

2104-01

 

 

 

 

 

0.37

դաշտային ճանապարհ

.չմ

2104-02

 

 

 

 

 

0.02

 

 

2104-03

 

 

 

 

 

0.77

դաշտային ճանապարհ

.չմ

2104-04

4.41

 

 

 

 

 

 

 

2104-05

 

 

 

 

 

0.01

 

 

2104-06

 

 

 

 

 

0.08

 

 

2104-07

 

 

 

 

 

0.51

դաշտային ճանապարհ

.չմ

2121-01

 

 

 

 

 

0.57

դաշտային ճանապարհ

.չմ

2121-02

 

 

 

 

 

0.10

 

 

2131-01

 

 

 

 

 

0.05

դաշտային ճանապարհ

.չմ

2133-01

 

 

 

 

 

0.18

դաշտային ճանապարհ

.չմ

2134-01

 

 

 

 

 

0.06

դաշտային ճանապարհ

.չմ

216-003

 

 

 

 

 

0.05

 

 

216-008

 

 

 

 

 

0.19

 

 

217-010

 

 

 

 

 

0.28

 

 

219-001

 

 

 

 

 

0.11

 

 

223-008

 

 

 

 

 

0.12

 

 

226-018

 

 

 

 

 

0.13

 

 

226-027

 

 

 

 

 

0.04

 

 

227-006

 

 

 

 

 

0.08

 

 

2275-01

 

 

 

 

 

0.12

դաշտային ճանապարհ

.չմ

2277-01

 

 

 

 

 

0.34

դաշտային ճանապարհ

.չմ

2278-01

 

 

 

 

 

0.39

դաշտային ճանապարհ

.չմ

2279-01

 

 

 

 

 

0.31

դաշտային ճանապարհ

.չմ

2280-01

 

 

 

 

 

0.11

դաշտային ճանապարհ

.չմ

228-001-01

 

 

 

 

 

0.50

 

 

2280-02

 

 

 

 

 

0.09

 

 

2298-01

 

 

 

 

 

0.01

 

 

230-014

 

 

 

 

 

0.09

 

 

2309-01

 

 

 

 

 

0.19

դաշտային ճանապարհ

.չմ

2310-01

 

 

 

 

 

0.80

դաշտային ճանապարհ

.չմ

2310-02

 

 

 

 

 

2.85

դաշտային ճանապարհ

.չմ

2311-01

 

 

 

 

 

0.56

դաշտային ճանապարհ

.չմ

2312-01

 

 

 

 

 

0.78

դաշտային ճանապարհ

.չմ

2313-01

 

 

 

 

 

0.04

դաշտային ճանապարհ

.չմ

2314-01

 

 

 

 

 

0.15

դաշտային ճանապարհ

.չմ

2315-01

 

 

 

 

 

0.11

դաշտային ճանապարհ

.չմ

2316-01

 

 

 

 

 

0.06

դաշտային ճանապարհ

.չմ

2317-01

 

 

 

 

 

0.06

դաշտային ճանապարհ

.չմ

2318-01

 

 

 

 

 

0.14

դաշտային ճանապարհ

.չմ

2319-01

 

 

 

 

 

0.07

դաշտային ճանապարհ

.չմ

2320-01

 

 

 

 

 

0.74

դաշտային ճանապարհ

.չմ

2321-01

 

 

 

 

 

1.27

դաշտային ճանապարհ

.չմ

2321-02

 

 

 

 

 

0.38

դաշտային ճանապարհ

.չմ

2322-01

 

 

 

 

 

1.92

դաշտային ճանապարհ

.չմ

2322-02

 

 

 

 

 

0.12

դաշտային ճանապարհ

.չմ

2323-01

 

 

 

 

 

0.24

դաշտային ճանապարհ

.չմ

2324-01

 

 

 

 

 

0.40

դաշտային ճանապարհ

.չմ

2325-01

 

 

 

 

 

0.41

դաշտային ճանապարհ

.չմ

2326-01

 

 

 

 

 

0.11

դաշտային ճանապարհ

.չմ

2327-01

 

 

 

 

 

0.08

դաշտային ճանապարհ

.չմ

2328-01

 

 

 

 

 

0.08

դաշտային ճանապարհ

.չմ

2329-01

 

 

 

 

 

0.17

դաշտային ճանապարհ

.չմ

2330-01

 

 

 

 

 

0.34

դաշտային ճանապարհ

.չմ

2331-01

 

 

 

 

 

0.36

դաշտային ճանապարհ

.չմ

2332-01

 

 

 

 

 

1.83

դաշտային ճանապարհ

.չմ

2333-01

 

 

 

 

 

0.46

դաշտային ճանապարհ

.չմ

2333-02

 

 

 

 

 

0.07

դաշտային ճանապարհ

.չմ

2333-03

 

 

 

 

 

0.11

դաշտային ճանապարհ

.չմ

2334-01

 

 

 

 

 

1.39

դաշտային ճանապարհ

.չմ

2335-01

 

 

 

 

 

0.24

դաշտային ճանապարհ

.չմ

2336-01

 

 

 

 

 

0.53

դաշտային ճանապարհ

.չմ

2337-01

 

 

 

 

 

0.71

դաշտային ճանապարհ

.չմ

2338-01

 

 

 

 

 

0.28

դաշտային ճանապարհ

.չմ

2339-01

 

 

 

 

 

0.13

 

 

2340-01

 

 

 

 

 

0.62

դաշտային ճանապարհ

.չմ

2340-02

 

 

 

 

 

0.18

դաշտային ճանապարհ

.չմ

234-016

 

 

 

 

 

0.11

 

 

2341-01

 

 

 

 

 

0.20

դաշտային ճանապարհ

.չմ

2342-01

 

 

 

 

 

1.08

դաշտային ճանապարհ

.չմ

2342-02

 

 

 

 

 

2.01

դաշտային ճանապարհ

.չմ

2342-03

 

 

 

 

 

0.77

 

 

2342-04

 

 

 

 

 

1.53

 

 

2342-05

 

 

 

 

 

0.43

դաշտային ճանապարհ

.չմ

2342-06

 

 

 

 

 

0.68

 

 

2342-07

 

 

 

 

 

0.98

դաշտային ճանապարհ

.չմ

2343-01

 

 

 

 

 

0.13

դաշտային ճանապարհ

.չմ

2344-01

 

 

 

 

 

0.35

դաշտային ճանապարհ

.չմ

2344-02

 

 

 

 

 

0.13

դաշտային ճանապարհ

.չմ

2344-03

 

 

 

 

 

0.15

դաշտային ճանապարհ

.չմ

2344-04

 

 

 

 

 

0.12

դաշտային ճանապարհ

.չմ

2345-01

 

 

 

 

 

0.73

դաշտային ճանապարհ

.չմ

2346-01

 

 

 

 

 

0.61

դաշտային ճանապարհ

.չմ

2347-01

 

 

 

 

 

0.43

դաշտային ճանապարհ

.չմ

2348-01

 

 

 

 

 

0.33

դաշտային ճանապարհ

.չմ

2349-01

 

 

 

 

 

0.23

դաշտային ճանապարհ

.չմ

2350-01

 

 

 

 

 

0.29

դաշտային ճանապարհ

.չմ

2351-01

 

 

 

 

 

0.05

դաշտային ճանապարհ

.չմ

2352-02

 

 

 

 

 

0.24

դաշտային ճանապարհ

.չմ

2352-03

 

 

 

 

 

0.50

դաշտային ճանապարհ

.չմ

2352-04

 

 

 

 

 

1.17

դաշտային ճանապարհ

.չմ

2353-01

 

 

 

 

 

0.13

դաշտային ճանապարհ

.չմ

2354-01

 

 

 

 

 

0.05

դաշտային ճանապարհ

.չմ

2355-01

 

 

 

 

 

0.31

դաշտային ճանապարհ

.չմ

2369-01

 

 

 

 

 

0.44

դաշտային ճանապարհ

.չմ

2370-01

 

 

 

 

 

0.17

դաշտային ճանապարհ

.չմ

2371-01

 

 

 

 

 

0.18

դաշտային ճանապարհ

.չմ

2372-01

 

 

 

 

 

0.25

դաշտային ճանապարհ

.չմ

2373-01

 

 

 

 

 

0.36

դաշտային ճանապարհ

.չմ

2374-01

 

 

 

 

 

0.16

դաշտային ճանապարհ

.չմ

2375-01

 

 

 

 

 

0.07

դաշտային ճանապարհ

.չմ

2376-01

 

 

 

 

 

0.09

դաշտային ճանապարհ

.չմ

2377-01

 

 

 

 

 

0.32

դաշտային ճանապարհ

.չմ

2379-01

 

 

 

 

 

0.09

դաշտային ճանապարհ

.չմ

2380-01

 

 

 

 

 

0.19

դաշտային ճանապարհ

.չմ

2381-01

 

 

 

 

 

0.30

դաշտային ճանապարհ

.չմ

2382-01

 

 

 

 

 

0.06

դաշտային ճանապարհ

.չմ

239-001

 

 

 

 

 

0.32

 

 

2391-01

 

 

 

 

 

0.12

դաշտային ճանապարհ

.չմ

2392-01

 

 

 

 

 

0.12

դաշտային ճանապարհ

.չմ

2393-01

 

 

 

 

 

0.01

 

 

2394-01

 

 

 

