ՀՀ ԿԱՌԱՎԱՐՈՒԹՅԱՆ ՈՐՈՇՈՒՄԸ ՀՀ ՎԱՅՈՑ ՁՈՐԻ ՄԱՐԶԻ ԶԱՌԻԹԱՓԻ ԳՅՈՒՂԱԿԱՆ ՀԱՄԱՅՆՔԻ ՎԱՐՉԱԿԱՆ ՍԱՀՄԱՆՆԵՐԻ ՆԿԱՐԱԳԻՐԸ ՀԱՍՏԱՏԵԼՈՒ ԵՎ ԶԱՌԻԹԱՓԻ ԳՅՈՒՂԱԿԱՆ ՀԱՄԱՅՆՔԻ ՎԱՐՉԱԿԱՆ ՍԱՀՄԱՆՆԵՐՈՒՄ ԳՏՆՎՈՂ` ՊԵՏԱԿԱՆ ՍԵՓԱԿԱՆՈՒԹՅՈՒՆ ՀԱՆԴԻՍԱՑՈՂ ՀՈՂԱՄԱՍԵՐՆ ԱՆՀԱՏՈՒՅՑ ՍԵՓԱԿԱՆՈՒԹՅԱՆ ԻՐԱՎՈՒՆՔՈՎ ՀԱՄԱՅՆՔԻՆ ՓՈԽԱՆՑԵԼՈՒ ՄԱՍԻՆ

Գլխավոր տեղեկություն
Համար
N 1911-Ն
Տիպ
Որոշում
Ակտի տիպ
Հիմնական ակտ (24.01.2006-17.06.2010)
Կարգավիճակ
Գործում է
Սկզբնաղբյուր
ՀՀՊՏ 2006.01.23/4.1 Հոդ.95.8
Ընդունող մարմին
ՀՀ կառավարություն
Ընդունման ամսաթիվ
06.10.2005
Ստորագրող մարմին
ՀՀ վարչապետ
Ստորագրման ամսաթիվ
14.11.2005
Վավերացնող մարմին
ՀՀ Նախագահ
Վավերացման ամսաթիվ
19.11.2005
Ուժի մեջ մտնելու ամսաթիվ
24.01.2006

«Վավերացնում եմ»
Հայաստանի Հանրապետության
Նախագահ Ռ. Քոչարյան
19 նոյեմբերի 2005 թ.

ՀԱՅԱՍՏԱՆԻ ՀԱՆՐԱՊԵՏՈՒԹՅԱՆ ԿԱՌԱՎԱՐՈՒԹՅՈՒՆ

Ո Ր Ո Շ ՈՒ Մ

6 հոկտեմբերի 2005 թվականի N 1911-Ն

ՀԱՅԱՍՏԱՆԻ ՀԱՆՐԱՊԵՏՈՒԹՅԱՆ ՎԱՅՈՑ ՁՈՐԻ ՄԱՐԶԻ ԶԱՌԻԹԱՓԻ ԳՅՈՒՂԱԿԱՆ ՀԱՄԱՅՆՔԻ ՎԱՐՉԱԿԱՆ ՍԱՀՄԱՆՆԵՐԻ ՆԿԱՐԱԳԻՐԸ ՀԱՍՏԱՏԵԼՈՒ ԵՎ ԶԱՌԻԹԱՓԻ ԳՅՈՒՂԱԿԱՆ ՀԱՄԱՅՆՔԻ ՎԱՐՉԱԿԱՆ ՍԱՀՄԱՆՆԵՐՈՒՄ ԳՏՆՎՈՂ` ՊԵՏԱԿԱՆ ՍԵՓԱԿԱՆՈՒԹՅՈՒՆ ՀԱՆԴԻՍԱՑՈՂ ՀՈՂԱՄԱՍԵՐՆ ԱՆՀԱՏՈՒՅՑ ՍԵՓԱԿԱՆՈՒԹՅԱՆ ԻՐԱՎՈՒՆՔՈՎ ՀԱՄԱՅՆՔԻՆ ՓՈԽԱՆՑԵԼՈՒ ՄԱՍԻՆ

Հայաստանի Հանրապետության հողային օրենսգրքի 34-րդ ու 56-րդ, «Տեղական ինքնակառավարման մասին» Հայաստանի Հանրապետության օրենքի 6-րդ, 47-րդ ու 84-րդ և «Հայաստանի Հանրապետության վարչատարածքային բաժանման մասին» Հայաստանի Հանրապետության օրենքի 6-րդ հոդվածների պահանջներին համապատասխան` Հայաստանի Հանրապետության կառավարությունը որոշում է.