 

 

0.11

 

 

2395-01

 

 

 

 

 

0.18

դաշտային ճանապարհ

.չմ

240-002

 

 

 

 

 

0.06

 

 

240-005

 

 

 

 

 

0.68

 

 

240-012

 

 

 

 

 

0.28

 

 

240-013

 

 

 

 

 

0.04

 

 

240-014

 

 

 

 

 

0.06

 

 

2401-01

 

 

 

 

 

0.27

դաշտային ճանապարհ

.չմ

2402-01

 

 

 

 

 

0.38

դաշտային ճանապարհ

.չմ

2402-01

 

 

 

 

 

0.16

 

 

2405-01

 

 

 

 

 

0.11

դաշտային ճանապարհ

.չմ

2406-01

 

 

 

 

 

0.16

դաշտային ճանապարհ

.չմ

2407-01

 

 

 

 

 

0.12

դաշտային ճանապարհ

.չմ

2408-01

 

 

 

 

 

0.05

դաշտային ճանապարհ

.չմ

2409-01

 

 

 

 

 

0.41

դաշտային ճանապարհ

.չմ

2409-02

 

 

 

 

 

0.25

դաշտային ճանապարհ

.չմ

2410-01

 

 

 

 

 

0.06

դաշտային ճանապարհ

.չմ

2411-01

 

 

 

 

 

0.05

դաշտային ճանապարհ

.չմ

2412-01

 

 

 

 

 

0.08

դաշտային ճանապարհ

.չմ

2413-01

 

 

 

 

 

0.08

դաշտային ճանապարհ

.չմ

2414-01

 

 

 

 

 

0.32

դաշտային ճանապարհ

.չմ

2415-01

 

 

 

 

 

0.10

դաշտային ճանապարհ

.չմ

2416-01

 

 

 

 

 

0.35

դաշտային ճանապարհ

.չմ

2417-01

 

 

 

 

 

0.45

դաշտային ճանապարհ

.չմ

2418-01

 

 

 

 

 

0.16

դաշտային ճանապարհ

.չմ

2419-01

 

 

 

 

 

0.18

դաշտային ճանապարհ

.չմ

242-001

 

 

 

 

 

0.50

 

 

2420-01

 

 

 

 

 

0.16

դաշտային ճանապարհ

.չմ

2420-02

 

 

 

 

 

0.15

դաշտային ճանապարհ

.չմ

2421-01

 

 

 

 

 

0.35

դաշտային ճանապարհ

.չմ

2422-01

 

 

 

 

 

0.15

դաշտային ճանապարհ

.չմ

2423-01

 

 

 

 

 

0.14

դաշտային ճանապարհ

.չմ

2424-01

 

 

 

 

 

0.16

դաշտային ճանապարհ

.չմ

2425-01

 

 

 

 

 

0.26

դաշտային ճանապարհ

.չմ

2426-01

 

 

 

 

 

0.11

դաշտային ճանապարհ

.չմ

2427-01

 

 

 

 

 

0.15

դաշտային ճանապարհ

.չմ

2428-01

 

 

 

 

 

0.10

դաշտային ճանապարհ

.չմ

2429-01

 

 

 

 

 

0.07

դաշտային ճանապարհ

.չմ

2430-01

 

 

 

 

 

0.20

դաշտային ճանապարհ

.չմ

242-020

 

 

 

 

 

0.26

 

 

243-025

 

 

 

 

 

0.05

 

 

2431-01

 

 

 

 

 

0.11

դաշտային ճանապարհ

.չմ

2432-01

 

 

 

 

 

0.50

դաշտային ճանապարհ

.չմ

2433-01

 

 

 

 

 

0.20

դաշտային ճանապարհ

.չմ

2434-01

 

 

 

 

 

0.19

դաշտային ճանապարհ

.չմ

2435-01

 

 

 

 

 

0.18

դաշտային ճանապարհ

.չմ

2436-01

 

 

 

 

 

0.20

դաշտային ճանապարհ

.չմ

2437-01

 

 

 

 

 

0.34

դաշտային ճանապարհ

.չմ

2438-01

 

 

 

 

 

0.23

դաշտային ճանապարհ

.չմ

2439-01

 

 

 

 

 

0.21

 

 

244-001

 

 

 

 

 

0.31

 

 

2440-01

 

 

 

 

 

0.27

 

 

2440-02

 

 

 

 

 

0.10

 

 

2440-03

 

 

 

 

 

1.36

դաշտային ճանապարհ

.չմ

244-012

 

 

 

 

 

0.23

 

 

246-002

 

 

 

 

 

0.56

 

 

246-011

 

 

 

 

 

0.05

 

 

2462-01

 

 

 

 

 

0.36

դաշտային ճանապարհ

.չմ

2463-01

 

 

 

 

 

0.21

դաշտային ճանապարհ

.չմ

2464-01

 

 

 

 

 

0.43

դաշտային ճանապարհ

.չմ

2465-01

 

 

 

 

 

0.29

դաշտային ճանապարհ

.չմ

2466-01

 

 

 

 

 

0.23

դաշտային ճանապարհ

.չմ

2467-01

 

 

 

 

 

0.49

դաշտային ճանապարհ

.չմ

2467-02

 

 

 

 

 

0.12

դաշտային ճանապարհ

.չմ

2468-01

 

 

 

 

 

0.23

դաշտային ճանապարհ

.չմ

2469-01

 

 

 

 

 

0.90

դաշտային ճանապարհ

.չմ

2470-01

 

 

 

 

 

0.33

դաշտային ճանապարհ

.չմ

2471-01

 

 

 

 

 

0.28

դաշտային ճանապարհ

.չմ

2472-01

 

 

 

 

 

0.40

դաշտային ճանապարհ

.չմ

2473-01

 

 

 

 

 

0.32

դաշտային ճանապարհ

.չմ

2474-01

 

 

 

 

 

0.27

դաշտային ճանապարհ

.չմ

2475-01

 

 

 

 

 

0.29

դաշտային ճանապարհ

.չմ

2476-01

 

 

 

 

 

1.22

դաշտային ճանապարհ

.չմ

2476-02

 

 

 

 

 

0.40

դաշտային ճանապարհ

.չմ

2477-01

 

 

 

 

 

1.03

դաշտային ճանապարհ

.չմ

2477-02

 

 

 

 

 

0.24

դաշտային ճանապարհ

.չմ

2478-01

 

 

 

 

 

0.65

դաշտային ճանապարհ

.չմ

2479-01

 

 

 

 

 

0.48

դաշտային ճանապարհ

.չմ

2480-01

 

 

 

 

 

1.22

դաշտային ճանապարհ

.չմ

248-012

 

 

 

 

 

0.10

 

 

248-019

 

 

 

 

 

0.24

դաշտային ճանապարհ

.չմ

2481-01

 

 

 

 

 

0.22

դաշտային ճանապարհ

.չմ

2482-01

 

 

 

 

 

2.41

դաշտային ճանապարհ

.չմ

2483-01

 

 

 

 

 

0.10

դաշտային ճանապարհ

.չմ

2484-01

 

 

 

 

 

0.14

դաշտային ճանապարհ

.չմ

2485-01

 

 

 

 

 

0.80

դաշտային ճանապարհ

.չմ

2485-02

 

 

 

 

 

0.07

դաշտային ճանապարհ

.չմ

2486-01

 

 

 

 

 

0.22

դաշտային ճանապարհ

.չմ

2487-01

 

 

 

 

 

0.24

դաշտային ճանապարհ

.չմ

2487-02

 

 

 

 

 

0.08

դաշտային ճանապարհ

.չմ

2487-03

 

 

 

 

 

0.33

դաշտային ճանապարհ

.չմ

2488-01

 

 

 

 

 

0.20

դաշտային ճանապարհ

.չմ

2489-01

 

 

 

 

 

0.62

դաշտային ճանապարհ

.չմ

2490-01

 

 

 

 

 

0.12

դաշտային ճանապարհ

.չմ

249-006

 

 

 

 

 

2.36

 

 

2491-01

 

 

 

 

 

0.15

դաշտային ճանապարհ

.չմ

2492-01

 

 

 

 

 

0.16

դաշտային ճանապարհ

.չմ

2493-01

 

 

 

 

 

0.16

դաշտային ճանապարհ

.չմ

2494-01

 

 

 

 

 

0.50

դաշտային ճանապարհ

.չմ

2495-01

 

 

 

 

 

0.19

դաշտային ճանապարհ

.չմ

2496-01

 

 

 

 

 

0.24

դաշտային ճանապարհ

.չմ

2497-01

 

 

 

 

 

0.16

դաշտային ճանապարհ

.չմ

2498-01

 

 

 

 

 

0.14

դաշտային ճանապարհ

.չմ

2499-01

 

 

 

 

 

0.60

դաշտային ճանապարհ

.չմ

2500-01

 

 

 

 

 

0.17

դաշտային ճանապարհ

.չմ

2501-01

 

 

 

 

 

0.14

դաշտային ճանապարհ

.չմ

2502-01

 

 

 

 

 

0.14

դաշտային ճանապարհ

.չմ

2504-01

 

 

 

 

 

0.40

դաշտային ճանապարհ

.չմ

2505-01

 

 

 

 

 

0.38

դաշտային ճանապարհ

.չմ

2506-01

 

 

 

 

 

0.17

դաշտային ճանապարհ

.չմ

2507-01

 

 

 

 

 

1.10

դաշտային ճանապարհ

.չմ

2508-02

 

 

 

 

 

1.04

դաշտային ճանապարհ

.չմ

2508-04

 

 

 

 

 

0.03

 

 

2508-05

 

 

 

 

 

0.01

 

 

2508-06

 

 

 

 

 

0.25

 

 

2508-07

 

 

 

 

 

0.4

 

 

2508-08

 

 

 

 

 

1.01

դաշտային ճանապարհ

.չմ

2508-09

 

 

 

 

 

0.003

 

 

2508-10

 

 

 

 

 

0.27

 

 

2508-11

 

 

 

 

 

0.14

 

 

2508-12

 

 

 

 

 

0.02

 

 

2508-13

 

 

 

 

 

0.10

 

 

2509-01

 

 

 

 

 

0.45

դաշտային ճանապարհ

.չմ

2510-06

 

 

 

 

 

1.27

դաշտային ճանապարհ

.չմ

2514-01

 

 

 

 

 

0.50

դաշտային ճանապարհ

.չմ

2515-01

 

 

 

 

 

0.41

դաշտային ճանապարհ

.չմ

2525-01

 

 

 

 

 

0.37

դաշտային ճանապարհ

.չմ

2526-01

 

 

 

 

 

0.14

դաշտային ճանապարհ

.չմ

2527-02

 

 

 

 

 

0.22

դաշտային ճանապարհ

.չմ

2528-01

 

 

 

 

 

0.23

դաշտային ճանապարհ

.չմ

2528-02

 

 

 

 

 

0.03

դաշտային ճանապարհ

.չմ

2529-02

 

 

 

 

 

0.24

դաշտային ճանապարհ

.չմ

253-001

 

 

 

 

 

1.99

 

 

2530-01

 

 

 

 

 

0.37

դաշտային ճանապարհ

.չմ

2531-01

 

 

 

 

 

1.86

դաշտային ճանապարհ

.չմ

2532-01

 

 

 

 

 

0.12

դաշտային ճանապարհ

.չմ

2533-01

 

 

 

 

 

0.23

դաշտային ճանապարհ

.չմ

2534-01

 

 

 

 

 

0.82

դաշտային ճանապարհ

.չմ

254-002

 

 

 

 

 

0.61

 

 

2541-01

 

 

 

 

 

0.42

դաշտային ճանապարհ

.չմ

2542-01

 

 

 

 

28.37

 

 

 

2542-02

 

 

 

 

 

0.03

 

 

2543-01

 

 

 

 

 

0.93

 

 

2543-03

 

 

 

 

 

0.20

դաշտային ճանապարհ

.չմ

2543-07

 

 

 

 

 

0.22

 

 

2543-08

 

 

 

 

 

0.08

 

 

2543-09

 

 

 

 

 

2.95

դաշտային ճանապարհ

.չմ

2544-01

 

 

 

 

 

1.79

դաշտային ճանապարհ

.չմ

2545-01

 

 

 

 

 

0.43

դաշտային ճանապարհ

.չմ

2546-01

 

 

 

 

 

0.50

դաշտային ճանապարհ

.չմ

2547-01

 

 

 

 

 

0.05

դաշտային ճանապարհ

.չմ

2548-01

 

 

 

 

 

0.20

դաշտային ճանապարհ

.չմ

2549-01

 

 

 

 

 

0.03

դաշտային ճանապարհ

.չմ

255-002

 

 

 

 

 

0.73

 

 

255-003

 

 

 

 

 

0.32

 

 

255-004

 

 

 

 

 

0.77

 

 

255-005

 

 

 

 

 

0.61

 

 

255-006

 

 

 

 

 

0.28

 

 

255-007

 

 

 

 

 

0.02

 

 

255-008

 

 

 

 

 

0.13

 

 

2553-01

 

 

 

 

 

0.05

դաշտային ճանապարհ

.չմ

2555-01

 

 

 

 

 

0.19

դաշտային ճանապարհ

.չմ

2556-01

 

 

 

 

 

0.66

դաշտային ճանապարհ

.չմ

2556-02

 

 

 

 

 

0.39

դաշտային ճանապարհ

.չմ

2557-01

 

 

 

 

 

0.12

դաշտային ճանապարհ

.չմ

2558-01

 

 

 

 

 

0.43

դաշտային ճանապարհ

.չմ

2559-01

 

 

 

 

 

0.40

դաշտային ճանապարհ

.չմ

256-011

 

 

 

 

 

0.13

 

 

2560-01

 

 

 

 

 

0.13

դաշտային ճանապարհ

.չմ

256-006

 

 

 

 

 

1.54

 

 

256-012

 

 

 

 

 

0.003

 

 

256-014

 

 

 

 

 

0.34

 

 

256-015

 

 

 

 

 

0.08

 

 

2561-01

 

 

 

 

 

0.01

դաշտային ճանապարհ

.չմ

2562-01

 

 

 

 

 

0.27

դաշտային ճանապարհ

.չմ

2563-01

 

 

 

 

 

0.10

դաշտային ճանապարհ

.չմ

2565-01

 

 

 

 

 

0.24

դաշտային ճանապարհ

.չմ

2566-01

 

 

 

 

 

0.31

 

 

2566-02

 

 

 

 

 

0.28

դաշտային ճանապարհ

.չմ

2567-01

 

 

 

 

 

1.50

դաշտային ճանապարհ

.չմ

2568-01

 

 

 

 

 

0.28

 

 

2568-02

 

 

 

 

 

0.59

դաշտային ճանապարհ

.չմ

2568-03

 

 

 

 

 

0.61

դաշտային ճանապարհ

.չմ

2569-01

 

 

 

 

 

0.61

դաշտային ճանապարհ

.չմ

2570-01

 

 

 

 

 

0.72

դաշտային ճանապարհ

.չմ

257-015

 

 

 

 

 

0.26

 

 

2572-01

 

 

 

 

 

0.41

 

 

2573-01

 

 

 

 

 

0.24

դաշտային ճանապարհ

.չմ

2574-01

 

 

 

 

 

0.66

դաշտային ճանապարհ

.չմ

258-002

 

 

 

 

 

0.06

 

 

258-011

 

 

 

 

 

0.28

 

 

2582-01

 

 

 

 

 

0.64

դաշտային ճանապարհ

.չմ

2583-01

 

 

 

 

 

0.11

դաշտային ճանապարհ

.չմ

2583-03

 

 

 

 

 

0.49

դաշտային ճանապարհ

.չմ

2583-04

 

 

 

 

 

1.09

դաշտային ճանապարհ

.չմ

2583-05

 

 

 

 

 

2.32

դաշտային ճանապարհ

.չմ

2583-06

 

 

 

 

 

0.73

դաշտային ճանապարհ

.չմ

2584-01

 

 

 

 

 

0.56

դաշտային ճանապարհ

.չմ

2584-02

 

 

 

 

 

0.44

դաշտային ճանապարհ

.չմ

2585-01

 

 

 

 

 

0.15

դաշտային ճանապարհ

.չմ

2586-01

 

 

 

 

 

0.09

դաշտային ճանապարհ

.չմ

2586-03

 

 

 

 

 

1.03

դաշտային ճանապարհ

.չմ

2587-01

 

 

 

 

 

0.50

դաշտային ճանապարհ

.չմ

2588-01

 

 

 

 

 

0.15

դաշտային ճանապարհ

.չմ

2589-01

 

 

 

 

 

0.57

դաշտային ճանապարհ

.չմ

2590-01

 

 

 

 

 

0.44

դաշտային ճանապարհ

.չմ

2590-02

 

 

 

 

 

0.52

դաշտային ճանապարհ

.չմ

259-009

 

 

 

 

 

0.05

 

 

2591-01

 

 

 

 

 

0.24

դաշտային ճանապարհ

.չմ

2592-01

 

 

 

 

 

0.67

դաշտային ճանապարհ

.չմ

2593-01

 

 

 

 

 

0.76

դաշտային ճանապարհ

.չմ

2595-01

 

 

 

 

 

0.06

դաշտային ճանապարհ

.չմ

2596-01

 

 

 

 

 

0.38

դաշտային ճանապարհ

.չմ

2597-01

 

 

 

 

 

0.10

դաշտային ճանապարհ

.չմ

2598-01

 

 

 

 

 

0.25

դաշտային ճանապարհ

.չմ

2599-01

 

 

 

 

 

0.44

դաշտային ճանապարհ

.չմ

2600-01

 

 

 

 

 

0.42

դաշտային ճանապարհ

.չմ

260-038

 

 

 

 

 

0.08

 

 

2601-01

 

 

 

 

 

0.24

դաշտային ճանապարհ

.չմ

2602-01

 

 

 

 

 

0.70

դաշտային ճանապարհ

.չմ

2603-01

 

 

 

 

 

0.71

դաշտային ճանապարհ

.չմ

2604-01

 

 

 

 

 

0.36

դաշտային ճանապարհ

.չմ

2605-01

 

 

 

 

 

0.64

դաշտային ճանապարհ

.չմ

2606-01

 

 

 

 

 

0.20

դաշտային ճանապարհ

.չմ

2607-01

 

 

 

 

 

0.16

դաշտային ճանապարհ

.չմ

2608-01

 

 

 

 

 

0.19

դաշտային ճանապարհ

.չմ

2609-01

 