1. Հաստատել Հայաստանի Հանրապետության Վայոց ձորի մարզի Զառիթափի գյուղական համայնքի վարչական սահմանների նկարագիրը` համաձայն NN 1 և 2 հավելվածների:

2. Հայաստանի Հանրապետության Վայոց ձորի մարզի Զառիթափի գյուղական համայնքի վարչական սահմաններում գտնվող՝ պետական սեփականություն հանդիսացող 3583.82 հեկտար հողամասերից 3534.33 հեկտարը, որից՝ գյուղատնտեսական նշանակության՝ 3451.09 հեկտար, բնակավայրերի հողերի՝ 63.42 հեկտար, արդյունաբերության, ընդերքօգտագործման և այլ արտադրական նշանակության օբյեկտների՝ 15.12 հեկտար, էներգետիկայի, տրանսպորտի, կապի և կոմունալ ենթակառուցվածքների օբյեկտների՝ 0.54 հեկտար հատուկ պահպանվող տարածքների՝ 3.12 հեկտար, ջրային հողերի` 1.03 հեկտար անհատույց սեփականության իրավունքով փոխանցել Զառիթափի գյուղական համայնքին՝ համաձայն NN 3, 4, 5 և 6 հավելվածների:

3. Սահմանել, որ Հայաստանի Հանրապետության հողային օրենսգրքի 60-րդ հոդվածի պահանջներին համապատասխան`

ա) Հայաստանի Հանրապետության Վայոց ձորի մարզի Զառիթափի գյուղական համայնքին անհատույց սեփականության իրավունքով փոխանցվող 3534.33 հեկտար հողերից 68.24 հեկտարը մասնավորեցման ենթակա չէ.

բ) Հայաստանի Հանրապետության Վայոց ձորի մարզի Զառիթափի գյուղական համայնքի վարչական սահմաններում գտնվող հողերից 49.49 հեկտարը համարվում է պետական սեփականություն՝ համաձայն N 7 հավելվածի:

4. Ընդունել ի գիտություն Հայաստանի Հանրապետության Վայոց ձորի մարզի Զառիթափի գյուղական համայնքի հողային ֆոնդի առկայության և բաշխման մասին հաշվետվությունը` 2005 թվականի հունվարի 1-ի դրությամբ` համաձայն NN 8 և 9 հավելվածների:

5. Հայաստանի Հանրապետության կառավարությանն առընթեր անշարժ գույքի կադաստրի պետական կոմիտեի նախագահին` սահմանված կարգով ապահովել սկզբնական հաշվառման նյութերի տրամադրումը Հայաստանի Հանրապետության Վայոց ձորի մարզի Զառիթափի գյուղական համայնքի ղեկավարին` հողերի ընթացիկ հաշվառումն անցկացնելու և համայնքի հողային հաշվեկշիռը կազմելու համար:

6. Թույլատրել Հայաստանի Հանրապետության կառավարությանն առընթեր անշարժ գույքի կադաստրի պետական կոմիտեի նախագահին Հայաստանի Հանրապետության պետական գեոդեզիական ցանցի հավասարակշռման արդյունքների հիման վրա Հայաստանի Հանրապետության վարչատարածքային միավորների սահմանանիշերի կոորդինատների ժողովածուի հրատարակումից հետո հողային ֆոնդի ընթացիկ հաշվառման ժամանակ Հայաստանի Հանրապետության Վայոց ձորի մարզի Զառիթափի գյուղական համայնքի հողային հաշվեկշռում սահմանված կարգով կատարել համապատասխան փոփոխություններ:

7. Հայաստանի Հանրապետության Վայոց ձորի մարզպետին` Հայաստանի Հանրապետության կառավարության 2000 թվականի հոկտեմբերի 23-ի N 656 որոշմամբ սահմանված կարգով` սկզբնական հաշվառման տվյալների հիման վրա ապահովել մարզի տարածքում ընթացիկ հաշվառման աշխատանքների իրականացումը:

8. Սույն որոշումն ուժի մեջ է մտնում պաշտոնական հրապարակմանը հաջորդող օրվանից։


Հայաստանի Հանրապետության
վարչապետ

Ա. Մարգարյան


2005 թ. նոյեմբերի 14
Երևան

 