 

 

 

 

0.19

դաշտային ճանապարհ

.չմ

2610-01

 

 

 

 

 

0.15

դաշտային ճանապարհ

.չմ

261-003

 

 

 

 

 

1.60

դաշտային ճանապարհ

.չմ

2611-01

 

 

 

 

 

0.10

դաշտային ճանապարհ

.չմ

2612-01

 

 

 

 

 

0.27

դաշտային ճանապարհ

.չմ

2613-01

 

 

 

 

 

0.14

դաշտային ճանապարհ

.չմ

2614-01

 

 

 

 

 

0.41

դաշտային ճանապարհ

.չմ

2615-01

 

 

 

 

 

0.25

դաշտային ճանապարհ

.չմ

2619-01

 

 

 

 

 

0.52

դաշտային ճանապարհ

.չմ

2619-02

 

 

 

 

 

0.03

դաշտային ճանապարհ

.չմ

2619-03

 

 

 

 

 

0.44

դաշտային ճանապարհ

.չմ

2619-04

 

 

 

 

 

0.17

դաշտային ճանապարհ

.չմ

2619-05

 

 

 

 

 

0.86

դաշտային ճանապարհ

.չմ

2619-06

 

 

 

 

 

0.46

դաշտային ճանապարհ

.չմ

2620-01

 

 

 

 

 

0.30

դաշտային ճանապարհ

.չմ

262-039

 

 

 

 

 

0.55

 

 

2621-01

 

 

 

 

 

0.39

դաշտային ճանապարհ

.չմ

2622-01

 

 

 

 

 

0.21

դաշտային ճանապարհ

.չմ

2623-01

 

 

 

 

 

0.21

դաշտային ճանապարհ

.չմ

2624-01

 

 

 

 

 

0.23

դաշտային ճանապարհ

.չմ

2625-01

 

 

 

 

 

1.41

դաշտային ճանապարհ

.չմ

2625-02

 

 

 

 

 

0.17

դաշտային ճանապարհ

.չմ

2625-04

 

 

 

 

 

0.16

դաշտային ճանապարհ

.չմ

2626-01

 

 

 

 

 

0.55

դաշտային ճանապարհ

.չմ

2627-01

 

 

 

 

 

2.37

դաշտային ճանապարհ

.չմ

263-037

 

 

 

 

 

0.08

 

 

2635-01

 

 

 

 

 

0.52

դաշտային ճանապարհ

.չմ

2635-02

 

 

 

 

 

0.14

դաշտային ճանապարհ

.չմ

270-005

 

 

 

 

 

0.25

 

 

270-010

 

 

 

 

 

0.01

 

 

300-002

7.81

 

 

 

 

 

 

 

300-016

0.93

 

 

 

 

 

 

 

300-017

0.88

 

 

 

 

 

 

 

300-018

0.99

 

 

 

 

 

 

 

300-019

0.92

 

 

 

 

 

 

 

300-020

1.51

 

 

 

 

 

 

 

300-021

0.98

 

 

 

 

 

 

 

300-022

0.99

 

 

 

 

 

 

 

300-023

0.99

 

 

 

 

 

 

 

300-024

1.50

 

 

 

 

 

 

 

301-001

 

 

 

 

 

0.33

 

 

302-011

 

 

 

 

 

0.10

 

 

305-007

18.08

 

 

 

 

 

 

 

305-008

 

 

 

 

 

0.04

 

 

305-010

 

 

 

 

 

0.62

 

 

306-001

 

 

 

 

 

0.43

 

 

306-004

29.53

 

 

 

 

 

 

 

307-014

 

 

 

 

 

0.06

 

 

308-007

 

 

 

 

 

0.41

 

 

309-016

 

 

 

 

 

0.01

 

 

310-022

 

 

 

 

 

0.13

 

 

311-001

 

 

 

 

 

0.42

 

 

311-013

 

 

 

 

 

1.05

 

 

311-014

 

 

 

 

 

0.35

դաշտային ճանապարհ

.չմ

312-005

 

 

 

 

 

0.11

 

 

313-006

 

 

 

 

 

0.11

 

 

314-006

 

 

 

 

 

0.12

 

 

315-007

 

 

 

 

 

0.14

 

 

316-003

 

 

 

 

 

0.23

 

 

317-001

 

 

 

 

 

0.15

 

 

317-017

 

 

 

 

 

0.09

 

 

317-018

 

 

 

 

 

0.08

դաշտային ճանապարհ

.չմ

317-019

 

 

 

 

 

0.08

 

 

318-001

 

 

 

 

 

0.08

 

 

319-001

 

 

 

 

 

0.09

 

 

320-001

 

 

 

 

 

0.09

 

 

321-001

 

 

 

 

 

0.08

 

 

322-001

 

 

 

 

 

0.08

 

 

323-001

 

 

 

 

 

0.62

 

 

324-001

 

 

 

 

 

0.07

դաշտային ճանապարհ

.չմ

328-014

 

 

 

 

 

0.05

դաշտային ճանապարհ

.չմ

331-001

 

 

 

 

 

0.29

 

 

335-001

 

 

 

 

 

0.22

 

 

336-001

 

 

 

 

 

0.97

 

 

336-005

 

 

 

 

 

0.12

դաշտային ճանապարհ

.չմ

336-007

 

 

 

 

 

0.08

 

 

336-008

 

 

 

 

 

0.004

 

 

336-009

 

 

 

 

 

0.004

 

 

336-010

 

 

 

 

 

0.02

 

 

336-012

 

 

 

 

 

0.01

 

 

337-001

 

 

 

 

 

0.36

 

 

338-001

 

 

 

 

 

0.07

 

 

339-001

 

 

 

 

 

0.71

 

 

340-001

 

 

 

 

 

0.19

 

 

341-001

 

 

 

 

 

0.79

 

 

341-006

 

 

 

 

 

0.03

 

 

341-013

 

 

 

 

 

0.06

 

 

341-017

 

 

 

 

 

0.07

դաշտային ճանապարհ

.չմ

341-018

 

 

 

 

 

0.22

դաշտային ճանապարհ

.չմ

341-019

 

 

 

 

 

0.18

դաշտային ճանապարհ

.չմ

342-002

 

 

 

 

 

0.03

 

 

346-003

 

 

 

 

 

0.06

 

 

350-001

 

 

 

 

 

0.19

 

 

350-005

 

 

 

 

 

0.11

 

 

373-004

 

 

 

 

 

0.01

 

 

374-001

 

 

 

 

 

0.01

 

 

375-007

 

 

 

 

 

0.28

 

 

375-010

 

 

 

 

 

0.06

 

 

376-005

 

 

 

 

 

0.06

 

 

378-005

 

 

 

 

 

0.07

 

 

379-005

 

 

 

 

 

0.09

 

 

381-001

 

 

 

 

 

0.38

 

 

382-002

 

 

 

 

 

0.06

 

 

382-005

 

 

 

 

 

0.08

 

 

383-001

 

 

 

 

 

0.04

 

 

384-001

 

 

 

 

 

0.04

 

 

384-011

 

 

 

 

 

0.24

 

 

385-001

 

 

 

 

 

0.06

 

 

386-001

 

 

 

 

 

0.25

 

 

387-001

 

 

 

 

 

0.09

 

 

388-001

 

 

 

 

 

0.16

 

 

389-001

 

 

 

 

 

0.49

 

 

389-003

 

 

 

 

 

0.06

 

 

391-001

 

 

 

 

 

0.18

 

 

392-001

 

 

 

 

 

0.27

 

 

392-006

 

 

 

 

 

0.12

 

 

392-007

 

 

 

 

 

0.27

 

 

392-027

 

 

 

 

 

0.05

դաշտային ճանապարհ

.չմ

396-029

 

 

 

 

 

0.01

 

 

397-011

 

 

 

 

 

0.11

 

 

397-012

 

 

 

 

 

0.58

 

 

397-057

 

 

 

 

 

0.34

 

 

397-059

 

 

 

 

 

0.43

 

 

397-063

 

 

 

 

 

0.18

 

 

397-068

 

 

 

 

 

0.11

 

 

397-069

 

 

 

 

 

0.02

 

 

397-070

 

 

 

 

 

0.08

 

 

398-001

 

 

 

 

 

0.33

 

 

398-005

 

 

 

 

 

0.71

 

 

399-005

 

 

 

 

 

0.18

 

 

400-001

 

 

 

 

 

0.36

 

 

400-018

 

 

 

 

 

0.03

 

 

400-021

 

 

 

 

 

0.08

դաշտային ճանապարհ

.չմ

403-006

 

 

 

 

 

0.07

 

 

404-001

 

 

 

 

 

0.04

 

 

405-001

 

 

 

 

 

0.05

 

 

406-002

 

 

 

 

 

0.18

 

 

408-010

 

 

 

 

 

0.04

 

 

408-011

 

 

 

 

 

0.03

 

 

409-008

 

 

 

 

 

0.06

 

 

410-005

 

 

 

 

 

0.05

 

 

412-001

 

 

 

 

 

0.32

դաշտային ճանապարհ

.չմ

413-002

 

 

 

 

 

1.43

 

 

415-003

 

 

 

 

 

0.02

 

 

416-007

 

 

 

 

 

0.13

 

 

417-001

 

 

 

 

 

0.45

 

 

419-001

 

 

 

 

 