Հավելված N 1
ՀՀ կառավարության 2005 թվականի
հոկտեմբերի 6-ի N1911-Ն որոշման


ՀԱՅԱՍՏԱՆԻ ՀԱՆՐԱՊԵՏՈՒԹՅԱՆ ՎԱՅՈՑ ՁՈՐԻ ՄԱՐԶԻ ԶԱՌԻԹԱՓԻ ԳՅՈՒՂԱԿԱՆ ՀԱՄԱՅՆՔԻ ՎԱՐՉԱԿԱՆ ՍԱՀՄԱՆՆԵՐԻ ՀԱՏԱԿԱԳԻԾԸ


Հայաստանի Հանրապետության
կառավարության աշխատակազմի
ղեկավար-նախարար

Մ. Թոփուզյան


Հավելված N 2
ՀՀ կառավարության 2005 թվականի
հոկտեմբերի 6-ի N1911-Ն որոշման


ՀՀ ՎԱՅՈՑ ՁՈՐԻ ՄԱՐԶԻ ԶԱՌԻԹԱՓԻ ԳՅՈՒՂԱԿԱՆ ՀԱՄԱՅՆՔԻ ՎԱՐՉԱԿԱՆ ՍԱՀՄԱՆՆԵՐԻ ՆԿԱՐԱԳՐՈՒԹՅՈՒՆԸ

Զառիթափ գյուղական համայնքը գտնվում է մարզի հարավ-արևելյան մասում։

Հեռավորությունը մարզկենտրոն Եղեգնաձոր քաղաքից 28 կմ է։
Համայնքը հյուսիսից «Ա»-«Բ» հատվածով սահմանակից Է մարզի համայնքների վարչական սահմաններից դուրս գտնվող հողերին, արևելքից «Բ»-«Գ» հատվածով` Արտավան գյուղական համանքին, արևելքից «Գ»-«Դ» հատվածով` Գոմք գյուղական համայնքին, հարավից «Դ»-«Ե» հատվածով` Մարտիրոս գյուղական համայնքին, արևմուտքից «Ե»-«Զ» հատվածով` Փոռ գյուղական համայնքին, հյուսիս-արևմուտքից «Զ»- «է» հատվածով` Ազատեկ գյուղական համայնքին, հյուսիս-արևմտքից «Է»-«Ա» հատվածով` Վայք քաղաքին համայնքին։

ԶԱՌԻԹԱՓ-ՄԱՐԶԻ ՀԱՄԱՅՆՔՆԵՐԻ ՎԱՐՉԱԿԱՆ ՍԱՀՄԱՆՆԵՐԻՑ ԴՈՒՐՍ ԳՏՆՎՈՂ ՀՈՂԵՐ ՍԱՀՄԱՆԱԳԻԾԸ` «Ա»-«Բ»

Զառիթափ գյուղական, Վայք քաղաքային համայնքների տարածքների և մարզի համայնքների վարչական սահմաններից դուրս գտնվող հողերի բաժանման «Ա» հանգուցային սահմանակետից /բարձրությունը 1721.0 մ/ սահմանագիծը թեքվում է դեպի հարավ-արևելք, անցնելով 689.34 մ, հասնում 1707.0 մ նիշ ունեցող թիվ 1 սահմանակետին, այնուհետև սահմանագիծը թեքվում է դեպի հարավ-արևելք, թիվ 2, 3 սահմանակետերով անցնելով 1355.24 մ, հասնում 1574.7 մ, նիշ ունեցող բարձրունքի թիվ 4 սահմանակետին։ Թիվ 4 սահմանակետից սահմանագիծը թեքվում է դեպի արևելք, անցնելով 520,83 մ, հասնում ճանապարհի եզրի թիվ 5 սահմանակետին, որից հետո նույն ճանապարհով թեքվում դեպի հյուսիս-արևելք, թիվ 6-10 սահմանակետերով անցնելով 1082.27 մ, հասնում թիվ 11 սահմանակետին։ Թիվ 11 սահմանակետից սահմանագիծը թեքվում է դեպի հարավ-արևմուտք, անցնելով 413.56 մ, հատելով Արփա գետը, հասնում բլրի գագաթի թիվ 12 սահմանակետին, որից հետո սահմանագիծը թեքվում է դեպի հարավ-արևելք, անցնելով 189.24 մ, հասնում բարձրունքի թիվ 13 սահմանակետին, ապա թեքվում դեպի հյուսիս-արևելք, ջրբաժանի թիվ 14, 15 սահմանակետերով, անցնելով 1561.08 մ, հասնում թիվ 16 սահմանակետին։ Թիվ 16 սահմանակետից սահմանագիծը թեքվում է դեպի հարավ-արևելք, ջրբաժանի թիվ 17-19 սահմանակետերով անցնելով 1666.45 մ, հասնում վարելահողի եզրի թիվ 20 սահմանակետին։ Թիվ 20 սահմանակետից սահմանագիծը թեքվում է դեպի հյուսիս-արևելք, անցնում 314.81 մ, որից հետո թեքվում է դեպի արևելք, անցնում 417.49 մ, հասնում ջրբաժանի թիվ 22 սահմանակետին, այնուհետև թեքվում հյուսիս-արևելք, թիվ 23, 24 սահմանակետով անցնելով 787.95 մ, հասնում թիվ 25 սահմանակետին։ Թիվ 25 սահմանակետից սահմանագիծը թեքվում է դեպի հարավ-արևելք, անցնում 335.43 մ, հասնում է բլրի գագաթի թիվ 26 սահմանակետին, որից հետո թեքվում դեպի հյուսիս-արևելք, անցնում 488.78 մ, հասնում Արփա գետի վտակի` Զառիթափ, Արտավան համայնքների տարածքների և մարզի համայնքների վարչական սահմաններից դուրս գտնվող հոդերի բաժանման «Բ» հանգուցային սահմանակետին։