0.03

 

 

421-001

 

 

 

 

 

0.22

 

 

422-001

 

 

 

 

 

0.13

 

 

428-001

 

 

 

 

 

0.32

 

 

562-012

 

 

 

 

 

0.03

 

 

562-013

 

 

 

 

 

0.06

 

 

562-014

 

 

 

 

 

0.06

 

 

562-015

 

 

 

 

 

0.12

 

 

562-017

 

 

 

 

 

0.30

դաշտային ճանապարհ

.չմ

562-018

 

 

 

 

 

0.17

 

 

562-019

 

 

 

 

 

0.10

դաշտային ճանապարհ

.չմ

562-069

 

 

 

 

 

0.01

 

 

602-021

 

 

 

 

 

0.17

դաշտային ճանապարհ

.չմ

602-032

 

 

 

 

 

0.09

 

 

603-002

 

 

 

 

 

0.09

 

 

635-010

 

 

 

 

 

0.88

 

 

635-011

 

 

 

 

 

0.02

 

 

635-012

 

 

 

 

 

0.01

 

 

635-013

 

 

 

 

 

0.001

 

 

635-014

 

 

 

 

 

0.08

 

 

731-004

 

 

 

 

 

0.05

 

 

733-007

 

 

 

 

 

0.16

 

 

733-008

 

 

 

 

 

0.06

 

 

735-015

 

 

 

 

 

0.04

 

 

738-013

 

 

 

 

 

0.05

 

 

741-001

 

 

 

 

 

0.23

 

 

840-038

 

 

 

 

 

0.05

 

 

 Ընդամենը

 282.90

 

 

 

 43.42

 441.10

 

 


Հայաստանի Հանրապետության
կառավարության աշխատակազմի
ղեկավար-նախարար
Մ. Թոփուզյան


Հավելված N 4
ՀՀ կառավարության 2005 թվականի
հուլիսի 14-ի N 1109-Ն որոշման

էջ  1,  2,  3,  4,  5,  6,  7,  8,  9,  10,  11,  12,  13,  14,  15,  16,  17,  18,  19,  20,  21,  22,  23,  24,  25,  26,  27,  28,  29,  30,  31,  32,  33,  34,  35,  36,  37,  38,  39,  40,  41,  42,  43,  44,  45,  46,  47,  48,  49,  50,  51,  52,  53,  54,  55,  56,  57,  58,  59,  60,  61,  62,  63,  64,  65,  66,  67,  68,  69,  70,  71,  72,  73,  74,  75,  76,  77,  78,  79,  80,  8182,  83,  84,  85

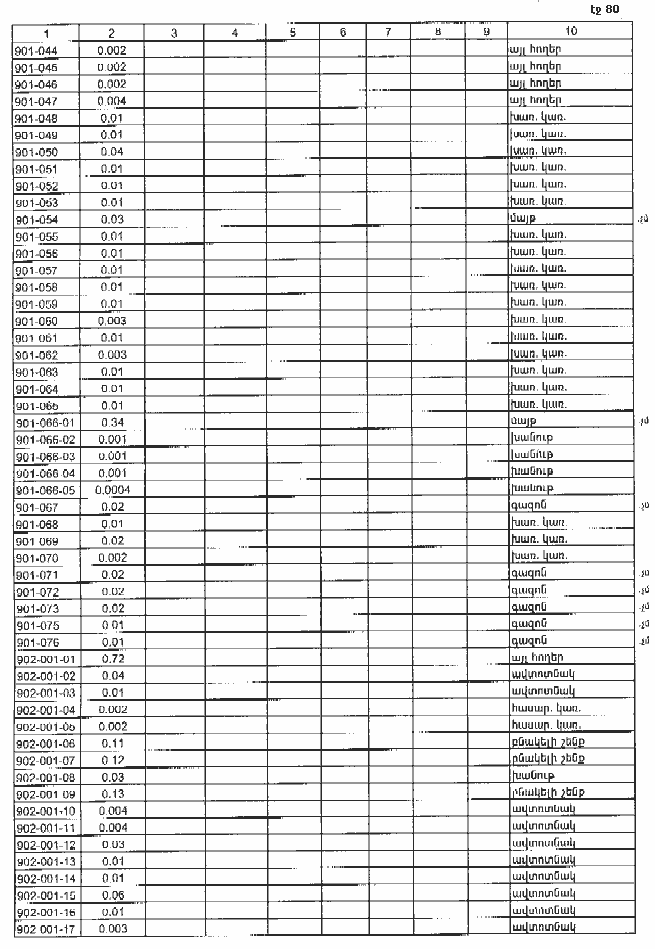
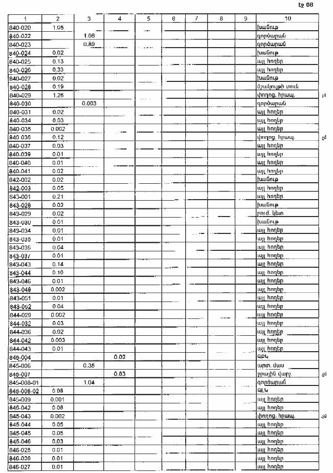
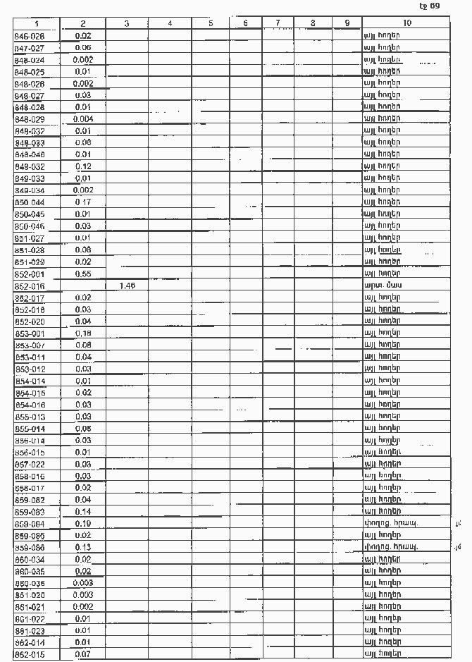
Ց Ա Ն Կ

ՀԱՅԱՍՏԱՆԻ ՀԱՆՐԱՊԵՏՈՒԹՅԱՆ ԱՐՄԱՎԻՐԻ ՄԱՐԶԻ ՎԱՂԱՐՇԱՊԱՏ ՔԱՂԱՔԻ ՎԱՐՉԱԿԱՆ ՍԱՀՄԱՆՆԵՐՈՒՄ ԳՏՆՎՈՂ` ՊԵՏԱԿԱՆ ՍԵՓԱԿԱՆՈՒԹՅՈՒՆ ՀԱՆԴԻՍԱՑՈՂ ՀՈՂԵՐԻՑ ՎԱՂԱՐՇԱՊԱՏ ՔԱՂԱՔԻՆ ԱՆՀԱՏՈՒՅՑ ՓՈԽԱՆՑՎՈՂ ՀՈՂԵՐԻ (ԸՍՏ ՆՊԱՏԱԿԱՅԻՆ ՆՇԱՆԱԿՈՒԹՅԱՆ)

(Հավելվածը փոփ., խմբ. 15.11.05 N 1975-Ն)


Հայաստանի Հանրապետության
կառավարության աշխատակազմի
ղեկավար-նախարար
Մ. Թոփուզյան



Հավելված N 5
ՀՀ կառավարության 2005 թվականի
հուլիսի 14-ի N 1109-Ն որոշման


Ց Ա Ն Կ

ՀԱՅԱՍՏԱՆԻ ՀԱՆՐԱՊԵՏՈՒԹՅԱՆ ԱՐՄԱՎԻՐԻ ՄԱՐԶԻ ՎԱՂԱՐՇԱՊԱՏ ՔԱՂԱՔԻ ՎԱՐՉԱԿԱՆ ՍԱՀՄԱՆՆԵՐՈՒՄ ԳՏՆՎՈՂ` ՊԵՏԱԿԱՆ ՍԵՓԱԿԱՆՈՒԹՅՈՒՆ ՀԱՆԴԻՍԱՑՈՂ ՀՈՂԵՐԻ (ԸՍՏ ՆՊԱՏԱԿԱՅԻՆ ՆՇԱՆԱԿՈՒԹՅԱՆ)

Կադաստրային ծածկագիրը

I

II

III

IV

V

VI

VII

VIII

IX

Ծանոթա-
գրություն

Գյուղատնտե-
սական
նշանա-
կության
հողեր

Բնակա-
վայրերի հողեր

Արդյու-
նաբերու-
թյան,
ընդերք-
օգտա-
գործման
և այլ
արտա-
դրական
նշանա-
կության
օբյեկտ-
ների
հողեր

Էներգե-
տիկայի,
տրանս-
պորտի,
կապի և
կոմունալ
ենթակա-
ռուց-
վածք-
ների
օբյեկտ-
ների
հողեր

Հատուկ
պահ-
պան-
վող
տարածք-
ների
հողեր

Հատուկ
նշանա-
կության
հողեր

Անտա-
ռային
հողեր

Ջրային
հողեր

Պահուս-
տային
հողեր

1

 

2

3

4

5

6

7

8

9

10

026-001

 

 

 

 

 

 

 

 

 

դպրոց

026-002

 

 

 

 

 

 

 

 

 

դպրոց

026-003

 