«Ա»-«Բ» սահմանագծի ընդհանուր երկարությունը 9798.59 մ է։

ԶԱՌԻԹԱՓ-ԱՐՏԱՎԱՆ ՍԱՀՄԱՆԱԳԻԾԸ` «Բ»-«Գ»

Զառիթափ, Արտավան համայնքների տարածքների և մարզի համայնքների վարչական սահմաններից դուրս գտնվող հողերի ջրհավաքի բաժանման «Բ» հանգուցային սահմանակետից սահմանագիծը նշված ջրհավաքով թեքվում է դեպի հարավ, թիվ 1-3 սահմանակետերով անցնում 516.6 մ, հասնում թիվ 4 սահմանակետին, որից հետո բերվում դեպի հարավ-արևմուտք, անցնում 202.85 մ, հասնում ջրբաժանի թիվ 5 սահմանակետին, այնուհետև սահմանագիծը թեքվում է դեպի հարավ-արևելք, անցնում 524.97 մ, հասնում թիվ 6 սահմանակետին։ Թիվ 6 սահմանակետից սահմանագիծը թեքվում է դեպի հյուսիս-արևմուտք, անցնում 636.34մ, հասնում բարձրունքի թիվ 7 սահմանակետին, որից հետո սահմանագիծը թեքվում է դեպի հարավ-արևելք, անցնելով 920.79 մ, հասնում Գոմք, Զառիթափ և Արտավան համայնքների տարածքների բաժանման «Գ» հանգուցային սահմանակետին։

«Բ»-«Գ» սահմանագծի ընդհանուր երկարությունը 2801.54 մ է։

ԶԱՌԻԹԱՓ-ԳՈՄՔ ՍԱՀՄԱՆԱԳԻԾԸ` «Գ»-«Դ»

Զառիթափ, Արտավան և Գոմք համայնքների տարածքների բաժանման «Գ» հանգուցային սահմանակետից սահմանագիծը թեքվում է դեպի հարավ-արևմուտք, թիվ 1-2 սահմանակետերով անցնելով 1318.36 մ, հասնում է ջրբաժանի թիվ 3 սահմանակետին։ Որից հետո թեքվում է դեպի հարավ-արևմուտք, անցնում 240.32 մ, հասնում վարելահողի եզրի թիվ 4 սահմանակետին, այնուհետև շարունակվում նույն ուղղությամբ, թիվ 5-6 սահմանակետերով անցնելով 838.47 մ, հասնում է Գյաբուտ գետի ափին գտնվող թիվ 7 սահմանակետին, նույն ուղղությամբ անցնելով 1240.38 մ հասնում է լանջի թիվ 8 սահմանակետին։ Թիվ 8 սահմանակետից, սահմանագիծը թեքվում է դեպի հարավ-արևելք` 399.13 մ, հասնում 173.6.1 մ նիշ ունեցող բլրի գագաթի թիվ 9 սահմանակետին։ Թիվ 9 սահմանակետից սահմանագիծը շարունակվում է դեպի հարավ-արևելք, անցնելով 1265.87 մ, թիվ 10-11 սահմանակետերով հասնում թիվ 12 սահմանակետին։ Թիվ 12 սահմանակետից սահմանագիծը թեքվում է դեպի հարավ-արևելք, անցնում 273.74 մ, հասնում ջրհավաքի թիվ 13 սահմանակետին։ Թիվ 13 սահմանակետից թեքվում է դեպի հյուսիս-արևելք, անցնում 181.94 մ, հասնում լանջի թիվ 14 սահմանակետին։ Թիվ 14 սահմանակետից սահմանագիծը թեքվում է դեպի հարավ-արևելք, անցնում 688.14 մ, թիվ 15 սահմանակետով հասնում թիվ 16 սահմանակետին։ Թիվ 16 կետից սահմանագիծը կրկին թեքվում է դեպի հարավ-արևելք, անցնելով 450.58 մ, հասնում լանջի թիվ 17 սահմանակետին, որից հետո թեքվում է դեպի հարավ, անցնում 684.77 մ, հատելով Զառիթափ գնացող ճանապարհը, վարելահողի եզրով հասնում է բլրի գագաթի թիվ 18 սահմանակետին։ Թիվ 18 կետից սահմանագիծը թեքվում է դեպի հարավ-արևելք, թիվ 19-22 սահմանակետերով անցնելով 2547.81 մ, հասնում է թիվ 23 սահմանակետին, ապա թեքվում է դեպի հարավ-արևմուտք, թիվ 24 սահմանակետով անցնում 919.83 մ, հասնում Զառիթափ, Գոմք և Մարտիրոս համայնքների տարածքների բաժանման «Դ» հանգուցային սահմանակետին։

«Գ»-«Դ» սահմանագծի ընդհանուր երկարությունը 11049.34 մ է։

ԶԱՌԻԹԱՓ-ՄԱՐՏԻՐՈՍ ՍԱՀՄԱՆԱԳԻԾԸ` «Դ»-«Ե»

Մարտիրոս, Փոռ և Զառիթափ համայնքների տարածքների բաժանման «Ե» հանգուցային սահմանակետից սահմանագիծը թեքվում է դեպի հարավ-արևելք, ջրբաժանի 1-3 սահմանակետերով անցնելով 862.74 մ, հասնում թիվ 4 սահմանակետին։ Թիվ 4 սահմանակետից սահմանագիծը թեքվում է դեպի արևելք, հատելով Զառիթափ գնացող ճանապարհը և գետակը, ջրբաժանի թիվ 5-6 սահմանակետերով անցնելով 1270.76 մ, հասնում բլրի թիվ 7 սահմանակետին։ Թիվ 7 սահմանակետից սահմանագիծը թեքվում է դեպի հարավ-արևելք, անցնում 229.52 մ, հասնում թիվ 8 սահմանակետին, ապա թեքվում է դեպի հյուսիս-արևելք, բնակավայրի եզրագծով թիվ 9-10 սահմանակետերով անցնելով 483.35 մ, հասնում ջրհավաքի թիվ 11 սահմանակետին։ Թիվ 11 սահմանակետից Սահմանագիծը թեքվում է դեպի հյուսիս-արևելք, ջրբաժանի թիվ 12-15 սահմանակետերով անցնելով 1315.59 մ, հասնում ջրհավաքի թիվ 16 սահմանակետին։ Թիվ 16 սահմանակետից սահմանագիծը ջրհավաքով թեքվում է դեպի հարավ-արևելք, թիվ 17-21 սահմանակետերով անցնելով 866.99 մ, հասնում է թիվ 22 սահմանակետին, որից հետո սահմանագիծը թեքվում է դեպի հարավ, ջրբաժանի թիվ 23-24 սահմանակետերով անցնելով 715.67 մ, հասնում 2222.6 մ նիշ ունեցող բլրի գագաթի թիվ 25 սահմանակետին։ Թիվ 25 սահմանակետից, սահմանագիծը ջրբաժանով թեքվում է դեպի արևելք, թիվ 26 սահմանակետով անցնելով 692.7 մ, հասնում ջրբաժանի թիվ 27 սահմանակետին։ Թիվ 27 սահմանակետից սահմանագիծը թեքվում է դեպի հարավ-արևելք, ջրբաժանի թիվ 28 սահմանակետով անցնում 1610.45 մ, հասնում է 2742.1 մ նիշ ունեցող բլրի գագաթի թիվ 29 սահմանակետին, որից հետո նույն ջրբաժանով թեքվում է դեպի հյուսիս-արևելք, անցնելով 642.8 մ, հասնում Զառիթափ, Գոմք և Մարտիրոս համայնքների տարածքների բաժանման «Դ» հանգուցային սահմանակետին։

«Դ»-«Ե» սահմանագծի ընդհանուր երկարությունը 8689.57մ է։

ԶԱՌԻԹԱՓ-ՓՈՌ ՍԱՀՄԱՆԱԳԻԾԸ` «Ե»-«Զ»