 

 

 

 

 

 

 

 

դպրոց

026-004

 

 

 

 

 

 

 

 

 

դպրոց

026-005

 

 

 

 

 

 

 

 

 

դպրոց

026-006

 

 

 

 

 

 

 

 

 

դպրոց

026-007

 

 

 

 

 

 

 

 

 

դպրոց

026-008

 

 

 

 

 

 

 

 

 

դպրոց

026-009

 

 

 

 

 

 

 

 

 

դպրոց

026-010

 

 

 

 

 

 

 

 

 

դպրոց

026-011

 

 

 

 

 

 

 

 

 

դպրոց

026-012

 

 

 

 

 

 

 

 

 

դպրոց

026-021

 

 

 

 

 

 

 

 

 

դպրոց

026-022

 

 

 

 

 

 

 

 

 

դպրոց

026-023

 

 

 

 

 

 

 

 

 

դպրոց

026-024

 

 

 

 

 

 

 

 

 

դպրոց

026-025

 

 

 

 

 

 

 

 

 

դպրոց

026-026

 

 

 

 

 

 

 

 

 

դպրոց

026-027

 

 

 

 

 

 

 

 

 

դպրոց

026-028

 

 

 

 

 

 

 

 

 

դպրոց

026-030

 

 

 

 

 

 

 

 

 

դպրոց

026-031

 

 

 

 

 

 

 

 

 

դպրոց

026-032

 

 

 

 

 

 

 

 

 

դպրոց

049-017

 

 

 

 

 

 

 

 

 

դպրոց

051-017-12

 

 

 

 

 

 

 

 

 

հատուկ նշ. հող.

051-071

 

 

 

 

 

 

 

 

 

հատուկ նշ. հող.

072-055

 

 

 

 

 

 

 

 

 

դպրոց

072-057

 

 

 

 

 

 

 

 

 

դպրոց

072-058

 

 

 

 

 

 

 

 

 

դպրոց

072-059

 

 

 

 

 

 

 

 

 

դպրոց

072-060

 

 

 

 

 

 

 

 

 

դպրոց

072-061

 

 

 

 

 

 

 

 

 

դպրոց

072-062

 

 

 

 

 

 

 

 

 

դպրոց

072-063

 

 

 

 

 

 

 

 

 

դպրոց

081-016

 

 

 

 

 

 

 

 

 

հատուկ նշ. հող.

084-023

 

 

 

 

 

 

 

 

 

դպրոց

093-001

 

 

 

 

 

 

 

 

 

դպրոց

095-010

 

 

 

 

 

 

 

 

 

հուշարձան

1018-13

 

 

 

 

 

 

 

 

 

դրենաժ

1029-05

 

 

 

 

 

 

 

 

 

վարելահող

1029-06

 

 

 

 

 

 

 

 

 

վարելահող

1029-07

 

 

 

 

 

 

 

 

 

վարելահող

1029-08

 

 

 

 

 

 

 

 

 

վարելահող

1030-01

 

 

 

 

 

 

 

 

 

վարելահող

1030-02

 

 

 

 

 

 

 

 

 

վարելահող

1030-04

 

 

 

 

 

 

 

 

 

վարելահող

1031-01

 

 

 

 

 

 

 

 

 

վարելահող

1031-02

 

 

 

 

 

 

 

 

 

մարզ. նշ. ճանապ.

1033-01

 

 

 

 

 

 

 

 

 

մարզ. նշ. ճանապ.

1034-00

 

 

 

 

 

 

 

 

 

հատուկ նշ. հող.

1034-00

 

 

 

 

 

 

 

 

 

հատուկ նշ. հող.

1034-00

 

 

 

 

 

 

 

 

 

հատուկ նշ. հող.

1046-01

 

 

 

 

 

 

 

 

 

կոյուղի

1051-07

 

 

 

 

 

 

 

 

 

դրենաժ

1052-05

 

 

 

 

 

 

 

 

 

դրենաժ

1052-09

 

 

 

 

 

 

 

 

 

դրենաժ

1057-02

 

 

 

 

 

 

 

 

 

դրենաժ

1062-12

 

 

 

 

 

 

 

 

 

դրենաժ

1062-13

 

 

 

 

 

 

 

 

 

դրենաժ

1062-18

 

 

 

 

 

 

 

 

 

դրենաժ

1063-07

 

 

 

 

 

 

 

 

 

դրենաժ

1063-08

 

 

 

 

 

 

 

 

 

դրենաժ

1063-10

 

 

 

 

 

 

 

 

 

դրենաժ

1064-06

 

 

 

 

 

 

 

 

 

դրենաժ

1064-07

 

 

 

 

 

 

 

 

 

դրենաժ

1064-08

 

 

 

 

 

 

 

 

 

դրենաժ

1077-10

 

 

 

 

 

 

 

 

 

դրենաժ

1077-21

 

 

 

 

 

 

 

 

 

դրենաժ

1077-22

 

 

 

 

 

 

 

 

 

դրենաժ

1085-03

 

 

 

 

 

 

 

 

 

դպրոց

1314-02

 

 

 

 

 

 

 

 

 

մարզ. նշ. ճանապ.

1314-03

 

 

 

 

 

 

 

 

 

մարզ. նշ. ճանապ.

1314-04

 

 

 

 

 

 

 

 

 

մարզ. նշ. ճանապ.

1314-05

 

 

 

 

 

 

 

 

 

մարզ. նշ. ճանապ.

1314-06

 

 

 

 

 

 

 

 

 

մարզ. նշ. ճանապ.

1314-07

 

 

 

 

 

 

 

 

 

մարզ. նշ. ճանապ.

1314-08

 

 

 

 

 

 

 

 

 

մարզ. նշ. ճանապ.

1314-09

 

 

 

 

 

 

 

 

 

մարզ. նշ. ճանապ.

1314-10

 

 

 

 

 

 

 

 

 

մարզ. նշ. ճանապ.

1314-11

 

 

 

 

 

 

 

 

 

մարզ. նշ. ճանապ.

1314-12

 

 

 

 

 

 

 

 

 

մարզ. նշ. ճանապ.

1314-13

 

 

 

 

 

 

 

 

 

մարզ. նշ. ճանապ.

1314-14

 

 

 

 

 

 

 

 

 

մարզ. նշ. ճանապ.

1314-17

 

 

 

 

 

 

 

 

 

մարզ. նշ. ճանապ.

1320-02

 

 

 

 

 

 

 

 

 

միջպետական ճանապ.

1320-03

 

 

 

 

 

 

 

 

 

միջպետական ճանապ.

1320-04

 

 

 

 

 

 

 

 

 

մարզ. նշ. ճանապ. ջրանցք

1322-01

 

 

 

 

 

 

 

 

 

դրենաժ

1324-01

 

 

 

 

 

 

 

 

 

դրենաժ

1325-01

 

 

 

 

 

 

 

 

 

դրենաժ

1326-01

 

 

 

 

 

 

 

 

 

դրենաժ

1328-01

 

 

 

 

 

 

 

 

 

երկաթգիծ

1329-03

 

 

 

 

 

 

 

 

 

ջրանցք

1330-01

 

 

 

 

 

 

 

 

 

ջրանցք

1330-08

 

 

 

 

 

 

 

 

 

դրենաժ

1330-09

 

 

 

 

 

 

 

 

 

դրենաժ

1338-01

 

 

 

 

 

 

 

 

 

դրենաժ

1343-05

 

 

 

 

 

 

 

 

 

ջրանցք

1362-01-02

 

 

 

 

 

 

 

 

 

մարզ. նշ. ճանապ.

1362-02

 

 

 

 

 

 

 

 

 

մարզ. նշ. ճանապ.

1409-01

 

 

 

 

 

 

 

 

 

դրենաժ

1423-01

 

 

 

 

 

 

 

 

 

մարզ. նշ. ճանապ.

1423-02

 

 

 

 

 

 

 

 

 

մարզ. նշ. ճանապ.

1423-05-01

 

 

 

 

 

 

 

 

 

մարզ. նշ. ճանապ.

1423-09-01

 

 

 

 

 

 

 

 

 

միջպետական ճանապ.

1423-09-02

 

 

 

 

 

 

 

 

 

մարզ. նշ. ճանապ.

2012-02

 

 

 

 

 

 

 

 

 

մարզ. նշ. ճանապ.

2131-01

 

 

 

 

 

 

 

 

 

վարելահող

2193-67

 

 

 

 

 

 

 

 

 

հատուկ նշ. հող.

2508-03

 

 

 

 

 

 

 

 

 

դրենաժ

2510-01

 

 

 

 

 

 

 

 

 

միջպետական ճանապ.

2510-02

 

 

 

 

 

 

 

 

 

միջպետական ճանապ.

2510-03

 

 

 

 

 

 

 

 

 

միջպետական ճանապ.

2519-01

 

 

 

 

 

 

 

 

 

միջպետական ճանապ.

2527-01

 

 

 

 

 

 

 

 

 

դրենաժ

2529-01

 

 

 

 

 

 

 

 

 

դրենաժ

2529-03

 

 

 

 

 

 

 

 

 

դրենաժ

2529-04

 

 

 

 

 

 

 

 

 

դրենաժ

2543-02

 

 

 

 

 

 

 

 

 

դրենաժ

2543-05

 

 

 

 

 

 

 

 

 

դրենաժ

2550-01

 

 

 

 

 

 

 

 

 

դրենաժ

2554-01

 

 

 

 

 

 

 

 

 

երկաթգիծ

256-010

 

 

 

 

 

 

 

 

 

հատուկ նշ. հող.

2581-02

 

 

 

 

 

 

 

 

 

հուշարձան

506-048

 

 

 

 

 

 

 

 

 

վարժարան

516-003

 

 

 

 

 

 

 

 

 

հատուկ նշ. հող.

516-004

 

 

 

 

 

 

 

 

 

դպրոց

560-002

 

 

 

 

 

 

 

 

 

դպրոց

562-001

 

 

 

 

 

 

 

 

 

հատուկ նշ. հող.

562-009-01

 

 

 

 

 

 

 

 

 

անտառ

562-011

 

 

 

 

 

 

 

 

 

Երկր. և բուս. գիտ. ինստ. ՊՈԱԿ

562-016

 

 

 

 

 

 

 

 

 

Երկր. և բուս. գիտ. ինստ. ՊՈԱԿ

602-001

 

 

 

 

 

 

 

 

 

Երկր. և բուս. գիտ. ինստ. ՊՈԱԿ

602-002

 

 

 

 

 

 

 

 

 

Երկր. և բուս. գիտ. ինստ. ՊՈԱԿ

602-003

 

 

 

 

 

 

 

 

 

Երկր. և բուս. գիտ. ինստ. ՊՈԱԿ

602-004

 

 

 

 

 

 

 

 

 

Երկր. և բուս. գիտ. ինստ. ՊՈԱԿ

602-005

 

 

 

 

 

 

 

 

 

Երկր. և բուս. գիտ. ինստ. ՊՈԱԿ

602-006

 

 

 

 

 

 

 

 

 

Երկր. և բուս. գիտ. ինստ. ՊՈԱԿ

602-007

 

 

 

 

 

 

 

 

 

Երկր. և բուս. գիտ. ինստ. ՊՈԱԿ

602-008

 

 

 

 

 

 

 

 

 

Երկր. և բուս. գիտ. ինստ. ՊՈԱԿ

602-022

 

 

 

 

 

 

 

 

 

Երկր. և բուս. գիտ. ինստ. ՊՈԱԿ

602-024

 

 

 

 

 

 

 

 

 

Երկր. և բուս. գիտ. ինստ. ՊՈԱԿ

602-025

 

 

 

 

 

 

 

 

 

Երկր. և բուս. գիտ. ինստ. ՊՈԱԿ

602-026

 

 

 

 

 

 

 

 

 

Երկր. և բուս. գիտ. ինստ. ՊՈԱԿ

602-027

 

 

 

 

 

 

 

 

 

Երկր. և բուս. գիտ. ինստ. ՊՈԱԿ

602-028

 

 

 

 

 

 

 

 

 

Երկր. և բուս. գիտ. ինստ. ՊՈԱԿ

602-029

 

 

 

 

 

 

 

 

 

Երկր. և բուս. գիտ. ինստ. ՊՈԱԿ

602-030

 

 

 

 

 

 

 

 

 

Երկր. և բուս. գիտ. ինստ. ՊՈԱԿ

633-001

 

 

 

 

 

 

 

 

 

վարելահող

634-001

 

 

 

 

 

 

 

 

 

վարելահող

811-005

 

 

 

 

 

 

 

 

 

գիշերօթիկ

811-006

 

 

 

 

 

 

 

 

 

գիշերօթիկ

811-007

 

 

 

 

 

 

 

 

 

գիշերօթիկ

812-001-01

 

 

 

 

 

 

 

 

 

դպրոց

882-030-01

 

 

 

 

 

 

 

 

 

դպրոց

840-021

 

 

 

 

 

 

 

 

 

հուշարձան

840-032

 

 

 

 

 

 

 

 

 

հուշարձան

840-033

 

 

 

 

 

 

 

 

 

հուշարձան

842-001

 

 

 

 

 

 

 

 

 

դպրոց

887-001

 

 

 

 

 

 

 

 

 

հատուկ նշ. հող.

887-020

 

 

 

 

 

 

 

 

 

դպրոց

888-015

 

 

 

 

 

 

 

 

 

հատուկ նշ. հող.

903-165

 

 

 

 

 

 

 

 

 

գիշերօթիկ

903-169

 

 

 

 

 

 

 

 

 

հուշարձան

903-170

 

 

 

 

 

 

 

 

 

հուշարձան

903-171

 

 

 

 

 

 

 

 

 

հուշարձան

903-172

 

 

 

 

 

 

 

 

 

հուշարձան

903-173

 

 

 

 

 

 

 

 

 

հուշարձան

903-175

 

 

 

 

 

 

 

 

 

ուսումնարան

903-176

 

 

 

 

 

 

 

 

 

ուսումնարան

909-001

 

 

 

 

 

 

 

 

 

դպրոց

909-002

 

 

 

 

 

 

 

 

 

դպրոց

909-003

 

 

 

 

 

 

 

 

 

դպրոց

909-005

 

 

 

 

 

 

 

 

 

դպրոց

909-006

 

 

 

 

 

 

 

 

 

դպրոց

909-007

 

 

 

 

 

 

 

 

 

դպրոց

909-008

 

 

 

 

 

 

 

 

 

դպրոց

909-009

 

 

 

 

 

 

 

 

 

դպրոց

909-010

 

 

 

 

 

 

 

 

 

դպրոց

909-011

 

 

 

 

 

 

 

 

 

դպրոց

909-013

 

 

 

 

 

 

 

 

 

դպրոց

909-014

 

 

 

 

 

 

 

 

 

դպրոց

909-015

 

 

 

 

 

 

 

 

 

դպրոց

909-019

 

 

 

 

 

 

 

 

 

դպրոց

909-020

 

 

 

 

 

 

 

 

 

դպրոց

909-021

 

 

 

 

 

 

 

 

 

դպրոց

909-023

 

 

 

 

 

 

 

 

 

դպրոց

909-024

 

 

 

 

 

 

 

 

 

դպրոց

909-025

 

 

 

 

 

 

 

 

 

դպրոց

909-027

 

 

 

 

 

 

 

 

 

դպրոց

909-034

 

 

 

 

 

 

 

 

 

դպրոց

909-035

 

 

 

 

 

 

 

 

 

դպրոց

909-036

 

 

 

 

 

 

 

 

 

դպրոց

909-038

 

 

 

 

 

 

 

 

 

դպրոց

909-039

 

 

 

 

 

 

 

 

 

դպրոց

909-040

 

 

 

 

 

 

 

 

 

դպրոց

909-041

 

 

 

 

 

 

 

 

 

դպրոց

909-043

 

 

 

 

 

 

 

 

 

դպրոց

909-044

 

 

 

 

 

 

 

 

 

դպրոց

909-045

 

 

 

 

 

 

 

 

 

դպրոց

909-046

 

 

 

 

 

 

 

 

 

դպրոց

909-047

 

 

 

 

 

 

 

 

 

դպրոց

909-048

 

 

 

 

 

 

 

 

 

դպրոց

909-049

 

 

 

 

 

 

 

 

 

դպրոց

Ընդամենը

125.22

33.53

 

66.42

14.87

38.12

7.12

21.29

 

 


Հայաստանի Հանրապետության
կառավարության աշխատակազմի
ղեկավար-նախարար
Մ. Թոփուզյան

Հավելված N 6
ՀՀ կառավարության 2005 թվականի
հուլիսի 14-ի N 1109-Ն որոշման


Հ Ա Շ Վ Ե Տ Վ ՈՒ Թ Յ ՈՒ Ն

ՀԱՅԱՍՏԱՆԻ ՀԱՆՐԱՊԵՏՈՒԹՅԱՆ ԱՐՄԱՎԻՐԻ ՄԱՐԶԻ ՎԱՂԱՐՇԱՊԱՏ ՔԱՂԱՔԻ ՀՈՂԱՅԻՆ ՖՈՆԴԻ ԱՌԿԱՅՈՒԹՅԱՆ ԵՎ ԲԱՇԽՄԱՆ ՄԱՍԻՆ

NN
ը/կ

Նպա-
տա-
կային
նշա-
նակու-
թյունը

Հողա-
տեսքը,
գործա-
ռական
նշանա-
կությունը

Ծած-
կա-
գիրը

Ընդամենը (2+3+4+8+12)

Սեփականության սուբյեկտը

ՀՀ քա-
ղա-
քա-
ցի-
ների

ՀՀ իրա-
վա-
բա-
նա-
կան ան-
ձանց

համայնքային

պետական

օտար-
երկրյա
պետու-
թյուն-
ների,
կազմա-
կերպու-
թյուն-
ների
և ՀՀ-ում
կացու-
թյան
հատուկ
կարգա-
վիճակ
ունեցող անձանց

ընդամենը (5+6+7)

տրված
անհա-
տույց օգտա-
գործման

վարձա-
կալու-
թյամբ տրված

օգտա-
գործ-
ման
և
վար-
ձա-
կա-
լու-
թյամբ չտրված

ընդամենը (9+10+11)

տրված
անհա-
տույց օգ-
տա-
գործ-
ման

վար-
ձա-
կա-
լու-
թյամբ տրված

օգ-
տա-
գործ-
ման
և վար-
ձա-
կա-
լու-
թյամբ չտրված

 

Ա

Բ

Գ

1

2

3

4

5

6

7

8

9

10

11

12

1.1

1. Գյու-
ղատնտե-
սական

վարելահող

 

2333.99

1925.87

 

282.90

     

125.22

       

1.2

բազմ. տնկ.
ընդամ.