Փոռ, Ազատեկ և Զառիթափ համայնքների տարածքների բւսժանման ջրհավաքի «Զ» հանգուցային սահմանակետից սահմանագիծը թեքվում է դեպի հարավ-արևելք, անցնում 113.76 մ, հասնում ճանապարհի եզրի թիվ 1 սահմանակետին, որից հետո նշված ճանապարհով, թիվ 2-16 սահմանակետերով անցնելով 2001.14 մ, հասնում է թիվ 17 սահմանակետին, այնուհետև թեքվում է դեպի հարավ, անցնում 223.32 մ, հասնում թիվ 18 սահմանակետին։ Թիվ 18 սահմանակետից սահմանագիծը շարունակվում է դեպի հարավ, վարելահողի եզրով, ջրհավաքով թիվ 19-25 սահմանակետերով անցնելով 2006,69 մ, հասնում է թիվ 26 սահմանակետին։ Թիվ 26 սահմանակետից սահմանագիծը թեքվում է դեպի հարավ-արևելք, անցնելով 377.91 մ, հասնում բլրի գագաթի թիվ 27 սահմանակետին, այնուհետև թեքվում է դեպի հարավ, անցնում 289.5 մ, հասնում թիվ 28 սահմանակետին, ապա հատելով ճանապարհը, վարելահողի եզրով անցնելով 336.67 մ, հասնում է ջրբաժանի թիվ 29 սահմանակետին։ Թիվ 29 սահմանակետից թեքվում է դեպի հարավ անցնելով 540.54 մ հատելով դաշտային ճանապարհը, հասնում է թիվ 30 սահմանակետին, որից հետո անցնելով 536.65 մ, հասնում 1842.0 մ նիշ ունեցող բլրի գագաթի թիվ 31 սահմանակետին: Թիվ 31 սահմանակետից սահմանագիծը թեքվում է դեպի հարավ-արևմուտք 183.02 մ, հասնում բլրի գագաթի թիվ 32 սահմանակետին, ապա անցնելով 907.69 մ, հասնում Մարտիրոս, Զառիթափ և Փոռ համայնքների տարածքների բաժանման 2063.5 մ նիշ ունեցող բլրի «Ե» հանգուցային սահմանակետին։

«Ե»-«Զ» սահմանագծի ընդհանուր երկարությունը 7510.89 մ է։

ԶԱՌԻԹԱՓ-ԱԶԱՏԵԿ ՍԱՀՄԱՆԱԳԻԾԸ` «Զ»-«Է»

Ազատեկ, Զառիթափ գյուղական և Վայք քաղաքային համայնքների տարածքների բաժանման «է» հանգուցային սահմանակետից սահմանագիծը Արփա գետով թեքվում Է դեպի հարավ-արևելք, անցնելով 148.71 մ, հասնում Արփա գետի վտակի ջրախառնուրդի թիվ 1 սահմանակետին։ Թիվ 1 սահմանակետից նշված վտակով սահմանագիծը թեքվում Է դեպի հարավ-արևմուտք, թիվ 2, 3 սահմանակետերով անցնելով 541.77 մ, հասնում Զառիթափ, Ազատեկ և Փոռ համայնքների տարածքների բաժանման «Զ» հանգուցային սահմանակետին։

«Զ»-«է» սահմանագծի ընդհանուր երկարությունը 690.48 մ Է։

ԶԱՌԻԹԱՓ-ՎԱՅՔ ՔԱՂԱՔ ՍԱՀՄԱՆԱԳԻԾԸ` «Է»-«Ա»

Զառիթափ գյուղական, Վայք քաղաքային համայնքների տարածքների և մարզի համայնքների վարչական սահմաններից դուրս գտնվող հողերի բաժանման «Ա» հանգուցային սահմանակետից սահմանագիծը թեքվում է դեպի հարավ-արևմուտք, թիվ 1-4 սահմանակետերով անցնելով 2202.2 մ, հասնում թիվ 5 սահմանակետին, որից հետո թեքվում դեպի արևմուտք, անցնելով 124.7մ, հասնում թիվ 6 սահմանակետին։ Թիվ 6 սահմանակետից սահմանագիծը թեքվում է դեպի հարավ, անցնելով 111.82 մ, հատելով ճանապարհը, հասնում Արփա գետի` Ազատեկ, Զառիթափ գյուղական և Վայք քաղաքային համայնքների տարածքների բաժանման «է» հանգուցային սահմանակետին։

«է»-«Ա» սահմանագծի ընդհանուր երկարությունը` 2438.52 մ է։


Հայաստանի Հանրապետության
կառավարության աշխատակազմի
ղեկավար-նախարար
Մ. Թոփուզյան


Հավելված N 3
ՀՀ կառավարության 2005 թվականի
հոկտեմբերի 6-ի N1911-Ն որոշման


ՀԱՅԱՍՏԱՆԻ ՀԱՆՐԱՊԵՏՈՒԹՅԱՆ ՎԱՅՈՑ ՁՈՐԻ ՄԱՐԶԻ ԶԱՌԻԹԱՓԻ ԳՅՈՒՂԱԿԱՆ ՀԱՄԱՅՆՔԻ ՀՈՂԱՇԻՆԱՐԱՐԱԿԱՆ ՀԱՏԱԿԱԳԻԾԸ


Հայաստանի Հանրապետության
կառավարության աշխատակազմի
ղեկավար-նախարար
Մ. Թոփուզյան


Հավելված N 4
ՀՀ կառավարության 2005 թվականի
հոկտեմբերի 6-ի N1911-Ն որոշման


Ա Ն Վ Ա Ն Ա Ց Ա Ն Կ
ՀԱՅԱՍՏԱՆԻ ՀԱՆՐԱՊԵՏՈՒԹՅԱՆ ՎԱՅՈՑ ՁՈՐԻ ՄԱՐԶԻ ԶԱՌԻԹԱՓԻ ԳՅՈՒՂԱԿԱՆ ՀԱՄԱՅՆՔԻ ՎԱՐՉԱԿԱՆ ՍԱՀՄԱՆՆԵՐՈՒՄ ԳՏՆՎՈՂ` ՊԵՏԱԿԱՆ ՍԵՓԱԿԱՆՈՒԹՅՈՒՆ ՀԱՆԴԻՍԱՑՈՂ ՀՈՂԵՐԻՑ ԶԱՌԻԹԱՓԻ ԳՅՈՒՂԱԿԱՆ ՀԱՄԱՅՆՔԻՆ ԱՆՀԱՏՈՒՅՑ ՓՈԽԱՆՑՎՈՂ ՀՈՂԵՐԻ


Հայաստանի Հանրապետության
կառավարության աշխատակազմի
ղեկավար-նախարար
Մ. Թոփուզյան


Հավելված N 5
ՀՀ կառավարության 2005 թվականի
հոկտեմբերի 6-ի N1911-Ն որոշման

Էջ  1,  2,  3,  4,  5,  6


Ց Ա Ն Կ
ՀԱՅԱՍՏԱՆԻ ՀԱՆՐԱՊԵՏՈՒԹՅԱՆ ՎԱՅՈՑ ՁՈՐԻ ՄԱՐԶԻ ԶԱՌԻԹԱՓԻ ԳՅՈՒՂԱԿԱՆ ՀԱՄԱՅՆՔԻ ՎԱՐՉԱԿԱՆ ՍԱՀՄԱՆՆԵՐՈՒՄ ԳՏՆՎՈՂ` ՊԵՏԱԿԱՆ ՍԵՓԱԿԱՆՈՒԹՅՈՒՆ ՀԱՆԴԻՍԱՑՈՂ ՀՈՂԵՐԻՑ ԶԱՌԻԹԱՓԻ ԳՅՈՒՂԱԿԱՆ ՀԱՄԱՅՆՔԻՆ ԱՆՀԱՏՈՒՅՑ ՓՈԽԱՆՑՎՈՂ ՀՈՂԵՐԻ


Հայաստանի Հանրապետության
կառավարության աշխատակազմի
ղեկավար-նախարար
Մ. Թոփուզյան


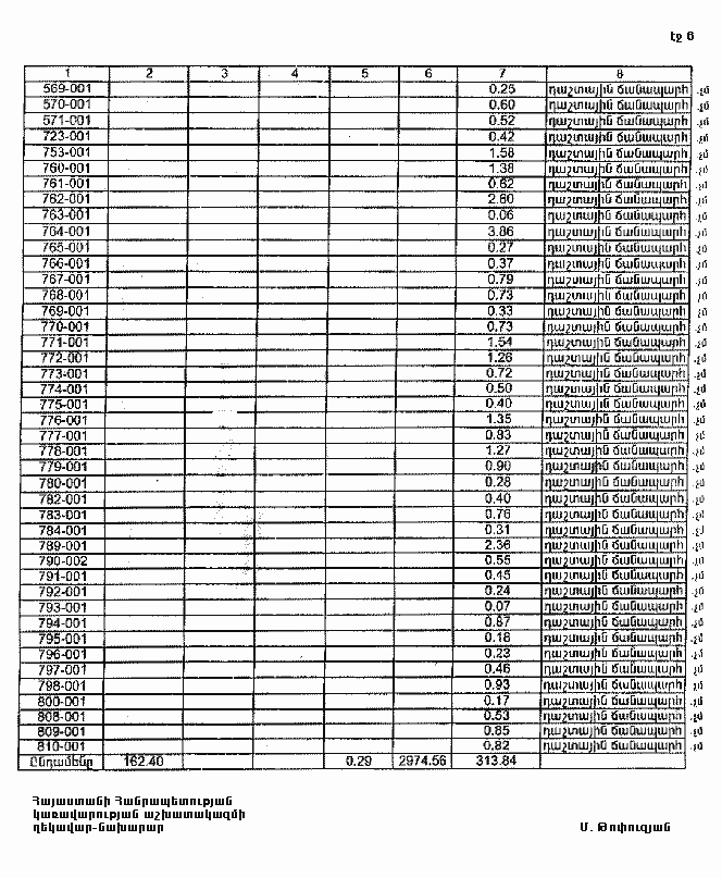
Հավելված N 6
ՀՀ կառավարության 2005 թվականի
հոկտեմբերի 6-ի N1911-Ն որոշման