 

170.12

170.12

 

0.00

               

1.2.1

այդ թվում`
պտղ. այգի

 

21.73

21.73

 

 

               

1.2.2

խաղողի այգի

 

148.39

148.98

                   

1.2.3

այլ բազմամյա

                         

1.3

խոտհարք

                         

1.4

արոտ

 

43.42

   

43.42

               

1.5

այլ
հողատեսքեր

 

458.11

17.01

 

441.10

               

1

ընդամենը

 

3005.64

2113.00

 

767.42

     

125.22

       

2.1

2. Բնա-
կա-
վայ-
րերի

բնակելի
կառուց.

 

496.22

478.33

 

17.89

               

2.1.1

այդ թվում`
տնամերձ

 

478.33

478.33

                   

2.1.2

այգեգ-ն
(ամառ-ց)

 

 

 

                   

2.2

հասարակ.
կառուց.

 

72.56

1.32

 

37.71

     

33.53

       

2.3

խառը
կառուցապ.

 

28.02

2.97

 

25.05

               

2.4

ընդհ.
օգտագործ.

 

165.83

 

2.14

163.69

               

2.5

այլ հողեր

 

83.93

 

 

83.93

               

2

ընդամենը

 

846.56

482.62

2.14

328.27

     

33.53

       

3.1

3. Արդյու-
նաբերու-
թյան,
ընդերքօգ-
տագործ-
ման և այլ
արտա-
դրական
նշանա-
կության
օբյեկտ-
ների

արդյունա-
բերական

 

182.06

7.77

 

174.29

               

3.2

գյուղտն. արտադ.

 

142.17

30.59

 

111.58

               

3.3

պահեստա-
րանների

 

1.48

   

1.48

               

3.4

ընդերք.
օգտագոր.

 

 

   

 

               

3

ընդամենը

 

325.71

38.36

 

287.35

               

4.1

4. Էներգե-
տիկայի,
տրանս-
պորտի,
կապի և
կոմունալ ենթա-
կառուց-
վածքների
օբյեկտ-
ների

էներգե-
տիկայի

 

3.43

   

3.43

               

4.2

կապի

 

0.87

   

0.87

               

4.3

տրանսպորտի

 

57.47

   

3.16

     

54.31

       

4.4

կոմուն.
ենթակառ.

 

13.82

   

1.71

     

12.11

       

4

ընդամենը

 

75.58

   

9.16

     

66.42

       

5.1

5. Հատուկ պահ-
պան-
վող
տարածք-
ների

բնապահպան.

                         

5.1.1

այդ թվում` արգելոց.

                         

5.1.2

արգելա-վայրեր

                         

5.1.3

ազգայինպարկ

                         

5.2

առողջա-
րարակ.

                         

5.3

հանգստի

                         

5.4

պատմ. և մշատութ.

 

101.09

  33.92

52.30

     

14.87

       

5

ընդամենը

 

101.09

 

33.92

52.30

     

14.87

       

6

6. Հատուկ նշանա-
կության

ընդամենը

 

38.12

           

38.12

       

7.1

7. Անտա-
ռային

անտառ

 

7.12

           

7.12

       

7.2

թփուտ

                         

7.3

վարելահող

                         

7.4

խոտհարք

                         

7.5

արոտ

                         

7.6

այլ հողեր

                         

7

ընդամենը

 

7.12

           

7.12

       

8.1

8. Ջրային

գետեր

                         

8.2

ջրամբարներ

 

 

   

 

               

8.3

լճեր

 

 

   

 

     

 

       

8.4

ջրանցքներ

 

5.98

 

 

2.28

   

 

3.70

       

8.5

հդտ. և
ջր. այլ օբ.

 

19.01

   

1.42

     

17.59

       

8

ընդամենը

 

24.99

   

3.70

     

21.29

       

9.1

9. Պա-
հուս-
տային

աղուտներ

               

 

       

9.2

ավազուտներ

                         

9.3

ճահիճներ

                         

9.4

                           

9.5

այլ անօգտա-
գործելի հողեր

                         

9

ընդամենը

                         

ԸՆԴԱՄԵՆԸ` ՀՈՂԵՐ (1+2+3+4+5+6+7+8+9) 

 

4424.82

2633.98

36.06

1448.2

     

306.57

       

(Հավելվածը խմբ. 15.11.05 N 1975-Ն)


Հայաստանի Հանրապետության
կառավարության աշխատակազմի
ղեկավար-նախարար
Մ. Թոփուզյան

Հավելված N 7
ՀՀ կառավարության 2005 թվականի
հուլիսի 14-ի N 1109-Ն որոշման


Հ Ա Շ Վ Ե Տ Վ ՈՒ Թ Յ ՈՒ Ն

ՀԱՅԱՍՏԱՆԻ ՀԱՆՐԱՊԵՏՈՒԹՅԱՆ ԱՐՄԱՎԻՐԻ ՄԱՐԶԻ ՎԱՂԱՐՇԱՊԱՏ ՔԱՂԱՔԻ ՈՌՈԳՎՈՂ ՀՈՂԵՐԻ ԱՌԿԱՅՈՒԹՅԱՆ ԵՎ ԲԱՇԽՄԱՆ ՄԱՍԻՆ

NN
ը/կ

Նպա-
տակային
նշանա-
կությունը

Գործառական
նշանակությունը,
հողատեսքը

Ծած-
կա-
գիրը

Ընդամենը
ոռոգվող
հողեր
(2+3+4+5+6)

Սեփականության սուբյեկտը

ՀՀ քաղա-
քացի-
ների

ՀՀ իրա-
վաբա-
նական անձանց

համայն-
քային

պետա-
կան

օտար-
երկրյա
պետու-
թյունների, կազմա-
կերպու-
թյունների
և ՀՀ-ում
կացության
հատուկ
կարգա-
վիճակ
ունեցող
անձանց

 

Ա

Բ

Գ

1

2

3

4

5

6

1.1

1. Գյուղա-
տնտեսա-
կան

վարելահող

 

2333.99

1925.87

 

282.90

125.22

 

1.2

բազմամյա տնկարկներ,
ընդամենը

 

170.12

170.12

 

0.00

 

 

1.2.1

այդ թվում`
պտղատու այգի

 

21.73

21.73

 

 

 

 

1.2.2

խաղողի այգի

 

148.39

148.39

 

 

 

 

1.2.3

այլ

 

 

 

 

 

 

 

1.3

խոտհարք

 

0.00

 

 

 

 

 

1.4

արոտ

 

 

 

 

 

 

 

1.5

այլ հողատեսքեր

 

 

 

 

 

 

 

1

ընդամենը
(1.1+1.2+1.3+1.4+1.5)

 

2504.11

2095.99

 

282.90

125.22

 

2.1

2. Բնակա-
վայրերի

բնակելի կառուցապատման

 

430.00

430.00

 

 

 

 

2.1.1

այդ թվում` տնամերձ հողեր

 

430.00

430.00

 

 

 

 

2.1.2

այգեգործական
(ամառանոցային)

 

 

 

 

 

 

 

2.2

ընդհանուր օգտագործման

 

 

 

 

 

 

 

2.3

այլ հողեր

 

 

 

 

 

 

 

2

ընդամենը (2.1+2.2+2.3)

 

430.00

430.00

 

 

 

 

3

3. Արդյունաբերության, ընդերքօգտագործման և այլ
արտադրական նշանակության օբեկտների

 

 

 

 

 

 

 

4

4. Էներգետիկայի, տրանսպորտի, կապի և կոմունալ ենթակառուցվածքների օբյեկտների

 

 

 

 

 

 

 

5

5. Հատուկ պահպանվող տարածքների

 

 

 

 

 

 

 

6

6. Հատուկ նշանակության

 

 

 

 

 

 

 

7.1

7. Անտառային

անտառ

 

 

 

 

 

 

 

7.2

թփուտ

 

 

 

 

 

 

 

7.3

վարելահող

 

 

 

 

 

 

 

7.4

խոտհարք

 

 

 

 

 

 

 

7.5

արոտ

 

 

 

 

 

 

 

7.6

այլ հողեր

 

 

 

 

 

 

 

7

ընդամենը
(7.1+7.2+7.3+7.4+7.5+7.6)

 

 

 

 

 

 

 

8

8. Ջրային

 

 

 

 

 

 

 

9

9. Պահուստային

 

 

 

 

 

 

 

ԸՆԴԱՄԵՆԸ` ՈՌՈԳՎՈՂ ՀՈՂԵՐ
(1+2+3+4+5+6+7+8+9)

 

2934.11

2525.99

 

282.90

125.22

 


Հայաստանի Հանրապետության
կառավարության աշխատակազմի
ղեկավար-նախարար
Մ. Թոփուզյան

Փոփոխման պատմություն
Փոփոխող ակտ Համապատասխան ինկորպորացիան
11.01.2007, N 43-Ն 14.07.2005, N 1109-Ն
15.11.2005, N 1975-Ն 14.07.2005, N 1109-Ն
Փոփոխված ակտ
Փոփոխող ակտ Համապատասխան ինկորպորացիան