Էջ  1,  2,  3,  4,  5,  6,  7,  8,  9,  10


Ց Ա Ն Կ
ՀԱՅԱՍՏԱՆԻ ՀԱՆՐԱՊԵՏՈՒԹՅԱՆ ՎԱՅՈՑ ՁՈՐԻ ՄԱՐԶԻ ԶԱՌԻԹԱՓԻ ԳՅՈՒՂԱԿԱՆ ՀԱՄԱՅՆՔԻ ՎԱՐՉԱԿԱՆ ՍԱՀՄԱՆՆԵՐՈՒՄ ԳՏՆՎՈՂ` ՊԵՏԱԿԱՆ ՍԵՓԱԿԱՆՈՒԹՅՈՒՆ ՀԱՆԴԻՍԱՑՈՂ ՀՈՂԵՐԻՑ ԶԱՌԻԹԱՓԻ ԳՅՈՒՂԱԿԱՆ ՀԱՄԱՅՆՔԻՆ ԱՆՀԱՏՈՒՅՑ ՓՈԽԱՆՑՎՈՂ ՀՈՂԵՐԻ (ԸՍՏ ՆՊԱՏԱԿԱՅԻՆ ՆՇԱՆԱԿՈՒԹՅԱՆ)


Հայաստանի Հանրապետության
կառավարության աշխատակազմի
ղեկավար-նախարար
Մ. Թոփուզյան


Հավելված N 7
ՀՀ կառավարության 2005 թվականի
հոկտեմբերի 6-ի N1911-Ն որոշման


Ց Ա Ն Կ
ՀԱՅԱՍՏԱՆԻ ՀԱՆՐԱՊԵՏՈՒԹՅԱՆ ՎԱՅՈՑ ՁՈՐԻ ՄԱՐԶԻ ԶԱՌԻԹԱՓԻ ԳՅՈՒՂԱԿԱՆ ՀԱՄԱՅՆՔԻ ՎԱՐՉԱԿԱՆ ՍԱՀՄԱՆՆԵՐՈՒՄ ԳՏՆՎՈՂ` ՊԵՏԱԿԱՆ ՍԵՓԱԿԱՆՈՒԹՅՈՒՆ ՀԱՆԴԻՍԱՑՈՂ ՀՈՂԵՐԻ (ԸՍՏ ՆՊԱՏԱԿԱՅԻՆ ՆՇԱՆԱԿՈՒԹՅԱՆ)


Հայաստանի Հանրապետության
կառավարության աշխատակազմի
ղեկավար-նախարար
Մ. Թոփուզյան


Հավելված N 8
ՀՀ կառավարության 2005 թվականի
հոկտեմբերի 6-ի N1911-Ն որոշման


Հ Ա Շ Վ Ե Տ Վ ՈՒ Թ Յ ՈՒ Ն
ՀԱՅԱՍՏԱՆԻ ՀԱՆՐԱՊԵՏՈՒԹՅԱՆ ՎԱՅՈՑ ՁՈՐԻ ՄԱՐԶԻ ԶԱՌԻԹԱՓԻ ԳՅՈՒՂԱԿԱՆ ՀԱՄԱՅՆՔԻ ՀՈՂԱՅԻՆ ՖՈՆԴԻ ԱՌԿԱՅՈՒԹՅԱՆ ԵՎ ԲԱՇԽՄԱՆ ՄԱՍԻՆ
2005 թվականի հունվարի 1-ի դրությամբ


Հայաստանի Հանրապետության
կառավարության աշխատակազմի
ղեկավար-նախարար
Մ. Թոփուզյան


Հավելված N 9
ՀՀ կառավարության 2005 թվականի
հոկտեմբերի 6-ի N1911-Ն որոշման

 

Հ Ա Շ Վ Ե Տ Վ ՈՒ Թ Յ ՈՒ Ն
ՀԱՅԱՍՏԱՆԻ ՀԱՆՐԱՊԵՏՈՒԹՅԱՆ ՎԱՅՈՑ ՁՈՐԻ ՄԱՐԶԻ ԶԱՌԻԹԱՓԻ ԳՅՈՒՂԱԿԱՆ ՀԱՄԱՅՆՔԻ ՈՌՈԳՎՈՂ ՀՈՂԵՐԻ ԱՌԿԱՅՈՒԹՅԱՆ ԵՎ ԲԱՇԽՄԱՆ ՄԱՍԻՆ


Հայաստանի Հանրապետության
կառավարության աշխատակազմի
ղեկավար-նախարար
Մ. Թոփուզյան

Փոփոխման պատմություն
Փոփոխող ակտ Համապատասխան ինկորպորացիան
27.05.2010, N 681-Ն 06.10.2005, N 1911-Ն
Փոփոխված ակտ
Փոփոխող ակտ Համապատասխան ինկորպորացիան